| Issue |
A&A
Volume 498, Number 1, April IV 2009
|
|
|---|---|---|
| Page(s) | 13 - 23 | |
| Section | Cosmology (including clusters of galaxies) | |
| DOI | https://doi.org/10.1051/0004-6361/200810881 | |
| Published online | 05 March 2009 | |
Evolution in the properties of Lyman-
emitters from redshifts
to 
![[*]](/icons/foot_motif.gif)
K. K. Nilsson1 - C. Tapken1 - P. Møller2 - W. Freudling2 - J. P. U. Fynbo3 - K. Meisenheimer1 - P. Laursen3 - G. Östlin4
1 -
Max-Planck-Institut für Astronomie, Königstuhl 17,
69117 Heidelberg, Germany
2 -
European Southern Observatory, Karl-Schwarzschild-Straße 2, 85748
Garching bei München, Germany
3 -
Dark Cosmology Centre, Niels Bohr Institute, University of Copenhagen,
Juliane Maries Vej 30, 2100 Copenhagen, Denmark
4 -
Stockholm Observatory, Department of Astronomy, Stockholm University,
AlbaNova University Centre, 106 91 Stockholm, Sweden
Received 29 August 2008 / Accepted 21 January 2009
Abstract
Context. Narrow-band surveys to detect Ly
emitters are powerful tools for identifying high, and very high, redshift galaxies. Although samples are increasing at redshifts
z = 3 - 6, the nature of these galaxies is still poorly known. The number of galaxies detected at redshifts below
are also small.
Aims. We study the properties of z = 2.25 Ly
emitters and compare them with those of z > 3 Ly
emitters.
Methods. We present narrow-band imaging made with the MPG/ESO 2.2m telescope and the WFI (Wide Field Imager) detector. Using this data, we have searched for emission-line objects. We find 170 candidate typical Ly
emitters and 17 candidates that we regard as high UV-transmission Ly
emitters. We have derived the magnitudes of these objects in 8 photometric bands from u* to
,
and studied whether they have X-ray and/or radio counterparts.
Results. We demonstrate that there has been significant evolution in the properties of Ly
emitters between redshift
and z = 2.25. The spread in spectral energy distributions (SEDs) at the lower redshift is larger and we detect a significant AGN contribution in the sample. The distribution of the equivalent widths is narrower than at
,
with only a few candidates with rest-frame equivalent width above the predicted limit of 240 Å. The star formation rates derived from the Ly
emission compared to those derived from the UV emission are lower by on average a factor of
,
indicative of a significant absorption by dust.
Conclusions. Ly
emitters at redshift z = 2.25 may be more evolved than Ly
emitters at higher redshift. The red SEDs imply more massive, older and/or dustier galaxies at lower redshift than observed at higher redshifts. The decrease in equivalent widths and star formation rates indicate more quiescent galaxies, with in general less star formation than in higher redshift galaxies. At z = 2.25, AGN appear to be more abundant and also to contribute more to the Ly
emitting population.
Key words: cosmology: observations - galaxies: high redshift
1 Introduction
Over the past decade, a large number of so-called Lyman-
(Ly
)
emitters have been discovered at high redshift. Several techniques have been
employed in the search for these galaxies, but the by far most common method
is that of narrow-band imaging, where a narrow-band filter is tuned to
Ly
within a particular narrow redshift range. Objects with large equivalent
widths (EWs) are thus selected by comparing the colours in the narrow-band image and
complementary broad-band images. Spectroscopically confirmed Ly
emitters now include several hundreds of sources
at redshifts
(e.g., Møller & Warren 1993; Cowie & Hu 1998; Steidel et al. 2000;
Fynbo et al. 2001, 2003a; Matsuda
et al. 2005; Venemans et al. 2007; Nilsson et al. 2007; Ouchi et al. 2008),
(Finkelstein et al. 2007),
(Malhotra et al. 2005; Shimasaku et al. 2006; Tapken et al. 2006)
and
(Taniguchi et al. 2005; Kashikawa et al. 2006). However, in
the low redshift range, between
corresponding to the
atmospheric cut-off in the UV and
,
little progress has been made. In practice, the lower redshift limit is
in fact higher than
because of the drop-off in CCD sensitivity
and a more typical lower redshift limit is
.
Eight narrow-band
surveys have so far been published below
;
Fynbo et al. (1999), Pentericci et al. (2000), Stiavelli et al. (2001), Fynbo et al. (2002, 2003a,b), Francis et al. (2004) and Venemans et al. (2007). Furthermore, Van Breukelen et al. (2005) published a sample of Ly
emitters (LAEs) at
using integral-field spectroscopy. The difficulty in observing
the Ly
line between redshifts 2 < z < 3 lies in the low throughput of optical
systems, the low efficiency of CCDs in this wavelength range, and higher extinction
in the atmosphere. Even so, the
advantage of a smaller luminosity distance is rewarding in that a higher
flux limit equals the same luminosity limit as surveys at higher
redshift. It also facilitates follow-up observations into the nature of these
objects.
At higher redshifts, Ly
emitters have been observed to be increasingly bluer, younger and smaller with increasing redshift. At
,
Gawiser et al. (2006) inferred stellar masses of a few
,
almost no dust extinction, and ages of the order of 100 Myr. In a follow-up paper, Gawiser et al. (2007) studied a stacked sample of 52 Ly
emitters without Spitzer detections and confirmed their results of young ages and that no dust appears to be present in these systems, although they inferred slightly higher masses. The galaxies in their sample with Spitzer detections are presented in Lai et al. (2008). For these galaxies, older ages and higher masses are reported and the authors propose that
Ly
emitters may have a wide range of properties. In Nilsson et al. (2007), a stacked sample of Ly
emitters at z = 3.15 were studied. Here, small masses and low dust contents were inferred, but the ages were unconstrained. At even higher redshift, Pirzkal et al. (2007) showed that a sample of
4 < z < 5.7 Ly
emitters had very young ages of a few Myr and small stellar masses, in the range
106 - 108
.
These results agreed well with those of Finkelstein et al. (2007), who studied almost 100 Ly
emitters at z = 4.5. Finkelstein et al. (2008) reported, studying a different sample, finding very dusty, massive galaxies with A1200 as high as 4.5 mag and masses as high as several
,
at z = 4.5. They argued that they observed a bimodality in the properties of Ly
emitters; young and blue galaxies versus old and dusty. Thus, the properties of
Ly
emitters are poorly constrained, but these galaxies tend to be considered young, blue, small and dust-free. With the data presented here, we aim to extend the study of the properties of Ly
emitters to lower redshifts, where a wider range of the SED can be studied in the optical/infrared and the luminosity distance is smaller, allowing a more detailed analysis.
This paper is organised as follows. Section 2 presents the observations leading to our sample, as well as the data reduction. Section 3 includes the object detection and candidate selection and a discussion about possible interlopers in the sample. In Sect. 4 we present all the basic characteristics of the sample, including photometry, AGN contribution, surface density, and sizes, and the equivalent width distribution of the candidates. We summarise the results in Sect. 5.
Throughout this paper, we assume a cosmology with H0=72km s-1 Mpc-1 (Freedman et al. 2001),
and
.
Magnitudes are given in the AB system.
2 Observations
In March 2007, a
arcmin2 section of the COSMOS field, centred on
RA
and Dec
7 (J2000),
was observed with the Wide-Field Imager (WFI; Baade et al. 1999) on the MPG/ESO 2.2 m telescope
on La Silla. A log of the observations can be found in Table 1.
Table 1: Log of imaging observations with WFI.
The total dithered image consisted of 29 exposures with a total exposure time of 99 624 s, or 27.7 h. The observations were made with narrow-band filter N396/12 with a central wavelength of 396.3 nm and a FWHM of 12.9 nm. This wavelength range corresponds to z = 2.206 - 2.312 for Ly
![]() |
Figure 1: Transmission of selection filters. The WFI narrow-band filter is drawn with a solid line. The dashed line shows the SUBARU Bj band filter curve and the dotted line the CFHT u* band filter curve. |
| Open with DEXTER | |
The data were reduced using the MPIAphot pipeline developed in
MIDAS with
specific routines to handle WFI data. We briefly describe the
reduction steps performed on the data. The data from the individual CCDs were converted into MIDAS format and bias-corrected on each separate
CCD. The individual CCD frames were then placed into placeholders in an empty
mosaic, thus creating a full mosaic for each frame including the gaps between
the CCDs. To correct for bad pixels and columns as well as correcting columns
with a constant offset compared to the surrounding pixels, lamp images
with exposure times ranging between 1 - 220 s were downloaded and analysed.
The science frames were then corrected for both the bad columns and the
offset columns. The frames were then flat-field corrected using a master
flat created from sky flats taken at the time of observations. To determine the offsets between
the images, an SDSS catalogue of known sources was used, combined with an
algorithm that identifies sources and matches them with catalogue entries. The information
about the shift is then entered into the header. In the final step, the images were shifted
and rebinned onto a gnomonic projection (i.e. by de-projecting all great circles onto straight lines),
cosmic-ray hits were removed and a final, co-added image
created. Significant residuals from the background subtraction were apparent in the
mosaiced image, in particular around the edges of the individual images used
to create the mosaic. We used the following procedure to remove it. First, we used
the ``clean'' option of the IRAF task imsurfit to create a version of the image
in which objects had been removed and interpolated over. We then edited this image
interactively to remove any residual flux from objects. Subsequently, we
fitted a
piece bicubic spline to this image. We then
subtracted this fit from the original image. This procedure reduced the background
variations to a small fraction of the background noise.
We then flux calibrated the narrow-band image by calculating the fluxes of all narrow-band selected objects (see Sect. 3.1) in the CFHT u* and the SUBARU Bj images (see Table 3) and interpolated the fluxes in the narrow-band image. We can then calculate the zero-point of the image, assuming that the median equivalent width of all objects is zero. The
detection limit in a 3'' diameter aperture in the image is
25.3 AB magnitude and the 90% completeness limit is 25.1 AB magnitude, corresponding to Ly
luminosities of
erg s-1 and
erg s-1, respectively, at z = 2.25.
3 Selection of candidates
3.1 Object detection and candidate selection
For object detection, we used the SExtractor software (Bertin & Arnouts 1996).
The narrow-band image was used as a detection image, and objects with
a minimum of 8 adjoining pixels and a threshold of
per pixel were selected.
For the selection, we used
two broad-band filters corresponding to wavelengths to both the blue and red side of the narrow-band
filter, the CFHT u* band image and the SUBARU Bj band image, see also
Fig. 1. Both images were taken from the public data in the COSMOS field
(Capak et al. 2007). The u* and Bj band images were created from combining several
smaller sub-images to match perfectly the field of the narrow-band image, and
they were subsequently re-binned and smoothed to match the pixel size and
source PSF of the narrow-band image. The flux of each object detected in
the narrow-band image was then measured in all three bands in circular apertures
with a diameter of
3'', where each aperture was centred on the position of the object
detected in the narrow-band image. For the catalogue, we included only
objects with S/N > 5 in the narrow-band image that were found at least 70 pixels from the
edge of the image. We also masked areas where stray light and bright stars affected the image.
This left us with a catalogue of 21 275 objects in an effective area of
arcmin2.
The candidate Ly
emitters were selected according to a similar method
as described in Nilsson et al. (2007). The method is
based on determining the
equivalent width (EW) of a potential emission/absorption line located in the
narrow-band wavelength range. Thus, the flux density was determined in the CFHT
u* and SUBARU Bj bands and interpolated between the central wavelengths of these
filters and the central wavelength of the narrow-band filter. The EW was then
determined by dividing the measured flux in the narrow-band with the interpolated flux density.
Simultaneously, we also calculated the propagated statistical error in this
measurement. The calculated EW represents a lower limit to the true EW of the
object as there may be several objects, unrelated to the narrow-band object,
detected inside the aperture in the broad-band images. The EW calculation is also complicated by
the uncertainties in the continuum interpolation (Hayes & Östlin 2006; Hayes et al. 2008). To compile the final catalogue
of Ly
emitting candidates, we used two selection criteria. First, all objects with
a measured EW larger than or equal to 65 Å (corresponding to 20 Å in the
restframe for Ly
)
are selected. To further exclude false candidates at the faint magnitude end of the sample, in which the EW measurement is dominated by the broad-band flux uncertainties, a significance of the EW greater than 2.3 is required. These criteria are designed
to detect all emission-line objects with large equivalent widths accurately. This final
catalogue includes 386 objects. Following the procedure of Fynbo et al. (2002), three co-authors then individually ranked these 386 candidates by visual inspection into three categories; first a category of rejected detections (caused by CCD or stellar artifacts or enhancement due to airplane/satellite tracks), then into two categories of likely candidates and candidates that are unlikely to be real but for which no obvious reason was found to reject them (see also Fig. 2).
![]() |
Figure 2:
Plot of the selection criteria, with narrow-band magnitude on the x-axis and observed equivalent width on the y-axis. Selected candidates are shown with error bars, green points correspond to the GALEX-detected objects, see Sect. 3.2. Solid line marks the 65 Å limit. Objects above this line with EW significance greater than
|
| Open with DEXTER | |
Table 2:
Coordinates, observed equivalent widths, continuum subtracted narrow-band
magnitudes and UV spectral index
of the candidates.
Full table is available in the online version.
![]() |
Figure 3:
Histogram of Ly |
| Open with DEXTER | |
3.2 Interloper discussion
The only possible contaminants in the sample are [OII] emitters at z = 0.06 and CIV emitters at
z = 1.56. For [OII] emitters at
this redshift, the detection limit corresponds to a luminosity limit of
erg s-1 and the
survey volume is 820 Mpc-3. For CIV emitters, the corresponding limit is
erg s-1 and the survey volume is
000 Mpc-3. Unfortunately, no published luminosity function for local Universe
[OII] emitters or CIV emitters reach these faint luminosity limits, but for [OII] emitters, extrapolating from the luminosity functions of
Hogg et al. (1998), Gallego et al. (2002), and Teplitz et al. (2003), we conclude that we could expect
between a few to 200 [OII] emitters in the survey volume. To constrain this value further, the [OII] luminosity function was extrapolated from the H
luminosity function of Ly et al. (2007). Assuming a conversion between [OII] and H
luminosities given by the star formation rate equations of Kennicutt (1998) and Kewley et al. (2004), the [OII] luminosity limit corresponds to an H
luminosity limit of
erg s-1 in this survey. To this limit, Ly et al. (2007) detected
emitters per Mpc-3, corresponding to approximately 160 objects in our survey volume, of which only 2% are expected to have an EW larger than the selection criteria limit of
Å (Hogg et al. 1998). Based on the results of Ly et al. (2007), approximately three [OII] emitters are hence included in the list of candidates.
We also extracted the photometric redshifts for our candidates from the catalogue of Gabasch et al. (2008). The catalogue is incomplete in areal coverage and covers roughly 80% of our field. The catalogue was searched for counterpart objects within a 2'' radii from the position of our source. If several objects were found, the object nearest to our source was chosen as the counterpart. For a total of 187 candidates, 132 had detected counterparts. Unfortunately, the near-IR coverage of the COSMOS field is patchy and shallow, which complicates any photometric redshift determination in the redshift range
,
since in this range the Lyman-break has not yet entered the optical window and the Balmer break is in the near-IR. This means that we are in principle able to exclude [OII] emitters from the sample, whereas other intermediate redshift emitters, such as CIV, are difficult to exclude. The redshifts of our 132 detected candidates also show that no emitters are consistent with being [OII] emitters, and the median redshift of the candidates is z = 1.7, with most of the candidates being consistent with having a redshift of z = 2.25 to within
margins of error. To study how many CIV emitters may be expected in the survey volume, we used the AGN luminosity function of Bongiorno et al. (2007). Since CIV emission of restframe equivalent widths larger than
are only expected to originate in AGN, and with the luminosity limits in the optical of this survey, the expected number of CIV emitters in our survey volume is
.
Any contamination of CIV emitters in the total sample of candidates is thus minimal.
The COSMOS field also has publicly available GALEX near- and far-UV data. This data may be used to exclude any remaining [OII] emitters from the sample, since the limiting magnitude of the GALEX data is
in the NUV band and, assuming a flat spectrum, all [OII] emitters in the sample should be detected in the GALEX data based on the flux limit in the Bj band. Ly
emitters may or may not be detected in the GALEX data, depending on the level of absorption from the Lyman forest. Ly
emitters would require a transmission of less than 60% to be undetected in the GALEX images. Møller & Jakobsen (1990) inferred that approximately 10% of galaxies at redshift z = 2.25 have transmissions in the UV higher than 60%, in agreement with recent observations at
(Siana et al. 2007). The conclusion is that we expect all [OII] emitters to be detected in the GALEX images, whereas the total sample of GALEX-detected objects is a mix of high transmission Ly
emitters and [OII] emitters. Of the 187 candidates, 17 are detected in the GALEX images (labelled by a G in Table 2). The largest EW of a GALEX-detected candidate is
Å. As shown earlier, the expectation is
[OII] emitters in the survey volume, and so most of the GALEX-detected objects are most likely to be high transmission Ly
emitters. We separate the GALEX-detected sample and the non-GALEX-detected sample in the following analysis. Thus, we have two samples; one robust sample of 170 Ly
emitter candidates (removing 17 GALEX detections from a total of 187 candidates), which is expected to be free of interlopers, and one sample of 17 GALEX-detected objects, possibly including a small contamination of [OII] emitters but consisting mostly of high-transmission Ly
emitters. The non-GALEX-detected sample is a conservatively selected sample defined so that the probability of having non-LAE objects in it is minimal, but at the price that it is less complete. For this reason, it is unsuitable for determining volume and surface densities. In Sect. 4.3 we return to this issue and define a sample suited for this purpose. From here on, whenever the ``sample'' is mentioned it is referring to the non-GALEX-detected sample.
4 Basic characteristics of LAEs
4.1 Photometry
For the photometry of the candidates, we use the public data-set from the COSMOS survey (Capak et al. 2007). The photometry presented here has been made in the bands found in Table 3.
Table 3: COSMOS broad-bands used.
All images are on the common COSMOS tiling grid and were cut and re-binned to match the narrow-band image in coverage and pixel size. We ran SExtractor in dual image mode, measuring the flux in apertures defined in the narrow-band image, also including the RMS images in the measurement through the WEIGHT_IMAGE option. The apertures had a diameter of 3''. Magnitudes were calculated using the zero-point given in the COSMOS data release. These magnitudes will, in the case of the candidates, be underestimated, since objects unrelated to the LAE candidate may be blended into the aperture (see below for a discussion of contamination in the aperture). In the following we exclude the results in the g+ band as these magnitudes appear to be inconsistent. When plotting the SEDs of the objects, the g+ band magnitudes are consistently lower than the other SED points by 0.1 - 0.5 mag.
We calculated the UV spectral index of
for the candidates, which is defined to be:
| (1) |
where
where Bj, Vj, and r+ are the AB magnitudes in the respective bands. A plot of the results can be seen in Fig. 4 and the total
The SEDs of the candidates have characteristics that are atypical of higher redshift LAE SEDs. It has previously been reported that LAEs have SEDs that are in many cases blue (Gawiser et al. 2006, 2007; Pirzkal et al. 2007). Only two other surveys reported detections of red SEDs in several LAEs (Stiavelli et al. 2001; Lai et al. 2008), although one extremely red object was found by Nilsson et al. (2007). Among the 170 objects detected in this survey, a total of 118 candidates have
colours greater than zero, indicative of red colours, and five candidates have undefined colours due to upper limits in both bands, or only in the i+ band. The median values of
and
among candidates with 3
detections in both bands is 0.14 and 0.15, respectively. In Fig. 5, the colours
and
are plotted in a colour-colour diagram.
![]() |
Figure 4:
UV spectral index calculated from the |
| Open with DEXTER | |
![]() |
Figure 5:
Colour-colour diagram with
|
| Open with DEXTER | |
In the sample, 12 objects have
band detections above the limiting magnitude of 22.2 (3
,
AB), corresponding to 7% of the complete sample. Note that four of these 12 Ks-detected objects are also selected as AGN (see Sect. 4.2). The
-detected objects are all drawn from the brighter end of the candidate sample, but have a range in Vj magnitude of
21.5 - 26, whereas the entire candidate sample have a range in magnitude of
21.5 - 27, i.e. not only the brightest candidates have
detections. We stacked the thumb-nail images of the candidates without
detections, removing objects from the stack with nearby, unrelated, bright detections. The total stack consisted of 144 candidates (with GALEX detections and objects with nearby, unrelated detections removed) and revealed a mean detection in the sample of magnitude
.
The sample was also divided into two subsamples with
Vj-i+ colours
and
Vj-i+ < 0, respectively. In the subsample with red Vj-i+ colours, consisting of 96 of the 144 candidates, a clear detection with magnitude
was made. In the subsample with bluer colours, no detection was made and an upper limit of 24.26 (
)
was derived. In Fig. 6, we show the stacked magnitudes of the sample divided into four bins; the total sample, the sample with
(called the ``red'' sample), the sample with
Vj-i+ < 0 (called the ``blue'' sample), and the
-detected sample. The total sample consists of 144 candidates, the red subsample consists of 96 candidates, and the blue subsample consists of 48 candidates.
![]() |
Figure 6:
Stacked SED of the sample. Points are the stacked magnitudes in six bands (u*, Bj, Vj, i+, z+ and |
| Open with DEXTER | |
Table 4: Stacked magnitudes for the sample.
In Fig. 6, it is seen that the stacked SED of the total sample is redder than those atTo study the level of contamination in the apertures, and the possibility that the very red SEDs originate from this source, the narrow-band catalogue was searched for other detected objects within two aperture radii (i.e. within 3'') of each LAE candidate. Of the 170 non-GALEX-detected candidates, 26 have one or more detected objects within this search radius. This corresponds to a potential contamination rate of 15% in the photometric measurements. Two objects have more than one nearby object. We also wish to determine if the apparent high number of red objects is caused by flux contamination from unrelated objects in the aperture. Of the 26 candidates with nearby objects, 19 have a Vj - i+ colour in the aperture greater than zero, and 15 have Vj - i+ colours larger than the median of Vj - i+ for all 170 candidates. This implies that the contamination is not confined to only apparent red objects but affects all types of SEDs. We are thus confident that the contamination in the photometry is small, and that contamination cannot explain the apparent red colours of the LAE candidates.
4.2 AGN contribution
The COSMOS public data includes a release of X-ray data in three bands,
0.5 - 2.0,
2.0 - 4.5, and
4.5 - 10.0 keV, as observed by the XMM observatory (Hasinger et al. 2007). We used the catalogue of objects of Cappelluti et al. (2007) to measure the AGN fraction of all candidates. The catalogue consists of 1390 entries representing point-like sources and gives the fluxes in the three bands including errors. The catalogue detects objects to limiting fluxes of
,
,
and
erg s-1 cm-2, respectively, in the bands 0.5-2.0, 2.0-4.5, and
4.5-10.0 keV with a confidence of roughly
(Hasinger et al. 2007). This catalogue was searched for objects detected within a radius of 8'' (i.e. 2 pixels in the XMM images) of the candidates. Fifteen of these potential counterparts were detected, of which five were from the list of GALEX-detected candidates. The X-ray fluxes of these candidates are found in Table 5.
Table 5: X-ray and radio properties of counterparts of the candidates.
Note that the probability of finding an X-ray object within an aperture of radius 8'' isThe hardness ratios, when applicable, can be found in Table 5. All measured hardness ratios (HR1) are positive, indicating that the LAE candidates are type 2 AGN (e.g. Norman et al. 2004). The low luminosity of the GALEX-detected candidates, assuming that they are [OII] emitters indicate that they are normal, star forming galaxies, or that they are Ly
We also searched the catalogue of Schinnerer et al. (2007) for radio counterparts to the candidates. The data on which the catalogue is based was taken with the VLA array and covers the entire COSMOS field to a depth of a few
Jy. The catalogue presented in Schinnerer et al. (2007) contains 3643 source detections. This catalogue was searched with the same criteria as for the X-ray catalogue (i.e. detections within 8'' of the candidate positions) and six objects were found. The number of random detections in a 8'' radius aperture is 0.026. Of the six radio detections, one object is GALEX-detected (candidate 173). The radio fluxes of these sources can be found in Table 5. Only one source has a detection in both the X-ray and radio data. This is in principle not a problem since AGN can be both radio-loud and radio-quiet. The radio objects without X-ray detections are more enigmatic, but can be explained by the relatively shallow luminosity limit of the X-ray observations. If the radio fluxes are converted into star formation rates using the conversion rate of Condon (1992), they correspond to values in the range of
yr-1 whereas the upper limit to star formation rates in the XMM survey is
yr-1, using the conversion of Ranalli et al. (2003).
The AGN fraction of the non-GALEX-detected LAE sample is thus at least
%, if it is assumed that the X-ray and radio objects within 5'' of the narrow-band sources are true detections. It is clear that the shallow flux limit to the deepest X-ray band, corresponding to a luminosity of
erg s-1, ensure many AGN of lower luminosities to be undetected, as confirmed by the radio detections without X-ray counterparts. The AGN fraction should therefore almost certainly be even higher, although we did not detect any X-ray flux in the mean, stacked total GALEX and non-GALEX-detected sample of 170 objects. Previous studies of LAEs at higher redshifts exhibited very small AGN contributions, from less than one percent in the
LAEs studied by Wang et al. (2004) to
% at
as inferred by Gawiser et al. (2007). Lehmer et al. (2008) calculated the ``AGN fraction function'' of Ly
emitters at
both in the field and the overdense region of SSA22 (Fig. 3b in their paper). If we convert our 0.5-2.0 keV detection limit to their 8-32 keV luminosity range, we should expect to detect an AGN fraction of 0.5-1.5%, where the lower number is related to their field result and the higher to the SSA22 result. Based on this comprehensive study of X-ray detected Ly
emitting AGN, it is clear that the AGN fraction detected here is larger than at
,
as expected from the Lehmer et al. (2008) survey. Ouchi et al. (2008) argued that the missed fraction in AGN X-ray searches among LAEs may be as high as 10%. We performed the same test as in the Ouchi et al. (2008) publication. Based on the quasar SEDs of Elvis et al. (1994) and the UV spectrum of quasars of Telfer et al. (2002) and Richards et al. (2003) we inferred the ratio of observed
0.5 - 2.0 keV flux to Ly
flux of 1.87 and 1.51 for radio-quiet and radio-loud quasars, respectively . For the flux limit in the X-ray band, the maximum magnitude observed for Ly
is then 23.34. In our complete GALEX and non-GALEX-detected samples, nine objects have magnitudes brighter than this, four of which are GALEX-detected. Of the nine objects, six have X-ray detections (all four GALEX-detected sources and two LAE candidates). Thus, if we exclude the four GALEX-detected sources, two out of five Ly
bright galaxies host AGN and the fraction of X-ray detected AGN in the non-GALEX-detected sample is 40%, four times the fraction found by Ouchi et al. (2008) for
LAEs. To conclude, our detection of a 5% AGN contribution in the non-GALEX-detected LAE sample is consistent with previous results, but is indicative of a higher AGN fraction being present at this redshift.
4.3 Surface density, sizes and SFR
For the surface density determination, we included both the GALEX-detected and non-detected objects to obtain as complete as possible a measure of the number density. Since our image has areas of poorer signal-to-noise, as well as stellar artifacts, we selected sub-images of superior quality with a total area of
arcmin2, corresponding to
% of the total surveyed area, to use for the surface and volume density calculations. In these areas, the selection is complete, and we found 54 candidates within these sub-images.
This implies a surface density of LAE candidates of 0.19 arcmin-2
,
or 1.91 arcmin-2 z-1. The volume density is 0.00062 Mpc-3, which is in the lower range of that observed at redshift
.
Fynbo et al. (2001) summarise the surface densities of several early
surveys. With the exception of the Steidel et al. (2000) survey in the overdense SSA22 field, these surveys all determined values of
2.11 - 5.9 arcmin-2 z-1 to the flux limit of this survey, but with large error bars. Hence, the values at
are consistently higher than our value, but in most cases the measurements agree to within
.
For LAE candidates brighter than the (
)
luminosity limit of this survey, Nilsson et al. (2007) identified six candidates in their survey, corresponding to 0.0018 Mpc-3, which represents a decrease of roughly a factor of three although based on a small sample. Gronwall et al. (2007) determined a space density of 0.00057 Mpc-3 above the
luminosity limit of our survey, which is consistent with the space density found here. Stiavelli et al. (2001) presented a survey of z = 2.4 LAEs and found a volume density of 0.0001 Mpc-3 above a luminosity limit of
erg s-1. The same number for this survey is 0.00009 Mpc-3. The numbers agree reasonably well with previous results. Finally, Prescott et al. (2008) completed a survey of
LAEs around a so-called Ly
blob (e.g. Steidel et al. 2000; Matsuda et al. 2004; Dey et al. 2005; Nilsson et al. 2006). They argued that the central part of their field is overdense, and determined a number density of 0.0021 Mpc-3. This is roughly three and half times higher than in our survey. At the edge of their field, the density is instead 0.0012 Mpc-3, in closer agreement with, but still higher than, our result. Thus, the surface density in this survey is in almost all cases lower than in higher redshift surveys, but could also be consistent with previous results. If one considers that number densities have been found to vary by factors of 2 - 5 in 0.2 deg2 fields at redshift z = 3 (Ouchi et al. 2008), it is clear that more data at both higher and lower redshifts is needed to resolve this issue finally.
As in Nilsson et al. (2007), the sizes of the candidate Ly
and GALEX-detected objects measured in the narrow-band and r+ broad-band images are presented in Fig. 7. Six LAE objects are excluded due to non-detections in the r+ band. The FWHM was calculated using the FLUX_RADIUS output from SExtractor, and the PSF in the narrow-band image was calculated by using 9 objects in the image with fluxes in the range of the candidates and the SExtractor parameter CLASS_STAR larger than 0.8, which inferred a PSF of 0.96''. The PSF of the r+ image is similar to that of the narrow-band image PSF (the PSF of the r+ image is 1.06'').
![]() |
Figure 7:
Size distribution of candidates as measured in the narrow-band (hatched histogram) and r+ (empty histogram) images for LAE candidates and GALEX-detected candidates respectively. Sizes as measured by the FLUX_RADIUS command in SExtractor. The solid line represents the PSF of the narrow-band image, with the dotted lines showing the |
| Open with DEXTER | |
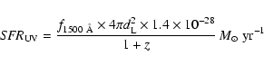
The SFRs of the candidates are calculated using the common star formation indicators of the rest-frame UV continuum emission at
Å and the Ly
emission. The Ly
emission used in this case was the continuum-subtracted narrow-band flux. The conversion rates that we use are the following:
where the flux density
where
![]() |
Figure 8:
Star formation rates as derived from the UV rest-frame 1500 Å emission and the Ly |
| Open with DEXTER | |
![]() |
Figure 9:
Left: distribution of restframe equivalent widths of the sample of 170 candidates. Bin size is 10 Å. The solid line indicates the exponential fit to the data with the fits with
|
| Open with DEXTER | |
In this equation,
4.4 Equivalent width distribution
At higher redshift (
), emitters with EWs larger than 240 Å have been predicted (Schaerer 2003; Tumlison et al. 2003) and observed (Malhotra & Rhoads 2002; Shimasaku et al. 2006; Stanway et al. 2007). These large EWs supposedly cannot be explained by a normal initial mass function but have been proposed to be signs of Population III stars. At redshift
,
small subsamples of detected emitters exhibit extremely high EWs (a few percent in the surveys of both Gronwall et al. 2007; and Nilsson et al. 2007; and up to 20% in Ouchi et al. 2008). In Fig. 9, the distribution of rest-frame equivalent widths of the candidates can be seen, also divided into the red and blue sub-samples.
The sample includes six emitters with restframe EWs larger than 240 Å, corresponding to
%.
In Gronwall et al. (2007), the data is reproduced with an exponentially declining function:
| (9) |
where N is the number of objects, C is a normalisation constant and w0 is the e-folding length of the distribution. Gronwall et al. (2007) inferred that w0 = 76+11-8 Å. The EW distribution presented here was fitted here by a best-fit solution minimising the
Since the Ly
EW of a starburst declines with time (Charlot & Fall 1993; Schaerer 2003) one might seek to interpret the change in width of the distributions in the redshift interval
z = 3 - 2 as a simple evolution of individual objects. To test this simple idea, we attempted to recreate both the z = 3.1 and z = 2.25 EW distribution from the simple evolution of single stellar population starbursts by using both the predictions of Charlot & Fall (1993) and Schaerer (2003). We found that neither of the two distributions can be recreated in this way. The decline in the Ly
EW of a starburst is so rapid that a cumulative EW distribution similar to those in Fig. 9 will be much narrower than those observed at both redshifts. The only way of obtaining distributions similar to those observed is to allow the majority of the galaxies to have continuous star formation. We can therefore conclude that at maximum a small fraction of the LAEs at redshifts
z = 2 - 3 are single starburst objects, and are most likely better explained by alternative star formation histories. Finally, the shift in the width of the distribution between z = 3 and z = 2 cannot be explained by simple evolution with time, but is further evidence of a higher dust content in LAEs at redshift
.
Worth noting is that a narrower EW distribution is consistent with the higher UV-to-Ly
SFRs described in Sect. 4.3 since the EW is proportional to the ratio of the flux in the Ly
to the flux density in the UV, similar to the SFRs.
5 Conclusion
In this paper, the observations and selection leading to a sample of 170 robust LAE candidates at z = 2.25 have been presented. This is the first large-scale survey of LAEs at redshifts around two, and several indications of evolution are seen in the properties of LAEs between redshift
and
.
This is however unsurprising, since the separation in these redshifts corresponds to longer than 1 Gyr. The main arguments for an evolution in the properties of this type of galaxy are:
- -
- The large spread in SEDs
- -
- Potentially larger fraction of AGN
- -
- Change in SFR ratios
- -
- Narrower EW distribution
In conclusion, by comparing observations of Ly
emitters at redshift z = 2.25 with galaxies selected in the same manner at higher redshifts, several evolutionary signatures become evident in the properties of these galaxies. At lower redshifts, there appear to be fewer objects, with redder colours and higher dust contents, smaller equivalent widths, and a higher fraction of objects containing AGN. Future SED fitting of these galaxies will reveal more information into the properties such as dust, mass and age (Nilsson et al., in prep.).
Acknowledgements
The Dark Cosmology Centre is funded by the DNRF. The authors wish to thank Hermann-Josef Röser for kind help with MPIAphot and Katherine Inskip and Joanna Holt for help with the COSMOS HST images.
References
- Baade, D., Meisenheimer, K., & Iwert, O., et al. 1999, The Messenger, 95, 15 [NASA ADS] (In the text)
- Bertin, E., & Arnouts, S. 1996, A&AS, 117, 393 [NASA ADS] [CrossRef] [EDP Sciences] (In the text)
- Bongiorno, A., Zamorani, G., & Gavignaud, I., et al. 2007, A&A, 472, 443 [NASA ADS] [CrossRef] [EDP Sciences] (In the text)
- Brocklehurst, M. 1971, MNRAS, 153, 471 [NASA ADS] (In the text)
- Bruzual, G. A., & Charlot, S. 2003, MNRAS, 344, 1000 [NASA ADS] [CrossRef] (In the text)
- Calzetti, D. 2001, PASP, 113, 1449 [NASA ADS] [CrossRef]
- Calzetti, D., Armus, L., & Bohlin, R. C., et al. 2000, ApJ, 533, 682 [NASA ADS] [CrossRef] (In the text)
- Capak, P., Aussel, H., & Ajiki, M., et al. 2007, ApJS, 172, 99 [NASA ADS] [CrossRef] (In the text)
- Cappelluti, N., Hasinger, G., & Brusa, M., et al. 2007, ApJS, 172, 341 [NASA ADS] [CrossRef] (In the text)
- Charlot, S., & Fall, S. M. 1993, ApJ, 415, 580 [NASA ADS] [CrossRef] (In the text)
- Condon, J. J. 1992, ARA&A, 30, 575 [NASA ADS] [CrossRef] (In the text)
- Cowie, L. L., & Hu, E. M. 1998, AJ, 115, 1319 [NASA ADS] [CrossRef] (In the text)
- Dey, A., Bian, C., Soifer, B. T., et al. 2005, ApJ, 629, 654 [NASA ADS] [CrossRef] (In the text)
- Elvis, M., Wilkes, B. J., & McDowell, J. C., et al. 1994, ApJS, 95, 1 [NASA ADS] [CrossRef] (In the text)
- Finkelstein, S. L., Rhoads, J. E., Malhotra, S., Pirzkal, N., & Wang, J. 2007, ApJ, 660, 1023 [NASA ADS] [CrossRef] (In the text)
- Finkelstein, S. L., Rhoads, J. E., Malhotra, S., & Grogin, N. 2009, ApJ, 691, 465 [NASA ADS] [CrossRef] (In the text)
- Francis, P. J., Palunas, P., Teplitz, H. I., Williger, G. M., & Woodgate, B. E. 2004, ApJ, 614, 75 [NASA ADS] [CrossRef] (In the text)
- Freedman, W. L., Madore, B. F., & Gibson, B. K., et al. 2001, ApJ, 553, 47 [NASA ADS] [CrossRef] (In the text)
- Fynbo, J. U., Møller, P., & Warren, S. J. 1999, MNRAS, 305, 849 [NASA ADS] [CrossRef] (In the text)
- Fynbo, J. P. U., Møller, P., & Thomsen, B. 2001, A&A, 374, 443 [NASA ADS] [CrossRef] [EDP Sciences] (In the text)
- Fynbo, J. P. U., Møller, P., & Thomsen, B., et al. 2002, A&A, 388, 425 [NASA ADS] [CrossRef] [EDP Sciences] (In the text)
- Fynbo, J. P. U., Ledoux, C., Møller, P., Thomsen, B., & Burud, I. 2003a, A&A, 407, 147 [NASA ADS] [CrossRef] [EDP Sciences] (In the text)
- Fynbo, J. P. U., Jakobsson, P., & Möller, P., et al. 2003b, A&A, 406, L63 [NASA ADS] [CrossRef] [EDP Sciences]
- Gabasch, A., Goranova, Y., Hopp, U., Noll, S., & Pannella, M. 2008, MNRAS, 383, 1319 [NASA ADS] (In the text)
- Gallego, J., García-Dabó, C., Zamorano, J., Aragón-Salamanca, A., & Rego, M. 2002, ApJ, 570, L1 [NASA ADS] [CrossRef] (In the text)
- Gawiser, E., Van Dokkum, P. G., & Gronwall, C., et al. 2006, ApJ, 642, L13 [NASA ADS] [CrossRef] (In the text)
- Gawiser, E., Francke, H., & Lai, K., et al. 2007, ApJ, 671, 278 [NASA ADS] [CrossRef] (In the text)
- Gronwall, C., Ciardullo, R., & Hickey, T., et al. 2007, ApJ, 667, 79 [NASA ADS] [CrossRef] (In the text)
- Hasinger, G., Cappelluti, N., & Brunner, H., et al. 2007, ApJS, 172, 29 [NASA ADS] [CrossRef] (In the text)
- Hathi, N. P., Malhotra, S., & Rhoads, J. E. 2008, ApJ, 673, 686 [NASA ADS] [CrossRef] (In the text)
- Hayes, M., & Östlin, G. 2006, A&A, 460, 681 [NASA ADS] [CrossRef] [EDP Sciences] (In the text)
- Hayes, M., Östlin, G., Mas-Hesse, J. M., & Kunth, D. 2008, AJ, submitted, [arXiv:0803.1176] (In the text)
- Hogg, D. W., Cohen, J. G., Blandford, R., & Pahre, M. A. 1998, ApJ, 504, 622 [NASA ADS] [CrossRef] (In the text)
- Kashikawa, N., Shimasaku, K., & Malkan, M. A., et al. 2006, ApJ, 648, 7 [NASA ADS] [CrossRef] (In the text)
- Kennicutt, R. C. 1983, ApJ, 272, 54 [NASA ADS] [CrossRef] (In the text)
- Kennicutt, R. C. 1998, ARA&A, 36, 189 [NASA ADS] [CrossRef] (In the text)
- Kewley, L. J., Geller, M. J., & Jansen, R. A. 2004, AJ, 127, 2002 [NASA ADS] [CrossRef] (In the text)
- Lai, K., Huang, J.-S., & Fazio, G., et al. 2008, ApJ, 674, 70 [NASA ADS] [CrossRef] (In the text)
- Laursen, P., & Sommer-Larsen, J. 2007, ApJ, 567, L69 [NASA ADS] [CrossRef] (In the text)
- Lehmer, B. D., Alexander, D. M., & Geach, J. E., et al. 2008, ApJ, 691, 687 [NASA ADS] [CrossRef] (In the text)
- Ly, C., Malkan, M. A., Kashikawa, N., et al. 2007, ApJ, 657, 738 [NASA ADS] [CrossRef] (In the text)
- Malhotra, S., & Rhoads, J. E. 2002, ApJ, 565, L71 [NASA ADS] [CrossRef] (In the text)
- Malhotra, S., Rhoads, J. E., & Pirzkal, N., et al. 2005, ApJ, 626, 666 [NASA ADS] [CrossRef] (In the text)
- Matsuda Y., Yamada T., & Hayashino T., et al. 2004, AJ, 128, 569 [NASA ADS] [CrossRef] (In the text)
- Matsuda, Y., Yamada, T., & Hayashino, T., et al. 2005, ApJ, 634, L125 [NASA ADS] [CrossRef] (In the text)
- Meurer, G. R., Heckman, T. M., Lehnert, M. D., Leitherer, C., & Lowenthal, J. 1997, AJ, 114, 54 [NASA ADS] [CrossRef] (In the text)
- Møller, P., & Jakobsen, P. 1990, A&A, 228, 299 [NASA ADS] (In the text)
- Møller, P., & Warren, S. J. 1993, A&A, 270, 43 [NASA ADS] (In the text)
- Møller, P., & Warren, S. J. 1998, MNRAS, 299, 661 [NASA ADS] [CrossRef] (In the text)
- Nilsson, K. K., Fynbo, J. P. U., Møller, P. S., Larsen, J., & Ledoux, C. 2006, A&A, 452, L23 [NASA ADS] [CrossRef] [EDP Sciences] (In the text)
- Nilsson, K. K., Møller, P., & Möller, O., et al. 2007, A&A, 471, 71 [NASA ADS] [CrossRef] [EDP Sciences] (In the text)
- Norman, C., Ptak, A., Hornschemeier, A., et al. 2004, ApJ, 607, 721 [NASA ADS] [CrossRef] (In the text)
- Ouchi, M., Shimasaku, K., Akiyama, M., et al. 2008, ApJS, 176, 301 [NASA ADS] [CrossRef] (In the text)
- Pentericci, L., Kurk, J. D., Röttgering, H. J. A., et al. 2000, A&A, 361, L25 [NASA ADS] (In the text)
- Pirzkal, N., Malhotra, S., Rhoads, J. E., & Xu, C. 2007, ApJ, 667, 49 [NASA ADS] [CrossRef] (In the text)
- Prescott, M. K. M., Kashikawa, N., Dey, A., & Matsuda, Y. 2008, ApJ, 678, L77 [NASA ADS] [CrossRef] (In the text)
- Ranalli, P., Comastri, A., & Setti, G. 2003, A&A, 399, 39 [NASA ADS] [CrossRef] [EDP Sciences] (In the text)
- Richards, G. T., Hall, P. B., & Vanden Berk, D. E., et al. 2003, AJ, 126, 1131 [NASA ADS] [CrossRef] (In the text)
- Saito, T., Shimasaku, K., & Okamura, S., et al. 2006, ApJ, 648, 54 [NASA ADS] [CrossRef] (In the text)
- Schaerer, D. 2003, A&A, 397, 527 [NASA ADS] [CrossRef] [EDP Sciences] (In the text)
- Shapley, A. E., Steidel, C. C., Pettini, M., & Adelberger, K. L. 2003, ApJ, 588, 65 [NASA ADS] [CrossRef] (In the text)
- Shimasaku, K., Kashikawa, N., & Doi, M., et al. 2006, PASJ, 58, 313 [NASA ADS] (In the text)
- Shinnerer, E., Smolcic, V., & Carilli, C. L., et al. 2007, ApJS, 172, 46 [NASA ADS] [CrossRef] (In the text)
- Siana, B., Teplitz, H. I., & Colbert, J., et al. 2007, ApJ, 668, 62 [NASA ADS] [CrossRef] (In the text)
- Stanway, E. R., Bunker, A. J., & Glazebrook, K., et al. 2007, MNRAS, 376, 727 [NASA ADS] [CrossRef] (In the text)
- Stiavelli, M., Scarlata, C., & Panagia, N., et al. 2001, ApJ, 561, L37 [NASA ADS] [CrossRef] (In the text)
- Steidel, C. C., Adelberger, K., & Shapley, A. E., et al. 2000, ApJ, 532, 170 [NASA ADS] [CrossRef] (In the text)
- Taniguchi, Y., Ajiki, M., & Nagao, T., et al. 2005, PASJ, 57, 165 [NASA ADS] (In the text)
- Tapken, C., Appenzeller, I., & Gabasch, A., et al. 2006, A&A, 455, 145 [NASA ADS] [CrossRef] [EDP Sciences] (In the text)
- Telfer, R. C., Zheng, W., Kriss, G. A., & Davidsen, A. F. 2002, ApJ, 565, 773 [NASA ADS] [CrossRef] (In the text)
- Teplitz, H. I., Collins, N. R., Gardner, J. P., Hill, R. S., & Rhodes, J. 2003, ApJ, 589, 704 [NASA ADS] [CrossRef] (In the text)
- Tumlinson, J., Shull, J. M., & Venkatesan, A. 2003, ApJ, 584, 608 [NASA ADS] [CrossRef] (In the text)
- Van Breukelen, C., Jarvis, M. J., & Venemans, B. P. 2005, MNRAS, 359, 895 [NASA ADS] [CrossRef] (In the text)
- Venemans, B. P., Röttgering, H. J. A., Miley, G. K., et al. 2007, A&A, 461, 823 [NASA ADS] [CrossRef] [EDP Sciences] (In the text)
- Wang, J. X., Rhoads, J. E., Malhotra, S., et al. 2004, ApJ, 608, L21 [NASA ADS] [CrossRef] (In the text)
- Wolf, C., Wisotzki, L., Borch, A., et al. 2003, A&A, 408, 499 [NASA ADS] [CrossRef] [EDP Sciences] (In the text)
- Östlin, G., Hayes, M., & Kunth, D., et al. 2008, AJ, submitted, [arXiv:0803.1174]
Online Material
Table 2:
Coordinates, observed equivalent widths, continuum subtracted narrow-band magnitudes and UV spectral index
of the candidates.
Footnotes
- ...

- Full Table 2 is only available in electronic form at http://www.aanda.org
All Tables
Table 1: Log of imaging observations with WFI.
Table 2:
Coordinates, observed equivalent widths, continuum subtracted narrow-band
magnitudes and UV spectral index
of the candidates.
Full table is available in the online version.
Table 3: COSMOS broad-bands used.
Table 4: Stacked magnitudes for the sample.
Table 5: X-ray and radio properties of counterparts of the candidates.
Full version
Table 2:
Coordinates, observed equivalent widths, continuum subtracted narrow-band magnitudes and UV spectral index
of the candidates.
All Figures
![]() |
Figure 1: Transmission of selection filters. The WFI narrow-band filter is drawn with a solid line. The dashed line shows the SUBARU Bj band filter curve and the dotted line the CFHT u* band filter curve. |
| Open with DEXTER | |
| In the text | |
![]() |
Figure 2:
Plot of the selection criteria, with narrow-band magnitude on the x-axis and observed equivalent width on the y-axis. Selected candidates are shown with error bars, green points correspond to the GALEX-detected objects, see Sect. 3.2. Solid line marks the 65 Å limit. Objects above this line with EW significance greater than
|
| Open with DEXTER | |
| In the text | |
![]() |
Figure 3:
Histogram of Ly |
| Open with DEXTER | |
| In the text | |
![]() |
Figure 4:
UV spectral index calculated from the |
| Open with DEXTER | |
| In the text | |
![]() |
Figure 5:
Colour-colour diagram with
|
| Open with DEXTER | |
| In the text | |
![]() |
Figure 6:
Stacked SED of the sample. Points are the stacked magnitudes in six bands (u*, Bj, Vj, i+, z+ and |
| Open with DEXTER | |
| In the text | |
![]() |
Figure 7:
Size distribution of candidates as measured in the narrow-band (hatched histogram) and r+ (empty histogram) images for LAE candidates and GALEX-detected candidates respectively. Sizes as measured by the FLUX_RADIUS command in SExtractor. The solid line represents the PSF of the narrow-band image, with the dotted lines showing the |
| Open with DEXTER | |
| In the text | |
![]() |
Figure 8:
Star formation rates as derived from the UV rest-frame 1500 Å emission and the Ly |
| Open with DEXTER | |
| In the text | |
![]() |
Figure 9:
Left: distribution of restframe equivalent widths of the sample of 170 candidates. Bin size is 10 Å. The solid line indicates the exponential fit to the data with the fits with
|
| Open with DEXTER | |
| In the text | |
Copyright ESO 2009
Current usage metrics show cumulative count of Article Views (full-text article views including HTML views, PDF and ePub downloads, according to the available data) and Abstracts Views on Vision4Press platform.
Data correspond to usage on the plateform after 2015. The current usage metrics is available 48-96 hours after online publication and is updated daily on week days.
Initial download of the metrics may take a while.
![\begin{figure}
\par\includegraphics[width=9cm,clip]{0881fig1.ps}
\end{figure}](/articles/aa/full_html/2009/16/aa10881-08/Timg37.gif)
![\begin{figure}
\par\includegraphics[width=9cm,clip]{0881fig2.ps}
\end{figure}](/articles/aa/full_html/2009/16/aa10881-08/Timg43.gif)
![\begin{figure}
\par\includegraphics[width=9cm,clip]{0881fig3.ps}
\end{figure}](/articles/aa/full_html/2009/16/aa10881-08/Timg75.gif)


![\begin{figure}
\par\includegraphics[width=9cm,clip]{0881fig4.ps}
\end{figure}](/articles/aa/full_html/2009/16/aa10881-08/Timg96.gif)
![\begin{figure}
\par\includegraphics[width=9cm,clip]{0881fig5.ps}
\end{figure}](/articles/aa/full_html/2009/16/aa10881-08/Timg97.gif)
![\begin{figure}
\par\includegraphics[width=9cm,clip]{0881fig6.ps}
\end{figure}](/articles/aa/full_html/2009/16/aa10881-08/Timg101.gif)
![\begin{figure}
\par\includegraphics[width=18cm,clip]{0881fig7.eps}
\end{figure}](/articles/aa/full_html/2009/16/aa10881-08/Timg210.gif)


![\begin{figure}
\par\includegraphics[width=9cm,clip]{0881fig8.ps}
\end{figure}](/articles/aa/full_html/2009/16/aa10881-08/Timg221.gif)
![\begin{figure}
\par\includegraphics[width=9cm,clip]{0881fig9.ps}\hspace*{3mm}
\includegraphics[width=9cm,clip]{0881fi10.ps}
\end{figure}](/articles/aa/full_html/2009/16/aa10881-08/Timg222.gif)
