| Issue |
A&A
Volume 498, Number 1, April IV 2009
|
|
|---|---|---|
| Page(s) | 89 - 94 | |
| Section | Extragalactic astronomy | |
| DOI | https://doi.org/10.1051/0004-6361/200811571 | |
| Published online | 24 February 2009 | |
A&A 498, 89-94 (2009)
The redshift and afterglow of the extremely energetic gamma-ray burst GRB 080916C
J. Greiner1 - C. Clemens1 - T. Krühler1,2 - A. von Kienlin1 - A. Rau3 - R. Sari4 - D. B. Fox5 - N. Kawai6 - P. Afonso1 - M. Ajello7 - E. Berger8 - S. B. Cenko9 - A. Cucchiara5 - R. Filgas1 - S. Klose10 - A. Küpcü Yoldas11 - G. G. Lichti1 - S. Löw1 - S. McBreen1,12 - T. Nagayama13 - A. Rossi10 - S. Sato14 - G. Szokoly1,15 - A. Yoldas1 - X.-L. Zhang1
1 - Max-Planck-Institut für extraterrestrische Physik, Giessenbachstrasse 1, 85748 Garching, Germany
2 - Universe Cluster, Technische Universität München, Boltzmannstraße 2, 85748 Garching, Germany
3 - Optical Observatories, California Inst. of Technology,
1200 E California Blvd, Pasadena, CA 91125, USA
4 - Dept. of Theor. Astrophysics, California Inst. of Technology, 1200 East California Blvd., Pasadena, CA 91125, USA
5 - Department of Astronomy & Astrophysics, Pennsylvania State University, 525 Davey Lab, University Park, PA 16802, USA
6 - Dept. of Physics, Tokyo Inst. of Technology, 2-12-1 Ookayama, Meguro-ku, Tokyo 152-8551, Japan
7 - SLAC/KIPAC, 2575 Sand Hill Road, Menlo Park, CA 94025, USA
8 - Harvard University, 60 Garden Street, Cambridge, MA 02138, USA
9 - Department of Astronomy, University of California, Berkeley, CA 94720, USA
10 - Thüringer Landessternwarte Tautenburg, Sternwarte 5, 07778 Tautenburg, Germany
11 - ESO, Karl-Schwarzschild-Str. 2, 85740 Garching, Germany
12 - School of Physics, University College Dublin, Belfield, Dublin 4, Ireland
13 - Dept. of Astronomy, Kyoto University, Sakyo-ku, Kyoto 606-8502, Japan
14 - Department of Astrophysics, Nagoya University, Furo-cho, Chikusa-ku, Nagoya 464-8602, Japan
15 - Eötvös Univ., 1117 Budapest, Pazmany P. stny. 1/A, Hungary
Received 22 December 2008 / Accepted 7 February 2009
Abstract
Context. The detection of GeV photons from gamma-ray bursts (GRBs) has important consequences for the interpretation and modelling of these most-energetic cosmological explosions. The full exploitation of the high-energy measurements relies, however, on accurate knowledge of the distance to the events.
Aims. Here we report on the discovery of the afterglow and subsequent redshift determination of GRB 080916C, the first GRB detected by the Fermi Gamma-Ray Space Telescope with high significance detection of photons at energies >0.1 GeV.
Methods. Observations were done with the 7-channel ``Gamma-Ray Optical and Near-infrared Detector'' (GROND) at the 2.2 m MPI/ESO telescope, the SIRIUS instrument at the Nagoya-SAAO 1.4 m telescope in South Africa, and the GMOS instrument at Gemini-S.
Results. The afterglow photometric redshift of
,
based on simultaneous 7-filter observations with GROND, places GRB 080916C among the top 5% most distant GRBs and makes it the most energetic GRB known to date. The detection of GeV photons from such a distant event is unexpected because of the predicted opacity due to interaction with the extragalactic background light. The observed gamma-ray variability in the prompt emission, together with the redshift, suggests a lower limit for the Lorentz factor of the ultra-relativistic ejecta of
.
This value rivals any previous measurements of
in GRBs and strengthens the extreme nature of GRB 080916C.
Key words: techniques: photometric - gamma rays: bursts
1 Introduction
Long-duration gamma-ray bursts (GRBs) are the high-energy
signatures of the death of some massive stars, and they emit
the bulk of
their radiation in the 300-800 keV band. In a few events, emission up to
100 MeV has been detected, e.g., with SMM (Harris & Share 1998), COMPTEL (Hoover et al. 2005), EGRET (Kaneko et al. 2008), and recently with AGILE (Giuliani et al. 2008). These high-energy photons offer unique access to the physics of GRBs. Firstly, the shape of the spectrum provides direct information about the gamma-ray emission mechanism (Pe'er et al. 2007; Giannios 2008).
Secondly, high-energy photons can place tight constraints on the Lorentz
factor of the ejecta via the pair-production threshold. Furthermore, in
some cases, the origin of the high-energy component differs from that of the low-energy emission (e.g., GRB 941017; Gonzalez et al. 2003) or the high-energy photons arrive with a significant time delay (e.g., >1 h in GRB 940217; Hurley et al. 1999). The formation of these properties is far from understood and can only be addressed with an increasing number
of bursts with GeV detections. Finally, the search for signatures of absorption against the intergalactic UV background light using the shape of the high-energy spectrum, as well as the search for quantum gravity dispersion effects over cosmic distances in the light curve
imply much broader scientific interest (Abdo et al. 2009).
An important prerequisite to any interpretation of the GeV component of a burst is accurate knowledge of the distance. Only few of the previously detected GRBs with high-energy emission had identified optical afterglows, as the localization capabilities of high-energy missions were insufficient to facilitate rapid follow-up observations.
![]() |
Figure 1:
i'-band image of the afterglow of GRB 080916C obtained with the
7-channel imager GROND at the 2.2 m telescope on La Silla / Chile 32 h after the burst.
The circle denotes the Swift/XRT error box. The local standard stars of Table 2 are labeled. A zoom into the innermost region is shown in the bottom-right, with the afterglow (AG) and a galaxy (G) 4
|
| Open with DEXTER | |
![]() |
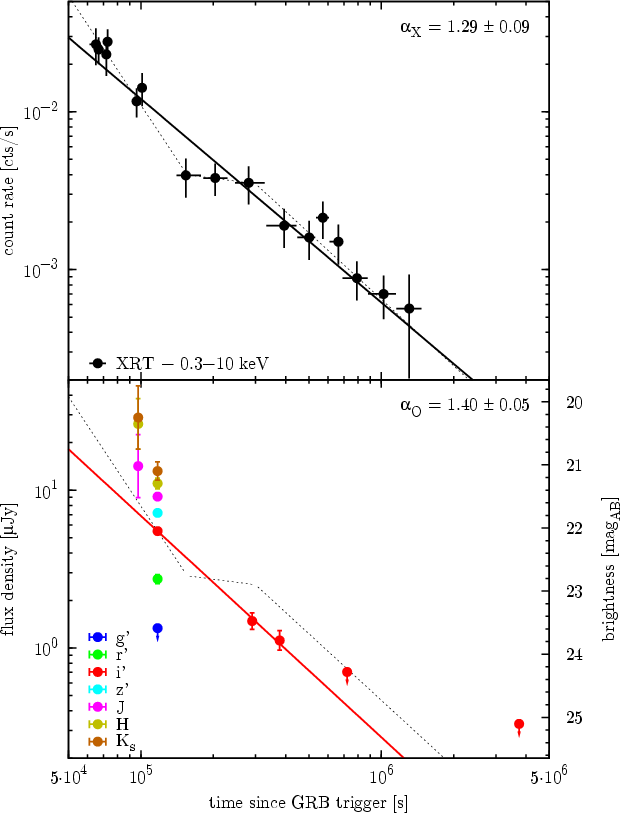
Figure 2:
X-ray (upper panel; Evans et al. 2007) and
optical/NIR light curve (lower panel) of the GRB 080916C afterglow. The solid lines mark the best fit power laws to the X-ray and i'-band data (labeled in the upper right
corner). The power law segments as given by Swift (Stratta et al. 2008) are shown as dashed lines; they were scaled to the i'-band in the lower panel to show that this 3-segment power law does not fit the optical data, i.e. the apparent X-ray plateau phase is not detected in the optical data. However, the X-ray light curve can also be fit with a single power law, with only marginally larger
|
| Open with DEXTER | |
The recently launched Fermi Gamma-Ray Space Telescope has the ability to localise high-energy events using the Large Area Telescope (LAT) and to measure spectra over a wide energy range in combination with the Gamma-Ray Monitor (GBM) (8 keV to 300 GeV). The Swift satellite (Gehrels et al. 2004) can also slew rapidly to LAT locations and provide positions with arcsec-accuracy by the detection of the X-ray afterglow, facilitating and dramatically enhancing the likelihood of a distance measurement.
The bright GRB 080916C was detected by the GBM on 2008 Sep. 16th, at 00:12:45 UT (Goldstein & van der Horst 2008). The burst was located in in the field of view of the LAT and emission above 100 MeV was quickly localised (Tajima et al. 2008). Follow-up observations with the Swift X-ray telescope (XRT) provided an X-ray afterglow candidate (Kennea 2008) which subsequently led to the discovery of a faint optical/NIR source with GROND (Clemens et al. 2008a) and SIRIUS (Nagayama 2008). Further monitoring in both X-rays (Stratta et al. 2008) and in the optical (Clemens et al. 2008b) established the fading and confirmed the source to be the afterglow of GRB 080916C.
GRB 080916C was also detected by other satellites in addition to Fermi
(Hurley et al. 2008): AGILE (MCAL, SuperAGILE, and ACS), RHESSI, INTEGRAL
(SPI-ACS), Konus-Wind, and MESSENGER. The preliminary analysis of the GBM integrated spectrum over a duration (T90) of 66 s results in a best fit Band function (Band et al. 1993) with
keV, a low-energy photon index
,
and a high-energy index
,
giving a fluence of
erg cm-2 in the 8 keV-30 MeV range (van der Horst & Goldstein 2008). The spectral results reported by RHESSI and Konus-Wind (Golenetskii et al. 2008) are in broad agreement.
Table 1: Log of the observations.
Table 2:
Local photometric standards within 2
of the GRB.
The measurements of the high-energy emission from GRB 080916C by the instruments of the Fermi Gamma-Ray Space telescope are described in Abdo et al. (2009). Here we report on the discovery of the optical/NIR afterglow of GRB 080916C, the measurement of its redshift, and consequently on the recognition of its extreme explosion energy and the large Lorentz factor of its relativistic outflow.
2 The GRB afterglow
The first ground-based imaging was obtained
with the Simultaneous 3-colour (JHK) InfraRed Imager for Unbiased
Survey (SIRIUS, Nagayama et al. 2003)
on the Nagoya-SAAO 1.4 m telescope (IRSF). GROND, a simultaneous 7-channel imager (Greiner et al. 2009) mounted at the 2.2 m MPI/ESO telescope at La Silla (Chile), started
observing about 30.75 h after the GRB. The imaging sequence consisted
of a series of sixteen 375 s integrations in the g'r'i'z' channels with
gaps of about 45 s. In parallel, the
channels were operated with
10 s integrations, separated by 5 s. Late-time imaging was obtained with the Gemini-South telescope + Gemini Multi-Object Spectrograph (GMOS-South) on 29 Oct. 2008, taking
eight 180 s exposures. Data reduction was done using IRAF routines.
Photometric calibration of the GROND
g',r',i',z' bands was performed
using the spectrophotometric standard stars SA100-241 and SA97-249,
while that of
was done against 2MASS (Table 2).
The magnitudes of the selected 2MASS stars were transformed into the GROND filter system and finally into AB magnitudes using J(AB) = J(Vega) + 0.91,
,
K (AB) = K(Vega) + 1.81 (Greiner et al. 2009). Systematic errors are
0.02 mag for g'r'i'z', and
0.05 mag for
.
A comparison of GROND observations from Sep. 17 and 19, 2008 clearly
reveals a fading source inside the Swift/XRT error box
(Fig. 1), with coordinates RA (J2000.0) = 07
59
23
32, Dec (J2000.0) = -56
38
18
0 (0
5 error). The decay between 1.3 to 4 d after the GRB is well described by a single power law with
(Fig. 2), compatible within the errors to the X-ray decay slope
.
A spectral energy distribution (SED) was constructed using the GROND magnitudes from the first night of observations (Table 1). The photometrically calibrated data (Table 2) were corrected for the Galactic foreground reddening of
E(B-V) = 0.32 mag
(Schlegel et al. 1998) corresponding to an extinction of
AV = 0.98 mag and
fit by an intrinsic power law (
)
plus three
different dust models, as well as without extinction (Table 3). The i' to
band data are best fit with a power law slope of
and no host-intrinsic extinction. The i' to r' band measurements deviate significantly and can be
best explained with a Ly-
break at
(see Table 3 and Fig. 3, and the rejected alternative
explanations given in the figure caption). The redshift values resulting from all the fitted
models are compatible, and the redshift error includes already the dependence
on the error of the photon index as well as foreground-extinction correction
(Fig. 4). The g'-band upper limit is consistent with the high-redshift result, though it is not deep enough to constrain the fit.
Table 3: Results of the spectral energy distribution fitting without dust and with dust models of various types.
![]() |
Figure 3:
Spectral energy distribution of the afterglow, derived from the coaddition of all GROND exposures from the first night (Sep. 17, 2008). The SED is best fit with a power law of spectral index
|
| Open with DEXTER | |
![]() |
Figure 4:
Contour plot of the foreground |
| Open with DEXTER | |
As an alternative interpretation, the r'-band drop could be attributed to reddening in the host galaxy, caused either by substantial UV absorption or a strong broad absorption feature like that at 2175 Å (Krühler et al. 2008). However, the resulting host extinction corrected spectral slope of
would be incompatible with most theoretical models (Sari et al. 1998) and with the X-ray spectrum. The lack of curvature in the
SED, and its extrapolation to the X-ray data, provide additional arguments
against host extinction. Similarly, a spectral break cannot
easily explain the r'-i' colour without redshift as the difference in
power law index would be 2.5, much larger than predicted by
theory (Sari et al. 1998). In addition, the steep power law would
significantly underpredict the observed X-ray fluxes.
The inset of Fig. 3 shows that the best-fit GROND power law
connects without break or offset to the Swift/XRT data, supporting the correct
modelling of the GROND SED.
No X-ray measurements of the afterglow are available during the time of
the initial GROND epoch. However, we can use the SIRIUS
-band brightness as well as a back-extrapolation of the
afterglow decay slope to re-scale the GROND SED to the earlier time
when XRT measurements are available. The Swift/XRT spectrum
from 61-102 ks post-burst has been reported to be well fit with an
absorbed power law spectrum with photon index
=
2.1
+0.9-0.7 and a column density of
cm-2 (Stratta et al. 2008). Using the result of no excess extinction, we re-fit the X-ray spectrum with the column density fixed to the galactic foreground value (
cm-2), and obtain
,
consistent with the slope of the GROND SED (note that the spectral index
is related to the photon index
from the X-ray spectral fitting by
). The GROND and XRT combined SED is compatible with a single power law over the complete spectral range (see inset of Fig. 3).
![]() |
Figure 5:
Prompt emission light curve in the 80 keV-30 MeV energy band as measured with INTEGRAL SPI-ACS at 50 ms resolution. The inset shows a zoom of the main peak. Variability on time scale as short as 100 ms is visible - we measure several 6 |
| Open with DEXTER | |
No counterpart or host galaxy was detected seven weeks after the
burst at the position of the optical/NIR afterglow, with a two-sigma
upper limit of i' > 25.1 mag within a 1.1
-radius aperture
centred at the afterglow position. This is not surprising given the
brightness distribution of the known GRB host galaxies (Savaglio et al. 2009;
the brightness limit places a loose lower limit on the redshift of z>1.
We note that the nearest object visible on our images is a galaxy
at 4
distance to the East. We obtained an optical spectrum of this galaxy beginning at 05:00 UT on 7 November 2008, using the Gemini-South telescope +GMOS-S. We obtained two spectra of 900 s each with the R400 grating centred at 8000 Å, a second-order blocking filter in place, and with the slit oriented to provide simultaneous coverage of the afterglow position.
Observations were carried out at relatively high airmass, with
1.7
seeing and variable sky background, and consist of two
spectra of 900 s each. Bias subtraction, flat-fielding, and
wavelength calibration were performed using the GMOS reduction package
under the IRAF environment. The wavelength solution was derived using a CuAr lamp spectrum taken immediately after the science spectra. Following extraction, the two one-dimensional spectra were coadded to increase signal-to-noise, achieving a median S/N of 15.8 over the
6000-10 000 Å wavelength range. We clearly detect the continuum of the resolved galaxy at wavelengths greater than 6100 Å, placing an upper limit on the redshift of this galaxy
of z < 4.0, based on the absence of Lyman-alpha absorption. This is below the 99% confidence range for the redshift of GRB 080916C (Fig. 4), and thus this galaxy is not related to this burst.
3 Discussion and conclusions
It is widely believed that long GRBs are produced in the gravitational collapse of a massive star into a neutron star or black hole. It has been argued in the past that the observed total energy in GRBs requires that the emission is relativistic. GRB 080916C is unrivaled
by all previous events in this respect: with its observed fluence of
erg cm-2 in the 8 keV-30 MeV band (van der Horst & Goldstein 2008), and redshift of
,
its total isotropic energy release is a staggering
erg, corresponding to 4
!
The afterglow decay slope is unlikely a post-jet break decay, which allows one to assume that the jet break occurs after the final XRT observations at
s. A break after this time would place a lower limit on the jet half-opening angle of 6
1
0
1 (ISM surrounding with density of 1 cm-3) or 2
2
0
1 (wind medium), which in turn implies lower limits for the beaming-corrected energy release of
erg (ISM) or
erg (wind). While we cannot distinguish between these two cases, we note that the energy for the ISM case is extremely
high, exceeding the previous record holders GRB 080721 (
erg, Starling et al. 2009), 990123 (
erg, Kulkarni et al. 1999) and 050904 (
erg, Tagliaferri et al. 2005) by several factors. For the wind medium case, a jet break is expected to be very smooth, and might have started near the end of our coverage; thus the real opening angle may not differ much from our lower limit.
Using the
relations it is most likely that we are in the pre-jet break phase when the first GROND data were taken. Even though the error bars of
are large, the data are best compatible with a wind model and the cooling frequency above the X-ray band.
If the emission were non-relativistic, the required photon field at the burst location would be optically thick to pair-production (``compactness problem''; Ruderman 1975). It has been recognised that in addition to the annihilation of photons into electron/position pairs, the scattering of photons by either the electron or the positron created in the annihilation process, contributes to the optical depth of high-energy photons (Lithwick & Sari 2001). In fact, this latter limit is in many cases more constraining than the pure annihilation limit.
The most sensitive instrument that detected high-energy photons from
GRB 080916C was the anti-coincidence system (ACS) of the spectrometer onboard INTEGRAL (SPI) (Rau et al. 2005). At its native time resolution SPI-ACS recorded at peak more than 1200 counts per 50 ms in the 80 keV-30 MeV energy range. This allowed the detection of variability on time scales as short as 100 ms with high statistical significance (see inset of Fig. 5). Using Eq. (9) of Lithwick & Sari (2001) and the photon index of
as measured from GBM (van der Horst & Goldstein 2008), we estimate a lower limit on the Lorentz factor of the ejecta of
.
The previously highest limit on the Lorentz factor of a GRB with measured (rather than adopted) redshift using this method has been
(Lithwick & Sari 2001) for GRB 971214 at z=3.42, for which the additional assumption had to be made that the photon spectrum actually extended to very high energies.
Over the last two years, an alternative method to determine the initial Lorentz factor has been employed. This method is based on observations of the rising part of optical afterglows to determine when the blast wave has decelerated; the corresponding Lorentz factor at the time of the deceleration is expected to be half of the initial Lorentz factor
(Sari & Piran 1999). Assuming an ISM type environment, this method provided
for GRB 060418 and 060607 (Molinari et al. 2007),
for GRB 070802 (Krühler et al. 2008),
for
GRB 080129 (Greiner et al. 2009),
for GRB 071031 (Krühler et al. 2009) and
-370 for GRB 060605 (Ferrero et al. 2009). Yet another method is based on the evolution
of the thermal emission component in the prompt emission of GRBs (Pe'er et al. 2007), and also provides similarly low values of
.
It is interesting to note that our lower limit on
for GRB 080916C is substantially higher than values determined by other methods. Whether or not this is related to the GeV emission in GRB 080916C remains to be seen.
The high signal-to-noise ratio of the SPI-ACS data is also ideal for
estimating the variability of the light curve, a quantity that has been shown to correlate with the isotropic equivalent peak luminosity,
.
Following the method described in
Li & Paczynski (2006) and using a smoothing time scale of 13.7 s, we derived a variability index of V=-2.26 and a resulting
erg s-1 (80 keV-30 MeV). Using the observed 256 ms peak flux from Konus (Golenetskii et al. 2008), we derive
erg s-1 (20 keV-10 MeV).
For the future, the synergy of the detection of GRBs with GeV emission coupled with the ability to localise and determine redshifts for these events will be extremely interesting as both
-determination methods can be applied, providing a consistency check of our picture of the GRB and afterglow emission process.
Acknowledgements
T.K. acknowledges support by the DFG cluster of excellence ``Origin and Structure of the Universe''. Part of the funding for GROND (both hardware as well as personnel) was generously granted from the Leibniz-Prize to Prof. G. Hasinger (DFG grant HA 1850/28-1). Av.K. acknowledges funding through DLR 50 QV 0301, and X.L.Z. through DLR 50 OG 0502. S.M.B. acknowledges an EU Marie Curie Fellowship in Framework 6. This work made use of data supplied by the UK Swift Science Data Centre at the University of Leicester. We thank X. Wu for a discussion oon therelation.
Facilities: Max Planck: 2.2 m (GROND), Gemini: South (GMOS), SAAO: Nagoya (SIRIUS), INTEGRAL (SPI-ACS).
References
- Abdo, A. A., Ackermann, M., Ajello, M., et al. 2009, Science, in press (In the text)
- Band, D., Matteson, J., Ford, L., et al. 1993, ApJ, 413, 281 [NASA ADS] [CrossRef] (In the text)
- Clemens, C., Rossi, A., Greiner, J., et al. 2008a, GCN, 8257 (In the text)
- Clemens, C., Rossi, A., Greiner, J., et al. 2008b, GCN, 8272 (In the text)
- Evans, P. A., Beardmore, A. P., Page, K. L., et al. 2007, A&A, 469, 379 [NASA ADS] [CrossRef] [EDP Sciences] (In the text)
- Ferrero, P., Klose, S., Kann, D. A., et al. 2009, A&A, in press (In the text)
- Gehrels, N., Chincarini, G., Giommi, P., et al. 2004, ApJ, 621, 558 [NASA ADS] [CrossRef] (In the text)
- Giannios, D. 2008, A&A, 488, L55 [NASA ADS] [CrossRef] [EDP Sciences] (In the text)
- Giuliani, A., Mereghetti, S., Fornari, F., et al. 2008, A&A, 491, L25 [NASA ADS] [CrossRef] [EDP Sciences] (In the text)
- Goldstein, A., & van der Horst, A. 2008, GCN, 8245 (In the text)
- Golenetskii, S., Aptekar, R., Mazets, E., et al. 2008, GCN, 8258 (In the text)
- Gonzalez, M. M., Dingus, B. L., Kaneko, Y., et al. 2003, Nature, 424, 749 [NASA ADS] [CrossRef] (In the text)
- Greiner, J., Bornemann, W., Clemens, C., et al. 2008, PASP, 120, 405 [NASA ADS] [CrossRef] (In the text)
- Greiner, J., Krühler, T., McBreen, S., et al. 2009, ApJ, 693, 1912 [NASA ADS] [CrossRef] (In the text)
- Harris, M. J., & Share, G. H. 1998, ApJ, 494, 724 [NASA ADS] [CrossRef] (In the text)
- Hoover, A. S., Kippen, R. M., & McConnell, M. L. 2005, Il Nuovo Cimento C, 28, 825 [NASA ADS] (In the text)
- Hurley, K., Dingus, B. L., Mukherjee, R., et al. 1994, Nature, 372, 652 [NASA ADS] [CrossRef]
- Hurley, K., Goldsten, J., Golenetskii, S., et al. 2008, GCN, 8251 (In the text)
- Kaneko, Y., Gonzalez, M. M., Preece, R. D., et al. 2008, ApJ, 677, 1168 [NASA ADS] [CrossRef] (In the text)
- Kennea, J. A. 2008, GCN, 8253 (In the text)
- Krühler, T., Küpcü Yoldas, A., Greiner, J., et al. 2008, ApJ, 685, 376 [NASA ADS] [CrossRef] (In the text)
- Krühler, T., Greiner, J., McBreen, S., et al. 2009, ApJ, in press [arXiv:0903.1184]
- Kulkarni, S. R., Djorgovski, S. G., Odewahn, S. C., et al. 1999, Nature, 398, 389 [NASA ADS] [CrossRef] (In the text)
- Li, L.-X., & Paczynski, B. 2006, MNRAS, 366, 219 [NASA ADS] (In the text)
- Lithwick, Y., & Sari, R. 2001, ApJ, 555, 540 [NASA ADS] [CrossRef] (In the text)
- Molinari, E., Vergani, S. D., Malesani, D., et al. 2007, A&A, 469, L13 [NASA ADS] [CrossRef] [EDP Sciences] (In the text)
- Nagayama, T., Nagashima, C., Nakajima, Y., et al. 2003, Proc. SPIE, 4841, 459 [NASA ADS] (In the text)
- Nagayama, T. 2008, GCN, 8274 (In the text)
- Pe'er, A., Ryde, F., Wijers, R. A. M. J., et al. 2007, ApJ, 664, L1 [NASA ADS] [CrossRef] (In the text)
- Rau, A., Kienlin, A. V., Hurley, K., & Lichti, G. G. 2005, A&A 438, 1175
- Ruderman, M. 1975, Ann. NY Acad. Sci., 262, 164 [NASA ADS] [CrossRef] (In the text)
- Sari, R., & Piran, T. 1999, ApJ, 520, 641 [NASA ADS] [CrossRef] (In the text)
- Sari, R., Piran, T., & Narayan, R. 1998, ApJ, 497, L17 [NASA ADS] [CrossRef] (In the text)
- Savaglio, S., Glazebrook, K., & Le Borgne, D. 2009, ApJ, 691, 182 [NASA ADS] [CrossRef] (In the text)
- Schlegel, D., Finkbeiner, D., & Davis, M. 1998, ApJ, 500, 525 [NASA ADS] [CrossRef] (In the text)
- Starling, R. L. C., Rol, E., van der Horst, A. J., et al. 2009, MNRAS, submitted, [arXiv:0812.2490] (In the text)
- Stratta, G., Perri, M., Preger, B., et al. 2008, GCN Report, 166.1 (In the text)
- Tagliaferri, G., Antonelli, L. A., Chincarini, G., et al. 2005, A&A, 443, L1 [NASA ADS] [CrossRef] [EDP Sciences] (In the text)
- Tajima, H., Bregeon, J., Chiang, J., et al. 2008, GCN, 8246 (In the text)
- van der Horst, A., & Goldstein, A. 2008, GCN, 8278 (In the text)
All Tables
Table 1: Log of the observations.
Table 2:
Local photometric standards within 2
of the GRB.
Table 3: Results of the spectral energy distribution fitting without dust and with dust models of various types.
All Figures
![]() |
Figure 1:
i'-band image of the afterglow of GRB 080916C obtained with the
7-channel imager GROND at the 2.2 m telescope on La Silla / Chile 32 h after the burst.
The circle denotes the Swift/XRT error box. The local standard stars of Table 2 are labeled. A zoom into the innermost region is shown in the bottom-right, with the afterglow (AG) and a galaxy (G) 4
|
| Open with DEXTER | |
| In the text | |
![]() |
Figure 2:
X-ray (upper panel; Evans et al. 2007) and
optical/NIR light curve (lower panel) of the GRB 080916C afterglow. The solid lines mark the best fit power laws to the X-ray and i'-band data (labeled in the upper right
corner). The power law segments as given by Swift (Stratta et al. 2008) are shown as dashed lines; they were scaled to the i'-band in the lower panel to show that this 3-segment power law does not fit the optical data, i.e. the apparent X-ray plateau phase is not detected in the optical data. However, the X-ray light curve can also be fit with a single power law, with only marginally larger
|
| Open with DEXTER | |
| In the text | |
![]() |
Figure 3:
Spectral energy distribution of the afterglow, derived from the coaddition of all GROND exposures from the first night (Sep. 17, 2008). The SED is best fit with a power law of spectral index
|
| Open with DEXTER | |
| In the text | |
![]() |
Figure 4:
Contour plot of the foreground |
| Open with DEXTER | |
| In the text | |
![]() |
Figure 5:
Prompt emission light curve in the 80 keV-30 MeV energy band as measured with INTEGRAL SPI-ACS at 50 ms resolution. The inset shows a zoom of the main peak. Variability on time scale as short as 100 ms is visible - we measure several 6 |
| Open with DEXTER | |
| In the text | |
Copyright ESO 2009
Current usage metrics show cumulative count of Article Views (full-text article views including HTML views, PDF and ePub downloads, according to the available data) and Abstracts Views on Vision4Press platform.
Data correspond to usage on the plateform after 2015. The current usage metrics is available 48-96 hours after online publication and is updated daily on week days.
Initial download of the metrics may take a while.
![\begin{figure}
\par\includegraphics[width=8.8cm,clip]{1571fig1.ps}
\end{figure}](/articles/aa/full_html/2009/16/aa11571-08/Timg14.gif)
![\begin{figure}
\par\includegraphics[width=8.8cm,clip]{1571fig2.ps}
\end{figure}](/articles/aa/full_html/2009/16/aa11571-08/Timg15.gif)
,
as compared to the 3-segment powerlaw, which results in
![\begin{figure}
\par\includegraphics[angle=270,width=12.5cm,clip]{1571fig3.ps}
\end{figure}](/articles/aa/full_html/2009/16/aa11571-08/Timg90.gif)
,
no extinction, and Ly![\begin{figure}
\par\includegraphics[angle=0,width=7cm,clip]{1571fig4.ps}
\end{figure}](/articles/aa/full_html/2009/16/aa11571-08/Timg91.gif)
(upper panel)
and spectral index (lower panel) from the spectral energy distribution fit against the redshift. This shows that the photo-z determination is stable against uncertainties in the correction for the galactic foreground extinction, as well as the powerlaw index.
The 68%, 90% and 99% confidence contours are plotted. The shaded area in the upper panel shows the ![\begin{figure}
\par\includegraphics[width=12cm,clip]{1571fig5.ps}
\end{figure}](/articles/aa/full_html/2009/16/aa11571-08/Timg100.gif)
flux variations relative to the neighbouring data bins on the 100 ms time scale.