| Issue |
A&A
Volume 496, Number 3, March IV 2009
|
|
|---|---|---|
| Page(s) | 619 - 635 | |
| Section | Cosmology (including clusters of galaxies) | |
| DOI | https://doi.org/10.1051/0004-6361/200811100 | |
| Published online | 09 February 2009 | |
Time-dependent corrections to the Ly
escape probability
during cosmological recombination
J. Chluba1 - R. A. Sunyaev1,2
1 - Max-Planck-Institut für Astrophysik, Karl-Schwarzschild-Str. 1, 85741 Garching bei München, Germany
2 - Space Research Institute, Russian Academy of Sciences, Profsoyuznaya 84/32, 117997 Moscow, Russia
Received 7 October 2008 / Accepted 10 November 2008
Abstract
We consider the effects connected with the detailed radiative transfer during the epoch of cosmological recombination on the ionization history of our Universe.
We focus on the escape of photons from the hydrogen Lyman
resonance
at redshifts
,
one of two key mechanisms
defining the rate of cosmological recombination. We approach this problem within the standard formulation, and corrections due to two-photon interactions are deferred to another paper.
As a main result we show here that within a non-stationary approach to the
escape problem, the resulting correction in the free electron fraction,
,
is about
1.6-1.8% in the redshift range
.
Therefore the discussed process results in one of the largest modifications to
the ionization history close to the maximum of Thomson-visibility function at
considered so far.
We prove our results both numerically and analytically, deriving the escape
probability, and considering both Lyman
line emission and line absorption in a way different from the Sobolev approximation.
In particular, we give a detailed derivation of the Sobolev escape
probability during hydrogen recombination, and explain the underlying
assumptions.
We then discuss the escape of photons for the case of coherent
scattering in the lab frame, solving this problem analytically in the quasi-stationary approximation and also in the time-dependent case.
We show here that during hydrogen recombination the Sobolev approximation for
the escape probability is not valid at the level of
-10%.
This is because during recombination the ionization degree changes
significantly over a characteristic time
,
so that at
percent level accuracy the photon distribution is not evolving along a
sequence of quasi-stationary stages.
Non-stationary corrections increase the effective escape by
at
,
and decrease it by
close to
the maximum of the Thomson-visibility function.
We also demonstrate the crucial role of line emission and absorption in
distant wings (hundreds and thousands of Doppler widths from the resonance) for this effect, and argue that the final answer probably can only be given within a more rigorous formulation of
the problem using a two- or multi-photon description.
Key words: radiative transfer - cosmology: cosmic microwave background - cosmology: early Universe - cosmology: theory - atomic processes - cosmology: cosmological parameters
1 Introduction
The extraordinary advances in observations of the Cosmic Microwave Background
(CMB) temperature and polarization angular anisotropies
(e.g. Hinshaw et al. 2006; Page et al. 2006) and the prospects with the PLANCK
Surveyor
have motivated several groups to
re-examine the problem of cosmological recombination (e.g. see Sunyaev & Chluba 2007; Fendt et al. 2008, for detailed overview), including subtle physical processes
during hydrogen (e.g. see Dubrovich & Grachev 2005; Chluba & Sunyaev 2006b; Hirata 2008; Kholupenko & Ivanchik 2006; Chluba & Sunyaev 2007; Rubiño-Martín et al. 2006) and helium recombination
(e.g. see Kholupenko et al. 2008; Wong & Scott 2007; Hirata & Switzer 2008; Switzer & Hirata 2008a,b; Rubiño-Martín et al. 2008; Kholupenko et al. 2007).
It has been argued that percent level corrections to the ionization history
exist, which should be taken into account for future determinations of
cosmological parameters using CMB data obtained with the PLANCK Surveyor.
In this paper we investigate the validity of one of the key
simplifications used for computations of the hydrogen recombination history
within existing multi-level recombination codes: the Sobolev approximation for the escape of Lyman
photons from the center of the resonance. With this approximation it is possible to separate the problem of the evolution of the photon field and the populations of the hydrogen atom.
Originally the Sobolev approximation was developed in order to describe the
escape of photons from finite expanding envelopes of planetary nebulae
and stars (Sobolev 1960), but it has been shown that even for
cosmological applications, i.e. infinite slowly expanding media, it
is very useful (Hummer & Rybicki 1992; Rybicki & dell'Antonio 1994; Grachev & Dubrovich 1991).
It gives the same answer as less sophisticated methods, based on simple
solutions of the integral or differential equations of radiative transfer,
which were used to solve the cosmological hydrogen recombination problem
in the 1960s (Varshalovich & Syunyaev 1968; Peebles 1968; Zeldovich et al. 1968).
Both for the Sobolev approximation and these simpler derivations the main
assumptions are:
(i) the properties of the medium (e.g. ionization degree, density, expansion
rate) do not change much while the photons interact strongly with
the Lyman
resonance and (ii) each scattering leads to a complete redistribution of photons over the whole line profile.
Due to assumption (i) it is possible to approximate the evolution of the photon distribution as quasi-stationary, which for conditions in our Universe seems to be reasonable (Rybicki & dell'Antonio 1994). However, up to what level of accuracy remains a difficult question and deserves further investigations. On the other hand, assumption (ii) is much less justified, since complete redistribution requires some process that destroys the coherence in the resonance scattering event. This is usually done by collisional processes, which for the conditions in our Universe are extremely inefficient (e.g. see Chluba et al. 2007). We will demonstrate here that for present day experimental requirements, i.e. sub-percent level accuracy in the theoretical predictions of the CMB power spectra at large multipoles l (e.g. see Seljak et al. 2003), both approximations become insufficient.
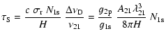
In order to understand this problem, it is important that the ionization degree during cosmological hydrogen recombination changes with characteristic time
.
Also, it is clear that photons, which are released in the distant wings of the
Lyman
line
, can in principle
travel, scatter, and redshift for a very long time until being reabsorbed.
Here it is important to distinguish between line scattering events, and
line emission and absorption processes.
The former only lead to a redistribution of photons over frequency, but no net change in the ionization degree, while the latter (which for example
are connected with direct transitions of electrons between the continuum and
the 2p state) are able to change the number of Lyman
photons, and
hence the ionization degree. Note that during hydrogen recombination, line absorption
occurs with much lower probability (
10-4-10-3) than
line scattering, so that photons only die or disappear effectively
rather close to the line center (within a few ten to hundred Doppler widths
from the resonance), while in the distant wings they mainly scatter.
In addition, every photon that was absorbed (or died) will be replaced by a
new photon in a line emission event after a very short time. The profile of
this line emission is usually described by a Voigt profile, so that the
combination of line absorption followed by a line emission appears to lead to
a complete redistribution of photons over the whole Lyman
line profile.
However, from the microscopic point of view this is not a scattering event
.
As explained in Rybicki & dell'Antonio (1994), in the expanding Universe the
redistribution of photons due to Lyman
resonance scattering is more
accurately described by so-call type-II redistribution (Hummer 1962)
rather than by complete redistribution.
In the former case the photon scatters coherently in the rest-frame of
the atom, so that the changes in the energies of the photon after the
scattering event are related to the motion of the atom.
Studying this type of redistribution process in detail is beyond the scope of
this paper, but our computations (Chluba & Sunyaev 2009b), in very good agreement
with earlier works (e.g. see Rybicki & dell'Antonio 1994), show that in a
time-dependent formulation of the problem, including Doppler broadening,
atomic recoil and stimulated emission
, the actual solution for
the scattered photon distribution is very close to the one in the
case of no redistribution, or equivalently no line scattering.
Here we show in addition that the assumption of complete redistribution leads
to several unphysical conclusions, both in the quasi-stationary approximation
and a time-dependent approach. This is due to the very peculiar conditions in
our Universe, where collisional processes are not important, and in particular
where due to the low Hubble expansion rate, the Sobolev optical depth reaches
extreme values of
106-108 during recombination.
We therefore investigate the evolution of the photon field in the no-scattering approximation and show that time-dependent corrections to the effective escape probability are important at the level of
5%-10% (see Sect. 3.4, Figs. 5 and 8). As mentioned above, this is due to the fact that in the distant wings of the Lyman
resonance photons mainly scatter, but do not disappear. This renders
it important to include changes in the ionization degree and photon emission
rate during the evolution of the photon field in the computations, implying
that the quasi-stationary approximation becomes inaccurate.
Both changes in the absorption optical depth and the effective emission rate
cannot be neglected.
The corresponding time-dependent changes in the free electron fraction, which
are important for the Thomson visibility function and in computations of the
CMB power spectra, reach the level of
1.6-
in the redshift range
(see Sect. 4 and
Fig. 12), and therefore are about 2 times as large as those
due to atomic recoil, recently studied by Grachev & Dubrovich (2008).
Taking the time-dependent correction investigated here into account
will therefore be very important for the analysis of future CMB data from the
PLANCK Surveyor.
We also briefly discuss another aspect of the Sobolev approximation, which is
connected to the shape of the Lyman
line profile (see
Sect. 3.5).
In the Sobolev approximation there is no direct dependence of the
Sobolev escape probability on the shape of the line emission, absorption, and scattering
profiles, as long as all are identical.
Our derivation also clearly shows this point (cf. Sects. 3.2 and 3.5).
Therefore, in principle it does not matter if the profile is assumed to be a
Lorentzian, a Voigt profile, a pure Doppler profile, or a
function.
It also turns out that in the no line scattering approximation this is true,
as long as the line emission and absorption profiles are identical, and the
evolution of the photon distribution is quasi-stationary (cf.
Sects. 3.3 and 3.5).
However, if one includes the deviations from quasi-stationarity, then the
result does depend in detail on the Lyman
profile, even
if the line emission and absorption profiles still are the same.
For example, in the case of a pure Doppler profile (very narrow), the problem
of the Lyman
photon escape from the resonance due to the expansion of
the Universe would be practically quasi-stationary, and the
Sobolev approximation should be applicable.
This is because the number of photons emitted and absorbed in the optically thin region of the Lyman
line is exponentially small, and all the transfer is happening inside the Doppler core, corresponding to
.
On the other hand in the real problem, Lyman
emission and absorption
also occurs in the distant Lorentz wings (at hundreds and thousands of Doppler
widths) of the resonance. As we show here, at a percent level the number of these photons is very
important for the value of the effective escape probability (e.g. see
Fig. 10). This shows that it is crucial to understand the profiles (or
cross-sections) of the considered processes in more detail, and for this
probably a formulation in the two- or multi-photon picture will become
necessary. Also in principle it should be possible to distinguish between different
redistribution processes for the line scattering event, by measuring the shape
and position of the residual, present day CMB Lyman
distortion.
It is extremely impressive that the standard estimates of the Lyman
escape probability, which were used in the first papers on cosmological
recombination, and the Sobolev approximation give such precise (better
than 5-10%) answers, even though they are based on two incorrect assumptions as mentioned above.
It is well known that the principal difference (from a physical point of view)
between the cases of partial and complete redistribution does not influence
the final result very much in the majority of astrophysical applications
(Ivanov 1973). However, the enormous requirements of accuracy of
theoretical estimates in the era of precise cosmology change the situation,
and force us to search for percent level corrections to the escape of
Ly
photons from resonance during the epoch of cosmological
recombination.
2 Transfer equations for the photon field
In this section we provide the transfer equation describing the evolution of
the photon distribution in the vicinity of the Lyman
resonance. We
include the effect of line emission and line absorption in the
expanding Universe for the cases of coherent line scattering in the
lab frame, and complete redistribution. Here we envision all processes as 1+1 photon processes, as in the Seaton-cascade description (Seaton 1959), but leave the treatment of
correction due to two-photon interactions for a future paper. Also the effects of partial frequency redistribution will be discussed in separate paper. In Sects. 2.3 and 2.4 we give the time-dependent solutions of these equations. We will use these results in Sect. 3 to deduce the Lyman
escape probability, which then can be utilized to estimate the corrections to the cosmological ionization history.
2.1 General kinetic equation for the photon field
To follow the evolution of the photon field in the expanding Universe we start
with the kinetic equation for the function
,
where
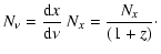
is the physical specific intensity of the isotropic, ambient radiation field (e.g. see Rybicki & dell'Antonio 1994):
Here H(z) is the Hubble parameter as a function of redshift z and
In order to simplify the left hand side of the Eq. (1) we transform to the frequency variable
,
so that
Inserting this into Eq. (1) yields
To obtain
which with
Inserting this into Eq. (3) one finds
Here the redshifting term was absorbed due to the choice of the frequency variable.
The term 3 H Nx can be eliminated using the substitution
,
so that Eq. (1) takes the form
One can easily verify that in the absence of physical interactions (
where
Here T0=2.725 K is the CMB temperature today (Fixsen & Mather 2002).
2.2 Line emission and line absorption
Although for conditions in the Universe during cosmological
recombination
the resonant scattering optical depth
close to the Lyman
line center exceeds unity by several orders of
magnitude, only real line emission and absorption lead to a net
change of the photon number.
If we consider an electron in the ground state of hydrogen which after the
absorption of a photon (say close to the Lyman
resonance) is excited
to the 2p state, then there are two routes out of this level: (i) it can
directly decay back to the ground state, re-emitting a photon with (slightly)
changed frequency, depending on the considered redistribution process, or (ii)
it can be further excited to the continuum or higher shells
(n>2) by the subsequent absorption of a blackbody photon from the CMB.
Only in case (ii) does the number of Lyman
photons really change, while
for (i) the photon simply was scattered.
To describe this aspect of the problem, we use the death probability or
single scattering albedo,
,
which specifies what fraction of
photons that interact with a hydrogen atom in the 1s state, will really
disappear from the photon distribution. The scattering probability,
,
will then give the fraction of photons that reappear at a different frequency, and hence only underwent a
scattering rather than a real line absorption.
2.2.1 Death probability or single scattering albedo
Including all possible ways in and out of the 2p level, the net change in the
number density of electrons in the 2p level can be written as
where
Here
Omitting electron and proton collisions, the total probability for
Lyman
emission
is therefore given by
where
Note that in Eq. (12) we directly neglected the effects of
stimulated emission. This approximation is well justified, since close to the
Lyman
transition the photon occupation number
at all relevant redshifts.
![]() |
Figure 1:
Different probabilities for the cosmological hydrogen recombination problem
as a function of redshift. The death probabilities, |
| Open with DEXTER | |
In Fig. 1 we show the death probability,
,
as a function
of redshift considering a 2, 3 and 10 shell hydrogen atom.
It is clear that the largest contribution to the death probability comes
from the third shell, and cases with
are practically
indistinguishable.
This is because during cosmological hydrogen recombination
,
and since
,
for n>3, is exponentially larger than
,
so that also
.
This fact implies that for a consistent investigation of the Lyman
escape problem, one should include at least 3 shells in the computations.
2.2.2 Line emission profile
The form of the emission profile for the Lyman
line (under the assumption of complete redistribution) is known from quantum-mechanical considerations. Including the thermal motion of the hydrogen atoms it is usually described using the so-called Voigt profile:
where for the H I Lyman
Here
The Voigt profile is normalized such that
and it has the well known limiting cases
with
In addition, on the red side of the resonance one can approximate the integral
by
as long as
2.2.3 Line emission term
With the definitions given above, the term for real emission of photons
due the addition of fresh electrons to the 2p state can be written as
The emission probability,
For Eq. (16) we have assumed that the emission profile for
every new electron that was added to the 2p state is given by
Eq. (13), regardless of whether the electron came from the continuum or from
some excited state. In the absence of collisions (a very good approximation for the expanding
Universe) this is the standard approach, in which fresh electrons, i.e. those
that have not reached the 2p state by a line scattering event, lead to a
natural excitation of the 2p state (e.g. see p. 433 Mihalas 1978).
Note that this also implicitly means that any transition of electrons from the
2p state to higher levels effectively leads to a complete redistribution of photons in the
Lyman
line.
One does expect some corrections related to these approximations, since even for the real line emission process the history of the electron should matter (e.g. due to two-photon processes Chluba & Sunyaev 2008). However, this problem is beyond the scope of this paper.
2.2.4 Line absorption term
In the standard formulation (e.g. see Mihalas 1978, p. 278) the profile
for real line absorption is usually assumed to have the same shape as the natural emission profile 13. In this case, using the death probability
,
the term for real line absorption reads
Here
More rigorously, using the principle of detailed balance, instead of the standard absorption coefficient
(e.g. see Mihalas 1978, p. 78),
from Eq. (16), also including the effect of stimulated
emission, one would deduce
.
Although especially the exponential term should lead to significant
differences in the distant wings of the Lyman
line, we follow the standard approximation and set
in this expression.
It is clear that in the distant wings other corrections also will become very
important (e.g. due to two-photon emission Chluba & Sunyaev 2008), but a full
consideration of these aspects is beyond the scope of this paper.
However, in the standard formulation, i.e. setting
,
already at
-1000 a blackbody distribution is not exactly conserved in full equilibrium. At the level of accuracy required in the
cosmological recombination problem this aspect will have to be resolved.
2.2.5 Final line emission and absorption term
With Eqs. (16) and (17) one can now write down the collision term for real line emission and absorption as
Here we used the resonant scattering cross section
and the Einstein relations
2.3 Transfer equation including line emission, line absorption and coherent scattering in the lab frame
For coherent scattering in the lab frame no redistribution of photons over frequency occurs. Using Eqs. (7) and (19), the time-dependent transfer equation therefore reads
with
Here
In Eq. (22b) we have used the substitution
Returning to physical coordinates one can finally write
where
2.4 Transfer equation including line emission, line absorption and complete redistribution
In the case of complete redistribution one has to add the term (see e.g. Mihalas 1978)
to Eq. (20). Here
with
Comparing Eq. (25) with Eq. (20), in physical coordinates one can directly write down the solution as
where
3 The Lyman
escape problem and results for the escape probabilities
In order to solve the cosmological recombination problem, the usual way is to separate the evolution of the photon field from the evolution of the matter, in particular the populations of the different energy states inside the hydrogen atom. This is normally achieved using the Sobolev approximation for the optically thick Lyman series in order to define the mean intensity of photons supporting the np-state at a given time, and leads to the definition of the Sobolev escape probability. In this section we explain the details of this approximation and compare it with other cases that can be solved analytically.
3.1 The Lyman
net rate
The net change of the number density of electrons in the 2p level via the
Lyman
channel is given by
where
According to the textbook derivations
Defining the line occupation number
Eq. (27) can be cast into the form
where we have introduced
3.2 Escape probability within the Sobolev approximation
The aim is now to determine the solution for the mean occupation number in the
Lyman
resonance using the Sobolev approximation. The two key assumptions for its derivation are (i) quasi-stationary evolution of the photon field and (ii) that every resonance scattering leads to a complete redistribution of photons over the whole Lyman
line profile. With these assumptions we can obtain the solution for the spectral distortion
at redshift z using the results of Sect. 2.4.
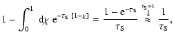
Under quasi-stationary conditions one can simply set
in Eq. (26), and for the absorption optical
depth,
,
one has
where
with wavelength
From Eq. (26) with
one then obtains
with
![]() |
Figure 2:
Comparison of the Sobolev optical depth,
|
| Open with DEXTER | |
![]() |
Figure 3:
Spectral behavior of the solutions in the quasi-stationary approximation at redshift z=1100. We normalized the distortion to unity at the
Lyman |
| Open with DEXTER | |
3.2.1 Spectral characteristics of the solution
As can be seen in Fig. 2, during hydrogen recombination
.
According to Eq. (33) the photon distribution therefore
varies strongly close to
,
while it is basically identicalto unity
at
.
Using the wing-expansion (A.2) of the Voigt profile one
therefore finds that this happens at a distance of about
At
Physically this type of redistribution does not describe the problem very
accurately, and a much more realistic solution is obtained using the
case of coherent scattering in the lab frame (see Sect. 3.3).
For example, if we consider the position of the Lyman
line at redshift
z=1100, then in Doppler units of the Lyman
line one finds
.
The variation of the photon distribution, which is important for the value of the escape probability (see below), occurs far beyond this value. In
fact,
corresponds to about 2 times the Lyman
frequency, or 1.5 times the ionization energy of the hydrogen atom. The Sobolev optical depth,
,
for conditions during recombination is simply so large that the approximation of complete redistribution becomes unphysical.
Furthermore, at such large distances it is even questionable as to why one should be
able to neglect variations of the blackbody distribution, or the factor of
in the definition of
.
However, such an approximation is necessary to obtain the expression for the
Sobolev escape probability.
Obviously other corrections (e.g. related to two-photon processes, or the
imbalance in the emission and absorption coefficient as mentioned in Sect. 2.2.4) will become important and even necessary to correct for these physical discrepancies. However, as we will see below, in spite of all these problems the Sobolev approximation at the level of
10% provides the correct answer for the escape probability, a fact that is
very surprising.
3.2.2 Mean occupation number in the Lyman
and the Sobolev escape probability
To obtain the mean photon occupation number in the Lyman
line we multiply (33) by
and integrate over
.
This then yields
where we again have neglected the variation of
A solution similar to Eq. (36) was also given and discussed in Hummer & Rybicki (1992).
3.2.3 Relation to the expression which is normally used in multi-level recombination codes
But how does Eq. (36) actually relate to the expression
that is normally used (cf. Seager et al. 2000) in computations of the hydrogen recombination problem? To understand this connection the key ingredient is the quasi-stationary solution for the 2p population. In fact this approximation should always be possible, even if the spectral evolution is non-stationary, simply because the re-adjustment of the 2p population after some changes in the spectrum is so fast.
With Eqs. (10) and (30), the rate equation
governing the time evolution of the 2p state can be cast in the form
where we directly neglected induced terms, and introduced
Inserting this into Eq. (19b) therefore yields
If we now use this in Eq. (35) one immediately finds
However, in one case factors are expressed in terms of
,
while in
the other case
is used. From Eqs. (36b) and (37) with
one can easily show
This implies that
3.3 Escape probability for the case of coherent scattering
In the absence of line scattering, or equivalently for coherent
scattering in the lab frame, the solution of the transfer equation is given
by Eq. (23). Under quasi-stationary conditions (and with
)
one
again has
,
and also it is possible to use
,
where
is defined by Eq. (31). Then one can write
with
3.3.1 Spectral characteristics of the solution
Looking at Fig. 2 it is clear that
at
all relevant redshifts, so that
should change strongly much closer to the line center than in the complete redistribution case, Eq. (33). If we again want to estimate where the photon distribution (42) varies most rapidly, assuming that this happens in the blue wing of the Lyman
line, we can find
At
3.3.2 Mean occupation number in the Lyman
and the escape probability
With (42) and the same simplifications that
were mentioned above in connection with Eq. (36) one then obtains
Note that
![]() |
Figure 4:
Relative difference between the escape probability
|
| Open with DEXTER | |
Again using the quasi-stationary solution for the 2p population, we can replace
applying the expression Eq. (40). Then solving for
one finds
Comparing this with the standard form Eq. (37), it is again clear that for
In Fig. 4 we present a more detailed comparison and indeed find practically no important difference to the standard Sobolev case. This result is somehow surprising, since the assumption of complete redistribution leads to a totally different (and physically unrealistic) solution for the photon distribution. Still, the final result is comparable. This is due to the fact that the changes in the shape of the photon distribution are compensated by changes in the amplitude of the spectrum close to the line center, as already explained in connection with Eq. (41).
Note that in the case of 2 shells the differences would be much greater, since
one can find
at redshifts relevant for recombination (see
Fig. 1). This again shows that one has to include at least 3 shells in the computation,
in order to obtain meaningful results.
3.3.3 Escape probability in the limit
It is also illustrative to look at the solution in the limit
.
Physically, in the current formulation of the problem
this should give the same answer as in the approximation of complete
redistribution. This is because for
every electron entering the
2p level via the Lyman
channel will pass through the continuum or
some higher shell, where it will forget its history. It will be replaced by
another fresh electron, with a natural line profile, as in the complete
redistribution approximation for a line scattering event.
From Eq. (45), with
,
and
,
it is quite obvious that
,
but can one also see this directly from
Eq. (44a), which in the first place only leads to
.
Here apparently
,
a result that indeed can be
confirmed with Eq. (40), so that also
follows.
3.3.4 Until what distance from the line center is the shape of the photon distribution important?
The escape probability,
,
was obtained from the integral over the
Lyman
line profile. If we only integrate up to some
frequency
,
then one has
with
If we assume that
At z=1100 this yields
In the case of complete redistribution one can easily show that
at z=1100. This implies that for
10%,
1%, and
0.1%
accuracy one has to know the spectrum up to
,
,
and
.
Let us emphasize again that these are extremely large (even unphysical) distances from the Lyman
resonance. However, it is in these regions where the value of the Sobolev escape probability is formed.
3.4 Effective escape probability using the time-dependent solution
With the solution (23) we can also describe the time-dependence of
within the approximation of coherent scattering in the lab frame.
Although one does expect some modifications when accounting for partial
frequency redistribution, our computations (Chluba & Sunyaev 2009b) show that the
additional correction will be dominated by the influence of
line recoil
, which has been addressed in Grachev & Dubrovich (2008).
However, the time-dependent correction that is considered here turns out to be
much larger, so that we shall focus on this only. Below we now provide a detailed discussion of the time-dependent correction in the case of coherent scattering in the lab frame, introducing an effective escape probability, which then can be used in computations of the cosmological
recombination history.
3.4.1 Escape probability during recombination without redistribution but with full time-dependence
Using the time-dependent solution for the case of no redistribution, Eq. (23), it is possible to write
where we have
Here it is very important to mention that one has to use
as defined by Eq. (23b) but evaluate the blackbody
distribution at the line center only, i.e. use
with
.
This is necessary in order to be consistent with the formulation of line
emission and absorption processes, which, as mentioned in Sect. 2.2.4, in full equilibrium does not exactly conserve a blackbody distribution. A more consistent formulation will be given in a future paper, but the result for the pure time-dependent correction should be very similar.
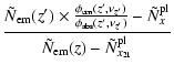
Equation (49a) provides the time-dependent solution for
,
when the ionization history is known until z. However, in real calculations Eq. (49a) is not very useful, since the evaluation of the integral is rather time-consuming. With Eq. (49b) we defined an effective escape probability, which can be compared with the result in the full quasi-stationary case. The differences will be due to non-stationary contributions in the evolution of the photon distribution, and can be iteratively used in computations of the recombination history. Since the correction is expected to be small, even the first iteration should give a rather good answer.
To obtain the difference from the Sobolev escape probability, one again has to use the quasi-stationary solution for the 2p state, leading to relation (40).
With this one can eliminate
from 49, and bring the expression for
in the standard form (37). This yields
Now
Looking at (49b) it is clear that there are two
sources for the time-dependent correction. The first comes from the
time-dependence of
,
while the second is due to modifications
in the absorption optical depth,
.
Below we now discuss each correction separately.
3.4.2 Neglecting the time-dependence of
If we set
With this expression it is possible to take into account the time-dependent corrections that are only due to the modifications of
First, it is clear that due to the
-dependence of the absorption
cross section the total absorption optical depth depends strongly on the
initial frequency of the emitted photon.
For example, if a photon is emitted on the blue side of the Lyman
resonance, then after some redshifting it will come close to the Doppler core of
the Lyman
line, where it will be absorbed with extremely high probability. Depending on the initial distance to the Doppler core, this will take some time, during which the properties of the medium (e.g. the ionization degree) may have changed significantly. Similarly, photons emitted in the very distant red wing of the Lyman
line may redshift for a very long time, before they will be reabsorbed, if at all.
At high z the total absorption optical depth is expected to mainly vary
due to the changes in the number density of ionized hydrogen atoms, and at low
redshifts because of the steep drop in
.
If for given initial frequency
of an emitted photon the time it takes until this photon is reabsorbed (
)
is similar to the
Hubble time, then these changes may be important.
If the considered photon was emitted close to the Lyman
line center,
the absorption optical depth is dominated by its value inside the Doppler
core, where photons only travel a very short distance (a small fraction of the
Doppler width), before being reabsorbed.
In this case, the quasi-stationary approximation certainly is valid with very
high accuracy, since
between emission and absorption
implies
,
so that the medium has not changed very much.
However, when the photon is initially released in the distant red or blue wing
of the Lyman
resonance, it can redshift for a much longer time before
being reabsorbed, so that changes in the medium, in particular the
ionization degree and death probability, may play an important role.
![]() |
Figure 5:
Differences between the escape probability
|
| Open with DEXTER | |
In Fig. 5 we show the direct comparison of the escape
probability that follows from Eq. (51) with the Sobolev escape
probability. At very low and very high redshifts the correction due to the pure
time-dependence of
becomes very small. The difference that is
seen close to
and
is only related to the correction
coming from the coherent scattering approximation (see Fig. 4).
In both cases this behavior can be explained by the fact that the importance
of the wings for the total value of the escape probability decreases. Photons
escape directly from the Doppler core, so that the contributions to the value
of
can be considered quasi-stationary.
To understand the behavior at intermediate redshift, it is important that
before the maximum of
around
(cf. Fig. 2), one expects that independent
of the considered frequency,
is smaller than in the quasi-stationary approximation
.
This is simply because at
the value of
.
At those times the time-dependent modifications of
should
therefore result in a positive correction to the effective escape probability
(cf. Fig. 5). With a similar argument, at redshift
the correction in the escape probability should be negative, as is seen in
Fig. 5.
![]() |
Figure 6:
The spectral distortion
|
| Open with DEXTER | |
![]() |
Figure 7:
The spectral distortion
|
| Open with DEXTER | |
3.4.3 Correction due to the time-dependence of
In Sect. 3.4.2 we have neglected the time-dependence of
.
This factor describes how much the photon emission process varies as a function of time, which in the present approximation is independent of frequency (see comment in Sect. 3.4.1).
With Eqs. (51) and (49b) one can define
With this expression it is now possible to calculate
In order to understand the final result we first consider the behavior of the inner integrand (52a) at different stages of hydrogen recombination. Since the function
is identical to the Lyman
spectral distortion in the no redistribution approximation, but normalized to its value at the line center, i.e.
,
it is illustrative to define
in addition to Eq. (52b). Here
In Figs. 6 and 7 we illustrate the behavior
of the functions (53) at different stages of hydrogen recombination.
We used the solution for the populations in the 3 shell case as given by our
multi-level code (Chluba et al. 2007; Rubiño-Martín et al. 2006). As expected, in all cases
and
are very close to
unity at
and then drops very fast toward zero at
.
Also Fig. 7 clearly shows that
in the red wing and the Doppler core of the Lyman
resonance. This is expected, since at
always
,
so that its exact value does not matter.
Furthermore we can observe a change in the sign of the difference
-
in the blue wing when going from high to lower redshift.
At z=1400 one can clearly see that
in the range
,
so that
is
expected, in agreement with the results presented in
Fig. 5. On the other hand, in all the other cases shown
at
so that one should find
,
again confirming the results given in
Fig. 5.
Because of the steep drop of
and
at a few Doppler width above the line center, the main contribution to the escape probability clearly comes from rather close to the line center. However, at the level of percent the shape of the distortion up to a few
hundred or thousand Doppler widths is important.
If we now look at the spectral distortion in the time-dependent approximation,
,
we can see that at all stages the
variations of
with redshift become important outside the
Doppler core. From Fig. 6 we can distinguish in more detail the following regimes:
(i) at redshifts
the distant wing distortion is smaller
than in the quasi-stationary approximation. This is because at redshifts much
before the time under consideration the emission in the Lyman
transition was very inefficient, so that until then not many photons can have
appeared or reached large distances from the Lyman
line. The slope of
the red wing distortion is positive close to the line center;
(ii) at redshifts
the distortion in the blue wing and nearby
red wing is greater than in the quasi-stationary approximation. The production rate of Lyman
photons has already passed its maximum
(at
), so that at the current line center fewer photons are
produced the lower the redshift becomes. The slope of the red wing distortion
is negative close to the line center.
It is also clear that in case (i) the value of
is smaller
than in the quasi-stationary approximation, while it is expected to be larger
in case (ii). According to the definition 49 this
implies that in the former case the effective escape probability is higher
than in the quasi-stationary approximation, while it is lower in the latter
case. In Fig. 8 we can see that these expectations are true (see
solid line). The total correction due to excess or a deficit of photons leads to
a total decrease of the effective escape probability at
that reaches
at
,
while it results in an
increase of
at
.
Although in the escape integral the distortion in the vicinity of the line center mainly contributes, at the percent level the distant wings are also important. As we have seen in Fig. 6 the red wing distortion due to the Lyman
transition can exceed the distortion close to the line center by a large amount. In this case the question is how much the very distant wings actually contribute to the total correction shown in Fig. 8.
For this we computed
,
but excluding the
correction at
.
Looking at the boxed curve in Fig. 8 shows that the very distant red wings contribute about
at
,
and
at
.
This is an important point, since in the very distant wings other
processes related to the formulation of the problem will also become important
(i.e. due to changes in the absorption profiles, when considering the problem
as a two-photon process), so that one expects additional revisions for
contributions from the very distant wings. However, here the corrections mainly seems to come from regions in the vicinity (
-103) of the
Lyman
line center.
![]() |
Figure 8:
Correction to the Sobolev escape probability due to variations of
|
| Open with DEXTER | |
At low redshifts (
-900) one can observe an additional strong
decrease in the effective escape probability. This is due to the additional
re-excitation of electrons by the distortion on the blue side of the
Lyman
resonance. Most of the photons in this part of the spectrum have been emitted much earlier, at times around the maximum of the Lyman
emission (
). This also explains the huge difference to the quasi-stationary solution: as one can see in Fig. 6, at
the amount of photons exceeds the spectral distortion obtained in the quasi-stationary approximation by about two orders of magnitude. The spectral distortion is only a factor of
100 below the emission in the line center.
Looking at Fig. 7, very close to the Lyman
line center some differences also are visible, which at the percent level do matter.
To show that the distortions on the blue side of the Lyman
are
responsible for this re-excitation we also computed the correction only
including the non-stationary contributions for the red side, but setting
for evaluations on the blue side. The result is also shown in Fig. 6 (stars). For completeness we also gave the curve when only including the corrections on the blue side of the line. As one can see, at
the red and blue wing corrections are very similar. However, at low redshifts the blue wing correction clearly dominates, supporting the statement made above. Again one can expect some changes in the conclusions when treating the problem
in the full two-photon formulation, since the emission of photons at high
frequencies will be significantly less in the two-photon treatment, simply
due to the fact that due to energy conservation the emission profiles do not
extend to arbitrarily high frequencies (e.g. see Chluba & Sunyaev 2008). However, the corrections to the escape probability at
do not
propagate very strongly to the ionization history, so that here we do not
consider this unphysical aspect of the solution any further.
![]() |
Figure 9: Total correction to the Sobolev escape probability. All curves were computed using the time-dependent solution according to Eq. (49b), but including a different number of shells. |
| Open with DEXTER | |
3.4.4 Dependence of the effective escape probability on the included number of hydrogen shells
Although the death probability
does not dependent on the solution of
the recombination problem, the amount of fresh electrons injected into
the Lyman
line depends on the populations of the excited states.
Therefore the strength of the Lyman
line strongly depends on the
total number of shells that are included (Rubiño-Martín et al. 2006). Here in particular
the low-redshift tail (
)
will be affected, and hence there one
also expects changes in the correction to the effective escape probability.
In Fig. 8 we show the differences in the escape probability
when including more shells. We used the numerical solution for the excited
levels as obtained with our multi-level hydrogen code (Chluba et al. 2007).
At redshifts
the result is practically unaffected by the total
number of hydrogen shells that are included. In particular the result seems
converged when including
4-5 shells, leading to a total corrections of
at
,
while it results in an increase of
at
.
At redshifts
,
some small changes are still visible when
including more than 3 shells, but again the result seems to remain unchanged
when including more than
4-5 shells.
For the computation of the CMB power spectra the corrections in this range are
most important (see Sect. 4).
At lower redshifts, however, the result still changes notably. At
the correction increases by about
when including 5 shells, and for 10
shells even by about
.
This can be explained when realizing that the
total emission in the Lyman
line at low redshifts becomes less
when including more shells. Therefore the wing emission from redshifts around
the maximum of the Lyman
emission (
), which practically
remains unchanged, becomes more important, being able to re-excite the
2p state as explained in the previous paragraph.
As we mentioned already this aspect will probably be affected when including
corrections to the emission and absorption profiles according to the
two-photon formulation. Furthermore, as we will see in the next Sect. this low redshift tail is not so important for the predictions of the CMB power spectra.
![]() |
Figure 10:
Total correction to the Sobolev escape probability for the 5 shell hydrogen atom. All curves were computed using the time-dependent solution,
|
| Open with DEXTER | |
3.4.5 Dependence of the effective escape probability on the distance from the line center
As a last point, we want to answer the question of where in the case of
the main correction actually comes from. We have already seen in Sect. 3.4.3 that the very distant red wing contributes at the level of percent.
Also we have seen that at redshifts
-900 the blue and red sides
of the Lyman
line give similar contributions, while at low redshift
due to the self-feedback the blue wing clearly dominates.
In Fig. 10 we show the total correction to the
Sobolev escape probability when only including the time-dependent correction
for a given central region around the resonance in the computation of
.
It is obvious that the innermost Doppler core (
1 Doppler width) does not
contribute much to the result. This is expected, since there the photon distribution should evolve as in the quasi-stationary approximation, with very high accuracy.
This fact can also be seen in Fig. 7, where close to the line center the deviation of the photon distribution for the quasi-stationary solution is very small.
At low redshifts (
-900) the region up to
4 to
10 Doppler width seems to be quite important.
As explained in Sect. 3.4.3, there the correction is mainly because
of self-feedback, which is strongest where photons really are reabsorbed.
However, at practically all other redshifts one can clearly see that the
distant wings contribute significantly. Even within
103 Doppler width
the deviations of the spectrum from the quasi-stationary solution are important.
3.5 Dependence of the escape probability on the shape of the emission and absorption profile
As mentioned in the introduction, in the Sobolev approximation it is well known
that the result for the escape probability does not depend on the shape of the
Lyman
emission profile.
Looking at the derivation of expression 35b for
it is clear that in addition to the condition of quasi-stationarity one
needs
,
i.e. the
equality of the line emission, line absorption, and line scattering profile.
This conclusion is also reached in the case of no line scattering (Sect. 3.3) leading to
as given by Eq. (45).
However, if
then the situation is more
complicated. Starting with Eq. (20), but allowing
,
one can find the solution
with
with the same definitions as in Eq. (49). Note that here one has to compute
![]() |
Figure 11:
Relative change in the number density of free electrons when allowing for a
constant relative change in the Sobolev escape probability of the
Lyman |
| Open with DEXTER | |
4 Corrections to the ionization history
With the results of the previous Section it is possible to estimate the
expected changes in the ionization history.
In Fig. 11 we show how a constant difference in the
Sobolev escape probability affects the ionization history.
We can see that the response is roughly proportional to the given
.
Therefore we can use the curve for
to estimate the changes in
the ionization history for the results given above.
Since all the corrections are small, one expects a small additional
correction, when computing the escape probability for this modified ionization
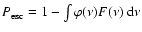
history.
For the purpose of this paper this approximation is sufficient.
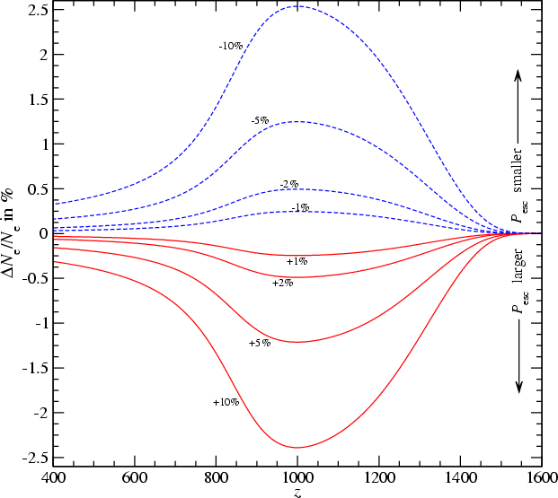
Figure 11 also shows that percent level corrections to the
escape probability do not affect the ionization history at
,
while at
one has
.
Also one can see that at low redshifts, changes of the escape probability are
not propagating very much to the ionization history, resulting only in
at
.
Note that the correction of
in both cases is much smaller than the
one of the escape probability. This is because the 2s-1s two-photon decay
channel already contributes slightly more to the effective recombination rate.
![]() |
Figure 12:
Estimated relative changes in the number density of free electrons when including various physical processes. The curves were obtained by simply
multiplying the computed change in the escape probability for the 10 shell
case as given in Fig. 9 by the curve in
Fig. 11 for
|
| Open with DEXTER | |
5 Discussion and conclusions
5.1 Main results related to the cosmological ionization history and the CMB power spectra
In this paper we investigated the validity of the Sobolev approximation for
the Lyman
escape probability during hydrogen recombination.
We separate absorption and emission of Lyman
photons from resonant
scattering events, including the fact that processes leading to full
redistribution of photons over the Voigt profile occur with much lower (
10-3-10-4 times) probability than resonant scatterings.
We have shown that within the standard formulation the rapid changes in the
ionization degree during recombination lead to significant departures of the
photon distribution from the quasi-stationary solution.
We took these corrections into account analytically, assuming that the photon
redistribution process over frequency during a scattering is coherent in the
lab frame.
Although one does expect some additional modifications when accounting for partial frequency redistribution, our computations show (Chluba & Sunyaev 2009b) that the additional correction will be dominated by the influence of line recoil, that has been addressed in Grachev & Dubrovich (2008). However, the time-dependent correction that is considered here turns out to be significantly larger, so that we focused on this only. A more complete consideration of this problem is in preparation (Chluba & Sunyaev 2009b).
Here we found that the time-dependent corrections to the effective
Lyman
escape probability result in a
1.6-1.8% change of
in the redshift range
(see Sects. 3.4 and 4
for more detail). These corrections are important for the Thomson visibility function and in computations of CMB power spectra, where at large (
-3000)
multipoles l in the case of TT one expects modifications of the order of
,
and about 2 times more for EE. However, note that we also expect additional changes when formulating the problem more rigorously in the two- or multi-photon approach (see discussion
in Sect. 5.2).
The main reason for the corrections discussed here are (i) time-dependent changes in the
absorption optical depth; and (ii) changes in the net emission rate due to the
time-dependence of cosmological recombination.
The correction due to case (i) is especially important for contributions coming from the
distant wings of the Lyman
line, where emitted photons can travel,
scatter, and redshift over a very long time before getting reabsorbed. For the
3 shell hydrogen atom the associated correction to the escape probability is
at
,
while it results in an increase of
at
(for more details see
Fig. 5).
The correction related to the time dependence of the net emission rate is slightly larger, leading to a total decrease of the effective escape probability at
,
that for the 3 shell atom reaches
at
,
while it results in an increase of
at
(for more details see Fig. 8).
Here a significant contribution is due to departures of the very distant (
103-104 Doppler widths) wing spectrum from the quasi-stationary solution (e.g. see Sect. 3.4.5).
We also showed that in particular at low redshifts (
-900)
this correction, owing to a self-feedback process, strongly depends on the number of shells that have been taken into account for the computation (see Fig. 9).
This is because the effective emission rate depends on the solution for the
populations of the excited levels, so that it is important to include at least
4-5 shells into the computations. However, this aspect of the solution appears to be due to the incompleteness in the formulation of the problem, so that at these redshift the conclusions
should change when using a two- or multi-photon description (see discussion in
Sect. 5.2). Also it is important to mention that for the corrections in the CMB power spectra, this should not affect the results very much.
5.2 Apparent problems with the standard formulation
Our analysis shows that under the extreme physical conditions valid in the hot
Universe (extremely low plasma density in the presence of the intense CMB
radiation field), the standard formulation of the Lyman
transfer
problem leads to several apparently unphysical results.
First, we would like to point out that all our computations and estimates
clearly show how important (at the percent level accuracy) the distant wings of
the lines are for the value the escape probability or mean intensity
supporting the 2p level (e.g. see Sects 3.3.4 and 3.4.5).
However, in the standard approach variations of the blackbody and also any
power-law variations in
are usually neglected in the formulation of the
transfer problem and analytic computation, an approximation that is certainly
questionable when going to
,
or
103Doppler width. For example, as we mentioned in Sect. 2.2.4, this approximation
leads to a small non-conservation of a blackbody spectrum at large distances
from the line center, an aspect that simply follows from exact application of
the detailed balance principle, leading to a thermodynamic correction factor
.
In a two-photon formulation of the problem this factor automatically appears (Chluba & Sunyaev 2009a).
Also, the emission of photons according to the standard Voigt profile in
principle allows the production of photons until arbitrarily large distances on
the blue side of the Lyman
resonance.
Without introducing some high frequency cut-off, in the cosmological
recombination problem these photons will lead to some unphysical self-feedback
at low redshift (e.g. see Sect. 3.4.1), which is
also present in our current solution, but at times that are not so important
for the CMB power spectra. We expect that both problems can be resolved when using a two- or multi-photon
formulation, in which detailed balance is applied self-consistently, and where
the line profiles are naturally bound (e.g. see Chluba & Sunyaev 2008) due to energy conservation.
Focusing on the Sobolev approximation (quasi-stationarity of the spectrum and
complete redistribution), several unphysical aspects also appear.
These are again due to the unique properties of our Universe, where there are
hardly any collision and the expansion rate is so low that the Sobolev optical
depth
reached values of
106-108 during recombination.
As explained in Sect. 3.2 this leads to the case that the
variations of the photon distribution that are important for the mean
intensity supporting the 2p level during cosmological recombination occur at
distances of
105-108 Doppler widths from the resonance. This is far
beyond the Lyman
line or even the ionization energy of the hydrogen atom.
It is also possible to compute the present day Lyman
spectral
distortion in the time-dependent approach, using the solution 26, for which it was assumed that every line scattering leads to a complete redistribution of photons over frequency. We checked that in this case one would obtain a Lyman
line profile
that is very different from the one computed in the usual
function
approximation (e.g. see Rubiño-Martín et al. 2006).
One reason for this is that the effective frequency beyond which the photon
distribution is no longer affected by the Lyman
resonance is very far
on the red side of the line center (at
to -104, or
-
).
This aspect of our computations also suggests that in principle it should be
possible to constrain the type of redistribution that is at work during
hydrogen recombination by looking at the exact position and shape of the
residual Lyman
distortion in the CMB. In all cases, no line scattering, complete redistribution, and partial redistribution the Lyman
distortion will look different.
We conclude that for the conditions during cosmological recombination,
complete redistribution for a line scattering event in the standard
formulation is not an appropriate redistribution process, and leads to rather
unphysical results.
With the approximation of coherent scattering in the rest-frame, some of the
unphysical aspects of the solution disappear. However, as mentioned above, at
low redshifts we obtain a large feedback of Lyman
photons
initially released at high redshifts (e.g. see Sect. 3.4.1).
These problems can be resolved using a two- or multi-photon formulation.
5.3 Future prospects
In spite of all the complications we expect that to lowest order one can take the time-dependent correction during cosmological recombination into account using the solution (49), or in the full two-photon description using a time-dependent solution in the no-scattering approximation. Since all additional corrections will (also) be small, one can then compute each other process more or less separately. This should also be possible for the case of helium recombination, but here the reabsorption of photons by the small fraction of neutral hydrogen atoms present at that time will be much more important (Switzer & Hirata 2008a; Rubiño-Martín et al. 2008; Kholupenko et al. 2007).
In order to include the final correction into the computations of the CMB
power spectra it will be necessary to develop a fast scheme for the evaluation
of the ionization history. For this purpose Fendt et al. (2008) recently
proposed a new approach called RICO
, which uses multi-dimensional polynomial regression to accurately represent the dependence
of the free electron fraction on redshift and the cosmological parameters.
Here one first has to produce a grid of models using a given full
recombination code, for which each run may take several hours or up to days.
However, the time-consuming part of the computation is restricted to the training of RICO, while afterwards each call only takes a small
fraction of a second. This approach should allow one to propagate all the corrections in the ionization history that are included in the full recombination code to the CMB power
spectra, without using any fudge-factors, like in RECFAST
(Wong et al. 2008; Seager et al. 1999). In the future, we plan to provide an updated training set for RICO, including the time-dependent corrections discussed here. This should also make
it easier for other groups to cross-validate our results.
Acknowledgements
J.C. wishes to thank Dimitrios Giannios, Stefan Hilbert and Stuart Sim for useful discussions. The authors are also very grateful to E. Switzer for carefully reading the manuscript and providing detailed comments. Furthermore the authors would like to thank Prof. Dubrovich, C. Hirata, E. E. Kholupenko, J. A. Rubino-Martin, and W. Y. Wong for very interesting discussions during the workshop ``The Physics of Cosmological Recombination'' held in Garching, July 2008.
Appendix A: Computational details
A.1 Computations of
The evaluation of the Voigt profile, Eq. (13), is usually rather
time-consuming. However, convenient approximations for
can be given in the very
distant wings and also close to the center of the line. For
we use the approximation based on the Dawson integral up to sixth order as described in Mihalas (1978, Sect. 9.2, p. 279). In the distant wings of the line (
)
we apply the Taylor expansion
We checked that the Voigt function is represented with relative accuracy better than 10-6 in the whole range of frequencies and redshifts. Using Eq. (A.1), on the red side of the resonance one can approximate the integral
as long as
References
- Basko, M. M. 1978, Zhurnal Eksperimental noi i Teoreticheskoi Fiziki, 75, 1278 [NASA ADS]
- Chluba, J., & Sunyaev, R. A. 2006a, A&A, 458, L29 [NASA ADS] [CrossRef] [EDP Sciences] (In the text)
- Chluba, J., & Sunyaev, R. A. 2006b, A&A, 446, 39 [NASA ADS] [CrossRef] [EDP Sciences]
- Chluba, J., & Sunyaev, R. A. 2007, A&A, 475, 109 [NASA ADS] [CrossRef] [EDP Sciences]
- Chluba, J., & Sunyaev, R. A. 2008, A&A, 480, 629 [NASA ADS] [CrossRef] [EDP Sciences] (In the text)
- Chluba, J., & Sunyaev, R. A. 2009a, in preparation (In the text)
- Chluba, J., & Sunyaev, R. A. 2009b, in preparation (In the text)
- Chluba, J., Rubiño-Martín, J. A., & Sunyaev, R. A. 2007, MNRAS, 374, 1310 [NASA ADS] [CrossRef] (In the text)
- Dubrovich, V. K., & Grachev, S. I. 2005, Astron. Lett., 31, 359 [NASA ADS] [CrossRef]
- Fendt, W. A., Chluba, J., Rubino-Martin, J. A., & Wandelt, B. D. 2008, ArXiv e-prints, 807
- Fixsen, D. J., & Mather, J. C. 2002, ApJ, 581, 817 [NASA ADS] [CrossRef] (In the text)
- Grachev, S. I., & Dubrovich, V. K. 1991, Astrophysics, 34, 124 [NASA ADS] [CrossRef]
- Grachev, S. I., & Dubrovich, V. K. 2008, Astron. Lett., 34, 439 [NASA ADS] [CrossRef] (In the text)
- Hinshaw, G., Nolta, M. R., Bennett, C. L., et al. 2006, ArXiv Astrophysics e-prints
- Hirata, C. M. 2008, ArXiv e-prints
- Hirata, C. M., & Switzer, E. R. 2008, Phys. Rev. D, 77, 083007 [NASA ADS] [CrossRef]
- Hummer, D. G. 1962, MNRAS, 125, 21 [NASA ADS] (In the text)
- Hummer, D. G., & Rybicki, G. B. 1992, ApJ, 387, 248 [NASA ADS] [CrossRef]
- Ivanov, V. V. 1973, Transfer of radiation in spectral lines (NBS Special Publication, Washington: US Department of Commerce, National Bureau of Standards, English language edition) (In the text)
- Kholupenko, E. E., & Ivanchik, A. V. 2006, Astron. Lett., 32, 795 [NASA ADS] [CrossRef]
- Kholupenko, E. E., Ivanchik, A. V., & Varshalovich, D. A. 2007, MNRAS, 378, L39 [NASA ADS]
- Kholupenko, E. E., Ivanchik, A. V., & Varshalovich, D. A. 2008, ArXiv e-prints
- Mihalas, D. 1978, Stellar atmospheres, 2n [NASA ADS]d Ed., (San Francisco: W. H. Freeman and Co.), 650 (In the text)
- Padmanabhan, T. 2002, Theoretical Astrophysics, Vol. III: Galaxies and Cosmology Theoretical Astrophysics, by T. Padmanabhan, 638 (Cambridge, UK: Cambridge University Press) (In the text)
- Page, L., Hinshaw, G., Komatsu, E., et al. 2006, ArXiv Astrophysics e-prints
- Peebles, P. J. E. 1968, ApJ, 153, 1 [NASA ADS] [CrossRef]
- Rubiño-Martín, J. A., Chluba, J., & Sunyaev, R. A. 2006, MNRAS, 371, 1939 [NASA ADS] [CrossRef]
- Rubiño-Martín, J. A., Chluba, J., & Sunyaev, R. A. 2008, A&A, 485, 377 [NASA ADS] [CrossRef] [EDP Sciences]
- Rybicki, G. B. 2006, ApJ, 647, 709 [NASA ADS] [CrossRef]
- Rybicki, G. B., & dell'Antonio, I. P. 1994, ApJ, 427, 603 [NASA ADS] [CrossRef]
- Seager, S., Sasselov, D. D., & Scott, D. 1999, ApJ, 523, L1 [NASA ADS] [CrossRef]
- Seager, S., Sasselov, D. D., & Scott, D. 2000, ApJS, 128, 407 [NASA ADS] [CrossRef] (In the text)
- Seaton, M. J. 1959, MNRAS, 119, 90 [NASA ADS] (In the text)
- Seljak, U., Sugiyama, N., White, M., & Zaldarriaga, M. 2003, Phys. Rev. D, 68, 083507 [NASA ADS] [CrossRef] (In the text)
- Sobolev, V. V. 1960, Moving envelopes of stars (Cambridge: Harvard University Press) (In the text)
- Sunyaev, R. A., & Chluba, J. 2007, Nuovo Cimento B, 122, 919 [NASA ADS]
- Switzer, E. R., & Hirata, C. M. 2008a, Phys. Rev. D, 77, 083006 [NASA ADS] [CrossRef]
- Switzer, E. R., & Hirata, C. M. 2008b, Phys. Rev. D, 77, 083008 [NASA ADS] [CrossRef]
- Varshalovich, D. A., & Syunyaev, R. A. 1968, Astrophysics, 4, 140 [NASA ADS] [CrossRef]
- Wong, W. Y., & Scott, D. 2007, MNRAS, 375, 1441 [NASA ADS] [CrossRef]
- Wong, W. Y., Moss, A., & Scott, D. 2008, MNRAS, 386, 1023 [NASA ADS] [CrossRef]
- Zeldovich, Y. B., Kurt, V. G., & Syunyaev, R. A. 1968, Zhurnal Eksperimental noi i Teoreticheskoi Fiziki, 55, 278 [NASA ADS]
Footnotes
- ... event
- Switzer & Hirata (2008a) also make this distinction using the termini of incoherent processes and coherent scattering.
- ...
Surveyor
- www.rssd.esa.int/Planck
- ... line
- At redshift z=1100 a thousand Doppler width
corresponds to
,
a distance from the line center that
can be passed by redshifting in
.
- ... emission
- Within a Fokker-Planck approach the atomic recoil effect was first included by Basko (1978), while the effect of stimulated emission was only taken into account very recently by Rybicki (2006).
- ...
recombination
- Electron and proton collisions are negligible in comparison with radiative processes, like photorecombination or photoionization, and bound-bound dipole transitions (e.g. see Chluba & Sunyaev 2008).
- ... derivations
- Also in the derivation of the Einstein relations this approximation is normally applied.
- ... set
- In fact this approximation not only implies quasi-stationarity, i.e.
,
but also that one can use
.
- ... to
- There the value of
has decreased by a factor of 2 compared to the line center.
- ... unity
- With relative accuracy better than
.
- ... recoil
- Including atomic recoil we find a correction of
at
and
at
to the
Sobolev escape probability, which, in reasonable agreement with
Grachev & Dubrovich (2008), leads to
at
.
- ... independent
- This statement is not completely correct, since in Eq. (22b) we do take into account the factor
.
However, this only affects the very distant blue wing.
- ... calculate
- The evaluation of the integral (52a) is rather cumbersome. It is most important that for a fixed frequency
at redshift z the inner integral varies most strongly at
.
- ... RICO
- http://cosmos.astro.uiuc.edu/rico/
All Figures
![]() |
Figure 1:
Different probabilities for the cosmological hydrogen recombination problem
as a function of redshift. The death probabilities, |
| Open with DEXTER | |
| In the text | |
![]() |
Figure 2:
Comparison of the Sobolev optical depth,
|
| Open with DEXTER | |
| In the text | |
![]() |
Figure 3:
Spectral behavior of the solutions in the quasi-stationary approximation at redshift z=1100. We normalized the distortion to unity at the
Lyman |
| Open with DEXTER | |
| In the text | |
![]() |
Figure 4:
Relative difference between the escape probability
|
| Open with DEXTER | |
| In the text | |
![]() |
Figure 5:
Differences between the escape probability
|
| Open with DEXTER | |
| In the text | |
![]() |
Figure 6:
The spectral distortion
|
| Open with DEXTER | |
| In the text | |
![]() |
Figure 7:
The spectral distortion
|
| Open with DEXTER | |
| In the text | |
![]() |
Figure 8:
Correction to the Sobolev escape probability due to variations of
|
| Open with DEXTER | |
| In the text | |
![]() |
Figure 9: Total correction to the Sobolev escape probability. All curves were computed using the time-dependent solution according to Eq. (49b), but including a different number of shells. |
| Open with DEXTER | |
| In the text | |
![]() |
Figure 10:
Total correction to the Sobolev escape probability for the 5 shell hydrogen atom. All curves were computed using the time-dependent solution,
|
| Open with DEXTER | |
| In the text | |
![]() |
Figure 11:
Relative change in the number density of free electrons when allowing for a
constant relative change in the Sobolev escape probability of the
Lyman |
| Open with DEXTER | |
| In the text | |
![]() |
Figure 12:
Estimated relative changes in the number density of free electrons when including various physical processes. The curves were obtained by simply
multiplying the computed change in the escape probability for the 10 shell
case as given in Fig. 9 by the curve in
Fig. 11 for
|
| Open with DEXTER | |
| In the text | |
Copyright ESO 2009
Current usage metrics show cumulative count of Article Views (full-text article views including HTML views, PDF and ePub downloads, according to the available data) and Abstracts Views on Vision4Press platform.
Data correspond to usage on the plateform after 2015. The current usage metrics is available 48-96 hours after online publication and is updated daily on week days.
Initial download of the metrics may take a while.
![$\displaystyle \frac{1}{c}\left[
\left.\frac{\displaystyle\partialN_{\nu}}{\disp...
...\nu}}{\displaystyle\partial\nu}\right\vert _{t}
\right]=\mathcal{C}[N_{\nu}]
~.$](/articles/aa/full_html/2009/12/aa11100-08/img53.gif)
![$\displaystyle \frac{1}{c}\left[
\left.\frac{\displaystyle\partialN_{x}}{\displa...
...}{\displaystyle\partialx}\right\vert _{t}
\right]=(1+z)~\mathcal{C}[N_{\nu}] ~.$](/articles/aa/full_html/2009/12/aa11100-08/img57.gif)
![$\displaystyle \frac{1}{c}\left[
\left.\frac{\displaystyle\partialN_{x}}{\displaystyle\partialt}\right\vert _{x}+3 H N_{x}\right]=(1+z)~\mathcal{C}[N_{\nu}]\cdot$](/articles/aa/full_html/2009/12/aa11100-08/img62.gif)
![$\displaystyle \frac{1}{c}\left.\frac{\displaystyle\partial\tilde{N}_{x}}{\displaystyle\partialt}\right\vert _{x}
=\frac{\mathcal{C}[N_{\nu}]}{(1+z)^2}
~.$](/articles/aa/full_html/2009/12/aa11100-08/img64.gif)




![$\displaystyle N_{\rm e}~N_{\rm p}~R_{\rm c 2p}+\sum_{i>2\rm p} N_i~A_{\it i \rm 2p}~[1+{n^{\rm pl}}(\nu_{\it i \rm 2p })].$](/articles/aa/full_html/2009/12/aa11100-08/img75.gif)
![\begin{figure}
\par\includegraphics[width=8.8cm]{eps/1100fig1.eps}
\end{figure}](/articles/aa/full_html/2009/12/aa11100-08/Timg93.gif)

![$\displaystyle \frac{A_{21}}{4\pi \Delta\nu_{\rm D}}
\approx 8.61 \times 10^{-4}~\left[\frac{(1+z)}{1100~\chi}\right]^{-1/2}$](/articles/aa/full_html/2009/12/aa11100-08/img102.gif)
![$\displaystyle \sqrt{\frac{2k_{\rm B}T_{\rm e}}{m_{\rm H}c^2}} \approx
2.35 \times 10^{-5} ~\left[\frac{(1+z)}{1100~\chi}\right]^{1/2}$](/articles/aa/full_html/2009/12/aa11100-08/img104.gif)

![$\displaystyle \chi_{\rm wings}
\approx
2.73 \times 10^{-6}~\left[\frac{(1+z)}{1100~\chi}\right]^{-1/2} \left[\frac{{{x_{\rm D}}}}{-100}\right]^{-1}
~,$](/articles/aa/full_html/2009/12/aa11100-08/img116.gif)




![$\displaystyle 1.91 \times 10^{-13}{\rm cm^2}\left[\frac{(1+z)}{1100~\chi}\right]^{-1/2},$](/articles/aa/full_html/2009/12/aa11100-08/img133.gif)

![$\displaystyle \tilde{N}_x(z)=\tilde{N}^{\rm pl}_x- \int^{z_{\rm s}}_z [\tilde{N...
...lde{N}^{\rm pl}_x]~ \partial_{z'}{\rm e}^{-\tau_{\rm abs}(x, z', z)}{~\rm d}z'.$](/articles/aa/full_html/2009/12/aa11100-08/img143.gif)
![$\displaystyle \displaystyle\int_{z}^{z'}
p_{\rm d}~\frac{c~\sigma_{\rm r}~N_{\rm 1s}}{H (1+\tilde{z})}~\phi(x[1+\tilde{z}]){~\rm d}\tilde{z}$](/articles/aa/full_html/2009/12/aa11100-08/img146.gif)

![$\displaystyle [N_{\rm em}(z)-N^{\rm pl}_{\nu_{21}}(z)]\!\!\int_{z_{\rm s}}^z \!...
...ta^{\rm coh}(z')~ \partial_{z'}{\rm e}^{-\tau_{\rm abs}(\nu, z', z)}{~\rm d}z',$](/articles/aa/full_html/2009/12/aa11100-08/img152.gif)


![$\displaystyle [N^{\rm cr}_{\rm em}(z)-N^{\rm pl}_{\nu_{21}}(z)]~\int_{z_{\rm s}...
...heta^{\rm cr}(z')~
\partial_{z'}{\rm e}^{-\tau_{\rm cr}(\nu, z', z)}{~\rm d}z',$](/articles/aa/full_html/2009/12/aa11100-08/img164.gif)

![$\textstyle =A_{\rm 21}(1+\bar{n})~N_{\rm 2p} \left[\displaystyle\frac{g_{\rm 2p}}{g_{\rm 1s}}~\frac{N_{\rm 1s}}{N_{\rm 2p}}~\frac{\bar{n}}{1+\bar{n}}-1 \right]$](/articles/aa/full_html/2009/12/aa11100-08/img172.gif)



![\begin{figure}
\par\includegraphics[width=8.8cm]{eps/1100fig2.eps}
\end{figure}](/articles/aa/full_html/2009/12/aa11100-08/Timg197.gif)
![\begin{figure}
\par\includegraphics[width=8.8cm]{eps/1100fig3.eps}
\end{figure}](/articles/aa/full_html/2009/12/aa11100-08/Timg198.gif)
![$\displaystyle 1-\int_0^1 {~\rm d}\chi ~{\rm e}^{-{\tau_{\rm S}}~[1-\chi]} = \fr...
...ckrel{\stackrel{\tau_{\rm S}\gg 1}{\downarrow}}{\approx}\frac{1}{\tau_{\rm S}},$](/articles/aa/full_html/2009/12/aa11100-08/img214.gif)
![$\displaystyle \stackrel{\stackrel{{p_{\rm d}}\gg p_{\rm sc}P_{\rm S}}{\downarro...
...\rm em}-\displaystyle\frac{P_{\rm S}}{p_{\rm d}}~[n_{\rm em}-\bar{n}^{\rm pl}].$](/articles/aa/full_html/2009/12/aa11100-08/img221.gif)
![$\displaystyle N_{\rm H} \frac{{\rm d} X_{\rm 2p}}{{\rm d} t} = R^{+}_{2\rm p} -...
...2p}~R^{-}_{2\rm p} +A_{21}~N_{\rm 2p}~\left[\frac{\bar{n}}{n_{\rm L}}-1\right],$](/articles/aa/full_html/2009/12/aa11100-08/img223.gif)

![$\displaystyle n_{\rm em}-\bar{n}^{\rm pl}=\left(1+\frac{{p_{\rm sc}}P_{\rm S}}{{p_{\rm d}}}\right)\left[n_{\rm L}-\bar{n}^{\rm pl}\right].$](/articles/aa/full_html/2009/12/aa11100-08/img232.gif)

![\begin{figure}
\par\includegraphics[width=8.8cm]{eps/1100fig4.eps}
\end{figure}](/articles/aa/full_html/2009/12/aa11100-08/Timg257.gif)
![$\displaystyle \int_0^{\nu_{\rm m}}
\varphi(\nu)~{\rm e}^{-\tau_{\rm d}}{\rm e}^...
...{{\rm e}^{-\tau_{\rm d}[1-\chi_{\rm m}]}-{\rm e}^{-\tau_{\rm d}}}{\tau_{\rm d}}$](/articles/aa/full_html/2009/12/aa11100-08/img272.gif)
![$\displaystyle \displaystyle\frac{{\rm e}^{-\tau_{\rm d}[1-\chi_{\rm m}]}}{\tau_{\rm d}},$](/articles/aa/full_html/2009/12/aa11100-08/img274.gif)
![$\displaystyle {\rm e}^{-\tau_{\rm d}[1-\chi_{\rm m}]}-1
\stackrel{\stackrel{\ta...
...rm d}[1-\chi_{\rm m}]\ll 1}{\downarrow}}{\approx}-\tau_{\rm d}[1-\chi_{\rm m}].$](/articles/aa/full_html/2009/12/aa11100-08/img278.gif)




![\begin{figure}
\par\includegraphics[width=8.8cm]{eps/1100fig5.eps}
\par\end{figure}](/articles/aa/full_html/2009/12/aa11100-08/Timg319.gif)
![\begin{figure}
\par\mbox{\includegraphics[width=8.8cm]{eps/1100f5a.eps}\includeg...
...s/1100f5c.eps}\includegraphics[width=8.8cm]{eps/1100f5d.eps} }\par\end{figure}](/articles/aa/full_html/2009/12/aa11100-08/Timg330.gif)
![\begin{figure}
\par\mbox{\includegraphics[width=8.8cm]{eps/1100f6a.eps}\includeg...
...]{eps/1100f6c.eps}\includegraphics[width=8.8cm]{eps/1100f6d.eps} }\end{figure}](/articles/aa/full_html/2009/12/aa11100-08/Timg331.gif)
![$\displaystyle \int^\infty_0 \varphi(\nu){~\rm d}\nu \int^{z_{\rm s}}_z
\left[\T...
...coh}(z')-1\right]~
\partial_{z'}{\rm e}^{-\tau_{\rm abs}(\nu, z', z)}{~\rm d}z'$](/articles/aa/full_html/2009/12/aa11100-08/img333.gif)

![$\displaystyle \int_{z_{\rm s}}^z \left[\Theta^{\rm coh}(z')-1\right] ~
\partial_{z'}{\rm e}^{-\tau_{\rm abs}(\nu, z', z)}{~\rm d}z'.$](/articles/aa/full_html/2009/12/aa11100-08/img336.gif)
![\begin{figure}
\par\includegraphics[width=8.8cm]{eps/1100fig7.eps}
\par\end{figure}](/articles/aa/full_html/2009/12/aa11100-08/Timg373.gif)
![\begin{figure}
\par\includegraphics[width=8.8cm]{eps/1100fig8.eps}
\end{figure}](/articles/aa/full_html/2009/12/aa11100-08/Timg376.gif)
![\begin{figure}
\par\includegraphics[width=8.8cm]{eps/1100fig9.eps}
\end{figure}](/articles/aa/full_html/2009/12/aa11100-08/Timg380.gif)
![$\displaystyle [N_{\rm em}(z)-N^{\rm pl}_{\nu_{21}}(z)]\!\!\int_{z_{\rm s}}^z \!...
...eta^{\rm a}(z') ~ \partial_{z'}{\rm e}^{-\tau_{\rm abs}(\nu, z', z)}{~\rm d}z',$](/articles/aa/full_html/2009/12/aa11100-08/img386.gif)




![\begin{figure}
\includegraphics[width=8.8cm]{eps/1100f10.eps}\end{figure}](/articles/aa/full_html/2009/12/aa11100-08/Timg407.gif)
![\begin{figure}
\par\includegraphics[width=8.8cm]{eps/1100f11.eps}
\end{figure}](/articles/aa/full_html/2009/12/aa11100-08/Timg413.gif)
![$\displaystyle \phi_{\rm wings}
\!\approx\!\frac{a}{\pi x^2_{\rm D}}\!\left[1\!+...
...}
+\frac{15-20a^2}{4 x^4_{\rm D}}+\frac{105(1-2a^2)}{8 x^6_{\rm D}}\right]\cdot$](/articles/aa/full_html/2009/12/aa11100-08/img428.gif)
![$\displaystyle \chi_{\rm wings}=-\frac{a}{\pi x_{\rm D}}\left[1+\frac{3-2a^2}{6 ...
...{\rm D}}
+\frac{3-4a^2}{4 x^4_{\rm D}}+\frac{15(1-2a^2)}{8 x^6_{\rm D}}\right],$](/articles/aa/full_html/2009/12/aa11100-08/img430.gif)