| Issue |
A&A
Volume 498, Number 1, April IV 2009
|
|
|---|---|---|
| Page(s) | 195 - 207 | |
| Section | Stellar structure and evolution | |
| DOI | https://doi.org/10.1051/0004-6361/200810779 | |
| Published online | 18 February 2009 | |
A&A 498, 195-207 (2009)
From outburst to quiescence: the decay of the transient AXP XTE J1810-197
F. Bernardini1,2 - G. L. Israel2 - S. Dall'Osso2,4 - L. Stella2 - N. Rea3 - S. Zane6 - R. Turolla6,7 - R. Perna8 - M. Falanga9 - S. Campana5 - D. Götz9 - S. Mereghetti10 - A. Tiengo10
1 - Università degli Studi di Roma ``Tor Vergata'' via Orazio Raimondo 18, 00173 Roma, Italy
2 - INAF - Osservatorio Astronomico di Roma, via Frascati 33, 00040 Monteporzio Catone (Roma), Italy
3 - University of Amsterdam, Astronomical Institute ``Anton Pannekoek'', Kruislaan 403, 1098 SJ, Amsterdam, The Netherlands
4 - Dipartmento di Fisica ``Enrico Fermi'', Universitá di Pisa, Largo B. Pontecorvo 3, 56127 Pisa, Italy
5 - INAF - Osservatorio Astronomico di Brera, via Bianchi 46, 23807 Merate (Lc), Italy
6 - Mullard Space Science Laboratory University College of London Holmbury St Mary, Dorking, Surrey, RH5 6NT, UK
7 - Department of Physics, University of Padova, via Marzolo 8, 35131 Padova, Italy
8 - JILA, Univ. of Colorado, Boulder, CO 80309-0440, USA
9 - CEA Saclay, DSM/DAPNIA/Service d'Astrophysique, 91191 Gif-sur-Yvette, France
10 - INAF - Istituto di Astrofisica Spaziale e Fisica Cosmica Milano, Via Edoardo Bassini 15, 20133 Milano, Italy
Received 10 August 2008 / Accepted 10 January 2009
Abstract
Aims. XTE J1810-197 is the first transient anomalous X-ray pulsar ever discovered. Its highly variable X-ray flux allowed us to study the timing and spectral emission properties of a magnetar candidate over a flux range of about two orders of magnitude.
Methods. We analyzed nine XMM-Newton observations of XTE J1810-197 collected over a four year baseline (September 2003-September 2007). EPIC PN and MOS data were reduced and used for detailed timing and spectral analysis. Pulse-phase spectroscopic studies were also carried out for observations with a high enough signal-to-noise.
Results. We find that (i) a three-blackbody model reproduces the spectral properties of XTE J1810-197 over the entire outburst statistically better than the two blackbodies model previously used in the literature, (ii) the coldest blackbody is consistent with the thermal emission from the whole surface and has temperature and radius similar to those inferred from ROSAT observations before the outburst onset, (iii) there is a spectral feature around 1.1 keV during six consecutive observations (since March 2005). If this stems from proton resonant cyclotron scattering, it would imply a magnetic field of
G. This closely agrees with the value from the spin period measurements.
Key words: moon - stars: magnetic fields - stars: neutron - X-rays: stars
1 Introduction
Even though isolated neutron stars as a whole are relatively poor X-ray emitters,
two small classes of objects stand out for their
widely variable high-energy emission, which covers several orders of
magnitude both in intensity and in timescales. These objects are the
anomalous X-ray pulsars (AXPs; ten objects plus one candidate) and soft
-ray repeaters (SGRs; 5 objects plus 2 candidates; for a
review see Woods et al. 2006). It is believed that AXPs and SGRs are
linked at some level, owing to their similar timing properties (spin
periods in the 2-12 s range and period derivatives
in the
s s-1 range). Both classes have been
proposed to consist of neutron stars whose emission is powered by the decay of
their extremely strong internal magnetic fields (>1015 G; Duncan
& Thompson 1992; Thompson & Duncan 1995). Different types of X-ray flux variability are displayed by AXPs. From slow and moderate flux
changes (up to a factor of a few) on timescales of years (virtually
all of the objects of the class), to moderate-intense outbursts (flux
variations of a factor up to 10) lasting for 1-3 years
(1E 2259+586, and 1E 1048.1-5973), to dramatic and intense SGR-like
burst activity (fluences of 1036-1038 erg) on subsecond timescales (4U 0142+614, XTE J1810-197, 1E 2259+586, and 1E 1048.1-5973; see for a review of the X-ray variability see Kaspi et al. 2007). The first notable recorded case of flux variability was the 2002 bursting/outbursting event detected from 1E 2259+586, in which
a factor of
10 persistent flux enhancement in an AXP was followed by the onset of bursting activity during which the source emitted more than 80 short bursts (Gavriil et al. 2004; Woods et al. 2004). The timing and spectral properties of the source changed significantly and attained the pre-bursting activity values within a few days.
However, it was only in 2003 that the first transient AXP (TAXP), namely XTE J1810-197, was discovered (Ibrahim et al. 2004). This source
was serendipitously detected by the RXTE satellite, and then localized
and studied in greater detail with the Chandra and XMM-Newton observatories
(Gotthelf et al. 2004; Israel et al. 2004; Rea et al. 2004; Gotthelf & Halpern 2005, 2007). It displayed a persistent flux enhancement by
a factor of >100 with respect to the quiescent luminosity level of
(as observed by ROSAT and
Einstein observatories). Unfortunately, the initial phases of
the outburst were missed so we do not know whether a bursting phase, similar to that of 1E 2259+586, also occurred for this source soon after the onset of the outburst. However, four bursts were detected by RXTE between September 2003 and April 2004 and unambiguously associated with XTE J1810-197 (Woods et al. 2005). By using Very Large Array (VLA) archival data, Helfand et al. (2005) discovered a transient radio emission with a flux of
mJy at 1.4 GHz at the Chandra X-ray position of XTE J1810-197. Only later its emission was discovered to be pulsed, highly polarized and to have large flux variability even on very small timescales (at variance with all known radio pulsars; Camilo et al. 2006). The VLA data were also used to infer a proper motion of
mas yr-1, which, assuming a distance of
kpc, results in a transverse velocity of
km s-1 (1
confidence level; Helfand et al. 2007).
Deep IR observations have revealed a weak,
mag
counterpart, with characteristics similar to those of other AXPs
(Israel et al. 2004). Variability in the IR counterpart of XTE J1810-197 was
found (Rea et al. 2004), but it did not correlate with the X-ray
emission, contrary to earlier claims (Camilo et al. 2007a; Testa et al. 2008). It is unclear at present whether the IR variability correlates with what is observed in the radio pulsed emission (Camilo et al. 2006, 2007a).
TAXP are fairly rare objects: a second TAXP was revealed in 2006 when a candidate AXP, namely CXOU J164710.2-455216, displayed a rather intense burst followed by an outburst with a
maximum flux enanchement >300, characterized by extreme changes in both the spectral and timing properties (Muno et al. 2006a,b; Israel et al. 2007a). At variance with XTE J1810-197, CXOU J164710.2-455216 has not shown any radio emission so far. The
third TAXP, 1E1547.0-5408, was discovered in 2007 when its X-ray flux
rose by a factor of
20 above the quiescent flux. As in the case of
XTE J1810-197, 1E1547.0-5408 was found to be a transient radio pulsar. Unfortunately, the observations missed the outburst onset (Camilo et al. 2007b; Gelfand & Gaensler 2007; Halpern et al. 2008). The three TAXPs above are characterized by a quiescent state, the timing and spectral properties of which are similar to those of thousands of other X-ray sources present in the
ROSAT catalog: no pulsations (with the exception of CXOU J164710.2-455216) and soft X-ray spectra well-fitted by a blackbody (BB) model with a kT of about 0.1-0.2 keV; again with the exception of CXOU J164710.2-455216, which has
keV
(Muno et al. 2006b; Skinner et al. 2006). The transient nature of these three AXPs implies that a relatively large number of members of this class has not been discovered yet and suggests that others will manifest themselves in the future through their outbursts.
After more than four years of data since the outburst onset, XTE J1810-197 provides the first opportunity to study the timing and spectral evolution of a TAXP as it returns to its quiescent state. Since the first XMM-Newton 2003 observations of XTE J1810-197 (Gotthelf et al. 2004), carried out approximately one year after the outburst, it was evident that the source spectrum (two
blackbodies with
keV,
km, and
keV,
km;
in the
0.5-10 keV range for a distance of 3.5 kpc) was significantly
different from that in quiescence recorded by ROSAT in 1992
(one BB with
keV and
km;
extrapolated luminosity in the 0.5-10 keV range of
;
Gotthelf
et al. 2004). Moreover, the source showed 5.54 s pulsations with a
pulsed fraction of about 45% during outburst, while only an upper limit
24% was inferred from the ROSAT data (Gotthelf et al. 2004).
The above properties raise a number of important, still unanswered questions. Is the soft BB component detected by XMM-Newton evolving into the quiescent BBcomponent seen by ROSAT? What happens to the higher temperature BB component as the source approaches quiescence? What is the pulsed fraction level of the source in quiescence (if detectable)? Is the quiescent emission revealing the neutron star (NS) cooling surface? Did the outburst lead to a permanent change of the timing/spectral properties, such as the pulsed fraction, the flux, and temperature or size of the quiescent BB component of the source? What is the intensity of the magnetic field of this source?
In this paper, we present a first attempt to answer the above questions through a detailed study of the timing and spectral evolution of XTE J1810-197 during its outburst decay in 2003-2007. In Sect. 2 we report the details of the XMM-Newton observations and our data analysis strategy. Results are presented in Sect. 3, while their implications are discussed in Sect. 4.
2 Observations and data analysis
XTE J1810-197 was observed with XMM-Newton at nine epochs, the first time for just
5 ks, while the remaining eight observations were deeper, from
11 ks to
60 ks (Table 1). The XMM-Newton Observatory (Jansen et al. 2001) includes three
1500 cm2 X-ray telescopes with an EPIC instrument in each
focus, a Reflecting Grating Spectrometer (RGS; den Herder et al. 2001)
and an Optical Monitor (Mason et al. 2001). Two of the EPIC imaging spectrometers use MOS CCDs (Turner et al. 2001) and one uses a PN CCD (Strüder et al. 2001). Data were processed with SAS version 7.1.0, using the updated calibration files (CCF) available in June 2008. Standard data screening criteria are applied in the extraction of scientific products. We cleaned all observations from solar flares by collecting CCD lightcurves above 10 keV and applying an intensity threshold. We also used a time window criterion for removing
solar flare intervals and checked that no significant spectral differences were present with respect to the intensity threshold method.
During the September 2003 observation, the PN camera was set
in primary small window imaging mode with a thin filter (time
resolution =
s), while all other observations were
in a primary large window imaging mode with a medium filter
(time resultion =
s). All observation set-ups for
MOS1 and MOS2 cameras were the same, with a time resolution of 0.3 s:
prime partial window imaging mode and medium filter. In
September 2003 the MOS1 was set in prime full window imaging
mode, in September 2004 the MOS2 was in Timing uncompressed mode
and data from this were not reduced. To extract more than
90% of the source counts, we accumulated a one-dimensional image and
fitted the 1D photon distribution with a Gaussian. Then, we extracted
the source photons from a circular region of radius 55
(
90% of photons) centered at the Gaussian centroid. The
background for the spectral analysis was obtained (within the same PN
or MOS CCD where the source lies) from an annulus region (inner and outer radii
of 65
and 100
,
respectively)
centered at the best source position. In the timing analysis, the
background was estimated from a circular region of the same size as
that of the source. All of the EPIC spectra were rebinned before
fitting, to have at least 40 counts per bin and prevent oversampling the energy resolution by more than a factor of three. Thanks to the time and spectral resolution of the EPIC
instruments
, we could carry out timing and spectral analysis over the entire set of observations and the pulse phase spectroscopy (PPS) for the observations with a high enough signal-to-noise. We report the analyses obtained with the PN data and, for comparison, the results from the two MOS cameras.
Table 1:
Main observational parameters for the nine XMM-Newton datasets using for the uncertainties a 1
confidence level.
![]() |
Figure 1: XTE J1810-197 PN background-subtracted lightcurves folded at the best period (see Table 1) for each of the nine XMM-Newton observations carried out between September 2003 (S03) and September 2007 (S07), and for different energy intervals: 0.5-1 keV, 1-2 keV, 2-3 keV, 3-5 keV, 5-8 keV, and 8-15 keV. The last two energy intervals have been merged together since the September 2005 (S05) pointing in order to improve the statistics. |
| Open with DEXTER | |
3 Results
3.1 Timing analysis
The source event arrival time of each observation, in the 0.5-15 keV
energy range, were converted into barycentric dynamical times (BDT) by
means of the SAS tool barycen and the (
1'' accurate)
source position provided by Helfand et al. (2007). Given the complex
time evolution of the period and its derivatives from radio
observations (Camilo et al. 2007c), we measured only the local spin period
at each single XMM-Newton pointing by means of a phase-fitting
technique (events in the 0.5-10 keV energy range were used; see
e.g. Dall'Osso et al. 2003, for details on the technique). Different period
measurements are independent and not phase-connected. Folding each lightcurve at its
measured spin period we obtained the pulse profile and found that it
remained single-peaked in all observations (Fig. 1). To estimate the dipole field strength of this source we refer to the phase-coherent measurements of
,
,
and
obtained by Camilo et al. (2007c).
These authors measured fast variations of
that did not
allow them to provide a unique value for the magnetic field strength. The frequency derivative
was found to change continuously over 300 days of monitoring from
to
.
Accordingly, we considered the secular spindown trend as bracketed by these limits and derived a
corresponding range of values for the magnetic field
G through the standard dipole formula.
3.1.1 Pulsed fraction
Given the smooth and nearly sinusoidal pulse shape, we
could determine the pulsed fraction (PF) of
the signal (defined here as:
with reasonable accuracy, where
and
are the
maximum and minimum of the sinusoidal modulation). Between September
2003 and September 2007, the PF decreased by a factor of about two
(between
50% and
25%) in the 0.5-10 keV energy
interval (Fig. 2). In particular, since March 2005, the
PF in the 0.1-2.5 keV band has reached
(here and troughout this paper uncertainties are given at 1
confidence level, where not stated otherwise); this value is close to the upper limit (
24%) inferred from the 1992-1993 ROSAT pointings during the quiescent phase of the source (Gotthelf et al. 2004).
Moreover, the PF decreases as a function of time in the same energy band and increases as a function of energy within the same observation, as shown in Table 2. Between 8 and 15 keV, the pulsed fraction is consistent with 100% (3
confidence level). However, the
relatively poor statistics above 10 keV prevented a detailed study of the spectral properties of this high-energy component (see also Sect. 3.2).
![]() |
Figure 2: Evolution of the spectral parameters for the 2BB ( left panel) and 3BB ( right panel) models together with the pulsed fraction (PF) as a function of the 0.6-10 keV flux. The cross in the left panel (first, second, and third rows), and in the right panel (first row) marks the ROSAT data. |
| Open with DEXTER | |
Table 2:
Pulsed fraction (PF) in different energy intervals vs. time, and
keV. Errors are reported at 1
confidence level.
3.2 Spectral analysis
In the following we describe a detailed spectral analysis of our XMM-Newton dataset, which includes the outburst evolution down to its almost complete decay. The outburst spectrum in its brightest phase had already been analyzed in the literature with a two-blackbody spectral model (2BB, Gotthelf et al. 2004; Gotthelf & Halpern 2005). On the other hand, the quiescent emission from the source recorded by ROSAT was consistent with a different, single BB. Starting from this, our strategy was then twofold: first we tried to apply the 2BB model to the whole XMM-Newton dataset to check whether one of the two components evolved smoothly to the quiescent one. Then we tested an alternative possibility, namely that the quiescent component was independent and always present, the spectrum of the outburst being superimposed on it. This led us to consider a phenomenological model including three different thermal components (3BB model). In this scenario, as the outburst flux decays, its spectral components progressively fade away, eventually revealing the underlying quiescent emission. As such, the quiescent component could be tentatively identified with the thermal emission from the whole NS surface.
3.2.1 Thermal components
Following Gotthelf et al. (2004) and Gotthelf & Halpern (2005), we applied the 2BB spectral fit to the fading phases of XTE J1810-197 until September 2007, when the source flux was
1.2 times higher than the pre-outburst level (
for 1058 d.o.f., which is at
from the expectation value
;
cm-2; see also Table 3). The 2BB model (see also Perna & Gotthelf 2008, for a detailed study) corresponds to a scenario in which one of the two BB naturally evolves into the single BB spectrum detected by ROSAT in the quiescent state, whereas the other (hard) BB just fades away. The results of this approach showed that, when the cold BB component smoothly approaches the quiescent one
(see Fig. 2, left panel, 2nd and 3rd plot), several ambiguities arise. The radius of the hot BB does not decrease monotonically with flux (time): after 2.5 years of smooth decrease it starts increasing in September 2006 (left panel, 4th plot). At the same epoch its temperature drops
rapidly to reach a value comparable to that of the cold BB in the first part of the outburst (Fig. 2, left panel, 5th plot). Moreover, neither spectral component is able to account
for the flattening of the pulsed fraction at the 25% level (Fig. 2, left panel, 1st plot).
These findings suggest that the observed emission might come from a more complex structure than a simple two-component model and that we might be seeing different parts of the whole structure as the flux decreases. With this scenario in mind we repeated the spectral analysis using the 3BB model discussed in the previous section.
For the first six observations (during which the total flux is significantly higher than the
pre-outburst one), all parameters of the 3BB model were left free to vary
except for
,
which was constrained to be the same in all observations. We found that it is always possible to fit the first 6 data sets (September 2003-March 2006) with a 3BB model without forcing the spectral parameters (3BB:
,
812 d.o.f.; 2BB:
,
824 d.o.f., F-test probability
). The extra BB has a characteristic temperature
keV that is constant in time, but whose radius could not be well-constrained (R<100 km). Under the hypothesis that the latter component originates in the whole NS surface, we can consider it constant through the whole outburst. Correspondingly, we left the temperature and radius of this additional BB free to vary, but forced both parameters to maintain the same value in all spectra.
Table 3:
Temperature (keV) and radius (km) evolution with time of
and
in the 2BB model, with uncertainties at 1
confidence level (68%).
![]() |
Figure 3:
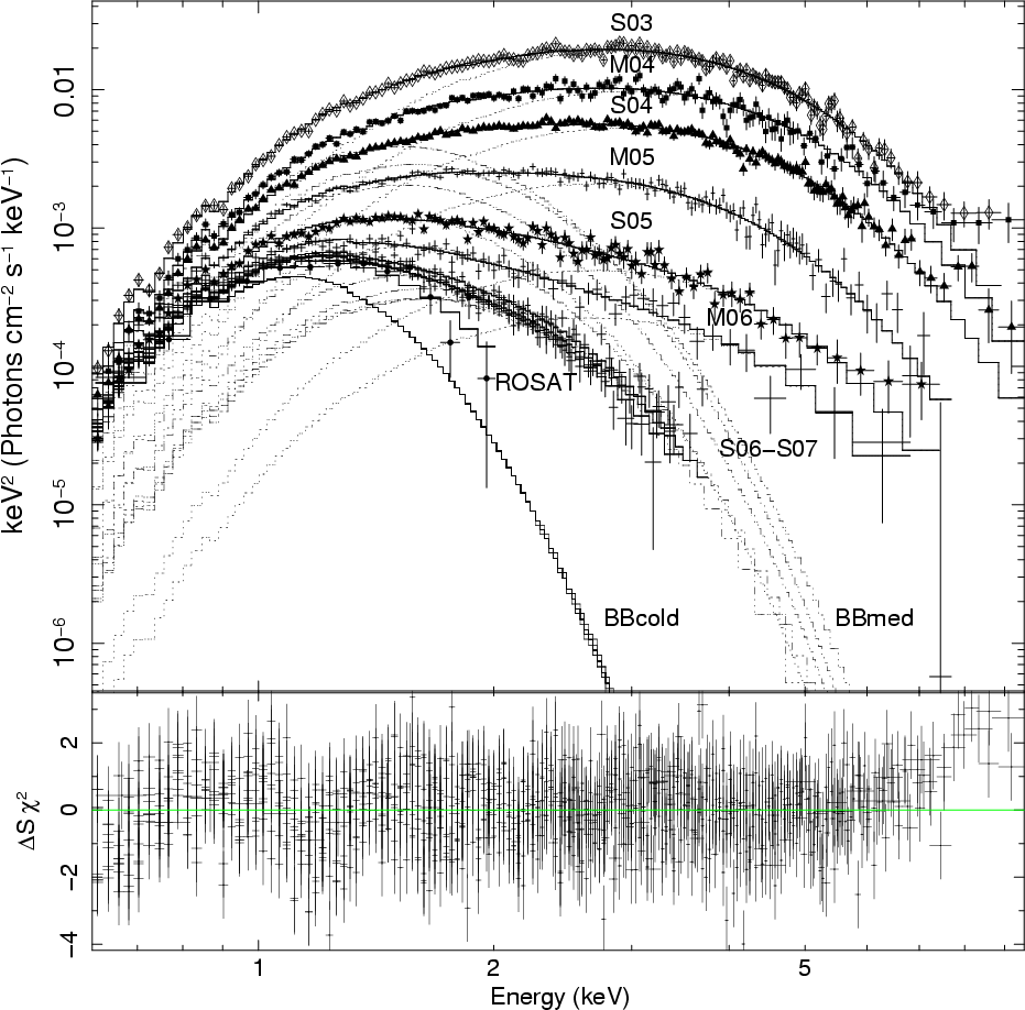
Spectral evolution in the nine XMM-Newton observations, and the
ROSAT spectrum in quiescence. Fits use the 3BB model ( upper panel). Model residuals are shown in the lower panel. The soft component, constant in time, is marked with
|
| Open with DEXTER | |
We then applied the 3BB model to all of the 9 XMM-Newton observations.
The addition of the extra BB component gave a better fit than the 2BB model
(
,
for 1056 d.o.f.,
cm-2); an F-test gives a 7.3
significance for the inclusion of the additional spectral component. Notably, the overall fit gave
parameters for the coldest BB,
keV;
km,
erg cm-2 s-1 which are
very close to those inferred in quiescence with ROSAT
(
keV and
km,
erg cm-2 s-1). Even
more interesting, the two hotter BB components maintained a nearly
constant temperature as the source flux decayed in time (see Fig. 2, right panel, 3rd ad 5th plots). Their radius appears to be the only variable parameter during the decaying phase of the outburst (Fig. 2, right panel, 2nd and 4th plots).
Starting from September 2006 the spectrum could be well-fitted
by a simple 2BB model. The hottest component was not needed anymore and we could set a
3
upper limit on its flux of
.
The above-mentioned flattening of the pulsed fraction at this epoch could be accounted
for quite naturally by the disappearance of this hot component (Fig. 3).
We also attempted to estimate the pulsed fraction of the quiescent emission, which we tentatively attributed to the NS surface, taking only the last three observations into account, so that the hotter BB was absent. We note that this is only possible in our scenario since the softer component in the 2BB model is still evolving towards quiescence.
We express the PF in the 0.1-1 keV band as
,
where
and
represent the relative contributions of the two spectral components to the total flux in the 0.1-1 keV band. Correspondingly,
and
represent their PFs. The value of
is obtained from the PF in the 2.8-4.1 keV energy range, where
is negligible, and it turns out to be ![]()
.
The PF of the cold BB,
,
is thus completely determined by the measured value of PF
.
We obtain
,
a prediction that can be checked once the source returns to the quiescent state.
3.2.2 The power-law component
By adopting the 3BB model, we further study the possibility of additional features in the XMM-Newton spectra. In particular, during the first three XMM-Newton observations (2003-2004), the spectral fit residuals suggest the presence of an additional hard component above 7-8 keV (3.2
confidence level), which we were not able to characterize because of poor statistics in this band. We can only speculate that it might be related to a hard power-law-like tail (
), likely of magnetospheric origin. A similar component has been detected in other AXPs (Kuiper et al. 2004; Kuiper et al. 2006) and extends up to 200 keV, at least (Götz et al. 2006). Given the marginal significance of this component, we do not attempt to draw any firm conclusion.
3.2.3 Narrow spectral feature search
Starting from the 4th observation (March 2005) we note the presence of excess residuals in the data with respect to the 3BB model, at around 1.1 keV (Fig. 4). We tried to account for this by including an absorption edge or a Gaussian line in the model. The value of the former is 1 if
and
if
,
where
is the threshold energy and
the absorption depth at the threshold.
![]() |
Figure 4:
|
| Open with DEXTER | |
The results of the new spectral model, 3BB plus edge, are consistent with
what was obtained with the 3BB model (to within the uncertainties):
cm-2,
keV, and
km (
with d.o.f. =1038). The energy threshold (
1.1 keV) and
(
0.2) appear to be constant through the latest six observations (Table 1 and Fig. 5).
![]() |
Figure 5:
Parameters of the |
| Open with DEXTER | |
This new model has
,
which is 2.2
from the expectation value. To obtain an estimate of the significance of the edge component we proceeded as follows. We obtained, for each single spectrum, the width of the feature (
)
using a Gaussian profile and defined the width at the base of the Gaussian (
)
to be 3
.
We assumed that the width of the feature is independent of the model used to estimate it. Then we calculated the ratio between the whole spectral range of our data,
,
and the Gaussian width
(number of trials). Finally, to obtain the total probability of the null hypothesis (no line present), we multiplied the probability level (
)
attributed by an F-Test to the inclusion of the Gaussian by the number of trials on each spectrum
(
)
and by the total number of observations (9). The total probability can thus be expressed as
,
which in our case gave a significance for the edge component at the
6.5
level.
As a further check, we estimated the line significance by running a
Monte Carlo simulation of 105 spectra with only the continuum model present (as described
in more detail in Rea et al. 2005, 2007). Spectral parameters of the continuum
were allowed to vary within 3 sigma from their best fit values and we used the same number of photons of the 4th observation (March 2005). We then counted how many edges, at any energy between
0.5-10 keV, with
were significantly detected in the generated spectra just due to statistical fluctuations. We found 12 spectra over 105 spectra presenting such a feature, thus leading to an estimated significance level of ![]()
for our 1.1 keV edge. However, so far we have not considered that the feature has been detected in several spectra rather than only in the 4th observation. To this aim we simulated 105 spectra for each of the 6 observations showing
the
1.1 edge, using the best-fit spectral parameters and the corresponding number of
photons for each observation. However, in these simulations we only considered the energy band 0.5-4 keV in which the spectral variability was not very strong among the 6 observations. This reduces to negligible levels any possible systematic error in the probability calculation due to the spectral variability of the source in connection with instrumental response matrices. We estimated the significance of the edge in each observation as described above, then combined them to obtain a total significance of 5.1
for the presence of the line.
By using a Gaussian profile to fit the feature, we obtained results similar
to those of the edge component, the mean energy of the feature being
keV,
keV, while the average equivalent width of the line was
35 eV (
,
1029 d.o.f).
The use of different chemical abundances for the interstellar medium (ISM), vphabs model in XSPEC, does not produce significant changes in the parameter values or confidence level of the feature, which thus does not seem to depend on the ISM composition.
To test the possible instrumental nature of the feature, we also used the source photons collected by the MOS1 and MOS2 cameras. As in the case of the PN data, we carried out a spectral analysis by using the 3BB model to account for the continuum spectral component. Table 1 summarizes the results of this test. Starting from the 2005 March observation, the edge component is always detected in all three cameras except for the 2005 September observations MOS2 data, where only an upper limit could be obtained. In this case the inferred upper limit is consistent with the values inferred from all other spectra. This finding further supports the interpretation of the edge as intrinsic to the source.
To further check our results, we analyzed the only CHANDRA public observation of XTE J1810-197 made with ACIS, during March 2006 (
30 ks). We used CIAO 4.0 software, a standard reduction procedure, and the last calibration files availeble (3.5.0, 2008 October) for the CHANDRA data analysis. This gives fully consistent results with those obtained with XMM-Newton:
,
.
The significance for including of this component is ![]()
,
determined using the procedure previously exposed. This further confirms the presence of this feature in the continuum of the source. Therefore in the following we consider the 3BB+edge as our best spectral model.
3.2.4 Other models
An alternative possibility for modeling the data is to consider the
effect of resonant Compton scattering (RCS) in the magnetosphere (Thompson et al. 2002). In this scenario, photons emitted by the star surface, at the temperature of
0.16 keV, are upscattered by energetic electrons and/or positrons in the magnetosphere. Therefore, the increase in X-ray flux during the outburst would not be due (only) to the appearance of (hotter) regions with enhanced emission, but to a shift in energy of upscattered photons.
We performed some tests with a thermal Comptonization model readily available in XSPEC (CompTT, Titarchuk 1994). Although based on completely different physical assumptions from the RCS, this may
at least be used to assess whether the observed spectra can be modeled in
terms of Comptonization. We fitted together all the 9 spectra,
assuming that the plasma temperature is the
same at all epochs as a first approximation. A best fit is obtained with an electron temperature
of
keV, a constant (within uncertainties)
temperature for the seed photons of
keV, and a
plasma optical depth (
)
decreasing with time from
32
to
9. The
,
however, is worse than that of the 3BBmodel, namely
for 1066 d.o.f. (this value is at
6.7
from the expectation value). We note also that a
scenario in which scattering is (nearly) isotropic and the
Comptonizing medium uniformly covers the star surface is hardly
compatible with the observed characteristics of the pulsed emission. Indeed,
the (relatively) small pulsed fraction of the thermal component would be washed away even more by scattering at higher energies.
Also in this case a feature in the spectrum around 1.1 keV seems to be present. By fitting this feature with an edge component, as in the case of the 3BB model, we obtain a significance level of ![]()
.
Therefore, this feature seems to be independent of the model used for the underlying spectral continuum.
3.3 Pulse-phase spectroscopy
To understand the role of each spectral parameter in
producing the observed
keV flux variation with pulse phase, we carried out a pulse-phase resolved spectroscopic analysis of the XMM-Newton observations with high enough S/N.
The spectra of the first three observations (September 2003-September 2004) were considered and
divided into 10 phase intervals, in order to rely upon a large enough number of photons.
The spectrum in each phase interval was modeled with 3BBs fixing the temperature and radius of
and
at the average values obtained from the previous
analysis without including the edge (
keV;
km,
).
3.3.1 Pulse-phase spectroscopy with the 3BB model
In the following we present the results from two representative cases:
the 2003 September and 2004 September observations. The PPS analysis
of the BB components after the 2004 September pointing was hampered by poor
statistics. All parameters were left free to vary except for
,
,
and
,
which were frozen at the values
reported in Table 4. We found that the temperature of
the medium and hot BBs were nearly constant through the whole pulse
cycle, whereas the normalization/emitting-area were clearly
variable (see Fig. 6). To study
these variations better, we fixed the BB temperatures at their
phase-averaged values, leaving only the normalizations (N) of the
spectra free to vary
. These were then converted into the radii of the BBcomponents (
,
assuming a source
distance of 3.5 kpc). Figures 7, 8, and Table 5 show our results. In particular, in 2003 September the ratio
for each component was
and
,
and
,
in 2004 September. In
both cases, the modulation of the radii (R) with phase only shows
one peak for each pulse cycle. Moreover, they appear to be phase-aligned
with each other and with the peak of the total pulse profile. This
suggests that the two BB regions must be relatively close to each
other and probably connected, otherwise a phase lag/shift would naturally be expected. The R-variation amplitude as a function of phase is more pronounced at higher energies, in agreement with the timing properties of this pulsar, where the pulsed fraction is greater
at higher energies.
Table 4:
Temperature, radius and observed flux (0.6-10 keV) evolution with time of BB medium (med) and hot BB (hot) in the 3BB model with 1
uncertainties.
![]() |
Figure 6:
Phase evolution of
|
| Open with DEXTER | |
![]() |
Figure 7:
|
| Open with DEXTER | |
![]() |
Figure 8:
|
| Open with DEXTER | |
3.3.2 Pulse phase spectroscopy of the
1.1 keV edge
A similar analysis was carried out for the narrow spectral feature detected in the
spectra from the 2005 March observation onwards. Given the relatively small number of photons, we reduced the number of phase intervals to five and kept the spectral parameters
of the coldest BB fixed (3BB+edge model value). In Fig. 9 and Table 6 we report the result for the 2005 September observation, when there was a possible indication that the component evolved with phase. Although the value of
is compatible with being constant (
with 4 d.o.f.), we note that it varies from a minimum of
to a maximum of
in a smooth way, which we tried to model with a simple sinusoidal function. An F-test for the addition of the sinusoid gave just a marginal detection (![]()
), hence no claim can be made about its actual presence; however this possible modulation is worth further investigation with deeper observations.
Table 5:
and
as a function of pulse phase for the 2003 September and 2004 September observations.
![]() |
Figure 9:
Evolution of the edge parameters |
| Open with DEXTER | |
4 Discussion
The spectral and temporal information obtained from the nine XMM-Newton observations of the transient anomalous X-ray pulsar XTE J1810-197 collected in 2003-2007 allowed us to study the source behavior during the outburst to an unprecedented level of detail. As discussed below, our results shed some light on several issues concerning the mechanism powering the emission during the active period. During four years of monitoring, the X-ray flux of XTE J1810-197 continued to decrease following an almost exponential decay. In September 2007 the source nearly reached its quiescent emission level as recorded by ROSAT in 1992. In the following we summarize the most relevant findings obtained from the XMM-Newton dataset.
4.1 The continuum spectral component
We find that the previously proposed 2BB model for the source spectrum during the outburst fails to account for the time evolution of the hot-temperature spectral components and for the PF flattening (see Sect. 3.2.1). Similar concerns have already been expressed first by Israel et al. (2007b) and after by Perna & Gotthelf (2008), but see e.g. Güver et al. (2007) for a different interpretation. For these reasons we included a third softer thermal component that, as we have shown in the previous sections, improves the spectral fits and also removes the inconsistency that appears in the 2BB model when the evolution of the PF is considered. The temperature and radius of this additional BB turn out to be the same as those inferred from the XTE J1810-197 ROSAT spectra serendipitously collected since 1992, when the source was in quiescence.
Table 6:
Evolution of the spectral parameters for the edge component as a
function of phase for the 2005 September observation (PN data) with uncertainties at
confidence level.
The additional BB component is compatible with being emitted from the whole NS surface and appears to be unaffected by the outburst. Therefore, its nearly constant flux can be taken as representative the minimum level of emission from the source. It also provides the key to understanding the previously unexplained PF flattening. We emphasize that the 3BB model discussed here should be regarded as a crude, albeit convenient, description of a scenario in which other effects may come into play (see below). Nevertheless, it has the advantage of being independent of the often poorly known details of the atmosphere/magnetosphere of the neutron star. As such, it provides a first estimate of some key physical parameters, like the size and temperatures of the emitting region(s), without relying on any assumptions about the field strength or geometry. Intriguingly, our analysis reveals that only the size of the hot/warm regions varied during the outburst, showing an almost steady decrease, while the temperatures remained nearly constant.
Although present data do not allow us to tightly constrain the shape and
relative position of the hot and medium temperature regions on the
star, a simple model can be used to gain some insight into the geometry
of the source. We assume that emission comes from two concentric
zones: an inner, hot cap, and an outer, warm corona, outside of which
is the colder surface of the star at
keV
, a picture very similar to
that adopted by Israel et al. (2007b). For a NS of 1.4
and typical NS radii, we computed the PFs after applying the proper relativistic corrections. Since the angular (semi)aperture of the two zones follows from the values of the blackbody radii, and their temperatures are just
and
,
the only free parameter is the angle between the diameter through the cap center and the rotation axis, i.e. the cap's colatitude. The observed spectrum and the lightcurves also depend on the angle between the line of sight (LOS) and the rotation axis. Without performing any formal fit, we simply tried various combinations of these angles, and we find that there is reasonable agreement between PF data and the model at all epochs for values that are consistent with the range determined by the detailed analysis of Perna & Gotthelf (2008; see also Kramer et al. 2007, for constraints on the pulsar geometry through radio polarimetry). This is expected since the spectrum in the first 4 epochs, which Perna & Gotthelf analyzed, is not very affected by the emission from the coldest part of the star surface.
We note that our analysis based on the 3BB model suggests
that the coldest BB component, accounting for the emission from the
whole surface, has a low pulsed fraction,
.
If our
model is correct, this prediction can be checked once the
source returns to the quiescent state. We also note that this value is
similar to that found in X-ray Dim Isolated Neutron Stars (XDINSs),
where it is believed that the (purely) thermal emission comes from the
cooling NS surface (e.g. Haberl 2007). Although magnetars as a class
are probably far from being passive coolers, this similarity makes a
case for our interpretation of the cold BB component as the quiescent
emission from the NS surface, worth being pursued in future studies.
On the other hand, the narrower pulse profile and higher pulsed fraction at increasing energies seems reminiscent of what has been found for other AXPs with RXTE and INTEGRAL in the energy band above 10 keV. Indeed, the narrowing of the peak is coincident with the emergence of a hard power-law component extending from 10-20 keV up to 200 keV at least (Kuiper et al. 2004). The origin of this component is most likely magnetospheric. The marginal detection, during the first three XMM-Newton pointings, of a possible hard power-law tail extending above 10 keV, corroborates this reasoning. However we could not study the power-law tail in more detail, due to insufficient statistics.
We performed also a preliminary test with a different model, a simple Comptonization model available in XSPEC (CompTT), but this gives a worse fit for the data than does the 3BB model. More advanced RCS models in which the optical depth is provided by currents flowing in a twisted magnetosphere (Lyutikov & Gavriil 2006; Fernandez & Thompson 2007; Nobili et al. 2008a,b) appear, on the other hand, promising in explaining the pulse profiles, since the particle density changes with the magnetic colatitude, increasing as one moves from the magnetic pole towards the equator. Such a distribution naturally introduces a pulsed fraction even when the surface temperature is homogeneous, as recently shown on the basis of Montecarlo simulations by Nobili et al. (2008a) and Pavan et al. (in preparation). A first attempt to systematically apply RCS to all AXPs, including XTE J1810-197 is reported by Rea et al. (2008). These authors find that the outburst of this source may result from heating of the NS surface, which slowly cools on a timescale of months/years, while the magnetospheric properties only show a small variation during the outburst decay.
4.2 The narrow feature at
1 keV
Within the framework of the magnetar model, a natural interpretation for the absorption-like feature that is significantly detected in the PN and MOS spectra is that it stems from to a proton cyclotron line. The observation of such a feature would directly probe the magnetic field strength of the AXP, since the line energy is proportional to the field strength:
where
If the edge detected in the XTE J1810-197 spectra is a proton cyclotron
feature, its energy implies
G
G when taken at face value.
On the other hand, the assumption of a constant field breaks down if the
line originates in a relatively large region on the neutron star surface/magnetosphere. For instance, Zane et al. (2001) estimate that, even for a simple dipolar field, that B changes in both magnitude and direction will produce a broadening of a feature that is emitted by the whole surface (typically by 10%-20%) and a shift in the line centroid toward lower energies by 20%-30% with respect to the prediction based on Eq. (1).
Similar absorption features are also observed in the spectra of XDINSs
(Haberl 2007) and are typically associated with proton cyclotron and/or bound-free, bound-bound transitions in H, H-like and He-like atoms in the presence of relatively high magnetic fields
-1014 G (e.g. van Kerkwijk & Kaplan 2007; Ho et al. 2003; Pavlov & Bezchastnov 2005). At such large field strengths, exotic molecules might also contribute to line formation
(Turbiner et al. 2007; Turbiner & Lopez-Vieyra 2006). For XDINSs, all the above mentioned scenarios provide similar values of B, which turns out to be
in agreement with those derived from the spin-down rate (e.g. Kaplan 2008).
A similar absorption feature has been discovered in the spectrum of the Rotating RAdio Transient (RRAT) detected at X-ray energies, J1819-1458 (McLaughlin et al. 2007). The X-ray spectrum of RRAT J1819-1458 is well-fit by an absorbed blackbody with kT=0.14 keV with the addition of an absorption feature at
1 keV, which, when interpreted either as a proton cyclotron line or as an atomic transition, yields a magnetic field of
G, again in rough agreement with the spin-down measure (McLaughlin et al. 2007).
In the case of XTE J1810-197, the magnetic field value inferred by using Eq. (1)
also appears to be in very good agreement with that obtained
through the spin-down measurement:
G.
It is interesting to note that a similar value,
G, was obtained by Güver et al. (2007) based on the 2003 September-2006 March XMM-Newton spectrum of XTE J1810-197. It is worth emphasizing that the spectral model used by Güver et al. (2007), has been specifically developed for passively cooling NS and magnetic field stronger than
G and is, therefore, rather different from the 3BB model adopted here.
A different possibility is that the line stems from the presence of Iron in proximity to the star surface. In particular, L shell electronic transitions of Iron ions XXII, XXIII, XXIV, have energies between 1.05 and 1.17 keV. However, this requires that the line absorbing region is permeated by a relatively low magnetic field. Future, longer observations, with much higher statistics, might help to understand the nature of this spectral feature better.
4.3 Flux evolution
![]() |
Figure 10:
Evolution of the 0.6-10 keV flux (as measured with the EPIC/PN
camera onboard XMM-Newton of XTE J1810-197 as a function of time, for the
|
| Open with DEXTER | |
During approximately four years of XMM-Newton monitoring, the X-ray flux of
XTE J1810-197 continued to decrease and is presently
15%-20% above
the quiescent level (as determined by ROSAT). In Fig. 10 the evolution of the total X-ray flux in the
0.6-10 keV band is shown, together with the flux
evolution of the two hotter BBs,
and
.
Notably, both the
and
flux evolutions are well-fit by an exponential decay plus a constant
(
for 5 d.o.f. and
for 2 d.o.f., respectively). The characteristic times are
days and
days for
and
,
respectively. This might hint at a common physical process responsible for the decay of the two BB components, though on slightly different timescales. A possible flattening in the
flux evolution, as suggested by the latest two/three flux measurements,
might imply that this component has already reached its quiescent
state (see discussion below).
![]() |
Figure 11:
ROSAT PSPC spectrum of the pre-outburst quiescent state of
XTE J1810-197 (three PSPC observations were merged to rely upon a higher S/N), fitted with one BB component ( left panel), the same ROSAT spectrum with superimposed the 2BB model inferred from the latest three XMM-Newton observations (since September 2006 the
|
| Open with DEXTER | |
To test this hypothesis further, we superimposed the average
spectral model, referring to the latest three XMM-Newton observations
(September 2006-2007, where only the
and
components are detected), to the average ROSAT spectrum
obtained by merging the three longest pointings (total effective
exposure of
22 ks). This model is compared with the single BBmodel used so far for the ROSAT data. The result of this
test is shown in Fig. 11. It is evident from the
first and second panels that the September 2006-2007 XMM-Newton model agrees
with the ROSAT data in considering
that no fit has been performed, suggesting that the source might already be
back to its quiescent state after March 2007. If correct, the
quiescent state of XTE J1810-197 could be characterized by two BBs instead of one BB as discussed so far. However, we emphasize that including of the second BB in the ROSAT spectral fit is formally not statistically required. In fact, we reanalyzed the ROSAT data by using either a single BB or a 2BB model, and in both cases obtained a
(left and right
panels of Fig. 11). The-best fit parameters are:
(BB)
=
cm-2,
keV, and R<11 km (
for 14 d.o.f.), (2BB)
cm-2,
keV and
km,
keV and
km (
for 12 d.o.f.). On the other hand, we note that the XMM-Newton model remains slightly above the ROSAT data mainly around 1 keV, where the
component is
maximum. This might suggest that the flux of the latter component is still decaying. Clearly, deeper and higher statistics observation of XTE J1810-197 at some later time might solve this issue.
5 Conclusions
In this paper we reported the detailed timing and spectral analysis of a long-term (4 years) XMM-Newton monitoring program aimed at unveiling the physical processes responsible for the decaying phases of the XTE J1810-197 outburst. The main results can be summarized as follows:
- We find that a spectral model with three blackbodies much better agrees with the data than the previously used model involving two blackbodies. Also, the 3BB model solves several ambiguities in the spectral evolution that were present in the 2BB model.
- The best spectral fit at the different epochs is obtained for three
blackbodies plus an edge. The best-fit spectral parameters determined with this model are:
keV and
km. The latter feature is required starting from the 2005 March observation, where residuals with respect to the simple 3BB model are clearly recognized. The coldest BB component temperature and emitting radius remain constant during the whole outburst and are the same as those of the single BB component observed by ROSAT, which is very likely emitted from the whole NS surface. The two hotter and smaller regions (
5 and
1 km) evolve in size but, again, at constant temperature. The emitting surface decreases in both cases and these components are, therefore, probably responsible for the enhancement of the observed X-ray flux during the outburst.
Since September 2006 the hottest component,
,
is no longer needed in
the fit and the 3BB model evolves into a 2BB model. At the same epoch, the average pulsed fraction of the 5.54 s modulation levels up suggesting that the greatest part of the pulsed photons were produced in the
component.
- During the first three XMM-Newton observations (2003-2004), the spectral fit residuals suggest the presence of an additional component above 7-8 keV, probably a hard tail, possibly similar to the
one detected in other AXPs (where it extends up to 200 keV). The limited sensitivity of the EPIC cameras above 10 keV prevented us from performing a detailed analysis of this component.
- By assuming that the feature around 1.1 keV is due to a proton cyclotron resonance,
we obtain a surface magnetic field value of
G. This estimate is in very good agreement with that obtained from the spin-down measure of
G.
We can't currently exclude that the absorption feature originates from L-shell transitions of Fe XXII, XXIII, and XXIV.
- The analysis of the pulsed fraction time evolution as a function of energy
shows an increase with energy, within individual observations, and a decrease
as a function of time, within the same energy interval. Most of the modulation is
ascribed to high-energy photons coming from the two hottest BB emitting regions.
- Pulse-phase spectroscopy shows that emission from the two hotter BBs peaks at the same phase interval, suggesting that they are emitted by close regions (e.g. two concentric zones).
- The observed (0.6-10 keV) flux evolution of the
and
is described well by an exponential decay, with characteristic times of
days and
days, respectively. This suggests that the same physical process is responsible for the decay of the two thermal components, as already noted by Gotthelf & Halpern (2005). While, in a 2BB model, the hot component shows similar time decay (
300 days), the decay time of the colder one is longer (
900 days). This agrees with the presence of a colder component, emitted by the whole star surface.
- A comparison between the latest three XMM-Newton pointings and a re-analysis of the ROSAT quiescent spectrum reveals that the
component might have already reached its quiescent state.
Acknowledgements
This work is partially supported at OAR through Agenzia Spaziale Italiana (ASI), Ministero dell'Istruzione, Università e Ricerca Scientifica e Tecnologica (MIUR - COFIN), and Istituto Nazionale di Astrofisica (INAF) grants. We acknowledge financial contribution from contract ASI-INAF I/023/05/0 and AAE TH-058. Based on observations obtained with XMM-Newton, an ESA science mission with instruments and contributions directly funded by ESA Member States and NASA. This research has made use of data obtained through the High Energy Astrophysics Science Archive Research Center Online Service, provided by the NASA/Goddard Space Flight Center. S.Z. acknowledges support from a STFC (ex-PPARC) A.F. D.G. acknowledges financial support from the French Space Agency (CNES).
References
- Camilo, F., Ransom, S. M., Halpern, J. P., et al. 2006, Nature, 442, 892 [NASA ADS] [CrossRef] (In the text)
- Camilo, F., Ransom, S. M., Peñalver, J., et al. 2007a, ApJ, 669, 561 [NASA ADS] [CrossRef] (In the text)
- Camilo, F., Ransom, S. M., Halpern, J. P., & Reynolds, J. 2007b, ApJ, 666, L93 [NASA ADS] [CrossRef]
- Camilo, F., Cognard, I., Ransom, S. M., et al. 2007c, ApJ, 663, 497 [NASA ADS] [CrossRef]
- den Herder, J. W., Brinkman, A. C., Kahn, S. M., et al. 2001, A&A, 365, L7 [NASA ADS] [CrossRef] [EDP Sciences] (In the text)
- Brinkman, A. C., Kahn, S., MDall'Osso, S., et al. 2003, ApJ, 599, 485 [CrossRef]
- Duncan, R. C., & Thompson, C. 1992, ApJ, 392, L9 [NASA ADS] [CrossRef] (In the text)
- Fernández, R., & Thompson, C. 2007, ApJ, 660, 615 [NASA ADS] [CrossRef] (In the text)
- Gavriil, F. P., Kaspi, V. M., & Woods, P. M. 2004, ApJ, 607, 959 [NASA ADS] [CrossRef] (In the text)
- Gelfand, J. D., & Gaensler, B. M. 2007, ApJ, 667, 1111 [NASA ADS] [CrossRef] (In the text)
- Gotthelf, E. V., & Halpern, J. P. 2005, ApJ, 632, 1075 [NASA ADS] [CrossRef] (In the text)
- Gotthelf, E. V., & Halpern, J. P. 2007, Ap&SS, 308, 79 [NASA ADS] [CrossRef] (In the text)
- Gotthelf, E. V., Halpern, J. P., Buxton, M., & Bailyn, C. 2004, ApJ, 605, 368 [NASA ADS] [CrossRef] (In the text)
- Götz, D., Mereghetti, S., Tiengo, A., & Esposito, P. 2006, A&A, 449, L31 [NASA ADS] [CrossRef] [EDP Sciences] (In the text)
- Güver, T., Özel, F., Gögüs, E., & Kouveliotou, C. 2007, ApJ, 667, L73 [NASA ADS] [CrossRef] (In the text)
- Haberl, F. 2007, ApS&S, 308, 181 [NASA ADS] (In the text)
- Halpern, J. P., Gotthelf, E. V., Becker, R. H., Helfand, D. J., & White, R. L. 2005, ApJ, 632, L29 [NASA ADS] [CrossRef]
- Halpern, J. P., Gotthelf, E. V., Reynolds, J., Ransom, S. M., & Camilo, F. 2008, ApJ, 676, 1178 [NASA ADS] [CrossRef] (In the text)
- Helfand, D. J., Chatterjee, S., Brisken, W. F., et al. 2007, ApJ, 662, 1198 [NASA ADS] [CrossRef] (In the text)
- Ho, W. C. G., Lai, D., Potekhin, A. Y., & Chabrier, G. 2003, ApJ, 599, 1293 [NASA ADS] [CrossRef] (In the text)
- Ibrahim, A. I., Safi-Harb, S., Swank, J., et al. 2002, ApJ, 574, L51 [NASA ADS] [CrossRef] (In the text)
- Ibrahim, A. I., Markwardt, C. B., Swank, J. H., et al. 2004, ApJ, 609, L21 [NASA ADS] [CrossRef] (In the text)
- Israel, G. L., Rea, N., Mangano, V., et al. 2004, ApJ, 603, L97 [NASA ADS] [CrossRef] (In the text)
- Israel, G., Covino, S., Mignani, R., et al. 2005, A&A, 438, L1 [NASA ADS] [CrossRef] [EDP Sciences]
- Israel, G. L., Campana, S., Dall'Osso, S., et al. 2007a, ApJ, 664, 448 [NASA ADS] [CrossRef] (In the text)
- Israel, G. L., Bernardini, F., Burgay, M., et al. 2007b [arXiv:0711.04821v1] proceeding
- Jansen, F., Lumb, D., Altieri, B., et al. 2001, A&A, 365, L1 [NASA ADS] [CrossRef] [EDP Sciences] (In the text)
- Kaplan, D. 2008, in 40 YEARS OF PULSARS: Millisecond Pulsars, Magnetars and More. AIP Conf. Proc., 983, 331 (In the text)
- Kaplan, D. L., & Van Kerkwijk, M. H. 2005a, ApJ, 628, L45 [NASA ADS] [CrossRef]
- Kaspi, V., Isolated Neutron Stars: From the Interior to the Surface, Astorphysics & Space Science, Springer, Vol. 308, Issue 1-4, 1-11, [arXiv:astro-ph/06103040] (In the text)
- Kramer, M., Stappers, B. W., Jessner, A., Lyne, A. G., & Jordan, C. A. 2007, MNRAS, 377, 107 [NASA ADS] [CrossRef] (In the text)
- Kuiper, L., Hermsen, W., & Mendez, M. 2004, ApJ, 613, 1173 [NASA ADS] [CrossRef] (In the text)
- Kuiper, L., Hermsen, W., den Hartog, P. R., & Collmar, W. 2006, ApJ, 645, 556 [NASA ADS] [CrossRef] (In the text)
- Lyutikov, M., & Gavriil, F. P. 2006, MNRAS, 368, 690 [NASA ADS] [CrossRef] (In the text)
- Mason, K. O., Breeveld, A., Much, R., et al. 2001, A&A, 365, L36 [NASA ADS] [CrossRef] [EDP Sciences] (In the text)
- McLaughlin, M. A., Rea, N., Gaensler, B. M., et al. 2007, ApJ, 670, 1307 [NASA ADS] [CrossRef]
- Muno, M. P., Clark, J. S., Crowther, P. A., et al. 2006, ApJ, 636, L41 [NASA ADS] [CrossRef] (In the text)
- Muno, M. P., Gaensler, B. M., Clark, J. S., et al. 2007, MNRAS, 378, L44 [NASA ADS]
- Nobili, L., Turolla, R., & Zane, S. 2008a, MNRAS, 386, 1527 [NASA ADS] [CrossRef] (In the text)
- Nobili, L., Turolla, R., & Zane, S. 2008b, MNRAS, 389, 989 [NASA ADS] [CrossRef]
- Pavlov, G. G., & Bezchastnov, V. G. 2005, ApJ, 635, L61 [NASA ADS] [CrossRef] (In the text)
- Perna, R., & Gotthelf, E. V. 2008, ApJ, 681, 522 [NASA ADS] [CrossRef] (In the text)
- Rea, N., Israel, G. L., Stella, L., et al. 2003, ApJ, 586, L65 [NASA ADS] [CrossRef] (In the text)
- Rea, N., Testa, V., Israel, G. L., et al. 2004, A&A, 425, L5 [NASA ADS] [CrossRef] [EDP Sciences] (In the text)
- Rea, N., Oosterbroek, T., & Zane, S. 2005, MNRAS, 361, 710 [NASA ADS] [CrossRef] (In the text)
- Rea, N., Israel, G. L., & Oosterbroek, T. 2007, Ap&SS 308, 505 (In the text)
- Rea, N., Zane, S., Turolla, R., Lyutikov, M., & Götz, D. 2008, ApJ, 686, 1245 [NASA ADS] [CrossRef] (In the text)
- Schreier, E., Levinson, R., Gursky, H., et al. 1972, ApJ, 172, L79 [NASA ADS] [CrossRef]
- Skinner, S. L., Perna, R., & Zhekov, S. A. 2006, ApJ, 653, 587 [NASA ADS] [CrossRef] (In the text)
- Strüder, L., Briel, U., Dennerl, K., et al. 2001, A&A, 365, L18 [NASA ADS] [CrossRef] [EDP Sciences] (In the text)
- Testa, V., Rea, N., Mignani, R. P., et al. 2008, A&A, 482, 607 [NASA ADS] [CrossRef] [EDP Sciences] (In the text)
- Titarchuk, L. 1994, ApJ, 434, 570 [NASA ADS] [CrossRef]
- Thompson, C., & Duncan, R. C. 1995, MNRAS, 275, 255 [NASA ADS] (In the text)
- Turbiner, A. V. 2007, Ap&SS, 308, 267 [NASA ADS] [CrossRef] (In the text)
- Turbiner, A. V., & Lopez-Vieyra, J. C. 2006, Phys. Rep., 424, 309 [NASA ADS] [CrossRef] (In the text)
- Turner, M. J. L., Abbey, A., Arnaud, M., et al. 2001, A&A, 365, L27 [NASA ADS] [CrossRef] [EDP Sciences] (In the text)
- van Kerkwijk, M. H., & Kaplan, D. L. 2007, Ap&SS, 308, 191 [NASA ADS] [CrossRef] (In the text)
- Woods, P. M., & Thompson, C. 2006, Compact stellar X-ray sources, 547 (In the text)
- Woods, P. M., Kouveliotou, C., Gögüs, E., et al. 2002, ApJ, 576, 381 [NASA ADS] [CrossRef]
- Woods, P. M., Kaspi, V. M., Thompson, C., et al. 2004, ApJ, 605, 378 [NASA ADS] [CrossRef] (In the text)
- Woods, P. M., Kouveliotou, C., Gavriil, F. P., et al. 2005, ApJ, 629, 985 [NASA ADS] [CrossRef] (In the text)
- Zane, S., Turolla, R., Stella, L., & Treves, A. 2001, ApJ, 560, 384 [NASA ADS] [CrossRef] (In the text)
Footnotes
- ...
instruments
- http://xmm.esac.esa.int/external/xmm_user_support/......documentation/uhb_2.5/node28.html
- ... value
-
,
,
where x is the distance from the expectation value of
in units of
.
- ... vary
- In the ``blackbodyrad'' model the normalization is
,
with
the distance to the source in
units of 10 kpc.
- ...
keV
- The radii of these regions are taken from Table 3.
All Tables
Table 1:
Main observational parameters for the nine XMM-Newton datasets using for the uncertainties a 1
confidence level.
Table 2:
Pulsed fraction (PF) in different energy intervals vs. time, and
keV. Errors are reported at 1
confidence level.
Table 3:
Temperature (keV) and radius (km) evolution with time of
and
in the 2BB model, with uncertainties at 1
confidence level (68%).
Table 4:
Temperature, radius and observed flux (0.6-10 keV) evolution with time of BB medium (med) and hot BB (hot) in the 3BB model with 1
uncertainties.
Table 5:
and
as a function of pulse phase for the 2003 September and 2004 September observations.
Table 6:
Evolution of the spectral parameters for the edge component as a
function of phase for the 2005 September observation (PN data) with uncertainties at
confidence level.
All Figures
![]() |
Figure 1: XTE J1810-197 PN background-subtracted lightcurves folded at the best period (see Table 1) for each of the nine XMM-Newton observations carried out between September 2003 (S03) and September 2007 (S07), and for different energy intervals: 0.5-1 keV, 1-2 keV, 2-3 keV, 3-5 keV, 5-8 keV, and 8-15 keV. The last two energy intervals have been merged together since the September 2005 (S05) pointing in order to improve the statistics. |
| Open with DEXTER | |
| In the text | |
![]() |
Figure 2: Evolution of the spectral parameters for the 2BB ( left panel) and 3BB ( right panel) models together with the pulsed fraction (PF) as a function of the 0.6-10 keV flux. The cross in the left panel (first, second, and third rows), and in the right panel (first row) marks the ROSAT data. |
| Open with DEXTER | |
| In the text | |
![]() |
Figure 3:
Spectral evolution in the nine XMM-Newton observations, and the
ROSAT spectrum in quiescence. Fits use the 3BB model ( upper panel). Model residuals are shown in the lower panel. The soft component, constant in time, is marked with
|
| Open with DEXTER | |
| In the text | |
![]() |
Figure 4:
|
| Open with DEXTER | |
| In the text | |
![]() |
Figure 5:
Parameters of the |
| Open with DEXTER | |
| In the text | |
![]() |
Figure 6:
Phase evolution of
|
| Open with DEXTER | |
| In the text | |
![]() |
Figure 7:
|
| Open with DEXTER | |
| In the text | |
![]() |
Figure 8:
|
| Open with DEXTER | |
| In the text | |
![]() |
Figure 9:
Evolution of the edge parameters |
| Open with DEXTER | |
| In the text | |
![]() |
Figure 10:
Evolution of the 0.6-10 keV flux (as measured with the EPIC/PN
camera onboard XMM-Newton of XTE J1810-197 as a function of time, for the
|
| Open with DEXTER | |
| In the text | |
![]() |
Figure 11:
ROSAT PSPC spectrum of the pre-outburst quiescent state of
XTE J1810-197 (three PSPC observations were merged to rely upon a higher S/N), fitted with one BB component ( left panel), the same ROSAT spectrum with superimposed the 2BB model inferred from the latest three XMM-Newton observations (since September 2006 the
|
| Open with DEXTER | |
| In the text | |
Copyright ESO 2009
Current usage metrics show cumulative count of Article Views (full-text article views including HTML views, PDF and ePub downloads, according to the available data) and Abstracts Views on Vision4Press platform.
Data correspond to usage on the plateform after 2015. The current usage metrics is available 48-96 hours after online publication and is updated daily on week days.
Initial download of the metrics may take a while.
![\begin{figure}
\par\includegraphics[angle=+90,scale=.635]{0779fig1.ps}
\end{figure}](/articles/aa/full_html/2009/16/aa10779-08/Timg74.gif)
![\begin{figure}
\par\includegraphics[angle=-90, scale=0.6]{0779fig2.ps}
\end{figure}](/articles/aa/full_html/2009/16/aa10779-08/Timg85.gif)
![\begin{figure}
\par\includegraphics[angle=-90,scale=.70]{0779fig3.ps}
\end{figure}](/articles/aa/full_html/2009/16/aa10779-08/Timg202.gif)
![\begin{figure}
\par\includegraphics[angle=-90,scale=.50]{0779fig4.ps}
\end{figure}](/articles/aa/full_html/2009/16/aa10779-08/Timg225.gif)
![\begin{figure}
\par\includegraphics[angle=-90,scale=.35]{0779fig5.ps}
\end{figure}](/articles/aa/full_html/2009/16/aa10779-08/Timg231.gif)
![\begin{figure}
\par\includegraphics[angle=-90,scale=.40]{0779fig6.ps}
\end{figure}](/articles/aa/full_html/2009/16/aa10779-08/Timg320.gif)
![\begin{figure}
\par\includegraphics[angle=-90,scale=.30]{0779fig7.ps}
\end{figure}](/articles/aa/full_html/2009/16/aa10779-08/Timg321.gif)
![\begin{figure}
\par\includegraphics[angle=-90,scale=.30]{0779fig8.ps}
\end{figure}](/articles/aa/full_html/2009/16/aa10779-08/Timg322.gif)
![\begin{figure}
\par\includegraphics[angle=-90,scale=.35]{0779fig9.ps}
\end{figure}](/articles/aa/full_html/2009/16/aa10779-08/Timg360.gif)

![\begin{figure}
\par\includegraphics[angle=-90,scale=.34]{0779f10.ps}
\end{figure}](/articles/aa/full_html/2009/16/aa10779-08/Timg380.gif)
![\begin{figure}
\par\includegraphics[angle=-90,scale=.55]{0779f11.eps}
\end{figure}](/articles/aa/full_html/2009/16/aa10779-08/Timg385.gif)