| Issue |
A&A
Volume 496, Number 3, March IV 2009
|
|
|---|---|---|
| Page(s) | 855 - 861 | |
| Section | The Sun | |
| DOI | https://doi.org/10.1051/0004-6361:200810862 | |
| Published online | 20 January 2009 | |
On solar cycle predictions and reconstructions
R. Brajsa1,
- H. Wöhl2 - A. Hanslmeier3 - G. Verbanac4 - D. Ruzdjak1 - E. Cliver5 - L. Svalgaard6 - M. Roth7
1 - Hvar Observatory, Faculty of Geodesy, University of Zagreb,
Kaciceva 26, 10000 Zagreb, Croatia
2 -
Kiepenheuer-Institut für Sonnenphysik,
Schöneckstr. 6, 79104 Freiburg, Germany
3 -
Institut für Physik, IGAM,
Universität Graz,
Universitätsplatz 5, 8010 Graz, Austria
4 -
Geophysical Institute, Faculty of Science, University
of Zagreb, Horvatovac bb, 10000 Zagreb, Croatia
5 -
Space Vehicles Directorate, Air Force Research Laboratory, Hanscom
Air Force Base, MA, USA
6 -
Stanford University, HEPL, Stanford, CA 94305-4085, USA
7 -
Max-Planck-Institut für Sonnensystemforschung,
Max-Planck-Strasse 2, 37191 Katlenburg-Lindau,
Germany
Received 26 August 2008 / Accepted 16 December 2008
Abstract
Context. Generally, there are two procedures for solar cycle predictions: the empirical methods - statistical methods based on extrapolations and precursor methods - and methods based on dynamo models.
Aims. The goal of the present analysis is to forecast the strength and epochs of the next solar cycle, to investigate proxies for grand solar minima and to reconstruct the relative sunspot number in the Maunder minimum.
Methods. We calculate the asymmetry of the ascending and descending solar cycle phases (Method 1) and use this parameter as a proxy for solar activity on longer time scales. Further, we correlate the relative sunspot numbers in the epochs of solar activity minima and maxima (Method 2) and estimate the parameters of an autoregressive moving average model (ARMA, Method 3). Finally, the power spectrum of data obtained with the Method 1 is analysed and the Methods 1 and 3 are combined.
Results. Signatures of the Maunder, Dalton and Gleissberg minima were found with Method 1. A period of about 70 years, somewhat shorter than the Gleissberg period was identified in the asymmetry data. The maximal smoothed monthly sunspot number during the Maunder minimum was reconstructed and found to be in the range 0-35 (Method 1). The estimated Wolf number (also called the relative sunspot number) of the next solar maximum is in the range 88-102 (Method 2). Method 3 predicts the next solar maximum between 2011 and 2012 and the next solar minimum for 2017. Also, it forecasts the relative sunspot number in the next maximum to be
.
A combination of the Methods 1 and 3 gives for the next solar maximum relative sunspot numbers between 78 and 99.
Conclusions. The asymmetry parameter provided by Method 1 is a good proxy for solar activity in the past, also in the periods for which no relative sunspot numbers are available. Our prediction for the next solar cycle No. 24 is that it will be weaker than the last cycle, No. 23. This prediction is based on various independent methods.
Key words: Sun: activity
1 Introduction
Understanding the solar activity cycle remains a key unsolved problem in solar physics (along with, e.g., heating of the solar corona and solar flares). It is not only an outstanding theoretical problem, but also an important practical issue, since solar activity and the radiation output related to it influences the biosphere, space weather and technology on the Earth (Eddy 1976; Hoyt & Schatten 1997; Feynman & Gabriel 2000; Lang 2000; Soon & Yaskell 2003; Feynman 2007; Hanslmeier 2007).
At present it is still not fully clear whether solar activity is purely stochastic or weakly chaotic (Stix 2002; Ossendrijver 2003; Rüdiger & Hollerbach 2004). A distinction between these two characters (Carbonell et al. 1994; Ossendrijver & Hoyng 1996; Duhau 2003; Charbonneau 2005; Letellier et al. 2006; Usoskin et al. 2007; Yeates et al. 2008) can be important for the interpretation of the long-term modulation of the solar activity (e.g., the Gleissberg cycle with a period of about 100 years, Feynman & Fougere 1984; Feynman & Gabriel 1990; Duhau 2003) and understanding the prolonged periods of extremely low activity, as in the Maunder minimum (e.g., Ruzmaikin 1985; Charbonneau 2005; Hiremath 2006; Volobuev 2006). In this context a very important but difficult task is to predict a possible return of the Maunder-type grand solar minima.
Solar cycle prediction is not an easy task and there exists a variety of methods based on different observational data and theoretical assumptions (Wilson 1994; Beck et al. 1995; Hathaway et al. 1999; Ossendrijver 2003; Schüssler 2007). Currently there are two basic classes of methods for the solar cycle predictions; these are the empirical methods and methods based on dynamo models (e.g., Schüssler 2007). The empirical methods (e.g., Hathaway et al. 1999) can be further devided into two subgroups, the statistical methods based on extrapolation (e.g., Kane 2007b) and precursor methods (e.g., Wilson 1990b). The other class of methods is based on various dynamo models (e.g., Cameron & Schüssler 2007; Choudhuri et al. 2007; Dikpati 2007; Jiang et al. 2007), but can also be combined with some precursor features (e.g. polar magnetic field of the Sun around solar minimum, Svalgaard et al. 2005). Further, various combinations of different methods were proposed (e.g., Hanslmeier et al. 1999; Lantos 2006a,b) and finally, a nonuniform latitude distribution of solar activity and North-South asymmetry were also used for predicting future solar activity (e.g., Javaraiah 2007; Kane 2007a).
We should, however, point out that there are important difficulties in predicting the solar cycle using mean-field dynamo models (Bushby & Tobias 2007; Cameron & Schüssler 2008). These difficulties arise from the significant modulation of the solar activity cycle caused by either stochastic or deterministic processes. Long-term prediction is impossible even if a model used for the prediction would be correct in all details. Moreover, even short-term prediction from mean-field models is problematic because of fundamental uncertainties in the form and amplitude of the transport coefficient and nonlinear response. All this makes the fine tuning of various dynamo models controversial for predicting future solar activity.
Generally, it can be said that for the next solar cycle (No. 24) the empirical methods predict lower amplitudes (Schatten 2005; Svalgaard et al. 2005; Du & Du 2006; Javaraiah 2007; Hiremath 2008) and the methods based on dynamo models higher amplitudes (Dikpati & Gilman 2006; Dikpati et al. 2006, 2008b). However, this distinction is not a strict one, and in both classes of methods opposite examples can be found. So an empirical method based on geomagnetic precursors forecasts a high amplitude for the next solar cycle (Hathaway & Wilson 2006) and a solar dynamo model predicts a low amplitude (Choudhuri et al. 2007; Jiang et al. 2007). Finally, various combined methods predict a low amplitude for the next solar maximum (Schatten 2003; Schatten & Tobiska 2003; Lantos 2006a). In summary, the topic of solar cycle prediction is still inconclusive to a large extent, which represents additional motivation for further research.
In the present study three different empirical methods for solar cycle prediction and reconstruction are used. We calculate the asymmetry of the ascending and descending solar cycle phases (Method 1) and use this parameter as a proxy for solar activity on longer time scales. Further, we correlate the relative sunspot numbers in the epochs of solar activity minima and maxima (Method 2). Finally, we estimate the parameters of an autoregressive moving average model (ARMA, Method 3).
With Method 1 we search for indications of grand solar minima in the past. It also enables the reconstruction of the relative sunspot number in the Maunder minimum. With this method a prediction for the amplitude of the next solar cycle is possible only if the epochs of future minima and maxima can be independently estimated. Method 2 provides a prediction of the amplitude of the next activity maximum on the basis of the relative sunspot number in the preceding minimum. Finally, with Method 3 predictions of the amplitude and epochs of the next solar cycle are possible.
2 The data set
Table 1:
The solar cycle number, the epochs of solar minima and
maxima (
and
,
respectively), the extreme values of
the monthly smoothed relative sunspot numbers in corresponding epochs
(
and
,
respectively) and the asymmetry values
(A, A1, A2, and A3).
Our basic data set consists of
the epochs of solar minima and
maxima,
and
,
respectively,
from the year 1610 up to now. The starting point
was the table published by Gleissberg et al. (1979).
The epochs of solar minima and maxima were determined
by Wolf for the years up to 1889, by Wolfer for the
years up to 1923, by Brunner for the years up to 1944,
and by Waldmeier for later years. We have checked,
slightly corrected and enlarged this data set using
monthly smoothed relative sunspot number beginning from 1750.
This data series can be found at the solar influences data
analysis center (SIDC) of the Royal Observatory of Belgium
(SIDC-team).
The data set used in the present work is reproduced in
Table 1 (we note that the asymmetries, A, A1, A2,
and A3, written in the right-hand part of the table, are
calculated according to Method 1, described in the
next section).
We now briefly discuss the errors in the determination of
the epochs of solar minima and
maxima,
and
.
According to Gleissberg et al.
(1979) these errors are in modern times of the order of 0.2 years
and for the Maunder minimum about three times larger, i.e. slightly
more than half a year.
In agreement with that,
Wolf himself (1893) estimated the errors of
the minimum and maximum epochs in the 17th century to be less than 1 year.
3 The reduction methods
3.1 Method 1: the asymmetry A of the ascending (T) and descending (U) solar cycle phases
The asymmetry of the ascending and the descending solar cycle
phases is determined according to Gleissberg et al. (1979).
Using the time of ascent from the minimum epoch to the
maximum epoch (T) and the time of descent from the maximum
epoch to the next minimum epoch (U) the asymmetry is
calculated with:
![]() |
(1) |
The asymmetry A is positive if the activity maximum occurs in the first half of the cycle and negative if it falls in the second half. The A values were calculated using Eq. (1) for all available data and listed in Table 1.
Further,
various smoothing procedures were applied:
![]() |
(2) |
![]() |
(3) |
as well as the smoothing method of Gleissberg et al. (1979). With this method the moving averages of every four consecutive A values are computed and from this series again the means of every two adjacent values are calculated. In such a way the smoothed values A3were obtained:
![]() |
(4) |
with
![]() |
(5) |
and
![]() |
(6) |
In Eqs. (2)-(6), A(i-1) is the asymmetry of the solar cycle preceding to the cycle iand A(i+1) the asymmetry of the solar cycle following the ith cycle. In a similar way A(i-2) and A(i+2) are also defined.
All these asymmetry values, A, A1, A2, and A3, calculated in the above described way are presented in the right-hand part of Table 1. From the smoothing procedures it is clear that the first and the last entries cannot be calculated for A1 and A2, which holds for the first two and last two entries in the case of A3. ``NaN'' stands for no data available or the value cannot be calculated and the epoch of the actual solar minimum is only an approximation.
3.2 Method 2: the correlation of the relative sunspot numbers in the solar minima R min and maxima R max
This method is based on the assumed linear relationship
between relative sunspot numbers in the minimum
(at the beginning of the activity cycle,
)
and in
maximum epochs (
)
of solar cycles (e.g., Wilson 1990b).
For the correlation,
series of
the extreme values
(measured in minimum and maximum epochs)
of the
monthly smoothed relative sunspot number, beginning from 1750
(Table 1), were used.
This method enables predicting of
on the
basis of the preceding
.
3.3 Method 3: the autoregressive moving average model, ARMA
Especially interesting for forecasting are models where the true state x(t)and its forecasted value
deviate from each other by
which is a Gaussian distributed random variable. That means that
the difference
between true state and the predicted value
does not contain information on the stochastic process that produced the time
series x(t). Such a general process can be described by the equation
![]() |
(7) |
with
and is called an ARMA[p,q] (autoregressive
moving average) process (Brockwell & Davies 1996).
An ARMA process is a superposition of an autoregressive
process (AR[p]) and a moving average process (MA[q]). The parameters pand q are the orders of the process, i.e., they define which time step
values from the past influence the present state. The coefficients ai and
bj define how strong this influence from the past is. The random variables
obey a white noise (Gaussian) probability distribution
with the maximum at 0 and
a variance of
.
We use such an ARMA process to model the
sunspot number.
In the following we describe briefly the procedure for estimating the ARMA
parameters ai and bj and determining the orders p and q from the
time series of sunspot numbers. More details can be found in Durbin &
Koopman (2001) and Gardner et al. (1980). First we use initial estimates from the
Yule-Walker equations, i.e., we assume q=0. Second, the residues from such
an AR[p] fit are used as first guesses for
.
Third, we
minimize
![]() |
(8) |
to obtain better estimates for the parameters ai and bj. We decide on the model orders p and q by increasing the orders until the residues are compatible with white noise, i.e., additional parameters do not add additional information on the process to the model.
Once we obtain the ARMA model on the basis of the last 358 yearly values we use it for forecasting the next 12 yearly values. The yearly values of the relative sunspot number for the period 1650-1699 were taken from Eddy (1976) and since the year 1700 from Waldmeier (1961). We note that the values published by Waldmeier (1961) were reproduced by Hoyt & Schatten (1998, the RZ values in their Appendix 2). The contemporary data are taken from the Solar Influences Data Analysis Center (SIDC) of the Royal Observatory of Belgium (http://sidc.oma.be).
4 Results
4.1 Method 1: the asymmetry A
![]() |
Figure 1: The asymmetry parameter A as a function of the cycle number. The parameters of the linear least-square fit are also given. |
| Open with DEXTER | |
First we analyse the asymmetry parameters as a function of the cycle number, i.e., the time. These dependencies are presented in Figs. 1 and 2 for the asymmetry parameters A and A3, respectively. In Fig. 3 the power spectrum as a function of the inverse cycle number, i.e. time, for the asymmetry data series from Fig. 1 is presented. The Fourier analysis following the method of Deeming (1975) was applied to the asymmetry parameter A as a function of the inverse cycle number. The highest peak in Fig. 3 corresponds to the period of about 70 years, which is slightly shorter than the period of the Gleissberg cycle.
The asymmetry parameter A3, smoothed according to the method of Gleissberg et al. (1979), is presented as a function of the solar cycle number in Fig. 2. The minima in the smoothed curve clearly indicate the Maunder minimum (cycles -9 to -4; 1645-1715), the Dalton minimum (cycles 5 to 7; 1800-1830) and the modern (Gleissberg) minimum (cycles 12 to 14; 1880-1915). So, the asymmetry parameter A3 is a good proxy for grand solar minima.
Concerning the asymmetry data presented in Fig. 2 we should make two comments. (i) The trend of increasing asymmetry with time is consistent with the well-known fact that during the analysed time interval the solar activity also increased on average (e.g., Schatten 2003, Fig. 1; McCracken et al. 2004, Fig. 1c). The Gleissberg and the Schwabe cycles are superimposed on this increasing trend in solar activity. We can understand the increasing trend in the asymmetry in terms of a linear relation between the cycle amplitude and corresponding asymmetry, as will be discussed later in this section. (ii) The minimum of the asymmetry curve related to the Gleissberg minimum occured in cycles 14 to 16, rather than in cycles 12 to 14, when the Gleissberg minimum took place. For this time shift we have no simple explanation, except that there are some indications that the Gleissberg minimum was prolonged for one or two decades (i.e., in the 1920s and 1930s).
![]() |
Figure 2: Similar to Fig. 1, here presented for the smoothed values A3. |
| Open with DEXTER | |
![]() |
Figure 3: The power spectrum as a function of the inverse cycle number for the data series presented in Fig. 1. The highest peak corresponds to the period of about 70 years. |
| Open with DEXTER | |
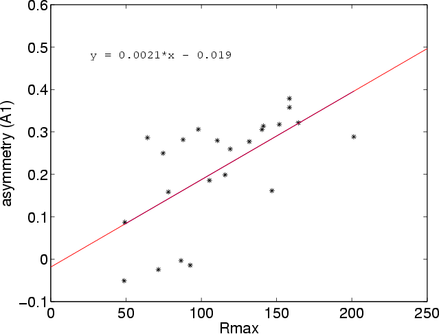
![]() |
Figure 4: The asymmetry parameter A1 as a function of the maximal smoothed monthly relative sunspot number, for all solar cycles with available sunspot number data. The parameters of the linear least-square fit are also given. |
| Open with DEXTER | |
![]() |
Figure 5: Similar to Fig. 4, here presented for the values A3. |
| Open with DEXTER | |
We now consider the four asymmetry parameters as a function of the
highest relative sunspot number,
,
represented by the smoothed
monthly values (Table 1). The correlation coefficients are
0.65, 0.64, 0.57, 0.53, for the values of A, A1, A2, and A3,
respectively.
We now apply the linear least-square fit to these data series of the
general form:
| (9) |
where a and b are the fit parameters. Two examples of these dependencies are presented in Figs. 4 and 5, for the cases
![]() |
(10) |
which enables a reconstruction of the relative sunspot number in the epochs when the asymmetry is known. For the Maunder minimum we get values
4.2 Method 2: the correlation of R min and R max
![]() |
Figure 6: The peak smoothed monthly relative sunspot number as a function of the same quantity in the preceding solar minimum, for all solar cycles with the data available. The parameters of the linear least-square fit are also given. |
| Open with DEXTER | |
In Fig. 6 we present a relationship between
and
for all solar cycles with available data (Table 1). As can be seen in the
figure the solar cycle No. 19 represents a kind of an outlier, outside of the
bulk of data points. The solar activity maximum in 1958 had the highest
value which was preceded by the unusually low minimum.
So, in the further analysis we exclude the data point from the solar cycle
No. 19.
That solar cycle was
a special case, possibly even
an anomaly (Wilson 1990a), not only because of the
extremely low minimum at its beginning, but also due to extreme North-South
asymmetry of the activity, as reported by Temmer et al. (2006).
This pronounced North-South asymmetry might be a signature of a weak
mixed-parity dynamo mode (Sokoloff & Nesme-Ribes 1994). One
mixed-parity solution is related to ordinary Schwabe cycles, while the
other one is relevant for grand minima. It is interesting, however, that
the anomalous behaviour of cycle No. 19 cannot be recognized in
the cycle asymmetry data (Figs. 1 and 2).
Without the data point from solar cycle No. 19 we obtain the
following linear relationship:
| (11) |
with the correlation coefficient of 0.72. Equation (11) enables a prediction of the amplitude of the next solar activity maximum, if the
For comparison, we repeat one of the formulae obtained by Wilson (1990b):
| (12) |
4.3 Method 3: the ARMA model
![]() |
Figure 7: The observed (marked by x symbol and the full line) and predicted (marked by diamond symbol and the dotted line) yearly values of the relative sunspot number using the ARMA method. |
| Open with DEXTER | |
After successful fitting of a model (p=6, q=6) the estimated process is
used to predict the key quantities for the next solar cycle. We estimate on
the basis of the yearly predictions that the next solar activity maximum will
take place between 2011 and 2012, while the minimum thereafter should occur
in 2017. The model predicts the height of the next maximum in the sunspot
number to be
.
The observed yearly values of the
relative sunspot number and the predicted ones, using the ARMA method, are
presented in Fig. 7.
4.4 Combined method 1 (the asymmetry A) and method 3 (the ARMA model)
Finally, we can combine the ARMA method (Method 3) and the
asymmetry method (Method 1) to predict the strength of the
next solar maximum using the hypothesis that the
actual solar minimum occurrs at
.
From the ARMA model
we get
and
(Sect. 4.3.).
Now using Eq. (1) from Sect. 3.1., the asymmetry parameter
can be calculated as A = 0.176. Inserting this value into
Eq. (10) we obtain for
the values 99, 93, 92, and 78,
for the A, A1, A2, and A3 cases, respectively.
5 Summary, discussion and conclusions
Signatures of the Maunder (1645-1715), Dalton (1800-1830) and Gleissberg
(1880-1915) minima
were found with Method 1. A period of about 70 years, somewhat shorter
than the Gleissberg period was identified in the power spectrum of the
asymmetry data as a function of time. The maximal smoothed monthly sunspot
number during the Maunder minimum was reconstructed and
found to be in the range 0-35 (Method 1). The forcasted strength of the
next solar
maximum is in the range 88-102 (Method 2). The ARMA method
(Method 3) predicts the next solar maximum between 2011 and 2012 and the
next solar minimum for 2017. Also, it forecasts the relative sunspot number
in the next maximum to be
.
So, we forecast a relatively weak, but also a relatively short 24th solar
cycle. We stress, however, that the temporal uncertainty in forecasting
and
with ARMA is limited by the fact
that we used here the yearly sunspot number values. In a subsequent
paper we plan to use the monthly values which will improve the
precision of the predicted epochs.
An ARMA process is a linear stationary
stochastic process. The sunspot number is probably the result of a more
complex system. By modelling this system with an ARMA model we assume that
this system is only weakly non-stationary and non-linear. A longer time series
of the sunspot numbers is requested to show whether this assumption is correct. A
combination of Methods 1 and 3 gives for the next solar maximum relative
sunspot numbers between 78 and 99.
Our prediction for the next solar maximum is in the range from
to
,
depending on the chosen method, combination of the methods and
precursor parameters. Many other predictions obtained applying the empirical
or combined methods are within this span (Schatten 2003, 2005;
Kane 2007b), just below our lower limit (Svalgaard et al. 2005; Javaraiah
2007), slightly above our higher limit (Lantos 2006a;
Du & Du 2006; Hiremath 2008), or
significantly above it (Kane 2007a). Our prediction is in qualitative
agreement with a forecast based on a dynamo model (Choudhuri et al. 2007;
Jiang et al. 2007). It is in a qualitative and quantitative disagreement with
predictions based on other dynamo models (Dikpati & Gilman 2006; Dikpati
et al. 2006, 2008b) and with one empirical forecast (Hathaway & Wilson
2006).
Concerning the start of the cycle No. 24, we can now ignore or even reject some earlier predictions which put it in early 2007 (Du 2006; Lantos 2006a). Our prediction that the next maximum should occur between 2011 and 2012 is roughly in agreement with another forecast (Lantos 2006a) obtained with a combined method.
The asymmetry parameter provided by Method 1 is a good proxy for solar activity in the past, also in the periods for which no relative sunspot numbers are available. Our prediction for the next solar cycle No. 24 is that it will be weaker than the last cycle, No. 23. This prediction is based on various independent methods and is consistent with only a small probability that the high level of solar activity during the last 65 years will continue in the next decades (Schatten & Tobiska 2003; Solanki et al. 2004; Usoskin et al. 2007). On the other hand, we should mention the possibility that the commonly used sunspot number series for the last 165 years is not calibrated correctly (Cliver & Svalgaard 2007; Svalgaard & Cliver 2007). In the case that this will prove true, the secular increase of the solar activity in the 20th century would be called into question and our prediction for the next solar maximum would be affected too. However, the times of activity minima and maxima will not change. We plan to include the analysis of the corrected sunspot number series in our future research. Also, the existing long-term series of 10Be and 14C data (e.g., Beer et al. 2006; Vonmoos et al. 2006; Abreu et al. 2008) might be suitable for an application of the empirical methods. It is not surprising that in the 10Be time-series the Maunder, Dalton and Gleissberg grand minima were clearly identified (McCracken et al. 2004) and it would be interesting to see if these data would forecast upcoming grand minima. An analysis of correctly calibrated data sets from these terrestrial proxies could also provide a better insight into whether or not the system is weakly non-stationary and weakly non-linear, as earlier discussed.
Further we can raise the question of whether the cycle asymmetry, as defined by Gleissberg et al. (1979) and applied in the present analysis (Method 1), is at all an important proxy of the solar activity on the larger temporal scale. We propose that it is indeed the case, in spite of some other opinions. For instance, Hathaway et al. (1994) claimed that such an asymmetry is not only not very important, but also that its variation from cycle to cycle is small and not indicative of solar maxima. In the present analysis we present evidence for an opposite conclusion.
A final question is related to the possible physical interpretation (or justification) of the study of the asymmetry parameter. Our analysis of the asymmetry and its proportionality to the cycle strength is obviously related to, but is not the same as the Waldmeier effect. This effect states that stronger cycles have shorter rising times (e.g., Wilson 1990c; Hathaway et al. 2002; Lantos 2006b) and is one of Waldmeier's rules (for a detailed review see e.g. Beck et al. 1995). The Waldmeier effect was found to be a result of (or at least consistent with) various dynamo models, starting with non-linear dynamo waves (Stix 1972), various fluctuations in the mean field dynamo theory (Hoyng 1993; Ossendrijver & Hoyng 1996) up to the more recent fine tuning of the flux transport dynamo models (Cameron & Schüssler 2007). On the other hand, it was even considered that the Waldmeier effect might be an artifact of the definition of the relative sunspot number (Dikpati et al. 2008a), since it is much less pronounced in the sunpot area data sets.
Acknowledgements
This work is sponsored by the Air Force Office of Scientific Research, Air Force Material Command, USAF, under grant number FA8655-07-1-3093. Also, the support from the Austrian-Croatian Bilateral Scientific Project No. 1 is acknowledged. We would like to thank Manfred Schüssler and Jasa Calogovic for helpful comments and discussions, as well as the anonymous referee for many suggestions which have led to an improvement of the paper.
References
- Abreu, J. A., Beer, J., Steinhilber, F., Tobias, S. M., & Weiss, N. O. 2008, Geophys. Res. Lett., 35, L20109 [NASA ADS] [CrossRef] (In the text)
- Beck, R., Hilbrecht, H., Reinsch, K., & Völker, P. 1995, Solar Astronomy Handbook (Richmond: Willmann-Bell) (In the text)
- Beer, J., Vonmoos, M., & Muscheler, R. 2006, Space Sci. Rev., 125, 67 [NASA ADS] [CrossRef] (In the text)
- Brockwell, P. J., & Davis, R. A. 1996, Introduction to Time Series and Forecasting (New York: Springer-Verlag), Sects. 3.3, 8.3 (In the text)
- Bushby, P. J., & Tobias, S. M. 2007, ApJ, 661, 1289 [NASA ADS] [CrossRef] (In the text)
- Cameron, R., & Schüssler, M. 2007, ApJ, 659, 801 [NASA ADS] [CrossRef] (In the text)
- Cameron, R., & Schüssler, M. 2008, ApJ, 685, 1291 [NASA ADS] [CrossRef] (In the text)
- Carbonell, M., Oliver, R., & Ballester, J. L. 1994, A&A, 290, 983 [NASA ADS] (In the text)
- Charbonneau, P. 2005, Sol. Phys., 229, 345 [NASA ADS] [CrossRef] (In the text)
- Choudhuri, A. R., Chatterjee, P., & Jiang, J. 2007, Phys. Rev. Lett., 98, 131103 [NASA ADS] [CrossRef] (In the text)
- Cliver, E. W., & Svalgaard, L. 2007, AGU Fall Meeting, abstract # SH13A-1109 (In the text)
- Deeming, T. J. 1975, Ap&SS, 36, 137 [NASA ADS] [CrossRef] (In the text)
- Dikpati, M. 2007, Astron. Nachr., 328, 1092 [NASA ADS] [CrossRef] (In the text)
- Dikpati, M., & Gilman, P. A. 2006, ApJ, 649, 498 [NASA ADS] [CrossRef] (In the text)
- Dikpati, M., de Toma, G., & Gilman, P. A. 2006, Geophys. Res. Lett., 33, L05102 [CrossRef] (In the text)
- Dikpati, M., Gilman, P. A., & de Toma, G. 2008a, ApJ, 673, L99 [NASA ADS] [CrossRef] (In the text)
- Dikpati, M., de Toma, G., & Gilman, P. A. 2008b, ApJ., 675, 920 [NASA ADS] [CrossRef] (In the text)
- Du, Z. L. 2006, A&A, 457, 309 [NASA ADS] [CrossRef] [EDP Sciences] (In the text)
- Du, Z., & Du, S. 2006, Sol. Phys., 238, 431 [NASA ADS] [CrossRef]
- Duhau, S. 2003, Sol. Phys., 213, 203 [NASA ADS] [CrossRef] (In the text)
- Durbin, J., & Koopman, S. J. 2001, Time Series Analysis by State Space Methods (Oxford University Press) (In the text)
- Eddy, J. A. 1976, Science, 192, 1189 [NASA ADS] [CrossRef] (In the text)
- Feynman, J. 2007, Adv. Space Res., 40, 1173 [NASA ADS] [CrossRef] (In the text)
- Feynman, J., & Fougere, P. F. 1984, JGR, 89, 3023 [NASA ADS] [CrossRef] (In the text)
- Feynman, J., & Gabriel, S. B. 1990, Sol. Phys., 127, 393 [NASA ADS] [CrossRef] (In the text)
- Feynman, J., & Gabriel, S. B. 2000, JGR, 105, 10543 [NASA ADS] [CrossRef] (In the text)
- Gardner, G., Harvey, A. C., & Phillips, G. D. A. 1980, Applied Statistics, 29, 311 [CrossRef] (In the text)
- Gleissberg, W., Damboldt, T., & Schove, D. J. 1979, JBAA, 89, 440 [NASA ADS] (In the text)
- Hanslmeier, A. 2007, The Sun and the Space Weather, 2n [NASA ADS]d Ed. (Dordrecht: Springer-Verlag) (In the text)
- Hanslmeier, A., Denkmayr, K., & Weiss, P. 1999, Sol. Phys., 184, 213 [NASA ADS] [CrossRef] (In the text)
- Hathaway, D. H., & Wilson, R. M. 2006, Geophys. Res. Lett., 33, L18101 [NASA ADS] [CrossRef] (In the text)
- Hathaway, D. H., Wilson, R. M., & Reichmann, E. J. 1994, Sol. Phys., 151, 177 [NASA ADS] [CrossRef] (In the text)
- Hathaway, D. H., Wilson, R. M., & Reichmann, E. J. 1999, JGR, 104, 22375 [NASA ADS] [CrossRef] (In the text)
- Hathaway, D. H., Wilson, R. M., & Reichmann, E. J. 2002, Sol. Phys., 211, 357 [NASA ADS] [CrossRef] (In the text)
- Hiremath, K. M. 2006, A&A, 452, 591 [NASA ADS] [CrossRef] [EDP Sciences] (In the text)
- Hiremath, K. M. 2008, Ap&SS, 314, 45 [NASA ADS] [CrossRef] (In the text)
- Hoyng, P. 1993, A&A, 272, 321 [NASA ADS] (In the text)
- Hoyt, D. V., & Schatten, K. H. 1997, The Role of the Sun in Climate Change (Oxford University Press) (In the text)
- Hoyt, D. V., & Schatten, K. H. 1998, Sol. Phys., 179, 189 [NASA ADS] [CrossRef] (In the text)
- Javaraiah, J. 2007, MNRAS, 377, L34 [NASA ADS] (In the text)
- Jiang, J., Chatterjee, P., & Choudhuri, A. R. 2007, MNRAS, 381, 1527 [NASA ADS] [CrossRef] (In the text)
- Kane, R. P. 2007a, Sol. Phys., 246, 471 [NASA ADS] [CrossRef] (In the text)
- Kane, R. P. 2007b, Sol. Phys., 246, 487 [NASA ADS] [CrossRef] (In the text)
- Lang, K. R. 2000, The Sun from Space (Berlin: Springer-Verlag) (In the text)
- Lantos, P. 2006a, Sol. Phys., 236, 199 [NASA ADS] [CrossRef] (In the text)
- Lantos, P. 2006b, Sol. Phys., 236, 399 [NASA ADS] [CrossRef] (In the text)
- Letellier, C., Aguirre, L. A., Maquet, J., & Gilmore, R. 2006, A&A, 449, 379 [NASA ADS] [CrossRef] [EDP Sciences] (In the text)
- McCracken, K. G., McDonald, F. B., Beer, J., Raisbeck, G., & Yiou, F. 2004, JGR, 109, A12103 [NASA ADS] [CrossRef] (In the text)
- Ossendrijver, M. 2003, A&ARv, 11, 287 [NASA ADS] (In the text)
- Ossendrijver, A. J. H., & Hoyng, M. 1996, A&A, 313, 959 [NASA ADS] (In the text)
- Rüdiger, G., & Hollerbach, R. 2004, The Magnetic Universe (Weinheim: Wiley-VCH)
- Ruzmaikin, A. A. 1985, Sol. Phys., 100, 125 [NASA ADS] [CrossRef] (In the text)
- Schatten, K. H. 2003, Adv. Space Res., 32, 451 [NASA ADS] [CrossRef] (In the text)
- Schatten, K. H. 2005, Geophys. Res. Lett., 32, L21106 [NASA ADS] [CrossRef] (In the text)
- Schatten, K. H., & Tobiska, W. K. 2003, BAAS, 35, 817 [NASA ADS] (In the text)
- Schüssler, M. 2007, Astron. Nachr., 328, 1087 [NASA ADS] [CrossRef]
- SIDC-team, World Data Center for the Sunspot Index, Royal Observatory of Belgium, Monthly Report on the International Sunspot Number, online catalogue of the sunspot index: http://www.sidc.be/sunspot-data/, 1750-2008
- Sokoloff, D., & Nesme-Ribes, E. 1994, A&A, 288, 293 [NASA ADS]
- Solanki, S. K., Usoskin, I. G., Kromer, B., Schüssler, M., & Beer, J. 2004, Nature, 431, 1084 [NASA ADS] [CrossRef] (In the text)
- Soon, W. W.-H., & Yaskell, S. H. 2003, The Maunder Minimum and the Variable Sun-Earth Connection (Singapore: World Scientific Publ. Co.) (In the text)
- Stix, M. 1972, A&A, 20, 9 [NASA ADS] (In the text)
- Stix, M. 2002, The Sun, 2nd Ed. (Berlin: Springer-Verlag) (In the text)
- Svalgaard, L., & Cliver, E. W. 2007, AGU Spring Meeting, abstract # SH54B-02 (In the text)
- Svalgaard, L., Cliver, E. W., & Kamide, Y. 2005, Geophys. Res. Lett., 32, L01104 [CrossRef] (In the text)
- Temmer, M., Rybak, J., Bendik, P., et al. 2006, A&A, 447, 735 [NASA ADS] [CrossRef] [EDP Sciences] (In the text)
- Usoskin, I. G., Solanki, S. K., & Kovaltsov, G. A. 2007, A&A, 471, 301 [NASA ADS] [CrossRef] [EDP Sciences] (In the text)
- Volobuev, D. 2006, Sol. Phys., 238, 421 [NASA ADS] [CrossRef] (In the text)
- Vonmoos, M., Beer, J., & Muscheler, R. 2006, JGR, 111, A10105 [NASA ADS] [CrossRef] (In the text)
- Waldmeier, M. 1961, The Sunspot-Activity in the Years 1610-1960 [NASA ADS] (Zurich: Schulthess, & Co.), 20 (In the text)
- Wilson, P. R. 1994, Solar and Stellar Activity Cycles (Cambridge Univ. Press) (In the text)
- Wilson, R. M. 1990a, Sol. Phys., 125, 133 [NASA ADS] [CrossRef] (In the text)
- Wilson, R. M. 1990b, Sol. Phys., 125, 143 [NASA ADS] [CrossRef] (In the text)
- Wilson, R. M. 1990c, Sol. Phys., 127, 199 [NASA ADS] [CrossRef] (In the text)
- Wolf, R. 1893, Handbuch der Astronomie (Zurich: Schulthess, & Co.), Vol. 4, Ch. XX, 404
- Yeates, A. R., Nandy, D., & Mackay, D. H. 2008, ApJ, 673, 544 [NASA ADS] [CrossRef] (In the text)
Footnotes
- ...
- Alexander von Humboldt Research Fellow.
All Tables
Table 1:
The solar cycle number, the epochs of solar minima and
maxima (
and
,
respectively), the extreme values of
the monthly smoothed relative sunspot numbers in corresponding epochs
(
and
,
respectively) and the asymmetry values
(A, A1, A2, and A3).
All Figures
![]() |
Figure 1: The asymmetry parameter A as a function of the cycle number. The parameters of the linear least-square fit are also given. |
| Open with DEXTER | |
| In the text | |
![]() |
Figure 2: Similar to Fig. 1, here presented for the smoothed values A3. |
| Open with DEXTER | |
| In the text | |
![]() |
Figure 3: The power spectrum as a function of the inverse cycle number for the data series presented in Fig. 1. The highest peak corresponds to the period of about 70 years. |
| Open with DEXTER | |
| In the text | |
![]() |
Figure 4: The asymmetry parameter A1 as a function of the maximal smoothed monthly relative sunspot number, for all solar cycles with available sunspot number data. The parameters of the linear least-square fit are also given. |
| Open with DEXTER | |
| In the text | |
![]() |
Figure 5: Similar to Fig. 4, here presented for the values A3. |
| Open with DEXTER | |
| In the text | |
![]() |
Figure 6: The peak smoothed monthly relative sunspot number as a function of the same quantity in the preceding solar minimum, for all solar cycles with the data available. The parameters of the linear least-square fit are also given. |
| Open with DEXTER | |
| In the text | |
![]() |
Figure 7: The observed (marked by x symbol and the full line) and predicted (marked by diamond symbol and the dotted line) yearly values of the relative sunspot number using the ARMA method. |
| Open with DEXTER | |
| In the text | |
Copyright ESO 2009
Current usage metrics show cumulative count of Article Views (full-text article views including HTML views, PDF and ePub downloads, according to the available data) and Abstracts Views on Vision4Press platform.
Data correspond to usage on the plateform after 2015. The current usage metrics is available 48-96 hours after online publication and is updated daily on week days.
Initial download of the metrics may take a while.







![\begin{displaymath}\sum_t (\epsilon(t))^2 = \sum_t \Big( x(t) - \Big[\sum_i a_i x(t-i) +
\sum_j b_j \epsilon(t-j)\Big] \Big)^2
\end{displaymath}](/articles/aa/full_html/2009/12/aa10862-08/img20.gif)
![\begin{figure}
\par\includegraphics[width = 9 cm]{0862fig1.eps}
\end{figure}](/articles/aa/full_html/2009/12/aa10862-08/Timg21.gif)
![\begin{figure}
\par\includegraphics[width = 9 cm]{0862fig2.eps}
\end{figure}](/articles/aa/full_html/2009/12/aa10862-08/Timg22.gif)
![\begin{figure}
\par\includegraphics[width = 9 cm]{0862fig3.eps}
\end{figure}](/articles/aa/full_html/2009/12/aa10862-08/Timg23.gif)
![\begin{figure}
\par\includegraphics[width = 9 cm]{0862fig4.eps} \end{figure}](/articles/aa/full_html/2009/12/aa10862-08/Timg24.gif)
![\begin{figure}
\par\includegraphics[width = 9 cm]{0862fig5.eps}
\end{figure}](/articles/aa/full_html/2009/12/aa10862-08/Timg25.gif)

![\begin{figure}
\par\includegraphics[width = 9 cm]{0862fig6.eps}
\end{figure}](/articles/aa/full_html/2009/12/aa10862-08/Timg33.gif)
![\begin{figure}
\par\includegraphics[width = 9 cm]{0862fig7.eps}
\end{figure}](/articles/aa/full_html/2009/12/aa10862-08/Timg36.gif)