| Issue |
A&A
Volume 496, Number 3, March IV 2009
|
|
|---|---|---|
| Page(s) | 863 - 868 | |
| Section | Planets and planetary systems | |
| DOI | https://doi.org/10.1051/0004-6361/200809955 | |
| Published online | 30 January 2009 | |
The relative role of EUV radiation and X-rays in the heating of hydrogen-rich exoplanet atmospheres
C. Cecchi-Pestellini1 - A. Ciaravella2 - G. Micela2 - T. Penz2
1 - INAF - Osservatorio Astronomico di Cagliari, Strada 54, Loc.
Poggio dei Pini, 09012 Capoterra (CA), Italy
2 -
INAF - Osservatorio Astronomico di Palermo, Piazza Parlamento 1, 90134
Palermo, Italy
Received 11 April 2008 / Accepted 5 January 2009
Abstract
Aims. We study the relative role of EUV and X-ray radiation in the heating of hydrogen-rich planet atmospheres with different composition and electron content.
Methods. An accurate photo-ionization model has been used to follow the primary photo-electron energy deposition throughout the atmosphere.
Results. Heating rates and efficiencies have been computed, together with column density cut-offs at which photons of given energies stop their heating production inside the atmosphere. Assuming 100 eV as the energy borderline between the extreme ultraviolet spectral range and X-rays we find that when the absorbing hydrogen column density is higher than 1020 cm-2 only X-rays can heat the gas. Extreme ultraviolet photons heat the upper atmospheric layers.
Conclusions. Using emission spectra from a sample of solar-type stars of different ages representative of the Sun's main sequence lifetime, we have derived the corresponding heating rates. We find that the existence of an energetic cross-over in atmospheric heating is present for all stars in the sample.
Key words: stars: planetary systems - ultraviolet: stars - X-rays: stars - radiative transfer
1 Introduction
Recent observations of the planet HD 209458b indicate that it is surrounded by an expanded atmosphere of atomic hydrogen, escaping hydrodynamically (Vidal-Madjar et al. 2003; Ballester et al. 2007) at a rate of 1010 g/s. Following the observation of Vidal-Madjar et al. (2003), several theoretical studies on expanded atmospheres around close-in gas giant planets were put forward. Lammer et al. (2003) and Baraffe et al. (2004,2005) predicted loss rates as high as 1012 g/s using a scaling law based on an approximate solution of the heat balance equation in the upper atmosphere of planets. Hydrodynamic models gave lower loss rates, of a few times 1010 g/s (Yelle 2004; García Muñoz 2007; Yelle 2006; Tian et al. 2005).
However, recent studies (Hubbard et al. 2007) showed that the observed planetary mass
distribution is not in agreement with the high mass loss rates predicted by
Lammer et al. (2003) and Baraffe et al. (2004,2005). A re-analysis of the Vidal-Madjar et al. (2003) HST data
performed by Ben-Jaffel (2007), although confirming the detection of an expanded
atmosphere, found no indications for mass loss rates of the order of
1010 g/s (see, however, Vidal-Madjar et al. 2008; and Ehrenreich et al. 2008, for a different
interpretation of the data). A very recent study by Holmström et al. (2008) presents
evidence that the atomic hydrogen absorption in the stellar Lyman-
by the
planet HD 209458b detected with HST is affected by energetic neutral atoms
originating from the stellar wind interaction with the expanded atmosphere.
Since a range of exospheric conditions and atmospheric loss rates are
consistent with the observations, Holmström et al. (2008) concluded that we have little
information on the main exospheric component. Berdyugina et al. (2008) used polarized
scattered light to gain information about the atmosphere of HD 189733b. They
found an extended atmosphere, but to fill the Roche lobe, which would be
required to get high loss rates, a very low albedo,
0.15, is needed.
Cecchi-Pestellini et al. (2006) showed that X-rays give an important contribution to the heating of hydrogen-rich planetary atmospheres. Using just the X-ray heating channel, Penz et al. (2008) and Penz & Micela (2008) investigated planetary mass loss from close-in, gas giant planets orbiting dG and dM stars, and showed that X-ray irradiation may affect the final planetary mass.
Indeed, from the study of stellar proxies for the Sun it appears that young solar-type stars emit X-rays at a level three to four orders of magnitude higher than the present-day Sun, both during the pre-main sequence phase when the emission is dominated by intense daily or weekly flares (Feigelson et al. 2003; Favata et al. 2005), and during the first phases of the main-sequence (Micela 2002). Such a copious emission must have affected the circumstellar disk and the process of planetary formation during the pre-main sequence phase, and subsequently, when the star reaches the main sequence, the evolution of planetary atmospheres. To estimate the effect of XUV emission (roughly the spectral range between 0.1 and 90 nm) from solar-type stars of different ages we exploit the XUV emission of six stars from the Sun in Time program (Guinan & Ribas 2002), whose fluxes are assumed to describe the evolution of the Sun's XUV emission (Ribas et al. 2005). From the Ribas et al. (2005) data, it appears that for a 100 Myr star the ratio between the integrated fluxes in the extreme ultraviolet (EUV; 10-90 nm) and X-rays (0.1-10 nm) is lower than unity, and it remains within a factor of two for stars as old as 1 Gyr (the solar ratio is about 4). Moreover the star luminosity seems to be characterized by evolutionary time-scales that are different in different spectral bands. The X-ray luminosity evolution of dM stars is slower than that of dG stars, and may present frequent flaring activity. However, even if the ratio between the X-ray luminosity and the bolometric luminosity is typically larger in dM stars than in solar-type stars, the absolute value of the X-ray luminosity is lower at each age (see Figs. 2 and 3 of Penz & Micela 2008). Therefore we expect that the effects of EUV stellar emission are less relevant at the same distance from the host stars. We note however that the habitable zone of dM stars is closer by a factor 10-100 to the star, depending on the star, and therefore the effects on planets in the habitable zone may be much more relevant.
Most of estimates of the extrasolar giant planet escape rates are based on a total conversion of the absorbed stellar XUV energy into powering escape. In the light of the above discussion, it is important to assign the fraction of stellar XUV radiation that goes into the heating of upper atmospheres of extrasolar giant planets, and to evaluate how deep in an atmosphere stellar photons, e.g. in the EUV spectral range, keep releasing part of their energy as heat. This task requires an accurate description of radiative transfer and photo-electron energy deposition (Cecchi-Pestellini et al. 2006).
The model is briefly described in Sect. 2, while results are given in Sect. 3. Discussion and conclusions are in Sect. 4.
2 Model description
The flux of stellar XUV photons incident upon a planetary atmosphere of solar-like composition photo-ionizes the gas producing a flux of high energy photo-electrons, which deposit their energy into the gas. In a partially neutral medium, electrons ionize, excite, and dissociate atomic and molecular species, as well as heat the gas through Coulomb collisions. In determining these energy deposition events, we must account for all the possible degradation histories of the energetic electrons. The derived yields allow the determination of the ionization, dissociation, excitation, and heating rates (Dalgarno et al. 1999).
When the stopping medium is only partially neutral, electron-electron interactions contribute to the electron energy degradation, and a significant portion of the fast electron energy is deposited into the stopping medium as heat. As the fractional ionization rises, more and more of the electron energy heats the gas, and the excitation and ionization yields decrease.
The electron energy degradation is characterized by the mean energy per ion pair, which is the initial energy of a photo-electron divided by the number of secondary ionizations produced as the fast primary electron comes to rest. In order to compute the loss process numerically, we must divide the primary electron energy in a series of bins and define the probabilities, computed by the cross-sections, that any bin is emptied by elastic and inelastic collisions. We use the method presented by Dalgarno et al. (1999, and references therein) in which each successive bin is emptied in turn until the energy falls below the threshold energy of the least energetic inelastic process. The residual energy is taken up as heat.
Since the gas photo-electric cross-section scales roughly as the inverse third
power of the energy, the stellar spectrum becomes progressively weaker and
harder as the depth inside the atmosphere increases. The local residual
stellar spectrum is computed incorporating in the radiative transfer equation
an accurate description of the relevant photo-electric processes: ionization
of atomic hydrogen (Sobel'man 1991), helium (Yan et al. 1998), ionized helium
(Osterbrock 1989), molecular hydrogen (Yan et al. 1998)), and Compton ionization, that,
at energies
10 keV, is more efficient than photo-ionization of H and He
(Yan et al. 1998). Furthermore, we adopt relativistic photoionization
cross-sections of individual heavy elements and their ions given in
Verner et al. (1993). A detailed description of the model is found in Cecchi-Pestellini et al. (2006).
In radiative transfer calculations the relevant quantity is the column density
of the absorbing material. We shall evaluate a location within the atmosphere
in terms of the neutral hydrogen column density
,
measured starting
from the top of the atmosphere. The photo-ionization heating rate at
is
where Ik is the ionization potential and k runs over all ionization channels,
is the primary electron differential spectrum. In Eq. (2)
The dependence of the heating rate
on the energy of the incoming
stellar photon is studied using a monochromatic stellar photon flux
.
Equation (1) becomes
where
Finally, the heating yield, i.e. the fraction of incident stellar radiation
converted to heat at
,
is obtained integrating Eq. (3) along
the absorption path
3 Results
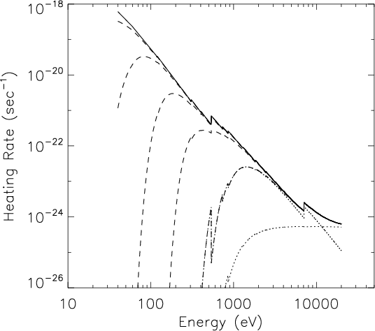
![]() |
Figure 1:
Heating rate (
|
| Open with DEXTER | |
We consider an atmosphere of solar composition (Anders & Grevesse 1989) with all elements
in atomic form. We choose to parametrize the electron content in order to
highlight the effect of the electron concentration on the heating rate. The
heating rates due to an incident unit flux S0 = 1 at various locations
inside an atmosphere with a fractional electron concentration
are
shown in Fig. 1.
The heating rate in Fig. 1 does not change significantly if the hydrogen
is in molecular form, while it is strongly dependent in absolute value on the
electronic content (Cecchi-Pestellini et al. 2006; Dalgarno et al. 1999), decreasing by about a factor of four in
an almost neutral gas
.
An important parameter is the metallicity of the atmosphere. Figure 2 shows the variations in the heating rate profiles as functions of the atmospheres metallicity: metal-rich (3 times larger than the solar values), solar and metal-poor (ten times less abundant than the solar values). In Fig. 2 we show an additional profile pertaining to a model atmosphere containing no heavy elements (just H and He). At 1 keV, where the gas photo-absorption cross-section is dominated by ionization of heavy elements, the heating rate of a metal-rich atmosphere is about one order of magnitude higher than in the case of a metal-poor gas.
![]() |
Figure 2:
Heating rate (
|
| Open with DEXTER | |
Results shown in Fig. 1 emphasize the existence of
an energetic cross-over in the gas located approximately at
.
For lower column densities gas heating is driven by EUV
radiation, while X-rays dominate at deeper locations in the atmosphere. This is
not surprising since high energy photons are preferentially absorbed by heavy
elements (cf. Fig. 2), whose low abundances in solar-like mixtures
produces a corresponding small optical depth, while in the EUV spectral
range the main absorbers are hydrogen and helium.
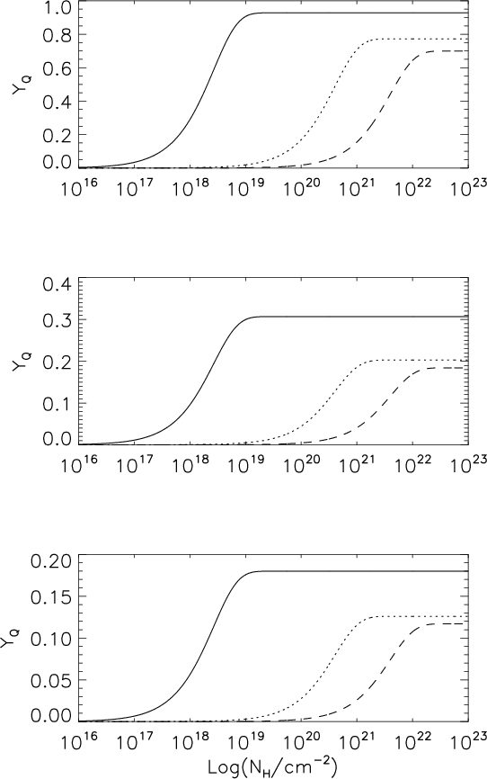
![]() |
Figure 3:
Heating efficiency, Eq. (4), for a monochromatic unit flux
as a function of the hydrogen column density of absorbing material (cm-2)
for three photon energies E = 50 eV (solid line), 300 eV (dotted line), and
1 keV (dashed line). The gas has standard solar metallicity. The hydrogen is
in atomic form and the electron fraction is
|
| Open with DEXTER | |
The heating yield, Eq. (4), provides the screening length for photons
of different energies. In Fig. 3 we plot YQ for three values of
the representative electronic fractions,
,
and for incoming stellar photons of energies 50, 300 and 1000 eV respectively
as a function of the hydrogen column density.
It is evident that the higher the stellar photon energy the deeper is the
layer in the atmosphere in which the photon flux releases its energy. Of
course, we do not have an 100% heating yield, because part of the photon
energy is deposited in ionization and excitation of the atmospheric gas.
Inelastic loss channels are more effective in a gas with low electronic
content. As a consequence, the fraction of energy released in the heating of
the gas is larger for higher electronic fractions. At sufficiently high
hydrogen column density,
,
the fraction of the incident radiation,
,
that is converted to heat saturates at the mean heating efficiency
![]() |
(5) |
In the case of a monochromatic unit flux,
The column density cut-off
at which a photon of energy E
stops its heating production inside the atmosphere is shown in Fig. 4.
The upper layers of an atmosphere,
,
are almost
transparent to photons of energies in the keV range. In Fig. 4 we also
show the column density at which a photon deposits 5% of its energy as heat.
The region between the two curves indicates the column density range where a
photon of a given energy heats the material. For thin atmospheres
only EUV radiation may heat the gas, while for thicker
atmosphere the major role is played by X-rays, since low energy photons
have been removed by the upper lying layers of the atmosphere. The results in
Fig. 4 do not depend on the electronic fraction (while YQ does),
because our radiative transfer description relies only on the atmospheric
abundances of the absorbing species. When column densities are higher
than
any radiation-induced process is suppressed.. Although
present in low concentration, heavy elements dominate the gas opacity for
primary photo-electrons with energies higher than 0.5 keV, and this is
reflected in a larger (smaller) column density cut-off for metal rich (poor)
atmospheres. For all assumed chemical compositions, beyond approximately
10 keV the main opacity channel is Compton ionization (see
Fig. 1), since, as already stated, the total photo-electric
cross-section declines sharply with energy.
![]() |
Figure 4: Column density cut-offs ( upper curves) as functions of the incident photon energy. The lower set of curves represents the column densities at which photons deposit 5% of their energy as heat. Dotted, solid and dashed lines correspond to atmosphere metallicities of 0.1, 1 and 3 times the standard solar values (Anders & Grevesse 1989). Atmospheric conditions are the same as in Fig. 3. |
| Open with DEXTER | |
![]() |
Figure 5:
Column density variation with the altitude inside atmospheres
( left panel) whose density profiles ( right panel) are described by
Eq. (6). The solid line represents the model atmosphere with
minimum total column density (
|
| Open with DEXTER | |
4 Discussion and conclusions
In this work we investigate the role of the EUV and X-ray radiation of a
parent star in heating the atmosphere of a giant exoplanet. In order to
understand the role of the different spectral energy bands we computed the
heating rate and the heating yield assuming a monochromatic stellar photon
flux and an atmosphere with the hydrogen component in atomic form, various
degrees of fractional ionization
and metallicity
times the standard solar value).
Our analysis shows that for all parameter sets EUV radiation is the dominant
source of heating in the upper part of the atmosphere, but it becomes totally
ineffective when the hydrogen column density is higher than
cm-2, which is approximately the column density cut-off for
100 eV photons.
The presence of an energetic cross-over implies that X-rays played an
important role in the heating of the hydrogen-rich Earth proto-atmosphere.
Smith et al. (2004) estimate for a terrestrial exoplanet atmosphere a column density
of the order of
30-100 g cm-2. In such a scenario, results in
Fig. 4 suggest that even the hardest X-rays hardly reach the planet
surface, regardless of composition of its atmosphere, a conclusion in
agreement with Smith et al. (2004). For thinner atmospheres, and for hydrogen escape
occurring at a much slower rate than previously thought (Tian et al. 2005b), the
solar hard component might have been playing a significant role in terrestrial
prebiotic chemistry. However, there are considerable uncertainties in the
primordial chemical composition of the anoxic Earth atmosphere, which might
contain substantial amount of CO2 (Walker 1985), that is a strong absorber of
X-rays (cf. Fig. 4).
We discuss our results in the case of the atmosphere of HD 209458b, that
is expected (and largely assumed in models, e.g. García Muñoz 2007) to contain
hydrogen, helium and trace amounts of other heavier elements in nearly solar
abundances. However, the chemical composition of this exoplanet is far from
being understood. Carbon and oxygen have been discovered (Vidal-Madjar et al. 2004), but,
e.g., helium remain undetected. For close-in exoplanets beyond the
cross-over between stability and instability (Koskinen et al. 2007), all relevant
quantities, such as thermal escape rate and the density profile, depend on the
heating rate. Nevertheless, by assuming a volume density profile, the column
density cut-offs shown in Fig. 4 can be converted to altitudes inside
the atmosphere. We adopt the standard hydrostatic equilibrium profile
where H is the scale height,
![]() |
Figure 6:
Heating rate (
|
| Open with DEXTER | |
Acknowledgements
This study was carried out within the framework of the ISSI team ``Evolution of exoplanet atmospheres and their characterization''. This work was supported by the contract ASI-INAF I/088/06/0 and Marie Curie fellowship contract MTKD-CT-2004-002769.
References
- Anders, E., & Grevesse, N. 1989, Geochim. Cosmochim. Acta, 53, 197 [NASA ADS] [CrossRef] (In the text)
- Ballester, G. E., King, D. K., & Herbert, F. 2007, Nature, 445, 511 [NASA ADS] [CrossRef]
- Baraffe, I., Selsis, F., Chabrier, G., et al. 2004, A&A, 419, L13 [NASA ADS] [CrossRef] [EDP Sciences]
- Baraffe, I., Chabrier, G., Barman, T. S., et al. 2005, A&A, 436, L47 [NASA ADS] [CrossRef] [EDP Sciences]
- Ben-Jaffel, L. 2007, ApJ, 671, L61 [NASA ADS] [CrossRef] (In the text)
- Berdyugina, S. V., Berdyugin, A. V., Fluri, D. M., & Piirola, V. 2008, ApJ, 673, L83 [NASA ADS] [CrossRef] (In the text)
- Cecchi-Pestellini, C., Ciaravella, A., & Micela, G. 2006, A&A, 458, L13 [NASA ADS] [CrossRef] [EDP Sciences] (In the text)
- Dalgarno, A., Yan, M., & Liu, W. 1999, ApJS, 125, 237 [NASA ADS] [CrossRef] (In the text)
- Ehrenreich, D., Lecavalier des Etangs, A., Hébrard, G., et al. 2008, A&A, 483, 933 [NASA ADS] [CrossRef] [EDP Sciences] (In the text)
- Favata, F., Flaccomio, E., Reale, F., et al. 2005, ApJS, 160, 469 [NASA ADS] [CrossRef]
- Feigelson, E. D., Gaffney, J. A., Garmire, G., Hillenbrand, L. A., & Townsley, L. 2003, ApJ, 584, 911 [NASA ADS] [CrossRef]
- García Muñoz, A. 2007, Planet Space Sci., 55, 1246 [CrossRef]
- Guinan, E. F., & Ribas, I. 2002, in The Evolving Sun and Its Influence on Planetary Environments, ed. B. Montesinos, A. Gimenz, & E. F. Guinan (San Francisco: ASP), ASP Conf. Ser., 269, 85 (In the text)
- Hubbard, W. B., Hattori, M. F., Burrows, A., Hubeny, I., & Sudarsky, D. 2007, Icarus, 187, 358 [NASA ADS] [CrossRef] (In the text)
- Holmström, M., Ekenbäck, A., Selsis, F., et al. 2008, Nature, 451, 970 [NASA ADS] [CrossRef] (In the text)
- Koskinen, T. T., Aylword, A. D., & Miller, S. 2007, Nature, 450, 845 [NASA ADS] [CrossRef] (In the text)
- Lammer, H., Selsis, F., Ribas, I., et al. 2003, ApJ, 598, L121 [NASA ADS] [CrossRef] (In the text)
- Micela, G. 2002, in The evolving Sun and Its Influence on Planetary Environments, ed. B. Montesinos, A. Gimenez, & E. F. Guinan (San Francisco: ASP), ASP Conf. Ser., 269, 107 (In the text)
- Osterbrock, D. E. 1989, Astrophysics of Gaseous Nebulae and Active Galctic Nuclei (Sausalito: University Science Books) (In the text)
- Penz, T., & Micela, G. 2008, A&A, 479, 579 [NASA ADS] [CrossRef] [EDP Sciences] (In the text)
- Penz, T., Micela, G., & Lammer, H. 2008, A&A, 477, 309 [NASA ADS] [CrossRef] [EDP Sciences] (In the text)
- Pizzolato, N., Maggio, A., Micela, G., Sciortino, S., & Ventura, P. 2003, A&A, 397, 147 [NASA ADS] [CrossRef] [EDP Sciences] (In the text)
- Ribas, I., Guinan, E. F., Gudel, M., & Audard, M. 2005, ApJ, 622, 680 [NASA ADS] [CrossRef] (In the text)
- Sobel'man, I. 1991, Atomic Spectra and Radiative Transitions (Berlin: Springer) (In the text)
- Smith, D. S., Scalo, J., & Wheeler, J. C. 2004, Icarus, 171, 229 [NASA ADS] [CrossRef]. (In the text)
- Tian, F., Toon, O. B., Pavlov, A., & De Sterck, H. 2005, ApJ, 621, 1049 [NASA ADS] [CrossRef]
- Tian, F., Toon, B. O., Pavlov, A. A., & De Sterck, H. 2005, Science, 308, 1014 [NASA ADS] [CrossRef] (In the text)
- Verner, D. A., Yakovlev, D. G., Band, I. M., & Trzhaskovskaya, M. B. 1993, Atomic Data and Nuclear Data Tables, 55, 233 [NASA ADS] [CrossRef] (In the text)
- Vidal-Madjar, A., Lecavalier des Etangs, A., Désert, J.-M., et al., 2003, Nature, 422, 143 [NASA ADS] [CrossRef]
- Vidal-Madjar, A., Désert, J.-M., Lecavelier des Etangs, A., et al. 2004, ApJ, 604, L69 [NASA ADS] [CrossRef] (In the text)
- Vidal-Madjar, A., Lecavalier des Etangs, A., Désert, J.-M., et al. 2008, ApJ, 676, L57 [NASA ADS] [CrossRef] (In the text)
- Walker, J. C. G. 1985, Orig. Life, 16, 117 [NASA ADS] [CrossRef] (In the text)
- Yan, M., Sadeghpour, H. R., & Dalgarno, A. 1998, ApJ, 496, 1044 [NASA ADS] [CrossRef] (In the text)
- Yelle, R. V. 2004, Icarus, 170, 167 [NASA ADS] [CrossRef]
- Yelle, R. V. 2006, Icarus, 183, 508 [NASA ADS] [CrossRef]
All Figures
![]() |
Figure 1:
Heating rate (
|
| Open with DEXTER | |
| In the text | |
![]() |
Figure 2:
Heating rate (
|
| Open with DEXTER | |
| In the text | |
![]() |
Figure 3:
Heating efficiency, Eq. (4), for a monochromatic unit flux
as a function of the hydrogen column density of absorbing material (cm-2)
for three photon energies E = 50 eV (solid line), 300 eV (dotted line), and
1 keV (dashed line). The gas has standard solar metallicity. The hydrogen is
in atomic form and the electron fraction is
|
| Open with DEXTER | |
| In the text | |
![]() |
Figure 4: Column density cut-offs ( upper curves) as functions of the incident photon energy. The lower set of curves represents the column densities at which photons deposit 5% of their energy as heat. Dotted, solid and dashed lines correspond to atmosphere metallicities of 0.1, 1 and 3 times the standard solar values (Anders & Grevesse 1989). Atmospheric conditions are the same as in Fig. 3. |
| Open with DEXTER | |
| In the text | |
![]() |
Figure 5:
Column density variation with the altitude inside atmospheres
( left panel) whose density profiles ( right panel) are described by
Eq. (6). The solid line represents the model atmosphere with
minimum total column density (
|
| Open with DEXTER | |
| In the text | |
![]() |
Figure 6:
Heating rate (
|
| Open with DEXTER | |
| In the text | |
Copyright ESO 2009
Current usage metrics show cumulative count of Article Views (full-text article views including HTML views, PDF and ePub downloads, according to the available data) and Abstracts Views on Vision4Press platform.
Data correspond to usage on the plateform after 2015. The current usage metrics is available 48-96 hours after online publication and is updated daily on week days.
Initial download of the metrics may take a while.
![\begin{displaymath}Q_{\rm XUV}(N_{\rm H}) = \sum_k \int \left[ \frac {{\rm d}{\c...
...})}
{{\rm d}E} \times {\cal E}_Q (E-I_k)\right]_k ~ {\rm d}E,
\end{displaymath}](/articles/aa/full_html/2009/12/aa09955-08/img17.gif)
![\begin{displaymath}\frac {{\rm d}{\cal N}_1(E)} {{\rm d}E} = S_{\rm XUV} (E,N_{\...
...\times \left[
\sigma_{\rm pa} (E) + \sigma_{\rm C} (E) \right]
\end{displaymath}](/articles/aa/full_html/2009/12/aa09955-08/img19.gif)

![\begin{figure}
\par\includegraphics[width=7.6cm,clip]{9955fig1.eps}
\end{figure}](/articles/aa/full_html/2009/12/aa09955-08/Timg31.gif)
![\begin{figure}
\par\includegraphics[width=7.7cm,clip]{9955fig2.eps}
\end{figure}](/articles/aa/full_html/2009/12/aa09955-08/Timg34.gif)
![\begin{figure}
\par\includegraphics[width=7.7cm,clip]{9955fig3.eps}
\end{figure}](/articles/aa/full_html/2009/12/aa09955-08/Timg36.gif)
![\begin{displaymath}Y_Q \sim \langle{\cal E}_Q\rangle =
\frac { \int \left[
S_{...
...] ~ {\rm d}E }
{\int S^\star_{\rm XUV} (E) ~ {\rm d}E }\cdot
\end{displaymath}](/articles/aa/full_html/2009/12/aa09955-08/img40.gif)
![\begin{figure}
\par\includegraphics[width=7.4cm,clip]{9955fig4.eps}
\end{figure}](/articles/aa/full_html/2009/12/aa09955-08/Timg45.gif)
![\begin{figure*}
\par\mbox{\includegraphics[width=7cm,clip]{9955fig5a.eps}\hspace*{4mm}
\includegraphics[width=7.2cm,clip]{9955fig5b.eps} }\end{figure*}](/articles/aa/full_html/2009/12/aa09955-08/Timg49.gif)
![\begin{displaymath}n(R) = n_0 ~ {\rm exp} \left[ \frac{H}{R_{\rm P}} \left( 1 -\frac {R_{\rm P}}{R} \right)
\right]
\end{displaymath}](/articles/aa/full_html/2009/12/aa09955-08/img53.gif)
![\begin{figure}
\par\includegraphics[width=7.5cm,clip]{9955fig6.eps}
\end{figure}](/articles/aa/full_html/2009/12/aa09955-08/Timg73.gif)