| Issue |
A&A
Volume 497, Number 1, April I 2009
|
|
|---|---|---|
| Page(s) | 243 - 253 | |
| Section | Stellar structure and evolution | |
| DOI | https://doi.org/10.1051/0004-6361/200811439 | |
| Published online | 18 February 2009 | |
Rotational mixing in massive binaries
Detached short-period systems
S. E. de Mink1 - M. Cantiello1 - N. Langer1,2 - O. R. Pols1 - I. Brott1 - S.-Ch. Yoon3
1 - Astronomical Institute, Utrecht University, PO Box 80000,
3508 TA Utrecht, The Netherlands
2 -
Argelander-Institut
für Astronomie der Universität Bonn, Auf dem Hügel 71,
53121 Bonn, Germany
3 - Dep. of Astronomy & Astrophysics,
Univ. of California, Santa Cruz, CA95064, USA
Received 28 November 2008 / Accepted 2 February 2009
Abstract
Models of rotating single stars can successfully account for
a wide variety of observed stellar phenomena, such as the surface
enhancements of N and He observed in massive main-sequence
stars. However, recent observations have questioned the idea that
rotational mixing is the main process responsible for the surface
enhancements, emphasizing the need for a strong and conclusive
test for rotational mixing.
We investigate the consequences of rotational mixing for massive main-sequence stars in short-period binaries. In these systems the tides are thought to spin up the stars to rapid rotation, synchronous with their orbital revolution. We use a state-of-the-art stellar evolution code including the effect of rotational mixing, tides, and magnetic fields. We adopt a rotational mixing efficiency that has been calibrated against observations of rotating stars under the assumption that rotational mixing is the main process responsible for the observed surface abundances.
We find that the primaries of massive close binaries (
,
3 days) are expected to show
significant enhancements in nitrogen (up to 0.6 dex in the Small
Magellanic Cloud) for a significant fraction of their core
hydrogen-burning lifetime.
We propose using such systems to test the concept of rotational
mixing. As these short-period binaries often show eclipses, their
parameters can be determined with high accuracy.
For the primary stars of more massive and very close systems (
,
2 days) we find that
centrally produced helium is efficiently mixed throughout the
envelope. The star remains blue and compact during the main
sequence evolution and stays within its Roche lobe. It is the less
massive star, in which the effects of rotational mixing are less
pronounced, which fills its Roche lobe first, contrary to what
standard binary evolution theory predicts. The primaries will
appear as ``Wolf-Rayet stars in disguise'': core hydrogen-burning
stars with strongly enhanced He and N at the surface. We propose
that this evolution path provides an alternative channel for the
formation of tight Wolf-Rayet binaries with a main-sequence
companion and might explain massive black hole binaries such as
the intriguing system M33 X-7.
Key words: binaries: close - stars: rotation - stars: abundances - Magellanic Clouds - stars: Wolf-Rayet - X-rays: binaries
1 Introduction
The rotation rate is considered as one of the main initial stellar
parameters, along with mass and metallicity, which determine the
fate of single stars.
Rotation deforms the star to an oblate shape (of which Achernar
is an extreme example, see Domiciano de Souza et al. 2003), it interplays with the
mass loss from the star (e.g. Langer 1998; Maeder & Meynet 2000a; Friend & Abbott 1986) and it induces instabilities in the interior leading to
turbulent mixing in otherwise stable layers (e.g. Meynet & Maeder 1997).
As rotationally induced mixing can bring processed material from the
core to the surface, it has been proposed as explanation for observed
surface abundance anomalies, such as a nitrogen enrichment found in
several massive main-sequence stars
(e.g. Maeder & Meynet 2000b; Walborn 1976; Heger & Langer 2000).
In models of rapidly rotating massive stars, rotational mixing can
efficiently mix the centrally produced helium throughout the stellar
envelope. Instead of expanding during core H burning as non-rotating
models do, they stay compact, become more luminous and move blue-wards
in the Hertzsprung-Russell diagram. This type of evolution is
commonly referred to as (quasi-)chemically homogeneous evolution
(Yoon & Langer 2005; Maeder 1987). Some over-luminous O and
WNh
in the
Magellanic Clouds in the Magellanic Clouds have been put forward as
examples pf this type of evolution
(Martins et al. 2008; Mokiem et al. 2007; Walborn et al. 2004; Bouret et al. 2003). This
alternative evolutionary scenario has been proposed as a way to create
rapidly rotating massive helium stars as the possible progenitors of
long gamma-ray bursts within the collapsar scenario
(Cantiello et al. 2007; Woosley & Heger 2006; Yoon & Langer 2005).
Multiple attempts have been made to constrain the efficiency of rotational mixing (e.g. Fliegner et al. 1996; Daflon et al. 2001; Mendel et al. 2006; Gies & Lambert 1992; Huang & Gies 2006; Korn et al. 2002; Venn et al. 2002), but often these attempts remained inconclusive due to limited sample sizes or a strong bias towards stars with low projected velocities. The VLT-FLAMES survey provided, for the first time, a large sample of massive stars with accurate abundance determinations, covering a wide range of projected rotational velocities (Hunter et al. 2008; Evans et al. 2005). This sample was used to calibrate the efficiency of rotational mixing, under the assumption that rotational mixing is the main process responsible for the observed enhancements (Brott et al. 2009).
These authors performed a population synthesis, based on detailed models of rotating single stars, to reproduce the properties of the VLT-FLAMES sample. They find that their models cannot account for a large number (20% of the sample) of highly nitrogen-enriched, slow rotators and a group of evolved fast rotators which are relatively non-enriched (a further 20% of the sample). This raises the question whether other processes play an important role in explaining the nitrogen enhancements of massive main-sequence stars, such as mass transfer in binaries (Langer et al. 2008).
Regardless of the successes of rotating stellar models to explain a variety of stellar phenomena (Maeder & Meynet 2000b), rotational mixing is still a matter of debate. Clearly a conclusive observational test for the concept of rotational mixing is needed. In this paper we propose to use eclipsing binaries for this purpose.
Eclipsing binaries have frequently been used to test stellar evolution models as they provide accurate stellar masses, radii and effective temperatures. Even beyond our own Galaxy, in the Magellanic Clouds, stellar parameters of O and early B stars have been determined with accuracies of 10% (Hilditch et al. 2005; Harries et al. 2003), which have been used to test binary evolution models (e.g. De Mink et al. 2007). As rotational mixing is more important in more massive stars (e.g. Heger et al. 2000), it is a major advantage to know the stellar masses for quantitative testing of the efficiency of rotational mixing.
In close binaries with orbital periods
less than a
few days, the tides are so strong that the stars rotate synchronously
with the orbital motion:
.
With
stellar radii known from eclipse measurements, this enables us to
determine the rotational velocity directly from the orbital period. This is
the second important advantage of using binaries for testing rotational
mixing with respect to single stars. For single stars fitting of
spectral lines allows only for the determination of
,
where
is the rotational velocity at the equator and i the inclination
of the rotation axis, which is generally not known.
Here, we propose to use eclipsing binaries, consisting of two detached
main-sequence stars. Detailed calculations of binary evolution show
that if one of the stars fills its Roche lobe during the main
sequence, it does not detach again before hydrogen is exhausted in the
core, except maybe for a very short thermal timescale
(De Mink et al. 2007; Wellstein et al. 2001). Turning this around we find that, in
a binary with two detached main-sequence stars, we can safely exclude
the occurrence of previous mass transfer. In other words, the fact
that a system consists of two detached main-sequence stars, constrains
the evolutionary history. In contrast, for a fast rotating apparently
single star we do not know whether the star was born as a rapidly
rotating single star, or whether the rapid rotation is the result of
mass transfer in a binary or of a binary merger. The companion, if
still present, may be very hard to detect, being a faint low-mass star
in a wide orbit
.
If the spectra of a binary are of high quality, one can determine the surface abundances of the two components (e.g. Rauw et al. 2005; Pavlovski & Hensberge 2005; Leushin 1988). These surface abundances, together with accurate determinations of the stellar parameters and the orbital period have the potential of strongly constraining the efficiency of rotational mixing.
The evolution of close massive binaries has been modeled by various groups (e.g. Petrovic et al. 2005a; Nelson & Eggleton 2001; Pols 1994; De Mink et al. 2007; Belczynski et al. 2002; Podsiadlowski et al. 1992; Wellstein & Langer 1999; Vanbeveren et al. 2007; Wellstein et al. 2001, and references therein). In this work we use a detailed binary evolution code to predict the surface abundances for massive detached close binaries. In addition we discuss models of very massive close binaries, in which rotational mixing can be so efficient that the change in chemical profile leads to changes in the stellar structure.
2 Stellar evolution code
We model the evolution of rotating massive stars using the 1D hydrodynamic stellar evolution code described by Yoon et al. (2006) and Petrovic et al. (2005b), which includes the effects of rotation on the stellar structure and the transport of angular momentum and chemical species via rotationally induced hydrodynamic instabilities (Heger et al. 2000). The rotational instabilities considered are: dynamical shear, secular shear, Eddington-Sweet circulation and the Goldreich-Schubert-Fricke instability (Heger et al. 2000). Two processes dominate rotational mixing in massive stars: Eddington-Sweet circulation, large-scale meridional currents resulting from the thermal imbalance between pole and equator characteristic of rotating stars (Vogt 1925; von Zeipel 1924; Eddington 1925,1926) and shear mixing, eddies, that can form between two layers of the star rotating at different angular velocity (e.g. Zahn 1974). We take into account angular momentum transport by magnetic torques as proposed by Spruit (2002) as these can successfully provide the coupling between the stellar core and envelope necessary to explain the observed spins in young compact stellar remnants (Suijs et al. 2008; Heger et al. 2005; Petrovic et al. 2005b).
Mixing of chemical species and the transport of angular momentum are
implemented as diffusion processes. For convection we assume a mixing
length parameter
.
In semi-convective regions
we assume efficient mixing (
,
as defined
in Langer 1991). The turbulent viscosity is determined as the sum of
the convective and semi-convective diffusion coefficients and those
that arise from the rotationally induced instabilities. The
inhibiting effect of gradients in the mean molecular weight on
rotational mixing is decreased by a factor
(Yoon et al. 2006).
Brott et al. (2009) calibrated the efficiency of rotationally induced mixing
using data from the VLT-FLAMES survey of massive stars, assuming that
rotational mixing is the main process responsible for the observed
enhancements. To reproduce the extension of the main sequence in the
Hertzsprung-Russell diagram, they assumed overshooting of 0.355 times
the pressure scale height. The main parameter responsible for the
efficiency of rotational mixing is
,
defined as the contribution of rotationally induced instabilities
to the diffusion of chemical species (Heger et al. 2000). Brott et al. (2009)
found that
is needed to reproduce the spread in N
abundances observed in the VLT-FLAMES data
(Hunter et al. 2008). We do not consider possible mixing by
instabilities related to magnetic buoyancy due to winding up of the
magnetic field lines through differential rotation (Spruit 2002)
as this leads to too efficient mixing (Hunter et al. 2008).
Metallicity-dependent mass loss in the form of stellar winds has been included as in Brott et al. (2009); Yoon et al. (2006). For the associated angular momentum loss we assume that mass is lost with the specific angular momentum equal to the latitudinally averaged specific angular momentum of the surface layer. The mass loss is thus assumed to be independent of latitude.
The effect of mass and angular momentum loss on the binary orbit is computed according to Podsiadlowski et al. (1992), with the specific angular momentum of the wind calculated according to Brookshaw & Tavani (1993). We assume that the orbit is circular and that the spins of the stars are perpendicular to the orbital plane. Tidal interaction is modeled as described in Detmers et al. (2008) using the timescale for synchronization by turbulent viscosity (Zahn 1977), see also Sect. 3. Angular momentum is transported between the surface layers and the inner regions by magnetic torques and rotational instabilities. At the onset of central H burning, we assume that the rotation of the stars is rigid and synchronized with the orbital motion.
Initial composition
We discuss single stellar models starting with three different initial compositions, representing the composition of the Small and Large Magellanic Cloud (abbreviated as SMC and LMC) and the Galaxy (GAL) following the approach by Brott et al. (2009) to which we refer for details. For C, O, Mg and Si we use the average abundances determined for stars in the VLT-FLAMES survey (Hunter et al. 2007). For the Magellanic Clouds we adopt the N abundance measured for HII regions which is in agreement with the lowest observed N abundances in the VLT-FLAMES sample (Hunter et al. 2007, and references therein). For the remaining heavy elements we adopt solar abundances by Asplund et al. (2005) scaled down by 0.7 dex for the SMC and 0.4 dex for the LMC. For our binary models we have assumed the SMC composition. The opacity tables of OPAL (Iglesias & Rogers 1996) are adopted, where the Fe abundance is used to interpolate between the tables of different metallicity.
3 Stellar rotation under the influence of tides
In a close binary, angular momentum and kinetic energy can be exchanged
between the two stars and their orbit through tides. The system tends to
evolve towards a state of minimum mechanical energy due to dissipative
processes. This is an equilibrium state, where the orbit is circular,
the spins of the stars are aligned and perpendicular to the orbital
plane and the stars are in synchronous rotation with the orbital motion,
such that
.
How quickly this
equilibrium state is approached depends on the efficiency of the processes
responsible for the energy dissipation.
The most efficient form of energy dissipation takes place in turbulent
regions of the star, such as convective layers, where the kinetic
energy of the large-scale flow induced by the tides cascades down to
smaller and smaller scales, until it is dissipated into heat.
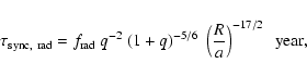
Zahn (1977,1989) estimated the timescale for synchronization due
to this ``turbulent viscosity'' as a function of the ratio q of the
mass of the companion star to the mass of the star under consideration
and on the ratio of the stellar radius R over the separation abetween the two stars:
![]() |
(1) |
The proportionality factor
In the absence of turbulent viscosity, another dissipative process is
required in order to have efficient tides. If the star does not rotate
synchronously, it experiences a varying gravitational potential, which
triggers a large range of oscillations in the star. These
oscillations are damped near the stellar surface by radiative
dissipation. Zahn (1975) derived the corresponding timescale for
synchronization:
![]() |
(2) |
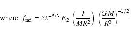
Here, M denotes the mass of the star under consideration, I its moment of inertia and E2 the tidal coefficient, which is sensitive to the structure of the star, in particular to the size of the convective core:
The early-type massive stars considered in this work have radiative envelopes (except for convective zones just below the surface which contain almost no mass, e.g. Cantiello et al. 2009) and synchronization by radiative damping has been proposed to be the most efficient dissipation mechanism. However, in fast rotating stars turbulence is induced by rotational instabilities and one may argue that the first timescale applies also to these stars (Toledano et al. 2007). In addition Witte & Savonije (1999) show that in some cases resonance locking can contribute to even more efficient tidal dissipation.
![]() |
Figure 1:
Timescales for tidal synchronization. The
four dashed lines indicate where the timescales for tidal
synchronization by turbulent viscosity
|
| Open with DEXTER | |
In Fig. 1 we compare both synchronization timescales with
the main-sequence lifetime of the more massive star in a binary. For
this plot we have used the radii of non-rotating zero-age main
sequence stars assuming a metallicity of Z = 0.004 and a mass ratio
of
M2/M1 = 0.75. For E2 we use an analytic
approximation by Hurley et al. (2002), for the Roche-lobe radius we use
the analytic expression by Eggleton (1983). The diagram shows that
in binaries with orbital periods shorter than approximately 3-5 days,
the timescale for synchronization is less than one percent of the
main-sequence lifetime
,
regardless of the actual
process responsible for the synchronization. The resulting equatorial
velocity of the primary star, assuming synchronous rotation, is given
in km s-1 along contour lines.
For comparison: the average equatorial velocity for apparently single
stars in the VLT-FLAMES survey with masses between 7 and 25
is
150 km s-1 for the LMC and 175 km s-1 for the SMC
(Hunter et al. 2008). In most binaries tides will slow down the
rotation of the star, but in the tightest binaries the rotation rate
is higher than that for average single stars. Note that the binary
systems of interest in this work, for which the components have high
enough equatorial velocities to show significant surface abundance
changes by rotational mixing (
100-150 km s-1, see
Sect. 4), are in the region where tides are very
efficient, according to both prescriptions for the synchronization
timescale.
4 Rotational mixing in single star models
Any element produced or destroyed in the hot interior of the star can in principle be used as a tracer of rotational mixing. The amount by which the surface abundance of a particular element changes depends on the location in the star where the element is processed.
Helium is the most important element synthesized during core hydrogen
burning. By the time a substantial amount of helium has been formed in
the stellar core, a gradient in mean molecular weight has been
established at the interface between the core and the envelope, which
has an inhibiting effect on rotationally induced mixing. Models of
moderately fast rotating stars (with an equatorial velocity of about
170 km s-1 and a mass of about 20
)
show that helium will only
appear at the surface towards the very end of the main-sequence
evolution. In more massive stars, the helium surface abundance may be
significantly enhanced but this is partly due to the strong stellar
winds. This makes helium not very suitable for testing the effect of
rotational mixing.
A better tracer for rotational mixing during the main-sequence
evolution is nitrogen, which is produced in the hot interior layers on
a very short time scale when carbon is converted into nitrogen by
CN-cycling. On a longer timescale (about 1-2 Myr in the center of a
20
star) the CNO cycle comes into equilibrium, leading to
additional N at the expense of both carbon and oxygen. Rotational
mixing can bring nitrogen to the surface, resulting in a gradual
increase of the nitrogen surface abundance over the main-sequence
lifetime (Fig. 2).
Nitrogen can be measured in rotating B-type stars in the Magellanic
Clouds with accuracies of 0.2-0.25 dex (Hunter et al. 2008).
Carbon decreases accordingly, but cannot be measured as accurately and
is therefore less suitable as a tracer of rotational mixing. Other
elements such as boron can be used, but these are less abundant and
may be hard to detect, especially in metal-poor environments such as
the Magellanic Clouds.
![]() |
Figure 2:
Surface nitrogen abundance versus time for single stellar
models of 20
|
| Open with DEXTER | |
Rotational mixing becomes more efficient in higher-mass stars since radiation pressure becomes more important, which helps to overcome the entropy barrier at the interface between the core and the envelope. Also, the ratio of the timescale for meridional circulation with respect to the main-sequence lifetime decreases with increasing mass (Yoon et al. 2006). The disadvantage of using very massive stars as test cases for rotational mixing is the uncertainty in their mass-loss rates. As mass loss exposes deeper layers of the star, enriched in N and He, it has qualitatively the same effect on the surface composition as rotational mixing. At lower metallicity mass loss in the form of a radiatively driven stellar wind is reduced. Therefore, also the uncertainty in the mass-loss rate is less important.
Figure 2 shows the nitrogen surface abundance as a
function of time for rotating single stellar models of 20
with
three different initial compositions, representative for the
relatively metal-poor composition of the Small and Large Magellanic
Cloud, and for a mixture representing stars in the Galaxy. The
equilibrium abundances for N in the center for CN- and CNO-cycling are
plotted as horizontal lines. The Galactic model with an equatorial
velocity of 230 km s-1 shows nitrogen enhancements up to about 0.3 dex, while in the SMC model the N abundance increases by up to approximately 0.8 dex. The high C/N ratio in the Magellanic Clouds is partly responsible for this effect as it leads to a strong increase of
N during CN-cycling (Brott et al. 2009). Indeed, in the VLT-FLAMES
survey, Hunter et al. (2008) find a larger spread in N abundances
for the stars in the Magellanic Clouds than for ones in the Galactic
stars. We conclude that the Magellanic Clouds are the most promising
location for testing rotational mixing, as the effect of rotational
mixing is most pronounced in the N surface abundances.
Table 1:
Key properties of the massive binary evolution models
(20
+ 15
)
as defined and discussed in
Sect. 5.1.
5 Binary models
In this section we present binary evolution models calculated with the
same set of input physics as the single stellar models presented in
Sect. 4, taking into account the effects of mass and
angular momentum loss on the orbit and spin-orbit coupling by
tides. We assume a composition representative of the Small Magellanic
Cloud, which is relatively metal-poor and has a high carbon to
nitrogen ratio. We discuss two specific model sets: systems with a
massive primary,
,
in Sect. 5.1 and systems
with a very massive primary,
,
in Sect. 5.2.
![]() |
Figure 3:
Surface abundances of nitrogen (14N),
carbon (12C), boron (10B + 11B) and the mass fraction
of helium at the surface versus time for a 20
|
| Open with DEXTER | |
5.1 Massive binaries (20 M
+ 15 M
)
With the Small Magellanic Cloud sample of double-lined eclipsing
binaries by Harries et al. (2003) and Hilditch et al. (2005) in mind, which
contains 21 detached systems
Surface abundances
The abundances of nitrogen, carbon, helium and boron at the
surface of the primary star are shown as a function of time in
Fig. 3, see also Table 1. The nitrogen
abundances at the surface starts to increase after about 1 Myr
for the 1.1 day binary, and after about 5 Myr for the 3.0 day
binary. This time delay
is the time it takes to
transport the nitrogen from the deeper layers, where it is
produced, to the surface
. The largest enhancement, 0.6 dex, is achieved in the
1.1 day binary. The shorter the orbital period, the faster the
rotation of the stars, the more efficient rotational mixing and
the faster the surface abundances change with time. On the other
hand in the systems with short orbital periods the stars fill
their Roche lobe at an earlier stage, leaving less time to modify
their surface abundances.
The typical uncertainty in the nitrogen abundance determinations
for stars in the VLT-FLAMES survey is about 0.2 dex. Therefore,
to be able to detect whether nitrogen is enhanced, it should
exceed the initial nitrogen abundance by 0.2 dex. The age at
which this lower limit for detecting a surface nitrogen
enhancement is exceeded is denoted as
in
Table 1. Systems with orbital periods shorter than 3
days all reach surface enhancements of 0.2 dex, at the latest
just before they fill their Roche lobe. The time span during
which the primary can be observed with a surface nitrogen
abundance exceeding 6.7 dex, listed as
in Table 1, is highest for the 1.4 day system,
1.5 Myr. For detached tidally locked main-sequence binaries with
initial orbital periods greater than about 3 days we do not expect
detectable N enhancements on the basis of these models: their
rotation rates and therefore the efficiency of rotational mixing
is too low.
While the nitrogen abundance increases, the carbon abundance decreases accordingly, see Fig. 3. It decreases by less than 0.1 dex in our models. The changes in the mass fraction of helium at the surface are very small, just over 1% at maximum for the tightest system. An element that is a very sensitive tracer of rotational mixing is boron. It is easily destroyed in the hotter layers just below the surface. Therefore the time delay for boron, after which the boron surface abundance starts to change, is very short. The change in the boron surface abundance is considerable, up to 1.2 dex in the 1.4 day model. In practice it may be hard to measure boron due to its low overall abundance.
The closer the stars are to filling their Roche lobe, the higher
is their surface N abundance. This can be turned around and may
be used to predict which binary systems are likely to show
nitrogen surface enhancements. In Table 1 we indicate
the Roche-lobe filling factor
,
defined as the
radius of the primary star over the Roche-lobe radius, at the
moment when the surface N enhancement exceeds the initial
abundance by 0.2 dex. Based on these models, we predict that the
observed systems with masses close to 20 and 15
have to fill
their Roche lobes by about 86% or more before they show
detectable surface N enhancements (see Table 1
Col. 5). We do note that the radii predicted by our models are
sensitive to the assumed amount of overshooting.
In the last two columns of Table 1 we indicate the
rotational velocity at the equator, averaged over time and at the
onset of Roche-lobe overflow. Whereas a single star at this
metallicity slows down its rotation rate due to its evolutionary
expansion, the spin periods of the stars in tidally locked
binaries are nearly constant because the orbit acts as an angular
momentum reservoir. Therefore rotationally induced mixing is
more important in a star in a tidally locked binary than in a
single star that started with the same initial rotation rate.
The effect is small, however, as the expansion mainly takes place
after about 5-6 Myr for a 20
star. Binaries with orbital
periods shorter than 2 days fill their Roche lobe before the
expansion sets in. The effect is stronger at higher metallicity,
where angular momentum loss by the stellar wind becomes
important, see Sect. 6.
Expected trends with system mass and mass ratio
For an ideal comparison between models and observations one would prefer a model in which the binary parameters match the observed parameters. In the above, we discussed models with a specific choice for the primary mass and mass ratio and we only varied the initial orbital period. Here we discuss how our findings are expected to change for systems with slightly different system masses and mass ratios.In more massive binaries rotational mixing is more efficient, such that they will show a shorter time delay, even when measured in units of the core hydrogen-burning lifetime. Detectable surface enhancements are expected to occur at an earlier stage, while the stars are further away from filling their Roche lobe. At very high masses additional effects can play a role, which are discussed in Sect. 5.2. The secondary star in the models discussed above does not show significant surface abundance changes for C, N and He. The surface boron abundance does decrease by up to 0.6 dex for the 1.4 day model. In systems with mass ratios closer to 1, the time scale for rotational mixing becomes similar in both stars and nitrogen enhancements are expected for both stars.
Another effect of changing the mass ratio is that the size of the Roche lobe changes. A more extreme mass ratio results in a wider Roche lobe for the primary, if the primary mass and orbital period are kept constant. The efficiency of rotational mixing does not change, as it depends on the rotational period which is fixed by the orbital period. However, the star has more space to expand before it fills its Roche lobe. We noted above that the primary stars fill their Roche lobes by at least 86% before they show detectable surface N enhancements (see also Sect. 6). This changes to approximately 83% and 76% for mass ratios of q = 0.5 and q = 0.25 respectively. A bigger Roche lobe also leaves more time to enhance the surface abundance. This implies a greater chance of catching the system in a stage where the surface abundance is significantly enhanced.
To summarize: the biggest surface N enhancements are expected for systems with a high-mass primary, which is close to filling its Roche lobe, with a companion which has a significantly lower mass in an orbit of no more than a few days.
5.2 Very massive binaries (50 M
+ 25 M
)
In more massive binaries, rotational mixing can be so efficient that
the change in chemical profile leads to significant structural
changes. In this model set we adopt a primary mass of 50
,
a
secondary mass of 25
and orbital periods varying from 1.5 to 4
days, assuming an SMC composition to be consistent with the models
presented in Sect. 5.1.
Although such massive close systems are rare, observational
counterparts do exist, for example two of the four massive binaries
presented by Massey et al. (2002) which are located in the R136 cluster
at the center of the 30 Doradus nebula in the Large Magellanic Cloud:
R136-38
and R136-42
.
Another example with an even closer orbit is [L72] LH 54-425
located in the LH 54 OB association in the Large Magellanic Cloud
(Williams et al. 2008). All three binary systems have O-type main-sequence
components, which reside well within their Roche lobes.
![]() |
Figure 4:
The evolution from the onset of central H burning until the
moment of Roche-lobe overflow for a 50
|
| Open with DEXTER | |
![]() |
Figure 5: Helium abundance at the surface as a function of the helium abundance in the center for the same systems as plotted in Fig. 4. |
| Open with DEXTER | |
![]() |
Figure 6: Nitrogen abundance as a function of age at the surface for the primary and secondary star of the same systems as plotted in Fig. 4. Note the different scales. |
| Open with DEXTER | |
Table 2:
Key properties of very massive binaries (50
+ 25
)
as
described in Sect. 5.2 (see also Table 1 and
Sect. 5.1). In the last column we indicate which
component fills its Roche lobe first.
Figure 4 shows the evolution of the primary stars in the
Hertzsprung-Russell diagram, until one of the stars in the binary
fills its Roche lobe (not necessarily the primary, see
below). At the onset of hydrogen burning their location in the
diagram is very similar, although the stars in tighter binaries, which
rotate faster, are slightly cooler and bigger: a direct consequence of
the centrifugal force. As they evolve their tracks start to deviate.
The wider systems (
d) evolve similarly to
non-rotating stars: they expand during core hydrogen burning, evolving
towards cooler temperatures until they fill their Roche lobe. Their
evolutionary tracks overlap in the Hertzsprung-Russell diagram.
The primaries in the tighter systems (
d) behave very
differently: they evolve left- and up-ward in the HR-diagram, becoming
hotter and more luminous while they stay relatively compact. The
transition in the morphology of the tracks around
days is similar to the bifurcation found for fast rotating single
stars (Yoon & Langer 2005; Maeder 1987).
Surface abundances
Rotational mixing is so efficient in these systems that even a large
amount of helium can be transported to the
surface. Figure 5 depicts the helium mass fraction at the
surface as a function of the helium mass fraction in the center. In
the hypothetical case that mixing would be extremely efficient
throughout the whole star, the surface helium abundance would be equal
to the central helium abundance at all time. This is indicated by the
dotted line. For the widest systems, the surface helium mass fraction
is not affected by rotational mixing at all, while for the tighter
systems
reaches up to 65%. They follow the evolution of
chemically homogeneous stars. Figure 5 also shows that for
each system, mass transfer starts before all hydrogen is converted
into helium in the center. Note that the highest central He mass
fraction when mass transfer starts is reached in the 1.7 day system
(more than 80%), whereas on the basis of standard binary evolution
theory
(e.g. Kippenhahn & Weigert 1967) one would expect this to occur in
the widest system. This anomalous behavior is connected to the
evolution of the radius, as discussed below.
All systems show big enhancements of nitrogen at the surface of the primary, see Fig. 6. The wider systems are enhanced by up to 0.9 dex. In the tight systems the enhancement reaches almost 2 dex. This extreme increase is partly due to the fact that abundance is measured relative to hydrogen, which is significantly depleted at the surface of the primaries in the tightest systems (cf. Table 2). Also the secondary stars show nitrogen surface enhancements, of up to 0.5 dex.
![]() |
Figure 7: Radius as fraction of the Roche-lobe radius for the primary ( left panel) and secondary star ( right panel) of the same systems as plotted in Fig. 4. |
| Open with DEXTER | |
Evolution of the radius
The increase of helium in the envelopes of the primary stars in the
tightest binaries leads to a decrease of the opacity and an increase
in mean molecular weight in the outer layers, resulting in more
luminous and more compact stars. In Fig. 7 we plot the
stellar radii as a fraction of their Roche-lobe radii. The primary
stars in the wider systems expand and fill their Roche lobe after
about 2.5-3 Myr. Contrary to what one might expect, we find that
Roche-lobe overflow is delayed in tighter binaries. Whereas classical
binary evolution theory predicts that the primary star is the first to
fill its Roche lobe, we find instead that for systems with
days it is the less massive secondary star that
starts to transfer mass towards the primary. During this phase of
reverse mass transfer from the less massive to the more massive star,
the orbit widens. Nevertheless we find that, if we continue our
calculations, the two stars come into contact shortly after the onset
of mass transfer and the stars are likely to merge.
Expected trends with system mass and mass ratio
In more massive systems the effect of rotational mixing becomes
stronger in both components. This may allow for chemically
homogeneous evolution to occur in binary systems with wider orbits.
If the mass ratio is closer to one,
,
the effect of
rotational mixing becomes comparable in both stars, and they may both
evolve along an almost chemically homogeneous evolution track. In that
case both stars can stay within their Roche lobe and gradually become
two compact WR stars in a tight orbit.
In a system with a more extreme mass ratio,
,
the
secondary star will hardly evolve or expand during the core
hydrogen-burning lifetime of the primary. Also in this case
Roche-lobe overflow may be avoided during the core hydrogen-burning
lifetime of the primary component, leading to the formation of a
Wolf-Rayet star with a main-sequence companion in a tight orbit.
The parameter space in which this type of evolution can occur will be
examined in a subsequent paper.
6 Discussion
We have shown that rotational mixing can have important effects in close massive binaries. The mixing parameters in our code have been calibrated against observations of rotating massive stars in the VLT-FLAMES survey under the assumption that rotational mixing is the main process responsible for the observed surface N enhancements (see Sect. 2). The predictions we present for close binaries can be used to test the validity of this assumption.
In Sect. 4 we conclude that eclipsing binaries in the Magellanic Clouds are the most promising test cases for rotational mixing. In these systems we expect the biggest enhancements of N at the surface. Also, the uncertainty in the mass-loss rates plays a less important role, as radiatively driven winds are reduced at low metallicity. A disadvantage of Magellanic Cloud binaries with respect to Galactic systems is the greater distance. Long integration times may be needed to obtain spectra with high enough quality to determine the stellar parameters and abundances. The advantage of using eclipsing binaries is that we can compare directly to evolution models with corresponding masses and orbital periods. Therefore, just a few well-studied systems may be enough to put constraints on the efficiency of rotational mixing. However, ideally one would prefer a large sample to enable a statistical comparison.
The main parameter in our code that affects the efficiency of mixing
due to rotational instabilities is
(see Sect. 2) which
has been calibrated directly against the surface N abundances in the
VLT-FLAMES survey. However, the calibration involves multiple
parameters, such as
which is a measure of how effectively a
gradient in mean molecular weight can inhibit rotational mixing. We
expect that uncertainties in this parameter are not important for
our predictions for nitrogen, as this element is mainly produced and
transported to the envelope early in the evolution, before a strong
mean molecular-weight gradient has been established at the interface
between the core and the envelope. However, a lower value of
may lead to higher helium surface abundances, which may
facilitate the possibility of chemically homogeneous evolution in
close binaries, but this remains to be investigated.
We use a large amount of overshooting in our models (0.355 times the
pressure scale height
), to reproduce the extension of the main
sequence observed in the VLT-FLAMES data. However, the amount of
overshooting is an uncertain parameter and some authors quote lower
values for the amount of overshooting, for example
Schroder et al. (1997) who find 0.24-0.32
based on eclipsing
binaries with stellar masses between 2.5 and 6.5
,
(see
also Stothers & Chin 1992; Alongi et al. 1993). We recomputed one of our models
(20+15
,
3 days) without overshooting we find that, although the
stars are less luminous as expected, the surface nitrogen abundance
and the radius at a given time are very similar (deviations of less
0.01 dex in the N abundance at a given age, and less than 4% in the
radius for a given nitrogen surface abundance). For tighter binaries
we expect an even smaller effect on the radius. We conclude that our
predictions are not very sensitive to the uncertainties in the
overshooting parameter.
In our models we assume that mixing processes in binaries operate in the same way as in single stars. For both single stars and binary members we find that the stellar interior rotates nearly rigidly (at least during the early phase of evolution of interest here) as a result of efficient internal angular momentum transport by magnetic torques. Having very similar internal rotational profiles, the only difference in our models arises from the evolution of the rotation rate, which in single stars is governed by angular momentum loss and evolutionary expansion, while in binaries the tides play a major role. However, in the binary models we consider the stars are close to filling their Roche lobe. They are slightly deformed in a lob-sided way, no longer being symmetric around the rotation axis. In addition, one side of the star is irradiated by the companion and may be heated. Although the system is synchronized, the tides continue to extract or deposit angular momentum from or onto the stars. How such effects, induced by the presence of the companion star, interact with the different rotational instabilities is not well understood and poses an additional uncertainty on our predictions. If such effects are important and lead to additional mixing, our predictions for the N surface abundance can still be used as a test for rotational mixing if they are considered as lower limits to the expected N abundance.
Avoiding mass transfer in short-period binaries
We have shown that rotational mixing, if it is as efficient as assumed
in our models, can lead to chemically homogeneous evolution for
tight binaries with a 50
primary. In these models the primary
star stays so compact that the secondary star is the first to fill its
Roche lobe.
This peculiar behavior of the radius of stars, which are efficiently mixed, has been noted in models of rapidly rotating massive single stars (Maeder 1987) and has been suggested as an evolutionary channel for the progenitors of long gamma-ray bursts (Woosley & Heger 2006; Yoon et al. 2006) in the collapsar scenario Woosley (1993). In single stars this type of evolution only occurs at low metallicity, because at solar metallicity mass and angular momentum loss in the form of a stellar wind spins down the stars and prevents initially rapidly rotating stars from evolving chemically homogeneously (Brott et al. 2009; Yoon et al. 2006). In a close binary tides can replenish the angular momentum, opening the possibility for chemically homogeneous evolution in the solar neighborhood.
The binary models presented here all evolve into contact, but (as we
discussed briefly in Sect. 5.2) Roche-lobe overflow may be
avoided altogether in systems in which the secondary stays compact,
either because it also evolves chemically homogeneously, which may
occur if
,
or because it evolves on a much longer
timescale than the primary, when
.
Whereas standard binary
evolution theory predicts that the shorter the orbital period, the
earlier mass transfer sets in, we find that binaries with the lowest
orbital periods may avoid the onset of mass transfer altogether. This
evolution scenario does not fit in the traditional classification of
interacting binaries into Case A, B and C, based on
the evolutionary stage of the primary component at the onset of mass
transfer (Lauterborn 1970; Kippenhahn & Weigert 1967). In the remainder
of this paper we will refer to this new case of binary evolution, in
which mass transfer is delayed or avoided altogether as a result of
very efficient internal mixing, as Case M.
The massive and tight systems in which Case M can occur are
rare. Additional mixing processes induced by the presence of the
companion star, which may be important in such systems, will widen the
parameter space in which Case M can occur: it would lower the minimum
mass for the primary star and increase the orbital period below which
this type of evolution occurs. The massive LMC binary
[L72] LH 54-425, with an orbital period of 2.25 d
(Williams et al. 2008, see also Sect. 5.2) may be a candidate
for this type of evolution. Another interesting case is the galactic
binary WR20a, which consists of two core hydrogen burning stars of
and
in an orbit of 3.69 d. Both stars
are so compact that they are detached. The surface abundance show
evidence of rotational mixing: a nitrogen abundance of six times
solar is observed and carbon is depleted (Rauw et al. 2005; Bonanos et al. 2004).
Short-period Wolf-Rayet and black-hole binaries
If Roche-lobe overflow is avoided throughout the core hydrogen-burning
phase of the primary star, both stars will stay compact while the
primary gradually becomes a helium star and can be observed as a
Wolf-Rayet star. Initially the Wolf-Rayet star will be more massive
than its main sequence companion, but mass loss due to the strong
stellar wind may reverse the mass ratio, especially in systems which
started with nearly equal masses. Examples of observed short-period
Wolf-Rayet binaries with a main-sequence companion are
CQ Cep
, CX Cep
,
HD 193576
and the very massive system
HD 311884
(van der Hucht 2001). Such
systems are thought to be the result of very non-conservative mass
transfer or a common envelope phase (e.g. Petrovic et al. 2005a). Case M constitutes an alternative formation scenario which does not involve mass transfer.
Case M is also interesting in the light of massive black-hole
binaries. Orosz et al. (2007) recently published the stellar parameters
of M33 X-7, located in the nearby galaxy Messier 33 which harbors one
of the most massive stellar black holes known to date,
,
orbiting a massive O star,
,
which resides inside its Roche lobe in spite of the fact that
the orbit is very tight,
d. The explanation for
the formation of this system with standard binary evolutionary models
involves a common-envelope phase that sets in after the end of core
helium burning (Case C), as the progenitor of the black hole
must have had a radius much greater than the current orbital
separation. This scenario is problematic as it requires that the
black-hole progenitor lost roughly ten times less mass before the
onset of Roche-lobe overflow than what is currently predicted by
stellar evolution models
(Orosz et al. 2007). An additional problem is that the most likely
outcome of the common envelope phase would be a merger, as the
envelopes of massive stars are tightly bound
(Podsiadlowski et al. 2003). In the Case M scenario the black-hole
progenitor can stay compact and avoid Roche-lobe overflow at least
until the end of core helium burning, such that it retains its
envelope.
There are examples of stellar mass black-hole binaries with short
periods and a massive main-sequence companion, in which nearly
chemically homogeneous evolution may be important. IC 10 X-1 is a
system harboring the most massive stellar mass black hole known to
date with a mass of at least 21
,
orbiting a Wolf-Rayet star of
approximately 25
in an orbit of 1.45 days
(Silverman & Filippenko 2008). Homogeneous evolution helps to explain
the high mass of the black hole, but the short orbital period poses a
difficulty, also for Case M: strong mass loss during the Wolf-Rayet
life time will widen the orbit. Other examples of high mass black hole
binaries with short orbital periods are the famous systems
Cyg X-1
(Herrero et al. 1995),
LMC X-1
(Orosz et al. 2008) and
LMC X-3
(Yao et al. 2005, and references
therein).
The subsequent evolution of tight rapidly rotating Wolf-Rayet binaries remains to be investigated. If one or both members of the system can retain enough angular momentum to fulfill the collapsar scenario (Woosley 1993), which may be hard as the tides can slow down the stars (e.g. Detmers et al. 2008), it may lead to the production of one or even two long gamma-ray bursts.
Although promising, the importance of this channel may be small due to the limited binary parameter space in which Case M can occur. To make any strong statements about this new evolutionary scenario, further modeling is needed, which we will undertake in the near future.
7 Conclusion
We investigated the effect of rotational mixing on the evolution of detached short-period massive binaries using a state of the art stellar evolution code. The efficiency of rotational mixing was calibrated under the assumption that rotational mixing is the main process responsible for the observed N enhancements in rotating stars.
We find nitrogen surface enhancements of up to 0.6 dex for massive
binaries in the SMC. The largest enhancements can be reached in
systems with orbital periods less than about 2 days, in which the
primary is massive (about 20
or more) and evolved (filling its
Roche lobe by about 80% or more) and the secondary is significantly
less massive, which leads to a more spacious Roche lobe for the
primary (preferably
).
We propose to use such systems as test cases for rotational mixing. These systems often show eclipses and big radial velocity variations, such that their stellar parameters, the rotation rate and possibly their surface abundances can be determined with high accuracy. This enables a direct comparison between an observed system and models computed with the appropriate stellar and binary parameters. An additional major advantage of using detached main-sequence binaries is the constraint on the evolutionary history. For a fast spinning apparently single star we do not know whether it was born as a fast rotator or whether its rotation rate is the result of mass transfer or merger event. In a detached main-sequence binary we can exclude the occurrence of any mass transfer phase since the onset of core-hydrogen burning (see Sect. 1).
In the most massive binaries we find that rotational instabilities can efficiently mix centrally produced helium throughout the stellar envelope of the primary. They follow the evolution for chemically homogeneous stars: they stay within their Roche lobe, being over-luminous and blue compared to normal stars. Due to large amount of nitrogen and helium at the surface these stars can be observed as Wolf-Rayet stars with hydrogen in their spectra. In contrast to standard binary evolution, we find that it is the less massive star in these systems that fills its Roche lobe first.
There may be regions in the binary parameter space in which Roche-lobe overflow can be avoided completely during the core hydrogen-burning phase of the primary. The parameter space for this new evolutionary scheme, which we denote Case M to emphasize the important role of mixing, increases if additional mixing processes play a role in such massive systems. It may provide an alternative channel for the formation or tight Wolf-Rayet binaries with a main-sequence companion, without the need for a mass transfer and common envelope phase to bring the stars close together. This scenario is also potentially interesting for tight massive black hole binaries, such as M33 X-7 (Orosz et al. 2007), for which no satisfactory evolutionary scenario exists to date.
Acknowledgements
The authors would like to thank G. Meynet (referee), E. Glebbeek, M, Verkoulen, K. Belzcinski, Z. Han, J.-P. Zahn and the members of the VLT-FLAMES consortium. The authors acknowledge NOVA and LKBF for financial support. S.-Ch. Y. is supported by the DOE SciDAC Program (DOE DE-FC02-06ER41438).
References
- Alongi, M., Bertelli, G., Bressan, A., et al. 1993, A&AS, 97, 851 [NASA ADS]
- Asplund, M., Grevesse, N., & Sauval, A. J. 2005, in Cosmic Abundances as Records of Stellar Evolution and Nucleosynthesis, ed. T. G. Barnes, III & F. N. Bash, ASP Ser., 336, 25 (In the text)
- Belczynski, K., Kalogera, V., & Bulik, T. 2002, ApJ, 572, 407 [NASA ADS] [CrossRef]
- Bonanos, A. Z., Stanek, K. Z., Udalski, A., et al. 2004, ApJ, 611, L33 [NASA ADS] [CrossRef]
- Bouret, J.-C., Lanz, T., Hillier, D. J., et al. 2003, ApJ, 595, 1182 [NASA ADS] [CrossRef]
- Brookshaw, L., & Tavani, M. 1993, ApJ, 410, 719 [NASA ADS] [CrossRef] (In the text)
- Brott, I., Langer, N., Lennon, D., et al. 2009, in prep. (In the text)
- Cantiello, M., Yoon, S.-C., Langer, N., & Livio, M. 2007, A&A, 465, L29 [NASA ADS] [CrossRef] [EDP Sciences]
- Cantiello, M., Langer, N., Brott, I., et al. 2009, A&A, submitted (In the text)
- Daflon, S., Cunha, K., Butler, K., & Smith, V. V. 2001, ApJ, 563, 325 [NASA ADS] [CrossRef]
- De Mink, S. E., Pols, O. R., & Hilditch, R. W. 2007, A&A, 467, 1181 [NASA ADS] [CrossRef] [EDP Sciences] (In the text)
- Detmers, R. G., Langer, N., Podsiadlowski, P., & Izzard, R. G. 2008, A&A, 484, 831 [NASA ADS] [CrossRef] [EDP Sciences] (In the text)
- Domiciano de Souza, A., Kervella, P., Jankov, S., et al. 2003, A&A, 407, L47 [NASA ADS] [CrossRef] [EDP Sciences] (In the text)
- Eddington, A. S. 1925, The Observatory, 48, 73 [NASA ADS]
- Eddington, A. S. 1926, The Internal Constitution of the Stars (Cambridge University Press)
- Eggleton, P. P. 1983, ApJ, 268, 368 [NASA ADS] [CrossRef] (In the text)
- Evans, C. J., Smartt, S. J., Lee, J.-K., et al. 2005, A&A, 437, 467 [NASA ADS] [CrossRef] [EDP Sciences]
- Fliegner, J., Langer, N., & Venn, K. A. 1996, A&A, 308, L13 [NASA ADS]
- Friend, D. B., & Abbott, D. C. 1986, ApJ, 311, 701 [NASA ADS] [CrossRef]
- Gies, D. R., & Lambert, D. L. 1992, ApJ, 387, 673 [NASA ADS] [CrossRef]
- Harries, T. J., Hilditch, R. W., & Howarth, I. D. 2003, MNRAS, 339, 157 [NASA ADS] [CrossRef]
- Heger, A., & Langer, N. 2000, ApJ, 544, 1016 [NASA ADS] [CrossRef]
- Heger, A., Langer, N., & Woosley, S. E. 2000, ApJ, 528, 368 [NASA ADS] [CrossRef] (In the text)
- Heger, A., Woosley, S. E., & Spruit, H. C. 2005, ApJ, 626, 350 [NASA ADS] [CrossRef]
- Herrero, A., Kudritzki, R. P., Gabler, R., Vilchez, J. M., & Gabler, A. 1995, A&A, 297, 556 [NASA ADS] (In the text)
- Hilditch, R. W., Howarth, I. D., & Harries, T. J. 2005, MNRAS, 357, 304 [NASA ADS]
- Huang, W., & Gies, D. R. 2006, ApJ, 648, 591 [NASA ADS] [CrossRef]
- Hunter, I., Dufton, P. L., Smartt, S. J., et al. 2007, A&A, 466, 277 [NASA ADS] [CrossRef] [EDP Sciences] (In the text)
- Hunter, I., Brott, I., Lennon, D. J., et al. 2008, ApJ, 676, L29 [NASA ADS] [CrossRef]
- Hurley, J. R., Tout, C. A., & Pols, O. R. 2002, MNRAS, 329, 897 [NASA ADS] [CrossRef] (In the text)
- Iglesias, C. A., & Rogers, F. J. 1996, ApJ, 464, 943 [NASA ADS] [CrossRef] (In the text)
- Kippenhahn, R., & Weigert, A. 1967, Zeitschrift fur Astrophysik, 65, 251 [NASA ADS] (In the text)
- Korn, A. J., Keller, S. C., Kaufer, A., et al. 2002, A&A, 385, 143 [NASA ADS] [CrossRef] [EDP Sciences]
- Langer, N. 1991, A&A, 252, 669 [NASA ADS] (In the text)
- Langer, N. 1998, A&A, 329, 551 [NASA ADS]
- Langer, N., Cantiello, M., Yoon, S.-C., et al. 2008, in IAU Symp., 250, 167 (In the text)
- Lauterborn, D. 1970, A&A, 7, 150 [NASA ADS]
- Leushin, V. V. 1988, Sov. Astron., 32, 430 [NASA ADS]
- Maeder, A. 1987, A&A, 178, 159 [NASA ADS]
- Maeder, A., & Meynet, G. 2000a, A&A, 361, 159 [NASA ADS]
- Maeder, A., & Meynet, G. 2000b, ARA&A, 38, 143 [NASA ADS] [CrossRef]
- Martins, F., Hillier, D. J., Bouret, J. C., et al. 2008, ArXiv e-prints
- Massey, P., Penny, L. R., & Vukovich, J. 2002, ApJ, 565, 982 [NASA ADS] [CrossRef] (In the text)
- Mendel, J. T., Venn, K. A., Proffitt, C. R., Brooks, A. M., & Lambert, D. L. 2006, ApJ, 640, 1039 [NASA ADS] [CrossRef]
- Meynet, G., & Maeder, A. 1997, A&A, 321, 465 [NASA ADS] (In the text)
- Mokiem, M. R., de Koter, A., Evans, C. J., et al. 2007, A&A, 465, 1003 [NASA ADS] [CrossRef] [EDP Sciences]
- Nelson, C. A., & Eggleton, P. P. 2001, ApJ, 552, 664 [NASA ADS] [CrossRef]
- Orosz, J. A., McClintock, J. E., Narayan, R., et al. 2007, Nature, 449, 872 [NASA ADS] [CrossRef] (In the text)
- Orosz, J. A., Steeghs, D., McClintock, J. E., et al. 2008, ArXiv e-prints (In the text)
- Pavlovski, K., & Hensberge, H. 2005, A&A, 439, 309 [NASA ADS] [CrossRef] [EDP Sciences]
- Petrovic, J., Langer, N., & van der Hucht, K. A. 2005a, A&A, 435, 1013 [NASA ADS] [CrossRef] [EDP Sciences]
- Petrovic, J., Langer, N., Yoon, S.-C., & Heger, A. 2005b, A&A, 435, 247 [NASA ADS] [CrossRef] [EDP Sciences] (In the text)
- Podsiadlowski, P., Joss, P. C., & Hsu, J. J. L. 1992, ApJ, 391, 246 [NASA ADS] [CrossRef]
- Podsiadlowski, P., Rappaport, S., & Han, Z. 2003, MNRAS, 341, 385 [NASA ADS] [CrossRef] (In the text)
- Pols, O. R. 1994, A&A, 290, 119 [NASA ADS]
- Rauw, G., Crowther, P. A., De Becker, M., et al. 2005, A&A, 432, 985 [NASA ADS] [CrossRef] [EDP Sciences]
- Schnurr, O., Moffat, A. F. J., St-Louis, N., Morrell, N. I., & Guerrero, M. A. 2008, MNRAS, 389, 806 [NASA ADS] [CrossRef]
- Schroder, K.-P., Pols, O. R., & Eggleton, P. P. 1997, MNRAS, 285, 696 [NASA ADS] (In the text)
- Silverman, J. M., & Filippenko, A. V. 2008, ApJ, 678, L17 [NASA ADS] [CrossRef] (In the text)
- Spruit, H. C. 2002, A&A, 381, 923 [NASA ADS] [CrossRef] [EDP Sciences] (In the text)
- Stothers, R. B., & Chin, C.-W. 1992, ApJ, 390, 136 [NASA ADS] [CrossRef]
- Suijs, M. P. L., Langer, N., Poelarends, A.-J., et al. 2008, A&A, 481, 87 [NASA ADS] [CrossRef]
- Toledano, O., Moreno, E., Koenigsberger, G., Detmers, R., & Langer, N. 2007, A&A, 461, 1057 [NASA ADS] [CrossRef] [EDP Sciences] (In the text)
- van der Hucht, K. A. 2001, New Astron. Rev., 45, 135 [NASA ADS] [CrossRef] (In the text)
- Vanbeveren, D., Van Bever, J., & Belkus, H. 2007, ApJ, 662, L107 [NASA ADS] [CrossRef]
- Venn, K. A., Brooks, A. M., Lambert, D. L., et al. 2002, ApJ, 565, 571 [NASA ADS] [CrossRef]
- Vogt, H. 1925, Astron. Nachr., 223, 229 [NASA ADS] [CrossRef]
- von Zeipel, H. 1924, MNRAS, 84, 665 [NASA ADS]
- Walborn, N. R. 1976, ApJ, 205, 419 [NASA ADS] [CrossRef]
- Walborn, N. R., Morrell, N. I., Howarth, I. D., et al. 2004, ApJ, 608, 1028 [NASA ADS] [CrossRef]
- Wellstein, S., & Langer, N. 1999, A&A, 350, 148 [NASA ADS]
- Wellstein, S., Langer, N., & Braun, H. 2001, A&A, 369, 939 [NASA ADS] [CrossRef] [EDP Sciences]
- Williams, S. J., Gies, D. R., Henry, T. J., et al. 2008, ApJ, 682, 492 [NASA ADS] [CrossRef] (In the text)
- Witte, M. G., & Savonije, G. J. 1999, A&A, 350, 129 [NASA ADS] (In the text)
- Woosley, S. E. 1993, ApJ, 405, 273 [NASA ADS] [CrossRef] (In the text)
- Woosley, S. E., & Heger, A. 2006, ApJ, 637, 914 [NASA ADS] [CrossRef]
- Yao, Y., Wang, Q. D., & Nan Zhang, S. 2005, MNRAS, 362, 229 [NASA ADS] [CrossRef] (In the text)
- Yoon, S.-C., & Langer, N. 2005, A&A, 443, 643 [NASA ADS] [CrossRef] [EDP Sciences]
- Yoon, S.-C., Langer, N., & Norman, C. 2006, A&A, 460, 199 [NASA ADS] [CrossRef] [EDP Sciences] (In the text)
- Zahn, J.-P. 1974, in Stellar Instability and Evolution, ed. P. Ledoux, A. Noels, & A. W. Rodgers, IAU Symp., 59, 185 (In the text)
- Zahn, J.-P. 1975, A&A, 41, 329 [NASA ADS] (In the text)
- Zahn, J.-P. 1977, A&A, 57, 383 [NASA ADS] (In the text)
- Zahn, J.-P. 1989, A&A, 220, 112 [NASA ADS]
Footnotes
- ...
WNh
- Wolf-Rayet stars with evidence of enhanced nitrogen and hydrogen in their spectra (e.g. Schnurr et al. 2008).
- ...orbit
- Abundance determinations of boron, if available, may be used to distinguish between binary effects and pure rotational mixing, see Fliegner et al. (1996).
- ...systems
- Possibly only 20 systems are detached. For two of the systems an alternative semi-detached solution exists. For one of these systems a comparison to binary evolution models including the effects of mass transfer showed that the semi-detached solution was more consistent than the detached solution (De Mink et al. 2007).
- ... surface
- We define
as
the age at which the surface nitrogen abundance is enhanced by
0.01 dex.
- ...
R136-38
-
,
and
d.
- ... R136-42
-
,
and
d.
- ... [L72] LH 54-425
-
,
and
d.
- ...
CQ Cep
- CQ Cep:
d.
- ... CX Cep
- CX Cep:
d.
- ...
HD 193576
- HD 193576:
d.
- ...
HD 311884
- HD 311884:
d.
- ...
Cyg X-1
- Cyg X-1:
d.
- ...
LMC X-1
- LMC X-1:
d.
- ...
LMC X-3
- LMC X-3:
-
d.
All Tables
Table 1:
Key properties of the massive binary evolution models
(20
+ 15
)
as defined and discussed in
Sect. 5.1.
Table 2:
Key properties of very massive binaries (50
+ 25
)
as
described in Sect. 5.2 (see also Table 1 and
Sect. 5.1). In the last column we indicate which
component fills its Roche lobe first.
All Figures
![]() |
Figure 1:
Timescales for tidal synchronization. The
four dashed lines indicate where the timescales for tidal
synchronization by turbulent viscosity
|
| Open with DEXTER | |
| In the text | |
![]() |
Figure 2:
Surface nitrogen abundance versus time for single stellar
models of 20
|
| Open with DEXTER | |
| In the text | |
![]() |
Figure 3:
Surface abundances of nitrogen (14N),
carbon (12C), boron (10B + 11B) and the mass fraction
of helium at the surface versus time for a 20
|
| Open with DEXTER | |
| In the text | |
![]() |
Figure 4:
The evolution from the onset of central H burning until the
moment of Roche-lobe overflow for a 50
|
| Open with DEXTER | |
| In the text | |
![]() |
Figure 5: Helium abundance at the surface as a function of the helium abundance in the center for the same systems as plotted in Fig. 4. |
| Open with DEXTER | |
| In the text | |
![]() |
Figure 6: Nitrogen abundance as a function of age at the surface for the primary and secondary star of the same systems as plotted in Fig. 4. Note the different scales. |
| Open with DEXTER | |
| In the text | |
![]() |
Figure 7: Radius as fraction of the Roche-lobe radius for the primary ( left panel) and secondary star ( right panel) of the same systems as plotted in Fig. 4. |
| Open with DEXTER | |
| In the text | |
Copyright ESO 2009
Current usage metrics show cumulative count of Article Views (full-text article views including HTML views, PDF and ePub downloads, according to the available data) and Abstracts Views on Vision4Press platform.
Data correspond to usage on the plateform after 2015. The current usage metrics is available 48-96 hours after online publication and is updated daily on week days.
Initial download of the metrics may take a while.


![\begin{figure}
\par\includegraphics[width=6.4cm,angle=90,clip]{11439F1.eps}
\end{figure}](/articles/aa/full_html/2009/13/aa11439-08/Timg34.gif)
![\begin{figure}
\par\includegraphics[width=17cm]{11439F2.eps}
\end{figure}](/articles/aa/full_html/2009/13/aa11439-08/Timg38.gif)
![\begin{figure}
\par\includegraphics[width=8.2cm]{11439F3a.eps}\includegraphics[w...
...dth=8.2cm]{11439F3c.eps}\includegraphics[width=8.2cm]{11439F3d.eps}
\end{figure}](/articles/aa/full_html/2009/13/aa11439-08/Timg56.gif)


![\begin{figure}
\par\includegraphics[width=8.5cm]{11439F6a.eps}\includegraphics[width=8.5cm]{11439F6b.eps}\end{figure}](/articles/aa/full_html/2009/13/aa11439-08/Timg69.gif)
![\begin{figure}
\par\includegraphics[width=8.5cm]{11439F7a.eps}\includegraphics[width=8.5cm]{11439F7b.eps}\end{figure}](/articles/aa/full_html/2009/13/aa11439-08/Timg99.gif)