| Issue |
A&A
Volume 497, Number 2, April II 2009
|
|
|---|---|---|
| Page(s) | 335 - 341 | |
| Section | Cosmology (including clusters of galaxies) | |
| DOI | https://doi.org/10.1051/0004-6361/200810657 | |
| Published online | 18 February 2009 | |
Full-sky weak-lensing simulation with 70 billion particles
R. Teyssier1,2 - S. Pires1,3 - S. Prunet2 - D. Aubert4 - C. Pichon1,2 - A. Amara1 - K. Benabed2 - S. Colombi2 - A. Refregier1 - J.-L. Starck1,3
1 - Service d'Astrophysique, CEA Saclay, Bâtiment 709, 91191 Gif-sur-Yvette Cedex, France
2 -
Institut d'Astrophysique de Paris, 98bis boulevard Arago, 75014 Paris, France
3 -
Service d'Électronique, de Detection et d'Informatique, CEA Saclay, Bâtiment 141, 91191 Gif-sur-Yvette Cedex, France
4 -
Observatoire Astronomique, Université de Strasbourg, UMR 7550, 11 rue de l'Université, 67000 Strasbourg, France
Received 23 July 2008 / Accepted 13 January 2009
Abstract
We have performed a 70 billion dark-matter particles N-body
simulation in a 2 h-1 Gpc periodic box, using the concordance,
cosmological model as favored by the latest WMAP3 results. We have
computed a full-sky convergence map with a resolution of
arcmin2, spanning 4 orders of magnitude in
angular dynamical range. Using various high-order statistics on a
realistic cut sky, we have characterized the transition from the
linear to the nonlinear regime at
and shown that
realistic galactic masking affects high-order moments only below
.
Each domain (Gaussian and non-Gaussian) spans
2 decades in angular scale. This map is therefore an ideal tool for
testing map-making algorithms on the sphere. As a first step in
addressing the full map reconstruction problem, we have benchmarked
in this paper two denoising methods: 1) Wiener filtering applied to
the Spherical Harmonics decomposition of the map and 2) a new
method, called MRLens, based on the modification of the Maximum
Entropy Method on a Wavelet decomposition. While the latter is
optimal on large spatial scales, where the signal is Gaussian,
MRLens outperforms the Wiener method on small spatial scales, where
the signal is highly non-Gaussian. The simulated full-sky
convergence map is freely available to the community to help the
development of new map-making algorithms dedicated to the next
generation of weak-lensing surveys.
Key words: methods: N-body simulations - methods: data analysis - cosmology: large-scale structure of Universe
1 Introduction
Weak gravitational lensing, or ``cosmic shear'', provides a unique
tool for mapping the matter density distribution in the Universe (for
reviews, see Refregier 2003; Hoekstra 2003;
Munshi et al. 2006). Current weak-lensing surveys cover altogether about
100 square degrees and have been used to measure the amplitude of the
matter power spectrum and other cosmological parameters (see; Fu et al. 2008, and references therein). A number of
new instruments are being planned to carry out these surveys over
wider sky areas (PanSTARRS, DES, SNAP and LSST)
or even over the full extragalactic sky
(DUNE
). These wide-field
surveys will yield cosmic-shear measurements on both large scales,
where gravitational dynamics is in the linear regime, and small
scales, where the dynamics is highly nonlinear. The comparison of
these measurements with theoretical predictions of the density field
evolution will place strong constraints on cosmological parameters,
including dark energy parameters (e.g. Hu & Tegmark 1999; Huterer 2002;
Amara & Refregier 2006; Albrecht & Bernstein 2007). On small scales, the highly
nonlinear nature of the density field ensures that predictions based
on analytic calculations are prohibitively difficult and requires the
use of numerical simulations. N-body simulations have thus been used
to simulate weak-lensing maps across small patches of the sky, using
the flat sky approximation (e.g. Jain et al. 2000; Hamana et al. 2001;
White & Vale 2004). The simulation of full-sky maps in preparation for
future surveys involve a wide range of both mass and length scales and
is challenging for current N-body simulations. The range of scales
involved also requires the development of efficient algorithms for
deriving a mass map from true noisy data sets. These algorithms need
to be well-suited to both the large-scale signal, which is
essentially a Gaussian random field, and those on small-scales, where
it is highly non-Gaussian and exhibits localized features.
In this paper, we used a high resolution N-body simulation to
construct a full-sky weak-lensing map and test a new
map-reconstruction method based on a multi-resolution technique. For
this purpose, we use the Horizon simulation, a 70 billion particle
N-body simulation, featuring more than 140 billion cell in the AMR
grid of the RAMSES code (Teyssier 2002). The simulation covers a
sufficiently large volume (
Gpc) to compute a
full-sky convergence map, while resolving Milky-Way size halos with
more than 100 particles, and exploring small scales into the nonlinear
regime (see Sect. 2). This unprecedented computational
effort allows us, for the first time, to close the gap between scales
close to the cosmological horizon and scales deep inside virialized
dark-matter haloes. A similar effort at lower resolution was
presented by Fosalba et al. (2008).
The dark-matter distribution in the simulation was integrated in a
light cone to a redshift of 1, around an observer located at the
centre of the simulation box (see Sect. 3). This light cone
was then used to calculate the corresponding full-sky lensing
convergence field, which we mapped using the Healpix
pixelisation scheme (Górski et al. 2005)
with a pixel resolution of
arcmin2(
), and added ``instrumental'' noise for a typical
all-sky survey with 40 galaxies per arcmin2, as expected for
example for the DUNE mission (Réfrégier et al. 2006). Using an Undecimated
Isotropic Wavelet Decomposition of this realistic simulated
weak-lensing map on the sphere, we analyzed the statistics of each
wavelet plane using second, third and fourth order moments estimator
(Sect. 4). We then applied, in Sect. 5, a
multi-resolution algorithm to filter a fictitious simulated
data set based on an extension of the wavelet filtering technique of
Starck et al. (2006b). We characterised the quality of the reconstruction
using the power spectrum of the error map and compare this to the
result of standard Wiener filtering on the sphere. Our results,
summarised in Sect. 6, illustrate the virtue of high
resolution simulations such as the one reported here to prepare for
future weak-lensing surveys and to design new map-making techniques.
![]() |
Figure 1: Full-sky simulated convergence map derived from the Horizon Simulation. Its resolution of 200 million pixels has been downgraded to fit the page. The various inserts display a zoom sequence into smaller and smaller areas of the sky. The pixel size is 0.74 arcmin2. |
| Open with DEXTER | |
2 The horizon N-body simulation
This large N-body simulation was carried out using the RAMSES code
(Teyssier 2002) for two months on the 6144 Itanium2 processors of
the CEA supercomputer BULL Novascale 3045 hosted in France by
CCRT
. RAMSES is a
parallel hydro and N-body code based on the Adaptive Mesh Refinement
(AMR) techniques. Using a parallel version of the grafic
package (Bertschinger 2001), we generated the initial displacement
field on a 40963 grid for the cosmological parameters from the WMAP
3rd year results (Spergel et al. 2007), namely
,
,
,
n=0.958, H0=73 km s-1 Mpc-1and
.
We used the Eisenstein & Hu (1999) transfer
function, which includes baryon oscillations. The box size was set to
2 Gpc/h, which corresponds roughly to the comoving distance to an
object at
.
We used 68.7 billion particles to simuate
the dark-matter density field, yielding a particle mass of
and 130 particles per Milky Way halo. This large
particle distribution was split across 6144 individual files, one for
each processor, according to the RAMSES code domain decomposition
strategy (Prunet et al. 2008). Starting with a base (or coarse) grid of
40963 grid points, AMR cells are recursively refined if the number
of particles in the cell exceeds 40. In this way, the number of
particles per cell varied between 5 and 40, so that the particle shot
noise remained at an acceptable level. At the end of the simulation,
we had reached 6 levels of refinement with a total of 140 billion AMR
cells. This corresponds to a formal resolution of 262 1443 or 7.6 h-1kpc comoving spatial resolution. Parallel computing is
perfomed using the MPI message-passing library, with a domain
decomposition based on the Peano-Hilbert space-filling curve. The
work and memory load was adjusted dynamically by reshuffling particles
and grid points from each processor to its neighbors. The simulation
required 737 main (or coarse) time steps and more than 104 fine
time steps for completion.
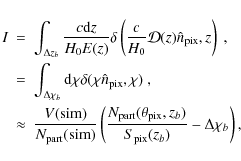
3 Light cone and convergence map
Born's unperturbed-trajectory assumption for all neighboring light rays is a good approximation in the linear regime of structure formation, but is inaccurate in the nonlinear regime. Consequently, distortion effects of lensing beyond the first order cannot be simulated reliably. As shown by Van Waerbeke et al. (2001), the Born approximation also introduces a relative error in the skewness of the signal of aproximately 10% on large scales where the convergence is Gaussian, and about 1% on small scales in the nonlinear regime. We therefore implemented a multiple-lens ray-tracing method that can be applied more generally than Born's approximation.
We constructed a light cone by recording, at each main time step, the positions of particles within the boundaries of a photon plane: this plane moved at the speed of light towards an observer, who was located at the centre of the box. Our method was developed from the one presented by Hamana et al. (2001). This method produced 348 slices in the light cone, spanning the redshift range [0, 1]. Due to the large size of the simulated volume, the effect of periodic replications of the computational box are minimized. Each slice was then transformed into a full-sky Healpix map ( nside=4096) of the average overdensity using a simple ``Nearest Grid Point'' (NGP) mass projection scheme. The density slices thus represented our physical model of the lens screens used in the ray-tracing procedure. We note that there is no unique procedure for generating a band-limited harmonic representation of each slice of particles. We choose to use an NGP interpolation because it is a good compromise between filtering and aliasing, and remains localised in configuration space. More sophisticated interpolation schemes have been developed in the context of either 3D particle distributions (Colombi et al. 2009) or 2D continuous fields (Basak et al. 2008), which, however, remain impractical in significantly large simulations.
After an interpolation kernel has been chosen, all fields (lensing
potentials and displacement fields) are computed from the NGP
interpolation mass slices at each redshift using a spherical harmonic
decomposition. The resampling of the displacement fields outside the
pixel centres (as required in a multi-lens method) is completed using
a local linear-interpolation scheme (using covariant, second
derivatives of the potential); this last interpolation has the same
spectral behavior (and thus the same aliasing contamination) as the
NGP-interpolated mass slices, and we therefore do not need to use a
higher-order resampling scheme (since the calculation of the potential
requires two sets of integration over the mass distribution, while the
interpolation of the displacement field corresponds to a second-order
derivative). We provide more details in Appendix A (see
Jain et al. 2000; Hamana et al. 2001; and White & Vale 2004, for alternative
approaches). We assumed that the background galaxies are within a
single source plane located at redshift
.
The final
convergence map was computed using our multiple-lens ray-tracing
scheme, for which spherical geometry precludes the use of small angle
approximations (as in Das & Bode 2008) especially in the neighborhood of
the poles; full rotation matrices for each light ray must therefore be
computed from the displacement fields at each redshift.
The resulting full-sky Healpix map with a pixel size of
arcmin is shown in Fig. 1, with small
inserts to highlight the large dynamical range
achieved
. The particle shot noise
corresponding to our 70 billion particle run has a small impact on the
map. As shown in Fig. 4, the particle shot noise is
well below the expected instrumental noise, and even sufficiently low
to be ignored in the spectral analysis of the signal.
4 High-order moments and realistic sky cut
![]() |
Figure 2: Map of the cut-sky used in Sect. 4 to compute high-ordermoments. |
| Open with DEXTER | |
![]() |
Figure 3: Moments of the convergence as a function of the average multipole moment on each wavelet scale. The variance, skewness, and kurtosis are shown as black, blue, and red lines, respectively. Solid lines with error bars corresponds ro a full-sky analysis, while dotted lines correspond to our cut-sky analysis. |
| Open with DEXTER | |
![]() |
Figure 4: Angular power spectrum of the simulated convergence map (black solid line), compared to a fit based on the Smith et al. (2001) analytical model with error bars corresponding to our noise model (pink area). Also shown is the prediction from linear theory (pink dashed curve). The noise power spectrum is plotted as the dashed black line. The green solid line is the power spectrum of the error map obtained with the Wiener filter method, while the blue solid line are that for the MRLens method. |
| Open with DEXTER | |
In Fig. 1, the signal appears as a typical Gaussian random
field on large scales, similar to the Cosmic Microwave Background map
seen by the WMAP satellite (Spergel et al. 2007). On small scales, the
signal is clearly dominated by clumpy structures (dark matter halos)
and is therefore highly non-Gaussian. To characterize this
quantitatively, we performed a wavelet decomposition of our map using
the Undecimated Isotropic Wavelet Transform on the sphere
(Starck et al. 2006a), and, for each wavelet scale, we have computed its
second-, third- and fourth-order moment. We used 11 scales with
central multipole values of
,
4500, 2250, 1125, 562, 282,
141, 71, 35, 18. For each of these maps, we computed the variance
,
the normalized skewness
,
and the normalized kurtosis
.
Results are plotted in
Fig. 3 as solid lines of various colors. Error bars
were estimated approximately by computing each moment on the 12
Healpix base pixels independently and evaluating the variance in the
12 results. A more appropriate strategy would have been to perform
several, independent, 70 billion particle runs, which is currently
impossible for us to do. We can see that the variance in the signal
steadily increases for higher and higher multipoles, and saturates at
a fraction of 10-4, corresponding to the value predicted from
nonlinear gravitational clustering for
.
The variance
for each wavelet plane can be considered to be a band power estimate
of the angular power spectrum, as can be verified using
Fig. 4. In the same figure, we have also plotted for
comparison the linear power spectrum, to highlight the scale
below which nonlinear clustering contributes significantly, i.e., for
or equivalently
,
as first pointed out
by Jain & Seljak (1997). Skewness and kurtosis are more direct estimators of
the signal non-Gaussianity. Departures from Gaussianity occur around
,
where both statistics cross unity. Due to the
large dynamical range of the Horizon simulation, we computed a map
spanning two decades in angular scales in the linear, Gaussian regime
and two additional decades in angular scales into the nonlinear,
non-Gaussian regime.
It is clear from Fig. 3 that at small
,
the
skewness and the kurtosis of the map are strongly affected by cosmic
variance. The statistics of the convergence field cannot be measured
in practice over the whole sky because of sky cuts imposed by the
presence of saturated stars and by absorption in the Galactic plane.
We estimated the impact of this sky cut on the accuracy of our
multi-resolution statistical analysis. We computed the expected number
of bright stars that would saturate CCD cameras typically employed in
wide-field survey (B-magnitude < 20). We then removed from our
analysis each pixel contaminated by at least 3 bright stars, based on
a random Poissonian realization of bright stars in our Galaxy
(according to the model presented in Bahcall & Soneira 1980, Appendix B).
We obtain a mask with 40% of the sky removed, corresponding roughly
to a
cut around the Galactic plane (see Fig. 2).
The resulting statistics are overplotted as dotted lines in
Fig. 3. The transition scale, for which the departure
from Gaussianity is significant, can still be estimated reliabily
around
.
We concluded that the cosmic variance
of the cut sky affects high-order moments only below
.
![]() |
Figure 5:
Reconstruction of convergence maps with our 2 filtering
techniques. The top panels show the
|
| Open with DEXTER | |
5 Map-making using multi-resolution filtering
The full-sky simulated convergence maps described above can be used to
analyze and compare de-noising (or map-making) methods on the sphere.
For this purpose, we considered a purely white instrumental noise,
typical of the next generation all-sky surveys, and a root mean
square per pixel of area
given by
for
background galaxies
per arcmin2. Recovering the most accurate convergence map from noisy
data will be an important step in future surveys. This reconstructed
map can be used to construct a mass selected halo catalog, measure its
statistical properties and constrain cosmological parameters, and be
compared directly with other cluster catalogues compiled with other
techniques (X-ray, galaxy counts or SZ). We restrict ourselves to the
full-sky denoising of a convergence map already reconstructed
from the shear derived from galaxy ellipticities. In the present
work, we do not address filtering in the presence of a cut-sky, such
as the one shown in Fig. 2. Promising methods based on
``impainting'' have been developed in the CMB context
(Abrial et al. 2008), and also weak-lensing applications (Pires et al. 2008);
these replace missing data with an artificial signal and allow us to
optimize the results we obtained with filtering methods for a full-sky
analysis.
A straightforward filtering method is the Wiener filtering scheme,
which is optimal for Gaussian random fields, and is expected to
operate here effectively on large scales. Defining
as the
power spectrum of the input signal (see Fig. 4) and
the power spectrum of the noise, this method involves
convolving the noisy map by the Wiener filter defined as
.
The results of the Wiener
filtering approach are shown in Fig. 5. Comparing with
the input signal map, we conclude that, although the agreement is
satisfactory on large scales, the dense clumps clearly visible in the
image are poorly recovered because they have been convolved too
significantly.
A dedicated weak-lensing wavelet-restoration method, called MRLens,
has been developed (Starck et al. 2006b). It can be considered to be an
extension of the Maximum Entropy Method (MEM) that provides different
types of information. In MRLens, the entropy constraint is not
applied to the pixels of the solution, but rather its wavelet
coefficients. This allows us to take into account more efficiently
the multi-scale behavior of the information. MRLens was, however,
designed for weak-lensing maps of smaller surface area on the sky, for
which the non-Gaussian signal is stronger. MRLens was extended here
to the sphere by considering independently each of the 12 Healpix base
pixels covering the sphere as 12 independent Cartesian maps, on which
we applied the MRLens algorithm of Starck et al. (2006b). Full-sky denoising
performed with MRLens is shown in Fig. 5. It performs
more efficiently than the Wiener methods on small scales, with dense
clumps more accurately estimated, but less efficient than the Wiener
method on large scale when recovering low frequency waves in the map.
We also computed the angular power spectrum of the error map (see
Fig. 4) in both cases (Wiener and MRLens). We can see
that Wiener filtering outperforms MRLens on large
scales. Interestingly, the MRLens errors decrease significantly above
the transition scale we identified in the last section around
(see Fig. 4).
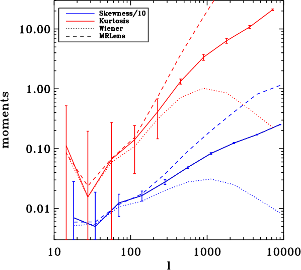
To compare both methods more quantitatively, we computed the skewness and kurtosis of both reconstructed maps. Results are shown in Fig. 6. We note that using map-making algorithms to recover the skewness and kurtosis of the true signal is not at all the optimal strategy: maximum likelihood estimators are more appropriate. We used high-order statistics here only to compare the relative merits of each method. It is striking to observe in Fig. 6 that the Wiener reconstructed map strongly underestimate the skewness and the kurtosis at small scale. This confirms quantitatively what was already visible in the maps (Fig. 5), namely that the Wiener method strongly suppresses high peaks in the map, affecting the tail of the probability distribution function. On the other hand, the MRLens reconstructed map has a significantly higher skewness and kurtosis than the original map: this wavelet-based method is only efficient in recovering high peaks in the signal, affecting the reconstructed probability density function in the opposite direction.
![]() |
Figure 6: Skewness (blue lines) and kurtosis (red lines) for the original convergence map (solid lines with error bars), compared to the same high-order statistics for the Wiener reconstructed map (dotted lines) and the MRLens reconstructed map (dashed lines). |
| Open with DEXTER | |
![]() |
Figure 7: Histogram of the residual maps for Wiener and MRLensfiltering. |
| Open with DEXTER | |
We now use the probability density function (PDF) of the residual maps
to compare each method (see Fig. 7). We confirm our visual
impression from Fig. 5 that MRLens performs more
efficiently than the Wiener method in recovering the high convergence,
nonlinear features in the map. The positive high residual tail is
reduced significantly by MRLens, as well as the dozen of strongly
outlying pixels in the Wiener filterer map around
(see Fig. 7). MRLens, however, performs poorly for small
values of the convergence (
), for which the
PDF is well approximated by a Gaussian, an optimal situation for
Wiener filtering.
The present analysis, based on using both the power spectrum of the residual maps and the high-order moments of the recovered map, strongly suggests that new methods should be developed using an hybrid, multi-resolution formulation; for instance, using spherical harmonics on large scales, while utilizing wavelets coefficients on small scales. The methodology of this combined approach could be based on the idea of Combined Filtering introduced by Starck et al. (2006a).
6 Conclusion
Using the 70 billion particles of the Horizon N-body Simulation, we
have computed for the first time a realistic full-sky convergence map
with a pixel resolution of
arcmin2. We have analyzed the resulting map using
multi-resolution statistics (variance, skewness, and kurtosis) and
angular power-spectrum analysis. We have shown that this simulated
map spans 4 decades of useful signal in angular scale, with 2 decades
within the linear, Gaussian regime and 2 decades well into the
nonlinear, non-Gaussian regime. We have shown that, when considering
a realistic sky cut, we can reliabily estimate high-order moments of
the map above
.
Using even higher resolution maps,
angular scales smaller than
could be explored in
future works, although the mass ditribution on these scales might be
affected by baryons physics (Jing et al. 2006), so that the present map
might already cover all cosmologically relevant scales.
As a first step towards a realistic map-making procedure, we have
tested two de-noising schemes on a simplified fictitious dataset
derived from the full-sky map, namely Wiener filtering and the MRLens
method (Starck et al. 2006b). We have shown quantitatively that Wiener
filtering is the most effective method on large scales, although some
signal is lost on small scales. MRLens performs more effectively on
small scales and recovers the dense clumps associated with dark matter
halos, but deals less accurately with low frequency waves in the map.
Hence, this work demonstrates the need for hybrid multi-resolution
approach, e.g., by combining spherical harmonics and wavelet
coefficients. The present analysis will be extended in future work to
map-making algorithms dealing directly with galaxy shears. The
simulated convergence map may prove to be an effective tool for the
design of new map-making methods and for the preparation of the next
generation weak-lensing surveys
.
Acknowledgements
We would like to thank Julien Devriendt, Pierre Ocvirk, Arthur Petitpierre and Philippe Lachamp for their unvaluable help during the course of this project. The Horizon Simulation presented here was supported by the ``Centre de Calcul Recherche et Technologie'' (CEA, France) as a ``Grand Challenge project''. This work was supported by the Horizon Project. Some of the results in this paper have been derived using the HEALPix (Górski et al. 2005) package.
Appendix A: Computing the convergence maps from simulations
We first recall how to compute the convergence in the Born approximation, and then present our new ray-tracing scheme.
A.1 Born approximation
We start by the formula relating the convergence to the density
contrast:
which is valid for sources at a single redshift zs, and
is the dimensionless,
comoving, radial coordinate (
). We now rewrite
this formula in a form that is more suited to integration over
redshift slices in a simulation:
where
is a slice-related weight, and the integral over the density contrast reads
where
is the comoving surface of the spherical pixel. Interpreting all together, we obtain the following formula for the convergence map (omitting the
term that corresponds to a constant term):
This is the equation used to derive the convergence map in the Born approximation.
A.2 Ray-tracig using multiple planes
We discuss here the formulae needed for the multi-plane
computations, where we consider the lensing by a number of thin lenses
located at
.
We define
and
with
To follow the light rays, we are interested in computing the angular displacement field for each ray i due to a slice at zb. We then define
where the gradient and Laplacien are computed using angular covariant derivatives on the (unit) sphere, and
is the current
direction of light ray i when it is incident on the slice b. Now,
we start from light rays that are back-propagated from the observer at z=0towards the source (here at z=1). We denote by
the location of the Healpix centres, which corresponds to the initial
directions of the back-propagated rays emanating from the observer.
The tangent vectors to each light ray will be modified by the
deflection field at each lens plane, defined by Eq. (A.3). Then, computing the displacement of the rays at
slice b reads
We then update the direction
of the rays
according to the following rotation,
:
where
(light rays emanate from
the observer, thus in a direction perpendicular to the first slice), and
is the vector normal to slice b at the intersection
of light-ray i on slice b. Equation (A.4) can be
simplified by noting that
is expressed naturally in the
local
basis of the tangent plane
at position
:
After calculating the new value of
,
one needs to
compute the intersection of the light rays with the next shell.
We call
the Cartesian position of the intersection of
light ray i with slice b, then the next intersection will be given
by the solution for
of the system:
assuming that
remains strictly unitary, and Rb is
the comoving radius of slice b.
Once
is known, it
is easy to compute the new
positions. The
contributions to
are then calculated following
Eq. (A.1), but where the slice contributions are
interpolated at the displaced positions:
We note that
may fall into different pixels as a function of the slice b.
References
- Abrial, P., Moudden, Y., Starck, J.-L., et al. 2008, Stat. Method., 5, 289 In the text
- Albrecht, A., & Bernstein, G. 2007, Phys. Rev. D, 75, 103003 In the text
- Amara, A., & Refregier, A. 2006, ArXiv Astrophysics e-prints In the text
- Bahcall, J. N., & Soneira, R. M. 1980, ApJS, 44, 73 In the text
- Basak, S., Prunet, S., & Benabed, K. 2008, Phys. Rev. D, [arXiv:0811.1677] In the text
- Benjamin, J., Heymans, C., Semboloni, E., et al. 2007, ArXiv Astrophysics e-prints
- Bertschinger, E. 2001, ApJS, 137, 1 In the text
- Colombi, S., Jaffe, A., Novikov, D., & Pichon, C. 2009, MNRAS, 393, 511 In the text
- Das, S., & Bode, P. 2008, ApJ, 682, 1 In the text
- Eisenstein, D. J., & Hu, W. 1999, ApJ, 511, 5 In the text
- Fosalba, P., Gaztanaga, E., Castander, F., & Manera, M. 2008, MNRAS, 391, 435 In the text
- Fu, L., Semboloni, E., Hoekstra, H., et al. 2008, A&A, 479, 9 In the text
- Górski, K. M., Hivon, E., Banday, A. J., et al. 2005, ApJ, 622, 759 In the text
- Hamana, T., Colombi, S., & Suto, Y. 2001, A&A, 367, 18 In the text
- Hoekstra, H. 2003, ArXiv Astrophysics e-prints In the text
- Hu, W., & Tegmark, M. 1999, ApJ, 514, L65 In the text
- Huterer, D. 2002, Phys. Rev. D, 65, 063001 In the text
- Jain, B., & Seljak, U. 1997, ApJ, 484, 560 In the text
- Jain, B., Seljak, U., & White, S. 2000, ApJ, 530, 547 In the text
- Jing, Y. P., Zhang, P., Lin, W. P., Gao, L., & Springel, V. 2006, ApJ, 640, L119 In the text
- Munshi, D., Valageas, P., Van Waerbeke, L., & Heavens, A. 2006, ArXiv Astrophysics e-prints In the text
- Pires, S., Starck, J., Amara, A., et al. 2008, ArXiv e-prints In the text
- Prunet, S., Pichon, C., Aubert, D., et al. 2008, ApJS, 178, 179 In the text
- Refregier, A. 2003, ARA&A, 41, 645 In the text
- Réfrégier, A., Boulade, O., Mellier, Y., et al. 2006, in Space Telescopes and Instrumentation I: Optical, Infrared, and Millimeter, ed. J. C. Mather, H. A. MacEwen, & M. W. M. de Graauw, Proc. SPIE, 6265, 62651Y In the text
- Spergel, D. N., Bean, R., Doré, O., et al. 2007, ApJS, 170, 377 In the text
- Starck, J.-L., Moudden, Y., Abrial, P., & Nguyen, M. 2006a, A&A, 446, 1191 In the text
- Starck, J.-L., Pires, S., & Réfrégier, A. 2006b, A&A, 451, 1139 In the text
- Teyssier, R. 2002, A&A, 385, 337 In the text
- Van Waerbeke, L., Hamana, T., Scoccimarro, R., Colombi, S., & Bernardeau, F. 2001, MNRAS, 322, 918 In the text
- White, M., & Vale, C. 2004, Astropart. Phys., 22, 19 In the text
Footnotes
- ... LSST)
- PanSTARRS: http://pan-starrs.ifa.hawaii.edu, DES: https://www.darkenergysurvey.org, SNAP: http://snap.lbl.gov and LSST: http://www.lsst.org
- ...
(DUNE
- DUNE: http://www.dune-mission.net
- ... Healpix
- HeaPix: http://healpix.jpl.nasa.gov
- ...
CCRT
- Centre de Calcul Recherche et Technologie.
- ...
achieved
- Higher resolution images are available at http://www.projet-horizon.fr
- ... surveys
- The convergence map is freely available for download at http://www.projet-horizon.fr
All Figures
![]() |
Figure 1: Full-sky simulated convergence map derived from the Horizon Simulation. Its resolution of 200 million pixels has been downgraded to fit the page. The various inserts display a zoom sequence into smaller and smaller areas of the sky. The pixel size is 0.74 arcmin2. |
| Open with DEXTER | |
| In the text | |
![]() |
Figure 2: Map of the cut-sky used in Sect. 4 to compute high-ordermoments. |
| Open with DEXTER | |
| In the text | |
![]() |
Figure 3: Moments of the convergence as a function of the average multipole moment on each wavelet scale. The variance, skewness, and kurtosis are shown as black, blue, and red lines, respectively. Solid lines with error bars corresponds ro a full-sky analysis, while dotted lines correspond to our cut-sky analysis. |
| Open with DEXTER | |
| In the text | |
![]() |
Figure 4: Angular power spectrum of the simulated convergence map (black solid line), compared to a fit based on the Smith et al. (2001) analytical model with error bars corresponding to our noise model (pink area). Also shown is the prediction from linear theory (pink dashed curve). The noise power spectrum is plotted as the dashed black line. The green solid line is the power spectrum of the error map obtained with the Wiener filter method, while the blue solid line are that for the MRLens method. |
| Open with DEXTER | |
| In the text | |
![]() |
Figure 5:
Reconstruction of convergence maps with our 2 filtering
techniques. The top panels show the
|
| Open with DEXTER | |
| In the text | |
![]() |
Figure 6: Skewness (blue lines) and kurtosis (red lines) for the original convergence map (solid lines with error bars), compared to the same high-order statistics for the Wiener reconstructed map (dotted lines) and the MRLens reconstructed map (dashed lines). |
| Open with DEXTER | |
| In the text | |
![]() |
Figure 7: Histogram of the residual maps for Wiener and MRLensfiltering. |
| Open with DEXTER | |
| In the text | |
Copyright ESO 2009
Current usage metrics show cumulative count of Article Views (full-text article views including HTML views, PDF and ePub downloads, according to the available data) and Abstracts Views on Vision4Press platform.
Data correspond to usage on the plateform after 2015. The current usage metrics is available 48-96 hours after online publication and is updated daily on week days.
Initial download of the metrics may take a while.
![\begin{figure}
\par\includegraphics[width=17cm,clip]{0657fig1.eps}
\end{figure}](/articles/aa/full_html/2009/14/aa10657-08/Timg8.png)
![\begin{figure}
\par\includegraphics[angle=90,width=9cm,clip]{0657fig2.ps}
\end{figure}](/articles/aa/full_html/2009/14/aa10657-08/Timg17.png)
![\begin{figure}
\par\includegraphics[width=8.5cm,clip]{0657fig3.ps}
\end{figure}](/articles/aa/full_html/2009/14/aa10657-08/Timg18.png)
![\begin{figure}
\par\includegraphics[width=8.5cm,clip]{0657fig5.ps}
\end{figure}](/articles/aa/full_html/2009/14/aa10657-08/Timg19.png)

square map
corresponding to first zoom sequence of Fig. ![\begin{figure}
\par\includegraphics[width=8.5cm,clip]{0657fig6.ps}
\end{figure}](/articles/aa/full_html/2009/14/aa10657-08/Timg38.png)
![\begin{figure}
\par\includegraphics[width=9cm,clip]{0657fig7.ps}
\end{figure}](/articles/aa/full_html/2009/14/aa10657-08/Timg39.png)



