| Issue |
A&A
Volume 496, Number 3, March IV 2009
|
|
|---|---|---|
| Page(s) | 695 - 699 | |
| Section | Galactic structure, stellar clusters, and populations | |
| DOI | https://doi.org/10.1051/0004-6361:200811075 | |
| Published online | 14 January 2009 | |
The warped young stellar disc in the Galactic centre
L. Subr1,2,3 - J. Schovancová1 - P. Kroupa3
1 - Faculty of Mathematics and Physics, Charles University,
V Holesovickách 2, 18000 Praha, Czech Republic
2 -
Astronomical Institute, Academy of Sciences, Bocní II, 14131 Praha,
Czech Republic
3 -
Argelander Institute for Astronomy (AIfA), Auf dem Hügel 71, 53121 Bonn,
Germany
Received 2 October 2008 / Accepted 25 November 2008
Abstract
Aims. Within the central parsec of the Galaxy, several dozen young stars orbiting a central supermassive black hole are observed. A subset of these stars forms a coherently rotating disc. Other observations reveal a massive molecular torus that lies at a radius
1.5 pc from the centre. In this paper we consider the gravitational influence of the molecular torus upon the stars of the stellar disc.
Methods. We derive an analytical formula for the rate of precession of individual stellar orbits and we show that it is highly sensitive to the orbital semi-major axis and inclination with respect to the plane of the torus, as well as to the mass of the torus.
Results. Assuming that both the stellar disc and the molecular torus are stable on the timescale
6 Myr, we constrain the mass of the torus and its inclination with respect to the young stellar disc. We further suggest that all young stars observed in the Galactic centre may have a common origin in a single coherently rotating structure with an opening angle
,
which was partially destroyed (warped) during its lifetime by the gravitational influence of the molecular torus.
Key words: stellar dynamics - Galaxy: nucleus
1 Introduction
Near infrared observations of the central parsec of the Galaxy that were made over the past decade have brought new views of the environment in the vicinity to a supermassive black hole. They revealed a numerous population of young massive stars that may be distributed into at least two different groups. Within a distance
Farther away, at
,
nearly
one hundred young stars have been detected (see Paumard et al. 2006, for
one of the most recent reviews). These stars are mainly classified as post-main sequence OB supergiants and Wolf-Rayet stars. According to the
evolutionary phase, their age is estimated to be
.
Levin & Beloborodov (2003) point out that
a substantial fraction of these stars form a coherently rotating disc (usually
referred to as a clockwise stellar disc or CWS).
It is a flaring disc with an opening angle
with a rather
sharp inner edge at
,
and it extends up to radius of
.
The radial column density profile of the CWS decreases approximately
as r-2; i.e., most of the stars are concentrated at the inner edge.
The mean plane of the disc can be determined by two angles: inclination
with respect to the plane of the sky and longitude
of the ascending node
(measured from the
north; see Paumard et al. 2006, for a detailed description of the
convention). Levin & Beloborodov (2003) suggest that this disc-like pattern
is a consequence of a stellar formation in a self-gravitating accretion disc.
Further analyses (Genzel et al. 2003; Paumard et al. 2006) indicate the
presence of another coherent stellar system that is usually referred to as
the counter-clockwise stellar disc (CCWS). This structure is
assumed to be formed by fewer (
15) stars. It is narrower in the
radial extent since concentrated around
,
and it has a larger
opening angle
.
The existence of the CCWS disc is a matter
of ongoing debate (e.g. Lu et al. 2007); nevertheless, even if it is
accepted as an explanation
of the origin of another subset of young stars in the Galactic centre,
more than twenty stars not belonging to any of the two stellar discs would
still remain without a satisfactory explanation of their origin.
The gravitational potential in the considered region is dominated by the
supermassive black hole of mass
(Ghez et al. 2002). It is surrounded by a roughly spherical cluster of late-type stars.
The radial density profile is well-fitted with a broken powerlaw
with index
below
and
above the break radius
(Schödel et al. 2007).
Its mass
within
is comparable to the mass of the
black hole.
The central region is surrounded by a molecular torus
(circum-nuclear disc; CND),
which lies at the outer edge of the black hole's sphere of influence
(
). Its mass estimated from the radio observations of
ionised molecular gas is
(Christopher et al. 2005).
This massive structure defines a non-spherical component of the gravitational
field in the central parsec.
In this paper we investigate the influence of the CND upon the dynamical evolution of the disc-like stellar structures. In the subsequent section we briefly review the dynamics in the perturbed Keplerian potential. In Sect. 3 we apply the results on the motion of the stellar discs - we present constraints on some parameters of the CND and the CWS determined from their gravitational interaction and we also give suggestions on the dynamics of the whole system of young stars over its lifetime. Conclusions and discussion of our results are given in Sect. 4.
2 Dynamics in the perturbed Keplerian potential
For the purpose of this study we introduce a simple
model of the Galactic centre, which consists of three main constituents
determining the gravitational field: (i) the central supermassive black hole
of mass
,
which is treated as a source of the Keplerian
potential; (ii) the massive molecular torus modelled as an infinitesimally thin
ring of radius
and mass
;
and (iii) a spherical stellar cusp with
a power-law density profile
and mass
within the radius
.
Both the ring and the cusp are centred on the black hole.
The stars are treated as test particles whose motions are determined by
the composed smooth external potential. Their orbits can be represented
by five orbital elements: the semi-major axis a, eccentricity e,
inclination i, argument of pericentre
,
and longitude of the
ascending node
.
Here we assume the angles to be measured
in the frame in which the ring lies in the x-y plane. For convenience,
the results presented in the subsequent section will be transformed into
coordinates with
-
representing the plane of the sky
and
pointing from the observer. The inclination and longitude of
the ascending node in this observer's coordinate
system will be denoted
and
,
respectively.
If the gravity of the spherical cusp were ignored, the dynamics in the
field of the central body and the ring would be equivalent to the reduced
hierarchical three-body problem. In this case, the orbital elements
,
and
undergo secular evolution (Kozai 1962;
Lidov 1962) on a timescale of
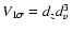
The equations of motion for mean orbital elements read
The temporal evolution does not depend upon the angle
Including the gravity of the spherical cusp leads to an additional shift in
the pericentre, which can be incorporated by an extra term in
Eq. (4),
dependent upon the global parameters of the cusp and the semi-major axis
and eccentricity of the orbit (Ivanov et al. 2005). The overall influence
of the cusp can be characterised by a decrease in the amplitude of the
oscillations of eccentricity and inclination and shortening of their period
(Karas & Subr 2007). This is also clearly seen in
Fig. 1, which shows the evolution of an example orbit
in the cases both with and without the potential of the spherical cusp.
On the other hand, a generic influence of the cusp upon the evolution of
lies in diminishing the variations of its first time derivative;
the characteristic timescale of the change of
generally becomes
much longer than that of the mutually coupled elements
and
.
![]() |
Figure 1:
Evolution of orbital elements of two example orbits. The solid line
represents a trajectory in the gravitational field of the central mass
|
| Open with DEXTER | |
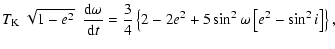
Within the context of this paper we are interested in a system where
.
In this case the amplitude of the oscillations
of eccentricity and inclination can be considered negligible, and
rotates with much higher frequency than
.
This configuration allows us
to simplify Eq. (5) by averaging over one revolution of
:
The change of
According to the underlying perturbation theory, Eqs. (1)-(7) refer to the elements averaged over one orbital period, which cannot be easily mapped to the osculating elements defined by instant positions and velocities. We performed numerical tests of the error introduced by replacing averaged elements by the osculating ones in formula (6). For
The real source of the perturbing potential, CND, is a rather clumpy torus of
a finite thickness. Hence, we performed several numerical integrations
of a test particle orbit in a gravitational field of a central mass, spherical
cusp, and a set of
10 discrete point masses with orbits confined in a
torus of a toroidal and poloidal radii
and
,
respectively. The difference in the orbital evolution with respect to that in
the case of a ring-like perturbation was found to be negligible for orbits
with
.
3 Consequences of differential precession
3.1 Constraints on the CND
Let us now consider an ensemble of stars forming a thin disc, i.e. with
inclinations and longitudes of ascending nodes lying in a narrow interval.
Let us further assume that the stellar orbits evolve solely due to the
external gravitational potential determined by fixed parameters
and
.
The key
feature of the orbital evolution will be precession around the symmetry
axis of the ring-like component of the gravitational field.
If the semi-major axes of stars at the inner edge of the disc
are smaller than those at the outer edge by a factor of
5, the
two edges of the disc will precess at a rate that differs by a factor
10. After a certain period of time, their angular momenta
will point to completely different directions, i.e. the disc-like structure
will be destroyed. Hence, the requirement of the stability of the disc
over a given period of time transforms into the requirement of a sufficiently
slow precession at its outer edge.
Let us consider the subset of the young stars in the Galactic centre that
form the clockwise stellar disc (CWS).
Inserting values
,
and e=0 into Eq. (7), we obtain
To be compatible with observations,
To conclude this analysis, we note that
is in accord with estimates of the normal vectors
of the plane of the disc and torus
(
,
Paumard et al. 2006;
,
Jackson et al. 1993).
3.2 A common origin of young stars in the Galactic centre?
Formula (8) indicates that orbits of stars at radii
and/or inclinations
or
were considerably affected by precession within the past
,
i.e. their current orbital parameters are different from their values
at the time of the birth. We suggest a possibility that stars that are not
considered to be members of the CWS nowadays have been its members at the
time of its formation. During the
of the dynamical
evolution, their orbits were subject to precession due to the gravity of the
CND and were detached from their parent stellar system. This model could
represent a possible solution of the problem of the origin of all young stars
in the Galactic centre.
The mapping between the initial and the current orientations of the stellar
orbit is formally straightforward within our simple model. Unfortunately,
the observational data do not provide us with accurate enough values of
the parameters
and
.
Furthermore, the high sensitivity of the precession rate upon the
inclination and semi-major axis, together with a lack of robust determination
of these orbital elements from the observational data, also stand as a severe
obstacle to any attempt to track the orbits of the observed stars back in time,
which could prove or discard the hypothesis of a common origin. In the rest
of this section we describe a test that shows that our model is compatible
with the publicly available observational data.
We took data from Table 2 of
Paumard et al. (2006) from which we considered all stars with determined
3D velocity and index
15 (i.e. excluding the S-stars), which gives
in total
stars. Five free parameters of the model consist of the
two angles,
,
determining the initial
orientation,
,
of the stellar disc. Another two angles,
,
determine
the orientation of the CND, and
represents its mass. (The last
parameter can be considered as a degenerate combination
of
and
;
in the following, we will implicitly
assume
and
.) For a given
set of parameters we scan the
neighbourhood of each star's velocity
with sampling dv. The
and
coordinates
of the stars' positions are assumed to be determined exactly. On the other
hand, the
coordinate (along the line of sight) is unknown.
Therefore, we scan it with sampling dz in the full range allowed by
the condition that the star is gravitationally bound to the black hole.
In total, we consider
pairs of position and velocity
vectors, which represent states compatible with the observational data of a
particular star. For each state we perform a rotation of the normal vector of
the orbit around the axis of the CND according to formula (7), which
gives its direction,
at t=0, i.e.
ago. We
then calculate its angular distance to
,
and count the number of states, Nj,5, with
.
We consider the measured star's position and velocity
to be compatible with the hypothesis that it was born in the disc with normal
vector
and thickness
,
provided Nj,5>0. Finally,
we denote
as the number of stars with Nj,5>0 for
a given set of values of the parameters of the model.
![]() |
Figure 2:
Various tests of the compatibility of the hypothesis of a common
origin of young stars in a single thin disc. N5: number of stars that have
at least one state in the |
| Open with DEXTER | |
As we discussed in Sect. 3.1, the inner part of the
CWS must have only undergone negligible precession due to the gravity
of the CND. Therefore, we assume that it conserves orientation of the putative
single parent disc and we consider
,
which is the normal vector of the inner part
of the CWS according to Beloborodov et al. (2006). We then set
,
which enables us to plot N5 as a function of
and
as shown in Fig. 2. We
see that an extended region exists where the observational data of
nearly all stars are compatible with the hypothesis of their origin in a
parent disc of thickness
.
This region of high values of N5 extends along the set of
perpendicular to the
normal vector
.
This is a natural consequence
of the assumption that
35 stars, identified as CWS nowadays, have not
undergone large precession. The region of good compatibility also includes
an approximate orientation of the CND as determined from observations,
,
e.g. by Jackson et al. (1993).
We performed an
analogical test of compatibility also for
and
and
neighbourhood of
.
In all cases we have obtained a picture similar in that
there exists an extended region with
.
Enlarging the inspected
neighbourhood of the observed velocities to
leads to higher values
of N5 with its maximum reaching 72. This means that the observational data
are compatible with the hypothesis of the common origin of the young stars in
a single thin disc; nevertheless, they do not pose strong constraints on the
parameters of the model. We introduce three supplementary tests
that may be applied to the observational data to verify validity of our
hypothesis. First, the model of star formation is assumed to prefer low
eccentricities of the stellar orbits. Hence, we introduce Ne,5 in the
same way as N5, but now with an additional condition e<0.5 for all tested
orbits. The middle panel of Fig. 2 shows that region with large
Ne,5 coincides with the region of large N5. The maximum value of
Ne,5 is
55; i.e. the model requires about one third of the stellar
orbits to have moderate to high eccentricities. Again, considering the
neighbourhood of the measured velocity vectors weakens
this constraint, giving
for a wide range of the model
parameters. Additional
analysis reveals that most of the eccentric orbits do not belong to the
CWS subset of stars.
A ratio
can be
considered as a measure of the
probability that the orbit of star j originated in a disc with opening
angle
and normal vector
.
Consequently,
we introduce
as a measure of the probability that all stars originated in a thin disc. (Adding a unity to Nj,5 in (9) prevents
Following Beloborodov et al. (2006), the configurations compatible with
the hypothesis of a single warped disc are expected to have equally distributed
value of the mean anomaly, M, of the individual orbits. A full test of the
distribution of the mean anomaly of all configurations that have fulfiled
other criteria of compatibility is not possible as it would require analysis
of
combinations of orbits.
(Other tests presented here require analysis of only
individual orbits.) In the bottom panel of Fig. 2
we present a restricted test showing the mean value of the mean anomaly,
,
for all tested orbits with
.
This quantity is close to
,
which corresponds to the expected uniform
distribution in the major part of the
space.
The analogical plot would show that
is close to
the expected value
in the regions of a high value of
N5 and
.
This indicates that our hypothesis does not require
some preferred value of M and, therefore, some of the configurations with
high N5 are also compatible with the assumption of random distribution
of the orbital phases.
4 Conclusions
The massive molecular torus (CND) surrounding the central parsec of the
Galactic centre causes precession of the orbits of young stars that move at
distances
around the
supermassive black hole. The rate of the precession depends on the orbital
parameters, as well as on the orientation and mass of the CND.
This rate is comparable to the lifetime of the young stars for a wide range of
parameters and, therefore, this process should be taken into
consideration in attempts to determine the relation between initial and current
values of their orbital parameters. We have shown that
would destroy any coherently rotating disc-like stellar structure within
,
provided the inclination of most of the orbits with respect
to the CND deviates by more than
from
.
In other words, the
stability of the stellar disc within its lifetime poses constraints on its
inclination with respect to the CND and on the mass of the CND.
We further suggest that most, if not all, young stars observed in the
Galactic centre may have been formed in a single, initially coherently rotating
structure, presumably via fragmentation of a thin self-gravitating gaseous disc.
Within this hypothesis, the orientation of the stellar disc was nearly exactly
perpendicular with respect to the CND. Its core, represented by the CWS
nowadays, remained nearly untouched by the precession. On the other hand, stars
that were formed at the outer parts of the disc and/or slightly off its mean
plane, or that were scattered out of it via two-body encounters,
have undergone a more rapid precession of their
orbits; i.e., they apparently no longer belong to the stellar disc.
We have shown that within the
uncertainty of their current velocities,
parameters of the stellar orbits exist that would have had their
angular momenta collinear about
ago. Due to the high
sensitivity of the precession upon the orbit inclination with respect to the
CND and the uncertainty in the observed parameters of the stellar orbits, the
procedure described in the previous section cannot provide robust constraints
on the parameters of the model. Therefore, the concept of a single warped disc
of young stars in the Galactic centre may be considered as viable, but
not proven yet. Our hypothesis, however,gives an explicit prediction of
a specific pattern of the normal vectors of the stellar orbits, which may be
determined from future, more accurate observations: all of them are assumed
to be found close to the circumference perpendicular to the normal vector
of the CND.
Let us emphasise that the gravitational influence of the CND leaves stronger imprints on the dynamics of stars more distant from the centre; hence, we suggest that these stars deserve further attention from the observational point of view. Improved measurements of their kinematical state may bring new light on the question of the formation and dynamical evolution of the population of the young stars in the Galactic centre. Besides a generic demand for better constraints on orbital parameters from the observational side, there is also room for improvement for the model itself. Its most important (and computationally rather expensive) modification will probably lie in an improved treatment of the evolution of the individual orbits, which would take gravity of the stellar disc itself into account.
As a final remark, let us note that the strict constraints on the mutual (perpendicular) orientation of the stellar disc and the CND raises a question about the dynamics of gas from which the young stars were formed. It is likely that the parent gaseous disc had to be nearly perpendicular to the CND, so that it would not be destroyed via differential precession before it gave birth to the numerous stellar population. Such an initial orientation is statistically not very probable, raising the question whether it can be a generic result of dissipative (hydro)dynamics in the resonant external potential.
Acknowledgements
We thank an anonymous referee for helpful comments. L.S. gratefully appreciates a fellowship from the Alexander von Humboldt Foundation and the hospitality of the host institute (AIfA). This work was also supported by the DFG Priority Program 1177, the Research Program MSM0021620860 of the Czech Ministry of Education, and the Czech Science Foundation (Ref. 205/07/0052). J.S. is grateful for utilisation of the Grid infrastructure of the Enabling Grids for E-sciencE (EGEE II) project, a project co-funded by the European Commission under contract number INFSO-RI-031688.
References
- Alexander R. D., Begelman M. C., & Armitage P. J. 2007, ApJ, 654, 907 [NASA ADS] [CrossRef]
- Beloborovov A. M., Levin Y., Eisenhauer F. et al. 2006, ApJ, 648, 405 [NASA ADS] [CrossRef] (In the text)
- Christopher M. H., Scoville N. Z., Stolovy S. R., & Yun M. S. 2005, ApJ, 622, 346 [NASA ADS] [CrossRef] (In the text)
- Eisenhauer F., Genzel R., Alexander T., et al. 2005, ApJ, 628, 246 [NASA ADS] [CrossRef] (In the text)
- Genzel R., Schödel R., Ott T., et al. 2003, ApJ, 594, 812 [NASA ADS] [CrossRef] (In the text)
- Ghez A. M., Duchène G., Matthews K., et al. 2003, ApJ, 586, L127 [NASA ADS] [CrossRef] (In the text)
- Ivanov P. B., Polnarev A. G., & Saha P. 2005, MNRAS, 358, 1361 [NASA ADS] [CrossRef] (In the text)
- Jackson J. M., Geis N., Genzel R., et al. 1993, ApJ, 402, 173 [NASA ADS] [CrossRef]
- Karas V., & Subr L., 2007, A&A, 470, 11 [NASA ADS] [CrossRef] [EDP Sciences] (In the text)
- Kozai Y. 1962, AJ, 67, 591 [NASA ADS] [CrossRef] (In the text)
- Levin Y., & Beloborodov A. M. 2003, ApJ, 590, L33 [NASA ADS] [CrossRef] (In the text)
- Lidov M. L. 1962, Planetary and Space Sci., 9, 719 [NASA ADS] [CrossRef] (In the text)
- Lu J. R., Ghez A. M., Hornstein S. D., et al. 2007, A&AS, 211, 3305 (In the text)
- Paumard T., Genzel R., Martins F., et al. 2006, ApJ, 643, 1011 [NASA ADS] [CrossRef] (In the text)
- Schödel R., Eckart A., Alexander T., et al. 2007, A&A, 469, 125 [NASA ADS] [CrossRef] [EDP Sciences] (In the text)
Footnotes
- ... vectors
- We
follow the convention of Paumard et al. (2006), according to which angles
and
are related to the normal vector of the orbital
plane as:
.
All Figures
![]() |
Figure 1:
Evolution of orbital elements of two example orbits. The solid line
represents a trajectory in the gravitational field of the central mass
|
| Open with DEXTER | |
| In the text | |
![]() |
Figure 2:
Various tests of the compatibility of the hypothesis of a common
origin of young stars in a single thin disc. N5: number of stars that have
at least one state in the |
| Open with DEXTER | |
| In the text | |
Copyright ESO 2009
Current usage metrics show cumulative count of Article Views (full-text article views including HTML views, PDF and ePub downloads, according to the available data) and Abstracts Views on Vision4Press platform.
Data correspond to usage on the plateform after 2015. The current usage metrics is available 48-96 hours after online publication and is updated daily on week days.
Initial download of the metrics may take a while.

![\begin{figure}
\par\includegraphics[width=9cm,clip]{1075fig1.eps}\end{figure}](/articles/aa/full_html/2009/12/aa11075-08/Timg57.gif)





![\begin{figure}
\includegraphics[width=18cm]{1075fig2_cmyk.eps}\end{figure}](/articles/aa/full_html/2009/12/aa11075-08/Timg104.gif)
