| Issue |
A&A
Volume 497, Number 3, April III 2009
|
|
|---|---|---|
| Page(s) | 945 - 962 | |
| Section | Astronomical instrumentation | |
| DOI | https://doi.org/10.1051/0004-6361/200811454 | |
| Published online | 18 February 2009 | |
The Large APEX BOlometer CAmera LABOCA
G. Siringo1 - E. Kreysa1 - A. Kovács1 - F. Schuller1 - A. Weiß1 - W. Esch1 - H.-P. Gemünd1 - N. Jethava2 - G. Lundershausen1 - A. Colin3 - R. Güsten1 - K. M. Menten1 - A. Beelen4 - F. Bertoldi5 - J. W. Beeman6 - E. E. Haller6
1 - Max-Planck-Institut für Radioastronomie, Auf dem Hügel 69, 53121 Bonn, Germany
2 -
National Institute of Standards and Technology, Boulder, CO 80305, USA
3 -
Instituto de Fisica de Cantabria (CSIC-UC), Avda. Los Castros, 39005 Santander, Spain
4 -
Institut d'Astrophysique Spatiale, Bât. 121, Université Paris-Sud, 91405 Orsay Cedex, France
5 -
Argelander-Institut für Astronomie, University of Bonn, Auf dem Hügel 71, 53121 Bonn, Germany
6 -
Lawrence Berkeley National Laboratory, Berkeley, CA 94720, USA
Received 1 December 2008 / Accepted 21 January 2009
Abstract
The Large APEX BOlometer CAmera, LABOCA, has been commissioned for operation as a new facility instrument
at the Atacama Pathfinder Experiment 12 m submillimeter telescope.
This new 295-bolometer total power camera, operating in the 870
m atmospheric window,
combined with the high efficiency of APEX and the excellent atmospheric transmission at the site,
offers unprecedented capability in mapping submillimeter continuum emission for a wide range of astronomical purposes.
Key words: instrumentation: detectors - instrumentation: photometers - submillimeter - methods: observational
1 Introduction
1.1 Astronomical motivation
Millimeter and submillimeter wavelength continuum emission
is a powerful probe of the warm and cool dust in the Universe.
For temperatures below
40 K, the peak of the thermal continuum emission is at wavelengths longer than 100
m
(or at frequencies lower than 3 THz), i.e. in the far-infrared and (sub)millimeter
range.
A number of atmospheric windows between 200 GHz and 1 THz make ground-based observations possible over a large part of
this range from high-altitude, dry sites.
Specifically, thermal dust emission is well described by a gray body spectrum,
with the measured flux density
at frequency
expressed as:
where h and k are Planck's and Boltzmann's constants respectively, c is the speed of light,
is the apparent source solid angle
(the size of the physical source convolved with the telescope beam)
and
is the optical depth, which varies with frequency.
In the (sub)millimeter range, the emission is almost always optically thin with
,
where
is in the range 1-2 typically
(see, e.g., the Appendix of Mezger et al. 1990; or Beuther et al. 2002, for a more thorough discussion).
Here, N is the number of dust particles (or number of nucleons assuming a given dust-to-gas
relation) in the telescope beam. Accordingly, the (sub)millimeter flux
can be converted into dust/gas masses, when the temperature T is
assumed or constrained via additional far-infrared measurements.
Such mass determination is one of the core issues of (sub)millimeter photometry. We would like to illustrate its paramount importance with a few examples: (sub)millimeter wavelengths mapping of low-mass star-forming regions in molecular clouds have determined the dense core mass spectrum, (in nearby regions) down to sub-stellar masses, and investigated its relationship to the Initial Mass Function (Motte et al. 1998). These studies can be extended to high-mass star-forming regions (e.g. Johnstone et al. 2006; Motte et al. 2007). Because of the larger distances to rarer, high-mass embedded objects, even relatively shallow surveys are capable of detecting pre-stellar cluster clumps with a few hundreds of solar masses of material at distances as far as the Galactic center. Masses and observed sizes yield radial density distribution profiles for protostellar cores that can be compared with theoretical models (Beuther et al. 2002).
(Sub)millimeter continuum emission is also a remarkable tool for the study of the distant Universe. The thermal dust emission in active galaxies is typically fueled by short-lived, high-mass stars, therefore the far-infrared luminosity provides a snapshot of the current level of star-formation activity. Deep (sub)millimeter observations in the Hubble Deep Field, with the Submillimeter Common User Bolometer Array (SCUBA, Holland et al. 1999) on the James Clerk Maxwell Telescope, attracted considerable attention with the detection of a few sources without optical or near-infrared counterpart. Sensitive measurements found dust in high redshift sources and even in some of the farthest known objects in the Universe (see, e.g., Carilli et al. 2001; Wang et al. 2008; Bertoldi et al. 2003), revealing star-formation rates (SFRs) that are hundreds of times higher than in the Milky Way today. These detections are possible because of the so-called negative K-correction first discussed by Blain & Longair (1993): the warm dust in galaxies is typically characterized by temperatures around 30-60 K. Its thermal emission dominates the spectral energy distribution (SED) of luminous and ultra-luminous infrared galaxies (LIRGs and ULIRGs), which have maxima between 3 and 6 THz as a result. Because of the expansion of the Universe, the peak of the emission shifts toward the lower frequencies with increasing cosmological distance, thus counteracting the dimming and benefitting detection at (sub)millimeter wavelength. Consequently, flux-limited surveys near millimeter wavelengths yield flat or nearly flat luminosity selection over much of the volume of the Universe (Blain et al. 2002). As such, (sub)millimeter wavelengths allow unbiased studies of the luminosity evolution and, therefore, of the star-formation history of galaxies over cosmological time-scales.
1.2 Bolometer arrays for (sub)millimeter astronomy
The (sub)millimeter dust emission is unfortunately intrinsically weak and
the wish to measure it pushed the development of detectors with the best
possible sensitivity, namely bolometers (Low 1961; Mather 1984).
Moreover, the desirability of mapping large areas of the sky,
motivated the development of detector arrays.
Consequently, the last 10 years have seen an
increasing effort in the development of bolometer arrays. In such
instruments, a number of composite bolometers work side by side in the
focal plane, offering simultaneous multi-beam coverage. Since the
arrival of the first arrays, developed in the early '90s and
consisting of just 7 elements, we are witnessing a rapid maturing of
technology, reaching hundreds to a few thousand elements today, and
the prospect of even larger bolometer arrays in the future.
The Large APEX BOlometer CAmera, LABOCA, described in this article,
is a new bolometric receiver array for the Atacama Pathfinder Experiment 12 m telescope,
APEX
. It is the most ambitious camera in a long
line of developments of the MPIfR bolometer group, which has delivered
instruments of increasing complexity to the IRAM 30 m telescope
(Kreysa 1990): single beam receivers were supplanted by a
7-element system (Kreysa et al. 1999), which eventually gave way to the
MAx-Planck Millimeter BOlometer (MAMBO) array, whose initial 37 beams
have grown to 117 in the latest incarnation (Kreysa et al. 2002).
The group also built the 37-element 1.2 mm SEST Imaging Bolometer Array (SIMBA)
for the Swedish/ESO Submillimeter telescope (Nyman et al. 2001)
and the 19-element 870
m for the 10 m Heinrich-Hertz Telescope
(a.k.a. SMTO, Martin & Baars 1990).
The main obstacle to observations at these wavelengths is posed by Earth's atmosphere, which is seen as a bright emitting screen by a continuum total power detector, as LABOCA's bolometers are. This is largely due to the emission of the water vapor present in the atmosphere with only small contributions from other components, like ozone. Besides, the atmosphere is a turbulent thermodynamic system and the amount of water vapor along the line of sight can change quickly, giving rise to instabilities of emission and transmission, called sky noise. Observations from ground based telescopes have to go through that screen, therefore requiring techniques to minimize those effects.
The technique most widely used is to operate a switching device, usually a chopping secondary mirror (hereafter called wobbler) to observe alternatively the source and a blank sky area close to it, at a frequency higher than the variability scale of the sky noise. This method, originally introduced for observations with single pixel detectors, is today also used with arrays of bolometers. Although it can be very efficient to reduce the atmospheric disturbances during observations, it presents some disadvantages: among others, the wobbler is usually slow (1 or 2 Hz) posing a strong limitation to the possible scanning speed.
![]() |
Figure 1: Wiring side of a naked LABOCA array. Each light-green square is a bolometer. |
| Open with DEXTER | |
LABOCA has been specifically designed to work without a wobbler and using a different technique, which works particularly well when using an array of detectors, to remove the atmospheric contribution. This technique, called fast scanning (Reichertz et al. 2001), is based on the idea that, when observing with an array, the bolometers composing the array look simultaneously at different points in the sky, therefore chopping is no more needed. A modulation of the signal, still required to identify the astronomical source through the atmospheric emission, is produced by scanning with the telescope across the source. The atmospheric contribution (as well as part of the instrumental noise) will be strongly correlated in all bolometers and a post-detection analysis of the correlation across the array will make it possible to extract the signals of astronomical interest from the atmospheric foregrounds. Moreover, the post-detection bandwidth depends on the scanning speed, therefore relatively high scanning speeds are ideal (see also Kovács 2008).
![]() |
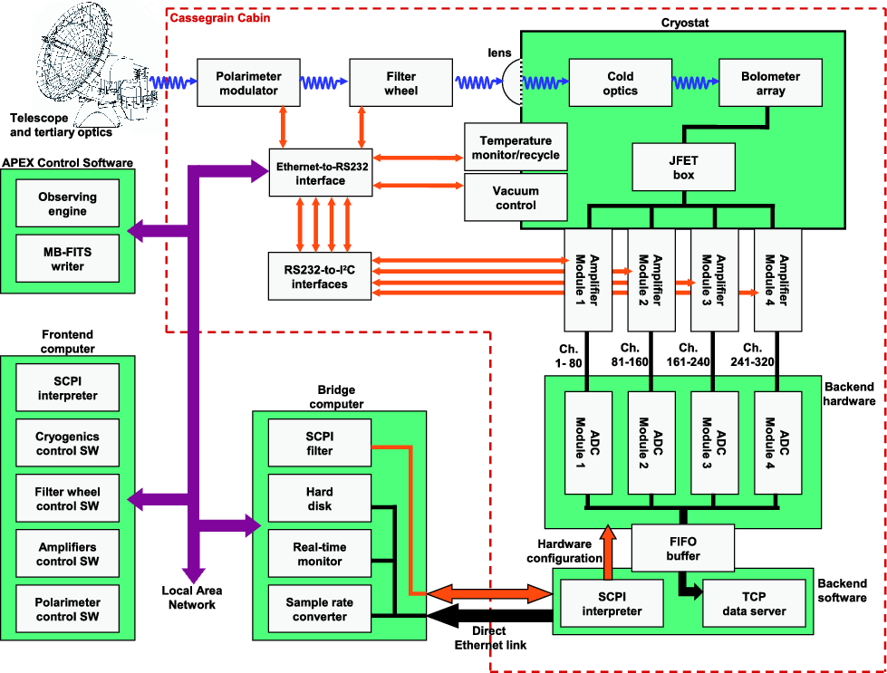
Figure 2: Scheme of the infrastructure of LABOCA. The instrument is located in the Cassegrain cabin (dashed red line) of APEX, remote operation is a requirement and all the communication goes through the local area network (magenta arrows) and a direct Ethernet link between backend and bridge computers. The black lines show the flow of the bolometer signals, the orange ones show the configuration and monitoring communication. |
| Open with DEXTER | |
The APEX telescope (Güsten et al. 2006), as the name implies, serves as a pathfinder for the future large-scale (sub)millimeter wavelength and (far)infrared missions, namely the Atacama Large Millimeter Array (ALMA), the Herschel Space Observatory and the Stratospheric Observatory for Infrared Astronomy (SOFIA). Its pathfinder character is on the one hand defined by exploring wavelength windows that have been poorly studied before, with acceptable atmospheric transmission at the 5100 m altitude site. On the other hand, and more importantly, it can perform large area mapping to identify interesting sources for ALMA follow-up studies at higher angular resolution. Moreover, APEX produces images of both continuum (with LABOCA) and line emission with angular resolutions that neither Herschel's nor SOFIA's smaller telescopes (with diameters of 3.5 and 2.5 m respectively) can match. This provides a critical advantage to APEX for imaging dust and line emission at high frequencies.
![]() |
Figure 3: Overview of the optics. On the left, the APEX telescope. On the right, a zoom on the tertiary optics installed in the Cassegrain cabin. See also Fig. 4. |
| Open with DEXTER | |
1.3 Instrument overview
LABOCA is an array of bolometers, operated in total-power mode, specifically designed for fast mapping of large areas of sky at moderate resolution and with high sensitivity and was commissioned in May 2007 as facility instrument on APEX. It is a very complex system, composed of parts that originate in a variety of fields of technology, in particular optics, high vacuum, low temperature cryogenics, digital electronics, computer hardware and software, and others. A general view of the infrastructure is shown in the block diagram of Fig. 2. The heart of LABOCA is its detector array made of 295 semiconducting composite bolometers (see Figs. 1, 6). A description of the detector array design and manufacture is provided in Sect. 5.
The bolometer array is mounted in a cryostat, which uses liquid
nitrogen and liquid helium on a closed cycle double-stage sorption
cooler to reach an operation temperature of
285 mK. The
cryogenic system is discussed in Sect. 3.
A set of cold filters, mounted on the liquid nitrogen and liquid
helium shields, define the spectral passband, centered at a wavelength
of 870
m and about 150
m wide (see
Fig. 5). A monolithic array of conical horn
antennas, placed in front of the bolometer wafer, concentrates the
radiation onto the individual bolometers. The filters and the horn
array are presented in Sect. 4.
The cryostat is located in the Cassegrain cabin of the APEX telescope (see Fig. 4) and the optical coupling to the telescope is provided by an optical system made of a series of metal mirrors and a lens which forms the cryostat window. The complex optics layout, manufacture and installation at the telescope is described in Sect. 2.
The bolometer signals are routed through low noise, unity gain Junction Field Effect Transistor (JFET) amplifiers and to the outside of the cryostat along flexible flat cables. Upon exiting the cryostat, the signals pass to room temperature low noise amplifiers and electronics also providing the AC current for biasing the bolometers and performing real time demodulation of the signals. The signals are then digitized over 16 bits by 4 data acquisition boards providing 80 analog inputs each, mounted in the backend computer. The backend software provides an interface to the telescope's control software, used to set up the hardware, and a data server for the data output. The acquired data are then digitally filtered and downsampled to a lower rate in real time by the bridge computer and finally stored in MB-FITS format (Muders et al. 2006) by the FITS writer embedded in the telescope's control software. Another computer, the frontend computer, is devoted to monitor and control most of the electronics embedded into the receiver (e.g. monitoring of all the temperature stages, controlling of the sorption cooler, calibration unit) and provides an interface to the APEX control software, allowing remote operation of the system. Discussions of the cold and warm readout electronics, plus the signal processing, are found in Sects. 6 and 7, respectively.
In Sect. 8 we describe the sophisticated observing techniques used with LABOCA, some of them newly developed. The instrument performance on the sky is described in Sect. 9, along with information on sensitivity, beam shape and noise behavior.
The reduction of the data is performed using a new data reduction software included in the delivery of LABOCA as facility instrument, the BoA (Bolometer array data Analysis) data reduction software package. An account of on-line and off-line data reduction is given in Sect. 10.
Some of the exciting science results already obtained with LABOCA or expected in the near future are outlined in Sect. 11. Our plans for LABOCA's future are briefly presented in Sect. 12.
2 Tertiary optics
2.1 Design and optimization
The very restricted space in the Cassegrain cabin of
APEX and a common first mirror (M3) with the APEX SZ Camera
(ASZCa, Schwan et al. 2003) introduced many boundary
conditions into the optical design. Eventually, with the help of the
ZEMAX
optical design program, a
satisfactory solution was found, featuring three aspherical off-axis
mirrors (M3, M5, M7), two plane mirrors (M4, M6) and an aspherical
lens acting as the entrance window of the cryostat (see
Fig. 3). Meeting the spatial constraints, without
sacrificing optical quality, is facilitated considerably by the
addition of plane mirrors.
The design of the optics was made at the MPIfR in coordination with N. Halverson
with respect to sharing the large M3 mirror
with the ASZCa experiment.
The maximum possible field diameter of APEX, as limited by the
diameter of the Cassegrain hole of the telescope's primary, is about
0.5 degrees. LABOCA, with its 295 close-packed fully efficient horns,
covers an almost circular field of view (hereafter FoV) of about 0.2
degrees in diameter (or about 100 square arcminutes). The task of the
tertiary optics is to transform the f-ratio from f/8 at the Cassegrain
focus to f/1.5 at the horn array, while correcting the aberrations
over the whole FoV of LABOCA under the constraint of parallel output
beams. The final design is diffraction limited even for 350
m
wavelength, the Strehl ratio is better than 0.994 and the maximum
distortion at the focal plane is less than 10% over the entire FoV
(see also Fig. 10).
![]() |
Figure 4: Top: the mirrors affixed to the floor of the Cassegrain cabin of APEX. Left to right: M7, M5, M3 and one of the mirrors of the ASZCa experiment. In this picture, mirror M3 is positioned for ASZCa. Bottom: the receiver, M3 in the position for LABOCA, M5, M6 and M7. See also Fig. 3. |
| Open with DEXTER | |
2.2 Manufacture
Mirror M3, an off-axis paraboloid, has been
manufactured by a machine shop at the Lawrence Berkeley National
Laboratory (LBNL, Berkeley, CA, USA) and is common to both LABOCA and the ASZCa
experiment. M3 has a diameter of 1.6 m and a surface accuracy of
18
m rms but LABOCA uses only the inner 80 cm disk. It is
attached to a bearing on the floor of the Cassegrain cabin, aligned to
the optical axis of APEX. Operators can manually rotate the mirror in
order to direct the telescope beam to LABOCA or to ASZCa alternatively
(see Fig. 4).
Mirrors M4 and M6 are flat, have a diameter of 42 cm and 26 cm,
respectively (manufactured by Kugler
, Salem, Germany).
They are of optical quality and are both affixed to the ceiling of the cabin.
In a near future, mirror M6 will be replaced by the reflection-type half-wave
plate of the PolKa polarimeter (Siringo et al. 2004).
Mirrors M5 and M7 are off-axis aspherics, both 50 cm in diameter, and
are affixed to the floor of the cabin. They have been designed and
manufactured at the MPIfR and have a surface accuracy of 7 and
5
m rms respectively.
2.3 Installation and alignment
All the mirrors of LABOCA
(with exception of M3) and the receiver itself are mounted on hexapod positioners (see Fig. 4)
provided by VERTEX Antennentechnik
(Duisburg, Germany).
Each hexapod is made of an octahedral assembly of struts and has six degrees of freedom (x, y, z, pitch,
roll and yaw). The lengths of the six independent legs can be changed
to position and orient the platform on which the mirror is mounted.
VERTEX provided a software for calculating the required leg extensions
for a given position and orientation of the platforms.
A first geometrical alignment was performed during the first week of September
2006, using a double-beam laser on the optical axis of the telescope
and plane replacement mirrors in place of the two active mirrors M5
and M7. The alignment has been checked using the bolometers and hot
targets (made of absorbing
material)
at different places along the beam, starting at the focal plane and
following the path through all the reflections up to the receiver's
window. The alignment has been furthermore verified and improved in
February 2008.
3 Cryogenics
3.1 Cryostat
The bolometer array of LABOCA is designed to be operated at a temperature
lower than 300 mK. This temperature is provided by a cryogenic
system made of a wet cryostat, using liquid nitrogen and liquid
helium, in combination with a two-stage sorption cooler. A commercial
8-inch cryostat, built by Infrared Labs
(Tucson, AZ, USA), has been
customized at the MPIfR to accommodate the double-stage sorption
cooler, the bolometer array, cold optics and cold electronics. A high
vacuum in the cryostat is provided by an integrated turbomolecular
pump backed by a diaphragm pump. Operational vacuum is reached in one
single day of pumping.
The cryostat incorporates a 3-liter reservoir of liquid nitrogen and a
5-liter reservoir of liquid helium. After producing high-vacuum
(
10-6 mbar), the cryostat is filled with the liquid
cryogens. The liquid nitrogen is used to provide thermal shielding at
77 K in our labs in Bonn (standard air pressure, 1013 mbar) and at
73.5 K at APEX (5107 m above the sea level) where the air pressure
is almost one half of the standard one (about 540 mbar).
The liquid helium provides a thermal shielding at 4.2 K at standard pressure and 3.7 K at the APEX site. To keep it operational, the system must be refilled once per day. The refilling operation requires about 20 min.
3.2 Sorption cooler
The cryostat incorporates a commercial two-stage closed-cycle sorption
cooler, model SoCool (Duband et al. 2002) manufactured by
Air-Liquide
(Sassenage,
France). In this device, a 4He sorption cooler is used to
liquefy 3He gas in the adjacent, thermally coupled, 3He
cooler. The condensed liquid 3He is then sorption pumped to
reach temperatures as low as 250 mK, in the absence of a thermal
load. Therefore, the double stage design makes it possible to cool the
bolometer array down to a temperature lower than 300 mK starting from the
temperature of the liquid helium bath at atmospheric pressure. This
makes the maintenance of the system much simpler than that of other
systems, where pumping on the liquid helium bath is required. The two
sorption coolers are closed systems, which means they do not require
any refilling of gas and can be operated from the outside of the
cryostat, simply by applying electrical power.
To keep the bolometers at operation temperature, the sorption cooler
needs to be recycled. The recycling is done by application of a
sequence of voltages to the electric lines connected to thermal
switches and heaters integrated in the sorption cooler. A typical
recycling procedure requires about two hours and can be done manually
or in a fully automatic way controlled by the frontend computer (see
Sect. 7.4). At the end of the recycling process, both
gases, 4He and 3He, have been liquefied and the controlled
evaporation of the two liquids provides a stable temperature for many
hours. After the recycling of the sorption cooler, the bolometer
array reaches 285 mK. The hold time of the cooler, usually between
10 and 12 h, strongly depends on the parameters used during the
recycling procedure.
The end temperature is a function of elevation and can be affected by telescope movements,
leading to temperature fluctuations
500
K within one scan,
during regular observations, and
3 mK for wide elevation turns
(e.g. during skydips, see Sect. 8.2.3).
3.3 Temperature monitor
The cryostat of LABOCA incorporates 8
thermometers to measure the temperature at the different stages:
liquid nitrogen, liquid helium, the two sorption pumps, the two
thermal switches, evaporator of the 4He and evaporator of the
3He. Two LS218
devices (Lake Shore Inc., Westerville, OH, USA) are used to monitor the thermometers
and to apply the individual temperature calibrations in real-time.
The temperature of the 3He stage is measured with higher accuracy with the use of a
resistance bridge AVS-47
(Picowatt, Vantaa, Finland), with an error of
5
K .
Control and monitor of the cryogenic
equipment can be done remotely via the frontend computer (see
Sect. 7.4).
![]() |
Figure 5: Spectral response of LABOCA, relative to the maximum. The central frequency is 345 GHz, the portion with 50% or more transmission is between 313 and 372 GHz. |
| Open with DEXTER | |
4 Cold optics
4.1 Passband definition
Inside the cryostat, a set of cold filters, mounted on
the liquid nitrogen and liquid helium shields define the spectral
passband, centered at a wavelength of 870
m (345 GHz) and about
150
m (60 GHz) wide (see Fig. 5). The filters
have been designed and manufactured at MPIfR in collaboration with the
group of V. Hansen (Theoretische Elektrotechnik
, Bergische
Universität Wuppertal, Germany) who provided theoretical support and
electromagnetic simulations. The passband is formed by an
interference filter made of inductive and capacitive meshes embedded
in polypropylene. The low frequency edge of the band is defined by
the cut-off of the cylindrical waveguide of each horn antenna (see
also Sect. 4.2). A freestanding inductive mesh behind the
window-lens provides shielding against radio interference.
4.2 Horn array
A monolithic array of conical
horn antennas, placed in front of the bolometer wafer, concentrates
the radiation onto the bolometers. 295 conical horns have been
machined into a single aluminum block by the MPIfR machine shop. In
combination with the tertiary optics, the horn antennas are optimized
for coupling to the telescope's main beam at a wavelength of
870
m
.
The grid constant of the hexagonal array is
4.00 mm. Each horn antenna feeds into a circular wave guide with a
diameter of 0.54 mm, acting as a high-pass filter.
5 Detector
5.1 Array design and manufacture
![]() |
Figure 6: Pictures of the bolometer array of LABOCA. Left: a detail of the array mounted in its copper ring. Some bonding wires are visible. Center: the side of the array where the bolometer cavities are etched in the silicon wafer. Right: wiring side of the array. The thermistors are visible as small cubes on the membranes. One broken membrane is visible on the top left corner. See also Fig. 1. |
| Open with DEXTER | |
The bolometer array of LABOCA is made of 295 composite bolometers arranged in an hexagonal
layout consisting of a center channel and 9 concentric hexagons (see Figs. 1
and 6). The array is manufactured on a 4-inch silicon wafer coated on both sides with
a silicon-nitride film by thermal chemical vapor deposition. On one side of the wafer,
295 squares are structured into the silicon-nitride film used as a mask for the alkaline KOH
etching of the silicon, producing freestanding, unstructured silicon-nitride membranes, only
400 nm thick (see the center picture in Fig. 6).
On the other side, the wiring is created by microlithography of
niobium and gold thin metal layers. The bolometer array is mounted
inside a gold-coated copper ring and is supported by about 360 gold
bonding thin wires (see Fig. 6, left), providing the
required electrical and thermal connection. This copper ring
also serves as a mount for the backshort reflector, at
/4 distance from
the array, and 12 printed circuit boards hosting the load resistors
and the first electronic circuitry (see Sect. 6).
![]() |
Figure 7: Wiring side of one bolometer of LABOCA, seen under a microscope. The membrane is the green colored area. The black box is the NTD thermistor. The wiring is made of gold (yellow) and niobium (gray) thin metal layers. See also Fig. 6. |
| Open with DEXTER | |
5.2 Bolometer design and manufacture
The description of a composite bolometer can be simplified as the combination of two elements: an extremely sensitive temperature sensor, called thermistor, and a radiation absorber. In the bolometers of LABOCA, the absorbing element is made of a thin film of titanium deposited on the unstructured silicon-nitride membranes. LABOCA uses neutron-transmutation doped germanium semiconducting chips (NTD, Haller et al. 1982) as thermistors. The NTD thermistors are made from ultra-pure germanium doped by neutron-transmutation in a nuclear reactor. The thermistors, needed to measure the temperature of the absorber, are soldered on the bolometer membranes to gold pads connected to the outer edge of the silicon wafer through a pair of patterned niobium wires, superconducting at the operation temperature (see Figs. 7 and 6, right). The soldering of the thermistors was the only manual step in the manufacture of the bolometers. LABOCA has so-called flatpack NTD thermistors, which have two ion implanted and metalized contacts on one side of the thermistor block. The chips are optimized to work at a temperature lower than 300 mK, where they show an electric impedance in the range of 1 to 10 MOhms.
6 Cold electronics
6.1 Bias resistors
Given the high impedance of the NTD thermistors, the electric scheme
of the first bolometer circuitry requires very high impedance load
resistors, which are needed to current bias the bolometers. These
bias resistors are 312 identical 30 MOhm chips, made of a nichrome
thin film deposited on silicon substrate (model MSHR-4 produced by
Mini-Systems Inc.
,
N. Attleboro, MA, USA) mounted on 12 identical printed circuit boards, to
form 12 groups of 26 resistors. This configuration is reflected in the
following distribution of the bolometer signals. The circuit boards
are mounted on the same copper ring which holds the bolometer array
(see Sect. 5.1)
and electrically connected to the bolometers through miniature RF
filters.
6.2 Junction field effect transistors (JFETs) source followers
The high impedance of the bolometers makes the system
sensitive to microphonic noise pickup, therefore JFETs (Toshiba 2SK369)
are used as source followers in order to decrease the impedance of the
electric lines down to a few kOhms before they reach the high gain
amplification units at room temperature. Following the wiring scheme
of the bias resistors, the JFETs are also in groups of 26 soldered
onto 12 printed circuit boards, electrically connected to the
corresponding bias resistors by 12 flat cables made of manganin traces embedded in
Kapton
(manufactured by VAAS Leiterplattentechnologie
,
Schwäbisch-Gmünd, Germany), thermally shunted to the liquid helium tank.
The 12 JFET boards are assembled in groups of
three into four gold-coated copper boxes, thermally connected to the
liquid nitrogen tank. Inside each box, during regular operation, the
78 JFETs are self-heated to a temperature of about 110 K, where they
show a minimum of their intrinsic noise. Through the connections in
the JFET boxes, the wiring scheme of 12 groups of 26 channels is
translated to a new scheme of 4 groups of 80 channels.
7 Warm electronics and signal processing
7.1 Amplifiers
The 312 channels exiting the cryostat of LABOCA are distributed to 4 identical, custom made, amplification units, providing 80 channels each. Of these, 295 are bolometers, 17 are connected to 1 MOhm resistors mounted on the bolometer ring (used for technical purposes, like noise monitoring and calibrations) and the remaining 8 are not connected. Each amplification unit is made of 16 identical printed circuit boards and each board provides 5 low noise, high gain amplifiers. Each unit also includes a low noise battery used to generate the bias voltage and the circuitry to produce the AC biasing and perform real time demodulation of the 320 signals. The AC bias reference frequency is not internally generated but is provided from the outside, thus allowing synchronization of the biasing to an external frequency source.
Each amplification unit is equipped with a digital interface controlled by a microprocessor programmed to provide remote control of
the amplification gain and of the DC offset removal procedure. This is required because LABOCA is a total power receiver and the
signals carry a floating DC offset which could exceed the dynamic range of the data acquisition system.
To avoid saturation, therefore, the DC offsets are measured and subtracted from the signals at the beginning of every integration.
The values of the 320 offsets are temporarily stored in a local memory and, at the end of the observation, are written into the
corresponding data file for use in the data reduction process.
The digital lines use the I2C protocol
and are accessible remotely via the local network through I2C-to-RS232
interfaces controlled by the frontend computer (see Sect. 7.4).
The amplification gain can be set in the range from 270 to 17 280.
7.2 Data acquisition
The 320 output signals from the 4 amplification units are digitized over 16 bits by 4 multifunction data acquisition (DAQ) boards
(National Instruments
M-6225-PCI),
providing 80 analog inputs each and synchronized to the same sample
clock by a RTSI
bus . The maximum data
sampling is 2500 Hz and the dynamic range can be selected over 5
predefined ranges. The four boards provide also 24 digital
input/output lines each, some of them used for the generation of the
bias reference frequency and to monitor the digital reference signals
(sync/blank) of the wobbler. For the time synchronization of the data
to the APEX control software (APECS, Muders et al. 2006) the
data acquisition system is equipped with a precision time interface
(PCI-SyncClock32
from Brandywine Communications, Tustin, CA, USA)
synchronized to the station GPS clock via
IRIG-B
time code signal.
The AC bias reference frequency is provided by the data acquisition system as a submultiple of the sampling frequency, thus synchronizing the bias to the data sampling. Typical values used for observations are 1 kHz for the sampling rate and 333 Hz for the AC bias. The backend computer has two network adapters: one is connected to the local area network, the other one is exclusively used for the output data stream and is connected in a private direct network with the bridge computer (see also Sect. 7.3).
![]() |
Figure 8:
Noise spectra for selected bolometers on a room temperature absorber (capped optics).
The signals, sampled at 1 kHz, were downsampled in real-time to 25 Hz by the bridge computer.
The spectra are free of microphonic pick-ups and show the 1/f noise onset at |
| Open with DEXTER | |
The data acquisition software is entirely written using
LabVIEW
(National Instruments).
The drivers for the data acquisition hardware are provided by the NI-DAQmx
package.
Custom drivers for LabVIEW have been developed to access the GPS clock interface.
The backend software runs a server to stream the output data to the bridge computer and allows remote control
and monitoring of the operation via a CORBA
object interfaced
to the APECS through the local area network.
7.3 Anti-aliasing filtering and downsampling
The amplification units of LABOCA use the bias signal, which is a square waveform,
as reference to operate real-time demodulation of the AC-biased bolometer signals.
Therefore, all the frequencies present in the bolometer readout lines end up aliased
around the odd-numbered harmonics of the bias frequency. Microphonics pickup by the
high-impedance bolometers at a few resonant frequencies can produce a forest of lines in
the final readout, polluting even the lower part of the post-detection frequency band,
where the astronomical signals are expected.
To overcome this, we introduced an intermediate stage into the
sampling scheme, the so-called bridge computer. The bolometer
signals, acquired by the backend at a relatively high sampling rate
(usually 1 kHz), well above the rolling-off of the anti-alias filters
embedded in the amplifiers, are sent to the bridge computer where they
are digitally low-pass filtered and then downsampled to a much lower
rate (usually 25 Hz), more appropriate for the astronomical signals
produced at the typical scanning speeds (see also
Sect. 8). The digital real-time anti-alias filtering
and downsampling is performed by a non-recursive convolution filter
with a Nutall window such that its rejection at the Nyquist frequency
is
3 dB and falls steeply to
100 dB soon beyond that.
The bias reference frequency was accordingly selected to maximize the
astronomically useful post-detection bandwidth. The resulting
bolometer signals are generally white between 0.1-12.5 Hz and free
of unwanted microphonic interference (see Fig. 8).
To seamlessly integrate the bridged readout into the APEX control system, the bridge computer also acts as a fully functional virtual backend that forwards all communication between the actual backend computer and the control system, while intercepting and reinterpreting any commands of interest for the downsampling scheme.
7.4 Frontend computer
The so-called frontend computer communicates with the hardware of LABOCA through the local area network. It is devoted to monitor and control most of the electronics of the instrument (e.g. monitoring of all the temperature stages, control of the sorption cooler, calibration unit, power lines...) and also provides a CORBA object for interfacing to APECS, allowing remote operation of the system. The frontend software is entirely written using LabVIEW and custom drivers have been developed for some hardware devices embedded in LABOCA.
![]() |
Figure 9:
Examples of raster-spiral patterns. The two plots show the scanning pattern of the central beam
of the array in horizontal coordinates. The compact pattern shown in
the top panel is optimized to map the field of view of LABOCA.
The large scale map shown in the bottom panel consists of 25 raster
positions and covers a field of
|
| Open with DEXTER | |
8 Observing modes
8.1 Mapping modes
In order to reach the best signal-to-noise ratio using the fast scanning technique (Reichertz et al. 2001)
with LABOCA, the frequencies of the signal produced by scanning across the source need to match the white noise part of
the post-detection frequency band (0.1-12.5 Hz, see Fig. 8), mostly above the frequencies of the
atmospheric fluctuations. Thus, with the
19'' beam (see Sect. 9.3),
the maximum practical telescope scanning speed for LABOCA is about 4'/s.
This is also the limiting value to guarantee the required accuracy in the telescope position information of each sample.
The minimum scanning speed required for a sufficient source modulation depends on the atmospheric stability and
on the source structure and is typically about 30''/s.
The APEX control system currently supports two basic scanning modes: on-the-fly maps (OTF) and spiral scanning patterns.
8.1.1 Spirals
Spirals are done with a constant angular speed and an increasing radius, therefore the linear scanning velocity
is not constant but increases with time. We have selected two spiral modes of 20 s and 35 s integration time,
both producing fully sampled maps of the whole FoV with scanning velocities limited between 1'/s and
/s.
The spiral patterns are kept compact (maximum radius
), the scanned area on the sky is only slightly
larger than the FoV and most of the integration time is spent on the central 11' of the array.
These spirals are the preferred observing modes for pointing scans on sources with flux densities down to a few Jy.
For fainter sources, the basic spiral pattern can be combined with a raster mapping mode (raster-spirals) on a grid of pointing positions resulting in an even denser sampling of the maps and longer integration time (see Fig. 9, top panel). These compact raster-spirals give excellent results for sources smaller than the FoV of LABOCA and are also suitable for integrations of very faint sources.
The flexibility in the choice of the spiral parameters also allows spiral
observing patterns to be used to map fields much larger than the FoV.
The bottom panel of Fig. 9 shows an example of
raster of spirals optimized to give an homogeneous coverage across
a field of
degrees. In this case, the spirals start
with a large radius and follows an almost circular scanning pattern
for each raster position. This mapping mode is very useful for
cosmological deep field surveys since co-adding several such
raster-spiral scans, taken at different times and thus at different
orientations, provides an optimal compromise between telescope
overheads, uniform coverage and cross-linking of individual map
positions (see Kovács 2008).
8.1.2 On-the-fly maps (OTF)
OTF scans are rectangular scanning patterns produced moving
back-and-forth along alternating rows with a linear constant speed and
accelerating only at the turnarounds. They can be performed in
horizontal or equatorial coordinates and the scanning direction can be
rotated relatively to the base system for both coordinate systems. OTF
patterns have been tested for maps on the scales of the FoV up to long
slews across the plane of the Milky Way (2 degrees). Small
cross-linked OTFs (of size
FoV of LABOCA) give results
comparable to the raster-spirals (Kovács 2008), but the
overheads are much larger at a scanning speed of 2'/s. For larger
OTFs the relative overheads decrease.
8.2 Ancillary modes
8.2.1 Point
The standard pointing procedure consists of one subscan in spiral observing mode and results in a fully sampled map of the FoV of LABOCA. The pointing offsets relative to the pointing model are computed via a two-dimensional Gaussian fit to the source position in the map using a BoA pipeline script (see Sect. 10). Note that this pointing procedure is not limited to pointing scans of the central channel of the array but works independently of the reference bolometer, thus allowing pointing scans centered on the most sensitive part of the array.
8.2.2 Focus
The default focusing procedure is made of 10 subscans at 5 different subreflector positions and 5 s of integration time each. This is the only observing mode without scanning telescope motion. As a result, we are currently restricted to sources brighter than the atmospheric variations (Mars, Venus, Saturn and Jupiter). However, initial tests confirmed that using the wobbler to modulate the source signal allows focusing on weaker sources, too. This is the only observing mode, so far, for which the use of the wobbler with LABOCA has been tested.
8.2.3 Skydips
The attenuation of the astronomical signals due to the atmospheric opacity is determined with skydips. These scans measure the power of the atmospheric emission as a function of the airmass while tipping the telescope from high to low elevation. A skydip procedure consists of two steps: a hot-sky calibration scan, to provide an absolute measurement of the sky temperature, followed by a continuous tip scan in elevation; see also Sect. 9.5.
9 Performance on the sky and sensitivity
9.1 Number of channels
![]() |
Figure 10: Footprint of LABOCA on sky, measured with a beam map on the planet Mars. The ellipses represent the FWHM shape of each beam on sky, as given by a two-dimensional Gaussian fit to the single-channel map of each bolometer. Only bolometers with useful signal-to-noise ratios are shown in this map. See also Fig. 12. |
| Open with DEXTER | |
At the time of the commissioning, the number of channels with sky response was 266 (90% of the nominal 295 bolometers). Of these, 6 channels show cross-talk and 12 channels have low sensitivity (less than 10% of the mean responsivity). Two additional bolometers have been blinded by blocking their horn antennas with absorber material so they can be used to monitor the temperature fluctuations of the array. The number of channels used for astronomical observations is therefore 248 (84% yield, see Fig. 10).
9.2 Array parameters
Position on sky and relative gain of each bolometer are derived from
fully sampled maps (hereafter called beam maps) of the planets
Mars and Saturn (see Fig. 10), besides giving a realistic
picture of the optical distortions over the FoV. Variations among
maps were found to be within a few arc seconds for the positions and
below 10% for peak flux densities. A table with average receiver
parameters (RCP)
is periodically computed from beam maps and implemented in the BoA software (see Sect. 10).
The accuracy of the relative bolometer positions from this master RCP is
typically below 1'' (5% of the beam size) and the gain accuracy is
better than 5%, confirming the good quality (small distortion over
the entire FoV) of the tertiary optics (see also
Sect. 2).
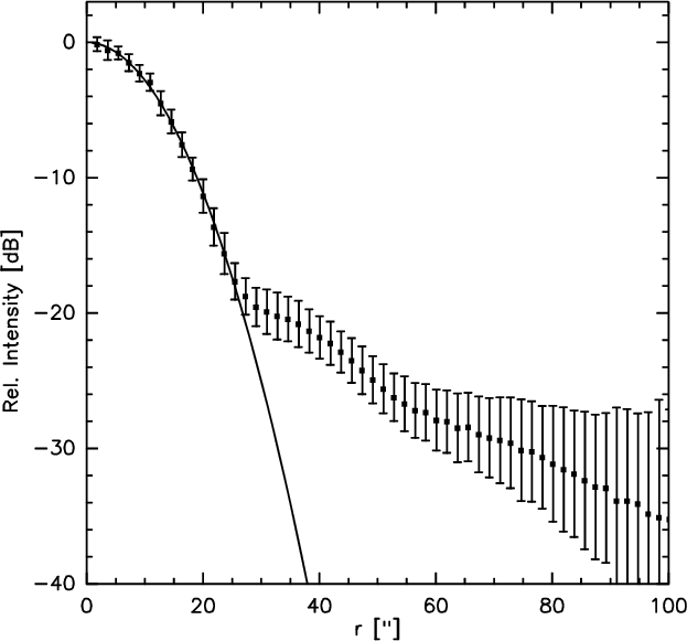
9.3 Beam shape
![]() |
Figure 11:
Radial profile of the LABOCA beam derived by averaging the beams of all 248 functional bolometers
from fully sampled maps on Mars. The error bars show the standard deviation.
The main beam is well described by a Gaussian with a FWHM of
|
| Open with DEXTER | |
The LABOCA beam shape was derived for individual bolometers from fully
sampled maps on Mars (see Fig. 10) as well as on pointing
scans on Uranus and Neptune. Both methods lead to comparable results
and give an almost circular Gaussian with a FWHM of
(after deconvolution from the source
and pixel sizes). We also investigated the error beam pattern of LABOCA
on beam maps on Mars and Saturn (see Fig. 11). The
beam starts to deviate from a Gaussian at -20 dB (1% of the peak
intensity). The first error beam pattern can be approximated by a
Gaussian with a peak of -18.3 dB and a FWHM of
,
the
support legs of the subreflector are visible at the -25 dB (0.3%
level). The fraction of the power in the first error beam is
18%.
9.4 Calibration
The astronomical calibration was achieved on Mars, Neptune and Uranus
and a constant conversion factor of
Jy beam-1
V-1 was
determined between LABOCA response and flux density. For the determination
of the calibration factor we have used the fluxes of planets determined with
the software ASTRO
.
The overall calibration accuracy for LABOCA is about 10%.
We have also defined a list of secondary calibrators
and calibrated them against the planets (see Appendix A).
In order to improve the absolute flux determination, the calibrators
are observed routinely every
2 h between observations of
scientific targets.
9.5 Sky opacity determination
Atmospheric absorption in the passband of LABOCA attenuates the astronomical signals as
where the line of sight optical depth
can be as high as 1 for observations at low elevation
with 2 mm of precipitable water vapor (PWV), typical limit for observations with LABOCA.
The accuracy of the absolute calibration, therefore, strongly depends on the precision in the determination of
.
We use two independent methods for determining
.
The first one relies on the PWV level measured every minute by the APEX radiometer broadly along the line of sight.
The PWV is converted into
using an atmospheric transmission model (ATM, Pardo et al. 2001) and
the passband of LABOCA (see Sect. 4.1). The accuracy of this approach is limited by the knowledge of the passband,
the applicability of the ATM and the accuracy of the radiometer.
The second method uses skydips (see Sect. 8.2.3).
As the telescope moves from high to low elevation,
increases with airmass.
The increasing atmospheric load produces an increasing total power signal converted
to effective sky temperature (
)
by direct comparison with a reference hot load.
The dependence of
on elevation is then fitted to determine the zenith opacity
,
used as parameter (see, e.g., Chapman et al. 2004).
Since LABOCA is installed in the Cassegrain cabin of APEX, when performing skydips the receiver suffers a wide,
continuous rotation (about 70 degrees in 20 s), which affects the stability of the sorption cooler,
thus inducing small variations of the bolometers temperature (
1-2 mK).
These temperature fluctuations mimic an additional total power signal with amplitude comparable to the atmospheric signal.
The bolometers temperature, however, is monitored with high accuracy by the 3He-stage thermometer (see Sect. 3.3)
and by the two blind bolometers (see Sect. 9.1), making possible a correction of the skydip data.
The values of
resulting from the skydip analysis are robust,
yet up to
30% higher than those obtained from the radiometer.
There are several possible explanation for the discrepancy:
it could be the result of some incorrect assumptions going into the skydip model (e.g. the sky temperature),
or the model itself may be incomplete. The non-linearity of the bolometers can be another factor.
The detector responsivities are expected to change with the optical load as
(to first order in
),
where
can be related to the bolometer constants (Mather 1984) and the optical configuration.
Combined with the sky response, the bolometer non-linearities would increase the effective skydip
by a factor
.
Our practical approach to reconciling the results obtained with the two methods has been to use a linear combination
of radiometer and skydip values such that it gives the most consistent calibrator fluxes
at all elevations
.
The excellent calibration accuracy of LABOCA (see Appendix A) underscores this approach.
9.6 Sensitivity
The noise-weighted mean point-source sensitivity of the array (noise-equivalent flux density, NEFD) determined from on-sky integrations, is 55 mJy s1/2 (sensitivity per channel). This value is achieved only by filtering the low frequencies (hence large scale emission) to reject residual sky-noise. For extended emission, without low frequency filtering, there is a degradation of sensitivity to a mean array sensitivity of 80-100 mJy s1/2 depending on sky stability. However, there are significant variations of the sensitivity across the array (see Fig. 12, top).
![]() |
Figure 12: Top: effective point source sensitivities (after low frequencies filtering) of all the useful bolometers of LABOCA (color scale in Jy beam-1). The positions were determined from beam maps on Mars, thus providing a realistic picture of the optical distortions over the FoV (see also Fig. 10). Bottom: distribution of the effective point source sensitivities on the LABOCA array (5 mJy s1/2 binning). The total mapping speed of the array is as if the 250 good bolometers were all identical at a level of 54.5 mJy beam-1 s1/2 (thick black line). The median sensitivity is also shown (dotted line). |
| Open with DEXTER | |
For detection experiments of compact sources with known position,
LABOCA can be centered on the most sensitive part of the array rather
than on the geometric center. This results in an improved point source
sensitivity of
40 mJy s1/2 for compact mapping pattern
like spirals.
9.7 Mapping speed and time estimate
The relation between the expected residual rms map noise
,
the surveyed
area on the sky and the integration time can be expressed as
![]() |
(1) |
where
,
are the dimensions of the area covered by
the scanning pattern, D is the size of the array,
is the
area of the LABOCA beam,
is the number of working
bolometers,
is the on source integration time, NEFD is the
average array sensitivity,
is the number of grid points
per beam and
the line-of-sight opacity.
This formula
9.8 Noise behavior in deep integrations
![]() |
Figure 13: Noise behavior for deep integrations has been studied by co-adding about 350 h of blank-field data. The plot shows the effective residual rms noise on sky. |
| Open with DEXTER | |
In order to study how the noise averages down with increasing integration time, about 350 h of blank-field mapping observations have been co-added with randomly inverted signs to remove any sources while keeping the noise structure. As shown in Fig. 13, the noise integrates down with t-1/2, as expected.
10 Data reduction
LABOCA data are stored in MB-FITS format (Multi-Beam FITS) by the data writer embedded in APECS. A new software package has been specifically developed to reduce LABOCA data: the Bolometer array data Analysis software (BoA). It is mostly written in the Python language, except for the most computing demanding tasks, which are written in Fortran90.
BoA was first installed and integrated in APECS in early 2006. An extensive description of its functionalities will be given in a separate paper (Schuller et al., in prep.). In this section, we outline the most important features for processing LABOCA data.
10.1 On-line data reduction
During the observations carried out at APEX, the on-line data
calibrator (as part of APECS) performs a quick data reduction of each
scan to provide the observer with a quick preview of the maps or
spectra being observed. This is of particular importance for the
basic pointing and focus observing modes, for which the on-line
calibrator computes and sends back to the observer the pointing
offsets or focus corrections to be applied. For both focus and
pointing scans, only a quick estimate of the correlated noise (see
below) is computed and subtracted from the data. The focus correction
is derived from a parabolic fit to the peak flux measured by the
reference bolometer as a function of the subreflector position. For
pointing scans, the signals of all usable channels are combined into a
map of the central
area, in horizontal coordinates. A
two-dimensional elliptical Gaussian is then fitted to the source in
this map, which gives the pointing offsets, as well as the peak flux
and the dimensions of minor and major axis of the source.
10.2 Off-line data reduction
The BoA software can also be used off-line to process any kind of bolometer data acquired at APEX. The off-line BoA runs in the interactive environment of the Python language. In a typical off-line data reduction session, several scans can be combined together, for instance to improve the noise level on deep integrations, or to do mosaicing of maps covering adjacent areas. The result of any data reduction can be stored in a FITS file using standard world coordinate system (WCS) keywords, which can then be read by other softwares for further processing (e.g. source extraction, or overlay with ancillary data).
The common steps involved in the processing of LABOCA data are the following:
- Flux calibration. A correct scaling of the flux involves, at least, two steps: the opacity correction and the counts-to-Jy conversion. The zenith opacity is derived from skydip measurements (see Sects. 8.2.3 and 9.5), and the line of sight opacity also depends on the elevation. The counts-to-Jy factor has been determined during the commissioning of the instrument, but additional correction factors may be applied, depending on the flux measured on calibrators with known fluxes (see Sect. 9.4).
- Flagging of bad
channels. Bolometers not responding or with strong excess noise are
automatically identified from their rms noise being well outside the
main distribution of the rms noise values across the array. They can
be flagged, which means that the signal that they recorded is not used
any further in the processing.
![\begin{figure}
\par\includegraphics[width=8.5cm,clip]{Old/1454fig14top.eps}\par\includegraphics[width=8.5cm,clip]{1454fig14bottom.eps}
\end{figure}](/articles/aa/full_html/2009/15/aa11454-08/Timg51.png)
Figure 14: Time series of a bolometer signal on blank sky at consecutive steps during the data reduction process with BoA. The signals, labeled from 1 to 5, are shown for: 1) original signal on sky; 2) after correcting for system temperature variations using the blind bolometers (
200
K during this scan);
3) after median skynoise removal over the full array, one single iteration;
4) after median skynoise removal over the full array, 10 iterations;
5) after correlated noise removal, grouping the channels by amplifier and cable, 5 iterations (shifted to a -3 level, for clarity).Open with DEXTER - Flagging of stationary points. The data acquired when the telescope was too slow to produce a signal inside the useful part of the post-detection frequency band of LABOCA (e.g. below 0.1 Hz, see Sect. 8.1 and Fig. 8) can be flagged. Data obtained when the telescope acceleration is very high may show some excess noise, and can also be flagged.
- Correlated noise removal. This can be done using a Principal Components Analysis (PCA), or a median noise removal method. In the latter case, the median value of all (normalized) signals is computed at each timestamp, and subtracted from the signal of each channel (with appropriate relative gains). This can be performed using all beams at once or better on groups of selected beams. In fact, some groups of channels sharing the same electronics subsystem (e.g. amplifier box, flat cable) can show strong correlation and removing the median signal on those groups of channels greatly improves their signal-to-noise ratio. However, it should be noted that an astronomical source with extended uniform emission on scales of several arcmin or larger would mimic the correlated noise behavior of groups of channels. Therefore, subtracting the median noise results in filtering out some fraction of the extended emission, depending on the size and morphology of the source.
- Despiking. Data points that deviate by more than a given factor times the standard deviation in each channel can be flagged.
- Data weighting and map making. To build a map in
horizontal or equatorial coordinates, the data of all usable channels
are projected onto a regular grid and co-added, using a weighted
average, with weights computed as 1/rms
,
where rms
refers to the rms noise of an individual channel. The channel rms
noise can either be the standard deviation of the data over the full
time line, or it can be computed on a sliding window containing a
given number of integrations.
Additional (optional) steps that can improve the final reduction include: removing slow variations from the signal, by subtracting a polynomial baseline or by filtering out low frequencies in the Fourier domain; smoothing of the map with a Gaussian kernel of a given size.
The map resulting from a full reduction can be used as a model of the astronomical source to mask the data, in order to repeat some computations without using data points corresponding to the source in the map. This iterative scheme helps in the difficult task to recover the extended emission and reduces the generation of artifacts around strong sources. In the presence of bright sources in the map, a typical data reduction should first perform the reduction steps as listed above with conservative parameters (for example, using high enough thresholds in the despiking to avoid flagging out the strong sources), and should then read again the raw data, use the resulting map to temporarily flag out datapoints corresponding to bright sources, and repeat the full process with less conservative parameters.
In addition to the data processing itself, BoA allows visualization of the data in different ways (signal vs. time, correlation between channels, power spectra or datagrams), as well as the telescope pattern, speed and acceleration. Finally, BoA also includes a simulation module, which can be used to investigate the mapping coverage for on-the-fly maps, spirals and raster of spirals, given the bolometer array parameters.
11 Science with LABOCA
Because of its spectral passband, centered at the wavelength of
870
m (see Fig. 5), LABOCA is particularly
sensitive to thermal emission from cold objects in the Universe which
is of great interest for a number of astrophysical research fields.
11.1 Planet formation
The study of Kuiper Belt Objects in the Solar System as well as
observations of debris disks of cold dust around nearby main sequence
stars can give vital clues to the formation of our own planetary
system and planets in general. With its angular resolution of 19
(see Fig. 11) LABOCA can resolve the debris disks of
some nearby stars.
11.2 Star formation in the Milky Way
![]() |
Figure 15:
A map of the galactic center, extracted from the project ATLASGAL (Schuller et al., in prep.).
The map is |
| Open with DEXTER | |
The outstanding power of LABOCA in mapping large areas of sky with
high sensitivity (see Fig. 15) makes it possible,
for the first time, to perform unbiased surveys of the distribution
of the cold dust in the Milky Way.
As the dust emission at 870
m is typically optically thin, it is
a direct tracer of the gas column density and gas mass. Large scale
surveys in the Milky Way will reveal the distribution and gas
properties of a large number of pre-star cluster clumps and
pre-stellar cores in different environments and evolutionary
states. Equally importantly, they provide information on the structure
of the interstellar medium on large scales at high spatial resolution,
little explored so far. Such surveys are vital to improve our
understanding of the processes that govern star formation as well as
the relation between the clump mass spectrum and the stellar initial
mass function. Large unbiased surveys are also critical for finding
precursors of high-mass stars, which are undetectable at other
wavelengths due to the high obscuration of the massive cores they are
embedded in. LABOCA will help to obtain a detailed understanding of
their evolution. In addition, deep surveys of nearby, star-forming
clouds, will allow study of the pre-stellar mass function down to the
brown dwarf regime.
11.3 Cold gas in galaxies
The only reliable way to trace the bulk of dust in galaxies is through imaging at submillimeter wavelengths. It is becoming clear that most of the dust mass in spiral galaxies lies in cold, low surface-brightness disks, often extending far from the galactic nucleus, as in the case of the starburst galaxy NGC 253 or of NGC 5128 (Cen A, see Fig. 16 and Weiß et al. 2008).
![]() |
Figure 16: Map of the nearby galaxy Centaurus A (NGC 5128, from Weiß et al. 2008). The central dust disk has a pronounced S-shape. Our LABOCA image shows, for the first time at submillimeter wavelengths, the synchrotron emission from the radio jets and the inner radio lobes. Its distribution follows closely the known radio emission at cm wavelengths. The color scale is in units of Jy beam-1. The residual rms noise is 4 mJy beam-1 and the total integration time is 5 h. |
| Open with DEXTER | |
In addition to studying individual nearby galaxies, LABOCA will be vital for determining the low-z benchmarks, such as the local luminosity and dust mass functions, which are required to interpret information from deep cosmological surveys.
11.4 Galaxy formation at high redshift
Due to the negative-K correction, submillimeter observations offer
equal sensitivity to dusty star-forming galaxies over a redshift range
from
1-10 and therefore provide information on the star
formation history at epochs from about half to only 5% of the present
age of the universe. Recent studies have shown that the volume density
of luminous submillimeter galaxies (SMGs) increases over a
thousand-fold out to
(Chapman et al. 2005), and thus,
in contrast to the local Universe, luminous obscured galaxies at high
redshift could dominate the total bolometric emission from all
galaxies at early epochs. The mass-tracing property of submillimeter
dust emission (see Sect. 1.1) allows us to make a direct estimate
of the star formation rates (SFRs) of these objects. The generally high
observed SFRs suggest that approximately half of all the stars that
have formed by the present day may have formed in highly obscured
systems which remain undetected at optical or near-infrared
wavelengths. One example for such system is the submillimeter galaxy
SMM J14009+0252 (see Fig. 17), which is strong in the
submillimeter range, has a 1.4 GHz radio counterpart, but no obvious
counterpart in deep K-band images (Ivison et al. 2000).
Clearly it is critical to include these highly obscured sources in
models of galaxy formation to obtain a complete understanding of the
evolution of galaxies.
With its fast mapping capabilities LABOCA allows us to map fields of a
half square degree, a typical size of a deep cosmological field
surveyed at other wavelengths, down to the confusion limit in a
reasonable amount of observing time. This will also greatly improve
the statistics of high redshift galaxies detected at submillimeter
wavelengths. See Beelen et al. (2008) for the first deep LABOCA
cosmology imaging.
![]() |
Figure 17: LABOCA images of SMM J14011+0252 ( left) and SMM J14009+0252 ( right) smoothed to 25'' resolution. SMM J14011 is at a redshift of z=2.56 while SMM J14009 has no reliable redshift determination. The noise level of the map is about 2.5 mJy beam-1. |
| Open with DEXTER | |
12 Future plans
In collaboration with the Institute for Photonics Technology (IPHT, Jena, Germany)
we are working on a new bolometer array, LABOCA-2, using
superconducting technology. The new array will use superconducting
thermistors (transition edge sensor, TES), planar dipole absorbers,
SQUID (Superconducting Quantum Interference Device) multiplexing and
amplification. A system already using the same technology, called
Submillimeter APEX Bolometer Camera (SABOCA) is going to be
commissioned as facility instrument on the APEX telescope for
operation in the 350
m atmospheric window. Additionally, given
the low sensitivity of superconducting bolometers to microphonics, it
will be possible to move from the wet cryostat to a pulse-tube cooler,
as already successfully tested at MPIfR in Bonn, improving
considerably the conditions of operability of the system.
Acknowledgements
The authors would like to thank the staff at the APEX telescope for their support during installation and commissioning of the instrument. Special thanks to Lars-Åke Nyman (ESO, APEX station manager at the time of the commissioning) for his invaluable help and for his belief in the project even in the most difficult moments. E.K. enjoyed the hospitality and help provided by the staff and many student members of the Microfabrication Facility of UC Berkeley during the manufacture of the LABOCA wafer.
Appendix A: Secondary calibrators
A.1 The absolute flux scale and secondary calibrators
Table A.1: Properties of the secondary calibrators defined with LABOCA.
![]() |
Figure A.1: Maps of the secondary calibrators imaged with LABOCA (ordered in right ascension). Contours are shown at: 0.75, 1.5, 3.0 Jy beam-1 for CRL 618; 0.08, 0.15, 0.5, 1.0 Jy beam-1 for V883 ORI; 0.1, 0.4, 1.0, 3.0, 5.0, 8.5 Jy beam-1 for NGC 2071; 0.1, 0.4, 1.0, 1.4 Jy beam-1 for VY CMa; 0.5, 1.0, 3.0, 5.0, 11.0 Jy beam-1 for IRAS 13134-6264; 0.6, 1.5, 3.0, 5.0, 10.0, 15.0 Jy beam-1 for IRAS 16293-2422; 0.3, 1.0 3.0 10.0, 30.0 Jy beam-1 for G10.62-0.38; 0.2, 1.0, 2.0, 5.0, 10.0, 20.0, 40.0, 55.0 Jy beam-1 for G34.26+0.15; 0.13, 0.5, 1.0 2.5, 5.0, 8.0 Jy beam-1 for G45.12+0.13; 0.5, 1.0, 2.0, 5.0, 10.0, 15.0 Jy beam-1 for K3-50A; 1.0 3.0, 5.0 Jy beam-1 for CRL 2688. |
| Open with DEXTER | |
The absolute flux density calibration of (sub)millimeter photometry is usually established via observations of planets with well characterized temperature models and angular sizes smaller than the telescope beam (19'' for LABOCA on APEX, see 9.3). Thus, the primary calibrators for LABOCA are Mars, Uranus, and Neptune. A planet's flux density is, to first order, determined by its angular size and its temperature at the time of observation, which in turn is determined by its insolation. The situation is complicated, a.o., by diurnal temperature variations and the physics and composition of the planetary atmospheres (see, e.g., Hildebrand et al. 1985; Ulich 1981; Griffin et al. 1986; Orton et al. 1986).
In practice good calibration of science data requires frequent comparisons to calibration sources,
preferably near the science target, to eliminate systematic calibration effects
(mostly elevation dependent).
For this reason, the small number of primary calibrators
(only three for LABOCA), cannot serve all scientific calibration needs.
It is therefore highly desirable to have a list of additional
compact objects that serve as secondary calibrators provided their
fluxes have been determined with particular care via comparisons to
the primary calibration sources. A variety of secondary calibrators, with flux densities determined at various wavelengths
350
m
mm, using the 15 m James Clerk Maxwell Telescope (JCMT),
has been published by Sandell (1994).
A.2 LABOCA observations of secondary calibrators
Since its commissioning, in May 2007, we have used LABOCA at APEX to observe a number of sources which serve as secondary calibrators. The sample, which is partially based on Sandell (1994), consists of ultracompact H II regions, protostellar objects, and AGB stars. LABOCA observations of secondary calibrators are typically done in raster-spiral mode leading to a fully sampled map for each scan. In Fig. A.1 we present images centered on the LABOCA secondary calibrators, which have been calculated by averaging several raster-spiral scans for each source. In Table A.1 we summarize their properties.
For each scan, we fitted elliptical Gaussian profiles to the observed flux density distribution. The flux values quoted in the table are averages, while the uncertainties represent the rms scatter of the individually fitted peaks. The fitting errors are generally much smaller than the intrinsic calibration scatter. The quoted uncertainties, therefore, represent the typical LABOCA calibration accuracy including systematic effects such as uncertainties in the focus and errors propagated from the opacity determination.
The typical uncertainty of the secondary calibrator fluxes is about 7%,
comparable to the 8% scatter on the primary calibrators
(namely Mars, Uranus and Neptune,
700 observations)
derived in the same way and using the flux predictions from the ASTRO model (see Sect. 9.4).
We are thus confident that the calibrator fluxes listed in Table A.1 are accurate to
10%.
In addition to the averaged Gaussian peak flux densities (brightness) we also list, for each calibrator source, the peak flux density measured on the co-added maps (which differs from the Gaussian peak value for extended, structured sources), the flux integrated over a Gaussian fitted to the images shown in Fig. A.1, the apparent major and minor axes and the mean position angles.
A.3 Discussion
Most of the secondary calibrators defined with LABOCA are also included in the study of Sandell (1994), where photometric flux densities in the JCMT beam are quoted. At the wavelength
,
the closest to the LABOCA's center wavelength among the ones used by Sandell,
the reported beam is
,
comparable to LABOCA's 19'' (see Sect. 4.1).
Comparison of the peak flux densities measured with LABOCA and the ones from Sandell (1994) shows remarkable agreement. Our peak flux densities on the maps (which is the appropriate value for comparison to the photometric flux, in particular, for non-Gaussian, extended sources) agree with photometric values given by Sandell to within 5% on average (excluding VY CMa). VY CMa is, in fact, known to be variable (Knapp & Woodhams 1993) and our 2007-2008 measurements show flux densities about 40% lower than the values observed in 1989-1991 by Sandell.
The secondary calibrators all have some line emission (e.g. CO(3-2)), which might be a significant fraction of the total for some of them. The line contamination in the fluxes measured by LABOCA, however, has no impact on the calibration of LABOCA science data.
References
- Beelen, A., Omont, A., Bavouzet, N., et al. 2008, A&A, 485, 645 [NASA ADS] [CrossRef] [EDP Sciences] (In the text)
- Bertoldi, F., Carilli, C. L., Cox, P., et al. 2003, A&A, 406, L55 [NASA ADS] [CrossRef] [EDP Sciences]
- Beuther, H., Schilke, P., Menten, K. M., et al. 2002, ApJ, 566, 945 [NASA ADS] [CrossRef] (In the text)
- Blain, A. W., & Longair, M. S. 1993, MNRAS, 264, 509 [NASA ADS] (In the text)
- Blain, A. W., Smail, I., Ivison, R. J., Kneib, J.-P., & Frayer, D. T. 2002, Phys. Rep., 369, 111 [NASA ADS] [CrossRef] (In the text)
- Carilli, C. L., Bertoldi, F., Rupen, M. P., et al. 2001, ApJ, 555, 625 [NASA ADS] [CrossRef]
- Chapman, I. M., Naylor, D. A., & Phillips, R. R. 2004, MNRAS, 354, 621 [NASA ADS] [CrossRef] (In the text)
- Chapman, S. C., Blain, A. W., Smail, I., & Ivison, R. J. 2005, ApJ, 622, 772 [NASA ADS] [CrossRef] (In the text)
- Duband, L., Clerc, L., & Ravex, A. 2002, in Advances in Cryogenic Engineering CEC, ed. S. Breon, M. Dipirro, D. Glaister, J. Hull, P. Kittel, V. R. R. Pecharsky, J. Theilacker, S. van Sciver, J. I. Weisend, & A. Zeller, Amer. Inst. Phys. Conf. Ser., 613, 1233 (In the text)
- Griffin, M. J., Ade, P. A. R., Orton, G. S., et al. 1986, Icarus, 65, 244 [NASA ADS] [CrossRef]
- Güsten, R., Nyman, L. Å., Schilke, P., et al. 2006, A&A, 454, L13 [NASA ADS] [CrossRef] [EDP Sciences] (In the text)
- Haller, E. E., Palaio, N. P., Rodder, M., Hansen, W. L., & Kreysa, E. 1982, Presented at the 4th Intern. Neutron Transmutation Doping Conf., Gaithersburg, Md., 1-3 June, 83, 28412 (In the text)
- Hildebrand, R. H., Loewenstein, R. F., Harper, D. A., et al. 1985, Icarus, 64, 64 [NASA ADS] [CrossRef]
- Holland, W. S., Robson, E. I., Gear, W. K., et al. 1999, MNRAS, 303, 659 [NASA ADS] [CrossRef] (In the text)
- Ivison, R. J., Smail, I., Barger, A. J., et al. 2000, MNRAS, 315, 209 [NASA ADS] [CrossRef] (In the text)
- Johnstone, D., Matthews, H., & Mitchell, G. F. 2006, ApJ, 639, 259 [NASA ADS] [CrossRef]
- Knapp, G. R., & Woodhams, M. 1993, in Massive Stars: Their Lives in the Interstellar Medium, ed. J. P. Cassinelli, & E. B. Churchwell, ASP Conf. Ser., 35, 199 (In the text)
- Kovács, A. 2008, in SPIE Conf. Ser., 7020 (In the text)
- Kreysa, E. 1990, in Liege International Astrophysical Colloquia, ed. B. Kaldeich, Liege International Astrophysical Colloquia, 29, 265 (In the text)
- Kreysa, E., Gemünd, H.-P., Gromke, J., et al. 1999, Infrared Physics and Technology, 40, 191 [NASA ADS] [CrossRef] (In the text)
- Kreysa, E., Gemünd, H.-P., Raccanelli, A., Reichertz, L. A., & Siringo, G. 2002, in Experimental Cosmology at Millimetre Wavelengths, ed. M. de Petris, & M. Gervasi, American Institute of Physics Conf. Ser., 616, 262 (In the text)
- Low, F. J. 1961, J. Optical Society of America (1917-1983), 51, 1300 [NASA ADS] [CrossRef]
- Martin, R. N., & Baars, J. W. M. 1990, in SPIE Conf. Ser., 1235, 503 (In the text)
- Mather, J. C. 1984, Appl. Opt., 23, 584 [NASA ADS] [CrossRef]
- Mezger, P. G., Zylka, R., & Wink, J. E. 1990, A&A, 228, 95 [NASA ADS] (In the text)
- Motte, F., Andre, P., & Neri, R. 1998, A&A, 336, 150 [NASA ADS] (In the text)
- Motte, F., Bontemps, S., Schilke, P., et al. 2007, A&A, 476, 1243 [NASA ADS] [CrossRef] [EDP Sciences]
- Muders, D., Hafok, H., Wyrowski, F., et al. 2006, A&A, 454, L25 [NASA ADS] [CrossRef] [EDP Sciences] (In the text)
- Nyman, L.-Å., Lerner, M., Nielbock, M., et al. 2001, The Messenger, 106, 40 [NASA ADS] (In the text)
- Orton, G. S., Griffin, M. J., Ade, P. A. R., Nolt, I. G., & Radostitz, J. V. 1986, Icarus, 67, 289 [NASA ADS] [CrossRef]
- Pardo, J. R., Cernicharo, J., & Serabyn, E. 2001, IEEE Trans. Antennas Propag., 49, 1683 [NASA ADS] [CrossRef] (In the text)
- Reichertz, L. A., Weferling, B., Esch, W., & Kreysa, E. 2001, A&A, 379, 735 [NASA ADS] [CrossRef] [EDP Sciences] (In the text)
- Sandell, G. 1994, MNRAS, 271, 75 [NASA ADS] (In the text)
- Schwan, D., Bertoldi, F., Cho, S., et al. 2003, New Astron. Rev., 47, 933 [NASA ADS] [CrossRef] (In the text)
- Siringo, G., Kreysa, E., Reichertz, L. A., & Menten, K. M. 2004, A&A, 422, 751 [NASA ADS] [CrossRef] [EDP Sciences] (In the text)
- Ulich, B. L. 1981, AJ, 86, 1619 [NASA ADS] [CrossRef]
- Wang, R., Wagg, J., Carilli, C. L., et al. 2008, AJ, 135, 1201 [NASA ADS] [CrossRef]
- Weiß, A., Kovács, A., Güsten, R., et al. 2008, A&A, 490, 77 [NASA ADS] [CrossRef] [EDP Sciences] (In the text)
Footnotes
- ... (sub)millimeter
- Hereafter we will use the term (sub)millimeter when referring, in general, to the millimeter and submillimeter wavelengths range; we will use submillimeter when strictly referring to wavelengths from one millimeter down to the far-infrared.
- ...
APEX
- APEX is a collaborative effort between the Max-Planck-Institut für Radioastronomie of Bonn (MPIfR, 50%), the European Southern Observatory (ESO, 27%) and the Onsala Space Observatory (OSO, 23%).
- ...
ZEMAX
- http://www.zemax.com/
- ... Halverson
- Formerly at University of California at Berkeley, now at University of Colorado, Boulder, USA.
- ... Kugler
- http://www.kugler-precision.com/
- ... Antennentechnik
- http://www.vertexant.de/
- ... absorbing
- ECCOSORB AN, Emerson & Cuming, Rundolph, MA, USA, http://www.eccosorb.com
- ... Labs
- http://www.irlabs.com/
- ...
Air-Liquide
- http://www.airliquide.com/
- ... LS218
- http://www.lakeshore.com/temp/mn/218po.html
- ... AVS-47
- http://www.picowatt.fi/avs47/avs47.html
- ... Elektrotechnik
- http://www.tet.uni-wuppertal.de/
- ... Inc.
- http://www.mini-systemsinc.com/
- ...
Kapton
- DuPont, http://www2.dupont.com/Kapton/en_US/
- ... Leiterplattentechnologie
- http://www.vaas-lt.de/
- ... protocol
- Inter-Integrated Circuit, a serial bus to connect hardware devices.
- ...C-to-RS232
- Recommended Standard 232, a standard for serial binary data communication.
- ... Instruments
- http://www.ni.com/
- ... RTSI
- Real-Time System Integration, a bus used to share and exchange timing and control signals between multiple boards.
- ...
(PCI-SyncClock32
- http://www.brandywinecomm.com
- ...
IRIG-B
- Inter Range Instrumentation Group, standardized time code format.
- ...
LabVIEW
- http://www.ni.com/labview/
- ... NI-DAQmx
- http://www.ni.com/dataacquisition/nidaqmx.htm
- ... CORBA
- Common Object Request Broker Architecture, a set of standards which define the protocol for interaction between the objects of a distributed system.
- ... (RCP)
- The latest RCP table is available at: http://www.apex-telescope.org/bolometer/laboca/calibration/LABOCA-centred.rcp
- ... ASTRO
- GILDAS package, http://www.iram.fr/IRAMFR/GILDAS
- ... elevations
- A text file (BoA readable, see Sect. 10) containing the zenith opacities calculated from the skydips and the radiometer is available at: http://www.apex-telescope.org/bolometer/laboca/calibration/opacity/
- ... formula
- An online time estimator is available at: http://www.apex-telescope.org/bolometer/laboca/obscalc/
All Tables
Table A.1: Properties of the secondary calibrators defined with LABOCA.
All Figures
![]() |
Figure 1: Wiring side of a naked LABOCA array. Each light-green square is a bolometer. |
| Open with DEXTER | |
| In the text | |
![]() |
Figure 2: Scheme of the infrastructure of LABOCA. The instrument is located in the Cassegrain cabin (dashed red line) of APEX, remote operation is a requirement and all the communication goes through the local area network (magenta arrows) and a direct Ethernet link between backend and bridge computers. The black lines show the flow of the bolometer signals, the orange ones show the configuration and monitoring communication. |
| Open with DEXTER | |
| In the text | |
![]() |
Figure 3: Overview of the optics. On the left, the APEX telescope. On the right, a zoom on the tertiary optics installed in the Cassegrain cabin. See also Fig. 4. |
| Open with DEXTER | |
| In the text | |
![]() |
Figure 4: Top: the mirrors affixed to the floor of the Cassegrain cabin of APEX. Left to right: M7, M5, M3 and one of the mirrors of the ASZCa experiment. In this picture, mirror M3 is positioned for ASZCa. Bottom: the receiver, M3 in the position for LABOCA, M5, M6 and M7. See also Fig. 3. |
| Open with DEXTER | |
| In the text | |
![]() |
Figure 5: Spectral response of LABOCA, relative to the maximum. The central frequency is 345 GHz, the portion with 50% or more transmission is between 313 and 372 GHz. |
| Open with DEXTER | |
| In the text | |
![]() |
Figure 6: Pictures of the bolometer array of LABOCA. Left: a detail of the array mounted in its copper ring. Some bonding wires are visible. Center: the side of the array where the bolometer cavities are etched in the silicon wafer. Right: wiring side of the array. The thermistors are visible as small cubes on the membranes. One broken membrane is visible on the top left corner. See also Fig. 1. |
| Open with DEXTER | |
| In the text | |
![]() |
Figure 7: Wiring side of one bolometer of LABOCA, seen under a microscope. The membrane is the green colored area. The black box is the NTD thermistor. The wiring is made of gold (yellow) and niobium (gray) thin metal layers. See also Fig. 6. |
| Open with DEXTER | |
| In the text | |
![]() |
Figure 8:
Noise spectra for selected bolometers on a room temperature absorber (capped optics).
The signals, sampled at 1 kHz, were downsampled in real-time to 25 Hz by the bridge computer.
The spectra are free of microphonic pick-ups and show the 1/f noise onset at |
| Open with DEXTER | |
| In the text | |
![]() |
Figure 9:
Examples of raster-spiral patterns. The two plots show the scanning pattern of the central beam
of the array in horizontal coordinates. The compact pattern shown in
the top panel is optimized to map the field of view of LABOCA.
The large scale map shown in the bottom panel consists of 25 raster
positions and covers a field of
|
| Open with DEXTER | |
| In the text | |
![]() |
Figure 10: Footprint of LABOCA on sky, measured with a beam map on the planet Mars. The ellipses represent the FWHM shape of each beam on sky, as given by a two-dimensional Gaussian fit to the single-channel map of each bolometer. Only bolometers with useful signal-to-noise ratios are shown in this map. See also Fig. 12. |
| Open with DEXTER | |
| In the text | |
![]() |
Figure 11:
Radial profile of the LABOCA beam derived by averaging the beams of all 248 functional bolometers
from fully sampled maps on Mars. The error bars show the standard deviation.
The main beam is well described by a Gaussian with a FWHM of
|
| Open with DEXTER | |
| In the text | |
![]() |
Figure 12: Top: effective point source sensitivities (after low frequencies filtering) of all the useful bolometers of LABOCA (color scale in Jy beam-1). The positions were determined from beam maps on Mars, thus providing a realistic picture of the optical distortions over the FoV (see also Fig. 10). Bottom: distribution of the effective point source sensitivities on the LABOCA array (5 mJy s1/2 binning). The total mapping speed of the array is as if the 250 good bolometers were all identical at a level of 54.5 mJy beam-1 s1/2 (thick black line). The median sensitivity is also shown (dotted line). |
| Open with DEXTER | |
| In the text | |
![]() |
Figure 13: Noise behavior for deep integrations has been studied by co-adding about 350 h of blank-field data. The plot shows the effective residual rms noise on sky. |
| Open with DEXTER | |
| In the text | |
![]() |
Figure 14:
Time series of a bolometer signal on blank sky at consecutive steps during the data reduction process with BoA. The signals, labeled from 1 to
5, are shown for:
1) original signal on sky;
2) after correcting for system temperature variations using the blind bolometers ( |
| Open with DEXTER | |
| In the text | |
![]() |
Figure 15:
A map of the galactic center, extracted from the project ATLASGAL (Schuller et al., in prep.).
The map is |
| Open with DEXTER | |
| In the text | |
![]() |
Figure 16: Map of the nearby galaxy Centaurus A (NGC 5128, from Weiß et al. 2008). The central dust disk has a pronounced S-shape. Our LABOCA image shows, for the first time at submillimeter wavelengths, the synchrotron emission from the radio jets and the inner radio lobes. Its distribution follows closely the known radio emission at cm wavelengths. The color scale is in units of Jy beam-1. The residual rms noise is 4 mJy beam-1 and the total integration time is 5 h. |
| Open with DEXTER | |
| In the text | |
![]() |
Figure 17: LABOCA images of SMM J14011+0252 ( left) and SMM J14009+0252 ( right) smoothed to 25'' resolution. SMM J14011 is at a redshift of z=2.56 while SMM J14009 has no reliable redshift determination. The noise level of the map is about 2.5 mJy beam-1. |
| Open with DEXTER | |
| In the text | |
![]() |
Figure A.1: Maps of the secondary calibrators imaged with LABOCA (ordered in right ascension). Contours are shown at: 0.75, 1.5, 3.0 Jy beam-1 for CRL 618; 0.08, 0.15, 0.5, 1.0 Jy beam-1 for V883 ORI; 0.1, 0.4, 1.0, 3.0, 5.0, 8.5 Jy beam-1 for NGC 2071; 0.1, 0.4, 1.0, 1.4 Jy beam-1 for VY CMa; 0.5, 1.0, 3.0, 5.0, 11.0 Jy beam-1 for IRAS 13134-6264; 0.6, 1.5, 3.0, 5.0, 10.0, 15.0 Jy beam-1 for IRAS 16293-2422; 0.3, 1.0 3.0 10.0, 30.0 Jy beam-1 for G10.62-0.38; 0.2, 1.0, 2.0, 5.0, 10.0, 20.0, 40.0, 55.0 Jy beam-1 for G34.26+0.15; 0.13, 0.5, 1.0 2.5, 5.0, 8.0 Jy beam-1 for G45.12+0.13; 0.5, 1.0, 2.0, 5.0, 10.0, 15.0 Jy beam-1 for K3-50A; 1.0 3.0, 5.0 Jy beam-1 for CRL 2688. |
| Open with DEXTER | |
| In the text | |
Copyright ESO 2009
Current usage metrics show cumulative count of Article Views (full-text article views including HTML views, PDF and ePub downloads, according to the available data) and Abstracts Views on Vision4Press platform.
Data correspond to usage on the plateform after 2015. The current usage metrics is available 48-96 hours after online publication and is updated daily on week days.
Initial download of the metrics may take a while.
![\begin{figure}
\par\includegraphics[width=9cm, bb=0 0 1260 1260, clip]{1454fig01.eps}
\end{figure}](/articles/aa/full_html/2009/15/aa11454-08/Timg14.png)
![\begin{figure}
\par\includegraphics[width=16.5cm,clip]{1454fig02.eps}
\end{figure}](/articles/aa/full_html/2009/15/aa11454-08/Timg15.png)
![\begin{figure}
\par\includegraphics[width=17cm, bb= 0 0 3149 2306,clip]{1454fig03.eps}
\end{figure}](/articles/aa/full_html/2009/15/aa11454-08/Timg16.png)
![\begin{figure}
\par\includegraphics[width=8.8cm,bb=0 -5 538 375, clip]{1454fig04...
...ludegraphics[width=8.8cm, bb=0 0 540 720,clip]{1454fig04bottom.eps}
\end{figure}](/articles/aa/full_html/2009/15/aa11454-08/Timg17.png)
![\begin{figure}
\par\includegraphics[width=8.8cm, bb=114 90 768 525, clip]{1454fig05.eps}
\end{figure}](/articles/aa/full_html/2009/15/aa11454-08/Timg20.png)
![\begin{figure}
\par\mbox{\includegraphics[width=6cm, bb= 0 0 277 277, clip]{1454...
...degraphics[width=6cm, bb= 0 0 192 192, clip]{1454fig06right.eps} }\end{figure}](/articles/aa/full_html/2009/15/aa11454-08/Timg22.png)
![\begin{figure}
\par\includegraphics[width=8.8cm, bb=15 20 936 630, clip]{1454fig07.eps}
\end{figure}](/articles/aa/full_html/2009/15/aa11454-08/Timg24.png)
![\begin{figure}
\par\includegraphics[width=8.8cm, bb=0 0 726 551,clip]{1454fig08.eps}
\end{figure}](/articles/aa/full_html/2009/15/aa11454-08/Timg25.png)
![\begin{figure}
\par\includegraphics[width=8.5cm, bb=33 3 259 420, clip]{1454fig09.eps}
\end{figure}](/articles/aa/full_html/2009/15/aa11454-08/Timg26.png)
arcsec with uniform residual rms noise.![\begin{figure}
\par\includegraphics[width=8.8cm, bb=65 65 535 525, clip, angle=-90]{1454fig10.eps}
\end{figure}](/articles/aa/full_html/2009/15/aa11454-08/Timg29.png)
![\begin{figure}
\par\includegraphics[width=8.8cm,clip]{1454fig11.eps}
\end{figure}](/articles/aa/full_html/2009/15/aa11454-08/Timg30.png)
and starts to deviate at -20 dB.![\begin{figure}
\par\includegraphics[width=8.8cm, bb=0 -30 698 704, clip]{1454fig...
...graphics[width=8.8cm, bb= 108 57 348 296,clip]{1454fig12bottom.eps}
\end{figure}](/articles/aa/full_html/2009/15/aa11454-08/Timg40.png)

![\begin{figure}
\par\includegraphics[width=8.5cm, bb=0 0 351 357, clip]{1454fig13.eps}
\end{figure}](/articles/aa/full_html/2009/15/aa11454-08/Timg49.png)
![\begin{figure}
\par\includegraphics[angle=180,width=8.3cm,clip]{1454fig15.eps}
\end{figure}](/articles/aa/full_html/2009/15/aa11454-08/Timg56.png)
degrees large, the residual noise is 50 mJy beam-1 and it required only 6 h of
observing time. Data reduced with the BoA package.![\begin{figure}
\par\includegraphics[width=9cm,clip]{1454fig16.eps}
\end{figure}](/articles/aa/full_html/2009/15/aa11454-08/Timg57.png)
![\begin{figure}
\par\includegraphics[width=9cm,clip]{1454fig17.eps}
\end{figure}](/articles/aa/full_html/2009/15/aa11454-08/Timg60.png)
![\begin{figure}
\par\includegraphics[width=18.4cm,clip]{1454fig18.eps}
\end{figure}](/articles/aa/full_html/2009/15/aa11454-08/Timg102.png)