| Issue |
A&A
Volume 496, Number 3, March IV 2009
|
|
|---|---|---|
| Page(s) | 725 - 729 | |
| Section | Interstellar and circumstellar matter | |
| DOI | https://doi.org/10.1051/0004-6361/200810776 | |
| Published online | 18 February 2009 | |
Gas phase diagnostics of protoplanetary disc extension
(Research Note)
B. Ercolano1 - J. J. Drake2 - C. J. Clarke1
1 - Institute of Astronomy, University of Cambridge, Madingley Road,
Cambridge, CB3 0HA, UK
2 -
Smithsonian Astrophysical Observatory, MS-3, 60 Garden Street,
Cambridge MA 02138, USA
Received 10 August 2008 / Accepted 28 October 2008
Abstract
Aims. We investigate the potential of using ratios of fine structure and near-infrared forbidden-line transitions of atomic carbon to diagnose protoplanetary disc extension.
Methods. Using results from 2D photoionisation and radiative transfer modelling of a realistic protoplanetary disc structure irradiated by X-rays from a T Tauri star, we obtain theoretical emission maps from which we construct radial distributions of the strongest emission lines produced in the disc.
Results. We show that ratios of fine structure to near-infrared forbidden-line emission of atomic carbon are especially promising for constraining the minimum size of gaseous protoplanetary discs. While theoretically viable, the method presents a number of observational difficulties that are also discussed here.
Key words: accretion, accretion disks - stars: planetary systems: protoplanetary disks - line: formation
1 Introduction
Characterising the gas distribution of protoplanetary discs is fundamental to many aspects of star and planet formation, as discs provide the reservoir of material for nascent stellar-planetary systems. In particular, the outer radius is a key parameter for understanding a disc's viscous evolution and its ability to form planets. Indeed, it is the viscous timescale at the outer edge of a disc that controls the rate at which the flow of gas and dust into the inner disc declines (e.g. Hartmann et al. 1998), making it relevant to planet formation at small radii.
The sizes of protoplanetary discs have been determined from direct
imaging only in a few cases, e.g., in the optical for sources in the
Orion nebula cluster (ONC), where the disc silhouettes can clearly be
distinguished (e.g. O'Dell 1993; Bally et al. 1998) and in the millimetre and
submillimetre for some nearby objects (e.g., Kitamura et al. 2002;
Andrews & Williams 2008; Wilner et al. 2003;
Lommen et al. 2007; Testi & Leurini 2008, and references therein).
Observations show evidence that protoplanetary discs are
photoevaporated to smaller sizes by the intense UV flux in cluster
environments. Rodmann (2002) analysed the silhouette discs in the ONC
and found that 80% of systems hosting
proplyds
contained discs unresolved by the Hubble
Space Telescope, and hence smaller than 50 AU. This contrasts with
the submillimetre observations of Kitamura et al. (2002) and Andrews
& Williams (2008) in the Taurus-Auriga and Ophiuchus-Scorpius star
forming regions, implying a strong environmental dependence.
Models of sub-solar and solar-mass systems
(e.g. Fatuzzo & Adams 2008; Clarke 2007; Adams et al. 2004; Hollenbach et al. 2000) predict that in a cluster environment
protoplanetary discs are photoevaporated from the outside in by a
strong EUV and FUV radiation field. This has obvious implications for
planet formation, which is generally considered to be compromised when
the disc evaporation time becomes less than
10 Myr at a disc
radius of
30 AU. Fatuzzo & Adams (2008) conclude that for the
distribution of cluster size in the solar neighbourhood, 25% of the
disc population lose their planet forming potential due to FUV
radiation and 7% due to EUV radiation. The effects of
photoevaporation on planet formation are predicted to be even more
dramatic for lower mass systems (e.g. Laughlin et al. 2004).
However, such models have yet to be verified by
observations. Comparison of gaseous disc sizes and ages in a variety
of environments would help constrain the efficiency of the external
photoevaporation process.
For all but the closest systems, however, direct imaging is not possible and disc sizes can only be inferred using indirect techniques. A commonly applied indirect method to determine disc sizes relies on modelling of observations of dust continuum emission. However, the interpretation of the continuum spectral energy distribution (SED) relies on dust radiative transfer modelling and is complicated by a number of known degeneracies between different model parameters. For example, the radial distance of the emitting dust (i.e. the size of the dust disc) is degenerate with respect to the temperature of the irradiating source (stellar, interstellar/cluster radiation fields), with respect to the assumed grain size (which is highly uncertain in discs due to grain growth), and (less dramatically) to the disc chemical state. Further, the temperature of the grains is sensitive to the geometry of the disc (flaring) and to dust settling. These aspects are poorly constrained and lead to significant model-dependence in the SED interpretation (e.g. Alcalá et al. 2008). A further problem with the determination of disc sizes from dust SED modelling is that cold dust at large radii only has a very small effect on the emergent SED and may remain undetected. Finally, the estimates of disc size will also depend on whether the disc models used assume a smooth dust distribution or a clumpy one (e.g., Ercolano et al. 2007).
Regardless of the accuracy of the disc size calculations from SED dust modelling, one should also consider circumstances in which the extension of the dust disc is not a good tracer of the real gaseous disc extension. Throop & Bally (2005), for example, predict a scenario where the gas and the small grains in the outer discs are photoevaporated, while larger grains grow and settle. This would lead an SED analysis to infer larger outer radii than the real gaseous disc extension. The opposite scenario has also been suggested based on recent observations of the extent of dust continuum emission whereby the outer disc appears depleted in dust, perhaps through inward migration (e.g. Isella et al. 2007), while Hughes et al. (2008) show that employing different disc models can resolve the apparent discrepancy. The ongoing debate in the literature underlines the difficulty in obtaining accurate measures of disc size from current observations.
While CO ground-based observations have been employed to obtain estimates of disc sizes (e.g. Dent et al. 2005), gas-phase atomic line diagnostics have so far yet to be used to sample gaseous protoplanetary disc sizes. In fact observations of emission lines from gaseous discs have only recently become possible in the IR from space with Spitzer (e.g Lahuis et al. 2007; Espaillat et al. 2007; Pascucci et al. 2007) and from the ground with SMA (Qi et al. 2006) and MICHELLE at Gemini North (Herczeg et al. 2007). Future instrumentation (e.g. Herschel, ALMA, CARMA, JWST) hold the promise for better spectral coverage, resolution and signal to noise (e.g. van Disheock & Jorgensen 2008). Theoretical identification of viable gas phase diagnostics in support of future observing campaigns is therefore timely. In this paper we suggest that fine structure to near infrared forbidden-line emission ratios of atomic carbon might provide a useful measure of the minimum size of a gaseous T Tauri disc.
2 Atomic carbon diagnostics of disc extension
The ratio of fine structure (FS) to near-infrared (NIR) lines of neutral carbon increases as the disc radius gets larger. The main reason for this is the exponential dependence on temperature of these collisionally excited lines that dominates the emitted flux of the NIR lines. The NIR lines are approximately 15 000 K (C I 9826 Å and 9852 Å) and 31 000 K (C I 8729 Å) above ground, which makes their emissivity negligibly small at the cool temperatures of the outer disc. FS lines, on the other hand, are only 20-40 K above the ground and therefore they are not very temperature-sensitive.
A comparison of C I FS and NIR lines of different excitation temperatures can therefore, at least in principle, provide a diagnostic for the extension of disc gas. The ratio of these lines is to be preferred to using the absolute flux of C I FS as an indicator as the latter requires an assumption of carbon depletion onto grains, which may be different in different systems. This problem would indeed affect the estimates of disc extension provided by CO measurements.
We have used the thermal and ionisation structure for a typical T Tauri disc modeled by Ercolano et al. (2008a, Paper I) using the MOCASSIN code (Ercolano et al. 2003, 2005, 2008b) to calculate spatially-resolved emissivities of transitions of neutral carbon. We assume that the direct radiative input to the gas is from X-ray irradiation; at greater depths in the disc, gas-grain collisons are important. This latter thus incorporates one aspect also of heating by FUV radiation, since we adopt the grain temperature distribution computed by d'Alessio et al. (2001), which includes the effects of irradiation by the star's optical/FUV spectrum. We do not include the other main aspects of FUV heating, i.e. FUV photoelectric heating, H2 vibrational pumping, nor cooling via CO rovibrational lines. FUV photoelectric heating, in particular, may be an important thermal channel, and its omission may cause an error in the gas temperatures derived. This effect will be included in future models.
While we refer to Paper I for a detailed description of the model,
it is important to give here at least a brief overview of the
gas thermal balance. In the region of
the disc producing the lines discussed here (i.e. at relatively low
column densities), the main heat input is from X-ray
photoionisation, while cooling occurs via
collisionally excited lines of metals and Ly
,
free-free and free-bound
continua and dust-gas collisions. Figure 5 of Paper I shows the
relative heating and cooling rates as a function of vertical column at
a radial distance of 1 AU for the model in use.
We used a fixed density distribution for the the disc, which was
calculated by d'Alessio et al. (2001, 2003, 2005) to fit the median SED of
T Tauri stars in Taurus. We refer the reader to D'Alessio et al. (2001) for a
detailed description of the model ingredients and calculation. In
brief, the input parameters for this model include a central star of
0.7
,
2.5
irradiating the disc with an
effective temperature of 4000 K. Additional disc parameters consist of
a mass accretion rate of 1.e-8
yr-1 and a viscosity
parameter
= 0.01. The total mass of the disc is 0.027
.
We have recalculated the emitted flux of the FS lines adding
excitation by impact with atomic hydrogen, which is important in the
outer disc regions and was not treated in Paper I. Furthermore,
the line luminosities reported in
Table 1 of Paper I were obtained integrating the disc out to a radius
of 190 AU. We report here (Table 1) the revised C I FS
luminosities, which include collisions with atomic H and are
integrated out to a disc radius of 500 AU. When integrated to a
radius of 190 AU our revised C I FS line luminosities are
and
for
C I 609
m and C I 370
m, respectively (a
factor of 1.4 and 2.8 larger than reported in Paper I).
The absolute luminosities of the FS lines reported in Table 1 are in
agreement with Hollenbach et al. (1991) who predicted
the ubiquitous presence of C I emission from cloud surfaces at the
10-5 erg cm-2 s-1 level, which corresponds to a luminosity of
L
for a 500 AU disc.
Excitation by impact with atomic H may also contribute to the emissivities of the NIR lines in a similar fashion as for the FS lines discussed above. To our knowledge, the relevant excitation coefficients are not available in the literature and we are therefore unable to provide a robust estimate for the magnitude of this effect. The C I NIR line luminosities reported in Table 1 are thus likely to be underestimated by a factor of order unity.
Table 1: Absolute luminosities of C I fine structure and near-infrared lines.
![]() |
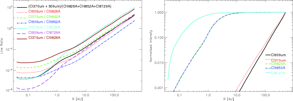
Figure 1: Left: C I fine structure to NIR collisionally excited line ratios integrated over the volume of the disc as a function of disc outer radius. Right: normalised line fluxes integrated over the volume of the disc as a function of disc size. Note that [C I] 9824.13 Å and 9850.26 Å have a fixed theoretical ratio of 0.34. |
| Open with DEXTER | |
From our theoretical emission maps, we constructed radial distributions of the
strongest emission lines produced in the disc. Figure 1 (right) shows
the normalised line fluxes integrated over the volume of the disc
as a function of disc size. Figure 1 (left) shows the
C I FS to NIR line ratios integrated over the volume of the disc
as a function of disc size (i.e. integration radius). In our models, values
approaching unity indicate a disc size
100 AU. The FS/NIR line
ratios for disc sizes of 30 AU are at least a factor of ten smaller
than those with sizes of 100 AU or larger. An observational census of
discs in cluster environments using these line ratios would provide
a direct observational test of disc photoevaporation predictions
such as those of Fatuzzo & Adams (2008).
At small radii (
30 AU), X-rays produced by the YSO are most
likely the dominant ionising radiation source (e.g. Meijerink et al. 2008;
Glassgold et al. 2004). Although significant amounts of EUV radiation
are emitted by YSOs (Alexander et al. 2005;
Herczeg & Hillenbrand 2008), which may play an important role in
photoevaporating the disc (Shang et al. 2002), it is likely that
such radiation will only be able to penetrate to the disc surface at
late times, when partially ionised winds, launched close to the star,
have become optically thin to Lyman continuum photons. We thus assume
that over the majority of a star's disc bearing lifetime, the EUV
field that can reach the disc at larger radii and depths is
significantly attenuated (Glassgold et al. 2007). External UV radiation
fields, however, may become important at larger radii and may affect
low-excitation lines (see discussion in Sect. 3).
The models of Ercolano et al. (2008a) did not include
external UV and FUV radiation fields, and therefore one should further
note this as a potential cause of errors in the calculated neutral carbon column.
It should also be mentioned that, as well as collisional excitation of
the ground-state C(3P), CO dissociation,
dissociative recombination of CO+ and collisional dissociation of
CO could all be contributors to the formation of of the C I NIR
lines. In the case of protoplanetary discs, however, we expect collisional
excitation of C(3P) to be by far the dominant mechanism for the
emission of the NIR lines, since they are emitted
preferentially in a layer where CO has already
completely dissociated and carbon is mostly atomic or singly
ionised. At 1 AU Glassgold et al. (2004) calculate that the transition from
atomic carbon to CO occurs at a vertical column density of approximately
10
,
and, as shown in Fig. 2, the bulk of the emitted
flux comes from warm gas at columns of
1020. The electron
temperature in this region, shown by asterisks in Fig. 2, is
approximately 4000 K and the electron densities in the NIR emitting
regions are
104-10
.
We also note that the lines 9826 and 9852 are 14 668 K above ground and
the 8729 A is 31 154 K above ground, so the latter should be preferentially
produced in the hotter gas closer to the surface, however higher in the disc
atmosphere carbon becomes ionised causing the emissivity to drop.
3 Discussion
The gas phase diagnostics we have identified and plotted in Fig. 1 offer a promising new avenue for the study of gaseous T Tauri discs, but a number of observational considerations should be taken into account and the detection and measurement of the necessary emission lines still presents a challenge for current space-based and ground-based instrumentation.
The main problem facing the ground state forbidden transitions near
1
m is their appearance against the background photospheric
continuum of the parent T Tauri star. We have estimated the expected
line-to-continuum contrast using the emergent photospheric flux
predicted by an ATLAS12 solar metallicity model atmosphere
(Castelli & Kurucz 2004; Kurucz 2005), corresponding to the stellar
parameters adopted for the disc models of Ercolano et al. (2008a):
effective temperature
K, surface gravity
,
and radius
.
This model yields equivalent widths for
the [C I] lines in emission of 1.7, 5.0 and 2.2 mÅ for
9824.13 Å, 9850.26 Å and 8727.13 Å, respectively.
While such equivalent widths can in principle be observed,
these [C I] lines will also be present in absorption in T Tauri
photospheric spectra.
These [C I] lines were first investigated in detail in the
solar spectrum by Lambert & Swings (1967), who found the cleanest
line to be [C I] 8727 Å, with an equivalent width of 6.5 mÅ.
This line lies in the far wing of a much stronger Si I line, but
is otherwise only blended with a very weak Fe I line whose
contribution to the 8727.13 Å feature is estimated to be a few
percent at most (Lambert & Swings 1967). Gustafsson et al. (1999)
estimated an upper limit of 15% for the coolest (
K), most Fe-rich solar-type star of their study of C abundances
in the Galactic disc. Instead, the 9824.13 Å and 9850.26 Å
features were not detected and, while they have been observed in
emission in spectra of planetary nebulae, H II and
photodissociation regions (e.g. Liu et al. 1995), they have received
scant attention in the stellar literature in the intervening years.
![]() |
Figure 2: Normalised emissivities of the near-infrared C I forbidden-lines (solid lines) plotted as a function of vertical column density at a radial distance of 1 AU. Electron temperatures are also plotted here with black asterisks. |
| Open with DEXTER | |
One exception is the study of R Coronae Borealis stars by Pandey et al. (2004), who report measurements of [C I] 9850.26 Å
obtained close to a neighbouring line of Fe II, but note that [C
I] 9824.13 Å is irretrievably blended. Indeed, the latter falls
between telluric water vapour features (which are not necessarily
problematic provided accurate correction can be achieved) but also
between, and on the far wings of, lines of CN. These CN lines are
very weak in the solar spectrum, with equivalent widths of only a few
mÅ, but are likely to become stronger in the cooler atmospheres of
T Tauri stars. We note that a very weak
1 mÅ feature in the
solar spectrum blueward of [C I] 9850.26 Å near 9850.1 Å,
and possibly the same feature identified as due to Fe II by
Pandey et al. (2004), is also coincident with two lines of Fe I
in the line database of Kurucz (Kurucz, personal communication).
A telluric water vapour
line lies to the red of the predicted [C I] 9850.26 Å
location at 9850.5 Å, but no other conspicuous absorption features
are present.
In summary, the lack of any direct coincidence between the predicted
location of [C I] 9824.13, 9850.26 Å and other strong
photospheric lines leads us to conclude that further investigation of
these features, as well [C I] 8727.13 Å, for possible
emission signatures in T Tauri stars is well-motivated. Emission line
equivalent widths of 1 mÅ are clearly challenging in any spectral
range when superimposed on a background of possible blending lines.
For a resolving power of
,
for
example, 1 mÅ corresponds to a peak flux of order 1% of the
continuum at 9000 Å, and requires a signal-to-noise ratio of a few
hundred for a firm detection. As we discuss below, the uncertainties
inherent in our calculations render our line strength estimates
somewhat uncertain: equivalent widths a few times stronger (or weaker)
are quite possible. The study of Pandey et al. (2004) using the
McDonald 2.7 m telescope and cross-dispersed echelle observed at
and reached to J=9 with
signal-to-noise ratio of >100. Relatively nearby
T Tauri stars such as those in the Taurus-Auriga star-forming regions
have typical J-band magnitudes of order 9-12. For these ranges of
near infrared magnitudes, equivalent widths of a few mÅ are quite
accessible to current high resolution spectrographs on larger
telescopes able to operate in the near-IR.
With regards to the FS C I lines, it should be mentioned here
that both the 370
m and the 609
m lines fall in the wavelength
range of
ALMA and Herschel, with good prospect of these lines being
observed in protoplanetary discs in the future. The importance of
these lines in the study of protoplanetary discs was indeed already
recognised by Jonkheid et al. (2006) who made predictions for the
intensities and line profiles for the three [C I] fine structure
lines using their chemical model of the transitional disc around
HD 141569A. These authors point out that neutral carbon, which is the
dominant form of carbon in large parts of the disc, is also a good
tracer of disc mass.
We conclude with a discussion of the modelling uncertainties that may affect our predicted C I line fluxes. Ercolano et al. (2008a) discuss a number of limitations of their models, in particular the fact that the disc density structure was calculated assuming full thermal coupling between dust and gas, which they show to be a poor approximation in the warm disc atmosphere. Furthermore, line ratios may also vary for different X-ray luminosities and may also be sensitive to additional spectral components (for example, the inclusion of a strong FUV field would affect the abundance of neutral carbon, both positively, via the photodissociation of CO, and negatively, through photoionisation of neutral carbon). Finally the C I NIR line intensities are very sensitive to the gas temperature in the dominant emitting zone, and therefore uncertainties in the model-determined thermal structure will affect the NIR/FS ratio. Although forthcoming models will aim at remedying these shortcomings, these important caveats should be taken into account when considering the line diagnostics proposed here, which are not intended to be used in order to provide precise measures of disc sizes. An observational study based on comparison of fine structure to NIR forbidden-lines of atomic carbon should be carried out in a statistical fashion, by comparing the mean ratios measured in multiple objects belonging to different environments, such as dense clusters like the ONC or low density regions like Taurus-Auriga. An interesting comparison would also be between regions of different ages.
The prospect of observational studies based on emission lines produced in gaseous protoplanetary discs will be greatly improved when ALMA, CARMA, Herschel and later JWST come on-line. The work presented here aims at contributing to the construction of a theoretical framework in aid of future observational campaigns.
Acknowledgements
We thank the anonymous referee for a thorough and constructive assessment of our work. J.J.D. was funded by NASA contract NAS8-39073 to the Chandra X-ray Center during the course of this research. The simulations were partially run on the Cosmos (SGI altix 4700) supercomputer at DAMTP in Cambridge. Cosmos is a UK-CCC facility which is supported by HEFCE and STFC.
References
- Adams, F. C., Hollenbach, D., Laughlin, G., & Gorti, U. 2004, ApJ, 611, 360 [NASA ADS] [CrossRef] (In the text)
- Alcalá, J. M., Spezzi, L., Chapman, N., et al. 2008, ApJ, 676, 427 [NASA ADS] [CrossRef]
- Alexander, R. D., Clarke, C. J., & Pringle, J. E. 2005, MNRAS, 358, 283 [NASA ADS] [CrossRef] (In the text)
- Andrews, S. M., & Williams, J. P. 2007, ApJ, 659, 705 [NASA ADS] [CrossRef]
- Bally, J., Sutherland, R. S., Devine, D., & Johnstone, D. 1998, AJ, 116, 293 [NASA ADS] [CrossRef] (In the text)
- Castelli, F., & Kurucz, R. L. 2004, [arXiv:astro-ph/0405087] (In the text)
- Dent, W. R. F., Greaves, J. S., & Coulson, I. M. 2005, MNRAS, 359, 663 [NASA ADS] [CrossRef] (In the text)
- D'Alessio, P. 2003, Rev. Mex. Astron. Astrofis. Conf. Ser., 18, 14 [NASA ADS]
- D'Alessio, P., Calvet, N., & Hartmann, L. 2001, ApJ, 553, 321 [NASA ADS] [CrossRef]
- D'Alessio, P., Merín, B., Calvet, N., Hartmann, L., & Montesinos, B. 2005, Rev. Mex. Astron. Astrofis., 41, 61 [NASA ADS]
- Dullemond, C. P., Dominik, C., & Natta, A. 2001, ApJ, 560, 957 [NASA ADS] [CrossRef]
- Ercolano, B., Barlow, M. J., Storey, P. J., & Liu, X.-W. 2003, MNRAS, 340, 1136 [NASA ADS] [CrossRef] (In the text)
- Ercolano, B., Barlow, M. J., & Storey, P. J. 2005, MNRAS, 362, 1038 [NASA ADS] [CrossRef] (In the text)
- Ercolano, B., Barlow, M. J., & Sugerman, B. E. K. 2007, MNRAS, 375, 753 [NASA ADS] [CrossRef] (In the text)
- Ercolano, B., Drake, J. J., Raymond, J. C., & Clarke, C. C. 2008a, ApJ, 688, 398 [NASA ADS] [CrossRef] (In the text)
- Ercolano, B., Young, P. R., Drake, J. J., & Raymond, J. C. 2008b, ApJS, 175, 534 [NASA ADS] [CrossRef] (In the text)
- Espaillat, C., Calvet, N., D'Alessio, P., et al. 2007, ApJ, 664, L111 [NASA ADS] [CrossRef] (In the text)
- Fatuzzo, M., & Adams, F. C. 2008, ApJ, 675, 1361 [NASA ADS] [CrossRef] (In the text)
- Glassgold, A. E., Najita, J., & Igea, J. 2004, ApJ, 615, 972 [NASA ADS] [CrossRef] (In the text)
- Glassgold, A. E., Najita, J. R., & Igea, J. 2007, ApJ, 656, 515 [NASA ADS] [CrossRef] (In the text)
- Gustafsson, B., Karlsson, T., Olsson, E., Edvardsson, B., & Ryde, N. 1999, A&A, 342, 426 [NASA ADS] (In the text)
- Hartmann, L., Calvet, N., Gullbring, E., & D'Alessio, P. 1998, ApJ, 495, 385 [NASA ADS] [CrossRef] (In the text)
- Herczeg, G. J., & Hillenbrand, L. A. 2008, ApJ, 681, 594 [NASA ADS] [CrossRef] (In the text)
- Herczeg, G. J., Najita, J. R., Hillenbrand, L. A., & Pascucci, I. 2007, ApJ, 670, 509 [NASA ADS] [CrossRef] (In the text)
- Hollenbach, D. J., Takahashi, T., & Tielens, A. G. G. M. 1991, ApJ, 377, 192 [NASA ADS] [CrossRef] (In the text)
- Hollenbach, D. J., Yorke, H. W., & Johnstone, D. 2000, Protostars and Planets IV, 401 [NASA ADS] [CrossRef] (In the text)
- Hughes, A. M., Wilner, D. J., Qi, C., & Hogerheijde, M. R. 2008, ApJ, 678, 1119 [NASA ADS] [CrossRef] (In the text)
- Isella, A., Testi, L., Natta, A., et al. 2007, A&A, 469, 213 [NASA ADS] [CrossRef] [EDP Sciences] (In the text)
- Jonkheid, B., Kamp, I., Augereau, J.-C., & van Dishoeck, E. F. 2006, A&A, 453, 163 [NASA ADS] [CrossRef] [EDP Sciences] (In the text)
- Kitamura, Y., Momose, M., Yokogawa, S., et al. 2002, ApJ, 581, 357 [NASA ADS] [CrossRef] (In the text)
- Kurucz, R. L. 2005, Mem. Soc. Astron. It. Suppl., 8, 14 (In the text)
- Lahuis, F., van Dishoeck, E. F., Blake, G. A., et al. 2007, ApJ, 665, 492 [NASA ADS] [CrossRef] (In the text)
- Lambert, D. L., & Swings, J. P. 1967, Sol. Phys., 2, 34 [NASA ADS] [CrossRef]
- Laughlin, G., Bodenheimer, P., & Adams, F. C. 2004, ApJ, 612, L73 [NASA ADS] [CrossRef] (In the text)
- Liu, X.-W., Barlow, M. J., Danziger, I. J., & Clegg, R. E. S. 1995, MNRAS, 273, 47 [NASA ADS] (In the text)
- Lommen, D., Wright, C. M., Maddison, S. T., et al. 2007, A&A, 462, 211 [NASA ADS] [CrossRef] [EDP Sciences] (In the text)
- Meijerink, R., Glassgold, A. E., & Najita, J. R. 2008, ApJ, 676, 518 [NASA ADS] [CrossRef] (In the text)
- O'dell, C. R., Wen, Z., & Hu, X. 1993, ApJ, 410, 696 [NASA ADS] [CrossRef]
- Pandey, G., Lambert, D. L., Rao, N. K., et al. 2004, MNRAS, 353, 143 [NASA ADS] [CrossRef] (In the text)
- Pascucci, I., Hollenbach, D., Najita, J., et al. 2007, ApJ, 663, 383 [NASA ADS] [CrossRef] (In the text)
- Qi, C., Wilner, D. J., Calvet, N., et al. 2006, ApJ, 636, L157 [NASA ADS] [CrossRef] (In the text)
- Robitaille, T. P., Whitney, B. A., Indebetouw, R., Wood, K., & Denzmore, P. 2006, ApJS, 167, 256 [NASA ADS] [CrossRef]
- Rodmann, J. 2002, Diploma Thesis, Univ. Potsdam, Germany (In the text)
- Shang, H., Glassgold, A. E., Shu, F. H., & Lizano, S. 2002, ApJ, 564, 853 [NASA ADS] [CrossRef] (In the text)
- Testi, L., & Leurini, S. 2008, New Astron. Rev., 52, 105 [NASA ADS] [CrossRef] (In the text)
- Throop, H. B., & Bally, J. 2005, ApJ, 623, L149 [NASA ADS] [CrossRef] (In the text)
- van Dishoeck, E. F., & Jørgensen, J. K. 2008, Ap&SS, 313, 15 [NASA ADS] [CrossRef]
- Wilner, D. J., Bourke, T. L., Wright, C. M., et al. 2003, ApJ, 596, 597 [NASA ADS] [CrossRef] (In the text)
Footnotes
- ...
proplyds
- Identified as compact ionised gas around low mass stars. These systems often show offset cometary-shaped ionisation fronts indicating photoevaporation.
All Tables
Table 1: Absolute luminosities of C I fine structure and near-infrared lines.
All Figures
![]() |
Figure 1: Left: C I fine structure to NIR collisionally excited line ratios integrated over the volume of the disc as a function of disc outer radius. Right: normalised line fluxes integrated over the volume of the disc as a function of disc size. Note that [C I] 9824.13 Å and 9850.26 Å have a fixed theoretical ratio of 0.34. |
| Open with DEXTER | |
| In the text | |
![]() |
Figure 2: Normalised emissivities of the near-infrared C I forbidden-lines (solid lines) plotted as a function of vertical column density at a radial distance of 1 AU. Electron temperatures are also plotted here with black asterisks. |
| Open with DEXTER | |
| In the text | |
Copyright ESO 2009
Current usage metrics show cumulative count of Article Views (full-text article views including HTML views, PDF and ePub downloads, according to the available data) and Abstracts Views on Vision4Press platform.
Data correspond to usage on the plateform after 2015. The current usage metrics is available 48-96 hours after online publication and is updated daily on week days.
Initial download of the metrics may take a while.
![\begin{figure}
\par\includegraphics[width=8cm,clip]{0776fg1a.eps}\hspace*{3.5mm}
\includegraphics[width=8.10cm,clip]{0776fg1b.eps}
\end{figure}](/articles/aa/full_html/2009/12/aa10776-08/Timg11.gif)
![\begin{figure}
\par\includegraphics[width=8.8cm,clip]{0776fig2.eps}
\end{figure}](/articles/aa/full_html/2009/12/aa10776-08/Timg20.gif)