| Issue |
A&A
Volume 497, Number 1, April I 2009
|
|
|---|---|---|
| Page(s) | L9 - L12 | |
| Section | Letters | |
| DOI | https://doi.org/10.1051/0004-6361/200811378 | |
| Published online | 11 March 2009 | |
LETTER TO THE EDITOR
XMM-Newton RGS spectrum of RX J0720.4-3125:
an absorption feature at 0.57 keV
V. Hambaryan1 - R. Neuhäuser1 - F. Haberl2 - M. M. Hohle1,2 - A. D. Schwope3
1 - Astrophysikalisches Institut und Universitäts-Sternwarte, Universität Jena, Schillergäßchen 2-3, 07745 Jena, Germany
2 -
Max-Planck-Institut für extraterrestrische Physik, Giessenbachstrasse, 85741 Garching, Germany
3 -
Astrophysikalisches Institut Potsdam, An der Sternwarte 16, 14482 Potsdam, Germany
Received 19 November 2008 / Accepted 3 March 2009
Abstract
Aims. By measuring the gravitational redshift of spectral features in the spectrum of thermal radiation emitted from neutron stars, useful constraints for the equation of state of superdense matter can be obtained via an estimate of the mass-to-radius ratio. We searched for spectral line features in the high-resolution X-ray spectrum of the isolated neutron star RX J0720.4-3125.
Methods. Our target was observed by XMM-Newton on many occasions. We used the XMM-Newton SAS task rgscombine in order to create a co-added RGS spectrum of RX J0720.4-3125. We modeled the resulting spectrum with absorbed blackbody radiation with a Gaussian absorption features using the XSPEC package.
Results. We found a narrow absorption feature at 0.57 keV in the co-added RGS spectrum of the isolated neutron star RX J0720.4-3125 with an equivalent width of
eV and
eV. The feature was identified with an absorption line of highly ionized oxygen O vii, most probably originating in the ambient medium of RX J0720.4-3125. An extensive investigation with the photo-ionization code CLOUDY indicates the possibility that the optical flux excess observed in the spectrum of RX J0720.4-3125 at least partially originates in a relatively dense (e.g.
)
slab, located in the vicinity of the neutron star (e.g.
).
Key words: stars: individual: RX J0720.4-3125 - stars: neutron - X-rays: stars - circumstellar matter
1 Introduction
The study of thermally emitting and radio-quiet, nearby, isolated neutron stars (INSs) may allow an important input to our understanding of neutron stars. In particular, measuring the gravitational redshift of a spectral feature in the spectrum of thermal radiation emitted from the neutron star surface (atmosphere) may provide a useful constraint for various equations of state for superdense matter. Independent of the estimate of the neutron star radius (e.g. Trümper et al. 2004) from the thermal spectrum of an INS, it will also allow us to directly estimate the mass-to-radius ratio. RX J0720.4-3125, originally discovered as a soft X-ray source during the ROSAT All-Sky Survey by Haberl et al. (1997), is a special case among the INS. Clear spectral variations on times scales of years were detected during XMM-Newton observations in the data of the high spectral resolution Reflection Grating Spectrometers (RGS) (de Vries et al. 2004) and the imaging-spectroscopic instrument EPIC pn (Haberl et al. 2006). However, during individual RGS observations the number of counts received from RX J0720.4-3125 in a single resolution element were not enough to study the spectrum in detail.
From this point of view, it is interesting to study a co-added XMM-Newton RGS spectrum of RX J0720.4-3125, despite of the spectral variations shown by the INS.
2 Observations and data reduction
RX J0720.4-3125 has been observed many times by XMM-Newton (Hohle et al. 2009) and we focus here on the data collected with RGS (den Herder et al. 2001) from the 14 publicly available observations, in total presenting about 500 ks of effective exposure time.
Table 1: XMM-Newton RGS1/2 observations of RX J0720.4-3125.
The data were reduced using standard threads from the
XMM-Newton data analysis package SAS version 8.0.1.
We reprocessed all publicly available data (see Table 1) with the standard metatask rgsproc
with the aim to co-add the spectra with the task rgscombine. To determine good time intervals free of
background flares, we used the filtering expression ``rate < 1.0'' on the background light curves.
This reduced the total exposure time by
13%. First order source and
background spectra were produced from the
cleaned events. A model background spectrum was also generated with the task rgsbkgmodel that also
was used for the background correction as an additional check for possible phenomena related
to background variations seen during some of the observations.
No significant differences between RGS spectra reduced in these two different ways were seen.
The background subtracted co-added spectra of RX J0720.4-3125 revealed the existence of a relatively
narrow absorption-like feature at
0.57 keV. No sharp variation is present in the spectral response
of the instrument, indicating an astronomical origin. A similar narrow absorption feature was reported in the
XMM-Newton RGS spectrum of another INS RX J1605.3+3249 at 0.576 keV
by van Kerkwijk et al. (2004).
We fitted the resulting co-added RGS1
spectrum of RX J0720.4-3125 (see Fig. 1) using
the XSPEC package version 12.5.0. We fitted an absorbed blackbody model
with a broad (0.08 keV) Gaussian absorption feature at 0.3 keV, well known from
XMM-Newton EPIC pn spectral studies (Haberl 2007).
![]() |
Figure 1:
XMM-Newton high-resolution co-added spectrum of the isolated neutron star RX J0720.4-3125.
An absorbed blackbody (blue) and an absorbed blackbody with two additional Gaussian
absorption lines (red, a wide absorption feature at 0.3 keV and a narrow feature at 0.57 keV) are shown.
The equivalent width and the FWHM of the narrow absorption line (green), which we associate with OVII,
were determined at 1.35 eV and |
| Open with DEXTER | |
Another additive Gaussian absorption component was used to fit the feature at 0.57 keV. We used this model to estimate the equivalent width of the detected absorption feature at 0.57 keV. As the continuum level the absorbed blackbody model including the broad Gaussian line in absorption was used. With different levels (normalizations) of continuum and absorption lines an error of the equivalent width was determined. Results of the fit and equivalent width estimates are presented in Fig. 1.
As already mentioned, RX J0720.4-3125 showed spectral variations, first noticed from the comparison of RGS spectra observed at different epochs (de Vries et al. 2004). After the detection of the absorption feature at 0.57 keV in the co-added RGS spectrum of RX J0720.4-3125, we examined its behavior over time. We divided all publicly available observations into three groups from different epochs. In the first group, we combined the RGS spectra of RX J0720.4-3125 from the year 2000 (ObsIds 0124100101 and 0132520301), for the second group the spectra between Nov. 2002 and May 2003 (0156960201, 0156960401 and 0158360201, and in the third group, the spectra from Oct. 2003 to Nov. 2007. This devision was inferred from our recent study on the nature of global variations observed from RX J0720.4-3125 (Hohle et al. 2009) which was mainly based on the analysis of the EPIC pn data. In this way the variations in the blackbody temperature and the depth of the broad absorption feature in the spectra within each group of observations (see, Fig. 7, Hohle et al. 2009) are kept to a minimum and below the sensitivity of the RGS instrument. The results of this analysis are presented in Fig. 2. It shows a tendency for a reciprocal dependence of the measured equivalent width on the derived blackbody temperature. To decide whether this is due to pure flux (blackbody temperature) variations or to changes in the number of atoms in the line of sight, we fitted the three data sets with linked parameters of absorption features and the blackbody temperature was left free. The estimated equivalent widths are consistent with the variations when parameters of the narrow absorption feature were left free (Fig. 2). However, this needs confirmation with higher S/N ratio data sets.
![]() |
Figure 2: Equivalent width of the absorption feature at 0.57 keV and blackbody temperature derived from the RGS spectra of RX J0720.4-3125 from three different epochs. |
| Open with DEXTER | |
3 Discussion
We report the detection of an absorption line at 0.57 keV in the XMM-Newton RGS spectra of RX J0720.4-3125. Since there is no uncalibrated instrumental feature in the energy range of 0.55-059 keV (21-22.5 Å), this line is clearly of astronomical origin. Whether it originates at the surface (atmosphere) of the neutron star, in its vicinity or in the interstellar medium is not clear a priori.
According to the atomic database ATOMDB
,
a few relatively strong spectral lines are expected
in the energy range of 0.56-1.0 keV
(with a typical value of gravitional redshift of INS
0.2)
from plasma with a temperature of
106 K,
mainly belonging to highly ionized oxygen (O VII, O VIII) and neon (Ne IX).
Among them the O VII resonance K
spectral line at 0.574 keV
has a maximal intensity and
is compatible with our detection without any significant redshift.
It is likely that the absorption feature consists of a number of blended absorption lines.
However, given the data quality (i.e., spectral resolution and S/N ratio) it is difficult to identify all of them.
Moreover, similar absorption features were detected in high-resolution X-ray spectra of
other galactic and extragalactic sources
(but not in all cases
see, e.g., Futamoto et al. 2004; Nicastro et al. 2005; Yao & Wang 2005; Fang et al. 2006; Bregman & Lloyd-Davies 2007).
This, as well as its relatively narrow nature (Chang et al. 2006; Paerels 1997),
make it more plausible that it originates in the circumstellar/interstellar medium along the line of sight towards RX J0720.4-3125.
Indeed, the estimates of strength of the magnetic field of
G (from dipole braking)
and
G (proton-cyclotron absorption feature) of RX J0720.4-3125
predict 20-60 eV broadening of spectral features originating in the
magnetized atmosphere of the INS (Paerels 1997).
Nevertheless, with a gravitational redshift of INS of
0.16, a strong lines
of O VIII at 0.653 keV are expected at 0.56 keV. In this case the O VII resonance K
spectral line from the INS atmosphere is expected at 0.49 keV.
A very faint absorption feature is present in
the spectrum of RX J0720.4-3125 (Fig. 1). However, given the fitted blackbody temperature (
1 MK) and
the magnetic field strength (significantly increasing the binding energy of atoms) of RX J0720.4-3125,
it is quite difficult to reconcile the presence of significant number of O VIII or
other ions (e.g., Ne IX, with higher excitation temperature) in the atmosphere of
RX J0720.4-3125.
If the detected absorption line has an origin in the circumstellar/interstellar medium, it
may be identified with the highly ionized oxygen O VII.
Indeed, according to the atomic database (ATOMDB) the strongest
laboratory-measured spectral lines from O VII in the energy
range 0.55-0.59 keV are:
0.5611, 0.5686 and 0.5740 keV.
However, the first two spectral lines are forbidden and only in specific conditions (density
1010 cm-3,
as well as temperature
1.5 MK of ``hybrid plasma'',
i.e. photo-ionized and collisionally excited) may have a comparable
intensity to the K
resonance line (Porquet & Dubau 2000, see their Fig. 11).
Therefore, these two lines also may be excluded from further consideration, unless there is evidence of the presence
of nearby, very high-density plasma of RX J0720.4-3125.
From the measured value of the equivalent width
eV of the spectral
line of O VII we estimate the number of ions (column density,
)
in the direction of RX J0720.4-3125 in two different ways. First,
using the dependence of the equivalent width of the absorption feature on the
column density of O VII (Futamoto et al. 2004), we estimated a lower limit
of log
in the direction of RX J0720.4-3125.
Second, we arrive at similar results,
log
,
using the general relationship
between measured equivalent width and number of atoms in the line of sight,
,
where
fjk=0.695 is the oscillator strength of the O VII K
line
(ATOMDB) and Nj is the column density (Spitzer 1978).
On the other hand, from the the average
and the
distance to RX J0720.4-3125 (
d = 360+170-90 pc, Kaplan et al. 2007)
one obtains a value of 15.0-15.7 cm-2 for log
.
Moreover, using a very recent estimate of the spatial density of the hot gas on the Galactic
plane (
,
Yao et al. 2009)
based on Suzaku observations, we have the value of 14.0-15.3 cm-2
for log
in the direction of RX J0720.4-3125.
This difference may be due to the origin of the absorption lines in the
immediate, ambient environment of the INS. If the absorption feature
at 0.57 keV originates in the ionized plasma near the INS and belongs to highly ionized O VII,
then the presence of the absorption line itself may constrain the possible location
(separation from RX J0720.4-3125) of the ionized cloud. Indeed, according to
Tarter et al. (1969), if the plasma is located at a distance of r
from RX J0720.4-3125, the ionization parameter
is strongly determined by the luminosity of
.
If so,
oxygen will be fully photo-ionized at a distance
(Kallman & McCray 1982, see, also Fig. 3).
![]() |
Figure 3:
Ionization parameter
|
| Open with DEXTER | |
Moreover, in order to have a sufficient amount of O VII ions near a thermally
emitting ionizing source with temperature
and
X-ray luminosity of
,
for the ionizing parameter the condition
should be satisfied (Fig. 3). This means that a cloud/slab with rather
high density (e.g.
)
must be located within a distance of
from the ionizing source.
On the other hand, the hydrogen column density must be <
cm-2 (from the EPIC pn spectroscopy),
i.e. assuming oxygen abundance relative to the hydrogen
(Anders & Grevesse 1989),
we obtain for oxygen a total column density
cm-2.
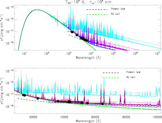
Given the abovementioned general restrictions, a photo-ionized plasma associated with RX J0720.4-3125 may contribute to the observed fluxes in the UV and optical bands.
The optical and ultraviolet fluxes observed from rather faint, optical counterparts of
thermally emitting INSs, in general, lie a factor of
10 above the extrapolated blackbody
spectrum in X-rays (e.g. Kaplan 2008), the so-called ``optical excess''.
In the case of RX J1856.4-3754, the optical/UV spectrum is consistent with
the slope of a Rayleigh-Jeans tail (Burwitz et al. 2003; van Kerkwijk & Kulkarni 2001), while for RX J0720.4-3125
there is a deviation and an additional power-law component was necessary to fit the data (Kaplan et al. 2003).
In order to estimate the contribution from a photo-ionized plasma near an INS, as mentioned above,
we have used the widespread photoionization code CLOUDY (calculations were performed with
version 07.02.02 of Cloudy,
as described by Ferland et al. 1998).
Despite the restrictions (luminosity of the ionizing source, ionization parameter, i.e. a combination of
location of the cloud relative to the source and spatial density of the medium) there are
still a number of free parameters for input to the CLOUDY code:
Covering factor
(open or closed geometry), chemical abundances, filling factor, turbulence, etc.
Nevertheless, as shown by our simulations, in principle, the existence of a
small, relatively dense ambient medium
(e.g.
,
covering factor =
,
located at
the distance of
from INS, see Fig. 4),
may at least partially explain the enigmatic ``optical excess'' observed at RX J0720.4-3125
(Motch et al. 2003; Kaplan et al. 2003) and provide sufficient O VII ions.
![]() |
Figure 4:
Simulated spectra of a photo-ionized plasma associated with a NS
(blackbody spectrum T=106 K and luminosity of
|
| Open with DEXTER | |
The satisfactory fit to the observed ``optical excess'' was not unique and may also be provided with other sets of parameters.
A partial origin of the absorption feature in the local, interstellar hot medium
(e.g. Local Bubble) cannot be excluded completely. However,
the non-detection of the absorption feature in other cases
beyond the Local Bubble (for other objects, see, Yao & Wang 2005; Fang et al. 2006; Bregman & Lloyd-Davies 2007)
makes the proposition of the origin of the absorption feature mainly in
the ambient medium of RX J0720-3125 more likely.
4 Conclusions
- 1.
- An absorption feature at 0.57 keV is clearly detected in the co-added XMM-Newton RGS spectrum of RX J0720.4-3125. The detected absorption feature likely is a blend.
- 2.
- Most probably, it originates mainly in the ambient medium of RX J0720.4-3125 and may be identified with highly ionized oxygen (O VII), consisting of Doppler shifted components. Neither an interstellar nor an atmospheric, partial origin can be excluded completely.
- 3.
- The observed optical/UV flux excess of RX J0720.4-3125 compared to the extrapolated
X-ray blackbody radiation partially may be caused by emergent emission of a nearby, relatively dense photo-ionized cloud.
Further investigation, in particular simultaneous X-ray and optical short-term variations could shed some light on the nature of this enigmatic object.
Acknowledgements
V.H. and M.M.H. acknowledge support by the German Deutsche Forschungsgemeinschaft (DFG) through project C7 of SFB/TR 7 ``Gravitationswellenastronomie''. We thank the anonymous referee for very important comments and discussion.
References
- Anders, E., & Grevesse, N. 1989, Geochim. Cosmochim. Acta, 53, 197 [NASA ADS] [CrossRef] (In the text)
- Bregman, J. N., & Lloyd-Davies, E. J. 2007, ApJ, 669, 990 [NASA ADS] [CrossRef] (In the text)
- Burwitz, V., Haberl, F., Neuhäuser, R., et al. 2003, A&A, 399, 1109 [NASA ADS] [CrossRef] [EDP Sciences]
- Chang, P., Morsink, S., Bildsten, L., & Wasserman, I. 2006, ApJ, 636, L117 [NASA ADS] [CrossRef]
- de Vries, C. P., Vink, J., Méndez, M., & Verbunt, F. 2004, A&A, 415, L31 [NASA ADS] [CrossRef] [EDP Sciences] (In the text)
- den Herder, J. W., Brinkman, A. C., Kahn, S. M., et al. 2001, A&A, 365, L7 [NASA ADS] [CrossRef] [EDP Sciences] (In the text)
- Eisenbeiss, T., Ginski, C., Hohle, M., et al. 2009, A&A, submitted
- Fang, T., Mckee, C. F., Canizares, C. R., & Wolfire, M. 2006, ApJ, 644, 174 [NASA ADS] [CrossRef] (In the text)
- Ferland, G. J., Korista, K. T., Verner, D. A., et al. 1998, PASP, 110, 761 [NASA ADS] [CrossRef] (In the text)
- Futamoto, K., Mitsuda, K., Takei, Y., Fujimoto, R., & Yamasaki, N. Y. 2004, ApJ, 605, 793 [NASA ADS] [CrossRef] (In the text)
- Haberl, F. 2007, Ap&SS, 308, 181 [NASA ADS] [CrossRef] (In the text)
- Haberl, F., Motch, C., Buckley, D. A. H., Zickgraf, F.-J., & Pietsch, W. 1997, A&A, 326, 662 [NASA ADS] (In the text)
- Haberl, F., Turolla, R., de Vries, C. P., et al. 2006, A&A, 451, L17 [NASA ADS] [CrossRef] [EDP Sciences] (In the text)
- Hohle, M., Haberl, F., Vink, J., et al. 2009, A&A, in press (In the text)
- Kallman, T. R., & McCray, R. 1982, ApJS, 50, 263 [NASA ADS] [CrossRef] (In the text)
- Kaplan, D. L. 2008, in 40 Years of Pulsars: Millisecond Pulsars, Magnetars and More, ed. C. Bassa, Z. Wang, A. Cumming, & V. M. Kaspi, Am. Inst. Phys. Conf. Ser., 983, 331 (In the text)
- Kaplan, D. L., van Kerkwijk, M. H., Marshall, H. L., et al. 2003, ApJ, 590, 1008 [NASA ADS] [CrossRef] (In the text)
- Kaplan, D. L., van Kerkwijk, M. H., & Anderson, J. 2007, ApJ, 660, 1428 [NASA ADS] [CrossRef] (In the text)
- Kulkarni, S. R., & van Kerkwijk, M. H. 1998, ApJ, 507, L49 [NASA ADS] [CrossRef]
- Motch, C., Zavlin, V. E., & Haberl, F. 2003, A&A, 408, 323 [NASA ADS] [CrossRef] [EDP Sciences]
- Nicastro, F., Mathur, S., Elvis, M., et al. 2005, ApJ, 629, 700 [NASA ADS] [CrossRef] (In the text)
- Paerels, F. 1997, ApJ, 476, L47 [NASA ADS] [CrossRef]
- Porquet, D., & Dubau, J. 2000, A&AS, 143, 495 [NASA ADS] [CrossRef] [EDP Sciences] (In the text)
- Spitzer, L. 1978, Physical processes in the interstellar medium (New York: Wiley-Interscience), 333 [NASA ADS] (In the text)
- Tarter, C. B., Tucker, W. H., & Salpeter, E. E. 1969, ApJ, 156, 943 [NASA ADS] [CrossRef] (In the text)
- Trümper, J. E., Burwitz, V., Haberl, F., & Zavlin, V. E. 2004, Nucl. Phys. B Proc. Suppl., 132, 560 [NASA ADS] [CrossRef] (In the text)
- van Kerkwijk, M. H., & Kaplan, D. L. 2007, Ap&SS, 308, 191 [NASA ADS] [CrossRef]
- van Kerkwijk, M. H., & Kulkarni, S. R. 2001, A&A, 378, 986 [NASA ADS] [CrossRef] [EDP Sciences]
- van Kerkwijk, M. H., Kaplan, D. L., Durant, M., Kulkarni, S. R., & Paerels, F. 2004, ApJ, 608, 432 [NASA ADS] [CrossRef] (In the text)
- Yao, Y., & Wang, Q. D. 2005, ApJ, 624, 751 [NASA ADS] [CrossRef] (In the text)
- Yao, Y., Wang, Q. D., Hagihara, T., et al. 2009, ApJ, 690, 143 [NASA ADS] [CrossRef] (In the text)
Footnotes
- ... 0.57 keV
- Based on observations obtained with XMM-Newton, an ESA science mission with instruments and contributions directly funded by ESA Member States and NASA
- ... RGS1
- The RGS2 spectrum was used only for consistency checks; in the energy range of 0.5-0.59 keV it has a significantly reduced effective area owing to the failure of CCD4 in September 2000, see XMM-Newton Users Handbook.
- ... ATOMDB
- http://cxc.harvard.edu/atomdb
- ... cases
- Futamoto et al. (2004) did not detect the absorption line of O VII in the spectrum of Cyg X-2. According to Yao & Wang (2005), 3 of 10 Galactic low-mass X-ray binaries show absorption of O VII and/or O VIII.
- ... average
- Average
hot gas density estimated
in the direction of 7 low-mass X-ray binaries (Yao & Wang 2005),
assuming oxygen abundance relative to hydrogen
(Anders & Grevesse 1989)
and an ionic fraction of O VII
1
(see, Fig. 3).
- ... factor
- The covering factor is the fraction
of 4
covered by gas, as viewed from an ionizing source, i.e.
.
For details, see Ferland et al. (1998), CLOUDY documents.
- ... cases
- The absorption feature is absent in the co-added RGS spectrum of RX J1856.4-3754 ( d = 161+18-14 pc (van Kerkwijk & Kaplan 2007), but clearly seen in the co-added spectra of RBS1223 and RX J1605.3+3249 with lower significance (see, http://xmm.esac.esa.int/BiRD).
All Tables
Table 1: XMM-Newton RGS1/2 observations of RX J0720.4-3125.
All Figures
![]() |
Figure 1:
XMM-Newton high-resolution co-added spectrum of the isolated neutron star RX J0720.4-3125.
An absorbed blackbody (blue) and an absorbed blackbody with two additional Gaussian
absorption lines (red, a wide absorption feature at 0.3 keV and a narrow feature at 0.57 keV) are shown.
The equivalent width and the FWHM of the narrow absorption line (green), which we associate with OVII,
were determined at 1.35 eV and |
| Open with DEXTER | |
| In the text | |
![]() |
Figure 2: Equivalent width of the absorption feature at 0.57 keV and blackbody temperature derived from the RGS spectra of RX J0720.4-3125 from three different epochs. |
| Open with DEXTER | |
| In the text | |
![]() |
Figure 3:
Ionization parameter
|
| Open with DEXTER | |
| In the text | |
![]() |
Figure 4:
Simulated spectra of a photo-ionized plasma associated with a NS
(blackbody spectrum T=106 K and luminosity of
|
| Open with DEXTER | |
| In the text | |
Copyright ESO 2009
Current usage metrics show cumulative count of Article Views (full-text article views including HTML views, PDF and ePub downloads, according to the available data) and Abstracts Views on Vision4Press platform.
Data correspond to usage on the plateform after 2015. The current usage metrics is available 48-96 hours after online publication and is updated daily on week days.
Initial download of the metrics may take a while.
![\begin{figure}
\par\includegraphics[width=7.7cm,clip]{1378fig1.ps}
\end{figure}](/articles/aa/full_html/2009/13/aa11378-08/Timg15.gif)
![\begin{figure}
\par\includegraphics[width=7.7cm,clip]{1378fig2.ps}
\end{figure}](/articles/aa/full_html/2009/13/aa11378-08/Timg16.gif)
![\begin{figure}
\par\includegraphics[width=6cm,clip]{1378fig3.ps}
\end{figure}](/articles/aa/full_html/2009/13/aa11378-08/Timg38.gif)
![\begin{figure}
\par\includegraphics[angle=90,width=8cm,clip]{1378fig4.ps}
\end{figure}](/articles/aa/full_html/2009/13/aa11378-08/Timg51.gif)