| Issue |
A&A
Volume 497, Number 3, April III 2009
|
|
|---|---|---|
| Page(s) | 911 - 925 | |
| Section | Atomic, molecular, and nuclear data | |
| DOI | https://doi.org/10.1051/0004-6361/200810680 | |
| Published online | 18 February 2009 | |
Rotational excitation of ortho-H
O by para-H
(j
0, 2, 4, 6, 8) at high temperature
M.-L. Dubernet1,2 - F. Daniel2,3 - A. Grosjean4 - C. Y. Lin2
1 - Université Pierre et Marie Curie, LPMAA UMR CNRS 7092, Case 76, 4 place Jussieu, 75252 Paris Cedex 05, France
2 - Observatoire de Paris-Meudon, LERMA UMR CNRS 8112, 5 place Jules Janssen, 92195 Meudon Cedex, France
3 - Departamento Molecular and Infrared Astrophysics, Consejo Superior de Investigaciones
Cientificas, C/ Serrano 121, 28006 Madrid, Spain
4 - Institut UTINAM, UMR CNRS 6213, 41bis avenue de l'Observatoire, BP 1615, 25010 Besançon Cedex, France
Received 25 July 2008 / Accepted 17 December 2008
Abstract
Aims. Our objective is to obtain the best possible set of rotational (de)-excitation state-to-state and effective rate coefficients for temperatures up to 1500 K. We present state-to-state rate coefficients among the 45 lowest levels of o-H2O with H2(j2=0) and
,
as well as with H
2(j2 = 2) and
.
In addition and only for the 10 lowest energy levels of o-H2O, we provide state-to-state rate coefficients involving j2=4 with
and j2=2 with
.
We give estimates of effective rate coefficients for j2 = 6, 8.
Methods. Calculations are performed with the close coupling (CC) method over the whole energy range, using the same 5D potential energy surface (PES) as the one employed in our latest publication on water. We perform comparisons with coupled states (CS) calculations, with thermalized quasi-classical trajectory (QCT) calculations using the same PES and with previous quantum calculations obtained between T=20 K and T=140 K with a different PES.
Results. We find that the CS approximation fares extremely badly even at high energy for j2 different from zero. Comparisons with thermalized QCT calculations show large factors at intermediate temperatures and factors from 1 to 3 at high temperature for the strongest rate coefficients. Finally we stress that scaled collisional rate coefficients obtained with He cannot be used in place of collisional rate coefficients with H2.
Key words: molecular data - molecular processes - ISM : molecules
1 Introduction
This is the first effort on such a large scale to obtain the highest possible accuracy for collisional excitation rate coefficients of an asymmetric molecule with a rotationally excited diatomic molecule. This effort is justified by the importance of water in various astrophysical media. Water is a key molecule for the chemistry and the energy balance of the gas in cold clouds and star forming regions, thanks to its relatively large abundance and large dipole moment. A wealth of observational data has been obtained by the Infrared Space Observatory (see for example: Tsuji 2001; Spinoglio et al. 2001; Cernicharo & Crovisier 2005; Wright et al. 2000), the Submillimeter Wave Astronomy Satellite (Melnick et al. 2000) and the ODIN satellite (Sandqvist et al. 2003; Wilson et al. 2003). In the near future the Heterodyne Instrument for the Far-Infrared (HIFI) will be launched on board the Herschel Space Observatory. It will observe with unprecedented sensitivity spectra of many molecules with an emphasis on water lines in regions such as low or high mass star forming regions, proto-planetary disks and AGB stars. The interpretation of these spectra will rely upon the accuracy of the available collisional excitation rate coefficients that enter into the population balance of the emitting levels of the molecules. In the temperature range from 5 K to 1500 K, the most abundant collider likely to excite molecules in media with weak UV radiation fields is the hydrogen molecule, followed by the helium atom.
A pioneering rigid-body 5D PES was obtained by Phillips et al. (1994) for the excitation of the rotational levels of H2O by H2. Using this PES, Phillips et al. (1996) computed rate coefficients for rotational de-excitation among the first 5 ortho and para levels of water with H2 (j=0, 1) for temperatures ranging from 20 K to 140 K. Dubernet & Grosjean (2002) and Grosjean et al. (2003) extended this work down to 5 K and pointed out that such low temperature rates are highly sensitive to a proper description of resonances.
Recently an accurate 9D PES for the deformable H2 - H2O system was calculated by Faure et al. (2005a). This PES combined conventional 5D and 9D CCSD(T) calculations (coupled cluster with perturbative triples) and accurate calibration data using the explicitely correlated CCSD(T)-R12 approach (Noga & Kutzelnigg 1994).
As a first application of the 9D PES, high temperature (1500 K
< T < 4000 K) rate coefficients for the relaxation of the
bending mode of H2O were estimated from quasiclassical trajectory
calculations (Faure et al. 2005a) and the role of rotation in the vibrational
relaxation of water was emphasized (Faure et al. 2005b).
Another application of this 9D PES was to construct an accurate 5D PES suitable for inelastic rotational calculations by averaging over H2and H2O ground vibrational states. As was pointed out in Faure et al. (2005a), this state-averaged PES is actually very close to a rigid-body PES using state-averaged geometries for H2O and H2.
Using this newly determined 5D PES for H2-H2O, Dubernet et al. (2006b) provided an extended and revised set of rate coefficients for de-excitation of the lowest 10 rotational levels of o/p-H2O by collisions with p-H2 (j2=0) and o-H2(j2=1), for kinetic temperatures from 5 K to 20 K.
The new PES of Faure et al. (2005a) leads to a significant re-evaluation of the rate coefficients for the excitation of H2O by para-H2 (j=0). Indeed for the 110 to 101 transition observed by the SWAS satellite, the new PES increases the de-excitation rate coefficient by a factor of 4 at 5 K and by 75% at 20 K compared to the previous results of Dubernet et al. (Dubernet & Grosjean 2002; Grosjean et al. 2003), leading to a total increase at 20 K of 185% with respect to the Phillips et al. (1996) results. The de-excitation rate coefficients of other transitions induced by para-H2 can increase by as much as 100% or decrease by 30%. For collisions with ortho-H2(j=1) the new PES has a smaller effect on the de-excitation rate coefficients with a maximum change of 40%. The influence of the new PES on collisions with both p-H2 (j2=0) and o-H2 (j2=1) is expected to become less pronounced at higher temperatures.
Faure et al. (2007) provided rate coefficients for rotational de-excitation among the lowest 45 rotational levels of o/p-H2O colliding with o/p-H2 in the temperature range 20-2000 K. This set is a combination of various data: 1) data obtained with quasi classical trajectory (QCT) calculations with the H2 molecule assumed to be rotationally thermalized at kinetic temperature and calculated between 100 K and 2000 K; 2) the values at 20 K are CC calculations from Dubernet et al. (2006b) for the first 5 levels and are equal to values at 100 K for all other levels; 3) scaled H2O-He results from Green et al. (1993) for the weakest rate coefficients. A preliminary comparison (Faure et al. 2007) with current CC calculations concerning low lying levels of water at high temperature showed that QCT thermalized rate coefficients were accurate to within a factor of 1-3 for the dominant transitions, i.e. for those with rates larger than a few 10-12 cm3 s-1.
Our current objective is to obtain the best possible set of rotational (de)-excitation state-to-state and effective rate coefficients for temperatures up to 1500 K. We provide state-to-state rate coefficients among the 45 lowest levels of o-H2O with H2(j2=0) and
,
as well as with H2(j2 = 2) and
.
In addition and only for the 10 lowest energy levels of o-H2O, we provide state-to-state rate coefficients involving j2=4 with
and j2=2 with
.
We give estimates of effective rate coefficients for j2 = 6, 8.
2 Methodology
2.1 Collisions with H 2
Our calculations provide state-to-state collisional rate coefficients involving changes
in both the target and the perturber rotational levels, i.e.
where
,
represent the initial and final rotational levels of water, j2, j'2 the initial and final rotational levels of H2, and T is the kinetic temperature.
The state-to-state collisional rate coefficients are the Boltzmann thermal averages of the state-to-state inelastic cross sections:
where E is the kinetic energy,
is the Boltzmann constant and
is the reduced mass of the colliding system.
These state-to-state collisional rate coefficients follow the detailed balance principle and reverse rate coefficients
can be obtained from forward rate coefficients by the usual formula:
![]() |
|||
| (2) |
where gj1, gj2 are the statistical weights related to rotational levels of H2O and H2 respectively, and the different
are the rotational energies of the species.
Some astrophysical applications might rather use the so-called effective rate coefficients
which are given by the sum of the state-to-state rate coefficients (Eq. (1)) over the final j2' states of H2 for a given initial j2:
These effective rate coefficients do not follow the detailed balance principle and both excitation and de-excitation should be explicitly calculated. It should be recalled that in the temperature range between 5 K and 20 K (Dubernet & Grosjean 2002; Grosjean et al. 2003), the effective rate coefficients follow the principle of detailed balance within the calculation error, because there are no transitions to the j2 = 3 rotational level of o-H2, and transitions to the j2 =2 rotational level of p-H2 are negligeable.
Table 1: Energy levels of o-water obtained with the Kyrö (1981) Hamiltonian.
Finally, averaged de-excitation rate coefficients for o/p-H2O by rotationally
thermalized o/p-H2 can be obtained by averaging over the initial rotational levels
of o/p-H2:
with
2.2 Description of the calculations
In the current calculations we use the same expansion of the Faure et al. (2005a) 5D PES as in Dubernet et al. (2006b), where details can be found. For this PES, inaccuracies in inelastic cross sections might come from different sources: propagation parameters, description of the rotational Hamiltonians of the 2 molecules, sizes of H2O and H2 rotational basis sets, level of approximation in quantum calculations where the coupled states (CS) approximation might be used instead of the exact close coupling (CC) method. Additional errors might be introduced in rate coefficients if the kinetic energy grid is not fine enough near thresholds, resulting in poor low temperature rate coefficients, or not extended to high enough energies, leading to wrong high temperature results.
Our quantum calculations are carried out with modified versions of the sequential and parallel versions of the MOLSCAT code (Hutson & Green 1994; McBane 2004). Parameters of the propagation are optimized as was done in Dubernet & Grosjean (2002); Dubernet et al. (2006b); Grosjean et al. (2003). Identically to Dubernet et al. (2006b), the H2 energy levels are the experimental energies of Dabrowski (1984) and the H2O energy levels and eigenfunctions are obtained by diagonalisation of the effective hamiltonian of Kyrö (1981), compatible with the symmetries of the PES (Dubernet & Grosjean 2002; Dubernet et al. 2006b; Grosjean et al. 2003). The first 45 levels of ortho-water are given in Table 1. The reduced mass of the system is 1.81277373 a.m.u.
2.2.1 Basis set convergence: Methodology in choosing an appropriate basis set
The basis set is a direct product of rotational wavefunctions of water,
characterized by the rotational quantum number j1 (the lowest value
of j1 is one for o-H2O) and the pseudo-quantum
number
which varies between -j1 and j1 (alternatively, we may
use the pseudo-quantum numbers
and
with the correspondance
), and of rotational wavefunctions of hydrogen
characterised by the rotational quantum number j2.
To a single j1 rotational quantum number is associated a ladder of increasing rotational energy levels corresponding to successive values of
characteristic of
o-H2O, and it should be remembered that 2 to 3 adjacent ladders might
overlap. A ladder includes j1 values of
for even j1, and
j1 + 2 values of
for odd j1. CC calculations are carried out at a given total energy, a given parity and a total angular momentum
.
The coupling scheme involves
a first coupling between the monomers leading to an intermediate quantum
number j12, such that
,
and a
subsequent coupling to the orbital angular momentum
such that
.
We call B(n,m) a basis set where n is the maximum value of j1,
m is the maximum value of j2, and B(n,m) includes all the coupled
states. The convergence of the basis set
usually involves keeping a number of closed channels above
the total energy at which the collisional cross-sections are
calculated. These closed channels mainly
influence the collisional process in the strong interaction region via coupling of the
potential. The potential couplings between (
)
energy levels decrease with increasing
and
,
therefore for the simple case of a B(n,0) basis set we find that a good convergence is reached with 10 energetically closed channels of water. The basis set B(n,0) with an energy cut-off above the 10th closed channel
of water is called a B*(n,0) [10] basis set (see notation below). Another important question is the accuracy of cross-sections with respect to
the number of closed channels of the H2 molecule. Phillips et al. (1996); Dubernet & Grosjean (2002) already showed that the j2=2 level has a strong influence on inelastic cross-sections involving no energy transfer in H2. Therefore these authors chose basis sets of the type B(n,2), while
Grosjean et al. (2003) used a B(n,3) basis set. Generally at least one to two closed H2 rotational channels would be required in order to ensure convergence to better than 5%
of inelactic cross sections involving energy transfer in H2. This would be particularly important if the purpose of our calculations was to find inelastic rate coefficients of H2 averaged over water transitions. However for our purposes it is sufficient to use a basis set which is
reduced by the application of an energy cut-off, following Dubernet et al. (2006b).
We define
B*(n,m)[p,q,r] to be a subset of B*(n,m) containing, for
j2 = 0,2,4 respectively, all states of B*(n,m) up to the first p, q and r states whose internal energies lie above the sum of the total energy and E (|j2>), where the total energy is taken respective to the ground state of water and p-H2.
Table 2:
Rotational (de)excitation cross-sections (in
)
of o-H2O calculated with different basis sets: (1) a complete B(6,2) basis set, (2) a B*(6,4)[all, all, 5] basis set with an incomplete ladder in j2=4, (3) a B*(9,4)[10, 10, 5] basis set with incomplete ladders for j2=0,2,4. The transitions are labelled by the quantum numbers
(j2-j'2) where primes are final states.
Some behaviors of cross-sections for different basis sets and
low lying levels of o-H2O are shown in Table 2; they are representative of the whole set of cross-sections. At total energy
cm-1, these cross-sections
show less than 0.5% difference between B*(6,4)[all, all, 5]
and
B*(9,4)[10, 10, 5], which includes the open channel 707 and closed channels involving incomplete ladders up to a maximum value of j1 equal to 9. This result could
be considered as trivial but it clearly shows that the convergence procedure of readjusting the number of closed channels for each total energy is solely necessary for total energies covering the opening of molecular channels whose transitions we are interested in;
above the highest threshold of interest the basis set does not need to be increased.
| |
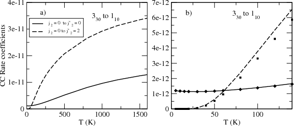
Figure 1:
State-to-state rate coefficients (cm3 s-1) of the 330 to 110 transition of o-H2O as a function of temperature (Kelvin). The full line indicates the state-to-state rate coefficients for
|
| Open with DEXTER | |
Another question is the accuracy of cross-sections with respect to the
inclusion of the j2=4 level in the basis sets. Table 2 shows
that j2=4 has the strongest effect on transitions from j2=0 to j2=2.
Overall the inclusion of the j2=4 level induces an effect of about 10% to 20% on the strongest state-to-state rate coefficients involving energy transfer in H2, i.e. for
(and up to 60% for the weakest). This effect is directly transfered to the effective (de)-excitation rate coefficients when they are dominated by those state-to-state rate coefficients. This happens when there is internal energy transfer between excitation of H2 and de-excitation of o-H2O. This is illustrated in Fig. 1 for the water transition 330 to 110 where
is larger than
.
2.2.2 Basis set convergence: choice of basis set
It is not possible to obtain the same fully converged rate coefficients for all transitions among the first 45 levels of o-H2O. Therefore we adopted different strategies. For transitions among the first 20 levels of o-H2O, we adopted one closed channel for H2 with a maximum value of j2 equal to 4. For H2O the basis set combined at least one closed j1 level and a cut-off in rotational energy equivalent to 10 rotational levels for j2=0, 2 (reduced to 5 closed rotational levels for j2= 4) above the total energy considered in the calculations, i.e. a B*(n,4)[10,10,5] basis set. This method was employed over the whole range of energies for the de-excitation of the first 10 levels while for de-excitation from the 11th to the 20th levels of o-H2O it was employed up to a total energy of 950 cm-1 only. Due to prohibitive computing cost for total energies from 950 cm-1 up to 8000 cm-1, the reduced basis set B*(n,2)[10,10] was used for de-excitation calculations from the 11th to the 45th levels of o-H2O with p-H2.
Table 3:
Summary of the sets of state-to-state (STSR)
and effective rate coefficients (ER)
available in BASECOL. Column 1 labels the set of state-to-state rate coefficients.
(K) and
(K) indicate the lowest and highest temperatures
at which calculations and fits have been performed for the relevant sets of data. The column ``Transition'' indicates the number of levels among which rate coefficients are provided. T1, T2, T3, T4 indicate the expected accuracy: T1 for the 20 first levels of o-H2O, T2 from the 21st to the 30th level, T3 from the 31st to the 40th, T4 from the 41st to the 45th. A1 means ``20% at most for the most significant rates, i.e. larger than 10-14'', A2 means ``not good but contribute only 4% to effective rate coefficients'', the notation X(Z)Y means X% accuracy below a temperature of T = Z Kelvin and Y% accuracy above T = Z Kelvin.
2.2.3 Choice of method
CC calculations give exact results but are computationally very expensive when they are associated with very large basis sets. Usually CS calculations are prefered for calculations at total energies located far enough from the transition thresholds; therefore the CS method cannot adequately describe collisional de-excitation among the lowest 45 levels of water for total energies up to 2000 cm-1. Moreover we find that the CS method degrades the quality of rate coefficients involving excited rotational levels of H2 with and without energy transfer in H2. For non negligeable rate coefficients the errors range from 50% to 100%. Therefore our choice was to use the close coupling method over the whole range of total energies.
The failure of the CS method has already been observed by Kouri et al. (1976) for diatom-diatom collisions in the case of HCl-H2 (Table XI) for transitions that are dominated by the strong long range interaction (j2 = 1, 2). Heil et al. (1978) suggested that the breakdown of the CS approximation is initiated in the short range part of the PES and that the long range anisotropy increases this breakdown. However they assumed that CC and CS would agree better at higher energies. Obviously this is not the case for the present system. It should be noted that even for atom-diatom collisions, Dubernet et al. (2001) showed that CC and CS total inelastic cross-sections among the lowest rotational levels of H2 colliding with He did not converge at high temperature, though the results were close. In fact, the CS method involves approximating angular momentum terms in the total Hamiltonian, and in particular omitting Coriolis terms. When the angular momentum of the hydrogen molecule is introduced into the problem, the validity of these approximations for the angular momentum coupling is likely to be compromised. The large energy spacing of the rotational levels of hydrogen will exacerbate these effects.
2.2.4 Choice of total energy points
CC calculations are carried out over essentially the whole energy range spanned by the Boltzmann distributions (Eq. (1)); the highest energy point calculated is at 8000 cm-1 and cross sections are extrapolated at higher energy in order to achieve convergence for de-excitation from the highest water energy levels. These extrapolations do not degrade the accuracy of rate coefficients because the concerned cross sections behave regularly. We carefully spanned the energy range above the inelastic channels and added more points in the presence of resonance structures. The total energy grid below the 10th threshold has been described in Dubernet et al. (2006b); between the 10th and the 20th threshold energy steps vary from 0.5 to 2 cm-1, from the 20th to the 25th they range from 2 to 5 cm-1, above the 25th threshold they vary from 10 to 40 cm-1. We paid particular attention to having a fine description of low energy behaviors of cross sections connected to j2=2 for rotational levels of H2O up to 600 cm-1. Nevertheless for j2=2 the energy grid is coarser than for j2=0, though still allowing an adequate precision (see Table 3). Overall there are about 1592 energy points.
3 Discussion
3.1 Results for j 2 = 0, 2, 4, 6, 8
We use the methodology described above to calculate sets of state-to-state rate coefficients (Eq. (1)) in the temperature range from 5 K to 1500 K for de-excitation transitions among the 45 lowest levels of o-H2O with j2 = 0 and
,
as well as with j2 = 2 and
.
In addition and only for the 10 lowest energy levels of o-H2O, we obtain cross sections involving j2=4 with
,
j2=0 with
and j2=2 with
.
Because of the sparse energy grid of cross sections
involving j2=4, we estimate that the related rate coefficients are only
correct for temperatures above 1000 K. All rate coefficients involving energy transfers with
are very small and can be ignored up to 1500 K. The state-to-state rate coefficients involving energy transfers from j2=2 to j2=4 or from j2=4 to j2=2 contribute only 4% to the effective rate coefficients; nevertheless we provide them for the sake of completeness between 1000 K and 1500 K. They should only be used to calculate the effective excitation and de-excitation rate coefficients of o-H2O out of the j2=2, 4 level as their accuracy is quite low.
![]() |
Figure 2:
Ratios of effective de-excitation rate coefficients (Eq. (3))
for the first 10 levels of o-water and for temperatures ranging from 20 K to 1600 K. Black lines give the ratios
|
| Open with DEXTER | |
![]() |
Figure 3:
Ratios of effective de-excitation rate coefficients (Eq. (3))
|
| Open with DEXTER | |
Additionally we use the breathing sphere approximation (Agg & Clary 1991b,a),
i.e. we average the PES over j2=4 in order to complete the set of de-excitation cross sections of o-H2O with j2=4 and
,
which allows us to obtain rate coefficients
for temperatures between 5 K and 1500 K. This procedure is fully justified by the small magnitude of
cross sections involving energy transfer with
from j2=4.
From the calculated state-to-state rate coefficients, the effective rate coefficients
corresponding to j2= 0, 2, 4 can be calculated using Eq. (3). The ratios of effective de-excitation rate coefficients (Eq. (3))
(
)
over effective de-excitation rate coefficients
(
)
for the first 45 (10) levels of ortho-water are given in Figs. 2, 3. Table 4 provides the correspondance between labels of the 990 transitions and labels of the energy levels given in Table 1.
Table 4: Labels of first and last de-excitation transitions from a given level (as given in Table 1). This table is the key for reading the figures giving ratios of rate coefficients as a function of transitions labels.
Ratios
can be very large for water transitions
for which no internal energy transfer occurs between H2 and H2O; these large
ratios are due to the strong long range part of the PES for j2 = 2.
These ratios can as well be very small when internal energy transfer strongly enhances
rate coefficients. The alternating large and small ratios lead to the
patterns observed in Fig. 3; these patterns are particularly
noticeable for de-excitation from high lying energy levels of water. Indeed
de-excitation effective rate coefficients are strongly influenced by the corresponding state-to-state rate coefficients
for all o-water
levels above the opening of the j2=2 level of H2, while
,
effective rate coefficients are mainly influenced by respectively the
and
state-to-state rate coefficients.
Effective rate coefficients of o-H2O linked to j2=6, 8 may also be obtained using the breathing sphere approximation between 5 K and 1500 K. Indeed Dubernet et al. (2001) (in Fig. 2) showed that total inelastic cross-sections of H2 with j2=4, 6 colliding with He are negligeable in the energy range from 0 cm-1 to 5000 cm-1 and we can assume a similar behavior in the present case. Nevertheless this work is not performed in the present paper and the magnitudes of the relevant effective rate coefficients may be evaluated using multiplicative factors with the following guideline, based on available comparisons among our calculated rate coefficients between j2 =2 and j2 = 4: the user may vary the effective rate coefficient by 20%-50% (mostly increase) from j2 =2 to j2 =4, and so on up to j2 = 8.
Table 5: Unnormalized population of the rotational states of p-H2 relative to j2 = 0, at different temperatures and assuming thermodynamic equilibrium.
The BASECOL database (Dubernet et al. 2006a) will provide full tables of the rate coefficients sets mentioned in Table 3.
3.2 Accuracy of results
Apart from the usual checks of convergence with respect to propagation parameters,
basis set and total angular momentum, the state-to-state rate
coefficients have been carefully checked by detailed balance. It should be
recalled that
the quality of rate coefficients at low temperature is linked to the number of energy
points close to the molecular thresholds, and we have an excellent energy
grid for j2 = 0 and a sparser but still good energy grid for j2 = 2. We have a very good grid for j2 = 4, due to the use of the breathing sphere approximation at total energy close to water thresholds. The maximum values of the estimated errors are given in
Table 3 for transitions starting from different levels of
o-H2O (T1, T2, T2, T4) and for the various sets of state-to-state rate
coefficients (1 to 7). Sets (5) and (6) have very low accuracy, which is
not a cause for concern for the present application since they provide a very
small contribution to the effective rate coefficients. The accuracy of
the effective rate coefficients (ER)
reflects the accuracies of
set (1) and of set (2) to a lesser extent. The accuracy of the effective
rate coefficients (ER)
is mainly connected to set (4) because
set (3) rate coefficients give a small contribution to the effective
rate coefficients. The accuracy of the effective rate coefficients linked to j2=4 can be
estimated to be around 40%.
3.3 Thermalized rate coefficients
We will not explicitly provide de-excitation rate coefficients
of o-H2O with thermalized H2 (Eq. (4)). The values of
in Table 5 indicate that we can provide accurate averaged de-excitation rate coefficients (Eq. (4)) up to 300 K-400 K for transitions from the 11th-45th level of o-H2O, and up to 800 K for the 10 first levels, the accuracy being that of the state-to-state rate coefficients. When levels j2 > 2 start to contribute to thermalised rate coefficients, the uncalculated effective rate coefficients for j2 > 2 might be estimated using the guidelines given in Sect. 3.1. Another possibility at high temperature is to directly use the QCT rate coefficients of Faure et al. (2007), being aware of their limitation. Extensive comparisons between our averaged de-excitation rate coefficients and the QCT results are given in the following sections.
3.4 Overestimation of rate coefficients by QCT calculations
The calculations of Faure et al. (2007) are described in the introduction. At 20 K a comparison between the present results and the Faure et al. (2007) results only indicates whether those authors were right to claim that their linear extrapolation from 100 K lies within a factor of 2 to 3 of the true values. In order to compare quantum and QCT results obtained with the same PES, we must remove the scaled H2O-He results from their published set since the scaled H2O-He rate coefficients are used for 65% of the transitions at various temperatures. Figure 4 shows the ratios of averaged CC rate coefficients over thermalized QCT rate coefficients for temperatures 100 K, 200 K, 800 K and 1600 K (note that averaged CC rate coefficients involve j2=0,2,4 for transitions among the first 10 levels of water and j2=0,2 for all other transitions). We find that the QCT method systematically overestimates, by up to a factor of 10, some of the strongest rate coefficients and underestimates rate coefficients involving internal energy transfer between o-H2O and H2by factors as large as 100 at T=100 K. The agreement between the two sets of rate coefficients improves with increasing temperature and above T = 800 K most rates are within a factor of 3.
![]() |
Figure 4: Ratios of CC averaged de-excitation rate coefficients (Eq. (4)) of o-H2O with p-H2 over QCT calculations of Faure et al. (2007) as a function of the CC averaged de-excitation rate coefficients of o-H2O with p-H2 (in cm3s-1). |
| Open with DEXTER | |
![]() |
Figure 5: Comparison of de-excitation rate coefficients (in cm3 s-1) at T=800 K from the a) 514, b) 716, c) 918 and d) 625 levels of o-water. The full lines (with circles) correspond to our CC averaged rate coefficients (Eq. (4) as explained in the text), the dashed lines to the set of de-excitation rate coefficients of Faure et al. (2007), the dotted lines to the scaled He rate coefficients of Green et al. (1993). The abscissae correspond to the index of the transition with quantum numbers indicated in Table 6. |
| Open with DEXTER | |
The overestimation of some of the strongest thermalized rate coefficients concerns a few transitions over the whole range of temperature. This effect is not related to the missing j2=4 quantum effective rate coefficient since the overestimation exists for temperatures below 400 K. Figure 5 compares our CC averaged rate coefficients with the set published by Faure et al. (2007) and with scaled He rate coefficients of Green et al. (1993) for transitions from the 514, 716, 918, 625 levels. These last 2 sets coincide for some transitions since Faure et al. (2007)'s set includes both QCT calculations and scaled He rate coefficients for the weakest transitions. QCT calculations systematically overestimate transitions from the 514, 716, 918 levels to the lowest level of a j ladder (indicated by arrows), with the strongest overestimation corresponding to a transition in the same ladder (bold arrows). Table 6 gives the initial and final quantum numbers of the involved transitions. These overestimations seem to exist for initial j having odd values only. Indeed for even j no such overestimation is observed, as can be seen in part (d) of Fig. 5 for de-excitation from the 625 level. We suspect that these systematic overestimations are an artefact of the binning procedure in the QCT calculations of Faure et al. (2007).
Table 6: Quantum numbers of levels involved in the transitions of Fig. 5 a), b), c) overestimated by QCT calculations. Primes indicate quantum numbers of the final states.
![]() |
Figure 6: Ratios of effective de-excitation rate coefficients (Eq. (3)) of o-H2O with H2(j2=0) over scaled water-He rate coefficients (in cm3 s-1) (Green et al. 1993) as a function the CC averaged de-excitation rate coefficients of o-H2O with p-H2 (in cm3 s-1). |
| Open with DEXTER | |
![]() |
Figure 7: Ratios of CC averaged de-excitation rate coefficients (Eq. (4)) of o-H2O with p-H2 over data sets published by Faure et al. (2007) as a function the CC averaged de-excitation rate coefficients of o-H2O with p-H2 (in cm3 s-1). These data sets include both the quasi-classical calculations (crosses in squares) and scaled water-He rate coefficients (crosses without squares) published in Faure et al. (2007). |
| Open with DEXTER | |
Table 7: Levels involved in some of the transitions largely underestimated by scaled He calculations and to a lesser extent by QCT calculations at 100 K. We provide ratios of averaged CC rate coefficients over QCT and scaled He calculations at 100 K, as well as the values of the corresponding averaged CC rate coefficients (in cm3 s-1).
3.5 Underestimation of rate coefficients by scaled He and QCT calculations
The de-excitation rate coefficients of H2O + He of Green et al. (1993), scaled
by a factor of 1.344 to correct for the differing colliding system masses,
have systematically been used in astrophysical applications to mimic rate coefficients of H2O + H2. Phillips et al. (1996) had already pointed out that this method was not correct for temperatures up to 140 K. Figures 6, 7 show that scaled H2O + He rate coefficients underestimate both the j2=0 effective and thermalized rate coefficients, with ratios
as large as 1000. The largest ratios occur for transitions dominated by internal energy transfer between H2 and H2O. This induces larger rate coefficients for the concerned water transitions and the effect is particularly noticeable for de-excitation from high lying levels of water and for transitions involving favorable quantum numbers, i.e.
,
small.
Examples of transitions largely underestimated at 100 K by both scaled He and QCT calculations are given in Table 7. The ratios of CC averaged de-excitation rate coefficients of o-H2O with p-H2 over QCT calculations of Faure et al. (2007) are nevertheless smaller than the ratios of CC averaged de-excitation rate coefficients over scaled water-He rate coefficients (Green et al. 1993). Apart from the overestimation cases analyzed above, QCT calculations generally are an improvement over scaled He calculations. It is unfortunate that very few rate coefficients can be calculated via QCT calculations.
Figures 8 to 13 compare our averaged rate coefficients with the set published by Faure et al. (2007) and with scaled He rate coefficients of (Green et al. 1993) for some of the 990 de-excitation transitions from the first 45 levels of ortho-water. Again we recall that these last 2 sets coincide for some transitions since Faure et al. (2007)'s set includes both QCT calculations and scaled He rate coefficients for the weakest transitions.
3.6 Comparison with the H 2O + H 2 effective rate coefficients of Phillips et al. (1996)
Comparison with effective rate coefficients of Phillips et al. (1996) can only be performed for the first 10 levels of o-H2O and for temperatures in the range 20 K to 140 K. The ratios of effective rate coefficients, given in Table 8, decrease slightly with temperature. This certainly reflects the decreasing influence of the difference between the two different PES (Faure et al. 2005a; Phillips et al. 1994) as temperature increases. The first line of Table 8 shows that the j2=2 level cannot be ignored in the calculation of the averaged rate coefficients above T=120 K.
![]() |
Figure 8: Ratios of CC averaged de-excitation rate coefficients (Eq. (4)) of o-H2O with p-H2 over the set of rate coefficients published by Faure et al. (2007) (black line) and over scaled He rate coefficients of (Green et al. 1993) (red line) for all 990 de-excitation transitions from the first 45 levels of o-water at a temperature of 100 K. The abscissae indicate the labeling of the de-excitation transitions as indicated in Table 4. |
| Open with DEXTER | |
![]() |
Figure 9: Ratios of CC averaged de-excitation rate coefficients (Eq. (4)) of o-H2O with p-H2 over the set of rate coefficients published by Faure et al. (2007) (black line) and over scaled He rate coefficients of Green et al. (1993) (red line) given for the first 45 de-excitation transitions from the first 10 levels of o-water, for temperatures ranging from 200 K to 1600 K. The abscissae indicate the labeling of the de-excitation transitions as indicated in Table 4. |
| Open with DEXTER | |
![]() |
Figure 10: Ratios of CC averaged de-excitation rate coefficients (Eq. (4)) of o-H2O with p-H2 over the set of rate coefficients published by Faure et al. (2007) (black line) and over scaled He rate coefficients of Green et al. (1993) (red line) for the 46th to the 105th de-excitation transitions from the first 15 levels of o-water for temperatures ranging from 200K to 1600 K. The abscissae indicate the labeling of the de-excitation transitions as indicated in Table 4. |
| Open with DEXTER | |
![]() |
Figure 11: Ratios of CC averaged de-excitation rate coefficients (Eq. (4)) of o-H2O with p-H2 over the set of rate coefficients published by Faure et al. (2007) (black line) and over scaled He rate coefficients of Green et al. (1993) (red line) for the 191st to the 300th de-excitation transitions from the first 25 levels of o-water for temperatures ranging from 200 K to 1600K. The abscissae indicate the labeling of the de-excitation transitions as indicated in Table 4. |
| Open with DEXTER | |
![]() |
Figure 12: Ratios of CC averaged de-excitation rate coefficients (Eq. (4)) of o-H2O with p-H2 over the set of rate coefficients published by Faure et al. (2007) (black line) and over scaled He rate coefficients of Green et al. (1993) (red line) for the 596th to the 780th de-excitation transitions from the first 35 levels of o-water for temperatures ranging from 200 K to 1600 K. The abscissae indicate the labeling of the de-excitation transitions as indicated in Table 4. |
| Open with DEXTER | |
![]() |
Figure 13: Ratios of CC averaged de-excitation rate coefficients (Eq. (4)) of o-H2O with p-H2 over the set of rate coefficients published by Faure et al. (2007) (black line) and over scaled He rate coefficients of Green et al. (1993) (red line) for the 781st to the 990th de-excitation transitions from the first 35 levels of o-water for temperatures ranging from 200 K to 1600 K. The abscissae indicate the labeling of the de-excitation transitions as indicated in Table 4. |
| Open with DEXTER | |
3.7 Fitted rate coefficients
The state-to-state rate coefficients
for the de-excitation of o-H2O with p-H
2 (j2 = 0, 2, 4) and
are fitted to an analytical form very similar to the one used by Mandy & Martin (1993):
The fits are performed using numerical rate coefficients calculated at
100 temperatures ranging from
to
which are
indicated in Table 3. The fitted coefficients are such that
the maximum error between initial data points and fitted values is minimal.
A maximum value of N=14 is necessary in order
to obtain good accuracy over the whole range of temperature.
The fitted rate coefficients were subsequently compared to numerical rate coefficients calculated with a step of T=1 K from
to
and the maximum error found is less than 0.5%.
We emphasize that these fits have no physical meaning; they are only valid in the temperature range of the relevant
,
and should not be used to perform extrapolations. The complete sets including levels up to the 45th will be available in the BASECOL database (Dubernet et al. 2006a). The quality of the fits can be checked on line through the graphical
interface.
Table 8:
Ratios of the 5 effective de-excitation rate coefficients of Phillips et al. (1996) over our averaged rate coefficients (1st line) for o-H2O with p-H2. The ratios of Phillips et al.'s results over our effective rate coefficients (Eq. (3)) for j2=0 for o-H2O with para-H2 are given on every second line.
We provide state-to-state rate coefficients among the 45 lowest levels of
o-H2O with H2 (j2 = 0) and
For the given PES the accuracy of quantum rate coefficients, explicitly given
for different temperatures and transitions, is rather homogeneous and
lies between 5% and 40% for the first 40 levels of o-H2O.
For the available transitions, we strongly recommend use of
the present sets of effective rate coefficients instead of either the scaled
H2O-He data of Green et al. (1993) or the set published in Faure et al. (2007).
For temperatures above 400 K, thermalized rate coefficients start to include
j2 > 2 effective rate coefficients for which we do not provide exact
quantum results for all transitions. We advise the user to use
multiplicative factors in order to estimate these missing effective rate
coefficients. Above 400 K the user can also choose to use the
set published in Faure et al. (2007), being aware that the weakest transitions are
given by scaled H2O-He rate coefficients which are sometimes wrong by
large factors. As expected we find that the scaled He rate coefficients (Green et al. 1993) are
neither representative of the effective rate coefficients
Finally we find that the CS approximation fares extremely badly
even at high energy for j2 not equal to zero. We will investigate the
breakdown of the CS approximation in another publication.
We are currently carrying out similar calculations for o-H2O with
o-H2 (j2=1, 3) and for p-H2O with o/p-H2.
Most scattering
calculations were performed at the IDRIS-CNRS and CINES under
project 2006-07-08 04 1472.
This research was supported by the CNRS national
program ``Physique et Chimie du Milieu Interstellaire'' and by the
FP6 Research Training Network ``Molecular Universe'', contract
Number: MRTN-CT-2004-512302. The authors thank P. Valiron and A. Faure
for critical reading of early drafts and the referee for
pertinent remarks. Since the submission of this paper,
P. Valiron has passed away and we dedicate this paper to
his memory.
4 Concluding remarks
,
as well as with j2 = 2 and
.
In addition and only for
the 10 lowest energy levels of o-H2O, we obtain state-to-state rate coefficients involving j2=4 with
and j2=2 with
.
nor of the averaged CC rate coefficients.
References
All Tables
Table 1: Energy levels of o-water obtained with the Kyrö (1981) Hamiltonian.
Table 2:
Rotational (de)excitation cross-sections (in
)
of o-H2O calculated with different basis sets: (1) a complete B(6,2) basis set, (2) a B*(6,4)[all, all, 5] basis set with an incomplete ladder in j2=4, (3) a B*(9,4)[10, 10, 5] basis set with incomplete ladders for j2=0,2,4. The transitions are labelled by the quantum numbers
(j2-j'2) where primes are final states.
Table 3:
Summary of the sets of state-to-state (STSR)
and effective rate coefficients (ER)
available in BASECOL. Column 1 labels the set of state-to-state rate coefficients.
(K) and
(K) indicate the lowest and highest temperatures
at which calculations and fits have been performed for the relevant sets of data. The column ``Transition'' indicates the number of levels among which rate coefficients are provided. T1, T2, T3, T4 indicate the expected accuracy: T1 for the 20 first levels of o-H2O, T2 from the 21st to the 30th level, T3 from the 31st to the 40th, T4 from the 41st to the 45th. A1 means ``20% at most for the most significant rates, i.e. larger than 10-14'', A2 means ``not good but contribute only 4% to effective rate coefficients'', the notation X(Z)Y means X% accuracy below a temperature of T = Z Kelvin and Y% accuracy above T = Z Kelvin.
Table 4: Labels of first and last de-excitation transitions from a given level (as given in Table 1). This table is the key for reading the figures giving ratios of rate coefficients as a function of transitions labels.
Table 5: Unnormalized population of the rotational states of p-H2 relative to j2 = 0, at different temperatures and assuming thermodynamic equilibrium.
Table 6: Quantum numbers of levels involved in the transitions of Fig. 5 a), b), c) overestimated by QCT calculations. Primes indicate quantum numbers of the final states.
Table 7: Levels involved in some of the transitions largely underestimated by scaled He calculations and to a lesser extent by QCT calculations at 100 K. We provide ratios of averaged CC rate coefficients over QCT and scaled He calculations at 100 K, as well as the values of the corresponding averaged CC rate coefficients (in cm3 s-1).
Table 8: Ratios of the 5 effective de-excitation rate coefficients of Phillips et al. (1996) over our averaged rate coefficients (1st line) for o-H2O with p-H2. The ratios of Phillips et al.'s results over our effective rate coefficients (Eq. (3)) for j2=0 for o-H2O with para-H2 are given on every second line.
All Figures
| |
Figure 1:
State-to-state rate coefficients (cm3 s-1) of the 330 to 110 transition of o-H2O as a function of temperature (Kelvin). The full line indicates the state-to-state rate coefficients for
|
| Open with DEXTER | |
| In the text | |
![]() |
Figure 2:
Ratios of effective de-excitation rate coefficients (Eq. (3))
for the first 10 levels of o-water and for temperatures ranging from 20 K to 1600 K. Black lines give the ratios
|
| Open with DEXTER | |
| In the text | |
![]() |
Figure 3:
Ratios of effective de-excitation rate coefficients (Eq. (3))
|
| Open with DEXTER | |
| In the text | |
![]() |
Figure 4: Ratios of CC averaged de-excitation rate coefficients (Eq. (4)) of o-H2O with p-H2 over QCT calculations of Faure et al. (2007) as a function of the CC averaged de-excitation rate coefficients of o-H2O with p-H2 (in cm3s-1). |
| Open with DEXTER | |
| In the text | |
![]() |
Figure 5: Comparison of de-excitation rate coefficients (in cm3 s-1) at T=800 K from the a) 514, b) 716, c) 918 and d) 625 levels of o-water. The full lines (with circles) correspond to our CC averaged rate coefficients (Eq. (4) as explained in the text), the dashed lines to the set of de-excitation rate coefficients of Faure et al. (2007), the dotted lines to the scaled He rate coefficients of Green et al. (1993). The abscissae correspond to the index of the transition with quantum numbers indicated in Table 6. |
| Open with DEXTER | |
| In the text | |
![]() |
Figure 6: Ratios of effective de-excitation rate coefficients (Eq. (3)) of o-H2O with H2(j2=0) over scaled water-He rate coefficients (in cm3 s-1) (Green et al. 1993) as a function the CC averaged de-excitation rate coefficients of o-H2O with p-H2 (in cm3 s-1). |
| Open with DEXTER | |
| In the text | |
![]() |
Figure 7: Ratios of CC averaged de-excitation rate coefficients (Eq. (4)) of o-H2O with p-H2 over data sets published by Faure et al. (2007) as a function the CC averaged de-excitation rate coefficients of o-H2O with p-H2 (in cm3 s-1). These data sets include both the quasi-classical calculations (crosses in squares) and scaled water-He rate coefficients (crosses without squares) published in Faure et al. (2007). |
| Open with DEXTER | |
| In the text | |
![]() |
Figure 8: Ratios of CC averaged de-excitation rate coefficients (Eq. (4)) of o-H2O with p-H2 over the set of rate coefficients published by Faure et al. (2007) (black line) and over scaled He rate coefficients of (Green et al. 1993) (red line) for all 990 de-excitation transitions from the first 45 levels of o-water at a temperature of 100 K. The abscissae indicate the labeling of the de-excitation transitions as indicated in Table 4. |
| Open with DEXTER | |
| In the text | |
![]() |
Figure 9: Ratios of CC averaged de-excitation rate coefficients (Eq. (4)) of o-H2O with p-H2 over the set of rate coefficients published by Faure et al. (2007) (black line) and over scaled He rate coefficients of Green et al. (1993) (red line) given for the first 45 de-excitation transitions from the first 10 levels of o-water, for temperatures ranging from 200 K to 1600 K. The abscissae indicate the labeling of the de-excitation transitions as indicated in Table 4. |
| Open with DEXTER | |
| In the text | |
![]() |
Figure 10: Ratios of CC averaged de-excitation rate coefficients (Eq. (4)) of o-H2O with p-H2 over the set of rate coefficients published by Faure et al. (2007) (black line) and over scaled He rate coefficients of Green et al. (1993) (red line) for the 46th to the 105th de-excitation transitions from the first 15 levels of o-water for temperatures ranging from 200K to 1600 K. The abscissae indicate the labeling of the de-excitation transitions as indicated in Table 4. |
| Open with DEXTER | |
| In the text | |
![]() |
Figure 11: Ratios of CC averaged de-excitation rate coefficients (Eq. (4)) of o-H2O with p-H2 over the set of rate coefficients published by Faure et al. (2007) (black line) and over scaled He rate coefficients of Green et al. (1993) (red line) for the 191st to the 300th de-excitation transitions from the first 25 levels of o-water for temperatures ranging from 200 K to 1600K. The abscissae indicate the labeling of the de-excitation transitions as indicated in Table 4. |
| Open with DEXTER | |
| In the text | |
![]() |
Figure 12: Ratios of CC averaged de-excitation rate coefficients (Eq. (4)) of o-H2O with p-H2 over the set of rate coefficients published by Faure et al. (2007) (black line) and over scaled He rate coefficients of Green et al. (1993) (red line) for the 596th to the 780th de-excitation transitions from the first 35 levels of o-water for temperatures ranging from 200 K to 1600 K. The abscissae indicate the labeling of the de-excitation transitions as indicated in Table 4. |
| Open with DEXTER | |
| In the text | |
![]() |
Figure 13: Ratios of CC averaged de-excitation rate coefficients (Eq. (4)) of o-H2O with p-H2 over the set of rate coefficients published by Faure et al. (2007) (black line) and over scaled He rate coefficients of Green et al. (1993) (red line) for the 781st to the 990th de-excitation transitions from the first 35 levels of o-water for temperatures ranging from 200 K to 1600 K. The abscissae indicate the labeling of the de-excitation transitions as indicated in Table 4. |
| Open with DEXTER | |
| In the text | |
Copyright ESO 2009
Current usage metrics show cumulative count of Article Views (full-text article views including HTML views, PDF and ePub downloads, according to the available data) and Abstracts Views on Vision4Press platform.
Data correspond to usage on the plateform after 2015. The current usage metrics is available 48-96 hours after online publication and is updated daily on week days.
Initial download of the metrics may take a while.






.
The lines in parts a) and b) are calculated with a B*(6, 4)[all, all, 5] basis set. Part b) also shows rate coefficients obtained with a B(6, 2) basis set (squares and diamonds) at low temperature.![\begin{figure}
\par\includegraphics[width=15cm,clip]{0680fig2.eps}
\end{figure}](/articles/aa/full_html/2009/15/aa10680-08/Timg65.png)
![\begin{figure}
\par\includegraphics[width=14cm,clip]{0680fig3.eps}
\end{figure}](/articles/aa/full_html/2009/15/aa10680-08/Timg66.png)
![\begin{figure}
\par\includegraphics[width=13cm,clip]{0680fig4.eps}
\end{figure}](/articles/aa/full_html/2009/15/aa10680-08/Timg77.png)
![\begin{figure}
\par\includegraphics[width=13cm,clip]{0680fig5.eps}
\end{figure}](/articles/aa/full_html/2009/15/aa10680-08/Timg78.png)
![\begin{figure}
\par\includegraphics[width=13.9cm,clip]{0680fig6.eps}
\end{figure}](/articles/aa/full_html/2009/15/aa10680-08/Timg82.png)
![\begin{figure}
\par\includegraphics[width=13.9cm,clip]{0680fig7.eps}
\end{figure}](/articles/aa/full_html/2009/15/aa10680-08/Timg83.png)
![\begin{figure}
\par\includegraphics[width=14cm,clip]{0680fig8.eps}
\end{figure}](/articles/aa/full_html/2009/15/aa10680-08/Timg84.png)
![\begin{figure}
\par\includegraphics[width=14cm,clip]{0680fig9.eps}
\end{figure}](/articles/aa/full_html/2009/15/aa10680-08/Timg85.png)
![\begin{figure}
\par\includegraphics[width=14cm,clip]{0680fig10.eps}
\end{figure}](/articles/aa/full_html/2009/15/aa10680-08/Timg86.png)
![\begin{figure}
\par\includegraphics[width=14cm,clip]{0680fig11.eps}
\end{figure}](/articles/aa/full_html/2009/15/aa10680-08/Timg87.png)
![\begin{figure}
\par\includegraphics[width=14cm,clip]{0680fig12.eps}
\end{figure}](/articles/aa/full_html/2009/15/aa10680-08/Timg88.png)
![\begin{figure}
\par\includegraphics[width=14cm,clip]{0680fig13.eps}
\end{figure}](/articles/aa/full_html/2009/15/aa10680-08/Timg89.png)
