| Issue |
A&A
Volume 497, Number 3, April III 2009
|
|
|---|---|---|
| Page(s) | 729 - 741 | |
| Section | Extragalactic astronomy | |
| DOI | https://doi.org/10.1051/0004-6361/200809980 | |
| Published online | 18 February 2009 | |
GRB 060605: multi-wavelength analysis of the first GRB observed using
integral field spectroscopy![[*]](/icons/foot_motif.png)
P. Ferrero1 - S. Klose1 - D. A. Kann1 - S. Savaglio2 - S. Schulze1 - E. Palazzi3 - E. Maiorano3,4 - P. Böhm5 - D. Grupe6 - S. R. Oates7 - S. F. Sánchez8 - L. Amati3 - J. Greiner2 - J. Hjorth9 - D. Malesani9 - S. D. Barthelmy10 - J. Gorosabel11 - N. Masetti3 - M. M. Roth5
1 - Thüringer Landessternwarte Tautenburg, Sternwarte 5,
07778 Tautenburg, Germany
2 -
Max-Planck-Institut für Extraterrestrische Physik,
Giessenbachstrasse, 85748 Garching, Germany
3 -
INAF - Istituto di Astrofisica Spaziale e Fisica Cosmica di Bologna,
via Gobetti 101, 40129 Bologna, Italy
4 -
Dipartimento di Fisica, Università di Ferrara, via Saragat 1, 44100
Ferrara, Italy
5 -
Astrophysikalisches Institut Potsdam, An der Sternwarte 16, 14482
Potsdam, Germany
6 -
Department of Astrophysics and Astronomy, Pennsylvania State University,
525 Davey Lab. University Park, PA 16802, USA
7 -
Mullard Space Science Laboratory, University College London, Holmbury St
Mary, Dorking, Surrey RH5 6NT, UK
8 -
Centro Astronómico Hispano Alemán de Calar Alto,
Calle Jesus Durban Remon 2-2, 04004 Almería, Spain
9 -
Dark Cosmology Centre, Niels Bohr Institute, University of Copenhagen,
Juliane Maries Vej 30, 2100 Copenhagen, Denmark
10 -
Astroparticle Physics Laboratory, Mail Code 661, NASA Goddard Space
Flight Center, Greenbelt, MD 20771, USA
11 -
Instituto de Astrofísica de Andalucía (IAA-CSIC), Apartado
de Correos 3.004, 18080 Granada, Spain
Received 15 April 2008 / Accepted 12 February 2009
Abstract
The long and relatively faint gamma-ray burst GRB 060605 detected by
Swift/BAT lasted about 20 s. Its afterglow could be
observed with Swift/XRT for nearly 1 day, while Swift/UVOT could
detect the afterglow during the first 6 h after the event. Here, we
report on integral field spectroscopy of its afterglow performed with
PMAS/PPak mounted at the Calar Alto 3.5 m telescope. In addition, we report on
a detailed analysis of XRT and UVOT data and on the results of deep late-time
VLT observations that reveal the GRB host galaxy.
We find that the burst occurred at a redshift of z=3.773, possibly
associated with a faint,
host. Based on the optical and
X-ray data, we deduce information on the SED of the afterglow, the position of
the cooling frequency in the SED, the nature of the circumburst environment,
its collimation factor, and its energetics. We find that the GRB fireball was
expanding into a constant-density medium and that the explosion was collimated
with a narrow half-opening angle of about 2.4 degrees. The initial Lorentz
factor of the fireball was about 250; however, its beaming-corrected energy release in
the gamma-ray band was comparably low. The optical,
X-ray afterglow, on the other hand, was rather luminous. Finally, we find
that the data are consistent within the error bars with an achromatic evolution
of the afterglow during the suspected jet break time at about 0.27 days after
the burst.
Key words: gamma rays: bursts
1 Introduction
Since its launch in November 2004, the Swift satellite (Gehrels et al. 2004) has localised more than 300 gamma-ray
bursts (GRBs) with an accuracy of 3 to 4 arcmin radius for the
satellite-based analysis and 1 arcmin for the ground-based one, using the BAT detector
(Barthelmy et al. 2005). Of these,
84%
could be localised with the Swift X-ray telescope (XRT; Burrows et al. 2005) and
72% had an optical/near-infrared
afterglow. For
30% of the entire sample, it was possible to measure a
redshift (see also Greiner's internet page at
http://www.mpe.mpg.de/~jcg/grbgen.html).
The most widely accepted GRB model is the fireball model (e.g., Cavallo & Rees 1978; Rees & Mészáros 1992; Sari et al. 1998; for reviews: Piran 2004; Mészáros 2006). Within its framework the burst is accompanied by a relativistic, collimated outflow that sweeps up the surrounding interstellar medium. The shocks that form convert the kinetic energy of the flow into internal energy of accelerated particles, which in turn emit synchrotron radiation from X-ray to radio wavelengths. The afterglows are usually identified as either new objects in comparison to archival images or by their fading behaviour. The study and detection of the afterglows enable sub-arcsecond localisation of the burst and unambigous determination of its host galaxy and its redshift if the afterglow is bright enough. The afterglow itself provides information about the physical processes that work and can reveal clues to the nature of the central engine and to the environmental properties of the progenitors. Most of these data can only be derived via a spectroscopic analysis of the optical and X-ray afterglow.
Even though optical afterglows can be very bright at the beginning, the rapid
fading of these transients makes the timing of observations crucial for the
acquisition of spectroscopic data with a sufficient signal-to-noise (S/N)
ratio. However, due to the time usually needed to identify the optical
transient in a GRB X-ray error circle, rapid spectroscopic follow-up
observations are a challenge. Indeed long-slit spectroscopy has to await the
identification of the afterglow, or a best guess has to be made; i.e., if the
error box is very small, one can assume that the afterglow is the brightest
object in the field. Integral field spectroscopy (IFS), on the other hand,
using integral field units (IFUs), can start getting spectra of an entire
error box as soon as an arcsecond X-ray location has been reported, usually in
the case of the Swift satellite within minutes after the GRB
trigger. In principle, once the afterglow has been identified by other means,
IFS data could then be used to extract early spectra. This procedure would
minimise an important bias, namely the pre-selection of afterglows for
spectroscopic follow-up observations according to their apparent magnitude at
the time of their discovery. Furthermore, in the Swift era, many
optical afterglows are discovered first by the Swift UV/optical
telescope which has only filters up to the v band precluding the rapid
localisation of
or of highly extinguished afterglows (cf. Roming
et al. 2006). Needing only Swift XRT localisations, IFS
is basically not affected by this colour-selection bias.
Motivated by the aforementioned potential advantages of IFS, we have started an observing campaign of GRB afterglows with IFUs. Here, we report on our first successful IFS observations of an afterglow (GRB 060605) performed at the Calar Alto 3.5 m telescope. In addition, we report on the analysis of the Swift BAT, XRT and UVOT data and late-time VLT observations.
Throughout this paper we adopt a world model with H0=71 km s-1 Mpc-1,
(Spergel et al. 2003). For the flux density of the afterglow we use
the usual convention
.
2 Observations and data reduction
2.1 Swift BAT data: the burst
GRB 060605 was detected by the BAT instrument on-board Swift on June 5,
at T0= 18:15:44.61 UT (trigger 213630; Page et al. 2006) with an
accuracy of 3 arcmin radius (90% containment, including systematic
uncertainty). The BAT on-board calculated location of the burst was
RA (J2000
and Dec =
(Page et al. 2006), while ground analysis resulted in
coordinates RA (J2000
and Dec =
with an accuracy of 1.5 arcmin radius.
The time-averaged spectrum of the burst (from
T0 - 2.580 s to
T0 +
20.450 s) can be described by a cutoff power law with
,
and the peak energy at
keV (Butler et al. 2007). According to Sato et al. (2006), in the 15-350 keV band the burst had a duration of
s, while
according to Butler et al. (2007)
s.
2.2 Swift XRT data
X-ray data of the afterglow of GRB 060605 were collected on 5 and 6 June 2006
with XRT. Pointed observations on target started 93 s after the BAT trigger
and the monitoring was organized in two sequences, with a total net exposure
time of
37.4 ks in photon counting (PC) mode and
13 s in
windowed timing (WT) mode. In order to obtain a better S/N ratio in the
spectral analysis, only the data of the first
30.5 ks of the PC mode
observation were used.
The data reduction was performed using the XRTDAS v2.0.1 standard data pipeline package (xrtpipeline v0.10.3), in order to produce the final cleaned event files.
During sequence 000 the count rate of the burst was high enough to cause
pile-up in the PC mode data, which covered the entire first three orbits of
XRT observation from
T0 + 126 s to about
s. Therefore, to account for this effect, the PC data were extracted in a
circle of 25 pixels radius, with a circular region of 4 pixels radius excluded
from its centre. The size of the inner region was determined following the
procedure described in Vaughan et al. (2006).
The X-ray background was measured within a circle with 40 pixels radius
located far from any source. The ancillary response file was generated with
the task xrtmkarf (v0.5.2) within
FTOOLS
(Blackburn
1995), and accounts for the size of the extraction region. We
used the latest spectral redistribution matrices
(swxpc0to12_20010101v008.rmf) in the Calibration
Database
(CALDB 2.3) maintained by HEASARC.
2.3 Swift UVOT data
Swift started settled observations of GRB 060605 with its UV/Optical
Telescope (Roming et al. 2005) 78 s after the trigger. The
very first image was in the v-band, while the satellite was slewing.
Swift found an afterglow at coordinates RA (J2000
and Dec =
(Page et al. 2006), confirming the optical transient already identified at
that time by the robotic ROTSE IIIa telescope (Rykoff et al. 2006).
![]() |
Figure 1: Swift UVOT v-band image of the field of GRB 060605. The optical afterglow is indicated by a circle. The overplotted hexagon shows the sky coverage of PMAS/PPak during our observing campaign (see also Fig. 2). |
| Open with DEXTER | |
The afterglow was only detected in the white, v (see Fig. 1), and b filters. The lack of detection in the UV filters (Blustin & Page 2006) is consistent with the redshift of z=3.7-3.8 based on observations with the Australian National University ANU 2.3-m (Peterson & Schmidt 2006) and the 10-m Southern African Large Telescope (SALT; Still et al. 2006).
The initial observations, namely the
and v finding charts,
were performed in event mode (photon counting), while the rest of the
exposures were taken predominately in image mode.
The source counts were extracted using a region of 5
radius. As the
source fades it is more accurate to use smaller source apertures (Poole et al. 2008). Therefore, when the count rate fell below 0.5 counts s-1, the source counts were extracted using a region with 3
radius. These counts were corrected to 5
using the curve of growth
contained in the calibration files. Background counts were extracted using a
circular region of radius 15
from a blank area of sky situated near
to the source position. The count rates were obtained from the event lists
using uvotevtlc and from the images using uvotsource. The
used software can be found in the software release, Headas 6.3.2 and version 20071106 (UVOT) of the calibration files.
For each filter, the count rates were binned by taking the weighted average in
time bins of
.
They were then converted to magnitudes using
the UVOT photometric zero points (Poole et al. 2008).
2.4 Spectroscopic data
Low-resolution integral field spectroscopy of the field was acquired starting about 7.5 h after the burst. Even if at that time the afterglow position was already precisely known, we decided to perform the IFS observing run, in order to learn the handling of the data.
The observations were carried out starting at UT 01:43:41 (June 6), at the
3.5-m telescope equipped with the Potsdam Multi-Aperture Spectrograph (PMAS;
Roth et al. 2005) in the PPak (PMAS fiber Package) mode (Verheijen
et al. 2004; Kelz et al. 2006), using
pixel binning. We used the V300 grating, which covers a wavelength range
between 3698 and 7010 Å, resulting in a reciprocal dispersion of 3.4 Å per pixel. The PPak fiber bundle consists of 382 fibers of 2
7 diameter
each (see Fig. 5 in Kelz et al. 2006). Of them, 331 fibers (the
science fibers) are concentrated in a single hexagonal bundle covering a
field-of-view of 74
with a filling factor of
65%.
The sky is sampled by 36 additional fibers, distributed in 6 bundles of 6 fibers each, located following a circular distribution at
90'' from
the center and at the edges of the central hexagon. The sky-fibers are
distributed among the science ones in the pseudo-slit, in order to have a good
sampling of the sky. The remaining 15 fibers are used for calibration purposes.
![]() |
Figure 2:
The field of GRB 060605 seen by the PPak spaxels. The image is the
average of three exposures when the afterglow (the yellow spot in the
middle) had a magnitude of about
|
| Open with DEXTER | |
.
The field of view is sampled into discrete spatial elements named
SPAXELs.
The data reduction was performed twice using two different pieces of software:
PPAK_online, which is part of the P3D package of IDL routines developed for
the reduction of PMAS data (Becker 2002) and
R3D
, a package
coded in Perl by Sánchez (Sánchez & Cardiel
2005; Sánchez 2006). In combination with the
previous ones, IRAF
,
MIDAS
and the
E3D
visualization tool
(Sánchez 2004) were used. The results obtained using
the two packages were consistent.
The reduction of spectroscopic data obtained with fiber-based integral-field units consists of the following standard steps: bias subtraction, flat field correction, location of the spectra on the CCD (the so-called tracing), spectra extraction, wavelength calibration, fiber flat correction, sky subtraction, cosmic ray rejection and flux calibration.
The bias frame, obtained immediately after the target frame, was cleaned and smoothed using boxsizes of 5 pixels in x and y to create the final bias frame. Domeflat exposures of 5 s were taken before and after the object observations to produce a trace mask, i.e. to locate the spectra along the cross-dispersion direction on the CCD (for a detailed description of tracing, see Becker 2002). Once this mask is defined one can easily extract the spectra from the CCD, producing a so-called row-stacked-spectra image, where one row represents one spectrum.
For wavelength calibration a combined He/Rb-emission lamp exposure of 15 s was obtained at the beginning of the night with the additional illumination of 15 separate calibration fibers with ThAr. Simultaneous ThAr-exposures of these calibration fibers during lamp flat and object observations as well were used to correct for flexure effects of the instrument (Kelz et al. 2006). We defined some (at least two) of the ThAr spots in the lamp flat image as reference and calculated their shifts in x and y versus the same ThAr spots in the object images. These shift values were taken into account during tracing, spectra extraction, and wavelength calibration as well.
For the sky subtraction the spaxels not contaminated by sources were selected and the average extracted spectrum was then subtracted from the science spectrum. For this purpose we used the E3D package (Sánchez 2004).
After cosmic ray rejection, the final spectrum was flux calibrated using the
spectrophotometric standard star Hz 44 (Oke 1990). As the spectra of
the optical afterglow were extracted on one spaxel, the spectra of the
standard star were extracted in the same way. A cross check on the flux
calibration was performed using the observed
-band photometric magnitude.
3 Results
We first present here the results of our spectroscopy since this provided the accurate redshift information.
3.1 The optical spectrum of the afterglow
![]() |
Figure 3:
The spectrum of the afterglow of GRB 060605 in velocity space,
centered at a redshift of z = 3.773 (v = 0 km s-1). This is likely
the redshift of the GRB, for which we detect Ly |
| Open with DEXTER | |
In Fig. 3 we show absorption lines identified in the PPak
spectrum of the afterglow (spectral resolution
at a wavelength of 5300 Å). The highest redshifted Ly
is at
,
which we interpret as the redshift of the GRB
(look-back time 11.98 Gyr). The H I column density is very uncertain,
in the range
cm-2, but certainly
one of the lowest ever measured in a GRB afterglow at the redshift of the GRB (Savaglio 2006; Jakobsson et al. 2006; Chen et al. 2007b). We notice that the H I column densities
measured for GRB 021004 and GRB 060607A are also low,
cm-2 and 1016.8 cm-2, in the former and latter,
respectively. For GRB 030226, Shin et al. (2006) report
cm-2. Possible explanations for
such low H I column densities might be
either the ionization of the GRB environment
by the intense fireball light, the localisation of the burst source in a
star-forming region including many UV-bright massive stars, or
the location of the GRB progenitor in the outer part of its host galaxy.
Blueward of the z = 3.773 we identify a strong Ly
absorber at
(
km s-1 from the GRB redshift)
likely associated with a Damped Ly
system (DLA), with an estimated
H I column density of
cm-2. Redward of
the Ly
,
we detect the Si IV doublet at
(
km s-1 from the DLA). At approximately the redshift of
the DLA, we identify absorption lines associated with C II 1334,
Si II 1260, and O I 1302/ Si II 1304
(Fig. 3). Unfortunately, the low S/N of the
spectrum does not allow us to measure column densities for metals. We also
identify a strong Si IV absorption doublet at
,
km s-1 redward of the Ly
,
likely associated
with the GRB-host system.
![]() |
Figure 4:
Spectrum of the afterglow (black) of GRB 060605 obtained between 7.5 and 9.1 h after the burst with PPak mounted at the Calar Alto 3.5-m
telescope, overplotted with the spectrum of a Lyman break galaxy (LBG) at the
same redshift (from Shapley et al. 2001). The typical LBG lines
are indicated in blue; only the strongest of them can also be found in the
afterglow spectrum. The afterglow spectrum, calibrated in flux and wavelength,
is a composition of six individual spectra of 15 min exposure time each.
The spectral resolution is
|
| Open with DEXTER | |
The separation between the two strong z = 3.717 and z = 3.774 Si IV
absorbers
km s-1 is comparable to that between the
double C IV absorbers detected in the afterglows of GRB 021004 (
km s-1; Savaglio et al. 2002; Fiore et al. 2005), GRB 030226 (
km s-1; Klose et al. 2004), and GRB 060607A (
km s-1;
Smette et al., in preparation). The possibility that this is the
signature of the stellar wind from the GRB progenitor (a Wolf-Rayet star)
has been discussed in the literature in detail (Mirabal et al. 2003;
Schaefer et al. 2003) but recently disfavoured for most cases by
Chen et al. (2007a). The latter authors suggested as a reason for
this effect the presence of foreground galaxies along the sight line of the
GRBs. Our deep VLT imaging of the field (Sect. 4.5)
does unfortunately not identify these potential absorbers with certainty.
So, which of these two possibilities explains our observations
of GRB 060605 remains open.
In Fig. 4, the spectrum of a Lyman break galaxy (LBG) at a
(from Shapley et al. 2001) is overplotted on the
spectrum of the GRB to show the typical absorption lines observed in these
galaxies at high redshifts and to help the comparison with our spectrum. The
spectrum of the galaxy has been shifted in wavelength considering the redshift
of the damped Lyman
absorption system at z = 3.709 and rescaled in
flux for comparison. While the data seem to indicate an underabundance of
oxygen in the GRB host galaxy, the low S/N ratio of our data does
not allow us to draw quantitative conclusions.
3.2 The X-ray afterglow
The X-ray afterglow of GRB 060605 was detected by Swift for more than 1 day after the trigger. When analyzing the data we rebinned them by taking 30
counts/bin in order to obtain a good S/N ratio. As already noted by Godet et
al. (2006), and as it is shown in (Fig. 5), as a first guess the
X-ray light curve consists only of three power-law segments.
The numerical ansatz to describe the X-ray light curve is then a
smoothly broken double power-law (see Liang et al. 2008).
In doing so, we fixed the smoothness parameters n1 and n2 (in their paper
and
)
to -10 and 10, in the case of transition I to II and transition II to III, respectively. This describes a sharp break. For
the steep-to-shallow transition (I to II), we find a break time of
s (
days), while the shallow-to-steep transition (II to III) took place at
s (
days) after the
trigger. At the beginning, the afterglow decays with a slope of
,
followed by
during the shallow
decay phase, and it continues to decay with
(
). Within errors, these values are in
agreement with the results reported by Godet et al. (2006). In
Sect. 4.1 we will test if this ansatz of a three-segment X-ray light
curve is compatible with the basic theoretical concepts describing afterglows.
![]() |
Figure 5:
The X-ray light curve of the afterglow of GRB 060605 observed with
Swift XRT (Evans et al. 2007). Formally, three power-law
segments can be distinguished (Godet et al. 2006). A small flare is seen at the
beginning of the second decay phase (II). The lower panel shows the residuals
of the best fit. Fluctuations in the light curve (> |
| Open with DEXTER | |
s (0.86 days) (Fig. 6). It is well fitted by an absorbed power-law with a
spectral index
/44=0.93)
and
![]() |
Figure 6: X-ray spectrum of the afterglow of GRB 060605 obtained in photon counting mode between 0.0015 and 0.8565 days after the trigger. The lower panel shows the residuals of the best fit (for more details see Sect. 3.2). |
| Open with DEXTER | |
However, due to the large uncertainty on
(Ly
)
and no
strong constraints on
(X-ray), we cannot exclude that for GRB 060605 the optical and the X-ray data trace a different population of
hydrogen at the redshift of the burst, as it has been found in many other
cases (Watson et al. 2007).
3.3 The UV/optical light curve and its SED
Table 1: Log of the Swift UVOT observations.
We combined our UVOT data (Table 1) with further data reported in the
GRB Coordinates Network Circulars (Rykoff & Schaefer 2006;
Schaefer et al. 2006; Khamitov et al. 2006a,b; Malesani et al. 2006; Zhai et al. 2006; Karska & Garnavich 2006; Sharapov et al. 2006), all taken in the
filter, or unfiltered
calibrated to the
band. Karska & Garnavich (2006) point
out zero-point discrepancies between different USNO
magnitudes, and we
can confirm that the magnitudes reported by Khamitov et al. (2006a) are about one magnitude fainter than what would be
expected from the joint light curve (see below), whereas the late detection by
Khamitov et al. (2006b) agrees well with the steep decay slope
found by Karska & Garnavich (2006) and one additional point
from Pozanenko et al., in preparation. We added an error of 0.1 mag in quadrature to all GCN data points to account for the different
filters and reference stars.
Using the
-band light curve as the most reliable template, and correcting
all data for the foreground extinction of
EB-V=0.049 (Schlegel et al. 1998), we derive colours for the UVOT detections. We find
,
,
,
,
,
,
and
.
We note that, usually,
white magnitudes are close in value to UVOT v-band values. Given the high
redshift of the source, however, the large white-v colour is due to the
unfiltered UVOT bandpass being strongly affected by Lyman damping, making the
afterglow much redder than usual (see below). We used the derived colour
indices to shift the UVOT detections (v, white and b) to the
-band
and to construct a composite light curve (Fig. 7).
In the UV/optical bands the data are broadly consistent with an achromatic
evolution, but we caution that the data are sparse. We find an early rise,
as reported by others (Schaefer et al. 2006; Zhai et al. 2006), which is followed by a ``classical'' broken power-law
decay. Denoting the three slopes
(where the index R stands for
rise),
and
,
we find
,
and
.
The break times are
days for the break from rise to decay, and
days for the second break. In both cases, we assumed that the host galaxy
underlying the afterglow has an extinction-corrected magnitude of
(see Sect. 4.5). We fixed the break smoothness parameter n2according to Liang et al. (2008) to 10 for the second break. For
the first break, while we were not able to leave n1 as a free parameter of
the fit, we find a minimum
and a very good fit (
)
for a rather smooth break n1=2.5. A summary of the
fit parameters is given in Table 3.
![]() |
Figure 7:
The composite |
| Open with DEXTER | |
Table 2: Values plotted in Fig. 8.
Table 3: Parameters of the fit of the optical afterglow light curve (Fig. 7).
The peak time of
s (
days) can be found from the
light curve fit by setting d
/dt = 0 and has a value that is
comparable to what has been found for, e.g., the early phase of the optical
afterglow of GRB 060418 and 060607A (Molinari et al. 2007). Our
result for
is in agreement with the value reported by Schaefer et al. (2006) and the peak time we derive is in agreement with
Zhai et al. (2006).
The afterglow of GRB 060605 belongs to the growing ensemble of optical
afterglows for which thanks to a rapid response in the follow-up observations
the data show the early rise of the afterglow, as predicted by theoretical
models (Panaitescu & Kumar 2000; Sari 1997). With
a peak magnitude of
at
s (0.0042 days)
(Fig. 7) it is among the brightest optical afterglows ever
detected (Nardini et al. 2008; Kann et al. 2007).
Using the colours derived above, we can construct the spectral energy
distribution (SED; Fig. 8 and Table 2) at t=0.27 days. We
have detections in only three filters (
). These three data points can
be fit with a very steep SED: we find
.
The
steep slope is further confirmed by the u-band and uvw2-band upper
limits, the other two filters are less constraining. This is much steeper
than typical afterglow slopes, which lie in the range from 0.5 to 1.1 (e.g.,
Kann et al. 2006,2007). This is mostly due to the Lyman
blanketing blueward of the rest-frame Ly
line, which at z = 3.773falls between the observed v and
bands.
![]() |
Figure 8:
Spectral energy distribution (SED) of the afterglow of GRB 060605 in the optical bands
at t=0.27 days. The line is the best-fit power law.
Detections in three filters (
|
| Open with DEXTER | |
4 Discussion
4.1 The X-ray light curve
According to Nousek et al. (2006) and Zhang et al. (2006), the X-ray light curve of an afterglow has a canonical shape. It consists of four well-defined evolutionary phases: a steep initial decay followed by a flat (plateau) phase, then a steeper decay (a pre-jet break phase) and finally a post-jet break phase (e.g., GRB 050315; Vaughan et al. 2006; Panaitescu 2008; Liang et al. 2008). However, as we have already emphasized, as a first guess the data seem to imply that the X-ray light curve of GRB 060605 consists of three power-law segments only (Fig. 5). Let us first discuss if this allows a satisfactory explanation of the observational data within the context of the fireball model. For this reason, let as discuss the nature of the second break seen in the fitted X-ray light curve at around 0.09 days. Figure 5 suggests to consider two cases.
- Case A:
- If this is the jet break, segment II of our Fig. 5
is the pre-break segment, while segment III is the post-break phase.
Consequently the slopes of segment II (
)
and of segment III
(
)
are the pre-jet break decay and the post-break decay
slopes, usually designated as
and
,
respectively.
- Case B:
- The second possibility is that the jet break was in fact at much
later times, i.e. at
1.2 days and
.
Indeed, most X-ray afterglows do not show jet breaks (Liang et al. 2007), with the most extreme example being GRB 060729 (Grupe
et al. 2007b).
relations
(cf. Zhang & Mészáros 2004). For this reason, we considered the
standard wind and ISM models for the isotropic case as well as for a jet with
the cooling frequency
below and above the observers window. In
addition, we also considered models with a power-law index of the electron
distribution function of less than 2, as they are listed in table 1 of Zhang
& Mészáros (2004). Based on our data the latter models
turned out to be excluded with high significance, however. So, we followed
Greiner et al. (2003, their Table 6) and present here the
results for the eight standard cases.
Table 4 shows the predicted values for the spectral slope
for the considered scenarios as a function of the observed light curve
decay slope in the X-ray band. These results have to be compared with the
observed
in the X-ray band,
(Sect. 3.2). For Case B we calculated
via
,
with the latter being the mean value for
in our data
base of GRB afterglows with an error of 0.3 to be very
conservative. Table 4 shows that Case A is ruled out with high
significance: it predicts a spectral slope before the break time (i.e., for
the isotropic case) which is in clear disagreement with the observational
data. This holds for the slow as well as for the fast cooling case. Case B
suggests that in the X-ray band the afterglow was in the slow-cooling regime,
and the wind as well as the ISM model is in agreement with the data.
However, as we will discuss
in the following, even this case is disfavoured if one considers other
theoretical criteria.
Table 4:
Predicted spectral slope
in the X-ray band
for the two different cases A and B discussed in Sect. 4.1.
4.2 The broad-band SED
In order to better distinguish among possible scenarios for the afterglow
emission of GRB 060605 in the context of the standard fireball model, we
studied the broad-band spectrum from the X-rays (0.3-6 keV) to the optical
(
band) at two epochs. The first epoch, at 0.07 days
(Fig. 9), was chosen because it is before any suspected X-ray jet
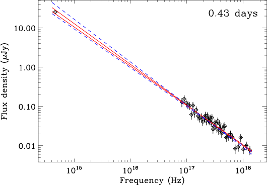
break time, while the second epoch, at 0.43 days (Fig. 10),
corresponds to the time of the
-band measurement by the Nordic Optical
Telescope (NOT; Sharapov et al. 2006).
The
-band magnitude at 0.07 days was derived from UVOT data with the
procedure described in Sect. 3.3. In order to check the
reliability of this method, we computed in the same way the
magnitude at
0.43 days, finding a value fully consistent with the NOT measurement. The
-band fluxes were corrected for extinction in our Galaxy. The 0.3 to 6 keV spectra were derived in the following way: we deconvolved the average
XRT count spectrum by assuming the best-fit power-law model, corrected it for
the measured column density (Sect. 3.2), and rescaled it to the two
epochs by using the multi-broken power-law model that fitted the XRT light
curve best. The fit of the X-ray spectrum alone, with
fixed at the
Galactic value of
cm-2, gives a spectral index of
.
Both, X-ray and
-band fluxes, were converted into flux
densities (
Jy), in order to build-up the SED and to allow for broad-band
spectral fitting.
![]() |
Figure 9:
Broad-band spectrum of the afterglow of GRB 060605 at 0.07 days. The lines
show the 1- |
| Open with DEXTER | |
![]() |
Figure 10:
The same as Fig. 9 but at 0.43 days. Here, the |
| Open with DEXTER | |
![]() |
Figure 11: The composite optical and X-ray light curve of the afterglow of GRB 060605. The final X-ray point is an upper limit. The green line shows the results of the joint fit of the optical and the X-ray light curve (see Sect. 4.3). Note that the joint fit included only the X-ray data from t>0.004 days. |
| Open with DEXTER | |
-band flux
density is fully consistent with the extrapolation of the power-law fit of the
X-ray spectrum. This is confirmed by a fit of the SED from the optical
(
-band) to the X-ray band with a simple power-law, which provides an
acceptable chi-square value (39.5/44=0.90) and a spectral index of
,
was already lower than the
-band one. On the other
hand, in the spectrum at 0.07 days the
-band data point is below the
extrapolation of the power-law fit of the X-ray spectrum. Thus, at 0.07 days
the cooling frequency was still at slightly higher frequencies than the
band, suggesting that in both spectra
is below the X-ray band (i.e.,
fast cooling regime at X-rays) and decreasing with time. The latter points to
an ISM environment (Sari et al. 1998), since for a wind model
is
increasing with time (Chevalier & Li 2000). The former excludes even Case B
(Sect. 4.1), since the
relations are not in agreement
with the fast cooling regime in the X-ray band. Moreover, given that at
t=0.43 days the
-band data point of the afterglow light curve lies
exactly on the SED derived in the X-ray band (with a slope of
To summarize, neither Case A or Case B lead to a reasonable agreement with the
theoretical framework. While one could argue that this points to a problem
with the theory, we suggest that the most reasonable hypothesis is to assume
that in fact our ansatz of a three-segment X-ray light curve is incorrect and
a forth power-law segment is needed. This hypothesis is motivated by the
observations that many, if not most, X-ray light curves can be described by
a canonical shape (Nousek et al. 2006; Zhang et al. 2006). In fact, the existence of a 4th power-law segment in
the X-ray light curve is also supported by an F-test. It shows that a fit of
the X-ray light curve improves if actually two breaks exist after 0.004 days
instead of just one, and that the 4th power-law segment is placed between
about 0.07 and 0.27 days. The goodness of fit,
d.o.f., improves from
54.21/39=1.39 to 50.74/37=1.18 if an analytical ansatz is made that allows
for the occurrence of two breaks after 0.004 days. This translates into a
significance for an additional break of
,
or a 2% probability to
find such an additional break by chance. In order to improve the fit
further, we finally performed a joint fit of the optical and X-ray data.
4.3 The X-ray vs. the optical light curve: a joint fit
Figure 11 shows the combined optical/X-ray light curve of the afterglow of GRB 060605. At early times, from about 0.0012 to 0.0046 days, the X-ray and the optical light curves show a completely different behaviour. The X-ray light curve is falling while the optical light curve is rising, similar to what was observed for e.g. GRB 060418 (Jin & Fan 2007). This rising optical component ends approximately at the same time as the plateau phase commences in X-ray band. The optical light curve might also include a plateau phase lasting for at least 100 s (0.0012 days) around the peak time.
The later behaviour of the light curve is difficult to interpret with certainty due to the lack of X-ray as well as optical data between about 0.006 and 0.041 days. Potentially, also the optical light curves could show a long-lasting plateau phase in this period if its peak was followed by a faster decay. But in this case there are no data published to check this hypothesis.
In doing the joint fit, we set the following boundary conditions: (a) an
identical decay slope of the optical and the X-ray light curve and (b) an
identical jet break time. In addition, as discussed before, the numerical
ansatz included two breaks in the X-ray light curve after 0.004 days. For the
fit the optical data of Khamitov et al. (2006a) have been
excluded since they are roughly one magnitude too faint (Karska & Garnavich
2006). The data from 0.05 to 0.1 days are the UVOT white, band v measures shifted to the
-band zero point using the early
and UVOT observations, and thus may be incorrect if a strong colour change
occurred in between. However, no sign of a strong chromatic evolution is
detected.
Allowing for a different pre-break decay slope in the optical and in the
X-ray band, the joint fit finds a break time of
days, a
pre-break decay slope in the optical of
,
a pre-break decay
slope in the X-ray band of
,
and a post-break decay slope of
(Fig. 11 and Table 5). During the
fit, the smoothness parameters were always fixed. Applying the
relations now shows that a wind model is disfavoured. This is in agreement
with our results in Sect. 4.2, where we found that the cooling
frequency was decreasing with time, indicating in this way an expansion of
the fireball into a circumburst medium with an ISM profile. A decision between
fast and slow cooling cannot be made, however. Both are acceptable within
2
.
Given that we know already from our analysis of the SED that the
X-ray emitting electrons were in the fast cooling region at 0.07 days after
the burst (Sect. 4.2), one might wonder if an agreement between
theory and observations at just the
level is acceptable at all. We
believe that the data quality is simply not good enough in order to obtain
more robust results. At least it is obvious that the joint fit in combination
with a 4-segment X-ray light curve provides a much better explanation of the
observational data than a simple 3-segment ansatz (Sect. 4.1).
Table 5:
Fit parameters of the joint optical and X-ray fit
(
).
Table 6:
Predicted spectral slope
considering the parameters listed
in Table 5
for different applied models. The spectral slopes have to be compared with
the observed
(Sect. 3.2).
![]() |
Figure 12:
Constraints on the parameter space of the fractional energy carried by the
magnetic field,
|
| Open with DEXTER | |
We can now use the observational data to constrain the density n in
the circumburst medium and the parameter
that measures the
fraction of energy carried by the magnetic field. For an ISM medium the cooling
frequency is given by (cf. Granot et al. 2000)
where n0 = n/1 cm-3,
,
and
t2=t/100 s. Using
Hz at t=0.43 days with
E52=2.5 (Butler et al. 2007) and z=3.773 we can
constrain the product
(Fig. 12). Since
,
it must be
cm-3, a reasonable result. On the other hand, the low deduced hydrogen
column density along the line of sight in the GRB host
(Sects. 3.1, 3.2) might indicate a relatively low
circumburst gas density. If we require n < 100 cm-3 then
,
which is also a reasonable constraint.
In the following we consider the break at 0.27 days as a classical jet break and we use the results of the joint fit to discuss the energetics of the afterglow.
4.4 Energetics
4.4.1 The burst
We follow the standard approach to calculate the jet half-opening angle for
an ISM environment (cf. Sari et al. 1999),
Here, E52 is the isotropic equivalent energy of the prompt emission in units of 1052 erg, n0 is the density of the ambient medium in cm-3,
is the efficiency of the shock in converting the
energy of the ejecta into gamma radiation, and
is the break time in
days. We set n0=1 cm-3 and
.
Assuming the observed
break time at
days, as follows from the joint fit, with
(Butler et al. 2007) we get
degrees. This can be
compared with a mean value of the half-opening angle of the pre-Swift
era GRBs of 4 degrees (Zeh et al. 2006) with a width of 0.13 dex.
So, the jet of GRB 060605 was narrowly beamed but the value found is not
extraordinary. Changing
to 1.0 does not increase
in a notable manner due to the weak dependence of it on
.
On the other hand, as already stated before (see
Eq. (1)), a very high gas density seems to be unlikely given that we
do not see so much hydrogen at the redshift of the burst in the X-ray
spectrum and in the optical spectrum as well. Assuming the above numbers, the
corresponding beaming-corrected energy release in the gamma-ray band is
found so far but, again, not
exceptionally small (cf. Zeh et al. 2006; Racusin et al. 2008). The small
and
match into the picture (Racusin et al. 2008), according to which Swift GRBs have on average
smaller jet opening angles and lower collimated
-ray energies than
pre-Swift bursts (which were on average at lower redshift).
As outlined by Panaitescu & Kumar (2000), assuming that the
observed peak in the optical light curve signals the fireball deceleration
timescale (which is
), one can calculate the initial
Lorentz factor,
,
of the outflow. Following Sari et al. (1999; Eq. (2)), in the afterglow deceleration phase the
time evolution of the Lorentz factor is given by
![]() |
(3) |
Setting E52=2.5 (Butler et al. 2007),
,
and
n0=1 cm-3, it follows
.
Following the procedure outlined in Molinari et al. (2007) leads to
.
These values
are comparable to those of other bursts (cf. Molinari et al.).
4.4.2 The X-ray afterglow
The luminosity of the afterglow is (e.g., Nousek et al. 2006)
![]() |
(4) |
where
is the observed time-dependent flux in the X-ray
band and
is the luminosity distance. Using z=3.773 and assuming
(Sect. 3.2) even at very early times, we get for the time
evolution of the X-ray luminosity of the afterglow in the 0.3-10 keV energy
band (in units of erg s-1)
![]() |
= | (5) | |
![]() |
= | (6) | |
![]() |
= | (7) |
where
is measured in the GRB host frame and all the break
times t1, t2 and t3 are also given in the host frame. Note that for
reasons of simplicity we have replaced here the complicated light curve fit
of the afterglow with a multiple broken power-law by three single power-law
decays in between the deduced break times, with
erg between 0.0005 and 0.015 days (which
is 16% of
;
Butler et al. 2007),
erg between 0.015 and 0.056 days (0.10
), and
erg thereafter (0.03
), assuming a constant decay.
4.4.3 The optical afterglow
Similar to the ``Bronze Sample'' of Kann et al. (2007), we can
assume that the
-band afterglow of GRB 060605 is not affected by host
galaxy extinction (which seems to be low at high redshifts anyway, Kann et
al. 2007). This assumption is also supported by the observed SED
of the afterglow at 0.43 days (Fig. 10). Furthermore, if the cooling
break
lies at wavelengths longer than the optical ones then
.
Therefore, assuming AV(host)=0,
,
and using the method presented in Kann et al.
(2006), we are able to derive a lower limit on the magnitude shift
mag. This shift (see Kann et al. 2006, for more
details) describes the magnitude change that appears when the afterglow light
curve is corrected for extinction (which we are unable to do here, therefore
we derive only a lower limit) and shifted to z=1 (which also implies a
temporal shift). Comparing the afterglow with the sample presented in Kann et al. (2007), we find that it is among the brightest afterglows at
early times, comparable to the afterglow of GRB 050820A (Fig. 13). At 43 s in the rest-frame (z=1 assumed), it has
,
which
places it among the tight clustering found by Kann et al. (2007),
although the afterglow is still rising. To derive a magnitude at one day after
the GRB (if at z=1), we need to extrapolate the late steep decay. We find
(
;
assuming no host extinction),
which is relatively faint. At a similar redshift, only the afterglow of GRB
050502A was fainter (Kann et al. 2007).
![]() |
Figure 13:
The observed |
| Open with DEXTER | |
4.5 The host galaxy
![]() |
Figure 14:
The stellar field around the position of the afterglow of GRB 060605. The
|
| Open with DEXTER | |
.
On the
deep VLT image the afterglow can be positioned with an accuracy of 0.1 arcsec. At this position a very faint extended source is visible
(Fig. 14). Using the average zeropoint of FORS2
-band images in
the time period from July to September 2007 (
), as it
is provided on ESO's web pages, we derive a magnitude of
for this source (aperture diameter = 10 pixels). If this is the host galaxy,
it implies that at its peak time the optical afterglow of GRB 060605 was
approximately 11 mag brighter in
than its host. We caution, however,
that the detection is weak and we cannot claim that this object is the host of
GRB 0606005 as we have no information about its redshift. On the other hand,
its position underlying the optical transient and its faint magnitude make a
potential physical association with GRB 060605 a reasonable assumption.
One can also speculate if any of the other three bright, extended sources seen
near the afterglow position on the VLT image could be the host galaxy of GRB
060605. In Fig. 14 these three galaxies are indicated with the numbers 1, 2, and 3. However, there are two arguments against this hypothesis. First,
these galaxies have
.
For an assumed redshift of z=3.7 this
would place all of them at the very bright end of the Schechter luminosity
function (cf. Lin et al. 1996). Second, the angular distance of the optical
transient from the centres of these galaxies is 2
12, 2
27, and
3
94, respectively. For the considered world model at a redshift of
z=3.773 an angular distance of 1 arcsec corresponds to a projected distance of 7.26 kpc. The projected distance of the optical transient from the three
galaxies is then 15.4, 16.5 and 28.6 kpc, respectively. Compared to the offset
distribution of GRBs with respect to their host galaxies (in the
pre-Swift era; Bloom et al. 2002) these large distances
make it unlikely that one of these galaxies is the host. Finally, using
basically the same arguments it is unlikely that one of them is the
foreground absorber seen in the optical spectrum of the optical transient at
z=3.709 (Sect. 3.1). On the other hand, the foregroud absorber
could be the faint object to the south-east of the possible host galaxy.
5 Summary
We have reduced and analysed XRT and UVOT data from Swift and integral
field unit spectra of the afterglow of GRB 060605. In addition, VLT images
were obtained to search for the GRB host galaxy. We find: (1) the afterglow
spectrum reveals two absorption line systems at redshifts 3.773 and 3.709. We
identify the former with the redshift of the burst. (2) The deduced measured
H I column density for the host galaxy is in between
and 1019.3 cm-2. It is one of the lowest ever detected
in a GRB afterglow. (3) From the observed time evolution of the X-ray/optical
SED, pointing to a decrease of
with time, we conclude that the
afterglow propagated into an ISM environment. The cooling frequency was below
the R band (
)
after the jet break time. The initial Lorentz
factor of the fireball was about 250. (4) Our analysis of the X-ray light
curve suggests that it followed the canonical X-ray light curve shape (Nousek
et al. 2006; Zhang et al. 2006). A comparison of the
X-ray and the optical afterglow light curves reveals an achromatic evolution
at late times. (5) The observed jet break time is at 0.27 days. This early
jet break time (in the GRB host frame at about 4900 s after the burst) is the
most remarkable property of GRB 060605. (6) The early observed jet break
translates into a relatively small beaming angle of 2.4 degrees and hence a
relatively small beaming-corrected energy release in the gamma-ray band of
about 2.1
erg. These values are not exceptionally low,
however (cf. Zeh et al. 2006; Racusin et al. 2008). In the X-ray
band the afterglow released an energy that is of comparable amount. In the
optical, at early times, the afterglow was among the most luminous ever
detected. (7) A faint (
), extended source seen on VLT images
at the position of the afterglow might be the GRB host galaxy or the
foreground absorber seen in the optical spectrum.
The detailed study of this burst was triggered by our goal to use integral field units to perform rapid follow-up observations of arcsec-sized Swift X-ray error circles. While in this particular case our observations were performed only some hours after the event, we could obtain useful spectra. One can imagine that a much faster response with an integral field unit, immediately after the announcement of an arcsec-sized Swift X-ray error circle, can provide early spectral information on bursts.
Acknowledgements
P.F., S.K. and D.A.K., acknowledge financial support by DFG grant Kl 766/13-2 and by the German Academic Exchange Service (DAAD) under grant No. D/05/54048. S.K. and S.S. thank Kim Page (Leicester) for useful discussions. The research activities of J.G. are supported by the Spanish Ministry of Science and Education through projects AYA2004-01515 and ESP2005-07714-C03-03. Swift is supported at PSU by NASA contract NAS5-00136. The Dark Cosmology Centre is funded by the Danish National Research Foundation. We thank the Calar Alto and the ESO staff for excellent support and the referee for a very careful reading of the manuscript and very helpful remarks.
References
- Barthelmy, S. D., Barbier, L. M., Cummings, J. R., et al. 2005, Space Sci. Rev., 120, 143 [NASA ADS] [CrossRef] (In the text)
- Becker, T. 2002, Ph.D. Thesis, University of Potsdam (In the text)
- Bessell, M. S. 1979, PASP, 95, 589 [NASA ADS] [CrossRef]
- Beuermann, K., Hessman, F. V., Reinsch, K., et al. 1999, A&A, 352, L26 [NASA ADS]
- Blackburn, J. K. 1995, FTOOLS: A FITS Data Processing and Analysis Software Package, in: Astronomical Data Analysis Software and Systems IV, ed. R. A. Shaw, H. E. Payne, & J. J. E. Hayes (San Francisco: ASP), ASP Conf. Ser., 77, 367 (In the text)
- Bloom, J. S., Kulkarni, S. R., & Djorgovski, S. G. 2002, AJ, 123, 1111 [NASA ADS] [CrossRef] (In the text)
- Blustin, A. J., & Page, M. J. 2006, GCN Circular, 5228 (In the text)
- Burrows, D. N., Hill, J. E., Nousek, J. A., et al. 2005, Space Sci. Rev., 120, 165 [NASA ADS] [CrossRef] (In the text)
- Butler, N. R., Kocevski, D., Bloom, J. S., & Curtis, J. L. 2007, ApJ, 671, 656 [NASA ADS] [CrossRef] (In the text)
- Cavallo, G., & Rees, M. J. 1978, MNRAS, 183, 359 [NASA ADS] (In the text)
- Chen, H.-W., Prochaska, J. X., Ramirez-Ruiz, E., et al. 2007a, ApJ, 663, 420 [NASA ADS] [CrossRef] (In the text)
- Chen, H.-W., Prochaska, J. X., & Gnedin, N. 2007b, ApJ, 667, L125 [NASA ADS] [CrossRef] (In the text)
- Chevalier, R. A., & Li, Z-Y. 2000, ApJ, 536, 195 [NASA ADS] [CrossRef]
- Dickey, J. M., & Lockman, F. J. 1990, ARA&A, 28, 215 [NASA ADS] [CrossRef] (In the text)
- Evans, P. A., Beardmore, A. P., Page, K. L., et al. 2007, A&A, 469, 379 [NASA ADS] [CrossRef] [EDP Sciences] (In the text)
- Fiore, F., D'Elia, V., Lazzati, D., et al. 2005, ApJ, 624, 853 [NASA ADS] [CrossRef] (In the text)
- Fynbo, J. U. P., Gorosabel, J., Dall, T. H., et al. 2001, A&A, 373, 796 [NASA ADS] [CrossRef] [EDP Sciences]
- Gehrels, N., Chincarini, G., Giommi, P., et al. 2004, ApJ, 611, 1005 [NASA ADS] [CrossRef] (In the text)
- Godet, O., Page, K. L., Rol, E., Beardmore, A. P., & Page, M. J. 2006, GCN Circular, 5227 (In the text)
- Granot, J., Piran, T., & Sari, R. 2000, ApJ, 534, L163 [NASA ADS] [CrossRef]
- Greiner, J., Klose, S., Salvato, M., et al. 2003, ApJ, 599, 1223 [NASA ADS] [CrossRef] (In the text)
- Grupe, D., Nousek, J. A., vanden Berk, D. E., et al. 2007a, AJ, 133, 2216 [NASA ADS] [CrossRef] (In the text)
- Grupe, D., Gronwall, C., Wang, X.-Y., et al. 2007b, ApJ, 662, 443 [NASA ADS] [CrossRef] (In the text)
- Jakobsson, P., Fynbo, J. P. U., Ledoux, C., et al. 2006, A&A, 460, L13 [NASA ADS] [CrossRef] [EDP Sciences] (In the text)
- Jin, Z. P., & Fan, Y. Z. 2007, MNRAS, 378, 1043 [NASA ADS] [CrossRef] (In the text)
- Kalberla, P. M. W., Burton, W. B., Hartmann, D., et al. 2005, A&A, 440, 775 [NASA ADS] [CrossRef] [EDP Sciences] (In the text)
- Kann, D. A., Klose, S., & Zeh, A. 2006, ApJ, 641, 993 [NASA ADS] [CrossRef] (In the text)
- Kann, D. A., Klose, S., Zhang, B., et al. 2007, ApJ, submitted [arXiv:0712.2186] (In the text)
- Karska, A., & Garnavich, P. 2006, GCN Circular, 5260 (In the text)
- Kelz, A., Verheijen, M. A. W., Roth, M. M., et al. 2006, PASP, 118, 129 [NASA ADS] [CrossRef] (In the text)
- Khamitov, I., Saygac, A. T., Aslan, Z., et al. 2006a, GCN Circular, 5224 (In the text)
- Khamitov, I., Saygac, A. T., Aslan, Z., et al. 2006b, GCN Circular, 5235 (In the text)
- Klose, S., Greiner, J., Rau, A., et al. 2004, AJ, 128, 1942 [NASA ADS] [CrossRef] (In the text)
- Liang, E.-W., Zhang, B.-B., & Zhang, B. 2007, ApJ, 670, 565 [NASA ADS] [CrossRef] (In the text)
- Liang, E.-W., Racusin, J. L., Zhang, B., Zhang, B.-B., & Burrows, D. N. 2008, ApJ, 675, 528 [NASA ADS] [CrossRef] (In the text)
- Lin, H., Kirshner, R. P., Shectman, S., et al. 1996, ApJ, 464, 60 [NASA ADS] [CrossRef]
- Malesani, D., Fiore, F., Masetti, N., Pedani, M., & Mainella, G. 2006, GCN Circ., 5225 (In the text)
- Mészáros, P. 2006, Rep. Progr. Phys., 69, 2259 [NASA ADS] [CrossRef] (In the text)
- Mirabal, N., Halpern, J. P., Chornock, R., et al. 2003, ApJ, 595, 935 [NASA ADS] [CrossRef] (In the text)
- Molinari, E., Vergani, S. D., Malesani, D., et al. 2007, A&A, 469, L13 [NASA ADS] [CrossRef] [EDP Sciences] (In the text)
- Nardini, M., Ghisellini, G., & Ghirlanda, G. 2008, MNRAS, 386, L87 [NASA ADS] (In the text)
- Nousek, J. A., Kouveliotou, C., Grupe, D., et al. 2006, ApJ, 642, 389 [NASA ADS] [CrossRef] (In the text)
- O'Brien, P. T., Willingale, R., Osborne, J., et al. 2006, ApJ, 647, 1213 [NASA ADS] [CrossRef]
- Oke, J. B. 1990, AJ, 99, 1621 [NASA ADS] [CrossRef] (In the text)
- Page, M. J., Blustin, A. J., Brown, P. J., et al. 2006, GCN Circular, 5221 (In the text)
- Panaitescu, A. 2007, MNRAS, 380, 374 [NASA ADS] [CrossRef] (In the text)
- Panaitescu, A., & Kumar, P. 2000, ApJ, 543, 66 [NASA ADS] [CrossRef] (In the text)
- Peterson, B., & Schmidt, B. 2006, GCN Circular, 5223 (In the text)
- Piran, T. 2005, Rev. Mod. Phys., 76, 1143 [NASA ADS] [CrossRef] (In the text)
- Poole, T. S., Breeveld, A. A., Page, M. J., et al. 2008, MNRAS, 383, 627 [NASA ADS] (In the text)
- Racusin, J. L., Liang, E. W., Burrows, D. N., et al. 2008, ApJ, submitted [arXiv:0812.4780] (In the text)
- Rees, M. J., & Mészáros, P. 1992, MNRAS, 258, 41 [NASA ADS] (In the text)
- Roming, P. W. A., Kennedy, T. E., Mason, K. O., et al. 2005, Space Sci. Rev., 120, 95 [NASA ADS] [CrossRef] (In the text)
- Roming, P. W. A., Schady, P., Fox, D. B., et al. 2006, ApJ, 652, 1416 [NASA ADS] [CrossRef] (In the text)
- Roth, M. M., Kelz, A., Fechner, T., et al. 2005, PASP, 117, 620 [NASA ADS] [CrossRef] (In the text)
- Rykoff, E. S., & Schaefer, B. E. 2006, GCN Circular, 5220 (In the text)
- Sánchez, S. F. 2004, Astron. Nachr., 325, 167 [NASA ADS] [CrossRef] (In the text)
- Sánchez, S. F. 2006, Astron. Nachr., 327, 850 [NASA ADS] [CrossRef] (In the text)
- Sánchez, S. F., & Cardiel, N., 2005, Calar Alto Newsletter, 10 (In the text)
- Sari, R. 1997, ApJ, 489, L37 [NASA ADS] [CrossRef] (In the text)
- Sari, R., Piran, T., & Narayan, R. 1998, ApJ, 497, L17 [NASA ADS] [CrossRef] (In the text)
- Sari, R., Piran, T., & Halpern, J. P. 1999, ApJ, 519, L17 [NASA ADS] [CrossRef] (In the text)
- Sato, G., Barbier, L., Barthelmy, S., et al. 2006, GCN Circular, 5231 (In the text)
- Savaglio, S. 2006, New J. Phys., 8, 195 [CrossRef] (In the text)
- Savaglio, S., & Fall, S. M. 2004, ApJ, 614, 293 [NASA ADS] [CrossRef] (In the text)
- Savaglio, S., Fiore, F., Israel, G., et al. 2002, GCN Circular, 1633 (In the text)
- Schaefer, B. E., Gerardy, C. L., Höflich, P., et al. 2003, ApJ, 588, 387 [NASA ADS] [CrossRef] (In the text)
- Schaefer, B. E., Rykoff, E. S., Smith, D. A., & Quimby, R. 2006, GCN Circular, 5222 (In the text)
- Schlegel, D. J., Finkbeiner, D. P., & Davis, M. 1998, ApJ, 500, 525 [NASA ADS] [CrossRef] (In the text)
- Shapley, A. E., Steidel, C. C., Adelberger, K. L., et al. 2001, ApJ, 562, 95 [NASA ADS] [CrossRef] (In the text)
- Sharapov, D., Augusteijn, T., & Pozanenko, A. 2006, GCN Circular, 5263 (In the text)
- Shin, M.-S., Berger, E., Penprase, B. E., et al. 2006, ApJ, submitted [arXiv:astro-ph/0608327] (In the text)
- Spergel, D. N., Verde, L., Peiris, H. V., et al. 2003, ApJS, 148, 175 [NASA ADS] [CrossRef] (In the text)
- Starling, R. L. C., van der Horst, A. J., Rol, E., et al. 2008, ApJ, 672, 433 [NASA ADS] [CrossRef] (In the text)
- Still, M., Kniazev, A., Romero-Colmenero, E., et al. 2006, GCN Circular, 5226 (In the text)
- Vaughan, S., Goad, M. R., Beardmore, A. P., et al. 2006, ApJ, 638, 920 [NASA ADS] [CrossRef] (In the text)
- Verheijen, M. A. W., Bershady, M. A., Andersen, D. R., et al. 2004, Astron. Nachr., 325, 151 [NASA ADS] [CrossRef] (In the text)
- Watson, D., Hjorth, J., Fynbo, J. P. U., et al. 2007, ApJ, 660, L101 [NASA ADS] [CrossRef] (In the text)
- Zeh, A., Klose, S., & Kann, D. A. 2006, ApJ, 637, 889 [NASA ADS] [CrossRef] (In the text)
- Zhai, M., Qiu, Y. L., Wei, J. Y., Hu, J. Y., Deng, J. S., & Zheng, W. K. 2006, GCN Circ., 5230 (In the text)
- Zhang, B., & Mészáros, P. 2004, Int. J. Mod. Phys. A, 19, 2385 [NASA ADS] [CrossRef] (In the text)
- Zhang, B., Fan, Y. Z., Dyks, J., et al. 2006, ApJ, 642, 354 [NASA ADS] [CrossRef] (In the text)
Footnotes
- ... spectroscopy
- Based on observations collected at the German-Spanish Calar Alto Observatory in Spain (Programme F06-3.5-055) and at the European Southern Observatory, La Silla and Paranal, Chile (ESO Programme 177.D-0591).
- ...
FTOOLS
- http://heasarc.gsfc.nasa.gov/ftools/
- ...
Database
- http://heasarc.gsfc.nasa.gov/docs/heasarc/caldb/caldb_intro.html
- ...
R3D
- http://www.caha.es/sanchez/r3d/index.html
- ... IRAF
- http://iraf.noao.edu
- ...
MIDAS
- http://www.eso.org/projects/esomidas
- ...
E3D
- http://www.aip.de/Euro3D/E3D/#Docu
- ... 0.3-6 keV
- The 0.3-10 keV XRT spectrum had no signal in the range 6-10 keV and for this reason only the first part was considered.
All Tables
Table 1: Log of the Swift UVOT observations.
Table 2: Values plotted in Fig. 8.
Table 3: Parameters of the fit of the optical afterglow light curve (Fig. 7).
Table 4:
Predicted spectral slope
in the X-ray band
for the two different cases A and B discussed in Sect. 4.1.
Table 5:
Fit parameters of the joint optical and X-ray fit
(
).
Table 6:
Predicted spectral slope
considering the parameters listed
in Table 5
for different applied models. The spectral slopes have to be compared with
the observed
(Sect. 3.2).
All Figures
![]() |
Figure 1: Swift UVOT v-band image of the field of GRB 060605. The optical afterglow is indicated by a circle. The overplotted hexagon shows the sky coverage of PMAS/PPak during our observing campaign (see also Fig. 2). |
| Open with DEXTER | |
| In the text | |
![]() |
Figure 2:
The field of GRB 060605 seen by the PPak spaxels. The image is the
average of three exposures when the afterglow (the yellow spot in the
middle) had a magnitude of about
|
| Open with DEXTER | |
| In the text | |
![]() |
Figure 3:
The spectrum of the afterglow of GRB 060605 in velocity space,
centered at a redshift of z = 3.773 (v = 0 km s-1). This is likely
the redshift of the GRB, for which we detect Ly |
| Open with DEXTER | |
| In the text | |
![]() |
Figure 4:
Spectrum of the afterglow (black) of GRB 060605 obtained between 7.5 and 9.1 h after the burst with PPak mounted at the Calar Alto 3.5-m
telescope, overplotted with the spectrum of a Lyman break galaxy (LBG) at the
same redshift (from Shapley et al. 2001). The typical LBG lines
are indicated in blue; only the strongest of them can also be found in the
afterglow spectrum. The afterglow spectrum, calibrated in flux and wavelength,
is a composition of six individual spectra of 15 min exposure time each.
The spectral resolution is
|
| Open with DEXTER | |
| In the text | |
![]() |
Figure 5:
The X-ray light curve of the afterglow of GRB 060605 observed with
Swift XRT (Evans et al. 2007). Formally, three power-law
segments can be distinguished (Godet et al. 2006). A small flare is seen at the
beginning of the second decay phase (II). The lower panel shows the residuals
of the best fit. Fluctuations in the light curve (> |
| Open with DEXTER | |
| In the text | |
![]() |
Figure 6: X-ray spectrum of the afterglow of GRB 060605 obtained in photon counting mode between 0.0015 and 0.8565 days after the trigger. The lower panel shows the residuals of the best fit (for more details see Sect. 3.2). |
| Open with DEXTER | |
| In the text | |
![]() |
Figure 7:
The composite |
| Open with DEXTER | |
| In the text | |
![]() |
Figure 8:
Spectral energy distribution (SED) of the afterglow of GRB 060605 in the optical bands
at t=0.27 days. The line is the best-fit power law.
Detections in three filters (
|
| Open with DEXTER | |
| In the text | |
![]() |
Figure 9:
Broad-band spectrum of the afterglow of GRB 060605 at 0.07 days. The lines
show the 1- |
| Open with DEXTER | |
| In the text | |
![]() |
Figure 10:
The same as Fig. 9 but at 0.43 days. Here, the |
| Open with DEXTER | |
| In the text | |
![]() |
Figure 11: The composite optical and X-ray light curve of the afterglow of GRB 060605. The final X-ray point is an upper limit. The green line shows the results of the joint fit of the optical and the X-ray light curve (see Sect. 4.3). Note that the joint fit included only the X-ray data from t>0.004 days. |
| Open with DEXTER | |
| In the text | |
![]() |
Figure 12:
Constraints on the parameter space of the fractional energy carried by the
magnetic field,
|
| Open with DEXTER | |
| In the text | |
![]() |
Figure 13:
The observed |
| Open with DEXTER | |
| In the text | |
![]() |
Figure 14:
The stellar field around the position of the afterglow of GRB 060605. The
|
| Open with DEXTER | |
| In the text | |
Copyright ESO 2009
Current usage metrics show cumulative count of Article Views (full-text article views including HTML views, PDF and ePub downloads, according to the available data) and Abstracts Views on Vision4Press platform.
Data correspond to usage on the plateform after 2015. The current usage metrics is available 48-96 hours after online publication and is updated daily on week days.
Initial download of the metrics may take a while.
![\begin{figure}
\par\includegraphics[width=8cm,clip]{9980fi01.eps}
\end{figure}](/articles/aa/full_html/2009/15/aa09980-08/Timg32.png)
![\begin{figure}
\par\includegraphics[angle=180,width=6.5cm,clip]{9980fi02.eps}
\end{figure}](/articles/aa/full_html/2009/15/aa09980-08/Timg39.png)
![\begin{figure}
\par\includegraphics[width=8cm,clip]{9980fi03.eps}
\end{figure}](/articles/aa/full_html/2009/15/aa09980-08/Timg40.png)
![\begin{figure}
\par\includegraphics[width=15cm,clip]{9980fi04.eps}
\end{figure}](/articles/aa/full_html/2009/15/aa09980-08/Timg52.png)
![\begin{figure}
\par\includegraphics[width=7.5cm,clip]{9980fi05.eps}
\end{figure}](/articles/aa/full_html/2009/15/aa09980-08/Timg67.png)
erg cm-2 counts-1.![\begin{figure}
\par\includegraphics[angle=270,width=8cm,clip]{9980fi06.eps}
\end{figure}](/articles/aa/full_html/2009/15/aa09980-08/Timg73.png)
![\begin{figure}
\par\includegraphics[width=7.5cm,clip]{9980fi07.eps}
\end{figure}](/articles/aa/full_html/2009/15/aa09980-08/Timg115.png)
![\begin{figure}
\par\includegraphics[width=8cm,clip]{9980fi08.eps}
\end{figure}](/articles/aa/full_html/2009/15/aa09980-08/Timg139.png)
)
and deep upper limits in u and
in uvm2 show a very steep SED (
![\begin{figure}
\par\includegraphics[width=7.5cm,clip]{9980fi09.eps}
\end{figure}](/articles/aa/full_html/2009/15/aa09980-08/Timg176.png)
![\begin{figure}
\par\includegraphics[width=7.5cm,clip]{9980fi10.eps}
\end{figure}](/articles/aa/full_html/2009/15/aa09980-08/Timg177.png)
![\begin{figure}
\par\includegraphics[width=12cm,clip]{9980fi11.eps}
\end{figure}](/articles/aa/full_html/2009/15/aa09980-08/Timg178.png)
![\begin{figure}
\par\includegraphics[width=7.5cm,clip]{9980fi12.eps}
\end{figure}](/articles/aa/full_html/2009/15/aa09980-08/Timg210.png)
Hz (




![\begin{figure}
\par\includegraphics[width=8.5cm,clip]{9980fi13.eps}
\end{figure}](/articles/aa/full_html/2009/15/aa09980-08/Timg255.png)
![\begin{figure}
\par\includegraphics[width=12cm,clip]{9980fi14.eps}
\end{figure}](/articles/aa/full_html/2009/15/aa09980-08/Timg257.png)
s exposure time each,
taken on 14 Sep. 2006 and 18 Jun. 2007 at VLT/FORS2, when the afterglow had
faded away. The position of the optical transient is indicated. The
faint extended source underlying the position of the optical transient is the
suspected GRB host galaxy at z=3.773. The three brightest galaxies next to
it are indicated with numbers.