| Issue |
A&A
Volume 498, Number 1, April IV 2009
|
|
|---|---|---|
| Page(s) | 161 - 165 | |
| Section | Interstellar and circumstellar matter | |
| DOI | https://doi.org/10.1051/0004-6361/200811391 | |
| Published online | 18 February 2009 | |
Chemical stratification in the Orion Bar: JCMT Spectral Legacy Survey observations
M. H. D. van der Wiel1,2 - F. F. S. van der Tak2,1 - V. Ossenkopf3,2 - M. Spaans1 - H. Roberts4 - G. A. Fuller5 - R. Plume6
1 - Kapteyn Astronomical Institute, PO Box 800, 9700 AV, Groningen, The Netherlands
2 -
SRON Netherlands Institute for Space Research, PO Box 800, 9700 AV, Groningen, The Netherlands
3 -
I. Physikalisches Institut der Universität zu Köln, Zülpicher Straße 77, 50937 Köln, Germany
4 -
Astrophysics Research Centre, School of Mathematics and Physics, Queen's University of Belfast, Belfast, BT7 1NN, UK
5 -
Jodrell Bank Centre for Astrophysics, Alan Turing Building, University of Manchester, Manchester, M13 9PL, UK
6 -
Department of Physics and Astronomy, University of Calgary, Calgary, T2N 1N4, AB, Canada
Received 21 November 2008 / Accepted 6 February 2009
Abstract
Context. Photon-dominated regions (PDRs) are expected to show a layered structure in molecular abundances and emerging line emission, which is sensitive to the physical structure of the region as well as the UV radiation illuminating it.
Aims. We aim to study this layering in the Orion Bar, a prototypical nearby PDR with a favorable edge-on geometry.
Methods. We present new maps of
fields at 14
-23
resolution toward the Orion Bar in the SO 88-99, H2CO 515-414, 13CO 3-2, C2H 49/2-37/2 and 47/2-35/2, C18O 2-1 and HCN 3-2 transitions.
Results. The data reveal a clear chemical stratification pattern. The C2H emission peaks close to the ionization front, followed by H2CO and SO, while C18O, HCN and 13CO peak deeper into the cloud. A simple PDR model reproduces the observed stratification, although the SO emission is predicted to peak much deeper into the cloud than observed while the H2CO peak is predicted to peak closer to the ionization front than observed. In addition, the predicted SO abundance is higher than observed while the H2CO abundance is lower than observed.
Conclusions. The discrepancies between the models and observations indicate that more sophisticated models, including production of H2CO through grain surface chemistry, are needed to quantitatively match the observations of this region.
Key words: ISM: molecules - ISM: structure - ISM: individual objects: Orion Bar - stars: formation
1 Introduction
In photon-dominated regions (PDRs), UV radiation between a few and 13.6 eV drives the thermal and chemical balance of interstellar gas (Hollenbach & Tielens 1999, and references therein). PDRs are ubiquitous in the universe: surfaces of molecular clouds adjacent to H II, planetary nebulae, protoplanetary disks and also the nuclei of distant active galaxies. As such, PDRs are signposts of radiative feedback processes driven by star formation. Heating proceeds through photo-electric emission from dust grains and cooling is mostly due to fine-structure emissions of [C II] and [O I], and CO rotational lines (e.g., Sternberg & Dalgarno 1995; Kaufman et al. 1999; Röllig et al. 2007; Meijerink & Spaans 2005). Shielding of the UV radiation by dust and gas creates a layering structure where a sequence of different chemical transitions is produced by the gradual attenuation of the UV field (Ossenkopf et al. 2007).
The Orion Bar is a prototypical PDR located between the Orion molecular cloud
and the H IIsurrounding the Trapezium stars, at a distance of 414 pc
(Menten et al. 2007). Multi-wavelength observations
(Van der Werf et al. 1996; Young Owl et al. 2000; Hogerheijde et al. 1995; Tielens et al. 1993; Walmsley et al. 2000)
indicate a geometry for the Bar where the PDR is wrapped around the H II
created by the Trapezium stars and changes from a face-on to an edge-on geometry
where the molecular emissions peak. The mean density of the Bar is about 105cm-3, the mean molecular gas temperature 85 K, and the impinging radiation
field is
(Hogerheijde et al. 1995), where the Draine
field
erg s-1 cm-2.
The clumpiness of the PDR inferred by Hogerheijde et al. (1995) was confirmed by
interferometric data (Young Owl et al. 2000; Lis & Schilke 2003). Clump densities
up to 107 cm-3 were derived by Lis & Schilke (2003) while the density of
the interclump medium should fall between a few 104 cm-3(Young Owl et al. 2000) and
cm-3 (Simon et al. 1997).
The physical stratification of the PDR is well established
(Van der Werf et al. 1996; Lis & Schilke 2003; Tielens et al. 1993; Simon et al. 1997). Vibrationally excited H2 emission is located 15
from the ionization
front, where HCO+ 1-0 peaks as well, while the CO peak resides at 20
and CS slightly further in.
This paper presents emission maps of various molecular species, allowing us to probe and understand the chemical stratification in the Orion Bar in greater detail.
2 Observations
Table 1: Observed molecular lines.
This work is based on data obtained as part of the Spectral Legacy Survey
(SLS, Plume et al. 2007), being conducted at the James Clerk Maxwell
Telescope
on Mauna Kea, Hawai'i. The SLS is
performing spectral imaging of
fields in the
direction of the Orion Bar and four other targets. Once completed, the spectral
range covered by the SLS will be 330-362 GHz. This Letter presents the first
results from a selection of molecular lines in the already acquired data: two
C2H lines and one transition each of SO, H2CO and 13CO between 330 and 350 GHz, and two lines in auxiliary data in the 230 GHz window: C18O 2-1 and HCN
3-2 (Table 1).
The SLS uses the 16-pixel HARP receiver (325-375 GHz) and the ACSIS
correlator. The angular resolution of the JCMT at the observed frequencies is
14-15
(
30 mpc at the distance of the Orion Bar); the
harp4_mc jiggle position switch mode produces
maps
sampled every 7
5. The spectra are calibrated by observations at an off-position 10
to the southeast. At an exposure time of 4 min per map pixel, the rms
noise level in the current SLS data is 0.07-0.08 K in velocity bins of 0.83-0.89 km s-1. Single sideband system temperatures for these observations are
700 K.
The HCN 3-2 and C18O 2-1 lines were observed in 2005 with the A-band
(215-275 GHz) receiver and the DAS spectrometer. The same
field as with HARP was mapped at half-beamwidth
spacing, using the raster mapping mode. The JCMT beam size at 220-266 GHz is 19-23
(
40 mpc). The off-position for the A-band observations was at 20
southeast of the map center. The HCN and C18O observations reach a noise level of
0.5-0.6 K at a spectral resolution of 0.18 and 0.21 km s-1, respectively. System temperature
values are
350 K (DSB); the integration time is 19 s per map pixel. The pointing accuracy was checked every hour and was generally better than 2
during all observing runs.
The data were manually reduced using standard Starlink procedures.
The SLS observations were handled in blocks of 1.6 GHz effective bandwidth and the
other data as one set per emission line.
The time series were converted to data cubes and first-order polynomial
baselines were subtracted. Line intensities quoted here are
given in terms of the main-beam temperature
,
i.e., they have
been corrected for the JCMT main-beam efficiency of 63% in the 345 GHz window
and 69% in the 230 GHz window. Single-channel signal-to-noise ratios at the peak in the northeast slice are
16 for C18O and SO,
40 for HCN, H2CO and C2H, and 900 for 13CO.
3 Results
![]() |
Figure 1:
Images of molecular emission, observed with the JCMT toward the Orion
Bar of the species and transitions listed in Table 1. Line
intensities are integrated over 5-8 km s-1, depending on the line width. The
C2H transition shown here is the 49/2-37/2 transition; the
other transition shows a similar spatial distribution. Contour levels are
drawn at 10, 20, ..., 90% of the maximum integrated intensity for every
map: 15.9 K km s-1 for C2H, 10.4 for H2CO, 9.1 for SO, 93.5 for C18O,
400.0 for HCN, and 196.6 for 13CO. Note that the measured maximum
|
| Open with DEXTER | |
Figure 1 presents images of the observed molecular emission,
overlaid on an 8
m image of the Orion Bar taken with the Spitzer
Space Telescope (Megeath et al., in prep.). The mid-infrared emission traces warm dust at the surface layer between the H IIand the
molecular cloud. The molecular emission is seen to peak to the southeast of this
layer, and the JCMT data reveal a clear stratification. The C2H emission peaks
close to the surface layer, followed by SO and H2CO, whereas CO and HCN peak
deep into the molecular cloud.
![]() |
Figure 2:
Profiles of molecular emission along slices perpendicular to the
ionization front at position angle 225 |
| Open with DEXTER | |
The stratification is more easily visible in Fig. 2 which shows
slices through the images in Fig. 1, taken along the arrows in
Fig. 1, perpendicular to the ionization front. To produce these intensity profiles, all maps are regridded to 3
75 pixels, roughly half the pixel size of the original maps. Fitted peak positions and peak fluxes for the seven profiles are listed in Table 1, along with the spectroscopic parameters of the observed lines; the position uncertainties include Gaussian fitting errors (<
mpc).
In addition to the stratification, the molecular emission shows a two-peak structure. The northeast peak is brighter in HCN and H2CO, while the southwest peak is brighter in SO and the peak brightness is roughly equal for CO and C2H. These variations are probably caused by variations in the filling factor of dense gas, as seen, e.g., in the high-resolution data by Lis & Schilke (2003). The measured line widths of 5-8 km s-1 will be useful for future detailed modeling, however, this paper focuses on integrated intensities.
We use the observed line intensities and the radiative
transfer program RADEX (Van der Tak et al. 2007) to estimate beam-averaged molecular
column densities. Although temperatures are
known to range from 50 K in dense clumps up to 150 K in the interclump medium
(Lis & Schilke 2003; Batrla & Wilson 2003), we assume a kinetic temperature of 85 K and a
volume density of 105 cm-3, as applicable to the extended molecular gas
(Hogerheijde et al. 1995). Since some of the line emission may originate from
dense clumps, we also list column densities estimated in the high-density (LTE)
limit (Table 1). Both for the 105 cm-3 case as well as the LTE limit, varying the temperature by
30 K changes the
column densities by
30% (where a higher temperature gives a lower
column density), so the molecular column densities are reasonably well
constrained.
Our values for the column densities agree with previously published values to a factor of
2: Hogerheijde et al. (1995) for H2CO, C18O and HCN, Jansen et al. (1995) for C2H, and Leurini et al. (2006) for SO.
The published column densities for HCN and SO correspond to our high-density (LTE) estimates
(Table 1); this is consistent with these two species being confined
to the high-density gas while the H2CO emission has contributions from both
density phases.
The spatial distribution of the emission in this work is similar to that of previously observed single-dish emission from molecules such as 12CO, 13CO, HCO+, H2, CN and CS (e.g., Van der Werf et al. 1996; Tauber et al. 1994; Simon et al. 1997).
To convert the observed C18O line intensity to a total H2 column density, we
assume an isotopic ratio 16O/
(Wilson & Rood 1994) and a CO
abundance of 1.1
10-4 as applicable for the Orion Bar PDR (Johnstone et al. 2003). The result is N(H2) = 6.8
1022 cm-2, which implies the following molecular
abundances at the peak locations: x(C2H) = 4
10-9; x(H2CO) = 6
10-10; x(SO) = 1
10-9;
x(HCN) = 6
10-9. Here we have assumed that the emission from all
molecules except CO originates in the high-density gas.
Based on Jansen et al. (1995), who propose the clumps to encompass 10% of the material along every line of sight, we estimate the clumps to provide for roughly half of the total column density for those molecules that exist in both phases. Hence, the resulting uncertainty in the derived abundances would not exceed a factor 2.
Since C2H and CO are hardly coexistent, the C2H abundance is probably underestimated by a factor of 3-10.
4 Discussion
![]() |
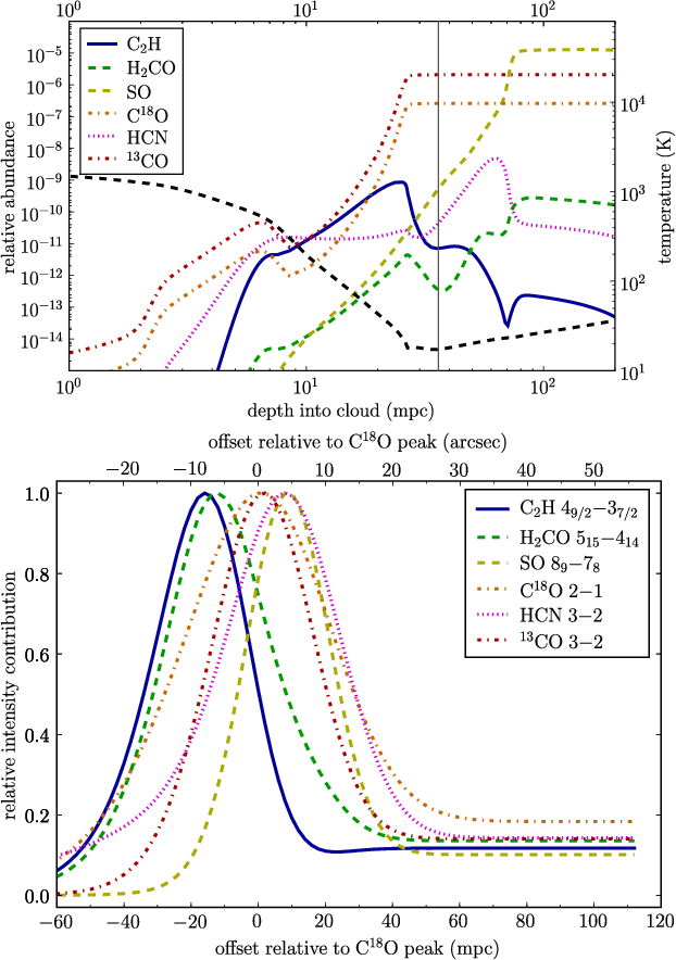
Figure 3: Top panel: model calculation of relative abundances as a function of depth into the cloud. The dashed black curve shows the temperature profile. The thin vertical line indicates the zeropoint of the horizontal scale in the bottom panel. Bottom panel: modeled relative intensity profiles in the direction perpendicular to the line of sight, convolved by the JCMT beam. In this panel, the zeropoint of the depth scale is set to the modeled C18O peak, at 36 mpc from the edge of the molecular cloud. |
| Open with DEXTER | |
To interpret our observations we compare them to the predictions from a PDR
model. Previous models of the Orion Bar do not present abundances for all six species in our data, so we use
the global conditions of the Bar (
3
104
,
cm-3, see Sect. 1) to construct a simple model using the KOSMA-
PDR code (Röllig et al. 2006). We refer to Röllig et al. (2007) for a comparative study of other PDR codes. To simulate the plane-parallel geometry of the Orion Bar we represent it by one side of a very large sphere. Starting from atomic abundances of
3.0
10-4,
1.4
10-4,
2.8
10-5 and
1.0
10-4 (see also Cubick et al. 2008, Table 3), the model
computes the equilibrium chemistry and temperature of the cloud using reaction rates from the UMIST database (Woodall et al. 2007). Based on the geometry in Fig. 1 of Jansen et al. (1995) we simulate the PDR as a layer of thickness 49 mpc where the Bar represents a part of the layer that is
parallel to the line of sight, so that its apparent depth is increased by a
factor 10 compared to its thickness.
We note that the critical densities are
107 cm-3 for all transitions in Table 1 except those of the CO isotopes, while the highest H2 density reported by Lis & Schilke (2003) is also 107 cm-3. Hence, to approximate the spatial distribution of the line emission, we assume optically thin LTE and weight the abundance profiles with a Boltzmann cutoff:
if
and
otherwise. Here
is a normalized intensity, x is abundance,
is the modeled local gas temperature (see Fig. 3, top panel),
is given in Table 1 and the normalization factor x0 is chosen from line to line.
The distribution is convolved with the JCMT beam at the appropriate frequencies to obtain the predicted relative intensity profiles (Fig. 3, bottom panel).
Table 1 compares modeled positions of the peak emission to fitted
peak positions in the observed profiles for each species. Overall
our simple PDR model matches the observed layering of C2H-H2CO-CO.
For H2CO the highest abundance occurs in the cold shielded material, but the warm outer layers dominate the emission due to the higher
for the observed transition.
There are also significant discrepancies between the model and the observations. (i) The model predicts that SO peaks deep in the cold material (at 8 mpc), following the distribution of HCN, not at the location where H2CO peaks (in front of CO) as is observed.
(ii) Conversely, the H2CO peak in both slices is observed closer to the peaks of the CO isotopes than to the C2H peak, while the model predicts H2CO to peak significantly closer to C2H.
(iii) For HCN the model peaks 5-9 mpc deeper than is observed and
(iv) the observations show an HCN emission wing toward the PDR surface which is weaker in the model.
(v) We find that the absolute abundance of HCN at the model peak is in agreement with the observations, while the model abundances of H2CO and C2H, respectively, are 2 and
4 times smaller than observed.
(vi) In addition, our modeled SO abundance is orders of magnitude larger than the observed value.
The underestimate of the C2H abundance predicted by our pure gas-phase model might be explained by C2H being formed via photo-destruction of PAH molecules, as proposed by Pety et al. (2005). This explains a detectable C2H abundance in the outer layers where the PAH emission peaks (Van der Werf et al. 1996).
Our modeled SO abundance is a factor 104 larger than observed. This is explained by the too high gas phase sulfur abundance of 2.8
10-5 used in the KOSMA-
model, which represents diffuse clouds and no depletion (Federman et al. 1993).
Recent estimates of cosmic sulfur abundance provide values as low as 1.4
10-5 (Asplund et al. 2005) and sulfur depletion factors in dense clouds may range
from 4 (Goicoechea et al. 2006) to 1000 (Tieftrunk et al. 1994). Depletion factors of several 103 would be required to match the Orion Bar observations with the current model. The low depletion seems not to apply to the entire Orion region, but to be specific for the Horsehead, which has a particularly low density.
The large observed abundance of H2CO might be explained by the evaporation of
molecules from warm (
30 K) dust grains. Based on reaction rates from
Woodall et al. (2007), the photo-dissociation lifetime for H2CO at
mag is only
10 yr, which introduces the need for a
continuous supply of H2CO, e.g., from grain surfaces (Herbst 2000). This is consistent with the suggestion by Leurini et al. (2006) that H2CO may originate primarily from the warm interclump medium.
Finally, the observed broad spatial profiles for HCN and 13CO (Fig. 2) may be explained by optical depth effects, since the optical depth inferred by RADEX is 5-10 for these molecules and <1 for the others. The different spatial distributions of the two CO isotopologs result mainly from the different beam sizes.
Future observations will test our hypothesis that grain surface chemistry plays a key role in PDRs. One such test will be JCMT-SLS observations of CH3OH in the Orion Bar: while Leurini et al. (2006) suggest that CH3OH traces the clumps and H2CO traces the interclump medium, both molecules are thought to be the products of CO hydrogenation on ice (Watanabe et al. 2004), so their spatial coincidence would mark a critical validation step. Other analysis will explore sulfur chemistry using sulfur-bearing species covered by the SLS, such as CS and SO2. Once completed, the SLS data set will enable studies of multiple transitions of various molecules, so that the excitation of molecules (as well as their velocity structure) can also be compared to models. In the longer term, (sub)millimeter-wave imaging spectroscopy of other Galactic PDRs is needed to establish how common grain chemistry is and how it depends on environment. Important tests will be spectral surveys with the HIFI instrument on board ESA's Herschel Space Observatory, which will target hundreds of molecular lines in many Galactic PDRs and allow a detailed picture of their chemistry to emerge.
Acknowledgements
The authors acknowledge the JCMT staff for their support, Markus Röllig for help with the PDR model, and Peter Schilke, Maryvonne Gerin, and an anonymous referee for their careful reading of the manuscript.
References
- Asplund, M., Grevesse, N., & Sauval, A. J. 2005, in Cosmic Abundances as Records of Stellar Evolution and Nucleosynthesis, ed. T. G. Barnes, III, & F. N. Bash, ASP-CS, 336, 25 (In the text)
- Batrla, W., & Wilson, T. L. 2003, A&A, 408, 231 [NASA ADS] [CrossRef] [EDP Sciences]
- Cubick, M., Stutzki, J., Ossenkopf, V., Kramer, C., & Röllig, M. 2008, A&A, 488, 623 [NASA ADS] [CrossRef] [EDP Sciences] (In the text)
- Federman, S. R., Sheffer, Y., Lambert, D. L., & Gilliland, R. L. 1993, ApJ, 413, L51 [NASA ADS] [CrossRef] (In the text)
- Goicoechea, J. R., Pety, J., Gerin, M., et al. 2006, A&A, 456, 565 [NASA ADS] [CrossRef] [EDP Sciences] (In the text)
- Herbst, E. 2000, in From Molecular Clouds to Planetary, ed. Y. C. Minh, & E. F. van Dishoeck, IAU Symp., 197, 147 (In the text)
- Hogerheijde, M. R., Jansen, D. J., & Van Dishoeck, E. F. 1995, A&A, 294, 792 [NASA ADS]
- Hollenbach, D. J., & Tielens, A. G. G. M. 1999, Rev. Mod. Phys., 71, 173 [NASA ADS] [CrossRef] (In the text)
- Jansen, D. J., Spaans, M., Hogerheijde, M. R., & Van Dishoeck, E. F. 1995, A&A, 303, 541 [NASA ADS] (In the text)
- Johnstone, D., Boonman, A. M. S., & van Dishoeck, E. F. 2003, A&A, 412, 157 [NASA ADS] [CrossRef] [EDP Sciences] (In the text)
- Kaufman, M. J., Wolfire, M. G., Hollenbach, D. J., & Luhman, M. L. 1999, ApJ, 527, 795 [NASA ADS] [CrossRef]
- Leurini, S., Rolffs, R., Thorwirth, S., et al. 2006, A&A, 454, L47 [NASA ADS] [CrossRef] [EDP Sciences] (In the text)
- Lis, D. C., & Schilke, P. 2003, ApJ, 597, L145 [NASA ADS] [CrossRef]
- Meijerink, R., & Spaans, M. 2005, A&A, 436, 397 [NASA ADS] [CrossRef] [EDP Sciences]
- Menten, K. M., Reid, M. J., Forbrich, J., & Brunthaler, A. 2007, A&A, 474, 515 [NASA ADS] [CrossRef] [EDP Sciences] (In the text)
- Ossenkopf, V., Röllig, M., Cubick, M., & Stutzki, J. 2007, in Molecules in Space and Laboratory, ed. J. L. Lemaire, & F. Combes (S. Diana Publ.), 95 (In the text)
- Pety, J., Teyssier, D., Fossé, D., et al. 2005, A&A, 435, 885 [NASA ADS] [CrossRef] [EDP Sciences] (In the text)
- Plume, R., Fuller, G. A., Helmich, F., et al. 2007, PASP, 119, 102 [NASA ADS] [CrossRef] (In the text)
- Röllig, M., Ossenkopf, V., Jeyakumar, S., Stutzki, J., & Sternberg, A. 2006, A&A, 451, 917 [NASA ADS] [CrossRef] [EDP Sciences] (In the text)
- Röllig, M., Abel, N. P., Bell, T., et al. 2007, A&A, 467, 187 [NASA ADS] [CrossRef] [EDP Sciences]
- Simon, R., Stutzki, J., Sternberg, A., & Winnewisser, G. 1997, A&A, 327, L9 [NASA ADS] (In the text)
- Sternberg, A., & Dalgarno, A. 1995, ApJS, 99, 565 [NASA ADS] [CrossRef]
- Tauber, J. A., Tielens, A. G. G. M., Meixner, M., & Goldsmith, P. F. 1994, ApJ, 422, 136 [NASA ADS] [CrossRef]
- Tieftrunk, A., Pineau des Forets, G., Schilke, P., & Walmsley, C. M. 1994, A&A, 289, 579 [NASA ADS] (In the text)
- Tielens, A. G. G. M., Meixner, M. M., Van der Werf, P. P., et al. 1993, Science, 262, 86 [NASA ADS] [CrossRef]
- Van der Tak, F. F. S., Black, J. H., Schöier, F. L., Jansen, D. J., & Van Dishoeck, E. F. 2007, A&A, 468, 627 [NASA ADS] [CrossRef] [EDP Sciences] (In the text)
- Van der Werf, P. P., Stutzki, J., Sternberg, A., & Krabbe, A. 1996, A&A, 313, 633 [NASA ADS]
- Walmsley, C. M., Natta, A., Oliva, E., & Testi, L. 2000, A&A, 364, 301 [NASA ADS]
- Watanabe, N., Nagaoka, A., Shiraki, T., & Kouchi, A. 2004, ApJ, 616, 638 [NASA ADS] [CrossRef] (In the text)
- Wilson, T. L., & Rood, R. 1994, ARA&A, 32, 191 [NASA ADS] [CrossRef] (In the text)
- Woodall, J., Agúndez, M., Markwick-Kemper, A. J., & Millar, T. J. 2007, A&A, 466, 1197 [NASA ADS] [CrossRef] [EDP Sciences] (In the text)
- Young Owl, R. C., Meixner, M. M., Wolfire, M., Tielens, A. G. G. M., & Tauber, J. 2000, ApJ, 540, 886 [NASA ADS] [CrossRef]
Footnotes
- ...
Telescope
- The James Clerk Maxwell Telescope is operated by The Joint Astronomy Centre on behalf of the Science and Technology Facilities Council of the United Kingdom, the Netherlands Organisation for Scientific Research, and the National Research Council of Canada.
All Tables
Table 1: Observed molecular lines.
All Figures
![]() |
Figure 1:
Images of molecular emission, observed with the JCMT toward the Orion
Bar of the species and transitions listed in Table 1. Line
intensities are integrated over 5-8 km s-1, depending on the line width. The
C2H transition shown here is the 49/2-37/2 transition; the
other transition shows a similar spatial distribution. Contour levels are
drawn at 10, 20, ..., 90% of the maximum integrated intensity for every
map: 15.9 K km s-1 for C2H, 10.4 for H2CO, 9.1 for SO, 93.5 for C18O,
400.0 for HCN, and 196.6 for 13CO. Note that the measured maximum
|
| Open with DEXTER | |
| In the text | |
![]() |
Figure 2:
Profiles of molecular emission along slices perpendicular to the
ionization front at position angle 225 |
| Open with DEXTER | |
| In the text | |
![]() |
Figure 3: Top panel: model calculation of relative abundances as a function of depth into the cloud. The dashed black curve shows the temperature profile. The thin vertical line indicates the zeropoint of the horizontal scale in the bottom panel. Bottom panel: modeled relative intensity profiles in the direction perpendicular to the line of sight, convolved by the JCMT beam. In this panel, the zeropoint of the depth scale is set to the modeled C18O peak, at 36 mpc from the edge of the molecular cloud. |
| Open with DEXTER | |
| In the text | |
Copyright ESO 2009
Current usage metrics show cumulative count of Article Views (full-text article views including HTML views, PDF and ePub downloads, according to the available data) and Abstracts Views on Vision4Press platform.
Data correspond to usage on the plateform after 2015. The current usage metrics is available 48-96 hours after online publication and is updated daily on week days.
Initial download of the metrics may take a while.
![\begin{figure}
\par\includegraphics[angle=90,width=9cm,clip]{1391fg1.eps}
\end{figure}](/articles/aa/full_html/2009/16/aa11391-08/Timg25.gif)
values across the northeast slices (Table ![\begin{figure}
\par\includegraphics[width=8.8cm,clip]{1391fg2a.eps}\par\includegraphics[width=8.8cm,clip]{1391fg2b.eps}
\end{figure}](/articles/aa/full_html/2009/16/aa11391-08/Timg28.gif)
(see arrows in Fig.
,
)
for the northeast slice and (
,
)
for the southwest slice.![\begin{figure}
\par\includegraphics[width=8.8cm,clip]{1391fg3a.eps}\par\includegraphics[width=8.8cm,clip]{1391fg3b.eps}
\end{figure}](/articles/aa/full_html/2009/16/aa11391-08/Timg32.gif)