| Issue |
A&A
Volume 496, Number 3, March IV 2009
|
|
|---|---|---|
| Page(s) | 645 - 651 | |
| Section | Extragalactic astronomy | |
| DOI | https://doi.org/10.1051/0004-6361/200810709 | |
| Published online | 30 January 2009 | |
The origin of intrinsic variability of intraday variable sources
J. Roland1 - S. Britzen2 - A. Witzel2 - J. A. Zensus2
1 - Institut d'Astrophysique, 98bis Bd Arago,
75014 Paris, France
2 -
Max-Planck-Institut für Radioastronomie,
Auf dem Hügel 69, Bonn 53121, Germany
Received 30 July 2008 / Accepted 4 December 2008
Abstract
Intraday variability (IDV) describes flux-density variations
in the radio regime on timescales of a day and less. The origin of such
variations has been attributed to both source intrinsic and extrinsic
mechanisms. While there is growing evidence that faster flux- density
variations (on the order of hours to minutes) are caused by
refractive interstellar scattering, extrinsic mechanisms alone still
fail to explain all the observations. In particular, in the blazar
S5 0716+714, correlated variations at frequencies in the radio and the
optical regimes indicate an intrinsic
component to the variability. Using the characteristics of the relativistic
ejection found for the blazar S5 1803+784,
we find that the formation and the
rotation of a warp in the inner part of the accretion disk produce
a small perturbation of the relativistic beam and consequently a variation
in the viewing angle and in the beamed synchrotron emission.
We find that the relative flux variations become chaotic if the amplitude
of the perturbation exceeds a critical value.
We investigate the properties of the chaotic behavior of the
solution to explain the observed properties of IDV sources,
such as the flux variations, the polarized flux variations, and the
observable frequency dependence. As a warp can form naturally in the
inner part of the accretion disk, we conclude that both intrinsic and extrinsic
mechanisms produce IDV sources.
Key words: radio mechanisms: general - BL Lacertae objects: individual: S5 1803+784 - radio continuum: general
1 Introduction
Intraday variability describes rapid flux-density variations in the
radio regime taking place on timescales of one day to a few hours or
even minutes (Witzel et al. 1986; Heeschen et al. 1987). For some
variable IDV sources, variations have been observed in all frequency
regimes: radio, optical, and perhaps even X-rays and
-ray bands
(Wagner & Witzel 1995).
Intraday variations can be produced in the radio band by refractive scintillation in the interstellar medium of our Galaxy (Rickett 1990). Evidence for an extrinsic mechanism comes, e.g., from extreme scattering events observed in the source S5 0954+658 (Fiedler et al. 1987; Cimó et al. 2002) and the so-called annual modulation in S5 0917+624 (Rickett et al. 1995; Fuhrmann et al. 2002). Interstellar scintillation is dominant in very compact objects and at frequencies up to 10 GHz. Any source with a high degree of compactness is bound to scintillate. Scattering has been unequivocally established as a prime mechanism for intraday variability in the case of the source J1819+3845. A 90-s time delay in the arrival times of the source's intensity variations has been measured between two widely-spaced telescopes (Macquart et al. 2003). The tight frequency dependence of the interstellar scattering process predicts that scintillation is suppressed at mm and optical wavelengths.
Thus optical variability alone is caused by an intrinsic mechanism. Possible correlated optical-radio variations observed in compact radio sources stem from intrinsic changes in the sources. Examples of such sources are S5 0716+714 (Quirrenbach et al. 1991) or S5 0954+658 (Wagner et al. 1990).
Compact radio sources show variabilities caused by intrinsic mechanisms. When a new VLBI component is ejected, the optical light curve can show peaks (see, for instance, Britzen et al. 2001 in the case of 0420-014 and Lobanov & Roland 2005 in the case of 3C 345). In that case the optical and radio observations can be understood if the nucleus ejects:
- 1.
- a short burst of very energetic e
responsible
for the optical light curve. This short burst is followed by
- 2.
- a long burst of less energetic e
responsible
for the radio observations of the VLBI component.
In this article, we show that, during the phase with a constant density of
ejected e
,
the flux of the unresolved core can vary within a day
if the central part of the accretion disk is warped. The rotation of
this warp produces a periodic perturbation of the relativistic e
beam.
The relative flux variations depend on the amplitude
of the perturbation
and become chaotic if this amplitude becomes greater than a critical value.
When the amplitude of the perturbation exceeds this critical value,
a small change in the amplitude of the perturbation produces a complete change
in the properties of the solution. Although the model is a geometrical model,
it is frequency dependent due to opacity effects.
We investigate in detail how this model can reproduce the main
characteristics of IDV sources, such as the flux variations,
the polarized flux variations, and the observable frequency dependence.
In a previous paper (Britzen et al. 2008), we report on 20 years of VLBI observations at 8 and 15 GHz of the source S5 1803+784. Assuming that the nucleus of 1803+784 contains a binary black hole system (BBH system), Roland et al. (2008) show how, using the variations X(t) and Y(t) of the VLBI component coordinates, it is possible to determine the inclination angle of the source, the bulk Lorentz factor of the VLBI component, and the characteristics of the families of the BBH systems that provide the same fit of X(t) and Y(t).
Radio flux-density observations of the BL Lac Object S5 1803+784 have been reported by Quirrenbach et al. (1992, 2000) and Kraus et al. (2003). They show slow variability, i.e. day variability (IDV of type I) and fast variability (IDV of type II).
Using the characteristics of the VLBI ejection of 1803+784 (Roland et al. 2008), i.e. the inclination angle, the bulk Lorentz factor, we show that, in the frame of the two-fluid model of radio sources, the properties of the day variability can be explained by the formation and the rotation of a warp in the inner part of the accretion disk.
In Sect. 2, we explain the model and in Sect. 3 we apply the model to the IDV source S5 1803+784.
2 The intraday variability model
2.1 Introduction: the two-fluid model
![]() |
Figure 1:
The two-fluid model. The outflow consists of an e--p plasma
moving at mildly relativistic speed
|
| Open with DEXTER | |
We describe the ejection of a VLBI component in the frame of the two-fluid model (Sol et al. 1989; Pelletier & Roland 1989, 1990; Pelletier & Sol 1992). The two-fluid description of the outflow is adopted with the following assumptions:
- 1.
- the outflow consists of an e--p plasma (hereafter
the jet), moving at mildly relativistic speed
,
and an e
plasma (hereafter
the beam) moving at highly relativistic speed (with
corresponding Lorentz factor
);
- 2.
- the magnetic field lines are parallel to the flow in the beam and the mixing layer, and are toroidal in the jet (see Fig. 1).
2.2 The perturbation model
The synchrotron emission of the so-called core is the emission of
the inner part of the relativistic beam, and we suppose that the
nucleus ejects a continuous e
plasma. We call
the characteristic length of the unresolved core
the length of the relativistic e
beam that corresponds to the
size of the unresolved compact core of the VLBA observations.
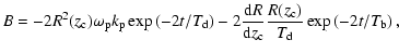
The BBH system induces a precession of the accretion disk.
The precession period,
,
is
(Britzen et al. 2001), where
is the radius of the accretion
disk. Thus, the different parts of the disk will
precess with different periods and a warp forms in the disk.
The rotation of this warp will produce a perturbation
of the magnetic field tube in which the relativistic beam propagates.
Let us call
the propagation speed of the perturbation
.
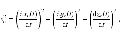
We can determine the flux of the unresolved core by integrating the
emission of the beam over the characteristic length of the core.
Let us call
the opening angle of the cone
on which the beam perturbation will propagate. The coordinates of
a point source moving in the perturbed beam are given by
where
![]() |
(4) |
We assume that the amplitude of the perturbation first increases linearly and is then damped, we take the form of the amplitude
where a is
and
The differential equation governing the evolution of
can be obtained via the relation for the speed of the component
where
Using (1)-(3), we find from (7) that d
/dt is the solution to the equation
where the coefficients A, B and C are given by
which admits two solutions corresponding to the jet and the counter-jet.
We assume that the line of sight is in the plane (yOz) and makes an
angle
with the z axis. Following Camenzind & Krockenberger
(1992), if we call
the angle between the velocity of the
component and the line of sight, we have
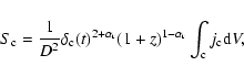
The Doppler beaming factor
where
where D is the luminosity distance of the source, z its redshift,
![]() |
(15) |
2.3 The flux emission of the core
Let us call
the step of the variable t to solve Eq. (8). For each step we determine the coordinate
of a point source ejected relativistically in the perturbed beam
solving (8). Then, using (1) and (2), we
can find the coordinates
and
of the
component. Moreover, for each point we can calculate the derivatives
,
,
and then deduce
from (12),
from (13) and
consequently
from (14).
Thus the radio flux of the core is
where n is the number of points characterizing the length of the beam inside the core.
If we call
the size of the core in milli-arc second units (mas),
n is given by
| (17) |
where mas is one milli-arc second, i.e.
Although the model is a geometrical model, it is frequency dependent because of opacity effects. Indeed, if we observe at high frequencies, most of the beam of the core will be emitting. The flux of the core at high frequencies is the total flux integrated along the beam. At lower frequencies, due to the synchrotron self-absorption, only the outer part of the beam in the core will be emitting. If we integrate the flux on different fractions of the outer parts of the beam, we model the frequency dependence of the core. In practice, we calculate the flux of the core integrating over 100%, 90%, ... 10% of the outer part of the beam length in the core.
Integrating over 100% of the beam length of the core corresponds to calculating the flux at high frequencies. Integrating over 10% of the outer part of the beam length corresponds to calculating the flux at low frequencies. There is no simple relation between the frequency and integration length along the beam. However, integrating over 10% will correspond to frequencies around 5 GHz, and integrating over 100% will correspond to optical synchrotron radiation.
2.4 The linearly and circularly polarized emission of the core
As indicated in Pelletier & Roland (1990), the mildly relativistic jet produces a Faraday rotation and a depolarization of the synchrotron emission of the relativistic beam. Close to the nucleus, the magnetic field in the jet is not toroidal and will produce a strong Faraday rotation. No linear polarization will be observed. When the jet advances, the magnetic field becomes toroidal and the linear polarization of the synchrotron emission of the beam can be observed, so the linearly polarized emission of the core will be the emission of a fraction of the length of the core. The fraction of the beam emitting the linearly polarized emission will be the outer part of the beam inside the core.
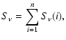
The linear polarized flux of the core is then
where n and
A variation in the viewing angle will produce a variation in the beamed polarized emission. As the integration length of the polarized emission is less than the integration length of the unpolarized emission, the changes in the fluxes of the polarized and the unpolarized emission will be different. Moreover, during this change due to a very small change in the viewing angle, the position angle of the polarized emission will not change.
In addition to linear polarization variations, compact radio sources
can show strong relative circular polarization variations
(Macquart et al. 2000; Homan & Lister 2006). The circular polarization
occurs in the outer part of the linearly
polarized beam. We choose for the size of the circularly
polarized part of the beam
.
3 Application to 1803+784
The blazar S5 1803+784 (
,
Lawrence et al. 1987;
Stickel et al. 1993) is an intraday variable source with rapid
flux-density variations in the optical and radio regime (Wagner &
Witzel 1995; Quirrenbach et al. 1992, 2000; Kraus et al. 2003)
on timescales as short as 50 min in the optical
(Wagner et al. 1990). It has been observed and studied with different
VLBI arrays at a range of different frequencies (e.g., Eckart et al.
1986, 1987; Witzel et al. 1988; Charlot 1990; Strom & Biermann 1991;
Fey et al. 1996; Gabuzda 1999; Gabuzda & Cawthorne 2000; Gabuzda &
Chernetskii 2003; Ros et al. 2000, 2001; Britzen et al. 2005a,b, 2008).
An analysis of almost 20 years of VLBI observations at 8 and 15 GHz has
been performed by Britzen et al. (2008). Assuming that the nucleus of
1807+784 contains a BBH system, from the
knowledge of the variations of the VLBI component coordinates, Roland
et al. (2008) determine the inclination of the
source to be
.
The VLBI
component is ejected with a bulk Lorentz factor of
.
3.1 The short-term variations: modeling
If a warp forms in the inner part of the accretion disk,
it will rotate and will perturb the magnetic tube in which
the e
plasma is ejected. The perturbation will propagate
with speed
and will move on a cone of opening angle
.
As the perturbation is due to a warp in the inner part
of the accretion disk, it concerns only the central part of the
e--p jet, and it will produce a very small perturbation of the
e
beam. Consequently, the angle
will be very small,
and we choose
.
The amplitude of the perturbation is described by the parameter
(see Eq. (5)). This parameter
is a
free parameter, and we calculate the relative flux variations
as a function of
.
The flux of a point source is
,
see Eq. (14). Thus, close to the nucleus we model the shape of the flux of a
point component at
by
where
We modeled the short-term variation in the following way. At a given
time
,
assuming a continuous ejection of the e
beam, we
calculated the flux of the unresolved core using Eq. (16). For
the time
,
we calculated the new flux of the core
changing the phase
in Eqs. (1) and (2). As the flux is known with an arbitrary constant, we
normalized the flux dividing the calculated flux at t by
.
This has the advantage to determine the relative
flux variations and not the absolute flux at a given moment. The
values used for
,
and
in Eq. (19) are not important here. We arbitrarily chose
yrs,
yrs, and
.
Using the results of Roland et al. (2008), the values of the parameters are:
-
for the inclination;
-
for the redshift;
-
for the propagation speed of the perturbations
;
-
mas for the size of the unresolved core;
-
for the size of the
linearly polarized part of the beam in the core (see Sect. 2.4);
-
for the size of the
circularly polarized part of the beam in the core (see Sect. 2.4);
-
for the bulk Lorentz factor of the ejected e
plasma;
-
for the opening angle of the cone;
-
days for the perturbation period;
-
yr for the timescale of the damping of the
beam perturbations;
is a free parameter.
3.2 The short-term variations: results
We calculated the relative flux variations of the core when the
parameter
changes. As indicated previously,
the perturbation is weak and the parameter
will be small.
The result of the calculation is shown in
Fig. 2.
The main result is the existence of a critical value,
pc:
- if
pc, the relative flux variations change regularly when
the parameter
changes;
- if
pc, the relative flux variations become chaotic; i.e.
their amplitude changes very rapidly when
changes. For instance,
% if
pc but
% if
pc
(see Fig. 3).
The first consequence concerns the nonperiodic variability of the flux variations. If there is a warp in the central part of the accretion disk and if the rotation period of the warp is constant, a small change of the amplitude of the perturbation will produce large changes of the observed relative flux variations producing an apparently nonperiodic and extremely variable source.
![]() |
Figure 2:
Relative flux variations as a function of |
| Open with DEXTER | |
![]() |
Figure 3:
Relative flux variations as a function of time. They have been calculated by
integrating over the total length of the beam in the core. Top figure:
in the case
|
| Open with DEXTER | |
The second consequence concerns the apparent timescale of the observed
flux variations. We plotted in Fig. 3
the flux variations corresponding to
pc and
pc.
We see that the typical
timescale of the observed flux variations is 2 days in the case corresponding to
pc, but the typical timescale of the observed flux variations
is 1 day in the case corresponding to
pc.
![]() |
Figure 4:
Relative flux variations as a function of time for
|
| Open with DEXTER | |
![]() |
Figure 5:
Relative flux variations as a function of time for
|
| Open with DEXTER | |
The third consequence concerns the frequency
behavior of the flux variations. As indicated previously,
although the model is a geometrical model, it is frequency dependent
due to opacity effects (see Sect. 2.3). The results corresponding
to
pc and to
pc are shown in Figs. 4
and 5, respectively.
In the case corresponding to
pc,
the flux variations are mostly independent of the fraction of the
outer part of the beam if this fraction is
greater or equal to 50%. However, if this fraction is less than 50%,
the flux variation is weakly dependent on this fraction, but changes a lot if
the fraction is about 30%. As a result, in the case
pc, the flux variations:
- will mostly be independent on the frequency at high frequencies;
- will weakly be dependent on the frequency at low frequencies; and
- will present a large variation (
%)
around a given frequency.
In the case
pc, the flux variations:
- will be dependent on the frequency at high and low frequencies;
- at low frequencies, will increase when the frequency decreases; and
- can be
% at the lowest frequency.
![]() |
Figure 6:
Relative flux variations and relative linear polarized flux variation corresponding to
|
| Open with DEXTER | |
The fifth consequence of the model concerns the day variability
of the circularly polarized flux variations of the core. Compact radio sources
can show strong relative circular polarization variations. The circular polarization
arises in the outer part of the linearly polarized beam; i.e. as indicated in
Sect. 2.4, we assume that
.
If
pc, we find that
(see Fig. 4). However,
if
pc, we see from Fig. 5 than
% and
%.
4 Discussion and conclusion
If compact radio sources show some variabilities that can be explained by an extrinsic mechanism, they show any variabilities due to intrinsic mechanisms.When a new VLBI component is ejected, the optical light curve can show peaks (see for instance, Britzen et al. 2001 in the case of 0420-014; and Lobanov & Roland 2005 in the case of 3C 345). In that case the optical and radio observations can be understood if the nucleus ejects:
- 1.
- a short burst of very energetic e
responsible
for the optical light curve. This short burst is followed by
- 2.
- a long burst of less energetic e
responsible
for the radio observations of the VLBI component
.
- 1.
- the density of the ejected relativistic e
;
- 2.
- the energy of the ejected relativistic e
.
- 1.
- An apparently non periodic and extremely variable source.
- 2.
- Flux variations, where the timescale varies by a factor 2.
- 3.
- Flux variations, where the frequency dependence can change with time
following at least 2 different regimes, i.e.
either the flux variations:
- will be mostly independent on the frequency at high frequencies;
- will be weakly dependent on the frequency at low frequencies; and
- will present a large variation (
%)
around a given frequency.
- will be dependent on the frequency at high and low frequencies;
- at low frequencies, will increase when the frequency decreases;
- can be
% at the lowest frequency.
- 4.
- Relative linearly polarized flux variations generally larger than the relative flux variations.
- 5.
- Relative circularly polarized flux variations either larger or smaller than the relative linear polarized flux variations.
During the phase of ejection of the relativistic e
with a constant
density, the formation and the rotation of a warp in the inner part of the
accretion disk produce a day variability of the compact core. This effect
happens naturally, and as the fastest variations can be explained by
refractive interstellar scattering, we conclude that both intrinsic
and extrinsic mechanisms occur producing the observed variability of
compact radio sources.
References
- Achatz, U., & Schlickeiser, R. 1993, A&A, 274, 165 [NASA ADS] (In the text)
- Attridge, J. M., Roberts, D. H., & Wardle, J. F. C. 1999, ApJ, 518, 87 [NASA ADS] [CrossRef] (In the text)
- Benford, G., & Lesch, H. 1998, MNRAS, 301, 414 [NASA ADS] [CrossRef]
- Biretta, J. A., Sparks, W. B., & Macchetto, F. 1999, ApJ, 520, 621 [NASA ADS] [CrossRef] (In the text)
- Britzen, S., Roland, J., Laskar, J., et al. 2001, A&A, 374, 784 [NASA ADS] [CrossRef] [EDP Sciences] (In the text)
- Britzen, S., Krichbaum, T. P., Strom, R. G., et al. 2005a, A&A, 444, 443 [NASA ADS] [CrossRef] [EDP Sciences] (In the text)
- Britzen, S., Witzel, A., Krichbaum, T. P., et al. 2005b, MNRAS, 362, 966 [NASA ADS] [CrossRef]
- Britzen, S., Kudryavtseva, N. A., Beckert, T., et al. 2008, in prep. (In the text)
- Camenzind, M., & Krockenberger, M. 1992, A&A, 255, 59 [NASA ADS] (In the text)
- Charlot, P. 1990, A&A, 229, 51 [NASA ADS] (In the text)
- Cimó, G., Beckert, T., Krichbaum, T. P., et al. 2002, PASA, 19, 10 [NASA ADS] (In the text)
- Eckart, A., Witzel, A., Biermann, P., et al. 1986, A&A, 168, 17 [NASA ADS] (In the text)
- Eckart, A., Witzel, A., & Biermann, P. 1987, A&AS, 67, 121 [NASA ADS] (In the text)
- Fey, A. L., Clegg, A. W., & Fomalont, E. B. 1996, ApJS, 105, 299 [NASA ADS] [CrossRef] (In the text)
- Fiedler, R. L., Dennison, B., Johnston, K. J., et al. 1987, Nature, 326, 675 [NASA ADS] [CrossRef] (In the text)
- Fuhrmann, L., Krichbaum, T. P., Cimó, G., et al. 2002, PASA, 19, 64 [NASA ADS] (In the text)
- Gabuzda, D. C. 1999, NewAR, 43, 691 [NASA ADS] [CrossRef] (In the text)
- Gabuzda, D. C., & Cawthorne, T. V. 2000, MNRAS, 319, 1056 [NASA ADS] [CrossRef] (In the text)
- Gabuzda, D. C., & Chernetskii, V. A. 2003, MNRAS, 339, 669 [NASA ADS] [CrossRef] (In the text)
- Gomez, J.-L., Marscher, A. P., Alberdi, A., Jorstad, S. G., & Agudo, I. 2001, ApJ, 521, L161 [NASA ADS] [CrossRef] (In the text)
- Heeschen, D. S., Krichbaum, T., Schalinski, C. J., & Witzel, A. 1987, AJ, 94, 1493 [NASA ADS] [CrossRef] (In the text)
- Homan, D. C., & Lister, M. L. 2006, AJ, 131, 1262 [NASA ADS] [CrossRef] (In the text)
- Kraus, A., Krichbaum, T. P., Wegner, R., et al. 2003, A&A, 401, 161 [NASA ADS] [CrossRef] [EDP Sciences] (In the text)
- Lawrence, C. R., Readhead, A. C. S., Pearson, T. J., & Unwin, S. C. 1987, in Superluminal Radio Sources, ed. J. A. Zensus, & T. J. Pearson (Cambridge: Cambridge University Press), 260 (In the text)
- Lobanov, A., & Roland, J. 2005, A&A, 431, 831 [NASA ADS] [CrossRef] [EDP Sciences] (In the text)
- Macquart, J.-P., Kedziora-Chudczer, L., Rayner, D. P., & Jauncey, D. L. 2000, ApJ, 538, 623 [NASA ADS] [CrossRef] (In the text)
- Macquart, J. P., de Bryun, A. G., & Dennett-Thorpe, J. 2003, ASPC, 290, 349 [NASA ADS] (In the text)
- Marcowith, A., Henri, G., & Pelletier, G. 1995, MNRAS, 277, 681 [NASA ADS] (In the text)
- Marcowith, A., Henri, G., & Renaud, N. 1998, A&A, 331, L57 [NASA ADS] (In the text)
- Muxlow, T. W. B., Pelletier, G., & Roland, J. 1988, A&A, 206, 237 [NASA ADS] (In the text)
- Nesci, R., Massaro, E., Rossi, C., et al. 2005, AJ, 130, 1466 [NASA ADS] [CrossRef]
- Pelletier, G., & Roland, J. 1989, A&A, 224, 24 [NASA ADS] (In the text)
- Pelletier, G., & Roland, J. 1990, in Parsec-Scale Jets, ed. J. A. Zensus, & T. J. Pearson (Cambridge: Cambridge University Press), 323 (In the text)
- Pelletier, G., & Sol, H. 1992, MNRAS, 254, 635 [NASA ADS] (In the text)
- Pelletier, G., Sol, H., & Asseo, E. 1988, Phys. Rev. A, 38, 2552 [NASA ADS] [CrossRef] (In the text)
- Qian, S. J., Quirrenbach, A., Witzel, A., et al. 1991, A&A, 241, 15 [NASA ADS]
- Quirrenbach, A., Witzel, A., Wagner, S., et al. 1991, ApJ, 372, L71 [NASA ADS] [CrossRef] (In the text)
- Quirrenbach, A., Witzel, A., Krichbaum, T. P., et al. 1992, A&A, 258, 279 [NASA ADS] (In the text)
- Quirrenbach, A., Kraus, A., Witzel, A., et al. 2000, A&AS, 141, 221 [NASA ADS] [CrossRef] [EDP Sciences] (In the text)
- Rickett, B. J. 1990, ARA&A, 28, 561 [NASA ADS] [CrossRef] (In the text)
- Rickett, B. J., Quirrenbach, A., Wegner, R., Krichbaum, T. P., & Witzel, A. 1995, A&A, 293, 479 [NASA ADS] (In the text)
- Roland, J., & Hermsen, W. 1995, A&A, 297, L9 [NASA ADS] (In the text)
- Roland, J., & Hetem, A. 1996, in Cygnus A: Study of a radio galaxy, ed. C. L. Carilli, & D. E. Harris (Cambridge: Cambridge University Press), 126 (In the text)
- Roland, J., Peletier, G., & Muxlow, T. 1988, A&A, 207, 16 [NASA ADS] (In the text)
- Roland, J., Teyssier, R., & Roos, N. 1994, A&A, 290, 357 [NASA ADS] (In the text)
- Roland, J., Britzen, S., Kudryavtseva, N. A., Witzel, A., & Karousos, M. 2008, A&A, 483, 125 [NASA ADS] [CrossRef] [EDP Sciences] (In the text)
- Ros, E., Marcaide, J. M., Guirado, J. C., et al. 2000, A&A, 356, 357 [NASA ADS] (In the text)
- Skibo, J. G., Dermer, C. D., & Schlickeiser, R. 1997, ApJ, 483, 56 [NASA ADS] [CrossRef] (In the text)
- Sol, H., Pelletier, G., & Asseo, E. 1989, MNRAS, 237, 411 [NASA ADS] (In the text)
- Stickel, M., Fried, J. W., & Kühr, H. 1993, A&AS, 98, 393 [NASA ADS] (In the text)
- Strom, R. G., & Biermann, F. L. 1991, A&A, 242, 313 [NASA ADS] (In the text)
- Tingay, S. J., Jauncey, D. L., Reynolds, J. E., et al. 1998, AJ, 115, 960 [NASA ADS] [CrossRef]
- Wagner, S., Sanchez-Pons, F., Quirrenbach, A., & Witzel, A. 1990, A&A, 235, L1 [NASA ADS] (In the text)
- Wagner, S. J., & Witzel, A. 1995, ARA&A, 33, 163 [NASA ADS] (In the text)
- Witzel, A., Heeschen, D. S., Schalinski, C., & Krichbaum, Th. 1986, Mitteilungen der Astronomischen Gesellschaft, 65, 239 [NASA ADS] (In the text)
- Witzel, A., Schalinski, C. J., Johnston, K. J., et al. 1988, A&A, 206, 245 [NASA ADS] (In the text)
Footnotes
- ... perturbation
- In this article we use the same notations as in Roland et al. (2008).
- ... factor
- If the component is close to the core, the shape of the flux can
be described by (19) if
- ...perturbations
- This value corresponds to the solution S1c of the family S1 (see Appendix B in Roland et al. 2008).
- ... component
- In the case
of 1803+784, Roland et al. (2008) found that the duration of the ejection
of the e
plasma responsible for the VLBI component is
14.5 yr in the BBH system frame.
All Figures
![]() |
Figure 1:
The two-fluid model. The outflow consists of an e--p plasma
moving at mildly relativistic speed
|
| Open with DEXTER | |
| In the text | |
![]() |
Figure 2:
Relative flux variations as a function of |
| Open with DEXTER | |
| In the text | |
![]() |
Figure 3:
Relative flux variations as a function of time. They have been calculated by
integrating over the total length of the beam in the core. Top figure:
in the case
|
| Open with DEXTER | |
| In the text | |
![]() |
Figure 4:
Relative flux variations as a function of time for
|
| Open with DEXTER | |
| In the text | |
![]() |
Figure 5:
Relative flux variations as a function of time for
|
| Open with DEXTER | |
| In the text | |
![]() |
Figure 6:
Relative flux variations and relative linear polarized flux variation corresponding to
|
| Open with DEXTER | |
| In the text | |
Copyright ESO 2009
Current usage metrics show cumulative count of Article Views (full-text article views including HTML views, PDF and ePub downloads, according to the available data) and Abstracts Views on Vision4Press platform.
Data correspond to usage on the plateform after 2015. The current usage metrics is available 48-96 hours after online publication and is updated daily on week days.
Initial download of the metrics may take a while.
![\begin{figure}
\par\includegraphics[width=7cm,clip]{10709Fig1.eps}
\end{figure}](/articles/aa/full_html/2009/12/aa10709-08/Timg15.gif)








![\begin{displaymath}\delta_{\rm c}(t) = \frac{1}{\gamma_{\rm c} \left[1 - \beta_{\rm c} \cos(\theta(t))\right]} ,
\end{displaymath}](/articles/aa/full_html/2009/12/aa10709-08/img44.gif)

![\begin{displaymath}t_{\rm obs} = \int_{0}^{t}\left[1- \beta_{\rm c} \cos(\theta(t'))\right]\left(1+z\right) {\rm d}t' .
\end{displaymath}](/articles/aa/full_html/2009/12/aa10709-08/img50.gif)


![\begin{figure}
\par\includegraphics[width=7cm,clip]{10709Fig2.eps}
\end{figure}](/articles/aa/full_html/2009/12/aa10709-08/Timg99.gif)
![\begin{figure}
\par\includegraphics[width=7cm,clip]{10709Fig3.eps}
\end{figure}](/articles/aa/full_html/2009/12/aa10709-08/Timg100.gif)
![\begin{figure}
\par\includegraphics[width=7cm,clip]{10709Fig4.eps}
\end{figure}](/articles/aa/full_html/2009/12/aa10709-08/Timg101.gif)
![\begin{figure}
\par\includegraphics[width=7cm,clip]{10709Fig5.eps}
\end{figure}](/articles/aa/full_html/2009/12/aa10709-08/Timg102.gif)
![\begin{figure}
\par\includegraphics[width=7cm,clip]{10709Fig6.eps}
\end{figure}](/articles/aa/full_html/2009/12/aa10709-08/Timg110.gif)