| Issue |
A&A
Volume 497, Number 3, April III 2009
|
|
|---|---|---|
| Page(s) | 703 - 711 | |
| Section | Extragalactic astronomy | |
| DOI | https://doi.org/10.1051/0004-6361/200811081 | |
| Published online | 05 March 2009 | |
Star complexes and stellar populations in NGC 6822
Comparison with the Magellanic Clouds
A. Karampelas1 - A. Dapergolas2 - E. Kontizas2 - E. Livanou1 - M. Kontizas1 - I. Bellas-Velidis2 - J. M. Vílchez3
1 - Department of Astrophysics, Astronomy & Mechanics,
Faculty of Physics, University of Athens, 15783 Athens, Greece
2 -
Institute for Astronomy and Astrophysics, National
Observatory of Athens, PO Box 20048, 11810 Athens, Greece
3 -
Instituto de Astrofísica de Andalucía (CSIC),
Apartado 3004, 18080 Granada, Spain
Received 3 October 2008 / Accepted 27 January 2009
Abstract
Aims. The star complexes (large scale star forming regions) of NGC 6822 were traced and mapped and their size distribution was compared with the size distribution of star complexes in the Magellanic Clouds (MCs). The spatial distributions of different age stellar populations were compared with each other.
Methods. The star complexes of NGC 6822 were determined by using the isopleths, based on star counts, of the young stars of the galaxy, using a statistical cutoff limit in density. In order to map them and determine their geometric properties, an ellipse was fitted to each distinct region satisfying this minimum limit. The Kolmogorov-Smirnov statistical test was used to study possible patterns in their size distribution. Isopleths were also used to study the stellar populations of NGC 6822.
Results. The star complexes of NGC 6822 were detected and a list of their positions and sizes was produced. Indications of hierarchical star formation, in terms of spatial distribution, time evolution and preferable sizes were found in NGC 6822 and the MCs. The spatial distribution of the various age stellar populations has indicated traces of an interaction in NGC 6822, dated before 350
50 Myr.
Key words: galaxies: stellar content - galaxies: structure - galaxies: individual: star complexes
1 Introduction
Stars are considered to be born inside stellar groupings, the lowest
in size being OB associations. Bigger groupings, containing star
clusters, OB associations, HII regions and individual bright stars,
are star complexes, with an age of up to
100 Myr (Efremov 1978, 1979). Star complexes seem to be part of a continuous star
formation hierarchy, in which stars form in hierarchically clustered
systems from sub-parcec to kiloparcec scales, following the
hierarchical distribution of the gas (Elmegreen & Efremov 1996).
The study of the positions and ages of Cepheid variables in the
Large Magellanic Cloud (Elmegreen & Efremov 1996) and star clusters
of the same galaxy (Efremov & Elmegreen 1998) results in the
finding that star formation is not only hierarchical in space, but
in time as well. Larger star forming regions have higher average
ages than smaller regions, forming stars over a longer period. The
above suggestions (hereafter the Efremov & Elmegreen model) are
confirmed in subsequent studies of the Large Magellanic Cloud
(Maragoudaki et al. 1998; Livanou et al. 2006) and the Small
Magellanic Cloud (Maragoudaki et al. 2001; Livanou et al. 2007).
According to their sizes, star complexes are empirically divided
(Efremov 1987; Maragoudaki et al. 1998; Livanou et al. 2007) into
stellar aggregates, stellar complexes and stellar supercomplexes,
with sizes from 150 pc to 300 pc, 300 pc to 1 kpc and greater than 1 kpc, respectively. Their properties seem to be universal, revealing
their importance in studies of star formation in galaxies and in
galaxy evolution.
NGC 6822 is a Local Group dwarf irregular galaxy, discovered by Barnard in 1884. It is located in a relatively isolated position of the Local Group of Galaxies, being a member of the so-called ``Local Cloud'' of dwarf Irregulars (Mateo 1998), at a distance of 500 kpc. The general properties of NGC 6822 are given in Table 1.
The stellar content of NGC 6822 forms a stellar halo extended more
than one degree, with the young population in a bar-like structure
(PA
10
,
Hodge 1977) and the old population
elliptically distributed (Demers et al. 2006). The star formation
rate (SFR) of NGC 6822 is supposed to have been relatively low and
constant during the past, but increased recently, especially in the
bar. Gallart et al. (1996b) argue for an increasing SFR during the
last 400 Myr in comparison to the past, which is more obvious for
the last 100-200 Myr, mainly in the bar, while Wyder (2001) detects
the beginning of this increase back to 600 Myr. Furthermore, Hodge
(1980) has discovered an increased star cluster formation rate
during the last 75-100 Myr and Skillman et al. (1989) traced a low value of
the N/O ratio, which is characteristic of low metallicity, active
star forming dwarf galaxies.
Almost vertical to the elliptical structure of the old stellar
population lies the highly disturbed elongated disk of atomic
hydrogen (PA
130
,
Weldrake et al. 2003). The most
striking features of the gas disk are the 1 kpc-size giant hole
(Hodge et al. 1991; de Blok & Walter 2000), the SE tidal arm and
the NW cloud (de Blok & Walter 2000). An upper limit of 130 Myr is
set for the kinematical age of the giant hole, while the same
quantity is estimated for the tidal arm to be around 140 Myr (de Blok & Walter 2003, 2006).
The NW cloud is considered by de Blok & Walter (2000, 2006) to be a companion galaxy of NGC 6822. This ``companion'' galaxy together with NGC 6822 are thought by the same authors to be involved in an interaction scenario over the last 300 Myr, giving a possible explanation for the recent Star Formation excess described above, since a strong interaction is unlikely due to the isolation of NGC 6822. The same argument is used by Weldrake et al. (2003) against a cuspy dark matter halo in NGC 6822. However, Valenzuela et al. (2007) argue that the rotation curve of this galaxy is consistent with a cuspy dark matter halo.
On the other hand, the vertical arrangement of the old stellar population of NGC 6822 relative to the gas disk and their different kinematical properties, lead to the possibility of NGC 6822 being a polar ring galaxy (Demers et al. 2006). For the formation of polar rings strong interactions are required. The strong interaction necessary for NGC 6822 to become a Polar Ring galaxy is placed by the same authors well before 500 Myr.
The structure of this paper is as follows: Sect. 2 provides a description of the data we used. Section 3 contains the steps for the detection of star complexes of NGC 6822, while Sect. 4 deals with the size distribution of these complexes and provides a comparison with the Magellanic Clouds. Section 5 refers to the spatial distribution of the different age stellar populations of NGC 6822. Discussion and conclusions are in Sects. 6 and 7, respectively.
Table 1: General properties of NGC 6822.
2 Data
![]() |
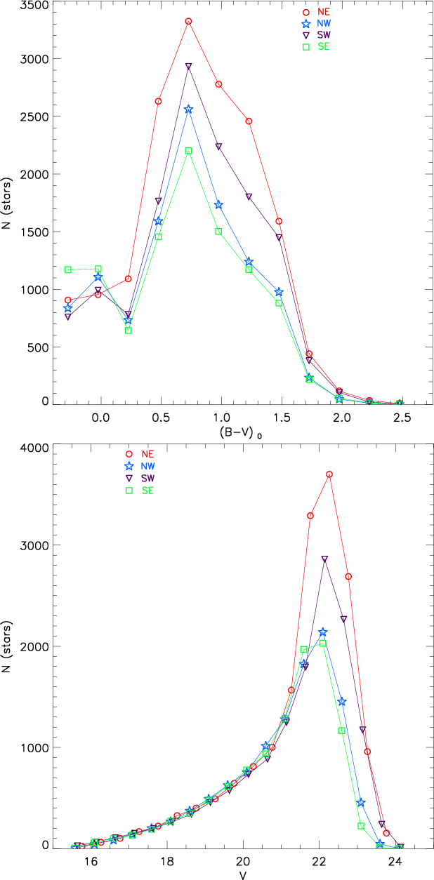
Figure 1: Upper: distribution of the colour of the stars according to their relative location in the camera. Lower: luminosity function of the stars according to their relative location in the camera. |
| Open with DEXTER | |
![]() |
Figure 2: Upper: CMD diagram of NGC 6822 and photometric uncertainties in colour and magnitude of 30 stars randomly selected from the stellar catalogue. The rectangle includes the young stellar population that was used for the detection of star complexes, and its characteristic theoretical isochrones. Lower: detected star complexes of NGC 6822 (ellipses) plotted over the isopleths of the surface stellar density map of the young stars. |
| Open with DEXTER | |
We used the NGC 6822 stellar catalogue from the ``Local Group Survey''
project (Massey et al. 2007), available on the web
(ftp://ftp.lowell.edu/pub/massey/lgsurvey), based on observations
using the 4-m Blanco telescope (CTIO). The catalogue includes
position and UBVRI magnitudes of 51 877 stars observed in, at least,
the B, V and R bands. The camera consists of eight
CCDs, forming a
mosaic. The Field of View is about
,
while the scale is
pixel-1. Consequently,
the stellar catalogue covers the vast majority of the large scale
structures of NGC 6822.
However, exposures with different point-spread function (PSF) and chip-to-chip PSF variations and color responses (Massey et al. 2006), may give an erroneous spatial distribution. Therefore, we divided the catalogue of stars in four subgroups according to their relative location in the camera and produced their distribution both in colour and magnitude (Fig. 1). Indeed, it appears that the detection of red and faint stars is not homogeneous across the field of the galaxy, being more efficient in the NE and SW areas of the camera. This has to be taken into account where comparing the spatial distribution of different stellar populations. On the contrary, there is no such effect in the blue and bright stars used to determine the star complexes.
The CMD diagram of NGC 6822 is shown in Fig. 2. Thirty stars were randomly selected from the stellar catalogue to illustrate the photometric uncertainties. For the majority of the stars the uncertainties are very low. However, there are considerable uncertainties in the determination of magnitude and colours of some stars, especially in the faint part of the CMD (see also Table 14 in Massey et al. 2007). Finally, the luminosity function of the stars according to their relative location in the camera (Fig. 1) provides an estimation of the completeness of the data. The stellar catalogue is quite complete until V = 22.
3 Determination of star complexes
The colour-magnitude diagram (CMD) of NGC 6822 was constructed using
the ``Local Group Survey'' stellar catalogue and adopting the values
of 23.49 mag for the distance modulus (Gallart et al. 1996a) and 0.25
mag for the reddening (Massey et al. 2007). In order to select young
main sequence stars with an age of no more than about 100 Myr to
study star complexes, there is a need for colour and magnitude
cutoff limits to define a proper selection slice of the CMD. After
properly fitting theoretical isochrones (Girardi et al. 2002) of
Z = 0.004 to the main sequence, we adopted the ranges
and
for the magnitude and the
colour, respectively. The CMD diagram of NGC 6822, with the selected
slice and its characteristic theoretical isochrones are shown in
Fig. 2. In the same figure the photometric
uncertainties are illustrated by the colour and magnitude error bars
of 30 stars randomly selected from the stellar catalogue (see
Sect. 2).
In order to properly use our data to identify the star complexes, we
produced a stellar density map of the young stars of NGC 6822, which
was constructed by counting stars in bins of
(
pc2)
and by applying a
(
)
mean-smoothing. The
binning mentioned above was chosen after several tests as the best
compromise between spatial resolution and statistical significance.
To detect the star complexes of NGC 6822 we computed a density
background. By using the pixels of the density map with a value
greater than zero we localize the background calculation so as to be
characteristic of the star formation and to avoid areas outside the
galaxy which artificially lower the background value. The
calculation of the background was carried out by using the
-clipping method with respect to the median value. The
median and standard deviation values are initially computed for all
the (non zero) pixels. Then, pixels with values higher than
are excluded and median and
are
recalculated. This procedure continues until convergence, usually
after very few iterations. The final
value is
considered to be the minimum density cutoff limit.
In order to map the star complexes of NGC 6822, we fitted ellipses
to the external isopleth of each distinct structure or substructure
above the minimum density cutoff limit. The isopleths were drawn
from this limit to the maximum value of the density map with a step
of one
and a density range of more than two
,
to
avoid the selection of random or controversial concentrations. In
some cases optimization led us to the compromise of taking into
account two subsequent isopleths to fit an ellipse. In Fig. 2 the ellipses that represent the star complexes of
each galaxy are overplotted on the isopleths. The center coordinates
and major axis length of the ellipses are considered to be the
position and size of the star complexes they outline, respectively.
Table 2 lists the center coordinates
(
,
)
and the size of each one of the
detected star complexes of NGC 6822, sorted in descending order of
the right ascension. They are conventionally named NGC6822-SC-i,
where SC stands for Star Complex and i ranges from 1 to 24.
Figure 3 shows the spatial distribution of young
main sequence stars of different maximum age, ranging from 40 Myr to
100 Myr in time bins of 15 Myr. The last plot shows the ellipses
outlining the detected star complexes of NGC 6822. Structures
younger than
55 Myr are clearly less extended than structures
containing stars with ages up to
100 Myr.
Table 2: List of NGC 6822 detected star complexes, in descending order of right ascension.
4 Size distribution of star complexes - comparison with the Magellanic Clouds
Since the star complexes have been detected, what is examined next
is the distribution of their size (as it was defined in Sect. 3).
In Fig. 4 the histogram of the size distribution of
detected star complexes of NGC 6822 is shown, with the same plots
for the Large Magellanic Cloud (Maragoudaki et al. 1998; Livanou et al. 2006), based on optical observations, and the Small Magellanic
Cloud (Livanou et al. 2007), based on infrared observations, with a
common bin size of 100 pc. A few regions of the MCs with size >900 pc have been excluded for reasons of homogeneity and statistical
significance. The MCs were chosen for comparison for two reasons:
(a) they are our nearest neighbors in the Local Group and
their star complexes are well investigated, and (b) these
complexes were detected, in principal, with the same method we use
in this paper. In Fig. 5 the sizes of the detected
star complexes of NGC 6822 and the MCs are presented, sorted in
ascending order. The error for each size value was assumed to be
10% of this value for NGC 6822 (this work) and the Magellanic
Clouds (Livanou et al. 2006, 2007). These plots aim to contribute in
a supplementary way to the histograms described above, since they
could better reveal the limits, if any, between different size
groups. When carefully observing these diagrams, two main size
groupings can be distinguished for the three galaxies. The first
group ranges from
150 pc to 300-400 pc and the second up to
800 pc. We refer to them as Group I and Group II. In order to
investigate whether these size groupings are indicative of
preferable size ranges of star formation in these galaxies, we
compared them statistically.
If an apparently distinct group is indeed distinct, it is assumed that the size values it contains should be distributed in a uniform random way. Similarly, if we combine two true distinct groups, which are self-characterized by a uniform random distribution (UR), their combination should not be characterized by this property any longer. If it could maintain this property, then these two groupings would actually be one, in contradiction with the hypothesis that they are two different groups. So, we compared the two main apparent groupings and their combination with an equal number of uniformly random size values, limited to the same range, for NGC 6822 and the Magellanic Clouds. The comparison was repeated a thousand times to limit the impact of some possible extreme cases of random distributions.
Having to compare two equally unknown data sets of continuous data as a function of a single variable (the size), the two-tailed Kolmogorov-Smirnov (K-S) test is the most appropriate. The Null Hypothesis is that the two data sets are drawn from the same distribution. We performed these tests and compared the mean value of the significance level for each pair. Low values of this probability indicate that the two data sets are significantly different, while high values indicate that they are probably consistent with a single distribution. The results for NGC 6822 and the Magellanic Clouds are listed in Table 3.
As an extra control and verification of the procedure described
above we did the following: (a) we compared two uniform
random distributions a thousand times to check the mean value of the
significance level, which was
.
This can be considered as a
satisfactory value for two data sets, one being random, of being
drawn from the same distribution; (b) we cut the first
grouping of the LMC in half and found no consistency between these
sub groupings (
significance level). This is a sufficient
indicator of restriction to the apparent size groupings.
The derived values of significance levels show that the apparent
size groupings of the detected star forming regions could be real
distinct groupings: when we compare the size values of Group I with
an equal number of uniformly random size values, limited to the same
range, they seem to be drawn from the same distribution. Similarly,
when we compare the size values of Group II with the corresponding
uniform random size values, again the null hypothesis seems to be
correct. This is not the case when we consider Group I and Group II
as one group and compare them with the corresponding uniform random
distribution. Note that Group I is considered to range up to
300-350 pc for NGC 6822 and up to
350-400 pc for the MCs.
Trials of the Kolmogorov-Smirnov test close to these limits do not
change the results significantly. This difference in the upper limit
of the first Group between NGC 6822 and the MCs could be due to
selection effects (optical or infrared data) and size determination
uncertainties.
![]() |
Figure 3: Spatial distribution of young Main Sequence stars of different maximum age. The last plot shows the ellipses outlining the detected star complexes of NGC 6822 (Table 2). |
| Open with DEXTER | |
![]() |
Figure 4: Histograms of the size distribution of detected star forming regions of NGC 6822 and the Magellanic Clouds, with a bin size of 100 pc. |
| Open with DEXTER | |
5 Stellar populations
As described in Sect. 3, a proper selection of the young (age
100 Myr) MS stars from the CMD allowed us to produce the
spatial distribution of the star complexes and determine them to
further investigate some of their geometrical properties. Proceeding
the same way, we selected stellar populations of various ages to
compare their spatial distribution. The final selection was the
result of several tests aiming to trace differences in the spatial
distribution of stellar populations, and to cover the most important
features of the Colour-Magnitude Diagram, like the Main Sequence and
the Red Giant Branch. Figure 6 shows the selected
regions from the CMD outlined on it. The overplotted 300, 350 and
400 Myr theoretical isochrones are used to illustrate the separation
between the young and the older populations of NGC 6822 (see also
Fig. 7). Table 4 lists the colour,
magnitude and age limits and the dominant stellar component of the
selected CMD slices.
Following the steps described in Sect. 3, density maps were
constructed by counting stars in bins of
and by applying a
mean-smoothing. Isopleths were drawn for densities higher than the
background level, computed using the
-clipping method
relative to the median value. Figure 7 quotes the
spatial distribution of the different stellar populations.
![]() |
Figure 5: Sizes of the detected star forming regions of NGC 6822 and the Magellanic Clouds, sorted in ascending order. |
| Open with DEXTER | |
The slices I, III and V, containing young stars with an age of less
than roughly 400 Myr, present the characteristic N-S bar-like
structure of the young stellar content of NGC 6822. On the other
hand, the slices II, VI and IX, containing older stars with an age
of more than roughly 300 Myr, present the characteristic NE-SW
ellipsoidal spatial distribution of the old stellar content of NGC
6822. This leads to a subdivision of the stellar populations of this
galaxy into two different stellar components, according to their
spatial distribution. The first one contains stars younger than 350
50 Myr, while the second one contains stars older than this
age. In Fig. 2, the theoretical isochrones of
300, 350 and 400 Myr illustrate this subdivision. Finally, slices
IV, VII and VIII are dominated by background stars of our Galaxy and
they do not have an adequate number of NGC 6822 stars to produce any
particular structure.
After observing the elliptical spatial distributions of slices II, VI and IX, it is clear that there are two distinct components in the NE and SW regions of the camera, even though old populations are supposed to be dominated by the long-lasting effects of stellar mixing, resulting in smooth features. This is due to the fact that red and faint stars are expected to appear mainly in the NE and SW regions of the camera due to variations of the PSF and the color responses, affecting the spatial distribution, as it was mentioned in Sect. 2. Nevertheless, the general direction of the old stellar ellipse is probably unaffected, being in agreement with the Red Giants' distribution found by Demers et al. (2006).
6 Discussion
6.1 Hierarchical star formation
Table 3: Significance levels (%) of the Kolmogorov-Smirnov test for NGC 6822 and the Magellanic Clouds.
The spatial distribution of the star complexes of NGC 6822, which
have been detected as described above, seem to follow the
hierarchical star formation scenario, in terms of the distribution
of star forming regions in space and their evolution in time. Star
complexes are mainly found inside larger star complexes (Fig. 2). Additionally, structures younger than
55 Myr are clearly less extended than structures containing stars with
age up to
100 Myr (Fig. 3). These
findings are in agreement with the Efremov & Elmegreen model, where
star complexes are part of a continuous star formation hierarchy,
following the hierarchical distribution of the gas (Elmegreen &
Efremov 1996), and star formation proceeds slower in larger star
forming regions than in smaller ones (Elmegreen & Efremov 1996;
Efremov & Elmegreen 1998). Similar conclusions were drawn from
previous studies of the LMC (Maragoudaki et al. 1998; Livanou et al.
2006) and the SMC (Maragoudaki et al. 2001; Livanou et al. 2007).
However, it is not clear from this study whether the first group of
detected star complexes, extended from
150 pc to
300-400 pc, is characterized by lower average ages than the second
one, extended from
400 pc to
800 pc. Nevertheless, it
is clear that younger star forming regions are found to be more
concentrated than older ones.
![]() |
Figure 6: The regions of the colour-magnitude diagram of NGC 6822 selected to study the respective stellar populations, and the 300, 350 and 400 Myr theoretical isochrones that roughly separate the young and the older populations of NGC 6822. |
| Open with DEXTER | |
![]() |
Figure 7: Spatial distribution of different stellar populations of NGC 6822. Upper: from left to right, CMD regions I, II and III. Middle: from left to right, CMD regions IV, V and VI. Lower: from left to right, CMD regions VII, VIII and IX. |
| Open with DEXTER | |
Moreover, the presence of distinct groupings favors the existence of hierarchical star formation, in terms of preferable sizes, in NGC 6822 and the Magellanic Clouds. There is probably consistency with the empirically extracted hierarchy of stellar aggregates, stellar complexes and stellar supercomplexes, within a small range in the size limits between the first two groupings. From the lower scale groupings to the higher, size range increases while the number of star complexes decreases. This conclusion refers to young stellar structures and it remains to be tested also for the smallest ones (OB associations). These structures were not found due to resolution restriction of the observations. If the above scheme is correct and OB associations consist of another distinct group, it could be assumed that they would span a narrower size range and they would contain many more members. Both have been confirmed observationally in the MCs (Livanou 2007, Ph.D. Thesis).
Assuming that there are preferable size groupings, it is quite clear that they cannot be detected easily from the histograms of the size distribution of star complexes, especially in the case of the LMC. This is not surprising, since there is usually a kind of arbitrariness in selecting the histogram's bins and binning is itself a loss of information. What they can offer most is to indicate the peak values of the size distributions. On the other hand, diagrams with sizes sorted in ascending order together with the Kolmogorov-Smirnov statistical test, seem capable of visualizing groupings, stochastically study their self-consistency and reveal their limits, providing both a qualitative and quantitative approach. Having carried out this procedure, histograms of the size distribution of detected star complexes could be re-examined. For example, the controversial LMC bimodal structure (Fig. 4) with its peaks centered on 550 pc and 750 pc is probably real.
A few very large structures with size >900 pc were also found in the MCs, three of them in the LMC and five in the SMC. Such structures were not found in NGC 6822. Whether this is related to some particular property of the galaxies is not clear from this investigation.
Table 4: Colour, magnitude and age limits and dominant stellar component of the selected colour-magnitude diagram regions.
6.2 A possible strong interaction
The examination of how the different stellar populations are distributed in space reveals two different structures: the N-S bar-like structure of young stars and the NE-SW elliptical structure of the old stars. The non-similar spatial distribution of young and old stars has been pointed out by previous studies (Hodge 1977; de Blok & Walter 2003; Komiyama et al. 2003; Battinelli et al. 2003; Demers et al. 2006). What is not commented on is the poor likelihood of a smooth transition from the younger structure to the older one by stellar dissemination. In a quiescent and undisturbed galaxy, one would expect that the stars, after their creation, would drift and/or participate in the expansion of the OB associations in which they were born. This would probably result in an old population including the observed star forming regions. In the case of NGC 6822, star formation is taking place on a large scale, along the north-south direction. The extended old stellar component, however, does not include the star forming regions, but it has a rather different alignment. This probably means that the huge young structure is too young to have already produced an old ``halo'' around it. This very recent and spatially extended star formation, together with the presence of the highly perturbed gas disk, bring up the possibility of a past strong event (Demers et al. 2006). A merging event is a reasonable scenario, given the lack of a nearby massive galaxy to NGC 6822 which could tidally disrupt it after one or more close encounters. Such an event could be responsible for the excess of the recent star formation and the asymmetric gas disk.
Whatever its nature, a strong interaction could have many
consequences for our current understanding of NGC 6822. The
interaction scenario between NGC 6822 and the NW Cloud (de Blok &
Walter 2000, 2006) could be insufficient to explain such large
differences between the young and the old stellar populations. The
mass of the Cloud is
(de Blok &
Walter 2000), only 5 % of the total observed baryonic mass of NGC
6822 (
,
Weldrake et al. 2003). The
suggestion that the Cloud is a separate galaxy has to be treated
with caution. One of the main arguments supporting this is that the
NW half of atomic hydrogen contains 20% more mass than the SE half,
as measured with respect to a minor axis passing through the
geometrical center. This was based on the assumption of an
intrinsically symmetric gas disk (de Blok & Walter 2000). However,
from the same work it is revealed for the first time that the gas
disk of NGC 6822 is highly perturbed. Additionally, if NGC 6822 has
undergone a strong interaction in the past, the assumption of a
symmetric gas disc could be questionable. Whether this gas Cloud is
a separate galaxy needs further investigation. The indication of a
strong past interaction also strengthens the argument of NGC 6822
being a Polar Ring galaxy (Demers et al. 2006), as it provides the
most important prerequisite for its formation.
The young large scale structure of NGC 6822 (Fig. 7)
is associated with stars younger than 350
50 Myr, while the
old large scale structure (which is misaligned with respect to the
young one) is associated with stars older than 350
50 Myr,
dating the possible strong interaction before that time. This
timescale is in satisfactory agreement with the timescales of the
increase of the recent SFR and the formation of the tidal gas
features (see Introduction). Furthermore, Demers et al. (2006) place
the strong interaction necessary for the formation of the Polar Ring
well before 500 Myr. The validity of the 350
50 Myr timescale
is also confirmed by the fact that the stars of NGC 6822 probably
need 400 Myr or even 500-600 Myr to mix (Wyder 2001). Thus, the time
limit between the young and the old large scale structures is
probably unbiased by stellar mixing.
Although from the present study there are indications that NGC 6822 could have undergone a strong and not a weak interaction in the past, it is not possible to derive certain conclusions from our data. Further investigation is needed to obtain a more definite answer.
7 Conclusions
We used the ``Local Group Survey'' stellar catalogue of NGC 6822 to identify its star complexes. These regions were detected from the isopleths based on counts of the young stars above a statistical cutoff limit, resulting in a list of the positions and sizes of star complexes.
Indications of hierarchical star formation were found in NGC 6822,
in terms of spatial distribution and time evolution. Star complexes
are mainly found inside larger star complexes, and younger star
forming structures are clearly less extended than the older ones.
These findings add support to the Efremov & Elmegreen model
(Elmegreen & Efremov 1996; Efremov & Elmegreen 1998), where star
complexes are part of a continuous star formation hierarchy,
following the hierarchical distribution of the gas, and star
formation proceeds more slowly in larger star forming regions than
in smaller ones. Additionaly, indications of hierarchical star
formation in terms of preferable sizes of the star complexes were
found in NGC 6822 and the Magellanic Clouds. The diagrams of the
sizes of all the detected star complexes of NGC 6822 and the
Magellanic Clouds, sorted in ascending order, were used along with
the two-tailed Kolmogorov-Smirnov statistical test to search for
different size groups: two main groups were identified, the first
one ranging from
150 pc to
300-400 pc and the second
up to
800 pc. This is probably consistent with the
empirically extracted hierarchy of stellar aggregates, stellar
complexes and stellar supercomplexes. The smallest size groups, like
OB associations, remain to be tested as to whether they form a
distinct group.
The large scale structures of the NGC 6822 galaxy were studied by
selecting stellar populations of various ages from the
colour-magnitude diagram and projecting their stellar content in
space. It was found that the old population does not contain the
young one, but rather they form two distinct structures rotated in
position angle. A possible strong interaction could explain this
misalignment and, given that NGC 6822 is relatively isolated in
space, a merging event could be considered as a reasonable scenario.
The traces of the possible strong interaction on the spatial
distribution of the stellar populations date to before 350
50 Myr, in agreement with the recent star formation excess of this
galaxy.
Acknowledgements
We are grateful to the anonymous referee for comments and suggestions that significally improved this paper. This work was supported by the Special Account for Research Grants of the National and Kapodistrian University of Athens. We would like to thank the Local Group Survey Team for publicly releasing their data. We are also grateful to C. Gallart (Instituto de Astrofísica de Canarias, La Laguna, Spain) who kindly offered her data for tests.
References
- Battinelli, P., Demers, S., & Letarte, B. 2003, A&A, 405, 563 [NASA ADS] [CrossRef] [EDP Sciences] (In the text)
- de Blok, W. J. G., & Walter, F. 2000, ApJ, 537, L95 [NASA ADS] [CrossRef]
- de Blok, W. J. G., & Walter, F. 2003, MNRAS, 341, L39 [NASA ADS] [CrossRef]
- de Blok, W. J. G., & Walter, F. 2006, AJ, 131, 343 [NASA ADS] [CrossRef]
- Demers, S., Battinelli, P., & Kunkel, W. E. 2006, ApJ, 636L, 85 [NASA ADS] [CrossRef] (In the text)
- Elmegreen, B. G., & Efremov, Yu. N., 1996, ApJ, 466, 802 [NASA ADS] [CrossRef] (In the text)
- Efremov, Yu. N. 1978, PAZh, 4, 125 [NASA ADS] (In the text)
- Efremov, Yu. N. 1979, PAZh, 5, 21 [NASA ADS]
- Efremov, Yu. N. 1987, Ap&SS, 135, 119 [NASA ADS] [CrossRef] (In the text)
- Efremov, Yu. N., & Elmegreen, B. G., 1998, MNRAS, 299, 588 [NASA ADS] [CrossRef] (In the text)
- Gallart, C., Aparicio, A., & Vìlchez, J. M. 1996a, AJ, 112, 1928 [NASA ADS] [CrossRef] (In the text)
- Gallart, C., Bertelli, G., & Chiosi. C. 1996b, AJ, 112, 2596 [NASA ADS] [CrossRef] (In the text)
- Girardi, L., Bertelli, G., Bressan, A., et al. 2002, A&A, 391, 195 [NASA ADS] [CrossRef] [EDP Sciences] (In the text)
- Hodge, P. W. 1977, ApJS, 33, 69 [NASA ADS] [CrossRef] (In the text)
- Hodge, P. W. 1980, ApJ, 241, 125 [NASA ADS] [CrossRef] (In the text)
- Hodge, P. W., Smith, T., Eskridge, P., Mac Gillivray, H., & Beard, S. 1991, ApJ, 379, 621 [NASA ADS] [CrossRef] (In the text)
- Komiyama, Y., Sadanori, O., Masafumi, Y., et al. 2003, ApJ, 590, L17 [NASA ADS] [CrossRef] (In the text)
- Livanou, E., 2007, Ph.D. Thesis, National and Kapodistrian University of Athens (In the text)
- Livanou, E., Kontizas, M., Gonidakis, I., et al. 2006, A&A, 451, 431 [NASA ADS] [CrossRef] [EDP Sciences] (In the text)
- Livanou, E., Gonidakis, I., Kontizas, et al. 2007, AJ, 133, 2179 [NASA ADS] [CrossRef] (In the text)
- Maragoudaki, F., Kontizas, M., Kontizas, E., Dapergolas, A., & Morgan, D. H. 1998, A&A, 338, L29 [NASA ADS] (In the text)
- Maragoudaki, F., Kontizas, M., Morgan D. H., et al. 2001, A&A, 379, 864 [NASA ADS] [CrossRef] [EDP Sciences] (In the text)
- Massey, P., Olsen, K. A. G., Hodge, P. W., et al. 2006, AJ, 131, 2478 [NASA ADS] [CrossRef] (In the text)
- Massey, P., Olsen, K. A. G., Hodge, P. W., et al. 2007, AJ, 133, 2393 [NASA ADS] [CrossRef] (In the text)
- Mateo, M. L. 1998, ARA&A, 36, 435 [NASA ADS] [CrossRef] (In the text)
- Skillman, E. D., Terlevich, R., & Melnick, J. 1989, MNRAS, 240, 563 [NASA ADS] (In the text)
- Valenzuela, O., Rhee, G., Klypin, A., et al. 2007, ApJ, 657, 773 [NASA ADS] [CrossRef] (In the text)
- Weldrake, D. T. F., de Blok, W. J. G., & Walter, F. 2003, MNRAS, 340, 12 [NASA ADS] [CrossRef] (In the text)
- Wyder, T. K. 2001, AJ, 122, 2490 [NASA ADS] [CrossRef] (In the text)
All Tables
Table 1: General properties of NGC 6822.
Table 2: List of NGC 6822 detected star complexes, in descending order of right ascension.
Table 3: Significance levels (%) of the Kolmogorov-Smirnov test for NGC 6822 and the Magellanic Clouds.
Table 4: Colour, magnitude and age limits and dominant stellar component of the selected colour-magnitude diagram regions.
All Figures
![]() |
Figure 1: Upper: distribution of the colour of the stars according to their relative location in the camera. Lower: luminosity function of the stars according to their relative location in the camera. |
| Open with DEXTER | |
| In the text | |
![]() |
Figure 2: Upper: CMD diagram of NGC 6822 and photometric uncertainties in colour and magnitude of 30 stars randomly selected from the stellar catalogue. The rectangle includes the young stellar population that was used for the detection of star complexes, and its characteristic theoretical isochrones. Lower: detected star complexes of NGC 6822 (ellipses) plotted over the isopleths of the surface stellar density map of the young stars. |
| Open with DEXTER | |
| In the text | |
![]() |
Figure 3: Spatial distribution of young Main Sequence stars of different maximum age. The last plot shows the ellipses outlining the detected star complexes of NGC 6822 (Table 2). |
| Open with DEXTER | |
| In the text | |
![]() |
Figure 4: Histograms of the size distribution of detected star forming regions of NGC 6822 and the Magellanic Clouds, with a bin size of 100 pc. |
| Open with DEXTER | |
| In the text | |
![]() |
Figure 5: Sizes of the detected star forming regions of NGC 6822 and the Magellanic Clouds, sorted in ascending order. |
| Open with DEXTER | |
| In the text | |
![]() |
Figure 6: The regions of the colour-magnitude diagram of NGC 6822 selected to study the respective stellar populations, and the 300, 350 and 400 Myr theoretical isochrones that roughly separate the young and the older populations of NGC 6822. |
| Open with DEXTER | |
| In the text | |
![]() |
Figure 7: Spatial distribution of different stellar populations of NGC 6822. Upper: from left to right, CMD regions I, II and III. Middle: from left to right, CMD regions IV, V and VI. Lower: from left to right, CMD regions VII, VIII and IX. |
| Open with DEXTER | |
| In the text | |
Copyright ESO 2009
Current usage metrics show cumulative count of Article Views (full-text article views including HTML views, PDF and ePub downloads, according to the available data) and Abstracts Views on Vision4Press platform.
Data correspond to usage on the plateform after 2015. The current usage metrics is available 48-96 hours after online publication and is updated daily on week days.
Initial download of the metrics may take a while.
![\begin{figure}
\par\includegraphics[width=8.8cm]{1081fig1_1.ps}\par\includegraphics[width=8.8cm]{1081fig1_2.ps}\end{figure}](/articles/aa/full_html/2009/15/aa11081-08/Timg11.png)
![\begin{figure}
\par\includegraphics[width=8cm,clip]{1081fig2_1.ps}\vspace*{2mm}
\includegraphics[width=8cm,clip]{1081fig2_2.ps} \end{figure}](/articles/aa/full_html/2009/15/aa11081-08/Timg12.png)
![\begin{figure}
\par\mbox{\includegraphics[width=5.5cm]{1081fig3_1.ps} \includegr...
...m]{1081fig3_5.ps} \includegraphics[width=5.5cm]{1081fig3_6.ps} }
\end{figure}](/articles/aa/full_html/2009/15/aa11081-08/Timg32.png)
![\begin{figure}
\par\mbox{\includegraphics[width=5.5cm]{1081fig4_1.ps} \includegr...
...5cm]{1081fig4_2.ps} \includegraphics[width=5.5cm]{1081fig4_3.ps} }
\end{figure}](/articles/aa/full_html/2009/15/aa11081-08/Timg33.png)
![\begin{figure}
\par\mbox{\includegraphics[width=5.5cm]{1081fig5_1.ps} \includegr...
...5cm]{1081fig5_2.ps} \includegraphics[width=5.5cm]{1081fig5_3.ps} }
\end{figure}](/articles/aa/full_html/2009/15/aa11081-08/Timg37.png)
![\begin{figure}
\par\includegraphics[width=9cm,clip]{1081fig6.ps}
\end{figure}](/articles/aa/full_html/2009/15/aa11081-08/Timg39.png)
![\begin{figure}
\par\mbox{\includegraphics[width=05.5cm]{1081fig7_1.ps}\includegr...
...5cm]{1081fig7_8.ps}\includegraphics[width=05.5cm]{1081fig7_9.ps} }\end{figure}](/articles/aa/full_html/2009/15/aa11081-08/Timg40.png)