| Issue |
A&A
Volume 497, Number 1, April I 2009
|
|
|---|---|---|
| Page(s) | 195 - 207 | |
| Section | Stellar structure and evolution | |
| DOI | https://doi.org/10.1051/0004-6361/200810368 | |
| Published online | 09 February 2009 | |
Tracing the young massive high-eccentricity binary system
Orionis C
through periastron passage![[*]](/icons/foot_motif.gif)
S. Kraus1 - G. Weigelt1 - Y. Y. Balega2 - J. A. Docobo3 - K.-H. Hofmann1 - T. Preibisch4 - D. Schertl1 - V. S. Tamazian3 - T. Driebe1 - K. Ohnaka1 - R. Petrov5 - M. Schöller6 - M. Smith7
1 - Max-Planck-Institut für Radioastronomie, Auf dem Hügel 69, 53121 Bonn, Germany
2 -
Special Astrophysical Observatory, Russian Academy of Sciences, Nizhnij
Arkhyz, Zelenchuk region, Karachai-Cherkesia 357147, Russia
3 -
Astronomical Observatory R. M. Aller, University of Santiago de Compostela, Galicia, Spain
4 -
Universitäts-Sternwarte München, Scheinerstr. 1, 81679 München, Germany
5 -
Laboratoire Universitaire d'Astrophysique de Nice, UMR 6525 Université de Nice/CNRS, Parc Valrose, 06108 Nice Cedex 2, France
6 -
European Southern Observatory, Karl-Schwarzschild-Str. 2, 85748 Garching, Germany
7 -
Centre for Astrophysics & Planetary Science, University of Kent, Canterbury CT2 7NH, UK
Received 11 June 2008 / Accepted 27 January 2009
Abstract
Context. The nearby high-mass star binary system
Ori C is the brightest and most massive of the Trapezium OB stars at the core of the Orion Nebula Cluster, and it represents a perfect laboratory to determine the fundamental parameters of young hot stars and to constrain the distance of the Orion Trapezium Cluster.
Aims. By tracing the orbital motion of the
Ori C components, we aim to refine the dynamical orbit of this important binary system.
Methods. Between January 2007 and March 2008, we observed
Ori C with VLTI/AMBER near-infrared (H- and K-band) long-baseline interferometry, as well as with bispectrum speckle interferometry with the ESO 3.6 m and the BTA 6 m telescopes (B'- and V'-band). Combining AMBER data taken with three different 3-telescope array configurations, we reconstructed the first VLTI/AMBER closure-phase aperture synthesis image, showing the
Ori C system with a resolution of
2 mas. To extract the astrometric data from our spectrally dispersed AMBER data, we employed a new algorithm, which fits the wavelength-differential visibility and closure phase modulations along the H- and K-band and is insensitive to calibration errors induced, for instance, by changing atmospheric conditions.
Results. Our new astrometric measurements show that the companion has nearly completed one orbital revolution since its discovery in 1997. The derived orbital elements imply a short-period (
yr) and high-eccentricity orbit (
)
with periastron passage around 2002.6. The new orbit is consistent with recently published radial velocity measurements, from which we can also derive the first direct constraints on the mass ratio of the binary components. We employ various methods to derive the system mass (
)
and the dynamical distance (
pc), which is in remarkably good agreement with recently published trigonometric parallax measurements obtained with radio interferometry.
Key words: stars: formation -
stars: fundamental parameters -
stars: individual:
Orionis C
- binaries: close
- techniques: interferometric - stars: imaging
1 Introduction
The Orion Nebula (M42) is one of the closest (
pc)
and most prominent star-forming regions (see O'Dell 2001 for a review).
It contains a massive cluster of very young
(
yr) stars (cf. Hillenbrand 1997; McCaughrean & Stauffer 1994; Herbig & Terndrup 1986), which is
known as the Orion Nebula Cluster (ONC).
Due to its relatively close distance and
its favorable celestial location (which makes it accessible to
observatories on the northern and southern hemispheres), the
ONC is probably the best investigated young cluster in the whole sky
and has been observed at virtually every wavelength.
It is a perfect laboratory for observations of
young stellar objects over the full mass range, from very low-mass
brown dwarfs to massive O-type stars.
The brightest star in the cluster is the massive O7-O5.5 type
star
Ori C, which is known to be a close visual binary system.
After the initial discovery of the companion at
a separation
of
(33 mas, corresponding to about 15 AU)
with near-infrared (NIR) bispectrum speckle interferometry
by Weigelt et al. (1999),
Schertl et al. (2003) have presented further observations
and reported the first detection of orbital motion.
Kraus et al. (2007) presented the first speckle observations at visual
wavelengths, the first NIR long-baseline
interferometric observations of
Ori C using the IOTA
interferometer, and produced an aperture-synthesis image of the system.
They also performed a joint analysis of all existing interferometric
measurements that covered a period of more than 9 years and clearly revealed
orbital motion. After reaching a maximum value of 42 mas in 1999,
the separation of the system steadily decreased to 13 mas in 2005.
Detailed modeling of these data yielded a preliminary orbit solution
with a high eccentricity (
)
and a period
of 10.9 yrs. According to this solution, the periastron passage should
have occurred around July 2007 with a closest separation of less than 2 AU.
Patience et al. (2008) recently presented additional interferometric observations
of
Ori C obtained with NPOI at visual wavelengths.
Extending the orbital coverage by about 1.2 yrs, they measured a
companion position which deviates
4 mas
from the position predicted by the orbital solution of Kraus et al. (2007)
and concluded that the orbit has a considerably lower eccentricity
(
)
and a longer period (
26 yr).
This shows a clear need for further interferometric observations
that will clarify this apparent discrepancy.
A reliable and accurate orbit solution will also provide unique constraints
to the basic stellar parameters and, most importantly, will yield the
masses of the stars and the distance.
The orbital motion of the companion might also be responsible for the radial velocity variations reported by Stahl et al. (1996,2008) and others. Due to the incomplete coverage and the significant scatter in the derived velocities, it is not yet possible to derive the orbital elements of the spectroscopic orbit (Stahl et al. 2008).
In spite of its importance and the huge number of studies,
the distance to the ONC is, even after decades of investigation,
still not well known and an issue of ongoing discussion.
The ``canonical'' value of 450 pc (Genzel & Stutzki 1989; Herbig & Terndrup 1986) that was
widely used during the last two decades was recently
challenged by some studies finding significantly smaller values.
Numerous new distance determinations
(e.g. Mayne & Naylor 2008; Jeffries 2007; Stassun et al. 2006),
also including the first direct trigonometric parallax measurements on radio sources in the ONC by
Hirota et al. (2007,
pc),
Sandstrom et al. (2007,
389+24-21 pc), and
Menten et al. (2007,
pc),
yielded distances mainly in the range between 390 pc and 440 pc.
The
13% difference in these distance estimates,
which to some extent might also include an intrinsic distance spread
of the studied stars, leads to an
30% uncertainty in the derived stellar luminosities and
correspondingly affects any age and mass estimates for the stars.
This is a serious limitation to the usefulness of the exceptionally
well-studied young stellar population;
e.g., for the calibration of pre-main-sequence evolutionary models
or in the investigation of the spatial relationship between the
young stellar groups in the wider region of the Orion association.
Therefore, trigonometric parallax measurements of stars in the core
of the Trapezium OB star cluster (e.g. on GMR 12 =
Ori A2, for which Menten et al. 2007,
measured
pc) are highly desirable.
An alternative way to obtain such distance estimates is through astrometric measurements
on close binary systems such as
Ori C, yielding the dynamical parallax of the system.
2 Observations and data reduction
Table 1: Observation log for our new bispectrum speckle and long-baseline interferometric observations.
![]() |
Figure 1:
Selection of interferometric images of the |
| Open with DEXTER | |
2.1 Bispectrum speckle interferometry
Bispectrum speckle interferometry is a powerful technique to overcome atmospheric
perturbations and to reach the diffraction-limited resolution of ground-based
telescopes at visual wavelengths.
After monitoring the orbital evolution of the system between 1997 and 2004 at wavelengths
between 2.1
m and 545 nm (
mas; Weigelt et al. 1999; Kraus et al. 2007; Schertl et al. 2003) using the Russian
Big Telescope Alt-azimuthal (BTA) 6.0 m telescope,
Ori C became unresolvable with
6 m-class telescopes in 2006.
In November 2007 (
mas) and January 2008, the system could again be resolved with the BTA 6 m
telescope using a V' medium-band filter (
nm,
nm).
For these observations, a
pixel CCD with a multi-alkali S25 intensifier photocathode was used.
In January 2008, additional speckle measurements using V' (
nm,
nm)
and B' (
nm,
nm) medium-band filter were obtained
with the ESO 3.6 m telescope.
The speckle observations were carried out in the course of ESO open-time programme
080.C-0388(A) using our visitor speckle camera, which employs a Marconi/EEV
electron-multiplying CCD.
For the speckle observations, we recorded interferograms of
Ori C and of nearby unresolved stars
in order to compensate for the atmospheric speckle transfer function. The calibrator stars,
the number of recorded interferograms and the detector integration times (DITs) are listed in
Table 1.
The modulus of the Fourier transform of the object (visibility) was obtained
with the speckle interferometry method (Labeyrie 1970). For image
reconstruction we used the bispectrum speckle interferometry method
(Weigelt 1977; Weigelt & Wirnitzer 1983; Lohmann et al. 1983; Hofmann & Weigelt 1986).
Besides providing an independent astrometric measurement,
our bispectrum speckle interferometric measurement is of special importance
as it allows us to solve the 180
-ambiguity, which is inherent to
long-baseline interferometric investigations which do not include the closure
phase (e.g. Patience et al. 2008) or for which the instrumental closure phase sign
has not yet been calibrated (as for VLTI/AMBER).
Solving this ambiguity is essential for deriving the orbit of the system.
Therefore, we paid special attention while deriving the field
orientation of our speckle images, using calibration measurements which were taken
with the same instrument setup during the same night as the
Ori C observations
on
Ori A,
Ori B and the well-studied multi-component object
Carinae.
For the January 2008 observations,
a position angle calibration with an accuracy of
was done using
K'-band observations covering the Trapezium stars
Ori A, B, and E, followed
by the V' and B' observations of
Ori B, which is a binary system with a separation of
1
,
where
the fainter component is a close binary with a separtion of
0
15.
This allows us to unambiguously determine that in January 2008, the fainter component (C2) was
located to the southwest of the primary star (Figs. 1 and A.1).
Performing a detailed re-analysis on all Speckle data taken by our
group between 1997 and 2005, we found a 180
-calibration problem which affected the
position angle of the Speckle measurements at epochs 2003.8, 2003.9254, 2003.928, and 2004.8216,
as published in Kraus et al. (2007).
Since these Speckle measurements were used for the calibration of the
IOTA and NPOI long-baseline interferometric observations by Kraus et al. (2007)
and Patience et al. (2008), a revision of the preliminary orbital solutions
presented in these papers is required (as presented in Sect. 5.1).
In Table 3, we list all available astrometric data,
taking the quadrant correction into account.
2.2 VLTI/AMBER spectro-interferometry
AMBER is the NIR interferometric beam-combiner instrument (Petrov et al. 2007) of the
Very Large Telescope Interferometer (VLTI), which is located on Cerro Paranal/Chile and
operated by ESO.
For the beam combination, either three 8.2 m unit telescopes (UTs) or three of the allocatable
1.8 m auxiliary telescopes (ATs) can be used.
One outstanding feature of AMBER is its spectral capability, allowing one to observe
several spectral bands with low spectral resolution simultaneously (LR-JHK mode,
,
covering the J-band
around 1.2
m, the H-band around 1.6
m, and the K-band around 2.2
m).
The wide wavelength coverage offered by this spectral mode allows us to fit the binary
separation vector with a high accuracy and observing efficiency (as discussed in Sect. 3).
The VLTI/AMBER data was recorded in the course of three ESO programmes, yielding the uv-plane coverage shown in Fig. 2. For each science observation, we also recorded interferograms for at least one interferometric calibrator star (see Table 2 for the characteristics of our calibrator stars), which allows us to calibrate the visibilities and the closure phases for instrumental as well as atmospheric effects.
For AMBER data reduction, we employed the amdlib2-data reduction software
(release 2.1), which is based on
the P2VM algorithm (Tatulli et al. 2007).
For the LR-HK data, we applied the data selection criteria outlined in Kraus et al. (2008)
in order to remove frames which were either degraded by atmospheric effects or
were recorded significantly offset from zero optical path delay.
For the accuracy achievable with our binary model fits,
the absolute calibration of the wavelength scale is of special importance.
Therefore, we carefully refined the wavelength calibration using the
telluric gaps between the observed spectral bands.
Using this procedure (which is described in Appendix A),
we reach a calibration accuracy of about
m,
which is still the dominating limiting factor on the total achievable astrometric
accuracy (
2%).
While the target/calibrator observations from January 2007 were taken under good and stable atmospheric conditions, some of the observations in December 2007 and February 2008 suffer from strongly variable seeing conditions and short atmospheric coherence times. It is known that short coherence times can result in a decrease of the measured fringe contrast, which might not be completely calibrated out using calibrator measurements. This effect can impose errors on the absolute calibration, which are expected to increase with longer DIT and towards shorter wavelengths. To illustrate this effect, in Fig. 4 we plot the calibrated visibilities measured during our December 2007 observation campaign and compare them to the cosine visibility modulation of a binary source. In particular, in the H-band the resulting calibration errors can be on the order of 20%.
However, since all spectral channels of an AMBER interferogram are recorded
at the same time, the wavelength-differential observables (in particular, the
differential visibility
)
are practically insensitive to this
degradation.
Therefore, in Sect. 3 we employ a fitting algorithm in which we
fit only differential visibilities and closure phases in order to determine the
Ori C binary separation vector.
A fundamental problem one encounters when interpreting VLTI/AMBER 3-telescope
data concerns the lack of a calibration measurement for the closure phase sign,
resulting in a 180
uncertainty on the position angle of binary star observations.
Since our
Ori C VLTI/AMBER observations from December 2007 and February 2008 bracket the
bispectrum speckle measurement from January 2008, our data set allows us
to unambigously define the closure phase sign for these observations, providing
a direct calibration of the 180
uncertainty for VLTI/AMBER for the first time.
![]() |
Figure 2:
uv-plane coverage obtained at four
epochs on |
| Open with DEXTER | |
3 Modeling
In order to derive the binary separation
and position
angle
from the speckle data,
we used the same algorithm as in our earlier studies on this system (Weigelt et al. 1999; Kraus et al. 2007; Schertl et al. 2003),
fitting a cosine function directly to the 2-D speckle visibilities.
For illustration, in the Appendix (Fig. A.1) we show power spectra and
Fourier spectra determined from three independent data sets obtained during our
observing run with the ESO 3.6 m telescope and compare them with the model power and Fourier spectra
corresponding to a binary star.
For the modeling of the AMBER data, we employed an optimized algorithm which fits closure phases (CP)
and differential visibilities
.
Each AMBER LR-HK measurement records 16 K-band plus 11 H-band spectral channels in
the wavelength range from 1.51 to 2.55
m, covering about 40% of the
object Fourier spectrum in radial direction (see uv-plane tracks in Fig. 2).
Strongly resolved objects (such as binaries with a separation of
,
where
is the recorded spectral window and B' is the projected baseline length)
can already show significant visibility modulation over this range of spatial frequencies
(see illustration in Fig. 3).
For instance, our
Ori C AMBER measurements from December 2007
probe spatial frequencies out to the eighth lobe of the cosine binary visibility modulation
(Fig. 4) and the wavelength-differential visibilities recorded in
a single AMBER H-/K-band measurement sample up to 3 visibility cycles.
This wavelength-differential visibility modulation already provides all information required to determine
the binary separation and orientation. In this way, the absolute
calibration of the visibility, which is subject to many adverse atmospheric effects, becomes dispensable.
To determine the differential visibilities
as used in our fitting algorithm,
we first follow the standard data reduction and calibration procedure in order to correct for
wavelength-dependent instrumental effects (using a calibrator measurement taken during the same night).
Then, we remove the absolute calibration by subtracting the average visibility of
the considered spectral window
| (1) |
yielding the differential visibility
A similar approach is applied to the model visibilities
(which
we compute using Eqs. (7), (11), and (12) from Kraus et al. 2005):
| (2) |
where a and b are adjusted to minimize the residuals between the model visibilities and the measured wavelength-differential visibilities
Table 2: AMBER calibrator stars and their characteristics, including uniform disk (UD) diameters.
Table 3:
Astrometric measurements for the
Ori C binary system.
![]() |
Figure 3:
Illustration of the basic principle of fitting binary parameters using wavelength-differential interferometric observables.
Left: the VLTI/AMBER 3-telescope interferometer measures the interferometric observables
in various spectral channels from 1.4 to |
| Open with DEXTER | |
4 VLTI/AMBER aperture synthesis imaging
Currently, the most commonly applied procedure to extract scientific information
from optical interferometric data is model fitting, which requires the selection
of an appropriate (geometrical or astrophysically motivated) model,
whose parameters are then adjusted to fit the interferometric observables.
Since this model fitting approach requires a priori knowledge
about the source structure, it might, in some cases, not be applicable
or might lead to biased results.
Therefore, it is highly desirable that optical interferometers
such as VLTI/AMBER have the capability of recovering the source brightness
distribution free of any assumptions.
The aim of this section is to apply state-of-the-art aperture synthesis
imaging techniques for the first time to real VLTI/AMBER data
in order to independently confirm the scientific results obtained for
Ori C
in the last section, and, simultaneously, to demonstrate
the imaging capabilities of VLTI/AMBER on a relatively well-studied astrophysical
target with limited intrinsic complexity.
In order to obtain the uv-coverage required for aperture synthesis imaging,
we combined the
Ori C AMBER data sets taken between December 2007 and March 2008
on three different 3-telescope array configurations and at several hour angles.
Assuming that the source morphology does not change significantly over the
K-band (which seems well justified based on our earlier
measurements of the wavelength-dependent binary flux ratio; Kraus et al. 2007),
we make use of AMBER's spectral coverage, yielding radial
tracks in the uv-plane (Fig. 7, left).
Since the K-band visibilities provide a more reliable absolute
calibration (see Sect. 2.2), we did not use the
H-band data for image reconstruction and rejected also one
measurement taken under particularly poor and variable conditions
(2007 Dec. 05, UT 07:46).
In order to correct for the binary orbital motion
over the 3-month period (
mas,
![]()
),
we apply a rotation-compensating coordinate
transformation of the uv-plane (see Kraus et al. 2005, for a description
of this procedure) using the astrometric
data given in Table 3.
Then, we employed our
Building Block Mapping software, which is based on the
algorithm described by Hofmann & Weigelt (1993).
Starting from an initial single
-function, this algorithm
adds components to a model image in order to minimize
the deviations between the measured bispectrum and the bispectrum of the
model image.
Finally, the image is convolved with a clean beam of
mas, reflecting the elongation of the sampled uv-plane.
The resulting K-band aperture synthesis image
(Figs. 1 and 7, right)
yields a direct, model-independent representation of our
VLTI/AMBER interferometric data.
Measuring the companion position in the reconstructed image
(
mas,
![]()
,
epoch 2007.9), we find good agreement with the results obtained with
our model fitting approach using wavelength-differential observables (Sect. 3).
The noise features within the image show an intensity amplitude
below 2% of the peak brightness in the image.
5 Results
5.1 Dynamical orbit of the
Ori C binary system
Since our new astrometric data extend the orbital coverage for the
Ori C system by about 12 months and
solves the calibration problem described in Sect. 2.1,
we can significantly improve the orbital solution of the system.
To derive a refined orbital solution, we applied two independent orbit fitting
approaches.
First, we used the method presented by Docobo (1985),
which generates a family of Keplerian orbits, whose
apparent orbits pass through three base points.
These base points might be selected from the actual
astrometric measurements or represent observationally
favored areas in the
parameter space.
From the generated class of possible solutions, the orbit
which best agrees with the measured separations and PAs is selected. We use the error
bars of the individual measurements as weight.
The orbital elements for the determined best-fit orbit solution are given in
Table 4.
In addition, we implemented a grid search algorithm which scans the parameter space of the
dynamical elements eccentricity e, period P, and time of periastron passage T0.
As described by Hilditch (2001), at each grid point, the geometrical orbital elements a, i,
,
and
can be determined by fitting the Thiele-Innes constants to the
observational data.
We scanned the parameter space between
yrs (in increments of 0.001 yrs),
(in increments of 0.005), and
(in increments of 0.001 yrs) and determined
the least-square distance between the N measured positions
and
the corresponding orbit positions
for each
orbit solution:
![]() |
(3) |
Using the
![]() |
Figure 4:
AMBER visibilities measured on 2007 Dec. 03 and 2007 Dec. 05 plotted versus
projected distance in the uv-plane (where the projection was perpendicular
to the fitted binary separation vector
|
| Open with DEXTER | |
![]() |
Figure 5:
Differential visibilities and closure phases measured with VLTI/AMBER in January 2007
(left), February 2008 (middle), and March 2008 (right) on |
| Open with DEXTER | |
![]() |
Figure 6: Similar to Fig. 5, showing the AMBER data and best-fit model for our observations from December 2007. |
| Open with DEXTER | |
![]() |
Figure 7:
Combining AMBER data obtained on three telescope configurations ( left: uv-coverage), we reconstructed
an aperture synthesis image of the |
| Open with DEXTER | |
![]() |
Figure 8: Comparison of our new orbit solutions with the available astrometric data. Each position measurement is connected to the orbit prediction with an O-C vector (arrows). Furthermore, we show the lines of nodes in grey. The plots are centered on the primary star. North is up and east is to the left. |
| Open with DEXTER | |
Table 4: Orbital elements as determined with the algorithm from Docobo (1985) and our grid search algorithm (described in Sect. 5.1).
5.2 Constraining the binary mass ratio
Besides the 15.424-day period which is associated with the wind from the primary, long-term radial
velocity variations were also found (Vitrichenko 2002; Stahl et al. 2008).
Using a large data set covering more than 15 yrs of spectroscopic observations (plus
three archival measurements, which extend the coverage to more than 64 yrs), Stahl et al. (2008) showed
that these variations are consistent with the orbital motion of a high-eccentricity binary system.
Although the strong scatter within the radial velocity measurements prevents us from solving for
the precise spectroscopic orbit, the combination of these data with our new orbital solution
can be used to provide a first direct constraint on the mass ratio of the components in
the
Ori C system.
In Fig. 10 we plot the available radial velocity data as a function of orbital
phase using the orbital period P and time for periastron passage T0 determined
independently from our interferometric measurements (Sect. 5.1).
Using the method from Pourbaix (1998), we compute the radial velocity variations corresponding to our
full set of orbital elements (Table 4) and perform a
least-square fit between the measured (vi) and the predicted (
)
radial velocities
in order to determine the mass-ratio between the binary components.
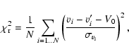
As least-square measure for N measurements, we use
where V0 is the velocity of the center of mass of the system, which is given by
i.e.
For the radial velocity of the center of mass, we determine 23.6 km s-1,
which is in good agreement with the heliocentric velocity of the
Orion Molecular Cloud (
28 km s-1, O'Dell 2001).
This might indicate that the relative motion of the
Ori C system
with respect to the parental cloud is smaller than previously assumed
(O'Dell 2001; Stahl et al. 2008).
![]() |
Figure 9:
Minimum
|
| Open with DEXTER | |
5.3 Dynamical masses and parallaxes
Kepler's third law (
)
relates a and P with the product of the system mass
and the cube of the parallax
.
Therefore, our astrometric measurement of a3/P2 directly constrains
certain areas in the (
,
)
parameter space,
as shown by the shaded area in Fig. 13.
Since the elements of the spectroscopic orbit are currently only
weakly constrained, it is not possible to directly separate the
system mass and the dynamical parallax.
However, several independent methods exist to disentangle these important
parameters using additional information, such as the flux ratio
of the components, their mass ratio, and/or their stellar parameters.
The stellar parameters of
Ori C1 have already been studied extensively
with spectroscopy, placing the effective temperature between 37 000 and 40 000 K
(e.g. Rubin et al. 1991; Simón-Díaz et al. 2006; Baldwin et al. 1991; Polyakov & Tsivilev 2007). In particular, Simón-Díaz et al. (2006)
included non-LTE and line-blanketing effects (
K)
for their detailed spectroscopic modeling,
which makes their results compatible with the O-star stellar parameter
calibration by Martins et al. (2005).
Since each of the above-mentioned stellar or observational parameters is associated with certain assumptions and uncertainties, it seems advisable to take a number of alternative approaches for deriving the underlying physical parameters in order to yield some insight into the associated uncertainties. Therefore, we follow three alternative approaches:
- a)
- based on the effective temperature determination of the primary and the binary flux ratio, one can give a reasonable mass range for each component and, thus, the system mass (green-shaded area in Fig. 13);
- b)
- one can estimate the mass of the primary from the stellar temperature and then derive the companion mass using the mass ratio constraints obtained from the radial velocities (Sect. 5.2), yielding the orange curve in Fig. 13;
- c)
- Baize & Romani (1946) presented a method which solves for the system mass and the dynamical parallax using a mass-luminosity relation (MLR), the bolometric corrections of the components and their extinction-corrected apparent magnitudes. To evaluate the influence of the MLRs on the result, we used three different MLRs; namely, from Baize & Romani (1946), Heintz (1978), and Demircan & Kahraman (1991) (corresponding to the three blue data points in Fig. 13).
![]() |
Figure 10:
The radial velocities measured towards |
| Open with DEXTER | |
![]() |
Figure 11:
|
| Open with DEXTER | |
Evidently, each method is associated with considerable uncertainties, which
makes it very desirable for future observations to improve not only the astrometric
orbit, but to derive the accurate spectroscopic orbit of the system as well.
Nevertheless, within their large uncertainties, the methods employed cover a
common area in parameter space, corresponding to a system mass of
and a dynamical distance of
pc, as marked with the red ellipse in Fig. 13.
Methods a) and b) yield systematically lower system masses than
method c), reflecting the recent correction in the mass calibration scale
in stellar evolutionary models (Martins et al. 2005).
Assuming a distance of 414 pc, as determined by Menten et al. (2007),
would yield a system mass of
.
![]() |
Figure 12:
Minimum
|
| Open with DEXTER | |
![]() |
Figure 13:
The derived a3/P2 value puts some direct constraints
on the system mass
|
| Open with DEXTER | |
5.4 Possible implications on the dynamical history of the
Ori C system
With an eccentricity of
0.6, the orbit of
Ori C is
located on the upper end of the eccentricity distribution of low-
as well as high-mass binary stars (Mathieu 1994; Mason et al. 1998), perhaps providing
important information about the dynamical history of the system.
Tan (2004,2008) proposed that the Becklin-Neugebauer (BN) object, which
is located 45
northwest of the Trapezium stars, might be a
runaway B star ejected from the
Ori C multiple system approximately
4000 yrs ago. This scenario is based on proper motion measurements, which
show that BN and
Ori C recoil roughly in opposite directions.
Three-body interaction is a crucial part of this interpretation, and
the high eccentricity of the
Ori C orbit which we derive for this system
might be a direct consequence of this dynamical interaction event.
However, another study (Rodríguez et al. 2005) also aimed to identify the multiple
system from which BN was ejected and identified Source I as the likely
progenitor system.
Later, Gómez et al. (2008,2005) added further evidence to this
interpretation by identifying Source n as a potential third
member of the decayed system.
Therefore, it is still unclear whether this scenario can explain
the measured properties of the
Ori C orbit.
As an alternative explanation for the high eccentricity of the
Ori C system, Zinnecker & Yorke (2007) pointed out that such systems
are predicted by star formation scenarios which include
sub-Keplerian rotating disks or filament fragmentation (Kratter & Matzner 2006).
6 Conclusions
We have presented new bispectrum speckle (V'-/B'-band) and
VLTI/AMBER (H-/K-band) interferometric
observations of the Orion Trapezium star
Ori C
covering several epochs over a time period of about 14 months.
From our long-baseline interferometric data, we have reconstructed the first
model-independent VLTI/AMBER aperture synthesis image,
depicting the
Ori C system at a resolution of
2 mas and
demonstrating the imaging capabilities of this unique facility.
In order to extract accurate astrometric information for all epochs,
we have followed a new modeling approach which is based on
wavelength-differential observables and which
demonstrates the benefits of spectro-interferometry in terms
of observing efficiency and robustness to poor observing conditions.
Furthermore, our ESO 3.6 m and the BTA 6 m speckle observations
allow us to solve 180
-ambiguity and to calibrate the
closure phase sign of our VLTI/AMBER observations, providing a
potential reference for other AMBER observations using
closure phase information
.
Our new
Ori C astrometric data shows that since its discovery in 1997,
the
Ori C companion has nearly completed one orbital revolution and that the
system has a high eccentricity (
).
Solving for the orbital elements,
we determine a period of
11.3 yrs,
a semi-major axis of 44 mas, and a periastron passage around 2002.6.
According to our orbital solutions, the physical separation between the
components decreases to
7 AU (angular separation 2.8 mas) during periastron passage,
which might be too large to result in detectable signatures of wind-wind interaction
between the stellar winds.
Using additional information about the stellar parameters
and various stellar models, we estimate the total system
mass to be
and the dynamical distance to be
pc.
In the coming years, the uncertainties on these parameters could be considerably
reduced with new spectroscopic and astrometric observations of this
important binary system.
Acknowledgements
We would like to thank the referee, M. McCaughrean, for helpful comments which improved this paper. Furthermore, we acknowledge helpful discussions with E. Vitrichenko, F. Millour and members of the AMBER consortium.
Appendix A: Spectral calibration of AMBER-LR data
![]() |
Figure A.1:
Left: three two-dimensional average power spectra ( top row) and
Fourier phase spectra ( middle row) derived
from B'-band speckle data recorded on 2008 Jan. 10 with the ESO 3.6 m telescope.
Right: comparing this data to model power spectra ( top row) and Fourier spectra ( middle row)
for a binary with separation |
| Open with DEXTER | |
Employing wavelength-differential visibilities and phases for model fitting
requires a precise knowledge of the central wavelength of the recorded spectral channels.
Therefore, we performed a re-calibration of the wavelength axes of our data sets
using atmospheric absorption features and found deviations of up to
m
compared to the standard wavelength table applied to the data on Paranal.
![]() |
Figure A.2: To obtain a spectrum which is corrected for instrumental effects for the spectral calibration, we subtract from the RAW spectrum the SKY spectrum and then divide by the P2VM spectrum (blue dashed curve). The resulting instrument-corrected spectrum (red curve) is compared with an atmospheric transmission spectrum (green curve: R=4000; black curve: R=35). |
| Open with DEXTER | |
In the recorded J-/H-/K-band object raw
spectra, the telluric features are not pronounced enough to be used for the calibration,
which is mainly due to absorption by internal optical components.
Therefore, besides the raw spectrum of the object exposures, we also extracted the
spectrum from the sky and the P2VM calibration exposures.
The P2VM calibration files (P2VM = Pixel-to-Visibility-Matrix; see Tatulli et al. 2007)
are recorded at the beginning of each observation block
using a lamp located in AMBER's Calibration and Alignment Unit and
provide a measure of the instrumental transmission.
By subtracting the sky spectrum from the object spectrum and then
dividing by the P2VM spectrum, we yield a spectrum which is corrected for
most instrumental effects and shows the telluric absorption features much more clearly
(see Fig. A.2, red curve).
These corrected spectra were compared with standard atmospheric transmission spectra
provided by the Gemini observatory
(see Fig. A.2, green curve).
We manually align the spectra using the pronounced gaps between the J-/H- and H-/K-band and
find best agreement assuming a linear dispersion law
,
where
i is the number of the spectral channel on the detector.
The remaining wavelength calibration uncertainty of about 1 spectral channel
(corresponding to about
m) is the dominant limiting factor on the achievable
astrometric accuracy (
2%).
Therefore, for future observations, it seems highly desirable to implement an
AMBER on-site spectral calibration device (e.g. NIR lasers with well-known frequencies),
fascilitating an absolute spectral calibration in the standard instrument calibration
procedure, pushing AMBER to its full astrometric accuracy.
References
- Baize, P., & Romani, L. 1946, Ann. Astrophys., 9, 13 [NASA ADS] (In the text)
- Baldwin, J. A., Ferland, G. J., Martin, P. G., et al. 1991, ApJ, 374, 580 [NASA ADS] [CrossRef]
- Bessell, M. S., Castelli, F., & Plez, B. 1998, A&A, 333, 231 [NASA ADS] (In the text)
- Conti, P. S. 1972, ApJ, 174, L79 [NASA ADS] [CrossRef] (In the text)
- Demircan, O., & Kahraman, G. 1991, Ap&SS, 181, 313 [NASA ADS] [CrossRef] (In the text)
- Docobo, J. A. 1985, Celest. Mech., 36, 143 [NASA ADS] [CrossRef] (In the text)
- Genzel, R., & Stutzki, J. 1989, ARA&A, 27, 41 [NASA ADS] [CrossRef]
- Gómez, L., Rodriguez, L. F., Loinard, L., et al. 2008, ArXiv e-prints, 805
- Gómez, L., Rodríguez, L. F., Loinard, L., et al. 2005, ApJ, 635, 1166 [NASA ADS] [CrossRef]
- Heintz, W. D. 1978, Geophys. Astrophys. Monogr., 15 [NASA ADS] (In the text)
- Herbig, G. H., & Terndrup, D. M. 1986, ApJ, 307, 609 [NASA ADS] [CrossRef]
- Hilditch, R. W. 2001, An Introduction to Close Binary Stars, ed. R. W. Hilditch (Cambridge, UK: Cambridge University Press), ISBN 0521241065 (In the text)
- Hillenbrand, L. A. 1997, AJ, 113, 1733 [NASA ADS] [CrossRef]
- Hirota, T., Bushimata, T., Choi, Y. K., et al. 2007, PASJ, 59, 897 [NASA ADS]
- Hofmann, K.-H., & Weigelt, G. 1986, A&A, 167, L15 [NASA ADS] (In the text)
- Hofmann, K.-H., & Weigelt, G. 1993, A&A, 278, 328 [NASA ADS] (In the text)
- Jeffries, R. D. 2007, MNRAS, 376, 1109 [NASA ADS] [CrossRef]
- Kratter, K. M., & Matzner, C. D. 2006, MNRAS, 373, 1563 [NASA ADS] [CrossRef] (In the text)
- Kraus, S., Schloerb, F. P., Traub, W. A., et al. 2005, AJ, 130, 246 [NASA ADS] [CrossRef] (In the text)
- Kraus, S., Balega, Y. Y., Berger, J.-P., et al. 2007, A&A, 466, 649 [NASA ADS] [CrossRef] [EDP Sciences] (In the text)
- Kraus, S., Preibisch, T., & Ohnaka, K. 2008, ApJ, 676, 490 [NASA ADS] [CrossRef] (In the text)
- Labeyrie, A. 1970, A&A, 6, 85 [NASA ADS] (In the text)
- Lohmann, A. W., Weigelt, G., & Wirnitzer, B. 1983, Appl. Opt., 22, 4028 [NASA ADS] [CrossRef] (In the text)
- Martins, F., Schaerer, D., & Hillier, D. J. 2005, A&A, 436, 1049 [NASA ADS] [CrossRef] [EDP Sciences] (In the text)
- Mason, B. D., Gies, D. R., Hartkopf, W. I., et al. 1998, AJ, 115, 821 [NASA ADS] [CrossRef]
- Mathieu, R. D. 1994, ARA&A, 32, 465 [NASA ADS] [CrossRef]
- Mayne, N. J., & Naylor, T. 2008, MNRAS, 326
- McCaughrean, M. J., & Stauffer, J. R. 1994, AJ, 108, 1382 [NASA ADS] [CrossRef]
- Menten, K. M., Reid, M. J., Forbrich, J., & Brunthaler, A. 2007, A&A, 474, 515 [NASA ADS] [CrossRef] [EDP Sciences] (In the text)
- Morrell, N., & Levato, H. 1991, ApJS, 75, 965 [NASA ADS] [CrossRef] (In the text)
- Mozurkewich, D., Johnston, K. J., Simon, R. S., et al. 1991, AJ, 101, 2207 [NASA ADS] [CrossRef]
- O'Dell, C. R. 2001, ARA&A, 39, 99 [NASA ADS] [CrossRef] (In the text)
- Patience, J., Zavala, R. T., Prato, L., et al. 2008, ApJ, 674, L97 [NASA ADS] [CrossRef] (In the text)
- Petrov, R. G., Malbet, F., Weigelt, G., et al. 2007, A&A, 464, 1 [NASA ADS] [CrossRef] [EDP Sciences] (In the text)
- Polyakov, A. M., & Tsivilev, A. P. 2007, Astron. Lett., 33, 34 [NASA ADS] [CrossRef]
- Pourbaix, D. 1998, A&AS, 131, 377 [NASA ADS] [CrossRef] [EDP Sciences] (In the text)
- Rodríguez, L. F., Poveda, A., Lizano, S., & Allen, C. 2005, ApJ, 627, L65 [NASA ADS] [CrossRef] (In the text)
- Rubin, R. H., Simpson, J. P., Haas, M. R., & Erickson, E. F. 1991, ApJ, 374, 564 [NASA ADS] [CrossRef]
- Sandstrom, K. M., Peek, J. E. G., Bower, G. C., Bolatto, A. D., & Plambeck, R. L. 2007, ApJ, 667, 1161 [NASA ADS] [CrossRef]
- Schertl, D., Balega, Y. Y., Preibisch, T., & Weigelt, G. 2003, A&A, 402, 267 [NASA ADS] [CrossRef] [EDP Sciences] (In the text)
- Simón-Díaz, S., Herrero, A., Esteban, C., & Najarro, F. 2006, A&A, 448, 351 [NASA ADS] [CrossRef] [EDP Sciences]
- Stahl, O., Kaufer, A., Rivinius, T., et al. 1996, A&A, 312, 539 [NASA ADS]
- Stahl, O., Wade, G., Petit, V., Stober, B., & Schanne, L. 2008, A&A, 487, 323 [NASA ADS] [CrossRef] [EDP Sciences]
- Stassun, K. G., van den Berg, M., Feigelson, E., & Flaccomio, E. 2006, ApJ, 649, 914 [NASA ADS] [CrossRef]
- Struve, O., & Titus, J. 1944, ApJ, 99, 84 [NASA ADS] [CrossRef] (In the text)
- Tan, J. C. 2004, ApJ, 607, L47 [NASA ADS] [CrossRef]
- Tan, J. C. 2008, ArXiv e-prints, 807
- Tatulli, E., Millour, F., Chelli, A., et al. 2007, A&A, 464, 29 [NASA ADS] [CrossRef] [EDP Sciences] (In the text)
- Vacca, W. D., Garmany, C. D., & Shull, J. M. 1996, ApJ, 460, 914 [NASA ADS] [CrossRef]
- Vitrichenko, É. A. 2002, Astron. Lett., 28, 324 [NASA ADS] [CrossRef]
- Weigelt, G. P. 1977, Opt. Commun., 21, 55 [NASA ADS] [CrossRef] (In the text)
- Weigelt, G., & Wirnitzer, B. 1983, Opt. Lett., 8, 389 [NASA ADS] [CrossRef] (In the text)
- Weigelt, G., Balega, Y., Preibisch, T., et al. 1999, A&A, 347, L15 [NASA ADS] (In the text)
- Zinnecker, H., & Yorke, H. W. 2007, ARA&A, 45, 481 [NASA ADS] [CrossRef] (In the text)
Footnotes
- ... passage
- Based on observations made with ESO telescopes at the La Silla Paranal Observatory under the OT and VISA-MPG GTO programme IDs 078.C-0360(A), 080.C-0541(A,B,C,D), 080.D-0225(B), and 080.C-0388(A).
- ... type
- Simón-Díaz et al. (2006) determined the stellar effective temperature of
Ori C to be
K with
dex.
In recent stellar atmosphere models (Martins et al. 2005), this corresponds to a spectral type
of O5.5-O6, while the same parameters correspond to a
later spectral type of O7.5-O8 using earlier models (e.g. Vacca et al. 1996).
- ... software
- The amdlib2 software package is available from the website http://www.jmmc.fr/data_processing_amber.htm
- ...
angle
- Following convention, we measure the position angle (PA) East of North.
- ... information
- Since our data set might be useful for VLTI/AMBER users as reference data for the calibration of the closure phase sign, we provide our data on the following website: http://www.mpifr.de/staff/skraus/files/amber.htm
- ... observatory
- These ATRAN transmission spectra can be found on the website http://www.gemini.edu/sciops/telescopes-and-sites/observing-condition-constraints/transmission-spectra.
All Tables
Table 1: Observation log for our new bispectrum speckle and long-baseline interferometric observations.
Table 2: AMBER calibrator stars and their characteristics, including uniform disk (UD) diameters.
Table 3:
Astrometric measurements for the
Ori C binary system.
Table 4: Orbital elements as determined with the algorithm from Docobo (1985) and our grid search algorithm (described in Sect. 5.1).
All Figures
![]() |
Figure 1:
Selection of interferometric images of the |
| Open with DEXTER | |
| In the text | |
![]() |
Figure 2:
uv-plane coverage obtained at four
epochs on |
| Open with DEXTER | |
| In the text | |
![]() |
Figure 3:
Illustration of the basic principle of fitting binary parameters using wavelength-differential interferometric observables.
Left: the VLTI/AMBER 3-telescope interferometer measures the interferometric observables
in various spectral channels from 1.4 to |
| Open with DEXTER | |
| In the text | |
![]() |
Figure 4:
AMBER visibilities measured on 2007 Dec. 03 and 2007 Dec. 05 plotted versus
projected distance in the uv-plane (where the projection was perpendicular
to the fitted binary separation vector
|
| Open with DEXTER | |
| In the text | |
![]() |
Figure 5:
Differential visibilities and closure phases measured with VLTI/AMBER in January 2007
(left), February 2008 (middle), and March 2008 (right) on |
| Open with DEXTER | |
| In the text | |
![]() |
Figure 6: Similar to Fig. 5, showing the AMBER data and best-fit model for our observations from December 2007. |
| Open with DEXTER | |
| In the text | |
![]() |
Figure 7:
Combining AMBER data obtained on three telescope configurations ( left: uv-coverage), we reconstructed
an aperture synthesis image of the |
| Open with DEXTER | |
| In the text | |
![]() |
Figure 8: Comparison of our new orbit solutions with the available astrometric data. Each position measurement is connected to the orbit prediction with an O-C vector (arrows). Furthermore, we show the lines of nodes in grey. The plots are centered on the primary star. North is up and east is to the left. |
| Open with DEXTER | |
| In the text | |
![]() |
Figure 9:
Minimum
|
| Open with DEXTER | |
| In the text | |
![]() |
Figure 10:
The radial velocities measured towards |
| Open with DEXTER | |
| In the text | |
![]() |
Figure 11:
|
| Open with DEXTER | |
| In the text | |
![]() |
Figure 12:
Minimum
|
| Open with DEXTER | |
| In the text | |
![]() |
Figure 13:
The derived a3/P2 value puts some direct constraints
on the system mass
|
| Open with DEXTER | |
| In the text | |
![]() |
Figure A.1:
Left: three two-dimensional average power spectra ( top row) and
Fourier phase spectra ( middle row) derived
from B'-band speckle data recorded on 2008 Jan. 10 with the ESO 3.6 m telescope.
Right: comparing this data to model power spectra ( top row) and Fourier spectra ( middle row)
for a binary with separation |
| Open with DEXTER | |
| In the text | |
![]() |
Figure A.2: To obtain a spectrum which is corrected for instrumental effects for the spectral calibration, we subtract from the RAW spectrum the SKY spectrum and then divide by the P2VM spectrum (blue dashed curve). The resulting instrument-corrected spectrum (red curve) is compared with an atmospheric transmission spectrum (green curve: R=4000; black curve: R=35). |
| Open with DEXTER | |
| In the text | |
Copyright ESO 2009
Current usage metrics show cumulative count of Article Views (full-text article views including HTML views, PDF and ePub downloads, according to the available data) and Abstracts Views on Vision4Press platform.
Data correspond to usage on the plateform after 2015. The current usage metrics is available 48-96 hours after online publication and is updated daily on week days.
Initial download of the metrics may take a while.
![\begin{figure}
\par\includegraphics[width=17.3cm,clip]{fig1.eps}
\end{figure}](/articles/aa/full_html/2009/13/aa10368-08/Timg31.gif)
![\begin{figure}
\par\includegraphics[width=8cm,clip]{10368f2.eps}
\end{figure}](/articles/aa/full_html/2009/13/aa10368-08/Timg48.gif)
![\begin{figure}
\par\includegraphics[width=16.5cm,clip]{fig3.eps}
\end{figure}](/articles/aa/full_html/2009/13/aa10368-08/Timg126.gif)
![\begin{displaymath}\chi^{2}_{\rm r} = \frac{1}{N} \sum_{i=1 \ldots N} \left[ \le...
...ta^{\prime}_{i}}{\sigma_{\Theta_{i}}} \right)^{2} \right]\cdot
\end{displaymath}](/articles/aa/full_html/2009/13/aa10368-08/img141.gif)
![\begin{figure}
\par\includegraphics[width=7.7cm,clip]{10368f4.eps}
\end{figure}](/articles/aa/full_html/2009/13/aa10368-08/Timg144.gif)
![\begin{figure}
\par\mbox{\includegraphics[height=11cm,width=3.7cm,clip]{10368f5a...
...m}
\includegraphics[height=11cm,width=3.7cm,clip]{10368f5c.eps} }
\end{figure}](/articles/aa/full_html/2009/13/aa10368-08/Timg145.gif)
![\begin{figure}
\par\includegraphics[width=11.5cm,clip]{10368f6.eps}
\end{figure}](/articles/aa/full_html/2009/13/aa10368-08/Timg146.gif)
![\begin{figure}
\par\includegraphics[width=5.5cm,clip]{10368f7a.eps}\hspace*{4mm}
\includegraphics[width=7.1cm,clip]{10368f7b.eps}
\end{figure}](/articles/aa/full_html/2009/13/aa10368-08/Timg147.gif)
![\begin{figure}
\par\includegraphics[width=7.8cm,clip]{10368f8.eps}
\end{figure}](/articles/aa/full_html/2009/13/aa10368-08/Timg148.gif)


![\begin{figure}
\par\includegraphics[width=18cm,clip]{fig9.eps}
\end{figure}](/articles/aa/full_html/2009/13/aa10368-08/Timg185.gif)
![\begin{figure}
\par\includegraphics[width=7.4cm,clip]{10368f10.eps}
\end{figure}](/articles/aa/full_html/2009/13/aa10368-08/Timg196.gif)
![\begin{figure}
\par\includegraphics[width=7.4cm,clip]{10368f11.eps}
\end{figure}](/articles/aa/full_html/2009/13/aa10368-08/Timg197.gif)
![\begin{figure}
\par\includegraphics[width=7.7cm,clip]{10368f12.eps}
\end{figure}](/articles/aa/full_html/2009/13/aa10368-08/Timg199.gif)
![\begin{figure}
\par\includegraphics[width=7.5cm,clip]{10368f13.eps}
\end{figure}](/articles/aa/full_html/2009/13/aa10368-08/Timg200.gif)
![\begin{figure}
\par\begin{tabular}{cccc}
\includegraphics[width=4.4cm]{1036814a...
...m]
&&&\includegraphics[width=4.4cm]{1036814i.eps} \end{tabular}
\end{figure}](/articles/aa/full_html/2009/13/aa10368-08/Timg203.gif)
![\begin{figure}
\par\includegraphics[angle=270,width=7.8cm,clip]{10368f15.eps}
\end{figure}](/articles/aa/full_html/2009/13/aa10368-08/Timg205.gif)