| Issue |
A&A
Volume 496, Number 3, March IV 2009
|
|
|---|---|---|
| Page(s) | 637 - 644 | |
| Section | Cosmology (including clusters of galaxies) | |
| DOI | https://doi.org/10.1051/0004-6361/200810692 | |
| Published online | 09 February 2009 | |
Cluster scaling relations from cosmological hydrodynamic simulations in a dark-energy dominated universe
N. Aghanim1 - A. C. da Silva1,2 - N. J. Nunes3
1 - IAS, CNRS & Université Paris Sud, Bâtiment 121, 91405
Orsay, France
2 -
Centro de Astrofísica, Universidade do Porto, Rua das
Estrelas, 4150-762 Porto, Portugal
3 -
Department of Applied Mathematics and Theoretical
Physics, Wilberforce Road, Cambridge, CB3 0WA, UK
Received 28 July 2008 / Accepted 20 November 2008
Abstract
Context. Clusters are potentially powerful tools for cosmology provided their observed properties, such as the Sunyaev-Zel'dovich (SZ) or X-ray signals, can be translated into physical quantities like mass and temperature. Scaling relations are the appropriate means to perform this translation. It is, therefore, important to understand their evolution and their modifications with respect to the physics and to the underlying cosmology.
Aims. In this spirit, we investigate the effect of dark energy on the X-ray and SZ scaling relations. The study is based on the first hydro-simulations of cluster formation for diferent models of dark energy. We present results for four dark-energy models which differ from each other by their equations-of-state parameter, w. Namely, we use a cosmological constant model w=-1 (as a reference), a perfect fluid with constant equation of state parameter w=-0.8 and one with w = -1.2 and a scalar field model (or quintessence) with varying w.
Methods. We generate N-body/hydrodynamic simulations that include radiative cooling with the public version of the Hydra code, modified to consider an arbitrary dark-energy component. We produce cluster catalogues for the four models and derive the associated X-ray and SZ scaling relations.
Results. We find that dark energy has little effect on scaling laws, making it safe to use the standard
CDM scalings for conversion of observed quantities into cluster temperatures and masses.
Key words: large-scale structure of Universe
1 Introduction
To explain the current acceleration of the universe (Perlmutter et al. 1999; Riess et al. 1998) in the context of the theory of General Relativity, it is general procedure to introduce a new form of gravitational component with negative pressure - dark energy. Various candidates, such as a cosmological constant or a quintessence field, have been proposed. These models are characterised by their equation-of-state parameter and constrained by either using the observation of background quantities or the growth of cosmic structures. An alternative way of explaining the acceleration of the universe is to allow for modifications of gravity. Many classes of models exist; for instance, a light scalar field coupled to matter leads to models of extended quintessence and more generally to scalar-tensor type theories. Other possibilities were studied in the context of braneworld models. Testing the Poisson equation on large scales may be a way of distinguishing between all these alternative scenarios.
Regardless of its nature, dark energy as a dominant component plays a role in structure formation and thus modifies the number of formed structures. The evolution of linear perturbations in the presence of a scalar field, such as quintessence and the effects on the abundance of collapsed structures and its dependence on redshift, were widely explored and suggested as a tool for constraining the nature of dark energy and its evolution (Mohr 2004; Weinberg & Kamionkowski 2003; Battye & Weller 2003; Haiman et al. 2001; Wang et al. 2004; Weller et al. 2001). The properties of collapsed haloes (density contrast and virial radius) depend strongly on the shape of the potential, the initial conditions, the time evolution of the dark energy equation of state, and on its ability to collapse on the structure scale (Nunes & Mota 2006). One can investigate the effects of dark energy on the growth rate of structure and consequently study how dark energy affects the abundance of collapsed halos in dark energy models (Manera & Mota 2006; Nunes et al. 2006).
Cluster number counts can potentially distinguish between dark energy models, in particular, the evolution of their equation of state. However, a large number of clusters with known redshifts from SZ, X-ray, or optical surveys are needed (Bartelmann et al. 2005). Future Sunyaev-Zel'dovich (SZ), as well as X-rays observations, will provide us with high quality data making galaxy clusters an efficient and powerful cosmological tool. Cluster-physics, however, is complex. The presence of substructures, the possible contamination by radio and IR sources, the still imperfect knowledge of the relation between the halo mass, and the clusters' observed properties induce degeneracies between cluster physics and cosmological models. Scaling relations are key quantities in observational cosmology as they relate the observables in X-rays and SZ to the cluster properties, namely, masses and temperatures. The latter are then used in cluster number counts to constrain the cosmological models.
Due to their importance in translating observations to physical quantities, but most of all in probing the cluster formation, scaling relations have raised considerable attention. Simple models of formation of virialised, systems such as clusters predict that they exhibit self-similar behaviours (Kaiser 1986), see also Ascasibar et al. (2006). In the self-similar model, gravitational infall drives shock heating of the intra-cluster medium (ICM) and establishes the gas properties, such that they scale with the halo mass giving rise to the scaling relations. However, it is now clear that more physics is required to provide a more complete picture of the cluster formation and evolution and to explain the deviations between observations and the predictions based on self-similar scaling as shown mostly by X-ray observations (Markevitch 1998; Rasia et al. 2005; Morandi et al. 2007; Nevalainen et al. 2000; Maughan et al. 2006; Arnaud et al. 2005; Edge & Stewart 1991; Balogh et al. 2006; Ettori et al. 2004; Finoguenov et al. 2001; Henry 2004; Allen & Fabian 1998). As the complexity of the physical description increases due to the additional gas physics (galactic winds and/or quasar outflows, radiative cooling, preheating), the use of numerical simulations appears the best option for comparing predictions and observations and examining the role of those new ingredients in explaining the departures form self similarity (Kay et al. 2007; Bryan & Norman 1998; Muanwong et al. 2006; Rowley et al. 2004; Babul et al. 2002; Thomas et al. 2001; Voit et al. 2002; Borgani et al. 2004; Bialek et al. 2001; Evrard et al. 1996). The ICM can also be probed by the Sunyaev-Zel'dovich (SZ) effect, inverse Compton scattering of cosmic microwave background (CMB) photons off high-energy electrons. The magnitude of the SZ effect is determined by the integrated gas pressure along the line-of-sight, called the Compton parameter, y. Unlike the X-ray surface brightness, the SZ effect is not subject to cosmological dimming and can be used out to high redshift, which makes SZ-scaling relations particularly interesting and attractive tests. Nevertheless, although gaining in quality and quantity, SZ measurements are at the moment still not sufficient to be fully used and this explains why investigations of SZ scaling relations are still limited from the observational point of view (Benson et al. 2004; McCarthy et al. 2003; Morandi et al. 2007; Cooray 1999), as well as from the numerical point of view (da Silva et al. 2004; Bonaldi et al. 2007; Molt et al. 2005).
Scaling laws relate the observed properties in X-rays and SZ to the
cluster properties, namely, masses and temperatures that are then
used to construct mass functions and number counts utilised to
constrain the cosmological models. Understanding the possible biases
in the scaling relations is thus essential for the use of clusters as
cosmological probes. Previous studies based on numerical simulations
have focused on the effects of additional gas physics in the scaling
laws. In the present study, we explore the effects of the cosmological
model on the scaling properties of galaxy clusters and their
evolutions. We perform hydrodynamic numerical simulation of cluster
formation and evolution assuming a simple radiative cooling model,
rather than a more complete gas model,
which allows us to single out only dark-energy properties.
We then investigate whether the X-ray and SZ scaling laws derived for
different dark-energy models depart from those obtained in the
standard cosmological constant model (the
CDM model) taken as
our reference. In the next section we briefly present the dark-energy
models used for the first numerical simulation of cluster formation
with hydrodynamics in dark-energy dominated universes. We describe the
simulation code and the procedure used to construct the X-ray and SZ
cluster catalogues. In Sect. 3, we present the X-ray and
SZ scaling laws studied in the article, together with the fitting
procedure. Our results and conclusions are summarised in
Sects. 4 and 5, respectively.
2 Dark-energy simulations
2.1 Simulation models
Numerical N-body simulations including a dark-energy component were performed by several groups to complement the analytical computations of structure formation in the presence of dark energy, and to the study the effects of dark energy at the structure level. All studies on galaxy clusters, were essentially dedicated to studying dark-matter halo shapes and mass functions in different models of dark energy (Linder & Jenkins 2003; Kuhlen et al. 2004; Lokas et al. 2003; Dolag et al. 2004; Klypin et al. 2003). The overall picture that has emerged from these studies is that halo mass functions are well approximated by the Jenkins mass function (Jenkins et al. 2001) and halo core densities, or concentrations, are sensitive to the mean cosmological density at halo formation and therefore depend on the underlying dark-energy model. These findings have led to investigations of the effect of dark energy on the lensing properties of simulated cluster sized haloes and their possible use for constraining dark energy (Meneghetti et al. 2005b,a). In the present study, we perform the first hydrodynamics simulation of cluster formation in dark-energy dominated universes and we focus, for the first time, on the baryonic component of clusters and investigate the possible effects of dark energy on their gas properties. In an earlier study, Maio et al. (2006) produced numerical simulations of dark energy with baryonic gas to study the implications on cosmic reionisation from first stars.
![]() |
Figure 1:
Cluster scaling relations
|
| Open with DEXTER | |
In all the aforementioned studies, the scalar field associated with dark energy is assumed not to have density fluctuations on scales of galaxy clusters or below. If dark energy influences the perturbations on small scales as proposed by Arbey et al. (2001), Bean & Magueijo (2002), Padmanabhan & Choudhury (2002), or Bagla et al. (2002), the collapse of structures itself will be affected. In our simulations, we also ignore any possibility of dark energy clustering and influencing the cluster formation.
In addition to the cosmological constant model with a constant
equation-of-state parameter
,
we
simulated four other models previously studied in Nunes et al. (2006).
These phenomenological models span the range of values that the
equation-of-state parameter can take for typical quintessence models.
All models are compatible with current observational constraints
at
,
but they differ especially in the range of redshift
of interest for cluster formation (z<5). This is clearly
illustrated in Fig. 1 of Nunes et al. (2006).
Namely, we take two models for which the dark energy is given by a
perfect fluid with constant equation-of-state parameter: w = -0.8and w=-1.2 (phantom dark energy), and one model where dark energy
results from a slowly evolving scalar field in a potential with two
exponential terms (2EXP1, Barreiro et al. 2000)
![]() |
(1) |
where
2.2 The simulation code
For each of the cosmological models considered, we performed
N-body/hydrodynamic simulations of structure formation using a
modified version of the public Hydra code (Pearce & Couchman 1997; Couchman et al. 1995), which implements an adaptive
particle-particle/particle-mesh (AP3M) algorithm to calculate
gravitational forces (Couchman 1991) and smoothed particle
hydrodynamics (SPH) (Monaghan 1992) to estimate hydrodynamic
quantities. The SPH implementation follows that used by
Thacker & Couchman (2000) and conserves both energy and entropy. All
simulations analysed below include a model for radiative cooling
using the method described in Thomas & Couchman (1992) and based on the
cooling tables of Sutherland & Dopita (1993). The metallicity was assumed
to be a global time varying quantity,
,
where
t/t0 is the age of the universe in units of the current time and
is the solar metalicity. At a given time step, gas particles
with temperatures below
K and overdensities (relative
to the critical) higher than 104 are converted into collisionless
material and no longer participate in the gas's dynamical processes.
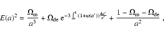
We modified the computation of the physical time, t, and scale factor, a, in Hydra to account for the effect of time-variable equations of state of dark energy,
where
for flat cosmologies. To speed up computations, this quantity is pre-tabulated for each of the dark-energy models and read once at the beginning of the simulation run. Then E(a) is interpolated and used in Eq. (2). With these modifications, our version of the Hydra code can thus be used to simulate generic models of homogeneous dark energy.
The initial density field of simulations was constructed, at redshift
z=49, using
N=4 096 000 particles of baryonic and dark matter,
perturbed from a regular grid of fixed comoving size
.
We used the Zel'dovich approximation and the same set of
random numbers to generate the initial displacements. The amplitude of
the matter power spectrum was calculated assuming
in
all models and the linear growth factor computed for each model, as
presented in Nunes & Mota (2006). We refer the reader to Nunes et al. (2006) for
a discussion of the normalisation. We also assume that the matter
power spectrum transfer function is the same for all models and equals
that of the cosmological constant model, which is computed using the
BBKS formula (Bardeen et al. 1986) and the shape parameter
given by the formula in Sugiyama (1995). With this choice of
parameters, the dark matter and baryon particle masses are
and
respectively. In physical units the gravitational softening was set fixed to
below z=1 and above this redshift scaled as
.
Individual simulation runs took between 2592 to 2812 time steps to evolve to z=0. For each run we stored a total of 50 simulation snapshots (box outputs) for a list of selected redshifts (the same for all runs) ranging from z=20 to z=0. Thirty of these outputs are inside the interval 0<z<3, which is typically the range where galaxy clusters form.
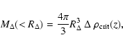
2.3 Catalogue construction
From simulations, we constructed cluster catalogues using a modified
version of the cluster extraction software developed by Thomas and collaborators (Pearce et al. 2000; Muanwong et al. 2001; Thomas et al. 1998). To summarise, the cluster identification process
starts with the construction of a minimal-spanning tree of dark-matter
particles whose density exceeds the mean density of the box by
(i.e., the density
contrast predicted by the spherical collapse model of a virialised
sphere relative to the mean background density in the Lambda cosmology;
Eke Navarro & Frenk 1998). Although
may differ for different
dark-energy models, this is not important at this step because cluster
properties are computed at fixed overdensities as described below.
The minimal-spanning tree is then split into clumps of particles using
a maximum linking length equal to
times the
mean inter-particle separation. Finally we grow a sphere around the
densest dark-matter particle in each clump until the enclosed mass
verifies
where
For each model, the cluster catalogue provides us with estimated
structural and observable quantities. We refer the reader to da Silva
et al. (2004) for the definitions of the these quantities. More
specifically for this study we compute: masses; intrinsic SZ
luminosity,
where
is the
integrated SZ signal and
is the angular diameter distance;
mass-weighted gas temperature
;
and bolometric X-ray
temperature,
,
and luminosity,
,
excluding a
cooling radius of about 50
kpc around the cluster centre. We
excised the central region to focus on the properties on the cluster
scale and to reduce degeneracies between possible effects of dark
energy and the effects of cooling. For the SZ emission, the
contribution is dominated by the outer parts of clusters. Differences
due to the cooling are thus negligible for the SZ scalings.
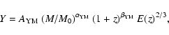
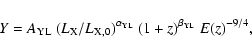
3 Analysis of the scaling relations
In this paper we investigate the following scaling relations between
cluster properties:
,
Y-M,
,
,
and
.
These can be expressed as
where we have chosen the normalisation scales
To investigate these cluster scaling relations in our simulations, we use the method described in da Silva et al. (2004). According to Eqs. (5)-(9), the general form of how a given cluster property y relates to a property x can be written as
where
and f(z) is some fixed power of the cosmological factor E(z). This is a power-law function whose parameters A,
![]() |
Figure 2:
Slope ( upper panel), normalisation
|
| Open with DEXTER | |
In the fitting process we consider only clusters with
for scalings with mass,
erg s-1 for scalings with
luminosity, and
keV,
keV for
scalings with mass-weighted and emission-weighted temperatures,
respectively. This ensures that our cluster samples are complete at
all redshifts and that, for each model, equal number of clusters are
used for all scalings at redshift zero. With these selection criteria,
our cluster samples contain 60 clusters for the cosmological constant
model and a similar number of clusters for the other models, at z=0.
We note that above z=1.5 the number of clusters with
in our sample decreases
typically below 10, hence; we do not fit the scaling relations above
this redshift value. As we discuss in the next section, all the
scaling relations explored in the present study are well-fitted by
power laws of the form Eq. (10), in the redshift range
0<z<1.5, except for the
and
whose normalisation dependences on redshift,
,
are
approximated well by a straight line only in a narrower redshift
range.
Table 1:
Best fit values of the parameters
,
and
as well as their respective 1
errors.
4 Results
4.1 Scaling relations at z=0
We start by discussing the cluster scaling laws at redshift zero. For
all scalings and models under investigation in this work, these were
determined at an overdensity radius
.
In Table 1 we present the power-law best fit for the logarithmic
slopes
obtained for each of the cases. As can be inferred
from the table, all models provide very similar results for each
scaling, with differences between models comparable to or, in most
cases, within the statistical errors of the fit. This indicates that
the local cluster scaling relations are quite insensitive to the
underlying dark-energy model driving the present-day evolution of the
universe. As stated in Sect. 2.3, our cluster definition is the same
as in da Silva et al. (2004) and Muanwong et al. (2006) at redshift
zero for the Lambda model. We verified that indeed theirs and our
results are in excellent agreement at this redshift.
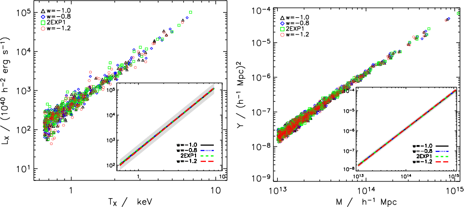
To illustrate the robustness of the scalings with respect to the
dark-energy models investigated in this paper, we present in
Fig. 1 two characteristic X-ray and SZ galaxy
cluster scaling relations: the
(left panel) and
the Y-M (right panel) scalings. In each case, the main plot shows
the cluster distributions for all models, whereas the embedded panels
show the power-law best fits obtained. For both scaling relations, the
cluster distributions and best-fit lines clearly overlap. Also represented by a shaded area in the embedded panels is the rms dispersion of the fit for Lambda model:
where y'=yf (see Eq. (10)) and y'i are individual data points. This dispersion is the same size as the fit dispersions obtained in the other models and it is clearly wider than the best-fit line separations of the various dark energy models. As expected, the scatter in the (core excised)
![]() |
Figure 3: Slope, normalisation, and normalisation best-fit lines of the Y-M relation as a function of redshift. The shaded area in the bottom panel stands for the dispersion of the normalisation for the Lambda model. |
| Open with DEXTER | |
![]() |
Figure 4:
Slope, normalisation, and normalisation best-fit lines of the
|
| Open with DEXTER | |
![]() |
Figure 5:
Slope, normalisation, and normalisation
best-fit lines of the
|
| Open with DEXTER | |
![]() |
Figure 6:
Slope, normalisation, and normalisation best fit lines of the
|
| Open with DEXTER | |
4.2 Evolution of the scaling relations
In Figs. 2-6, we present our findings for the variation with redshift
of
(top panels) and y0(z) (middle panels) for the
,
Y-M,
,
,
and
relations, respectively. The coloured bands give the the best fit
errors obtained at each redshift for these quantities.
The lines in the bottom panels of these figures are linear best fits
to the evolution of
with
.
The shaded area
in these panels gives the rms dispersion of the
fit for
the cosmological constant model (similar values of dispersion are
found for the other models). The resulting best-fit parameters for,
A,
,
and
are presented in Table 1, for
all scaling investigated in this paper.
As can be inferred from the figures, the fit to a power law in a
redshift range 0<z<1.5 was possible for all the scaling relations
explored in the present study except the relations involving
(namely
and
). For the latter
two, we found no significant departures of the slopes
from
the cosmological constant model, but we could not fit the evolution of
the scaling relations by a power law within the whole redshift range
0<z<1.5 (see Figs. 5, 6). For these scalings we
therefore restrict the analysis to a narrower range, namely
0<z<0.75, ie (
)
where the linear fit is valid.
We compared the average value of the slope
of each scaling
relation, for all the cosmological models, over the redshift range
0<z<1.5 and found no significant departures from one model to the
other, confirming the behaviour observed at z=0. This is also clear
from the upper panels of Figs. 2-6, where thereis a high degree of overlap between the
's obtained for the four
cosmological models.
For scalings with mass (
and Y-M) the degree of overlap
at high redshift is somewhat less striking due to larger variations
caused by the rapid decrease in the number clusters with
.
These ``oscillations'' show no systematic dependences on redshift and are about the same ``mean values'' for all models.
To study the evolution of the scaling relations, we factored
out the redshift dependence expected from the self-similar evolution
which is parametrised by a power law with exponent
,
see
Eq. (11).
As a general remark, we find that, excluding the
relation, all scalings investigated here show positive evolutions
relative to the expected self-similar evolution; i.e., for a given xin Eq. (10) the property yf is higher at higher redshift. In
the case of the
relation, the opposite behaviour is
observed. This is expected because the inclusion in all models of
radiative cooling (which is a non-gravitational physical process)
causes cluster scaling laws to deviate from self-similar evolution,
(da Silva et al. 2004; Muanwong et al. 2006) for studies in cosmological
constant model simulations.
It is clear from the table and the lower panels of the figures that
the value of
is slightly more model dependent than the
parameters
and A. This is especially true for the
,
and
relations for
which there is a mild difference between models. For these scalings
the w=-1.2 and w=-0.8 model generally show the strongest deviations from
the cosmological-constant model, whereas the 2EXP1 show the least.
However, those differences are of the same order of magnitude as the
intrinsic errors and dispersions. We can thus safely consider that there
are no significant departures from the cosmological constant model.
5 Conclusions
The abundance of clusters, their redshift distribution, as well as their clustering, are governed by the geometry of the universe and the power spectrum of the initial density perturbations. Gas physics related to cluster structure and evolution also enters through mapping of the cluster observable (SZ flux or X-ray luminosity) relative to the total mass of the cluster. As a result, galaxy cluster counts can be used as probes of cosmological and cluster properties. However, there are several requirements needed to achieve precise cosmological constraints: (i) advances in understanding the formation and evolution of cluster-size haloes; (ii) a good understanding of the selection function; (iii) robust observational proxies for the cluster mass.
The first condition relates to the conduction of large simulations. This is achieved in the standard cosmological model with a cosmological constant. In the context of a dark-energy dominated universe, N-body simulations are becoming available for models different from the simple cosmological constant with constant or varying equation-of-state parameter. These simulations now provide us with a good understanding of the halo properties. They show that the halo mass function is approximated well by the Jenkins mass function. Simulations also indicate that the clusters halos are more concentrated in dark-energy models, since structures grow earlier, than in lambda models and that concentrations are higher in models with varying rather than constant equation state. The second condition, understanding the cluster selection function, translates into understanding the limiting mass and the completeness of the surveys from realistic mock cluster catalogues. The mass (or temperature) selection function is directly linked with the cluster observed quantities through cluster scaling relations, which is our third requirement (the need for a good proxy for the cluster mass).
In this work we have thus for the first time explored the scaling laws for both SZ and X-rays observations using hydrodynamic simulations of galaxy clusters in four dark-energy models with constant or varying equation of states spanning a large class of models. We studied the scaling properties at z=0 and their evolution with redshift. We find that dark energy induces no modifications on the scaling laws at z=0 and presents very little difference from the cosmological-constant model at higher redshifts. The results reported in the article are from simulations with radiative cooling. We also performed adiabatic simulations for the same set of dark-energy models and initial conditions. No significant departures were found in the scalings for the adiabatic runs, thus showing the quasi-null effect of dark energy independently of the cluster physical model.
While detailed simulations incorporating viable dark-energy models remains a programme in progress, it is reassuring that all models considered in this work predict similar scaling properties to the lambda model. The modelling of the cluster gas component appears to be nearly independent of the dark-energy model. Therefore, using the ``standard'' lambda-model scaling relations for converting observable to masses and temperatures in future surveys should not introduce any additional bias into the cosmological constraints derived from cluster counts. In this work, we have considered that dark energy does not cluster with dark matter. It would be interesting, however, to evaluate how our conclusions stand for numerical simulations in a scenario where dark energy is inhomogeneous and collapses along with dark matter during the formation of structure. This will be pursued in a forthcoming study.
Acknowledgements
The authors are indebted to Peter Thomas, Orrarujee Muanwong, and collaborators for the their part in writing the original Sussex cluster extraction software used in this work. We thank Orrarujee Muanwong for discussions and comments on the manuscript. We also acknowledge the PAI-PESSOA collaboration programme as well as a partial support from the CNES and Programme National de Cosmologie. The simulations used in this study were performed at the IAS computing facilities. NA thanks the CAUP for hospitality. N.J.N. is supported by the STFC. AdS acknowledges support from Fundação Ciência e Tecnologia (FCT) under the contracts SFRH/BPD/20583/2004 and CIÊNCIA 2007.
References
- Allen, S. W., & Fabian, A. C. 1998, MNRAS, 297, L57 [NASA ADS] [CrossRef]
- Arbey, A., Lesgourgues, J., & Salati, P. 2001, Phys. Rev. D, 64, 123528 [NASA ADS] [CrossRef]
- Arnaud, M., Pointecouteau, E., & Pratt, G. W. 2005, A&A, 441, 893 [NASA ADS] [CrossRef] [EDP Sciences]
- Ascasibar, Y., Sevilla, R., Yepes, G., Mueller, V., & Gottloeber, S. 2006, MNRAS, 371, 193 [NASA ADS] [CrossRef] (In the text)
- Babul, A., Balogh, M. L., Lewis, G. F., & Poole, G. B. 2002, MNRAS, 330, 329 [NASA ADS] [CrossRef]
- Bagla, J. S., Jassal, H. K., & Padmanabhan, 2003, Phys. Rev. D, 67, 063504 [NASA ADS] [CrossRef]
- Balogh, M. L., Babul, A., Voit, M., et al. 2006, MNRAS, 366, 624 [NASA ADS] [CrossRef]
- Bardeen, J. M., Bond, J. R., Kaiser, N., & Szalay, A. S. 1986, ApJ, 304, 15 [NASA ADS] [CrossRef] (In the text)
- Barreiro, T., Copeland, E. J., & Nunes, N. J. 2000, Phys. Rev. D, 61, 127301 [NASA ADS] [CrossRef] (In the text)
- Bartelmann, M., Doran, M., & Wetterich, C. 2005 [arXiv:astro-ph/0507257] (In the text)
- Battye, R. A., & Weller, J. 2003, Phys. Rev. D, 68, 083506 [NASA ADS] [CrossRef]
- Bean, R., & Magueijo, J. 2002, Phys. Rev. D, 66, 063505 [NASA ADS] [CrossRef]
- Benson, B. A., Ade, P. A. R., & Bock, J. J., et al. 2004, ApJ, 617, 829 [NASA ADS] [CrossRef]
- Bialek, J. J., Evrard, A. E., & Mohr, J. J. 2001, ApJ, 555, 597 [NASA ADS] [CrossRef]
- Bonaldi, A., Tormen, G., Dolag, K., & Moscardini, L. 2007 [arXiv:0704.2535]
- Borgani, S., Murante, G., Springel, V., et al. 2004, MNRAS, 348, 1078 [NASA ADS] [CrossRef]
- Bryan, G. L., & Norman, M. L. 1998, ApJ, 495, 80 [NASA ADS] [CrossRef]
- Cooray, A. R. 1999, MNRAS, 307, 841 [NASA ADS] [CrossRef]
- Couchman, H. M. P. 1991, ApJ, 368, L23 [NASA ADS] [CrossRef] (In the text)
- Couchman H. M. P., Thomas, P. A., & Pearce, F. R., 1995, MNRAS, 452, 797 [NASA ADS]
- Dolag, K., Bartelmann, M., Perrotta, F., et al. 2004, MNRAS, 416, 853 [NASA ADS]
- Edge, A. C., & Stewart, G. C. 1991, MNRAS, 252, 414 [NASA ADS]
- Eke, V. R., Navarro, J. F., & Frenk, C. S. 1998, ApJ, 503, 569 [NASA ADS] [CrossRef] (In the text)
- Ettori, S., Tozzi, P., Borgani, S., & Rosatti, P. 2004, A&A, 417, 13 [NASA ADS] [CrossRef] [EDP Sciences]
- Evrard, A. E., Metzler, C. A., & Navarro, J. F. 1996, ApJ, 469, 494 [NASA ADS] [CrossRef]
- Finoguenov, A., Reiprich, T. H., Bohringer, H. 2001, A&A, 368, 749 [NASA ADS] [CrossRef] [EDP Sciences]
- Haiman, Z., Mohr, J. J., & Holder, G. P. 2001, ApJ, 553, 545 [NASA ADS] [CrossRef]
- Henry, J. P. 2004, ApJ, 609, 603 [NASA ADS] [CrossRef]
- Jenkins, A., Frenk, C. S., White, S. D. M., et al. 2001, MNRAS, 321, 372 [NASA ADS] [CrossRef] (In the text)
- Kaiser, N. 1986, MNRAS, 222, 323 [NASA ADS] (In the text)
- Kay, S. T., da Silva, A. C., Aghanim, N., et al. 2007, MNRAS
- Klypin, A., Maccio, A. V., Mainini, R., & Bonometto, S. A. 2003, ApJ, 599, 31 [NASA ADS] [CrossRef]
- Kuhlen, M., Strigari, L. E., Zentner, A. R., Bullock, J. S., & Primack, J. R. 2004 [arXiv:astro-ph/0402210]
- Linder, E. V., & Jenkins, J. 2003 [arXiv:astro-ph/0305286]
- Lokas, E. L., Bode, P., & Hoffman, Y. 2003 [arXiv:astro-ph/0309485]
- Maio, U., Dolag, K., Meneghetti, M., et al. 2006, MNRAS, 373, 869 [NASA ADS] [CrossRef]
- Manera, M., & Mota, D. F. 2006 MNRAS, 371, 1373
- Markevitch, M. 1998, ApJ, 504, 27 [NASA ADS] [CrossRef]
- Maughan, B. J., Jones, L. R., Ebeling, H., & Scharf, C. 2006, MNRAS, 365, 509 [NASA ADS] [CrossRef]
- McCarthy, I. G., Babul, A., Holder, G. P., & Balogh, M. L. 2003, ApJ, 591, 515 [NASA ADS] [CrossRef]
- Meneghetti, M., Jain, B., Bartelmann, M., & Dolag, K. 2005a, MNRAS, 362, 1301 [NASA ADS] [CrossRef]
- Meneghetti, M., Bartelmann, M., Dolag, K., et al. 2005b, A&A, 442, 413 [NASA ADS] [CrossRef] [EDP Sciences]
- Mohr, J. J. 2004 [arXiv:astro-ph/0408484]
- Molt, P. M., Hallman, E. J., Burns, J. O., & Norman, M. L. 2005, ApJ, 623, L63 [NASA ADS] [CrossRef]
- Monaghan, J. J. 1992, ARA&A, 30, 543 [NASA ADS] [CrossRef] (In the text)
- Morandi, A., Ettori, S., & Moscardini, L. 2007 [arXiv:0704.2678]
- Muanwong, O., Thomas, P. A., Kay, S. T., Pearce, F. R., & Couchman, H. M. P. 2001, ApJ, 552, L27 [NASA ADS] [CrossRef]
- Muanwong, O., Thomas, P. A., Kay, S. T., & Pearce F. R., 2002, MNRAS, 336, 527 [NASA ADS] [CrossRef]
- Muanwong, O., Kay, S. T., & Thomas, P. A. 2006, ApJ, 649, 640 [NASA ADS] [CrossRef]
- Nevalainen, J., Markevitch, M., & Forman, W. 2000, ApJ, 532, 694 [NASA ADS] [CrossRef]
- Nunes, N. J., & Mota, D. F. 2006, MNRAS, 368, 751 [NASA ADS] [CrossRef] (In the text)
- Nunes, N. J., da Silva, A. C., & Aghanim, N. 2006, A&A, 450, 899 [NASA ADS] [CrossRef] [EDP Sciences]
- Padmanabhan, T., & Choudhury, T. R. 2002, Phys. Rev. D, 66, 081301 [NASA ADS] [CrossRef]
- Pearce, F. R., & Couchman, H. M. P. 1997, New Astron., 2, 411 [NASA ADS] [CrossRef]
- Pearce, F. R., Thomas, P. A., Couchman, H. M. P., & Edge, A. C. 2000, MNRAS, 317, 1029 [NASA ADS] [CrossRef]
- Perlmutter, S., Aldering, G., Goldhaber, G., et al. 1999, ApJ, 517, 565 [NASA ADS] [CrossRef]
- Rasia, E., Mazzotta, P., Borgani, S., et al. 2005, ApJ, 618, L1 [NASA ADS] [CrossRef]
- Riess, A. G., Filippenko, A. V., & Challis, P. 1998, AJ, 116, 1009 [NASA ADS] [CrossRef]
- Rowley, D. R., Thomas, P. A., & Kay, S. T. 2004, MNRAS, 352, 508 [NASA ADS] [CrossRef]
- da Silva, A. C., Barbosa, D., Liddle, A. R., & Thomas, P. A. 2000, MNRAS, 317, 37 [NASA ADS] [CrossRef]
- da Silva, A. C., Barbosa, D., Liddle, A. R., & Thomas, P. A. 2001, MNRAS, 326, 155 [NASA ADS] [CrossRef]
- da Silva, A. C., Kay, S. T., Liddle, A. R., & Thomas, P. A. 2004, MNRAS, 348, 1401 [NASA ADS] [CrossRef]
- Sugiyama, N. 1995, ApJS, 100, 281 [NASA ADS] [CrossRef]
- Sunyaev, R. A., & Zel'dovich, Ya. B. 1972, Comm. Astrophys. Space Phys., 4, 173 [NASA ADS]
- Sunyaev, R. A., & Zel'dovich, Ya. B. 1980, ARA&A, 18, 537 [NASA ADS] [CrossRef]
- Sutherland, R. S., & Dopita, M. A. 1993, ApJS, 88, 253 [NASA ADS] [CrossRef]
- Thacker, R. J., & Couchman, H. M. P. 2000, ApJ, 545, 728 [NASA ADS] [CrossRef] (In the text)
- Thomas, P. A., & Couchman, H. M. P. 1992, MNRAS, 257, 11 [NASA ADS]
- Thomas, P. A., Colberg, J. M., & Couchman, H. M. P. (the Virgo Consortium) 1998, MNRAS, 296, 1061
- Thomas, P. A., Muanwong, O., Pearce, F. R., et al. 2001, MNRAS, 324, 450 [NASA ADS] [CrossRef]
- Voit, G. M., Bryan, G. L., Balogh, M. L., & Bower, R. G. 2002, ApJ, 576, 601 [NASA ADS] [CrossRef]
- Wang, S., Khoury, J., Haiman, Z., & May, M. 2004, Phys. Rev. D, 70, 123008 [NASA ADS] [CrossRef]
- Weinberg, N. N., & Kamionkowski, M. 2003, MNRAS, 341, 251 [NASA ADS] [CrossRef]
- Weller, J., Battye, R., & Kneissl, R. 2002, Phys. Rev. Lett., 88, 231301 [NASA ADS] [CrossRef]
All Tables
Table 1:
Best fit values of the parameters
,
and
as well as their respective 1
errors.
All Figures
![]() |
Figure 1:
Cluster scaling relations
|
| Open with DEXTER | |
| In the text | |
![]() |
Figure 2:
Slope ( upper panel), normalisation
|
| Open with DEXTER | |
| In the text | |
![]() |
Figure 3: Slope, normalisation, and normalisation best-fit lines of the Y-M relation as a function of redshift. The shaded area in the bottom panel stands for the dispersion of the normalisation for the Lambda model. |
| Open with DEXTER | |
| In the text | |
![]() |
Figure 4:
Slope, normalisation, and normalisation best-fit lines of the
|
| Open with DEXTER | |
| In the text | |
![]() |
Figure 5:
Slope, normalisation, and normalisation
best-fit lines of the
|
| Open with DEXTER | |
| In the text | |
![]() |
Figure 6:
Slope, normalisation, and normalisation best fit lines of the
|
| Open with DEXTER | |
| In the text | |
Copyright ESO 2009
Current usage metrics show cumulative count of Article Views (full-text article views including HTML views, PDF and ePub downloads, according to the available data) and Abstracts Views on Vision4Press platform.
Data correspond to usage on the plateform after 2015. The current usage metrics is available 48-96 hours after online publication and is updated daily on week days.
Initial download of the metrics may take a while.
![\begin{figure}
\par\includegraphics[width=7.8cm,clip]{0692fig1.ps}\hspace*{2mm}
\includegraphics[width=7.8cm,clip]{0692fig2.ps}
\end{figure}](/articles/aa/full_html/2009/12/aa10692-08/Timg13.gif)










![\begin{figure}
\par\includegraphics[width=8.45cm,clip]{0692fig3.ps}
\end{figure}](/articles/aa/full_html/2009/12/aa10692-08/Timg65.gif)

![\begin{figure}
\par\includegraphics[width=8.35cm,clip]{0692fig4.ps}
\par\end{figure}](/articles/aa/full_html/2009/12/aa10692-08/Timg147.gif)
![\begin{figure}
\par\includegraphics[width=8.35cm,clip]{0692fig5.ps}
\end{figure}](/articles/aa/full_html/2009/12/aa10692-08/Timg148.gif)
![\begin{figure}
\par\includegraphics[width=8.35cm,clip]{0692fig6.ps}
\end{figure}](/articles/aa/full_html/2009/12/aa10692-08/Timg149.gif)
![\begin{figure}
\par\includegraphics[width=8.35cm,clip]{0692fig7.ps}
\end{figure}](/articles/aa/full_html/2009/12/aa10692-08/Timg150.gif)