| Issue |
A&A
Volume 498, Number 1, April IV 2009
|
|
|---|---|---|
| Page(s) | 241 - 271 | |
| Section | Stellar structure and evolution | |
| DOI | https://doi.org/10.1051/0004-6361/200811323 | |
| Published online | 11 March 2009 | |
Semi-global simulations of the magneto-rotational instability in core collapse supernovae
M. Obergaulinger1 - P. Cerdá-Durán1 - E. Müller1 - M. A. Aloy2
1 -
Max-Planck-Institut für Astrophysik, Garching bei München, Germany
2 -
Departamento de Astronomía y Astrofísica,
Universidad de Valencia, 46100 Burjassot, Spain
Received 10 November 2008 / Accepted 16 February 2009
Abstract
Context. Possible effects of magnetic fields in core collapse supernovae rely on an efficient amplification of the weak pre-collapse fields. It has been suggested that the magneto-rotational instability (MRI) leads to a rapid growth for these weak seed fields. Although plenty of MRI studies exist for accretion disks, the application of their results to core collapse supernovae is inhibited as the physics of supernova cores is substantially different from that of accretion discs.
Aims. We address the problem of growth and saturation of the MRI in core collapse supernovae by studying its evolution by means of semi-global simulations, which combine elements of global and local simulations by taking the presence of global background gradients into account and using a local computational grid. We investigate, in particular, the termination of the growth of the MRI and the properties of the turbulence in the saturated state.
Methods. We analyze the dispersion relation of the MRI to identify different regimes of the instability. This analysis is complemented by semi-global ideal MHD simulations, where we consider core matter in a local computational box (size
1 km) rotating at sub-Keplerian velocity and where we allow for the presence of a radial entropy gradient, but neglect neutrino radiation.
Results. We identify six regimes of the MRI depending on the ratio of the entropy and angular velocity gradient. Our numerical models confirm the instability criteria and growth rates for all regimes relevant to core-collapse supernovae. The MRI grows exponentially on time scales of milliseconds, the flow and magnetic field geometries being dominated by channel flows. We find MHD turbulence and efficient transport of angular momentum. The MRI growth ceases once the channels are disrupted by resistive instabilities (stemming from to the finite conductivity of the numerical code), and MHD turbulence sets in. From an analysis of the growth rates of the resistive instabilities, we deduce scaling laws for the termination amplitude of the MRI, which agree well with our numerical models. We determine the dependence of the development of large-scale coherent flow structures in the saturated state on the aspect ratio of the simulation boxes.
Conclusions. The MRI can grow rapidly under the conditions considered here, i.e., a rapidly rotating core in hydrostatic equilibrium, possibly endowed with a nonvanishing entropy gradient, leading to fields exceeding
.
More investigations are required to cover the parameter space more comprehensively and to include more physical effects.
Key words: magnetohydrodynamics (MHD) - instabilities - stars: supernovae: general - stars: magnetic fields
1 Introduction
The magneto-rotational instability (MRI) (Balbus & Hawley 1991) is a local linear instability of weakly magnetized differentially rotating fluids. A large number of analytic, as well as numerical studies support the assertion that the MRI is the main agent for exciting turbulence in Keplerian accretion disks (for a review, see, e.g., Balbus & Hawley 1998). The MRI amplifies seed perturbations exponentially with time until turbulence sets in. In the turbulent state, the magnetic field,Akiyama et al. (2003) pointed out that the layers surrounding the nascent proto-neutron star quite generically fulfill the MRI instability criteria. Consequently, any (weak) seed magnetic field will be amplified exponentially. In the saturated state of the MRI instability, sustained magneto-hydrodynamic turbulence might then provide an efficient means for an angular momentum redistribution and for the conversion of rotational energy into thermal energy of the gas. Imparting additional thermal energy into the post-shock stellar matter the MRI might thus be important for the currently favored neutrino-driven core collapse supernova explosion mechanism (e.g. Janka et al. 2007; Thompson et al. 2005), although possibly only for rapidly and strongly differentially rotating progenitors. Furthermore, the growth of the magnetic field resulting from the MRI may provide the adequate physical conditions in the collapsed core to launch bipolar outflows, which result in gamma-ray bursts (Aloy & Obergaulinger 2007). As the physical conditions in accretion disks and stars differ significantly, and as only a few analytic studies of the MRI in stars exist (e.g., Acheson 1978), it remains unclear whether existing results on the MRI in disks apply to stars, and particularly to supernovae, as well.
Numerical simulations of the MRI face a severe problem, since the growth rate of MRI-unstable modes depends on the product of the initial field strength and the wave number of the mode. For a weak field, only fairly short modes grow rapidly. Simulations of astrophysical flows, on the other hand, often fail to resolve just those modes, as it would require prohibitively high computational costs to cover spatial scales ranging from the global extent of the astrophysical system (which may be much larger than the MRI-unstable region) down to the wavelengths of the fastest growing MRI modes. This dependence of the growth rate on the wavelength of the mode suggests a twofold approximate numerical approach: one either performs simulations which properly cover the global scales of the astrophysical system foregoing to resolve the small scales set by the wavelengths of the fastest growing MRI modes (global simulations), or vice versa (local simulations).
Local simulations evolve only a small part of the entire MRI-unstable system, known as the shearing box. However, information on the scales exceeding the size of the computational grid has to be provided using suitably chosen boundary conditions. No unique recipe exists for this procedure, but the use of reflecting and periodic boundaries is a common practice. In most studies of accretion disks, the boundary conditions of Hawley & Balbus (1992) are used in radial direction, which are essentially periodic boundary conditions but account also for the relative shear between the inner and the outer radial edge of the grid. They are often combined with a Galilei transformation into a frame of reference co-rotating at the mean angular velocity of the shearing box, and a linearizion of the angular velocity within the box. Local (shearing box) simulations using this kind of boundary treatment are commonly called shearing-sheet simulations.
The general drawback of local simulations obviously lies in their inability to account accurately for large-scale phenomena. In addition, there is only a limited possibility to model global gradients other than differential rotation in shearing-sheet simulations. Independent of the boundary treatment only modes with a wavelength less than the size of the grid can be excited, i.e. modes with a wavelength comparable to the dimensions of the whole system cannot develop. Consequently, MRI-driven turbulence may saturate at a level determined (at least partially) by numerical rather than (only) by physical parameters. A careful analysis is necessary to disentangle the respective influence (see e.g., Fromang & Papaloizou 2007; Pessah et al. 2007; Regev & Umurhan 2008).
Global simulations, on the other hand, follow the evolution of the entire system, albeit with a much coarser resolution than local ones. Thus, they can account for the large-scale structure of stars and disks, for the back-reaction of the MRI instigated turbulence on the global flow, and allow one to draw conclusions on how the saturated state depends on global properties of the system, e.g., the density or pressure stratification. However, foregoing the ability to resolve short-wavelength modes, the growth of the MRI will be underestimated or suppressed even entirely. In many applications of numerical analysis, it is possible to use suitable models for the unresolved physics on sub-grid scales, e.g., sub-grid diffusivity. This requires a good knowledge of the physics on these scales, and is facilitated greatly if processes at the unresolved scales act merely as a sink for kinetic or magnetic energy cascading down from the integral scale. During the growth of the MRI, however, the power shifts gradually from short to long modes. Thus, sub-grid models for global MRI simulations tend to be complex, and are not used widely.
As a remedy for this problem, global simulations may be performed using unrealistically strong initial fields to guarantee that the fastest growing MRI modes are resolved numerically. This approach presumes that the unresolved MRI modes are able to amplify the much weaker actual initial fields to the field strengths used as initial value in global simulations. This assumption can be justified, if the MRI acting on the unresolved scales saturates at the initial field strengths imposed in global simulations, i.e., if rapid amplification by the MRI takes place over many orders of magnitude. However, this can only be proven by high-resolution local simulations. Enhancing the initial magnetic field by a constant factor throughout the computational domain, as it is often done in global simulations, is problematic as the MRI is a local instability, i.e. it is not expected to cause a constant amplification of the field everywhere. The ambiguities regarding differences between the topology of this artificially enhanced field and that of a field amplified locally by the MRI add to the uncertainties clouding the influence of magnetic fields on the overall dynamics.
Both the local and the global numerical approach has been used for
studying the MRI in accretion disks, and this combined effort has led to
the rapid development of the field. Simulations of the MRI in core
collapse supernovae, on the other hand, have not yet reached this
advanced stage, mainly because of the weakness of the initial field of
the progenitors. According to current stellar evolution models
(Heger et al. 2005), the canonical pre-collapse magnetic
fields are so weak that they are unable to affect the dynamics of the
explosion unless they are amplified strongly. Correspondingly, the
wavelengths of the fastest growing MRI modes are approximately a few
meters at most
.
Thus, the possible importance of MHD effects in core collapse
supernovae depends on the existence of mechanisms which can amplify
the field efficiently during core collapse and the post-bounce phase.
The timescale available for the growth of the magnetic field is set by
the time required to turn the accretion of matter onto the proto-neutron star into
an explosion, i.e., a few hundreds of milliseconds. As already
mentioned above Akiyama et al. (2003) suggested that
the MRI might provide this mechanism. They estimated the saturation
field strength to be
,
i.e.,
clearly in excess of the artificially enhanced initial field strengths
used in global simulations.
Up to now, there exist only global simulations of MHD core collapse
supernovae, which evolve the entire core of a massive star through
gravitational collapse, bounce, and explosion
(e.g., Kotake et al. 2004; Burrows et al. 2007; Obergaulinger et al. 2006b; Yamada & Sawai 2004; Obergaulinger et al. 2006a; Takiwaki et al. 2004). These global simulations fail to
find the MRI unless they employ drastically stronger initial fields.
Obergaulinger et al. (2006b,a), e.g., require a
pre-collapse field strength exceeding
to
resolve the MRI in the post-bounce state. The rationale behind the
artificially increased initial field strengths is that, once triggered by
the differential rotation in the proto-neutron star, the MRI will exponentially
amplify a much weaker seed field up to the values used in the
simulations.
Due to the lack of local simulations, the importance of the MRI in MHD core collapse models remains unclear. As a first step to resolve this issue, we have performed high-resolution simulations of small parts of simplified post-bounce, rotating, magnetized cores. We have used a recently developed high-resolution MHD code, and employed shearing-disk boundary conditions (Klahr & Bodenheimer 2003). These boundary conditions derive from the shearing-sheet boundary conditions of Hawley & Balbus (1992), but allow one to consider global gradients of, e.g., density or entropy. Combining elements of global and local simulations, viz. the presence of global background gradients, and a high-resolution local grid, we find it justified to call our approach semi-global (for more details see Sect. 3.2).
Differences in the physical conditions in disks and stars impede the direct application of the MRI results from accretion disks to supernovae. Most obviously, the geometry of both systems differs strongly. Furthermore, while accretion discs are stabilized against gravity by (Keplerian) rotation, stars are supported mainly by pressure gradients, with only a minor contribution from rotation, i.e. thermal stratification is much more important in stars than in disks. Thus, entropy gradients can stabilize an MRI-unstable region or modify the instability in convectively unstable regions. Consequently, the problem of the MRI in core collapse supernovae has to be addressed by simulations accounting for their specific properties, which is the goal of this study. We investigate the growth of the MRI from initial fields comparable to the ones expected from realistic stellar evolution modeling, and we seek to probe the possibility of MRI-driven field amplification under typical conditions of supernova cores and on timescales similar to the dynamic times of the system, (i.e., a few tens of milliseconds). Apart from the restrictions inherent to local and semi-global simulations, several simplifications limit our approach: we use simplified initial equilibrium models, a simplified equation of state, and neglect neutrino heating and cooling. The main physical questions that we try to address are: (i) does the MRI grow on sufficiently short time scales to influence the explosion, i.e., within at most 100 ms, given typical post-bounce rotation profiles and magnetic fields?; (ii) How does an entropy gradient affect the growth of the instability?; (iii) How does the saturated state of MRI-driven turbulence depend on these factors? In particular, is the saturation field strength estimated by Akiyama et al. (2003), i.e., the conversion of most of the rotational energy into magnetic energy, realistic?
Analogous questions are studied by local simulations of the MRI in
accretion disks. The answers may lead the way to formulate a
turbulence model to be used in global simulations. The simplest model
would provide a parametrization of the angular momentum transport by
an
viscosity (Shakura & Syunyaev 1973),
i.e., a turbulent viscosity proportional to the local sound speed and
the pressure scale height. However, despite a large number of local
simulations, no unique formulation of an
model for accretion
disks has been found up to now. Lacking similar comprehensive local
simulations, a turbulence model for the MRI in supernovae is even less
conceivable. Our simulations intent to provide only a first step
towards these highly desired turbulence models.
The paper is organized as follows: after a discussion of the main properties of the MRI in disks and stars (Sect. 2), we outline our numerical method in Sect. 3, discuss our results in Sect. 4, and summarize our main results and give conclusions in Sect. 5.
2 MRI in discs and stars
2.1 Physical model
We work in the limit of ideal magnetohydrodynamics (MHD), solving the the equations of ideal MHD in the presence of an external gravitational potentialHere,
We use the hybrid equation of state (EOS) due to
Keil et al. (1996) as a rough model
for neutron-star matter. Following this EOS, the total gas pressure,
P, consists of a barotropic part,
,
and a thermal
part,
.
The two parts are given by
Here,
We define a pseudo-entropy S for this equation of state by
In the Schwarzschild criterion for convective stability (see below), this quantity appears instead of the entropy of, e.g., an ideal gas.
A few quantities used frequently in the remainder of this paper are:
- 1.
- the Alfvén velocity
- 2.
- the (local) magnetic energy density
and the corresponding volumetric mean value
- 3.
- the (local) Maxwell stress tensor
and the corresponding volumetric mean value
We will use most frequently the component
which
governs the transport of angular momentum in radial direction, and we
will sometimes refer to this component as the Maxwell stress
for short.
2.2 General properties of the MRI
The stability criteria for the MRI was first discovered by Velikhov (1959); Chandrasekhar (1960) and further discussed by Balbus & Hawley (1991) in a series of papers. These authors analyze wave-like (WKB) perturbations of the formIf the criterion is not fulfilled only modes with (dimensionless) wavenumber
![]() |
(15) |
are unstable, where
![]() |
(16) |
which is independent of the magnetic field and corresponds to (dimensionless) wave numbers close to
However in the context of core collapse supernovae some of these
assumptions do not apply: entropy and composition gradients are
important, more general rotation laws
have to be
considered, and the analysis can no longer be restricted to equatorial
regions. In this general case the dispersion relation of WKB modes is
(cf. Balbus 1995; Urpin 1996),
where
![]() |
(19) |
and
![]() |
(20) |
respectively, where
| |
(21) | ||
| (22) | |||
![]() |
(23) |
are the gravitational, rotational, and buoyancy terms, respectively, and
where the curl of Eq. (2), i.e. the vorticity equation, has been used to simplify the expression of
In the absence of a magnetic field, i.e.
,
the stability
condition is simply
,
which is equivalent to the
Solberg-Høiland stability criteria for a non-magnetized rotating
fluid (Tassoul 1978).
Because we want to study instabilities of magnetized fluids, we
consider hereafter only the case
.
Then the stability
condition is
,
which corresponds to that of
Balbus (1995),
| (25) | |||
| (26) |
Modes with wave numbers smaller than the (dimensionless) critical wavenumber
![]() |
(27) |
are unstable and grow. The critical wavenumber depends on the angle
![]() |
Figure 1:
Imaginary part of the growth rate normalized to the
imaginary part of the maximum growth rate,
|
| Open with DEXTER | |
Two branches of unstable modes arise from the dispersion relation with
(Urpin 1996): the branch of
Alfvén modes appearing for
,
and the branch of
buoyant modes which only appear for
(Fig. 1).
For a given
the fastest growing mode is obtained from the
condition
.
For
it has a (dimensionless) wavenumber
and a (dimensionless) growth rate
If
![]() |
(30) |
Thus, there exist two different instability regimes depending on the value of
Note that for a given fluid element the behavior of the unstable modes
depends on the angle
.
Thus, different regimes can hold in
different directions. To find the absolute fastest growing mode of a
fluid element, i.e. not considering a fixed angle
,
one has
to determine the zeros of
,
which involves the solution of a quartic equation. This fact makes a
more detailed study of the instability difficult.
To simplify the analysis, we restrict ourselves in the following
discussion to regions near the equator, where it is reasonable to
assume only a radial dependence of the hydrodynamic quantities and a
vertical magnetic field. Therefore,
![]() |
(31) |
where
are stabilized by magnetic tension. It is easy to show that the modes grow faster when
-
Magneto-shear instability (MSI):
and
.
All modes longer than
are unstable albeit with a
vanishing growth rate as their wavelength
approaches
infinity. The growth rate peaks for
where the limit
is used to obtain the second
expression. It is important to note that
,
which scales with the background field strength b0, becomes small
for weak initial fields. Hence, in the limit of a pure shear
instability, only relatively strong initial fields are accessible by
numerical simulations due to the restrictive constraint on the grid
size imposed by the requirement to resolve
by
at least several grid zones;
-
Magneto-buoyant instability (MBI)
:
and
.
This regime resembles the magneto-shear regime, but the instability is
not driven by the shear, but rather by the unstable stratification;
-
Magneto-convective instability:
and
.
This regime corresponds to magnetized convective flow. The main
difference is the stabilization of short modes (
)
due to the magnetic tension. The more important
the negative entropy gradient becomes with respect to the angular
velocity gradient, the faster is the growth of infinitely long modes
compared to the growth rate at
;
-
Hydrodynamic shear instability:
and
.
This case is not of interest in core collapse since for the
differential rotation of PNS we always find
.
![]() |
Figure 2:
Stability regions in the plane
|
| Open with DEXTER | |
3 Method
3.1 Code
We use a newly developed three-dimensional Eulerian MHD code (Obergaulinger et al., in preparation) to solve the MHD equations, Eqs. (1)-(5). The code is based on a flux-conservative finite-volume formulation of the MHD equations and the constrained-transport scheme to maintain a divergence-free magnetic field (Evans & Hawley 1988). Using high-resolution shock capturing methods (e.g., LeVeque 1992), it employs various optional high-order reconstruction algorithms including a total-variation diminishing piecewise-linear (TVD-PL) reconstruction of second-order accuracy, a fifth-order monotonicity-preserving (MP5) scheme (Suresh & Huynh 1997), and a fourth-order weighted essentially non-oscillatory (WENO4) scheme (Levy et al. 2002), and approximate Riemann solvers based on the multi-stage (MUSTA) method (Toro & Titarev 2006). The simulations reported here are performed with the MP5 scheme and a MUSTA solver based on the HLL Riemann solver (Harten 1983).The simulations are performed using cylindrical coordinates, and include both three-dimensional and two-dimensional (i.e., axisymmetric) models. The computational grid covers a region of a few (typically one or two) kilometers aside resolved by at least 26 and at most 800 zones per dimension, corresponding to a resolution between 40 and 0.625 m.
3.2 Boundary conditions
In local simulations, the choice of boundary conditions is a crucial issue, with possibly subtle effects on the flow geometry. The standard technique for local simulations of the MRI in accretion disks is the shearing-sheet method due to Hawley & Balbus (1992). This approach consists of two important ingredients: (i) a transformation into a frame of reference co-rotating at the mean angular velocity of the shearing box,Periodic boundary conditions are often used in simulations of a small, representative sub-volume of a larger system. These boundary conditions are based on the idea that the entire system is covered by a homogeneous (e.g., cubic) lattice of identical sub-volumes. Consequently, the, e.g., left boundary of the simulated sub-volume is identified with the right boundary of an identical sub-volume translated by one lattice width.
A shearing box represents only a small part of the entire system. The
influence of larger scales is considered by suitable boundary
conditions, the most natural choice being periodic ones. These
boundary conditions, however, do not allow one to impose global
gradients throughout the shearing box, e.g., for differential rotation
(
). This shortcoming is eliminated by
the linearization of the rotation profile and the transformation into
the co-rotating frame since, in this case, the deviation from the
background profile,
,
is the dynamical variable rather
than
itself. Thus, it is possible to use periodic boundary
conditions in the radial direction accounting for differential
rotation by an offset
,
as described by
(Hawley & Balbus 1992), where
are
the angular velocities at the outer and inner radial surface of the
shearing box, respectively.
In contrast to accretion disks, thermodynamic variables in stars may
have global gradients both in the direction perpendicular and parallel
to the gradient of
.
Thus, standard shearing-sheet boundaries
cannot be used. Instead, we follow
Klahr & Bodenheimer (2003) and
employ shearing-disc boundary conditions. We abandon the
transformation into the co-rotating frame and assume radial
periodicity of the deviation,
,
of a
variable q from a given background distribution q0, instead of periodicity
of q itself. We define the background distribution q0 by its
distribution at the initial time t=0, i.e.
.
This recipe is applied to density, momentum, and entropy. As
Klahr & Bodenheimer (2003), we
observe the development of resonant radial oscillations which are
suppressed, however, by damping the radial velocity in the first n(we use n=2) computational zones at both radial boundaries. We
point out that shearing-disc simulations allow for large-scale
modifications of global gradients. In particular, angular momentum
transport may modify the global rotation profile, and change the
angular momentum and rotational energy of the matter in the
computational volume. This process can eliminate the differential
rotation causing the instability, and thus, terminate the growth of
the MRI.
As we will show later, the evolution of our models depends crucially
on whether we do or do not apply this damping term. However, we note
here that the artificial oscillations prevented by the damping do not
have a strong influence on the evolution of the MRI. We use, if at
all, a damping of
by
in the innermost and
outermost two zones of the grid, which is a considerably weaker
damping than in the simulations of
Klahr & Bodenheimer (2003).
Despite its relative weakness, the damping term is able to suppress
weak radial motions across the boundary. Thus, it introduces a
preferred length scale (the radial size of the box) into the otherwise
shear-periodic simulation. Comparing simulations with and without
damping (we will refer to these boundary conditions by d and p, respectively), we can study the influence of a preferred
scale on the MRI.
The box size of standard shearing-sheet simulations does not define a preferred length scale, i.e., these simulations are scale free and entirely local. In shearing-disc simulations, in contrast, the scale height of the thermodynamic variables introduces a physical length scale into the simulation. If this preferred length scale is smaller than the entire size of the star or disk, the simulations can be characterized as being semi-global.
The semi-global approach falls in between a purely local and a global one sharing merits and drawbacks with both methods. Similar to local simulations, semi-global simulations allow one to resolve a small part of the entire system better. Because they rely on a fixed lab frame and do not eliminate the mean rotation, the basic time scales are the same as in a global simulation of the same resolution. In a Keplerian disk dominated by rotation this might add a major difficulty to the numerical treatment of the problem. On the other hand, with pressure dominating over kinetic energy, the time step of our simulations is governed by the sound speed rather than the rotational velocity. As there is no way of eliminating the sound speed, we do not feel a need to use a shearing-sheet transformation.
We expect the MRI in core collapse to grow and reach saturation within
several tens of milliseconds. The time step
,
on the other hand, is much smaller because of the
high value of the sound speed in a post-collapse core (
), where
is the width
of the computational zone. Thus, we have to perform a large number
(typically several millions) of time steps, which implies a limit on
the grid resolution we can afford in the simulations, although the
resolution is still much better than that of a global simulation.
![]() |
Figure 3:
Hydrostatic structure of the initial models.
The diagram shows the gravitational potential
|
| Open with DEXTER | |
3.3 Initial conditions
We use equilibrium initial models based on post-bounce cores from
Obergaulinger et al. (2006b). Several
tens of milliseconds after the core bounce, the shock wave has reached
distances of a few hundred kilometers, the post-shock region
exhibiting a series of damped oscillations as the proto-neutron star
relaxes into a nearly hydrostatic configuration. We extract
the radial profile of the gravitational potential along the equator of
their model A1B3G3
, and construct from that the density
stratification within our shearing box solving the equation of
hydrostatic equilibrium
for a given rotation profile
where
assuming an entropy profile of the form
with constants S0 and S1. Equation (34) is solved in a radial domain of size,
Assuming that the background gravitational potential is a function of
only, we construct cylindrically symmetric initial models.
This approximation is justified by the small size of the simulation
box in z-direction (1 km) compared to its radial position
(15 km).
We added three different types of initial magnetic fields to the
initial hydrostatic model:
[Model UZ:] a uniform B-field in z-direction,
.
[Model VZ:] a B-field in z direction with vanishing net
flux,
.
In all models, the initial field is weak, both in comparison with the thermal and the rotational energy of the models. The weakness of the associated Lorentz force justifies the use of hydrostatic instead of hydromagnetic equilibria as initial conditions.
From Eq. (33) and the values of typical model
parameters we obtain the following estimate for the MRI wavelength
To properly simulate the evolution of the MRI,
4 Results
4.1 General considerations
In axisymmetry, the growth of the MRI requires a non-vanishing poloidal initial field. Axisymmetry restricts the dynamics of the MRI, suppressing a class of instabilities that affect the evolution of MRI-unstable modes (see below). Consequently, the predictive power of axisymmetric simulations for the evolution of the MRI is limited, and we cannot rely on them in determining the saturation amplitude of the instability in supernova cores. The growth of the instability does, however, not differ strongly from full 3D models. Thus, we can use 2D models to determine growth rates, while detailed conclusions can only be drawn from 3D models.
In axisymmetry, the flow is dominated by channel modes, a pattern
of predominantly radial
flows of alternating direction stacked in z direction
(Balbus & Hawley 1991). As the MRI grows, the channels
start to merge and their characteristic length scales increase, but
they survive as coherent flow structures throughout the entire
evolution and, particularly, do not dissolve into turbulence.
The analysis of Goodman & Xu (1994) shows that channel modes are an exact nonlinear solution of the axisymmetric MHD equations, which explains their stability observed in many numerical simulations. They are, on the other hand, unstable to genuinely 3D parasitic instabilities of, e.g., Kelvin-Helmholtz type. Consequently, in 3D, the channel modes appearing during the early growth phase of the MRI, do not persist until saturation. Instead, the channels decay due to the growing parasitic instabilities, and turbulence develops.
This basic picture emerged from many simulations of the MRI in accretion disks. As we will discuss in the following, our simulations confirm this result for the MRI in supernova cores.
4.2 Axisymmetric models with no entropy gradient
4.2.1 Uniform initial magnetic fields
Our models having no entropy gradient show the same dynamics as that observed in previous simulations of the MRI in accretion discs (see, e.g., Balbus & Hawley 1998). We discuss first the models with a uniform initial field b0z in z-direction (model series UZ2) focusing on models with a rotational law given by
![]() |
Figure 4:
Evolution of the mean magnetic energy density
|
| Open with DEXTER | |
![]() |
Figure 5:
The channel modes present in two snapshots taken from the
model for which Fig. 4 shows the time
evolution. The snapshots are taken at t = 10.6 ms
( upper panel) and t = 30.7 ms ( lower panel), respectively.
The panels show the color coded angular velocity |
| Open with DEXTER | |
The growth of the MRI proceeds via channel flows, whose vertical
extent and number depends on the initial magnetic field. Two typical
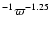
channel flows are shown in Fig. 5. During the
early phase of the instability (t = 10.6 ms; upper panel) eight
distinct channels are present each one consisting of a pair of up- and
down-flows in radial direction. The magnetic field is organized into
eight elongated radial sheets, and this pattern is also imprinted onto
the distribution of
,
as the magnetic field enforces
co-rotation along field lines.
A flow topology dominated by channel modes implies a phase of
exponential growth of the magnetic field, which ends when the channel
modes are disrupted and a less organized, more turbulent state ensues
(in Fig. 4 this happens at
ms). In most axisymmetric models, the turbulent state is only of
transient nature, because after some time coherent channel flows form
again leading to a secondary phase of exponential growth (see
Fig. 4 at
ms).
Very late in the evolution (t = 30.7 ms; lower panel of
Fig. 5) we find only one large-scale channel
flow which extends across the entire domain in radial direction. The
magnetic field is now predominantly radial and is concentrated near
the channel boundary. This coherent flow pattern is the result of a
strong transport of mean angular momentum by Maxwell stresses. The
stresses enforce co-rotation along field lines, and consequently turn
the rotation profile, initially constant on cylinders
,
by 90 degrees, so that
becomes a function
of z only. We can distinguish two regions of slow and fast rotation
inside and outside
,
respectively. Inside the
slowly rotating channel matter is accreting towards the center with
cm -1, while the rapidly rotating
gas outside the channel has much slower, random velocities.
To investigate the dependence of the channel geometry on the initial
magnetic field and the grid resolution we compute Fourier spectra of
the radial component of the magnetic field,
,
for models
with
s-1 and
,
and an
initial field strength of 4, 10, and
G,
respectively. The simulations are performed in a box of either
km2 or
km2 using a 4002 grid
(Fig. 6). At each radius we Fourier-transform
,
and the resulting spectra
(where
kz is the vertical wave number) are then averaged over radius. We
applied this procedure to the models during the growth phase of the
instability at
.
The first set of
models (1 km2 domain, 2.5 m spatial resolution) exhibits growth
rates close to the theoretical values, while this only partially holds
for the models of the second set of models (4 km2 domain, 5 m
spatial resolution). Due to insufficient spatial resolution the MRI in
the model with the weakest initial field (
G) grows slower than theoretically predicted. However, for
the two more strongly magnetized models of this set (
b0z = 10, and
G) the fastest growing modes are well resolved, and
the MRI growth rates agree with the theoretical ones.
For each model the spectrum shows a distinct maximum corresponding to
a dominant vertical length scale given by the width of one channel
mode. The position of this maximum is a function of the initial
magnetic field only,
,
and thus does
neither depend on the size of the computational domain nor on the
resolution. A dependence on the last quantities is only observed, if
the fastest growing mode is under-resolved. In this case, we recover
the low-k wing of the spectral peak, but find a truncated spectral
distribution at higher wave numbers/smaller length scales.
![]() |
Figure 6:
Radially averaged Fourier spectra of the radial component
of the magnetic field,
|
| Open with DEXTER | |
MRI theory predicts that the growth rate is independent of the initial
field strength. Neglecting magneto-convective modes, we can expect to
observe this behavior in numerical simulations only if the grid is
sufficiently fine to resolve the fastest growing modes close to
.
Otherwise, if the grid is too coarse the
growth rate should be much smaller. Our simulations reproduce this
behavior. We show a comparison of the maximum growth rates from
linear analysis (
)
and the numerical ones
for models with different initial rotation laws (
ranging
from 950 s-1 to 1900 s-1, and
from -1 to -1.25) in Fig. 7. If
is under resolved for a given initial field b0, the growth rate
increases with b0, but once the MRI wavelength is well resolved,
the growth rate becomes constant as theoretically predicted.
Figure 7 implies the following criterion for a
sufficient resolution of the MRI:
.
The growth rate of the instability does not depend
on the size of the computational domain. For models with strong
initial fields the computed MRI growth rate is smaller than
,
because the MRI wavelength, i.e., the
wavelength of the fastest growing mode, exceeds the box size. Thus, we
can only properly simulate the slower growth of shorter modes.
![]() |
Figure 7:
Growth rate |
| Open with DEXTER | |
4.2.2 Channel disruption and MRI termination
As long as the dynamics of the model is dominated by channel modes, the MRI grows exponentially. We observe a termination of its initial exponential growth - henceforth called MRI termination - as soon as the coherent channels are disrupted. Further MRI growth occurs after an eventual reformation of the channel flows. To understand these processes better, we study MRI termination in a large number of axisymmetric models with different initial magnetic fields, boxes of different size and grid resolution, and different boundary conditions.
Figure 8 shows the value of the mean Maxwell
stress component
at MRI termination
as a function of the initial magnetic field strength, b0 for models
with a rotational law
s
and a
vanishing entropy gradient. We can distinguish two classes of models
according to the boundary conditions applied in the simulations (see
Sect. 3.2), the qualitative difference between the models
with and without velocity damping near the boundaries being quite
remarkable given the weak damping we apply. In models with damping
grows with increasing initial field
strength until it levels off at a grid size dependent value (colored
bands in Fig. 8). For the same models,
when simulated without damping, we find that
(gray band in
Fig. 8) independent of the grid size. The
``outliers'' in the upper part of the figure correspond to models
computed with a higher grid resolution than most other models. We will
discuss this fact below.
To determine whether the radial or the vertical size of the
computational grid is responsible for the leveling off of the Maxwell
stress in the runs with radial damping we simulate two models with a
grid of
(for short called
high models in the following), and
(long models), respectively. Our results
show that the determining factor for the growth is primarily the
radial rather than the vertical box size, as both models follow the
behavior of
as a function of b0 for the
respective radial grid sizes. The two classes of models also exhibit
remarkably different post-growth dynamics. In the high models, a few
channel modes reappear from the turbulent state, and a secondary phase
of exponential growth of
sets in. Eventually, two
of the newly formed channel modes merge. By this process, which
occurs repeatedly, the number of channels decreases, and the final
state of the flow is dominated by one short but wide channel mode. In
the long models, on the other hand, no secondary exponential growth is
observed, and the Maxwell stress remains approximately constant,
albeit oscillating considerably due to the temporary presence of
coherent flow patterns.
![]() |
Figure 8:
Volume-averaged Maxwell stress component
|
| Open with DEXTER | |
To interpret these results, one has to analyze the mechanism
responsible for the disruption of the channel modes. We discuss this
mechanism for an undamped model with
s-1,
,
and an initial magnetic field strength
G using a box of
km and a
resolution of
zones. During the growth of the
instability a few large channels are present, which are disrupted at
MRI termination (at
15.9 ms).
![]() |
Figure 9:
The disruption of a channel mode in an axisymmetric
uniform-field model. We show a section of a model with an initial
field
|
| Open with DEXTER | |
Figure 9 illustrates the disruption of one
of the channel flows in some detail. At
t = 15.850 ms, the channel
flow is still intact (left panel), and one recognizes two broad
streams of in-flowing and out-flowing gas both permeated by a strong
radial magnetic field of opposite polarity. A broad current sheet
separates the two flow regions. Owing to small-scale fluctuations in
the flow, the field lines are not perfectly (anti-)parallel, and the
current sheet is slightly deformed. These deformations act as seed
perturbations for resistive instabilities of the tearing-mode
type. Although we evolve the equations of ideal MHD neglecting
resistivity, the presence of numerical resistivity enables the
growth of these instabilities, leading to a reconnection of
anti-parallel field lines. As a consequence, the elongated current
sheet dissolves into a configuration of X and O points
(located at
km and
15.5 km, respectively;
see middle panel of Fig. 9). When field
lines reconnect near the X point, the fluid is accelerated away from
the reconnection point towards the O point. This causes the intense
gas flow in positive radial direction at
km. The change of the topology of the magnetic field and of
the flow continues shortly afterward (at
t = 16.078 ms; right panel
of Fig. 9). The O point has grown in
size, and the fluid is in vortical motion. As the vortex grows, field
lines in the vortex are advected towards field lines of opposite
polarity belonging to an adjacent channel flow (centered at
km), where reconnection occurs. Note the formation of a second
X point at
km
(Fig. 9, right panel).
To demonstrate the growth of the tearing-mode instability and to
support its importance for MRI termination, we compare the evolution
of the mean Maxwell stress component
and of the
magnetic energy density of the z-component of the magnetic field,
of the model (see
Fig. 10). Before the tearing mode
grows
and
increase, their
growth rates being similar to that of the MRI. At
t = 15.850 ms,
the growth rate of
becomes larger than that of
the MRI by one order of magnitude within less than 0.2 ms, whereas
approaches a maximum. Once the tearing mode is
fully operative (
t = 15.983 ms), the growth of
becomes slower but still continues due to the appearance of more
tearing modes (see, e.g., the right panel of
Fig. 10 at
km). Subsequently,
begins to
decrease as the tearing modes saturate.
According to the previous discussion the dynamics of the channel flows
is dominated by the interplay between their growth due to the MRI and
their destruction by resistive instabilities. Channel flows are
unstable against tearing-mode-type instabilities at any point in their
evolution. To study these instabilities in more detail, we have
performed a set of simulations (see Appendix A) using
simplified models of channel flows. We recapitulate our results,
summarized in Eq. (A.11), here:
where
![]() |
(40) |
(see Eqs. (32), (33), and (35)). The width remains constant during the growth, as only mergers of adjacent channels occurring as a result of resistive instabilities can change the field topology.
![]() |
Figure 10:
Temporal evolution of the absolute value of the mean
Maxwell stress component
|
| Open with DEXTER | |
Our basic proposition for MRI termination is that channel flows are
disrupted once the growth rate of the resistive instability exceeds
the MRI growth rate:
Using in addition the functional dependence of
and for the corresponding Maxwell stress
The latter equation implies that
![]() |
Figure 11:
Average Alfvén velocity - of models with uniform initial
magnetic field and without velocity damping near the radial
boundaries - corresponding to the radial magnetic field at MRI
termination normalized to
|
| Open with DEXTER | |
The qualitative features of these scaling relations are:
- 1.
- stronger initial vertical fields and correspondingly wider channels tend to suppress resistive instabilities. Consequently, MRI termination requires more strongly magnetized channel flows;
- 2.
- finer grid resolution implies less numerical viscosity, and
hence larger values for
and
;
- 3.
- the scaling of
with the sound
speed implies a proportionality between the Maxwell stress and the
background pressure:
,
and thus
.
This scaling is
reminiscent of the
-law in accretion discs according to
which the (MRI-generated) viscosity is proportional to the gas
pressure.
![]() |
Figure 12:
Maxwell stress,
|
| Open with DEXTER | |
Models with velocity damping.
In models with uniform initial magnetic fields where the radial velocity is damped near the inner and outer radial boundary, i.e., in models located in the horizontal bands in Fig. 8, MRI termination happens earlier than predicted by our scaling laws, and the Maxwell stresses saturate for strong initial magnetic fields, the saturation value ofOnce the initial channel flows are disrupted and the field geometry is changed by reconnection, the mean magnetic and kinetic energies, and the absolute value of the Maxwell stresses begin to fluctuate strongly around roughly constant values (see the phase between 11 ms and 23 ms in Fig. 4). Subsequently, a second phase of exponential MRI growth is possible, exhibiting a similar dynamics but involving less channel flows than the previous growth phase. The reduced number of channels is probably due to the strong increase in the vertical magnetic field during the growth of the tearing modes. Similarly to their predecessors, the newly formed channels are also unstable against resistive instabilities, but due to their larger width their disruption requires much higher Alfvén velocities, i.e., the MRI can lead to much higher Maxwell stresses in the second generation of channels. In principle, this process of formation and merger of channels can continue until only one single channel flow remains covering the entire box. We note that in later growth phases, the radial velocity and the magnetic field strength are typically so large that damping at the radial boundaries, if applied, does not lead to early saturation.
![]() |
Figure 13:
An early state (
|
| Open with DEXTER | |
4.2.3 Models with non-uniform initial magnetic fields
Models having a non-uniform initial magnetic field exhibit a different evolution (see also Balbus & Hawley 1998). To study this evolution we simulated a set of models varying the initial magnetic field configuration and the boundary condition (applying velocity damping or not; see previous subsection). All models rotate initially according to the law given in Eq. (35) with
We considered three types of non-uniform initial magnetic fields all
of which have only a z-component. The first one
varies sinusoidally with radius and scales in addition as
Finally, the third type also has a vanishing net magnetic flux, as
where
For the first type of models the MRI starts growing via a multitude of
channel modes giving rise to less amplification of the magnetic field
than in models with a uniform initial field. Separate channels
develop in the two radial regions of negative and positive bz (see
Fig. 13), whereas the channels span the
full radial extent if the initial field is uniform. The channel flows
do not merge to form a few large-scale channels, but are destroyed by
turbulence. After reaching a transient maximum, the magnetic energy
and the Maxwell stress level off at values much less than for
uniform-field models. The magnetic field becomes strongest right
after MRI termination (
). After 60 ms
the maximum field strengths are about
,
and decrease to
until the end of the
simulation. Fields of this strength can change the
profile
significantly only on time scales of many tens of milliseconds, i.e.,
at the end of the simulation the rotation profile is basically
unchanged.
Figure 14 shows a comparison of the maximum Maxwell
stress at MRI termination for the models with a non-uniform initial
magnetic field. When velocity damping is applied the value of
does not depend on the initial field
geometry, and is determined by reconnection of anti-parallel field
lines occurring close to the boundaries. If no velocity damping is
applied, the evolution is similar to that of uniform field models, but
depends on the field geometry. This finding can be understood in the
light of our previous discussion of re-connective instabilities, and by
the fact that
is determined by
reconnection in the bulk volume, and not by reconnection near the
boundaries.
Models without velocity damping and the initial field,
develop large Maxwell stresses which increase
with the initial field strength. The evolution of these models and
the geometry of their channel flows are similar to those of models
with uniform initial fields, i.e., the growth rates of tearing-modes
are similar for both classes of models. For models in which the net
magnetic flux vanishes initially we find that
is roughly constant for sufficiently
strong initial fields, the stress being slightly larger for sinusoidal
(
)
than for step-like initial fields
(
). The models develop a more complex field
morphology with more intense current sheets and more potential sites
for reconnection than uniform field models. Thus, the growth rates of
the resistive instabilities are comparable to those of the MRI for
much weaker fields than in the uniform-field models. MRI termination
also occurs at smaller values of
.
![]() |
Figure 14:
Maxwell stress
|
| Open with DEXTER | |
4.3 Axisymmetric models with entropy gradients
We also simulated some axisymmetric models imposing an additional entropy gradient. In this case, the instability criterion is more complicated and various instability regimes exist (see Sect. 2): (magnetic) shear instability, convection, and magneto-buoyant instability. Otherwise unstable modes may be stabilized by a stable thermal stratification or by fast (not necessarily differential) rotation. Tables B.1 (models with a positive entropy gradient) and B.2 (models with a negative entropy gradient) provide a list of the simulated models. Note that all models discussed in this subsection have a uniform initial magnetic field.
4.3.1 Positive entropy gradients
We first discuss differentially rotating models having a stabilizing entropy gradient comparing models with and without magnetic field. The non-magnetic models are stable due to the positive entropy gradient, i.e. initial perturbations do not grow.
The models with a magnetic field belong to the MSI regime
(cf. Fig. 2), their MRI growth rates being reduced
compared to models with no entropy gradient. We simulated models with
different entropy gradients (
)
and different adiabatic index of the equation of
state (
). Generally, we find a good
agreement between the analytic predictions and the numerical results.
For
the models are unstable belonging to
the MSI regime, whereas an entropy gradient of
suffices to stabilize the model. The growth rates agree well
with the analytic ones, and the numerical models show the typical
dependence of the growth rate of the MRI on the initial magnetic field
strength. However, there exists one interesting difference:
increases from small values for weak initial fields for which
is under resolved and converges to the
correct growth rate for strong fields for which
exceeds the grid resolution significantly.
Unlike for models without entropy gradient, the growth rate becomes
largest for magnetic fields for which the MRI wavelength is similar to
the grid resolution, and at these field strengths the numerical growth
rates can exceed the theoretical ones.
Dynamically the models behave similarly as models without an entropy
gradient. Channel flows develop during the growth phase of the MRI,
their width being set by the MRI wavelength. MRI termination occurs
due to the growth of tearing-mode-like resistive instabilities. When
velocity damping is applied, the maximum Maxwell stress at MRI
termination,
,
is determined by the
box size. Comparing models with a positive entropy gradient and with
no entropy gradient we find a common linear relation between
and
,
indicating a common reason for MRI termination (see
Fig. 15).
According to Eq. (28), the channels are wider in
models with larger entropy gradients. As wider channels are less
prone to resistive instabilities, they can support stronger fields
before being disrupted (see discussion above), i.e.
is larger in models with larger
entropy gradients. The MRI growth rate, on the other hand, is smaller
for larger entropy gradients (see Eq. (29))
implying that
decreases with
increasing entropy gradient. Both effects taken together suggest a
weak anti-correlation of
with the
size of the (positive) entropy gradient. An anti-correlation is also
suggested by our numerical results, although more models are needed to
confirm it. It is unclear, for example, whether the growth rates of
resistive instabilities derived in Sect. 4.2.2 also hold
for stably stratified media, and whether the boundary conditions have
an influence in models with large entropy gradients. Small
perturbations of the quasi-periodic (because of global gradients)
radial entropy distribution may leave their imprint on MRI termination
by enforcing a preferred length scale, thus clouding effects due to a
variation of
.
We have also simulated a few of the models using an ideal-gas equation
of state,
,
instead of the hybrid EOS
finding, however, no effect on the evolution of the models.
![]() |
Figure 15:
Maxwell stress at MRI termination,
|
| Open with DEXTER | |
4.3.2 Negative entropy gradients
Convection can develop in models having a negative entropy gradient, but it can be suppressed by rapid rigid or differential rotation. If a magnetic field is added to a convectively unstable system which cannot be stabilized by rotation, the system is located in the ``convection'' regime of Fig. 2. In a situation where rotation suffices to suppress the convective instability, the addition of a weak magnetic field puts the system into the ``MBI'' regime, and a magneto-buoyant instability similar to the standard (i.e.,Before discussing our results (see Table B.2 for a list of the simulated models), we need to comment on the boundary conditions. Allowing for radial transport of energy shearing-disc boundaries can, in principle, lead to a transport of entropy across the pseudo-periodic boundaries, thus modifying the initial entropy profile. By comparing shearing-disc models and models with reflecting boundary conditions, we verified that none of these boundary conditions suppresses the growth of the MRI, and that both give similar results.
Let us first consider a non-magnetic model which rotates rigidly
with an angular velocity
and has
an entropy profile given by S0 = 0.2 and
(see Eq. (37)). With
and
,
the model belongs to the convective regime. Buoyant modes are
unstable and grow at a theoretical rate
.
Simulated on a grid with 2.5 m spatial
resolution, the model is unstable with a numerical growth rate
,
and convection sets in quickly. The flow
is dominated by a few (one or two) fairly circular convective rolls.
Due to the transport of entropy and angular momentum by the
overturning fluid, the model develops complementary entropy and
rotation profiles characterized by ``cold'' (i.e., low-entropy),
rapidly rotating matter in down-flows and ``hot'' (i.e.,
high-entropy), slowly rotating matter in up-flows. The redistribution
of angular momentum and entropy leads to an average (with respect to
the z-coordinate) rotational profile of the form
,
i.e., constant specific angular momentum (see
Fig. 16), and a flat entropy profile.
For a faster rotation rate of
,
corresponding to
,
i.e., still in the
convective regime, the evolution is similar except for a reduced
growth rate (
)
due to
rotational stabilization. The model develops differential rotation
with the same
-dependence as in the case of slower rotation.
If we increase the rotation rate to
(
)
buoyant modes are
stabilized by rotation.
The above results also hold if the initial model is rotating
differentially. In particular, convection (i.e., the negative initial
entropy gradient) gives also rise to a rotation law of the form
,
and a flat entropy profile.
![]() |
Figure 16:
|
| Open with DEXTER | |
Next, we add a magnetic field of
to a
convective model, i.e., to a model with a negative entropy gradient
rotating too slowly (in our case, for rigid rotation, with
)
for convection to be stabilised by
rotation. The temporal evolution of the magnetic energy and the
Maxwell stress of this model is shown in
Fig. 17, while
Fig. 18 gives the spatial distribution of the
entropy of the model at two different times. Initial perturbations
are amplified rapidly, but saturation sets in within 6 milliseconds
the growth rate being slightly higher than in the non-magnetic models.
With
,
the model is dominated by buoyant
modes, but there still exists some influence of the Alfvén modes.
In particular, although infinitely long modes grow rapidly, the
fastest growing modes are Alfvén modes of finite wavenumber which
depends on b0z. For sufficiently strong initial fields (or
sufficiently fine resolution), these modes are numerically resolved,
and have a growth rate exceeding that of the corresponding
non-magnetic model. The magnetic field strength increases
exponentially as the instability develops, and at the onset of
saturation large convective rolls develop (left panel of
Fig. 18). In the saturation phase (right panel
of Fig. 18) the flow geometry differs
considerably from that of the corresponding non-magnetic model. It
consists of down-drafts of cold material and up-flows of hot gas
forming small-scale structures rather than large circular convective
rolls. Like in the non-magnetic model, cold and hot regions
correspond to regions of low and high angular velocity, respectively.
Differential rotation with constant specific angular momentum,
,
develops due to hydrodynamic transport of
angular momentum in convective overturns. The magnetic energy related
to the radial component of the magnetic field and the Maxwell stress
component
remain high during saturation, i.e.
angular momentum transport converts the
rotation law
prevailing at early epochs into nearly rigid rotation
(Fig. 16).
![]() |
Figure 17:
Evolution of the mean magnetic energy density e
|
| Open with DEXTER | |
If for the same initially rigidly rotating model the initial magnetic
field is too weak to resolve
(we simulated
two models with
b0 = 104 and 1012, respectively) convection
develops. The growth rates are similar to those of non-magnetic
models. The weakest initial field,
,
has
no impact at all, and the evolution of the model with an initial field
of
differs only slightly from that of the
non-magnetic model. The magnetic field increases exponentially as the
instability grows. Large persistent convective rolls form, and
differential rotation develops. After an initial exponential growth
the mean magnetic energy remains large, but the contribution of the
radial component of the magnetic field and the mean Maxwell stress
component
decrease almost by four and two orders of
magnitude, respectively. Consequently, no significant angular
momentum transport occurs due to magnetic stresses, and similar to the
non-magnetized model a
rotation law
develops. Fig. 16).
We now consider the MBI regime (see Fig. 2)
and discuss models rotating initially rigidly with
and having an initial entropy gradient
(see
Table B.2), which implies
.
Without magnetic field, the instability of the buoyant
modes is suppressed by the fast rotation. However, if a weak magnetic
field is added, an instability of the MBI type develops, i.e., the
Alfvén modes become unstable. The numerical growth rates show a
similar dependence on the magnetic field strength as in case of the
standard (i.e.,
)
MRI, because
is resolved. The instability grows rapidly
(
,
similar to the theoretical
value
). During
the growth phase channel modes appear, which lead to a transport of
both angular momentum and entropy. After an exponential initial
growth and some decrease after MRI termination the mean magnetic
energies contained in the total magnetic field and all three field
components remain large (corresponding to field strengths of
), but the mean Maxwell stress component
drops to zero within ten milliseconds oscillating
afterward with decreasing amplitude between positive and negative
values. Hence, large-scale angular momentum transport is limited. At
the end of the simulation, the model shows considerable variations in
,
but there is no clear indication of a mean differential
rotation of the form
.
The entropy
profile in the saturated state is almost flat.
![]() |
Figure 18:
The entropy distribution (color coded), the poloidal velocity
field (arrows), and the magnetic field lines of the model
displayed in Fig. 17 at
|
| Open with DEXTER | |
Finally, we summarize a few common features of the models having a
negative entropy gradient (see Table B.2). All
models develop instabilities in accordance with the flow regime to be
expected from their model parameters. The growth rates of all models
are, within the uncertainties, similar to the theoretical predictions.
As for the dynamics, we have to distinguish models in the convective
regime from those in the mixed and MBI regimes. The former class of
models shows convective mushrooms and large-scale overturns with only
little influence of the magnetic field, whereas the last class is
dominated by channel flows. Consequently, angular momentum transport
by hydrodynamic flow leads to a rotational profile
for models in the convective regime, while models in the
mixed-type regime tends towards rigid rotation the angular momentum
transport being dominated by magnetic fields. Termination of the
instability growth occurs for models both in the MBI and mixed-type
regime analogously to that of models in the MSI regime without entropy
gradient, i.e., by reconnection in resistive instabilities altering
the topology of the channel flows. Consequently, we find similar
dependencies on the initial field strength, the grid resolution, and
the type of boundary conditions. The instability in convective
models, on the other hand, saturates when the initial entropy gradient
is removed by vigorous entropy transport due to overturning fluid
motions.
4.4 Three-dimensional models
The results of the axisymmetric simulations discussed in the previous section demonstrate the possibility of MRI-driven field amplification in core collapse supernovae, and provide some insight into the evolution of MRI unstable layers in the core. However, to address the MRI problem in full generality, one has to consider three-dimensional models, because the assumption of axisymmetry implies severe restrictions for the dynamics of the magnetic and kinetic fields. The most important limitations are that, in axisymmetry, a toroidal field cannot be converted into a poloidal one, and that the disruption of the channel flows requires non-axisymmetric parasitic instabilities (Goodman & Xu 1994).As 3D simulations are computationally much more expensive than 2D ones, we could not perform a comprehensive study, but had to focus on a few selected models. We simulated models with different field geometries and varied the initial field strength, the entropy profile, and the grid size (see Tables B.3 and B.4).
4.4.1 Uniform initial magnetic fields, no entropy gradient
We first discuss models which have a uniform initial magnetic field bz0 in z-direction, no entropy gradient, and rotate differentially with
During early epochs the evolution is similar to that of the
corresponding axisymmetric models: a number of radially aligned
channels appear. Strong differential rotation causes significant
wind-up of flow features leading to structures elongated in
-direction, i.e., there exists only a modest variation of the
MHD variables with azimuthal angle at this stage. Sheet-like
structures dominate the field geometry. The rotational profile begins
to show distortions due to the transport of angular momentum by
Maxwell stresses (see left panel of
Fig. 19). At later epochs the
flow in 3D is more complex than in axisymmetry. Although coherent
structures, i.e., flux sheets, are still present, their geometry is
more tangled and twisted, and less isotropic than earlier in the
evolution (see middle panel of
Fig. 19).
| |
Figure 19:
Structure of a 3D model with
|
| Open with DEXTER | |
An evolution from coherent channel flows to a more turbulent state is
characteristic for all three-dimensional models with a uniform initial
magnetic field. However, as pointed out by
Sano & Inutsuka (2001), channel
flows can develop again from the turbulent state. Consequently, the
magnetic field can continue growing, and the angular momentum
transport will be enhanced strongly. In the most extreme cases, the
evolution is similar to that of a corresponding axisymmetric
model. This is exactly what we observe for some models at late times,
(see right panel of
Fig. 19), when a dominant channel
flow forms. These model enter again a state of exponential growth,
and a large part of the angular momentum is extracted by Maxwell
stresses. The field strengths reach several
,
peaking at
,
and the mean Maxwell stress
component
exceeds
(see middle panel of Fig. 20), and
compare with the corresponding axisymmetric model in the left panel).
Despite a qualitative similarity between the evolution of the 3D and
axisymmetric models, we note that the secondary exponential growth is
slower in three dimensions.
![]() |
Figure 20:
Evolution of the mean magnetic energy density
e
|
| Open with DEXTER | |
The emergence of a large-scale structure of the magnetic field from a
turbulent state can be seen in
Fig. 21 comparing the field
structure at
and
,
respectively. At the earlier time (left panel), we find a small-scale
field dominated by slender flux tubes. Field lines of different
polarity (indicated by different colors) are lying close to each
other. After the development of the channel flow (right panel), the
field is dominated by a large-scale pattern. A smooth surface
permeating the box at nearly constant z-coordinate separates in two
large regions field lines of different polarity from each other. In
each of the two regions, we find one broad flux sheet where most of
the magnetic energy is concentrated. The separation layer is filled
by gas rotating nearly uniformly at a ow angular velocity (
). The surrounding gas rotates uniformly as
well, but at a much higher velocity (
). The two flux sheets form a thin transition region
between both rotational states. Thus, the dynamics is similar to that
of the corresponding axisymmetric model.
Because our boundary conditions allow for a loss of angular momentum, and thus for the total disruption of the differential rotation profile by transport through the radial boundaries, this stage represents the end of the evolution, just as it did in axisymmetry: the instability has used up its free-energy reservoir. Hence, the later evolution consists only of violent oscillations.
![]() |
Figure 21:
Same as
middle and right panel of
Fig. 19, but showing besides
the volume rendered magnetic field strength (blue to green) also
the magnetic field lines, which are obtained by starting the
integration of the magnetic field at two surfaces of constant
|
| Open with DEXTER | |
![]() |
Figure 22:
Volume rendered magnetic field strength of a model with
|
| Open with DEXTER | |
Only a subset of our models show a prominent re-appearance of single
channel flows, and most of them do not exhibit a secondary exponential
growth phase. Instead, the mean magnetic energy and the Maxwell
stress remain roughly constant during saturation, albeit fluctuating
strongly (see the right panel of Fig. 20). Angular
momentum transport is less efficient for these models, and their
initial rotation profiles remain nearly unchanged. A turbulent flow
and magnetic field persist during saturation, and coherent,
channel-like structures develop transiently. The structure of the
magnetic field of a model with
computed on a grid of
zones is displayed at
two different epochs in
Fig. 22. At
(left panel) one recognizes a turbulent state, while
large-scale patterns (right panel; yellow structures) dominate the
flow at
when the magnetic field strength is
largest, and the Maxwell stress is strongest. Unlike in the model
discussed above, the coherent flow is unstable and becomes turbulent
within a few milliseconds, and the absolute value of the Maxwell
stress
decreases.
Channel modes and parasitic instabilities.
The appearance and stability of single large-scale flows that lead to a secondary exponential growth phase and eventually to the disruption of the rotation profile depend on the geometry of the simulated domain as well as on the ratio of the grid resolution and the fastest growing mode.
Models, which are computed in a box of
with a
resolution of
and where velocity damping is applied,
develop secondary stable channels, if the initial magnetic field is
stronger than
.
The MRI growth rates
found for these models (
for
,
respectively) indicate that the grid resolution is sufficiently fine
to resolve the fastest growing MRI mode for the two most strongly
magnetized models. However, it is too coarse for the model with the
weakest initial field, because the theoretical growth rate for the
fastest growing MRI mode is
ms-1for these models (see Sect. 4.2.1).
To investigate the stability properties of large-scale channel modes
as a function of the box geometry, we simulated models with an
initially uniform magnetic field using boxes of different size and
shape. The models were rotating according to
and
,
and their initial
magnetic field was
when applying
velocity damping boundaries, and
otherwise. We varied both the ratio between the radial and vertical,
,
and the radial and toroidal size,
,
size of the box. The grid resolution was 20 m (see
Table B.3). Plotting the stress ratios
(Fig. 23; damping boundaries) and
(Fig. 24; non-damping boundaries) as a function
of the aspect ratio of the computational box, provides some indication
of the range of
values prevailing during the
post-growth phase. The ratios allow one to distinguish models with a
strong variability due to the dominant re-appearance of channel modes
from those models exhibiting a smooth evolution without dominant
large-scale coherent structures.
![]() |
Figure 23:
The left panel shows the ratio of the maximum Maxwell
stress per unit volume,
|
| Open with DEXTER | |
![]() |
Figure 24: Same as Fig. 23, but for models where no velocity damping is applied at the radial grid boundaries. |
| Open with DEXTER | |
We find that models with a radial aspect ratio
and a toroidal aspect ratio
are unstable
against parasitic instabilities, independent of the grid resolution in
toroidal direction. Turbulence develops and leads to a flow structure
as shown in Fig. 22.
Models having the same radial aspect ratio, but a smaller toroidal one
are stable and evolve similarly as axisymmetric models, i.e.,
parasitic instabilities do not grow and a dominant large-scale channel
flow develops, which gives rise to a morphology of the type presented
in Fig. 22. These findings
do not depend on how the growth of the MRI ends, i.e., whether
velocity damping is applied and reconnection between adjacent channels
occurs inside the box, or whether no damping is imposed and
reconnection occurs near the surface of the computational box.
These results can be understood from the analysis of parasitic
instabilities by Goodman & Xu (1994), who
argued that three-dimensional flows are unstable against parasitic
instabilities, but these instabilities can be suppressed by the
geometry of the computational box. According to their analysis, the
growth rate of the parasitic instabilities is highest for modes with
half the wave number of the unstable MRI modes they are feeding off.
Hence, if a channel flow forms at late times with a wavelength equal
to the box size in z-direction, Lz, unstable parasitic modes must
have a toroidal wavelength
2 Lz to grow rapidly. Thus results
in the criterion for the channel flow instability we have found in our
simulations.
In accordance with simulations presented recently by
Bodo et al. (2008), we find that models
with a radial aspect ratio
experience a second
exponential growth phase as described in Sect. 4.2 (note
the large ratios of
and
for the corresponding models in
Fig. 23), whereas a larger radial aspect ratio
appears to favor a less violent post-growth phase where coherent
channel modes can appear but are disrupted after a short time.
Bodo et al. (2008) obtained this result for
simulations performed with a toroidal aspect ratio
.
We confirm a similar dependence of the dynamics on the radial aspect
ratio also in axisymmetry and for three-dimensional boxes with smaller
.
In this case, parasitic instabilities are unable to
disrupt the channel modes. Consequently, the MRI experiences a second
exponential growth phase dominated by just one (two in a few cases)
large channel mode of width a which is determined by the size of the
computational box in z-direction. The maximum Maxwell stress that
can be reached is limited by the onset of resistive instabilities.
The dependence on the channel width (Eq. (A.11))
explains why the maximum Maxwell stress varies with Lz: larger boxes
allow for wider channels for which the resistive instabilities grow
slower, thus requiring higher Alfvén velocities for a growth rate
comparable to the one of the MRI. Hence, the MRI reaches stronger
fields for larger (in z direction) boxes.
Despite the differences in the MRI termination process, the behavior
of models with and without velocity damping is quite similar, because
the velocity damping does not affect the second generation of vigorous
channel flows significantly. Thus, the breakup of these channels and
the values of the corresponding maximum Maxwell stress do not depend
strongly on the choice of the boundary condition. On the other hand,
MRI termination (the termination of the initial exponential growth of
the MRI) does depend on whether velocity damping is applied or not,
and thus the ratio
,
too.
For boxes having a large toroidal aspect ratio,
,
we observe a quiet evolution during the non-linear saturation
phase of the MRI when varying the radial aspect ratio,
.
In particular, the fluctuations of
are small
after MRI termination for models where both aspect ratios are large.
The models in the upper right corner of Fig. 23
have values of
close to unity.
We may try to infer some consequences from these results for the MRI
in supernova cores. Close to the core's equator the region, where the
MRI develops, can have to a small radial size,
,
ranging
from a few to a few hundred kilometers determined by the gradients
of
and S in the core. The vertical extent of the unstable
region, Lz, can be expected to be of similar size. The azimuthal
extent of the MRI unstable region,
,
will be significantly
larger, leading to a non-violent evolution of the saturated state of
the MRI. The geometry is different close to the pole. However, we
cannot apply our results there without modifications as we have
considered only cases where the gradients of
and of all
thermodynamic quantities are aligned - a situation which does not
apply near the poles.
Effects of resolution and initial magnetic fields in 3D vs 2D.
After having discussed how the aspect ratios of the simulation box determine the Maxwell stress at MRI termination and during the subsequent saturation phase, we will now compare whether the behavior of 3D models differs from that of 2D models. The models discussed in this paragraph are listed in Tables B.3 and B.4.First, we note that in 3D, as in axisymmetry, the growth rate of the instability is not affected by the choice of the grid provided the fastest growing mode is resolved.
Figure 25 demonstrates that in 3D the dependence of
on the initial magnetic field
strength is well described by the same power law as in axisymmetry:
models without damping of the radial velocity line up along a band
(b0z)16/7, and models with velocity damping are
characterized by a roughly constant value of
,
which depends on the size of the
radial box (compare with Fig. 8). This
agreement is to be expected as the growth and the resistive disruption
of channel flows are essentially axisymmetric processes, which are,
thus, not significantly modified by three-dimensional effects.
After MRI termination the evolution of
depends on the
aspect ratio of the computational box (see discussion above). When
averaging the fluctuating Maxwell stresses over the saturation phase,
we find values for
which differ
considerably from those of
.
Lacking
a thorough understanding of the instabilities involved in the MRI
saturation process, and having only a imited set of 3D models at hand,
one is not yet in a position to formulate a better description of the
dependence of the evolution after MRI termination on the aspect ratio
of the box, and to provide a unified description of MRI saturation
amplitudes.
![]() |
Figure 25:
Volume-averaged Maxwell stress component
|
| Open with DEXTER | |
4.4.2 Uniform bz field, entropy gradients
Mixed regime:
let us first consider models from the mixed regime having an initial
rotation law given by
and
,
and an entropy distribution given by S0=
0.2 and
(i.e, with a negative entropy
gradient). In axisymmetry the MRI grows in these models with a rate of
,
i.e., close
to the theoretical value of
.
The
3D models show the same growth rate provided the spatial grid resolution
is sufficiently high.
The long-term evolution (i.e., many rotational periods into the non-linear phase) of the models depends strongly on the choice of the radial boundary conditions. If the entropy at the inner and outer boundary is allowed to change (i.e., using reflective boundaries), a flat entropy profile develops after a short time. To reduce the influence of boundary effects, one could employ a technique widely used in simulations of convective layers: add a cooling layer on top of and an overshoot layer below the convection zone. However, exploring this approach was beyond the scope of the present work.
For models having a negative entropy gradient the growth of the MRI is not influenced by 3D effects, if the fastest growing mode is resolved. Thus, their behavior is similar to that of models with no entropy gradient. The Maxwell stress at MRI termination also does not differ significantly from that of the corresponding axisymmetric models, and due to the boundary conditions applied in the models (velocity damping) its value is set by recombination of field lines close to the inner and outer radial boundary.
Contrary to axisymmetric models, the saturated state of the 3D models
does not show any sign of a late exponential growth phase
characterized by the re-appearance of channel modes, and the saturated
MRI stresses are smaller in magnitude than
,
i.e., the maximum Maxwell stress is
reached at MRI termination (see
Fig. 26 and compare with
Fig. 4). The evolution of the average radial
entropy profile profile, computed as the average of
at constant
,
is shown in
Fig. 27. Until the
saturation of the instability (at
), the
initial linear profile
is basically unchanged. However,
afterward the entropy profile flattens, S becoming nearly constant
for
.
Close to
both radial boundaries, the entropy profile develops extrema, which
are most likely an artifact of our boundary conditions. The flat
entropy profile is stable and does not vary strongly with time.
The
profile flattens after the initial growth phase, too. The
velocity field in the saturated state is dominated by a rich
small-scale structure, while the magnetic field is organized in a
multitude of flux tubes.
![]() |
Figure 26:
Evolution of the mean magnetic energy density
e
|
| Open with DEXTER | |
![]() |
Figure 27: Average radial entropy profile as a function of time for the model shown in Fig. 26. |
| Open with DEXTER | |
MBI regime:
next we consider a few models that, in axisymmetry, belong to the MBI regime. Initially, the models rotate rigidly with
Contrary to their axisymmetric counterparts (see
Sect. 4.2), these models develop convective modes even
when no magnetic field is present. As described, e.g., by
Tassoul (1978), rotation can stabilize
axisymmetric modes in a convectively stable environment, but
non-axisymmetric modes can nevertheless grow in that situation. The
model with the weakest initial field (
)
shows a
growth of non-axisymmetric MBI modes, but these modes cannot be
resolved due to the extremely weak initial field. Thus, the model
behaves essentially similar to an unmagnetized one, but can serve as a
reference model for initially more strongly magnetized models where we
can resolve
.
The growing convective modes
eventually extend over the entire domain in radial and z-direction,
while having a small wavelength in
direction (see
Fig. 28, upper panel). The
exponential growth of the convective instability saturates at
.
During this growth phase the mean magnetic
energy increases at the same rate as does the kinetic energy. After
MRI termination the structure of the model is characterized by two
large, roughly cubic convective cells with a size of about
instead of a multitude of elongated structures (see
(Fig. 28, lower panel), and an
essentially flat entropy profile. The magnetic field is subject to
kinematic amplification at a smaller growth rate than before MRI
termination due to stretching in the convective vortices. At much
later epochs the typical size of structures in the velocity field
decreases again, leading to more turbulent fields. The magnetic
field, which is too weak to affect the dynamics, is passively advected
with the flow.
![]() |
Figure 28:
Flow structure of a MBI model with
|
| Open with DEXTER | |
For the model having the strongest initial magnetic field
we can resolve
.
The axisymmetric version of this model showed a MBI growth a rate
close to the theoretical one (
). For the 3D model we find
), i.e., its evolution is dominated by
convection (although we are able to resolve the MBI), and the MBI
growth rate is similar to that of a weakly magnetized model (see
previous paragraph). MBI growth is mediated by non-axisymmetric modes
having the same elongated geometry as those in the essentially
unmagnetized model. After saturation, a few large vortices of
approximately cubic shape form, which later decay into small-scale
structures again. An intermediate stage of this decay process is
displayed in Fig. 29, when
one large vortex is still present in the right half of the box, while
its left half is dominated by spatially less coherent fields. At even
later times the vortex disappears and the structure of the whole model
is similar to that shown in the left half of the box. The mean
magnetic energy and Maxwell stress are small compared to typical MSI
or mixed models. Compared to a differentially rotating model
(
,
)
with a
vanishing entropy gradient, the maximum magnetic fields are reduced by
a factor of
2, and the mean magnetic energies and Maxwell
stresses by a factor of
10, but we still find a slow growth at
the end of the simulation.
Finally, we add a few comments on a model where we cannot resolve
(
), but where the
magnetic field saturates within
after the onset
of convection. The model evolves similarly to the essentially
unmagnetized one, but at
the energy of the
kinematically amplified magnetic field becomes almost as high as the
convective kinetic energy. The amplification process ceases, and the
magnetic energy levels off. Close to the end of the simulation
convective transport gives rise to a rotation law
.
![]() |
Figure 29:
Structure of a rigidly rotating model with
|
| Open with DEXTER | |
4.4.3 Magnetic fields with zero net flux
Many results discussed above also apply analogously to models where the initial magnetic field has a vanishing net flux through the surface of the computational box. We simulated models withPerforming similar simulations Lesur & Ogilvie (2008) proposed a non-linear dynamo that balances the dissipation of the magnetic energy in MRI models with zero net flux. In the turbulent saturated state, they identified large-scale spatially (over a sizable fraction of the box) and temporally (over several rotational periods) coherent patterns of the toroidal magnetic field. To study this process, we looked for similar patterns in our models.
![]() |
Figure 30:
Evolution of large-scale coherent patterns exhibited by the
mean (i.e., averaged over a plane at constant z-coordinate)
toroidal field component of a 3D model having an initial magnetic
field of zero flux and strength
|
| Open with DEXTER | |
An example is shown in
Fig. 30 for a
model with
simulated in a box
of
on a grid of 503 zones applying no
velocity damping. The figure shows the mean value of the toroidal
field component
(i.e.
averaged
over
and
)
as a function of z and time. For
the early channels flows can be identified in
which the magnetic field grows. At
,
the
channels are disrupted, and the growth of the field seizes. In the
saturated state that follows, the mean (vertical) size of the
structures is larger: at any time, we find only a few (typically two)
regions of opposite field polarity (blue and red), which remain stable
for a few rotational periods (
).
Thus, we make similar observations as
Lesur & Ogilvie (2008) do for their
models.
We also simulated a few 3D models with zero-flux fields in the mixed
regime. The results are analogous to those obtained if the initial
fields are uniform(see, e.g.,
Fig. 31). The MRI growth rates are
similar to those of the corresponding 2D models, and the mean Maxwell
stress in the saturated state is somewhat smaller. In the saturated
state, both the entropy (upper panel) and the angular velocity
profiles become flat rapidly. The spatially and temporally coherent
large-scale structures in the magnetic field are even more pronounced
than in MSI models (compare the lower panel of
Fig. 31 with
Fig. 30). They
consist of two large regions characterized by an opposite sign of
,
which persist for the entire simulation of the saturated
state (
), subject only to a slow drift in
vertical direction. The implications of this behavior for the
presence and properties of a nonlinear dynamo of the type proposed by
Lesur & Ogilvie (2008) remain to be
explored.
![]() |
Figure 31:
Evolution of a mixed-regime 3D model with zero net flux
(
|
| Open with DEXTER | |
5 Summary and conclusions
We have studied the possible amplification of seed perturbations in supernova cores by the magneto-rotational instability. If the MRI grows on dynamically relevant time scales (a few tens of milliseconds), it can lead to MHD turbulence and efficient transport of angular momentum. Because the growth of the magnetic field and the associated Maxwell stresses is exponential in time, the MRI is one of the most promising mechanisms to amplify the - most likely weak - magnetic field of the supernova progenitor up to dynamically relevant strengths.
As pointed out by Akiyama et al. (2003), the
conditions for the instability are fulfilled in typical post-collapse
supernova cores. Under the assumption that the MRI converts most of
the energy contained in differential rotation into magnetic energy,
these authors predicted saturation fields of approximately
.
This prediction derived from a semi-analytic analysis and
1D simulations can only be confirmed by detailed multi-dimensional
numerical simulations. The reliability of global simulations of the
entire core, however, is limited due to the necessity to resolve
accurately small length scales (a few meters, at most) leading to
impracticable computational costs.
Traditionally, the MRI is studied in great detail in accretion discs, i.e., in systems dominated by Keplerian rotation. Because typical post-collapse supernova cores differ from these systems in many respects, e.g., by the importance of the thermal stratification and the sub-Keplerian rotation, we investigated the instability under more general physical conditions. Analyzing the MRI dispersion relation of Balbus (1995); Urpin (1996), we identified the regimes of the instability relevant to supernova cores.
We distinguish between Alfvén and buoyant modes of the
MRI. The former ones are generalizations of the standard MRI modes,
and the latter ones resemble standard convective modes. Buoyant modes
are unstable only in systems dominated by a negative entropy gradient,
whereas Alfvén modes prevail if differential rotation is the main
agent of the instability. Whereas Alfvén modes are rapidly
amplified only for a small range of wave numbers, buoyant modes grow
at essentially the same rate for a wide range of wave numbers,
.
We have identified six regimes of the MRI depending on the ratio of the entropy and angular velocity gradient. These MRI regimes and their properties can be summarized as follows:
- 1.
- Sufficiently large positive gradients of the angular velocity or of the entropy define the stable regime with oscillatory rather than growing modes.
- 2.
- For sufficiently strong differential rotation and small entropy gradients (or small buoyancy frequencies), we find the shear regime, corresponding to the hydrodynamic shear instability.
- 3.
- If negative entropy gradients dominate the system, it is located in the convective regime, which resembles ordinary hydrodynamic convection potentially modified in the non-linear phase by the presence of a magnetic field.
- 4.
- A small degree of differential rotation (e.g., Keplerian) and a small entropy gradient (if present at all) are the conditions for the magneto-shear (MSI) regime, well studied for accretion discs.
- 5.
- When fast (nearly) rigid rotation suppresses convection, its stabilizing effect can be overridden by a weak magnetic field, giving rise to magneto-buoyant (MBI) modes. This regime is only encountered in axisymmetric flows as rotation can stabilize only axisymmetric modes of convection, i.e., in three dimensions convection may grow faster than the MBI.
- 6.
- Finally, a mixed regime exists which shares properties of all unstable regimes listed above.
Computed under the assumption of rotational equilibrium, our background models differ from realistic supernova cores in many respects. One of the most important shortcomings is the neglect of the large-scale accretion flow through the post-shock region onto the proto-neutron star. From a physical point of view, such flows, whose influence on the MRI has not been studied previously, add to the already considerable complexity of the problem considered here, possibly allowing for additional regimes and modifying growth and saturation of the instability. Technically, the proper treatment of the boundary conditions required for a correct modeling of such flows in non-global simulations is rather involved. Thus, we have decided to postpone the study of the MRI in the presence of a large-scale accretion flow and focus on systems without overall radial motions.
The main results of our simulations are agree well with both our mode analysis and with local simulations of the MRI in accretion discs. They also confirm the estimates of Akiyama et al. (2003), and they are consistent with the results of global MHD simulations of core collapse (e.g., Obergaulinger et al. 2006b,a). We summarize our results as follows:
- 1.
- Under the physical conditions considered in this study, i.e., in a background rotating in hydrostatic equilibrium, the MRI can act in supernova cores amplifying an initial magnetic field strongly. The growth times are approximately equal to the rotational period of the core, which for rapidly rotating cores is sufficiently fast to influence the dynamics.
- 2.
- Due to our relatively fine numerical grids, we were able to
resolve the fastest growing MRI modes for initial field strengths
higher than a few
.
This threshold is
considerably lower than the one of previous global simulations
(e.g., Obergaulinger et al. 2006b,a), enabling us to
probe the MRI in a parameter range inaccessible to global
simulations.
- 3.
- The growth of the instability is accompanied by the development of channel flows, predominantly radial flows of alternating direction stacked up in the z-direction. This flow pattern is characteristic of both axisymmetric and three-dimensional simulations. The width of the channels is set by the wave length of the fastest growing MRI modes.
- 4.
- At MRI termination (i.e., at the end of the first exponential growth phase of the instability) the channels dissolve into a turbulent flow having a complex magnetic field topology. During the subsequent evolution secondary generations of channel flows can (re-) appear which characterize secondary phases of exponential growth.
- 5.
- We identified the mechanism responsible for the breakup of the
channel flows and MRI termination in our simulations. Despite the
absence of a physical resistivity in our model equations, we find
that resistive MRI instabilities of the tearing-mode type develop
due to the finite numerical resistivity of our MHD code. A main
characteristic of the channel flows is the presence of prominent
current sheets immersed between layers of opposite magnetic
polarity, which are unstable against current-driven instabilities.
Using a simplified model of this kind of flows, we investigated the
growth rates,
,
of the resistive instabilities,
and derived an approximate law for the scaling of
with the magnetic field strength present in
the channels, the channel width, and the grid resolution. Comparing
these growth rates with the MRI ones, we find that the MRI ceases to
grow once the tearing modes grow faster than the MRI. Using this
criterion, we are able to explain the dependence of the conditions
(i.e., field strength, Maxwell stresses) at MRI termination on,
e.g., the initial field strength, the grid resolution, and the
initial rotation profile.
Strictly speaking, there should be no reconnection without physical resistivity, and the behavior of a magnetized ideal fluid subject to numerical resistivity may be quite different from that of a fluid having a large but finite conductivity. Consequently, our results and their implications cannot replace a rigorous treatment of MRI growth in supernova cores with a non-ideal MHD model. In particular, we have to be careful when drawing conclusions for the MRI in non-ideal plasmas. Nevertheless, our results provide some qualitative insight into the basic processes of MRI saturation, highlighting the importance of tearing-mode-like instabilities. Quantitative conclusions, as e.g., the scaling laws for the field strengths and the Maxwell stresses at MRI termination as a function of the initial magnetic field strength, should be taken with a grain of salt. These depend on the dissipative properties of the numerical scheme employed, which are likely to change when physical resistivity is considered.
- 6.
- The saturation phase of the MRI differs considerably between
axisymmetric and unrestricted 3D models, and between models having a
different initial field configuration. In 2D the flow does not break
down into small-scale turbulence, instead the channel flows merge
until they form one pair of large-scale coherent up- and down-flows.
When the strength of the magnetic field exceeds
,
the rotational profile is modified within a few tens of
milliseconds.
- 7.
- Axisymmetric models having an initial magnetic field with a
vanishing net flux through the computational box become turbulent
after a growth phase dominated by channel flows. The saturation
fields are considerably smaller than
.
- 8.
- The previous finding also holds for 3D models. Turbulence
develops, but a spontaneous reorganization of the flow may lead to a
re-appearance of channel modes, resulting in Maxwell stresses
comparable to those found for axisymmetric models. In models which
do not develop late-stage channel flows, field strengths up to
several
are encountered. The field is
predominantly toroidal. The extent of the late-time channel
activity depends on the development of secondary (parasitic)
instabilities, both flow-driven (e.g., Kelvin-Helmholtz) and
current-driven (e.g., tearing modes), which feed off the channel
flows. The presence of these instabilities is determined to a large
degree by the the aspect ratio of the computational box, i.e., we
observe a strong dependence of the saturated state on the aspect
ratio. For magneto-rotational core collapse, our results suggest
that secondary instabilities are fairly efficient in suppressing
coherent channel flows during saturation.
- 9.
- For models having an initial entropy gradient, we find an
important influence of convective stabilization or destabilization
on the evolution of the MRI. We confirm the instability regimes
predicted by our linear analysis with numerical simulations, the
numerical growth rates being in accordance with the theoretical
ones. The MRI is suppressed in convectively stable regions, the
growth rates are reduced, and the geometry of the flow changes
favoring radially less extended patterns. In the mixed regime,
convectively unstable regions with comparably large entropy
gradients are dominated by flows similar to volume-filling
hydrodynamic convection. The magnetic field is expelled from
convective cells and accumulates near the box boundaries. We note
that the entropy gradients required for these effects are fairly
shallow
.
We confirm the existence of
the MBI regime for axisymmetric models, whereas the same models,
computed in 3D, experience the growth of non-axisymmetric modes.
- 10.
- In 3D models having a zero net magnetic flux we observe the development of large-scale coherent field patterns similar those seen by Lesur & Ogilvie (2008), despite the turbulent nature of the velocity and magnetic fields. We also find differences in the flow patterns between MSI and mixed regime models. The tentative connection to a non-linear dynamo operating in the models remains to investigated further.
While local (or semi-global) simulations can yield interesting results regarding the physics of the MRI, several important aspects can only be addressed by global modeling. The detailed dependence of the geometry of the magnetic field at saturation, e.g., may depend strongly on the global dynamics and on the position of the box inside the core. Our simulations did not account for any of these factors: the background was in hydrostatic equilibrium, and we simulated models only in the equatorial region. Since the field geometry is of crucial importance for the global dynamics, e.g., for the generation of jet-like outflows in collapsars, conclusions on the dynamic influence of the MRI based on local simulations cannot be drawn easily. They require global models.
Additional investigations are also required to study the interplay of large-scale flows, e.g., the accretion of matter onto the proto-neutron star and the influence of neutrino radiation. Apart from modifying the regimes of the instability discussed here, the former process may allow for new instability regimes; in particular the combination of the MRI and the standing accretion shock instability may have interesting consequences for the dynamics of the explosion. While neutrino heating and cooling may, due to a net transport of entropy, lead to a stratification qualitatively similar to that of some models in this study with non-vanishing entropy gradients, it is too early to speculate on how neutrino radiation affects the MRI.
The inclusion of the MRI and its effects in global simulations requires a considerably careful treatment. The currently used approach of artificially enhancing the initial field strength by a constant factor is questionable. On the other hand, finding a better prescription relies on unraveling the dependence of saturated MRI driven turbulence on the different parameters of the system, as e.g., the rotation law, the thermodynamic conditions, and probably also the neutrino transport.
With our current simulations we are unfortunately not yet able to go beyond the stage of a qualitative proof of principle and to address important open questions of the MRI in core collapse supernovae. This would require additional 3D high-resolution non-ideal MHD simulations covering a large parameter space of possible rotation profiles, thermal stratifications, and magnetic field geometries. We are planning to address these issues in future work.
Acknowledgements
This research has been supported by the Spanish Ministerio de Educación y Ciencia (grants AYA2007-67626-C03-01, CSD2007-00050), and by the Collaborative Research Center on Gravitational Wave Astronomy of the Deutsche Forschungsgemeinschaft (DFG SFB/Transregio 7). MAA is a Ramón y Cajal fellow of the Ministerio de Educación y Ciencia. Most of the simulations were performed at the Rechenzentrum Garching (RZG) of the Max-Planck-Society. We are also thankful for the computer resources, the technical expertise, and the assistance provided by the Barcelona Supercomputing Center - Centro Nacional de Supercomputación. Finally, we would like to acknowledge enlightening discussions with Tom Abel and Fen Zhao about the MRI.
Appendix A: Growth rates of resistive instabilities
![]() |
Figure A.1:
Evolution of the magnetic energy density of a current-sheet
model simulated on a square computational grid (edge length
0.25 km;
|
| Open with DEXTER | |
Table A.1: Parameters of the 2D current sheets simulated to determine the growth rates of resistive instabilities. The columns give from left to right the edge length of the square simulation box, the number of grid zones per dimension, the initial density (in units of 1013 g/cm-3), the sound speed (in units of 109 cm/s), the magnetic field (in units of 1014 G), the wavelength of the initial field, and the growth rate, respectively.
![]() |
Figure A.2:
Dependence of the growth rate of resistive instabilities,
|
| Open with DEXTER | |
Our simulations of the MRI indicate that the termination of the growth of the instability is determined, at least partially, by resistive instabilities of the tearing-mode type. Although there exist detailed investigations of this kind of resistive instabilities (see, e.g., Biskamp 2000), the application of the results to our study is hampered by the completely different type of dissipative effects we are facing here: all previous results hold for instabilities due to physical resistivity, whereas our ideal MHD simulations are affected by numerical resistivity, only. Hence, we had to determine the growth rates of resistive instabilities from numerical experiments without referring to analytic results - although, as we will see, there exist certain similarities.
We simulated the evolution of two-dimensional current-sheet models on
a Cartesian grid
with
zones imposing periodic boundary conditions. The fluid is described
by an ideal-gas equation of state with an adiabatic index
.
We used initial data mimicking MRI-generated channel flows: the
initial magnetic field varies sinusoidally in a gas of constant
density
and pressure P0,
and having a velocity in x-direction given by
Here, a denotes the initial width of the flux sheet, and vx0 is equal to one half of the Alfvén velocity
We perturbed the sheet by a small random y-velocity (
). The parameters of the model are chosen to mimic the
situations encountered in MRI simulations (see
Table A.1). To isolate the dependence of the growth
rates on the physical and numerical parameters, we varied the initial
magnetic field strength, bx0, the initial density,
,
the
width of the current sheet, a, and the grid resolution,
.
We chose the grid resolution such that the
current sheet is covered by 12 to 100 zones. The initial pressure is
.
We show one typical result for the evolution of our models in
Fig. A.1. After a short initial phase, the
transverse magnetic energy density (green line) grows roughly
exponentially as tearing modes develop. Initially the growth rate is
approximately constant, but it increases by a factor of
4
towards saturation. Simultaneously, the x-component of the magnetic
field decreases strongly until it is of similar strength as the
y-component. At this point, the coherent current sheets are
completely disrupted by the resistive instability.
We determined estimates of the growth rates of the resistive
instability using the time derivative of the transverse magnetic energy
density, i.e., the time derivative of the magnetic energy density
corresponding to the y-component of the magnetic field. To find a
scaling relation of the form
we define the following functions of the growth rate
and adjust the exponents
which implies the following scaling law:
We demonstrate the quality of the fit parameters in Fig. A.2 showing
Due to a relatively large scatter in the growth rates, the scaling
relation, Eq. (A.4), should not be taken too
literally. We note, however, that our computed rates are compatible
with those of the resistive instabilities (for fields of similar
strength) in MRI models, i.e., approximately one millisecond for
.
An additional dependence of
on the domain size, L, cannot be excluded, but we did not examine
this possibility any further. For small a and coarse grids our
scaling formula tends to overestimate the growth rate for large
initial Alfvén velocities, and for sound speeds much larger than the
Alfvén velocity the rates depend more strongly on the sound speed
than predicted by our formula. Because both situations do not apply
to our MRI models, we did not pursue these issues any further. Our
scaling law loses its validity, if the Alfvén velocity exceeds the
sound speed. Thus, we excluded two respective models in the
derivation of our scaling relation.
Bearing in mind the uncertainties regarding the physical meaning of a
purely numerical resistivity and the precise values of the scaling we
may try to interpret our result summarized in
Eq. (A.11). As the product of the Alfvén
velocity and the grid spacing,
,
defines an
effective resistivity, we may conclude that the growth time of the
instability is set by the timescale for resistive diffusion across
the width of a current sheet,
,
modified by the ratio of the sound speed and the Alfvén
velocity. This interpretation has the nice property that it is
consistent with the fact that the magnetic Reynolds number is
proportional to the grid resolution.
Appendix B: List of models
In this appendix we provide a list of the models:
- -
- Table B.1: this table contains a list of 2D
models having a positive entropy gradient. Their initial rotation
profile is given by
and
,
and their initial magnetic field is
uniform.
- -
- Table B.2: this table contains a list
of 2D models having a negative entropy gradient. The models rotate
initially rigidly or differentially. The initial magnetic field is
uniform.
Table B.1: List of 2D models having a positive entropy gradient and an initial rotation profile given by
and
.
The columns give
(from left to right) the number of grid zones
(the box has an edge length
), the type of boundary condition which was applied
(d: velocity damping; p: periodic), the adiabatic index of the
gas,
(models computed with an ideal-gas equation of state
instead of the hybrid one are marked ``id''), the initial entropy,
S0, and the radial entropy gradient,
.
The
next three columns give the parameter
determining
the instability regime (see Eq. (24)), the
theoretical growth rate,
,
and the strength
of the initially uniform magnetic field, b0z. The last two
columns list the numerical growth rate,
,
and the value of
the Maxwell stress component
at
MRI termination.
Table B.2: List of 2D models having a negative initial entropy gradient. The columns give ( from left to right) the number of grid zones
(the box has an edge length
), the type of boundary
condition which was applied (d: velocity damping; p: periodic),
the rotation law (``d'': differential rotation with
and
;
``
'' rigid rotation with an angular velocity
of
), the adiabatic index of the gas,
,
the
initial entropy, S0, the radial entropy gradient,
,
and the strength of the initially uniform
magnetic field, b0z. The next columns give the three
quantities
,
and
determining the instability regime (see
Eq. (24)), followed by the theoretical growth
rate,
,
and the type of the instability. The
last two columns list the numerical growth rate,
,
and the
value of the Maxwell stress component
at MRI termination.
- -
- Table B.3 and Table B.4: this table contains a list of 3D models having different initial magnetic field strengths, entropy gradients, initial rotation laws, and simulated in computational boxes of various size with both types (with and without velocity damping) of radial boundary conditions.
Table B.3:
List of 3D models. The first column ( from left to right)
gives the geometry of the initial field (``U'': uniform; ``V''
zero-flux). The next two columns show the box size (
)
and the number of grid zones
(
). The next four columns
list the rotation law (``d'': differential rotation with
and
;
``
'' rigid rotation with an angular velocity
of
), the entropy gradient,
(s0=0.2), the strength of the initial magnetic field, b0z,
and the type of boundary condition which was applied (d: velocity
damping; p: periodic). The remaining four columns give the growth
rate of the MRI,
,
and the Maxwell stress component
at MRI termination, its maximum
value, and its time averaged value, respectively.
Table B.4:
Continuation of Table B.3. For the MBI
model with
,
we do not provide values for
the Maxwell stress, because the magnetic field behaves similar to
a purely passive field.
References
Footnotes
- ... most
- Note, however, that these predictions still involve uncertainties, and hence rare, but much more strongly magnetized progenitors cannot be excluded presently.
- ... (MBI)
- The reader should not confuse this instability with the magnetic buoyancy or Parker instability (Parker 1966), related to the magnetic field strength gradients.
- ... A1B3G3
- This model experiences a core collapse that is halted by the stiffening of the equation of state above nuclear matter density.
- ... radial
- In general, the channels are oriented parallel to the
gradient of
,
wherever it points to.
- ... radial
- The radial field is typical for all three components. Thus the Alfvén velocity corresponding to the total magnetic field shows the same dependence.
All Tables
Table A.1: Parameters of the 2D current sheets simulated to determine the growth rates of resistive instabilities. The columns give from left to right the edge length of the square simulation box, the number of grid zones per dimension, the initial density (in units of 1013 g/cm-3), the sound speed (in units of 109 cm/s), the magnetic field (in units of 1014 G), the wavelength of the initial field, and the growth rate, respectively.
Table B.1:
List of 2D models having a positive entropy gradient and an
initial rotation profile given by
and
.
The columns give
(from left to right) the number of grid zones
(the box has an edge length
), the type of boundary condition which was applied
(d: velocity damping; p: periodic), the adiabatic index of the
gas,
(models computed with an ideal-gas equation of state
instead of the hybrid one are marked ``id''), the initial entropy,
S0, and the radial entropy gradient,
.
The
next three columns give the parameter
determining
the instability regime (see Eq. (24)), the
theoretical growth rate,
,
and the strength
of the initially uniform magnetic field, b0z. The last two
columns list the numerical growth rate,
,
and the value of
the Maxwell stress component
at
MRI termination.
Table B.2:
List of 2D models having a negative initial entropy
gradient. The columns give ( from left to right) the number of grid
zones
(the box has an edge length
), the type of boundary
condition which was applied (d: velocity damping; p: periodic),
the rotation law (``d'': differential rotation with
and
;
``
'' rigid rotation with an angular velocity
of
), the adiabatic index of the gas,
,
the
initial entropy, S0, the radial entropy gradient,
,
and the strength of the initially uniform
magnetic field, b0z. The next columns give the three
quantities
,
and
determining the instability regime (see
Eq. (24)), followed by the theoretical growth
rate,
,
and the type of the instability. The
last two columns list the numerical growth rate,
,
and the
value of the Maxwell stress component
at MRI termination.
Table B.3:
List of 3D models. The first column ( from left to right)
gives the geometry of the initial field (``U'': uniform; ``V''
zero-flux). The next two columns show the box size (
)
and the number of grid zones
(
). The next four columns
list the rotation law (``d'': differential rotation with
and
;
``
'' rigid rotation with an angular velocity
of
), the entropy gradient,
(s0=0.2), the strength of the initial magnetic field, b0z,
and the type of boundary condition which was applied (d: velocity
damping; p: periodic). The remaining four columns give the growth
rate of the MRI,
,
and the Maxwell stress component
at MRI termination, its maximum
value, and its time averaged value, respectively.
Table B.4:
Continuation of Table B.3. For the MBI
model with
,
we do not provide values for
the Maxwell stress, because the magnetic field behaves similar to
a purely passive field.
All Figures
![]() |
Figure 1:
Imaginary part of the growth rate normalized to the
imaginary part of the maximum growth rate,
|
| Open with DEXTER | |
| In the text | |
![]() |
Figure 2:
Stability regions in the plane
|
| Open with DEXTER | |
| In the text | |
![]() |
Figure 3:
Hydrostatic structure of the initial models.
The diagram shows the gravitational potential
|
| Open with DEXTER | |
| In the text | |
![]() |
Figure 4:
Evolution of the mean magnetic energy density
|
| Open with DEXTER | |
| In the text | |
![]() |
Figure 5:
The channel modes present in two snapshots taken from the
model for which Fig. 4 shows the time
evolution. The snapshots are taken at t = 10.6 ms
( upper panel) and t = 30.7 ms ( lower panel), respectively.
The panels show the color coded angular velocity |
| Open with DEXTER | |
| In the text | |
![]() |
Figure 6:
Radially averaged Fourier spectra of the radial component
of the magnetic field,
|
| Open with DEXTER | |
| In the text | |
![]() |
Figure 7:
Growth rate |
| Open with DEXTER | |
| In the text | |
![]() |
Figure 8:
Volume-averaged Maxwell stress component
|
| Open with DEXTER | |
| In the text | |
![]() |
Figure 9:
The disruption of a channel mode in an axisymmetric
uniform-field model. We show a section of a model with an initial
field
|
| Open with DEXTER | |
| In the text | |
![]() |
Figure 10:
Temporal evolution of the absolute value of the mean
Maxwell stress component
|
| Open with DEXTER | |
| In the text | |
![]() |
Figure 11:
Average Alfvén velocity - of models with uniform initial
magnetic field and without velocity damping near the radial
boundaries - corresponding to the radial magnetic field at MRI
termination normalized to
|
| Open with DEXTER | |
| In the text | |
![]() |
Figure 12:
Maxwell stress,
|
| Open with DEXTER | |
| In the text | |
![]() |
Figure 13:
An early state (
|
| Open with DEXTER | |
| In the text | |
![]() |
Figure 14:
Maxwell stress
|
| Open with DEXTER | |
| In the text | |
![]() |
Figure 15:
Maxwell stress at MRI termination,
|
| Open with DEXTER | |
| In the text | |
![]() |
Figure 16:
|
| Open with DEXTER | |
| In the text | |
![]() |
Figure 17:
Evolution of the mean magnetic energy density e
|
| Open with DEXTER | |
| In the text | |
![]() |
Figure 18:
The entropy distribution (color coded), the poloidal velocity
field (arrows), and the magnetic field lines of the model
displayed in Fig. 17 at
|
| Open with DEXTER | |
| In the text | |
| |
Figure 19:
Structure of a 3D model with
|
| Open with DEXTER | |
| In the text | |
![]() |
Figure 20:
Evolution of the mean magnetic energy density
e
|
| Open with DEXTER | |
| In the text | |
![]() |
Figure 21:
Same as
middle and right panel of
Fig. 19, but showing besides
the volume rendered magnetic field strength (blue to green) also
the magnetic field lines, which are obtained by starting the
integration of the magnetic field at two surfaces of constant
|
| Open with DEXTER | |
| In the text | |
![]() |
Figure 22:
Volume rendered magnetic field strength of a model with
|
| Open with DEXTER | |
| In the text | |
![]() |
Figure 23:
The left panel shows the ratio of the maximum Maxwell
stress per unit volume,
|
| Open with DEXTER | |
| In the text | |
![]() |
Figure 24: Same as Fig. 23, but for models where no velocity damping is applied at the radial grid boundaries. |
| Open with DEXTER | |
| In the text | |
![]() |
Figure 25:
Volume-averaged Maxwell stress component
|
| Open with DEXTER | |
| In the text | |
![]() |
Figure 26:
Evolution of the mean magnetic energy density
e
|
| Open with DEXTER | |
| In the text | |
![]() |
Figure 27: Average radial entropy profile as a function of time for the model shown in Fig. 26. |
| Open with DEXTER | |
| In the text | |
![]() |
Figure 28:
Flow structure of a MBI model with
|
| Open with DEXTER | |
| In the text | |
![]() |
Figure 29:
Structure of a rigidly rotating model with
|
| Open with DEXTER | |
| In the text | |
![]() |
Figure 30:
Evolution of large-scale coherent patterns exhibited by the
mean (i.e., averaged over a plane at constant z-coordinate)
toroidal field component of a 3D model having an initial magnetic
field of zero flux and strength
|
| Open with DEXTER | |
| In the text | |
![]() |
Figure 31:
Evolution of a mixed-regime 3D model with zero net flux
(
|
| Open with DEXTER | |
| In the text | |
![]() |
Figure A.1:
Evolution of the magnetic energy density of a current-sheet
model simulated on a square computational grid (edge length
0.25 km;
|
| Open with DEXTER | |
| In the text | |
![]() |
Figure A.2:
Dependence of the growth rate of resistive instabilities,
|
| Open with DEXTER | |
| In the text | |
Copyright ESO 2009
Current usage metrics show cumulative count of Article Views (full-text article views including HTML views, PDF and ePub downloads, according to the available data) and Abstracts Views on Vision4Press platform.
Data correspond to usage on the plateform after 2015. The current usage metrics is available 48-96 hours after online publication and is updated daily on week days.
Initial download of the metrics may take a while.
![\begin{displaymath}
\partial_{t} \rho
+ \nabla_j \left[ \rho v^j \right]
= 0
,
\end{displaymath}](/articles/aa/full_html/2009/16/aa11323-08/img146.gif)
![\begin{displaymath}
\partial_{t} p^i
+ \nabla_j
\left[
p^i v^j + P_{\star} \delta^{ij} - b^i b^j
\right]
= \rho \nabla_i \varphi,
\end{displaymath}](/articles/aa/full_html/2009/16/aa11323-08/img147.gif)
![\begin{displaymath}
\partial_{t} e_{\star}
+ \nabla_j
\left[
\left( e_{\st...
...) v^j
- b^i v_i b^j
\right]
= \rho v^j \nabla_j \varphi
,
\end{displaymath}](/articles/aa/full_html/2009/16/aa11323-08/img148.gif)









![\begin{displaymath}\hat{\omega}_{\rm G}^2 = \frac{1}{\Omega^2}
\left[\mathcal{...
...k}\cdot\mathcal{B})
(\vec{k}\cdot \mathcal{G})}{k^2}
\right]
\end{displaymath}](/articles/aa/full_html/2009/16/aa11323-08/img196.gif)
![\begin{displaymath}\hat{\omega}_{\rm R}^2 = \frac{1}{\Omega^2}
\left[\mathcal{...
...\vec{e}_{\varpi})
(\vec{k}\cdot \mathcal{R})}{k^2}
\right] ,
\end{displaymath}](/articles/aa/full_html/2009/16/aa11323-08/img197.gif)



![\begin{figure}
\par\includegraphics[width=8.8cm]{1323f01a.eps}
\end{figure}](/articles/aa/full_html/2009/16/aa11323-08/Timg232.gif)






![\begin{figure}
\par\includegraphics[width=8.8cm]{1323f02a.eps}
\end{figure}](/articles/aa/full_html/2009/16/aa11323-08/Timg267.gif)
![\begin{figure}
\includegraphics[width=8.2cm,clip]{1323f03a.eps}
\end{figure}](/articles/aa/full_html/2009/16/aa11323-08/Timg282.gif)


![\begin{figure}
\par\includegraphics*[width=7cm,clip]{1323f04a.eps}
\end{figure}](/articles/aa/full_html/2009/16/aa11323-08/Timg304.gif)
![\begin{figure}
\par\includegraphics[width=6.7cm]{1323f05a.eps} \includegraphics[width=6.7cm]{1323f05b.eps}
\end{figure}](/articles/aa/full_html/2009/16/aa11323-08/Timg307.gif)
![\begin{figure}
\par\includegraphics*[width=7cm]{1323f06a.eps}
\end{figure}](/articles/aa/full_html/2009/16/aa11323-08/Timg323.gif)
![\begin{figure}
\par\includegraphics[width=7cm]{1323f07a.eps}
\end{figure}](/articles/aa/full_html/2009/16/aa11323-08/Timg332.gif)
![\begin{figure}
\par\includegraphics[width=7cm]{1323f08a.eps}
\end{figure}](/articles/aa/full_html/2009/16/aa11323-08/Timg340.gif)
![\begin{figure}
\par\mbox{ \includegraphics[width=6cm]{1323f09a.eps} \includegrap...
....6cm]{1323f09b.eps} \includegraphics[width=5.6cm]{1323f09c.eps} }
\end{figure}](/articles/aa/full_html/2009/16/aa11323-08/Timg348.gif)


![\begin{figure}
\par\includegraphics[width=7cm]{1323f10a.eps}
\end{figure}](/articles/aa/full_html/2009/16/aa11323-08/Timg359.gif)


![\begin{figure}
\par\includegraphics[width=14cm]{1323f11a.eps}
\end{figure}](/articles/aa/full_html/2009/16/aa11323-08/Timg369.gif)
![\begin{figure}
\par\includegraphics[width=6.5cm]{1323f12a.eps}
\includegraphics[width=6.5cm]{1323f12b.eps}
\end{figure}](/articles/aa/full_html/2009/16/aa11323-08/Timg375.gif)
![\begin{figure}
\par\includegraphics[width=7cm]{1323f13a.eps}
\end{figure}](/articles/aa/full_html/2009/16/aa11323-08/Timg380.gif)



![\begin{figure}
\par\includegraphics[width=7cm]{1323f14a.eps}
\end{figure}](/articles/aa/full_html/2009/16/aa11323-08/Timg391.gif)
![\begin{figure}
\par\includegraphics[width=7cm]{1323f15a.eps}
\end{figure}](/articles/aa/full_html/2009/16/aa11323-08/Timg397.gif)
![\begin{figure}
\par\includegraphics[width=7cm]{1323f16a.eps}
\end{figure}](/articles/aa/full_html/2009/16/aa11323-08/Timg416.gif)
![\begin{figure}
\par\includegraphics[width=7cm]{1323f17a.eps}
\end{figure}](/articles/aa/full_html/2009/16/aa11323-08/Timg420.gif)
![\begin{figure}
\par\mbox{\includegraphics[width=7cm]{1323f18a.eps} \includegraphics[width=7cm]{1323f18b.eps} }
\end{figure}](/articles/aa/full_html/2009/16/aa11323-08/Timg428.gif)
![\begin{figure}
\par\mbox{\includegraphics[width=5.6cm]{1323f20a.eps} \includegra...
....6cm]{1323f20b.eps} \includegraphics[width=5.6cm]{1323f20c.eps} }
\end{figure}](/articles/aa/full_html/2009/16/aa11323-08/Timg447.gif)
![\begin{figure}
\par\mbox{ \includegraphics[width=8cm]{1323f21a.eps} \includegraphics[width=8cm]{1323f21b.eps} }
\end{figure}](/articles/aa/full_html/2009/16/aa11323-08/Timg450.gif)
![\begin{figure}
\par\mbox{\includegraphics[width=8cm]{1323f22a.eps} \includegraphics[width=8cm]{1323f22b.eps} }
\end{figure}](/articles/aa/full_html/2009/16/aa11323-08/Timg455.gif)
![\begin{figure}
\par\includegraphics[width=7cm]{1323f23a.eps}
\end{figure}](/articles/aa/full_html/2009/16/aa11323-08/Timg464.gif)
![\begin{figure}
\par\includegraphics[width=7cm]{1323f24a.eps}
\end{figure}](/articles/aa/full_html/2009/16/aa11323-08/Timg465.gif)
![\begin{figure}
\par\includegraphics[width=7cm]{1323f25a.eps}
\end{figure}](/articles/aa/full_html/2009/16/aa11323-08/Timg474.gif)
![\begin{figure}
\par\includegraphics[width=7cm]{1323f26a.eps}
\end{figure}](/articles/aa/full_html/2009/16/aa11323-08/Timg484.gif)
![\begin{figure}
\par\includegraphics[width=7cm]{1323f27a.eps}
\end{figure}](/articles/aa/full_html/2009/16/aa11323-08/Timg485.gif)
![\begin{figure}
\par\includegraphics[width=7.7cm,clip]{1323f28a.eps}
\includegraphics[width=7.7cm,clip]{1323f28b.eps}
\end{figure}](/articles/aa/full_html/2009/16/aa11323-08/Timg495.gif)
![\begin{figure}
\par\includegraphics[width=7.7cm]{1323f29a.eps}
\end{figure}](/articles/aa/full_html/2009/16/aa11323-08/Timg504.gif)
![\begin{figure}
\par\includegraphics[width=7cm]{1323f30a.eps}
\end{figure}](/articles/aa/full_html/2009/16/aa11323-08/Timg505.gif)
![\begin{figure}
\par\includegraphics[width=7cm]{1323f31a.eps}
\includegraphics[width=7cm]{1323f31b.eps}
\end{figure}](/articles/aa/full_html/2009/16/aa11323-08/Timg511.gif)
![\begin{figure}
\par\includegraphics[width=7.6cm,clip]{1323fA1a.eps}
\end{figure}](/articles/aa/full_html/2009/16/aa11323-08/Timg516.gif)
![\begin{figure}
\par\includegraphics[width=17cm,clip]{1323fA2a.eps}
\end{figure}](/articles/aa/full_html/2009/16/aa11323-08/Timg526.gif)


