| Issue |
A&A
Volume 498, Number 1, April IV 2009
|
|
|---|---|---|
| Page(s) | 95 - 107 | |
| Section | Galactic structure, stellar clusters, and populations | |
| DOI | https://doi.org/10.1051/0004-6361/20078472 | |
| Published online | 05 March 2009 | |
Stellar populations in the Galactic bulge
Modelling the Galactic bulge with TRILEGAL
E. Vanhollebeke1 - M. A. T. Groenewegen2,1 - L. Girardi3
1 - Instituut voor Sterrenkunde, K.U. Leuven, Celestijnenlaan 200D, 3001 Leuven, Belgium
2 - Royal Observatory of Belgium, Ringlaan 3, 1180 Brussels, Belgium
3 - Padova Osservatorio Astronomia, Vicolo dell'Osservatorio 5, 35122 Padova, Italy
Received 13 August 2007 / Accepted 30 January 2009
Abstract
Aims. The aim of this paper is to study the characteristics of the stellar populations and the metallicity distribution in the Galactic bulge. We study the entire stellar population, but also retrieve information using only the red clump stars.
Methods. To study the characteristics of the stellar populations and the metallicity distribution in the Galactic bulge, we compared the output of the galaxy model TRILEGAL, which implements the Binney et al. (1997, MNRAS, 288, 365) bulge model, with observations from 2MASS and OGLE-II. A minimisation procedure has been set up to retrieve the best fitting model with different stellar populations and metallicity distributions.
Results. Using the TRILEGAL code we find that the best model resembling the characteristics of the Galactic bulge is a model with the distance to the Galactic centre
kpc, the major axis ratios of the bar
,
and the angle between the Sun-centre line and the bar
.
Using these parameters the best model is found for a burst of 8 Gyr, although it is almost indistinguishable from models with ages of 9 and 10 Gyr. The metallicity distribution found is consistent with metallicity distributions in the literature based on spectroscopic results.
Key words: Galaxy: bulge - Galaxy: structure - stars: distances - Galaxy: fundamental parameters - stars: Hertzsprung Russell (HR) and C-M diagrams
1 Introduction
The central part of our Milky Way Galaxy (MWG) consists of the Galactic bulge (GB), the central part of the halo, and the Galactic centre (GC). Over the years, several studies have tried to understand the characteristics of these parts of the MWG, for example about the formation history, the rate of star formation, the relations between different stellar components, and its kinematics (Wyse 1995).
Understanding the formation history of galactic spheroids (i.e. elliptical galaxies and the bulges of spiral galaxies) is crucial in understanding galaxy formation in general as these spheroids contain a large fraction of all stellar mass in the local universe (Zoccali et al. 2003, and references therein, hereafter ZRO2003). Because of its proximity, our GB is the spheroid for which the most information is accessible. Issues that can be addressed in the GB are, e.g., the initial mass function, the distribution of stellar ages, and the 3D structure. For more distant spheroids, this sort of information is only accessible by very indirect means based on the study of the integrated light.
Many different approaches exist to studying galaxy formation. Often galaxy models are used to study the entire content of a galactic component such as the bulge (Merrifield 2004; Freudenreich 1998; Robin et al. 2003; Dwek et al. 1995; Bissantz & Gerhard 2002; Binney et al. 1997), but studies of the same kinds of stars can also reveal a wealth of information. Examples of this are, e.g., the use of red clump stars (Nishiyama et al. 2006; Paczynski & Stanek 1998; Stanek et al. 1997; Rattenbury et al. 2007; Udalski 1998; Babusiaux & Gilmore 2005; López-Corredoira et al. 2007), RR Lyrae stars (Udalski 1998; Fernley et al. 1987; Feast 1997), masers (Reid et al. 1988; Sevenster et al. 1999), and Mira variables (Whitelock 1992; Groenewegen & Blommaert 2005). Our target is both to perform a calibration of the bulge geometry and to explore the distribution of ages that can be inferred from these data.
The paper is organised as follows. In Sect. 2 we give a resume on the models and parameters generally used to study the GB, the star formation rate, and the metallicity distribution of the GB. In Sect. 3 we give a brief introduction to the galaxy model used in this work. Section 4 is dedicated to the observational data used. Section 5 explains the method used and Sect. 6 discusses the results derived using this method. Section 7 discusses the results using the same method if only the red clump stars are used. In Sect. 8 we summarise and come to the conclusions.
2 The Galactic bulge
At the moment, it is still not clear whether one should draw a
distinction between a triaxial central bulge and a bar component
(Merrifield 2004). Sometimes the bulge is referred to as the bar
(see e.g. Sevenster et al. 1999) and in other cases studies find a
bar within the bulge (see e.g. Cabrera-Lavers et al. 2007; López-Corredoira et al. 2007). In this paper we will adopt the formalism
described by Sevenster (1999): we will use the term
Galactic bulge for the Galactic component seen in the general
direction of
,
we will use bar if we refer to
the prolate or triaxial component of the GB.
This section gives a brief overview of recent studies proposing different models and parameters describing the GB. Also the possible star formation rate and age metallicity relations will be described.
2.1 Models describing the Galactic bulge and its bar
Many different geometries can be assumed for the GB. Oblate
spheroidal models can be a good start, providing a first order
estimate of the bulge luminosity and minor to major axis ratios
(Dwek et al. 1995). As became clear over the past decades, there is a
triaxial part, the bar, which needs a triaxial model. There are three
types of triaxial models proposed: Gaussian-type functions,
exponential-type functions, and power-law functions (see Dwek et al. 1995, and
references therein). Dwek et al. (1995) find that the best
model to fit the COBE/DIRBE data for the bulge is an exponential-type
function with a modified spheroid included. Robin et al. (2003) use the
same parameter set as Dwek et al. (1995) introduced to fit the
bulge. They used a boxy Gaussian type function, but did not model the
inner parts of the bulge. Binney et al. (1997) and also
Bissantz & Gerhard (2002) used a truncated power-law to model the bulge. In
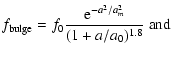
this paper, we will use the Binney et al. (1997) formalism to model the
number density of stars
,
which is given by:
![]() |
(1) | ||
![]() |
(2) |
In these formulae, am represents the scale length, a0 the inner truncation length, and f0 is the stellar density per kpc3 of the bulge. The axis-ratios of the bar are given by:
2.2 Parameters describing the Galactic bulge
Table 1: A not complete overview of recent values of parameters describing the GB, its bar and the distance to the GC.
The typical parameters needed to describe the GB (see previous
section) are the scale length (am) and inner truncation length
(a0) of the bulge, the axis-ratios (1:
:
)
of the
bar, the angle between the Sun-centre line and the major axis of the
bar (
), and the scaling parameter (f0). Of course also the
Sun's distance to the Galactic centre (R0) is an important
parameter in this context.
One of the most studied types of stars in the GB are the red clump
stars. The red clump stars are considered as standard candles to
determine distances. They can also be used to estimate the axis ratios
of the bulge and the angle
.
Using these red clump stars, values
between 7.4 and 8.4 kpc for R0 have been found (see
e.g. Nishiyama et al. 2006; Paczynski & Stanek 1998; Udalski 1998; Babusiaux & Gilmore 2005). Values for
derived from red clump stars are
situated either around 20
or around
45
(see e.g. Stanek et al. 1997,
;
Babusiaux & Gilmore 2005,
;
and
López-Corredoira et al. 2007,
). Recent work
on the red
clump stars in the GB comes from Cabrera-Lavers et al. (2007) and
Rattenbury et al. (2007). Cabrera-Lavers et al. (2007) claim two very
different large-scale triaxial structures in the inner Galaxy. A first
component is a long thin stellar bar (
)
with a position
angel of
.
The second component is a distinct
triaxial bulge that extends to at least
and has a
position angle of
.
Rattenbury et al. (2007) study
the red clump stars observed with OGLE in the OGLE-II phase and find
that the bar's major axis is oriented at 24
-27
to the
Sun-Galactic centre line-of-sight.
Another kind of stars that
is considered a standard candle are the RR Lyrae stars. Using these
stars typical values for R0 of
8.0 kpc have been found
(see e.g. Udalski 1998; Fernley et al. 1987; Feast 1997).
Other types of stars that have been studied to characterise the GB are
e.g. Mira variables (see e.g. Groenewegen & Blommaert 2005, R0 = 8.8 kpc and
;
and Whitelock 1992,
,
); H2O masers (Reid et al. 1988)
see R0 = 7.1 kpc, and OH/IR stars (Sevenster et al. 1999) (see
am =
2500 pc and
).
Studying one type of star is not the only method to obtain information
on the characteristics of the Galactic bulge and distance to the
Galactic centre. Eisenhauer et al. (2003) and Eisenhauer et al. (2005)
studied stars orbiting the central black hole and found values for
R0 of respectively
kpc and
kpc. Recently, Ghez et al. (2008) and Gillessen et al. (2009)
used additional data to find, respectively,
kpc and
kpc. Also surveys like 2MASS and the surface
brightness maps of COBE/DIRBE were used. Studies based on
these databases find values for
around 20
(see e.g. López-Corredoira et al. 2005; Dwek et al. 1995; Binney et al. 1997; Bissantz & Gerhard 2002), scale lengths am between 1900 pc and
2800 pc (see e.g. Freudenreich 1998; Bissantz & Gerhard 2002; Binney et al. 1997),
and an axis-ratio of 1:0.5-0.6:0.4
(López-Corredoira et al. 2005; Merrifield 2004), except Dwek et al. (1995)
who find lower values for the axis-ratio
(1:0.33:0.23). Robin et al. (2003) used HIPPARCOS data to model and
retrieved axis-ratios of 1:0.27:0.27 and an angle
of
11.1
0.7
.
The Milky Way Galaxy consists not only of stars, there is also an
amount of gas present. The location of H I gas in the galaxy
(see Fig. 2 in Merrifield 2004) immediately reveals the
non-axisymmetric distribution of the gas. This non-axisymmetric
distribution can also be seen when one measures the velocities of the
interstellar CO molecule (Dame et al. 2001). Using the distribution of
the H I gas Merrifield (2004) retrieve an angle
of 25
.
Table 1 gives an overview of these studies and
the parameters retrieved. Concerning the angle between the Sun-centre
line and the bar
,
Table 1 clearly shows two
groups of values: a low value around
and a higher value
around
.
According to Sevenster et al. (1999) the lower values
found for
arise when the longitude range used is too narrow or
when low latitudes are excluded. Groenewegen & Blommaert (2005) point out
that this could also be due to the fact that these studies trace
different populations, which may be distributed differently.
2.3 Star formation rate and metallicity distribution
Besides the uncertainty in the literature on the parameters describing the GB geometry and its bar, the characteristics of the stars located in the GB are being debated.
Lately, studies show traces of an intermediate age population in the GB. Before, it was believed that the GB consisted only of an old population (more than 10 Gyr). Recent studies still reveal that the GB is dominated by this old population, but traces of a smaller intermediate age population can no longer be ignored.
Holtzman et al. (1993) studied a field in Baade's Window and concluded
that, based on the luminosity function, there exist not only old stars
in the GB, but also a significant, although unquantified, number of
intermediate age stars (less than 10 Gyr). Ortolani et al. (1995)
conclude that there is no age difference between the majority of bulge
stars and the halo globular clusters and no more than
of
the bulge population can be represented by intermediate age stars
(see also Ortolani et al. 2001, ZRO2003); Feltzing & Gilmore (2000)
found no significant young stellar population in the GB, but emphasise
that it is still possible to have an age range of several
Gyr. van Loon et al. (2003, hereafter vLGO2003) found that in addition to
the dominant old
population (
Gyr), there is also an intermediate-age population
(
Myr-7 Gyr) and possibly even younger (
Myr)
stars are found across the inner bulge (although the latter could be
attributed to foreground stars). Concerning an intermediate age
population, Groenewegen & Blommaert (2005) found that the Mira variables in
the studied OGLE bulge fields have ages of a few Gyr. Also
Uttenthaler et al. (2007) found some AGB stars that might be tracers of
a younger population: some of their selected AGB stars in the GB show
Technetium, which indicates that these AGB stars must originate from a
younger population.
The detection of a metallicity spread or absence of it and the
metallicity distribution reveals information on the formation
history. During the last decade, there were several papers studying
the metallicity in the GB. McWilliam & Rich (1994) obtained for 14 M
giants in the GB high resolution spectroscopy. They found a mean
metallicity of
[Fe/H]
.
Sadler et al. (1996)
studied K and M giants in Baade's Window and found a mean abundance of
[Fe/H]
.
Feltzing & Gilmore (2000) studied HST images
and found that the metallicity of the bulge is equal to that of the
old disk and that there is only a marginal evidence for a central
metallicity gradient. Also Ramírez et al. (2000) studied M giants in the
GB. They found a mean metallicity
[Fe/H]
and no
evidence for a metallicity gradient along the minor or major axes of
the inner bulge (R < 560 pc). vLGO2003 found a mean metallicity
[M/H]
,
but also stars with a metallicity of +0.5 and -2 are
common, but not dominant. The old stars in the population (
Gyr) tend to have higher metallicities (see their Fig. 18). They
propose that the metallicity distribution of the old stars might be
bimodal: one component of super-solar metallicity and another of
subsolar metallicity. ZRO2003 found that most of the bulge stars have
a metallicity [M/H] between +0.1 and -0.6 with a peak at -0.1.
3 TRILEGAL
In this paper, we use the code TRILEGAL (TRIdimensional modeL of
thE GALaxy, Girardi et al. 2005), a population synthesis code to
simulate the stellar content towards any direction on the sky. In this
paper the model will be used to compute colour-magnitude diagrams
(CMD) towards the GB. This means that we simulate the
photometric properties of stars located towards a given direction
and complete down to a given limiting magnitude.
Figure 1 in Girardi et al. (2005) shows the general scheme of the TRILEGAL code. As is shown in their Fig. 1, the input to the model consists of four main elements:
- a library of stellar evolutionary tracks. It is essentially composed of the Girardi et al. (2000) tracks with some updates at low metallicities (Girardi 2002, unpublished), and now complemented with the TP-AGB models by Marigo & Girardi (2007). These latter are expected to describe the TP-AGB phase with much more realistic lifetimes and luminosities than in the original Girardi et al. (2000) isochrones;
- a library of synthetic spectra, which is used to compute bolometric corrections and extinction coefficients for the simulated stars. They are described in detail by Girardi et al. (2002);
- the instrumental setup, describing the settings of the telescope to be used, e.g. filters, detectors, and the effective sky area to be simulated;
- a detailed description of the Galaxy components, being the Galactic thin and thick disk, the Halo and the Bulge. For each component a Star Formation Rate (SFR), Age-Metallicity Relation (AMR), and space densities are assumed. These parameters are different for every Galaxy component, therefore the Galactic components are treated separately by the code. Also the Initial Mass Function (IMF) and interstellar absorption belong to this group of input parameters.
The output of the TRILEGAL code is a catalogue of stars that contains
for each star the Galactic component in which they are located, stellar
age, metallicity [M/H], initial mass, luminosity L, effective
temperature
,
gravity g, distance modulus m-M0, visual
extinction AV, core mass and the perfect photometric data in
each of the wanted filters. To be able to compare the output in
CMDs with observational data one has to perform some extra
calculations which are not included in the TRILEGAL code such as
adding photometric errors, saturation of the bright stars in real
observations, and completeness.
A more detailed description of the TRILEGAL code and the parameters used concerning the disk and halo can be found in Girardi et al. (2005).
Extinction is calculated by the TRILEGAL code for each object separately based on the input AV value and the distance modulus of the objects. Therefore, the extinction varies along the line-of-sight (see Girardi et al. 2005, for a more detailed description on the way the extinction is distributed). Some changes are made, however, to this part of the code with respect to Girardi et al. (2005). Not only can we now give the extinction value AV as an input parameter to the code, but a spread on the AV has also been used in this work. The extinction values and their sigma used can be found in Table 2 and are based on Sumi (2004).
An important point is that we have used TRILEGAL with the original
filter curves provided for 2MASS (Skrutskie et al. 2006) and OGLE-II
(Udalski et al. 1997), so simulating as far as possible the original
photometric systems
. The bolometric corrections for 2MASS have already been
described in detail by Bonatto et al. (2004). Those for OGLE-II have
been newly computed, and apart from being used in TRILEGAL have also
been incorporated into the Padova database of isochrones. Extensive
tables of bolometric corrections and isochrones in the OGLE-II system
are now made available at the websites http://pleiadi.pd.astro.it/isoc_photsys.02 (static tables) and
http://stev.oapd.inaf.it/cmd (interactive web form).
Furthermore, extinction coefficients in the several 2MASS and OGLE-II
passbands have been computed for a G2V star using the
Cardelli et al. (1989) extinction curve with RV=3.1. The extinction
coefficients turn out to be
,
,
,
,
,
,
and
.
These numbers would be suitable to simulate extinction in the nearby disk,
but do not apply to a bulge with an anomalous ratio of total to
selective extinction (see Udalski 2003). Since the reasons for such
anomalous ratios are still not understood, one does not know really
how to properly simulate extinction for the bulge. Our choice has been
very pragmatic: we assume that the generalised Cardelli et al. (1989)
extinction curve still applies, and just change its input RV value
until the mean
RVI=1.964 value for the bulge (Sumi 2004) is
recovered. Therefore, we find that the anomalous extinction is
reproduced with a RV=2.4, which produces
,
,
,
,
,
,
.
These values are assumed in this work.
Table 2: Properties of the selected fields.
4 Observational data
4.1 Two micron all sky survey - 2MASS
The two micron all sky survey (2MASS) project is a collaboration
between The University of Massachusetts and the Infrared Processing
and Analysis Center (JPL/Caltech). The resulting 2MASS project made
uniformly-calibrated observations of the entire sky (with a sky
coverage of 99.998%) in the J (1.24
m), H (1.66
m)
and
(2.16
m) near-infrared bands (Skrutskie et al. 2006).
In this paper, we will use the 2MASS Point Source Catalog (PSC), which contains astrometry and photometry in the three survey bandpasses for 470 992 970 sources. For every source, position, magnitude, astrometric and photometric uncertainties, and flags, indicating the quality of the source characterisations, are provided.
4.2 Optical gravitation lensing experiment - OGLE
The optical gravitational lensing experiment (OGLE) aims at detecting dark matter using micro lensing phenomena. Crowded regions are a suited place to conduct this survey. The Large Magellanic Cloud (LMC) was the first target in the second phase. Later on additional targets were added among 11 deg2 in the GB.
In this paper, we will use data from Udalski et al. (2002) from OGLE-II
who present the VI photometric maps of the GB as a natural
by-product of large micro lensing surveys. These maps contain the mean
VI-photometry and astrometry of about 30 million stars, covering
about 11 deg2 in different parts of the GB. Each field covers
.
4.3 Selected fields
The fields selected to perform this study are shown in Table 2. The fields are chosen based on the OGLE fields from Udalski et al. (2002) and are as much as possible spread in longitude and latitude around the Galactic centre. The data from 2MASS has been downloaded according to the positions of the OGLE fields, using Gator on the IRSA web site (http://irsa.ipac.caltech.edu/).
5 Analysis
When calculating a set of models of any kind, one always needs an objective method to determine why one model is better than another. One also wants to know the error bars and/or confidence intervals for the derived parameters.
5.1 Method
![]() |
Figure 1:
Example of the photometric errors of
the |
| Open with DEXTER | |
The output of the TRILEGAL code consists of perfect photometric data (see Sect. 3). In order to be able to compare the output of the code with real observations, we need to add photometric errors to the output of TRILEGAL.
Both 2MASS and OGLE-II give individual errors on the
observations. These individual errors are shown in Fig. 1
as an example for the 2MASS
-band data in field bul_sc40 in
function of the
-band magnitude. Using this data a density
profile has been generated: for each bin in
(size 0.1 mag) we
calculated how likely it is for a star to have an error
.
Each bin in
(size 0.01 mag) is then given a number
between 0 and 1 representing the relative amount of stars in this bin
with respect to all stars with a similar
-band magnitude. For
each star in the output file of TRILEGAL a random number has been
generated between 0 and 1. The assigned error is then the closest to
with respect to the assigned density profile.
This method has been used to generate photometric errors in all the
observed magnitude bands from both 2MASS as OGLE-II for each field
individually.
![]() |
Figure 2:
|
| Open with DEXTER | |
![]() |
Figure 3: Same figure and colour code as Fig. 2 for the same model but now for a V - I vs. I CMD. The additional box which is not seen in Fig. 2 is used to compare the red clump stars. |
| Open with DEXTER | |
With the observational data and the data calculated with TRILEGAL,
CMDs have been constructed. For the 2MASS data these CMDs are in
vs.
(see Fig. 2), for the OGLE data the CMDs
are V - I vs. I (see Fig. 3). To be able to
compare a CMD constructed with observational data to a CMD constructed
with modelled data, the CMDs have been divided into regions. For both
the 2MASS data and OGLE data, we define a disk region and a bulge
region in the dereddened CMDs as follows:
| |
(3) | ||
| (4) | |||
| (5) | |||
| (6) | |||
For the OGLE data we defined additionally a clump region which contains the red clump stars, as
The regions are defined on a model with no extinction. Based on the
assumed extinction for a field, these boxes are also reddened, in this
way, these boxes include for every field the same part of the CMD. The
boxes are defined in such a way that there is only a very small
contamination of disk stars in the bulge region and the other way
around. Therefore, if we want to study the bulge parameters, the only
part of interest is the bulge region. The stars in the selected
regions, are used to create histograms. All histograms were created in
one magnitude (
for 2MASS and I for OGLE) and not in the
colours. The histograms for the disk and bulge region, which are
probably not affected by incompleteness, are used to
compare the number counts in each bin.
The histogram for the stars in the red clump region are not used for
number counts, but to derive the red clump magnitude both from
observations and modelled data. To derive the I0,m magnitude for
the red clump, the method described in Stanek & Garnavich (1998) has been
used. This method fits a 2D polynomial to the underlying population,
with on top of this a Gaussian function to determine the magnitude of
the red clump. The formula is given by:
with the first tree terms corresponding to the underlying population with coefficients a, b, and c for the second degree polynomial. The last term refers to the red clump population itself, with parameters corresponding to a Gaussian fit: scaling factor
![]() |
Figure 4: Example showing how the red clump stars are fitted using the method described by Stanek & Garnavich (1998). The black histogram are the stars selected from the ``red clump box'' in the V - I vs. I CMD and the grey line is the Gaussian fit with underlying second degree polynomial. |
| Open with DEXTER | |
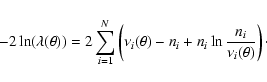
5.2 Poisson distributed maximum likelihood
For the stars in the selected disk and bulge areas (see
Figs. 2 and 3) the
constructed histograms are used to compare number counts. The typical
errors on the amount of stars in these histogram bins are Poisson
errors (
with ni the total amount of
stars in bin i). Therefore the selected test to perform on these
histogram is a log likelihood test for Poisson statistics
(Eidelman et al. 2004):
In this formula
For each field, there are 4 histograms (one for
the disk region and one for the bulge region, both for the comparison
with 2MASS and OGLE). When
determining the parameters for the bulge, we only use the histograms
based on the stars in the bulge boxes. This means that for each field,
2 histograms remain. Table 2 shows that we
selected 11 fields. Including all this gives us a value l for each
model, which we want to minimise:
5.3 Gaussian distributed log-likelihood
In addition to a box for the disk and bulge stars,
Fig. 3 also shows a box in which the red clump stars
are expected to be.
Equation (7) is fitted to the number counts
in this box, as illustrated in Fig. 4. The same is done for the model stars.
The parameter of interest is the mean magnitude of the RC,
.
When evaluating calculated models based on the position of the
red clump, we cannot use the Poisson distributed maximum likelihood
(see Sect. 5.2). In this case
the errors are not Poisson distributed, but normal
.
To
determine the appropriateness of a model concerning its position of
the red clump, the log-likelihood function l can be used
(Decin et al. 2007):
To find the best model, this equation needs to be minimised. As the standard deviation
5.4 Minimisation procedure
The minimisation procedure used in this work is the Broyden-Fletcher-Goldfarb-Shanno (BFGS) method (Broyden 1970; Goldfarb 1970; Shanno 1970; Fletcher 1970) which can be used to solve a non-linear optimisation problem. By analysing gradient vectors, the method constructs an approximated Hessian matrix allowing a quasi-Newton fitting method to move towards the minimum in parameter space. The parameters were normalised in the minimisation procedure so they have an equal influence on the choice of the next set of parameters.
To significantly decrease the amount of computing time, the simulations made during the minimisation runs, we adopt a shallower limiting magnitude, at I = 18. This does not influence our results as the stars fainter than this limit have no relevance to our analysis (see Sect. 5.1). Because these areas are chosen well above the completeness limits for both the 2MASS and OGLE data, we did not include completeness, again to speed up calculations.
The model calculations and minimisation procedure have been performed
using Python. The program has been written as such that the 11
different fields, that need to be calculated to evaluate one model
(see Sect. 4.3), were calculated
simultaneously over 11 different CPU's. We could make use of 18 Dell
PowerEdge PC's with a total of 54 processors of 3400 MHz, which makes
it possible to evaluate about 5 models at the same time. In total we
evaluated
models in a time span of about a year.
5.5 Uncertainties on the model parameters
As explained by Decin et al. (2007) the log-likelihood function can be
used to estimate the uncertainties on the model parameters. A model
with a likelihood value l is equally good as the best model
if
.
These
critical values
follow a
-distribution with
p the degrees of freedom (Decin et al. 2007; Eidelman et al. 2004). A table
with these values for
can be found in Decin et al. (2007, and
references therein).
6 Results
Table 3: Overview of the different models described in the text.
The SFR and AMR chosen to start the minimisation process with are
based on ZRO2003 and are shown in Fig. 5.
The left figure shows a bulge formed by a single star burst
about 10 Gyr ago and the right figure indicates that the majority of
the stars have a metallicity slightly lower than solar (
).
The start values for the minimisation procedure have been chosen in
accordance with Binney et al. (1997, see also Table 1#:
R0 = 8.0 kpc, am = 1.9 kpc, a0 = 100 pc,
,
,
,
and
f0 = 624.0. The output of this
minimisation procedure is a model with following parameters: R0 =
8.6 kpc, am = 2.7 kpc, a0 = 97 pc,
,
,
,
and
f0 = 422.3
(see also Table 3, model 1).
The constructed histograms for this model are shown for field
bul_sc40 in Fig. 6. As mentioned
in Sect. 5.1 we only used the histograms constructed
with the I and
magnitude to compare the model with the
observations. The histograms in V - I and
illustrate the fit
between the model and the data for the colours. The minimisation
procedure uses only the stars in the bulge box. The stars in the disk
box were used prior to the minimisation process to set the scale
parameter for the disk stars and to check the contamination of disk
and halo objects in the ``bulge box''. For field bul_sc40 adopting the
same model as in Fig. 6, we find
that out of a total of 2731 objects in the bulge box for the 2MASS
data only 127 originate from the disk and halo. Concerning the 2110
objects in the bulge box for the OGLE data, only 105 originate from the
disk and halo. Since this is already a very modest fraction (about 5%
for both CMDs), possible errors in our representation of the disk and
halo geometry are expected to have a negligible impact on the star
counts inside the bulge box.
![]() |
Figure 5: The left figure shows the SFR normalised to 1 and the right figure shows the metallicity distribution normalised to 1 (based on ZRO2003). |
| Open with DEXTER | |
![]() |
Figure 6:
Histograms showing the distribution of selected bulge
stars for field bul_sc40. The black line represents the
observations, the red line the model. The left panel shows the
2MASS data, the right panel the OGLE data. The model has the
following parameters: R0 = 8.6 kpc, am = 2.7 kpc, a0 =
97 pc,
|
| Open with DEXTER | |
Figure 6 shows the distribution of stars for the observations and the model for the selected bulge stars for field bul_sc40. Also for all the other fields this model overestimates the amount of bulge stars in the 2MASS data and underestimates the amount of bulge stars in the OGLE data, therefore this model can still be improved, but not by adapting the parameters already in the minimisation procedure.
6.1 Varying the metallicity distribution
One of the parameters not in the minimisation procedure is the
metallicity. The metallicity distribution in ZRO2003, which has been
used for the previous model calculations, is based on photometric
results and is slightly less metal-rich in comparison with metallicity
distributions derived from spectroscopic results from e.g. McWilliam & Rich (1994),
Sadler et al. (1996), and Ramìrez et al. (2000; see Fig. 14 in
ZRO2003). Therefore, we shifted the metallicity distribution
towards a more metal-rich population. Already when we shift [Fe/H]
with 0.1 dex our fit improves (see model 2 in Table 3). The metallicity distribution has been shifted with
+0.1, +0.2, +0.3, +0.4, and +0.5 dex (see respectively models 2, 4,
6, 8, and 10 in Table 3). We obtained the best
fit with a shift of +0.3 dex for [Fe/H]. New minimisation
procedures have been set up using these shifted metallicity
distributions in order to test the effect of the change in
metallicity distribution on the derived parameters. The minimisation
procedure was started from the result of the previous minimisation
process (see model 1 in Table 3). The results are
listed in Table 3 (see models 3, 5, 7, 9, and
11). Reminimising the models revealed no differences concerning the
metallicity distribution shift, again the best results are found
using a shifted metallicity distribution of +0.3 dex with respect to
ZRO2003. Concerning the parameters describing the geometry of the
bulge and its bar, only
and f0 change. These changes are
small and fall within the expected error bars (see
Sect. 6.3). Figure 14 in ZRO2003 shows that a
shift with 0.3 dex in [Fe/H] is consistent with the noticed
differences between the metallicity distribution they derived and
metallicity distributions derived based on spectroscopy. In fact,
Zoccali et al. (2008) have recently rederived the bulge metallicity
distribution, based on high resolution spectroscopy for a large
sample. They find metallicities systematically higher than in ZRO03
by about 0.2 dex, which is perfectly in line with what we obtain in
this paper.
6.2 Varying the age distribution
The star formation rate is also a input to the model (see
Sect 2.3). Therefore we also tested other
SFR's. First we start with shifting the star burst to a different age
in steps of 1 Gyr from a star burst 7 Gyr ago to a
star burst 13 Gyr ago. Table 3 gives an
overview of these models when no new minimisation procedure is
started (see models 12, 14, 16, 18, 20, and 22). Amongst these
models, there is no better model than model 7. When a minimisation
procedure is set up, using the different age distributions and the
parameters describing the geometry as derived in model 7 as start
values, we find models 13, 15, 17, 19, 21, and 23 (see
Table 3). Three of these models are equally good
based on
:
model 15 with a star burst of 8 Gyr is the
so-called best model, but models 17 (star burst of 9 Gyr ago) and 7
(star burst 10 Gyr ago) are equally good and one cannot distinguish
between these three models. Concerning the parameters describing the
geometry, the differences seen between these three models, fall
within the expected error bars (see Sect. 6.3).
Changing the age of the star burst is not the only possibility to alter the SFR. Section 2.3 describes that most likely there are also intermediate age stars in the GB and maybe also some younger stars. In order to check these possibilities, we used the SFR given in vLGO2003 (see their Fig. 28). The metallicity distribution used is the metallicity distribution of ZRO2003 shifted with 0.3 dex. Young stars as well as intermediate age stars are included in the SFR by vLGO2003. To check the possibility of an intermediate age population on top of the dominant old population, the age distribution of vLGO2003 has been used, but without the stars younger than 0.1 Gyr and a SFR without the stars younger than 1 Gyr. The metallicity distribution used in these scenarios is again the shifted distribution found by ZRO2003. The results are again shown in Table 3.
Model 24 in Table 3 shows that we do not get a
significantly better fit if we use the SFR by vLGO2003 and the shifted
metallicity distribution by ZRO2003. Because the SFR has changed
drastic, and therefore also the colour distribution of the stars in
the resulting models, a new minimisation procedure is necessary to
check if no better model can be found using the SFR by vLGO2003. The
previous best model found (model 15), has been chosen to start
the minimisation procedure with. This resulted in the following model:
R0 = 10.7 kpc, am = 3.1 kpc, a0 = 86 pc,
,
,
,
and
f0 = 455.0 (model 25 in
Table 3). All parameters except R0 and f0fall within the expected error bars of the best model with a
star burst of 10 Gyr as SFR (see Sect. 6.3). The differences seen between R0 and f0 are huge and
do not fall within the previously defined error bars.
Additionally, shows that this model is not significantly
better than model 15.
Also for the two SFR's including only intermediate age stars based on
the SFR by vLGO2003 a new minimisation procedure was set up. Using the
SFR by vLGO2003 for stars older than 0.1 Gyr, the minimisation
procedure ended with the following model: R0 = 9.3 kpc, am =
2.8 kpc, a0 = 92 pc,
,
,
,
and
f0 = 394.0. All parameters found using this
SFR are within the error bars derived on model 15 (see
Sect. 6.3). Using the SFR for stars older than
1 Gyr, the minimisation procedure ended with the same model: R0
= 9.3 kpc, am = 2.8 kpc, a0 = 92 pc,
,
,
,
and
f0 = 394.0, which then of course
falls also within the error bars of model 15. Based on
,
these two later models are not as good as model 15.
6.3 Error bars
To derive the error bars on these model parameters, we used
the method described in Sect. 5.5.
For each
parameter we explored the parameter space around the value found by
the minimisation procedure and rounded the found parameters within the
found error bars.
All models that fall within
the critical value of
from our model are
equally good. This results in the following error bars for model
7:
kpc,
kpc,
pc,
,
,
,
and
.
These error bars have been used in the previous section to
determine whether parameters between different models fall within
the same range. As model 15 was found to be the best model, we also
calculated the error bars for this model.
We obtain:
kpc,
kpc,
pc,
,
,
,
and
.
The error bars on this
model are somewhat larger than the error bars found for model 7.
Based on the outcome of the minimisation procedures, the error bars on the determination of the magnitude of the red clump stars in the I-band have been determined. This resulted in an average error of 0.03 mag which is consistent with the chosen value in Eq. (10).
![]() |
Figure 7:
Histograms showing the distribution of selected bulge
stars for field bul_sc40. The black line represents the
observations, the red line the model. The upper panels shows the
2MASS data, the lower panels the OGLE data. The model has the
following parameters: R0 = 8.6 kpc, am = 2.7 kpc, a0 =
97 pc,
|
| Open with DEXTER | |
![]() |
Figure 8:
Histograms showing the distribution of selected bulge
stars for all the modelled fields. The black line is the histogram
for the observational data, the red line represents the
model. For each field there are four panels, the first two panels
shows the 2MASS data (one for star counts in
|
| Open with DEXTER | |
![]() |
Figure 8: continued. |
| Open with DEXTER | |
7 Red clump stars
The red clump stars can be used as a distance indicator as well as an
estimator to the angle
between the bar and the Sun-centre
line (see also Sect. 2.2). Using the red clump
stars, a new minimisation procedure as described in Sect. 5.4 was set up. In this scenario, there are only
two variable parameters: R0 and
,
the other parameters have
been kept constant (am = 2.6 kpc, a0 = 95 pc,
,
,
and
f0 = 406.0). An age of 8 Gyr and a
metallicity distribution based on ZRO2003 and shifted with 0.3 dex has
been used (which is consistent with the best model found, 15).
The minimisation process started with R0 = 8.7 kpc and
and ended with R0 = 8.7 pc and
.
This model is also listed in Table
.
Using the
method to derive error bars on these parameters, with
,
the following error bars were calculated:
kpc and
.
Therefore the model derived based on the red clump stars for R0 and
falls within the previously defined error bars for the model
derived on the stars located in the bulge box. Although this
model has a smaller
and
,
it is not
significantly better than the previous found best model (see model
15 in Table 3.)
In Sect. 6 other SFR's have been tested (see
Table 3). Also for these other models, we
compared the red clump stars. Based on the red clump stars,
Table 3 shows that the models with a star burst of
10 Gyr as SFR but with shifted metallicity distributions are equally
good, except for model 7 which has a significantly worse
.
There is based on the critical value
no difference
between these models. Concerning the models with a SFR based on
vLGO2003 the comparison with the red clump stars shows that our fit
could not be improved adapting this SFR.
The results of this minimisation, and in particular the R0value, are clearly associated to the set of stellar models that we
used. Models with a different absolute magnitude of the red clump, for
instance, would lead to a different GC distance. Girardi et al. (1998)
and Girardi & Salaris (2001) claim the set of stellar models we are
using (Girardi et al. 2000) do reproduce the very accurate
value derived from Hipparcos; however their claims are tight to the
specific choice of SFR (from Rocha-Pinto et al. 2000b) and AMR
(from Rocha-Pinto et al. 2000a) employed in modelling the Solar
Neighbourhood. Future revisions of these functions may lead to
different results.
Several other works have already tried to access the bulge orientation
and GC distance using red clump stars, employing different data,
extinction corrections, and assumptions about the intrinsic magnitude
difference between the local (Hipparcos) and the bulge red clump
(i.e. the population correction,
).
From the entries in Table 1, one notices that our
best R0 value agrees with the distance determinations to the bulge
from Paczynski & Stanek (1998) and Stanek & Garnavich (1998), which were also
derived from I-band data from OGLE. However, these are significantly
larger than those derived from Babusiaux & Gilmore (2005) and
Nishiyama et al. (2006) using near-infrared data.
In order to allow any future comparison between our R0 determination and those from other authors, we provide below a representative value of the absolute red clump magnitude of our models.
Since TRILEGAL simulates the entire population along a given
line-of-sight, our simulated LFs for the red clump box include effects
like the dispersion in the distances of bulge stars, geometrical
factors, and the contamination by disk and halo stars. As a
consequence, our effective
values do vary slightly from
region to region even though the bulge stellar population which is
being simulated is everywhere the same. Moreover, the
Galactic centre line-of-sight has not been simulated, and a representative
value of
has to be inferred from the values distributed
across the bulge. Figure 9 shows the observed
peak positions of the red clump, I0,m as a function of longitude
.
These peak positions are corrected for extinction using the
extinction values given in Table 2. The full
line is a linear least squares fit through these peak positions and is
given by
.
Therefore the peak position I0,m in the GC (
)
is given by
.
This is related to the absolute red
clump magnitude by
Using the distance to the GC
On the other hand, our preferred R0 value disagrees with the Babusiaux & Gilmore (2005) and Nishiyama et al. (2006) distance determinations based on near-infrared data for the red clump. These works find R0 values close to 7.5 kpc, which means a disagreement at the level of 0.3 mag in distance modulus. The origin of this discrepancy is not understood at the moment.
It is worth remarking that our favoured R0 value of 8.7 kpc comes from both the red clump and the bulge box, the latter consisting mainly of upper-RGB and TP-AGB stars. These stellar groups are quite independent in their photometric properties. Our R0 value is also consistent with the determinations based on the RR Lyrae and Mira variables. Although it disagrees with with the BH geometrical distance derived from Eisenhauer et al. (2005,2003) it does agree with the recent determination by Ghez et al. (2008).
8 Summary and conclusions
In this paper we have studied the characteristics of the Galactic
bulge based on CMD comparisons between OGLE and 2MASS data an the
results from the galactic model TRILEGAL (Girardi et al. 2005). Several
star formation rates and metallicity distributions have been
tested. Over all these different SFR's and metallicity distributions
the model parameters give within the error bars the same results
except for the angle
between the Sun-centre line and the
Bar. Concerning the other parameters we found a distance to the
Galactic centre
kpc, a scale length for
the Bulge am of
kpc, an inner truncation
length for the Bulge a0 of
pc, and a scaling
factor
.
Concerning the
characteristics of the Bar, we found the ratio of the major axis to be
and an angle
of
.
The largest scatter in the found
model parameters is found for the angle
.
Nevertheless the found
values are all rather small and around
.
The present best model
of the bulge will be provided as the default in the interactive web
interface to TRILEGAL (http://stev.oapd.inaf.it/trilegal).
![]() |
Figure 9:
Peak positions I0 of the red clump stars corrected
for extinction in function of the longitude |
| Open with DEXTER | |
If we compare our results to the results found in the literature and
listed in Table 1 our parameters fall within the
listed range of parameters except for the axial ratio
.
Concerning the distance to the GC, our value resembles the
values found by Paczynski & Stanek (1998) based on red clump stars and
Groenewegen & Blommaert (2005) based on Mira variables. Our results disagree
with e.g. Udalski (1998) based on red clump stars in the GB. If
we compute the mean observed magnitude I0 from the distance modulus
listed in Udalski (1998) using
from Stanek & Garnavich (1998)
as they did, than this is consistent with the observed mean magnitude
we derived in this work. The other two studies deriving the distance
to the GC based on red clump stars which are inconsistent with this
work are Babusiaux & Gilmore (2005) and Nishiyama et al. (2006). These two
studies are consistent with each other and use a very similar method:
both define an ``extinction-free'' magnitude. It is not exactly clear
why the results of these methods are not consistent with our
results. As these studies are performed using K-band observations,
we can not compare the expected magnitude as we could do for
Udalski (1998). For the scale length of the bulge, we found the
same value as Freudenreich (1998) and similar values as
Sevenster et al. (1999) and Bissantz & Gerhard (2002). The inner truncation
length for the Bulge is similar to the two values listed in
Table 1 by Binney et al. (1997) and
Bissantz & Gerhard (2002). The value
we found is higher than the
values found in the literature. Concerning the other ratio of the major
axis
we found similar results as Whitelock (1992),
Dwek et al. (1995), and Stanek et al. (1997). For the last parameter
,
we found values consistent with the group of studies finding
lower values for
(see e.g. Dwek et al. 1995; Babusiaux & Gilmore 2005; López-Corredoira et al. 2005; Merrifield 2004; Robin et al. 2003; Stanek et al. 1997; Rattenbury et al. 2007; Bissantz & Gerhard 2002; Binney et al. 1997). As already mentioned by
Groenewegen & Blommaert (2005) the different results found in the literature with
respect to the angle between the bar and the Sun-centre line
(see e.g. our results in contrast to Whitelock 1992; Groenewegen & Blommaert 2005; López-Corredoira et al. 2007; Sevenster et al. 1999) could
originate from a different spatial distribution of the stellar
population these studies trace.
We also tested different star formation rates and metallicity distributions. A model with a star burst of 8 Gyr based on ZRO2003 gave the best results together with a metallicity distribution also based on ZRO2003 but shifted by 0.3 dex, although we could find no clear discrepancy between this model and the models with a star burst 10 Gyr ago could be found. We could not improve our fits including intermediate and/or young stars if we compared both the stars we selected in the defined bulge box and the red clump stars. Therefore we conclude that based on 2MASS and OGLE data comparisons with the TRILEGAL model we find best results for a population of 8 Gyr. Nevertheless it is still possible that there are also intermediate age stars located in the GB, although we could not trace them using our described method (see e.g. Uttenthaler et al. 2007; Groenewegen & Blommaert 2005).
Using the peak positions of the red clump stars and the distance to
the Galactic centre retrieved by our minimisation procedures, we found
that
.
This value is
consistent with recent values found in the literature, although it
resembles best the values found by Girardi & Salaris (2001) using red clump
stars in the solar neighbourhood (
)
or using
red clump stars in Baade's Window if
-enhancement is taken
into account (
).
Acknowledgements
E.V. would like to thank the system administration group of the Institute for Astronomy in Leuven and in special E. Broeders for the helpful discussions with respect to the implementation of the described minimisation algorithms. L.G. acknowledges partial support by the University of Padova (Progetto di Ricerca di Ateneo CPDA052212). This publication makes use of data products from the Two Micron All Sky Survey, which is a joint project of the University of Massachusetts and the Infrared Processing and Analysis Center/California Institute of Technology, funded by the National Aeronautics and Space Administration and the National Science Foundation.
References
- Babusiaux, C., & Gilmore, G. 2005, MNRAS, 358, 1309 [NASA ADS] [CrossRef]
- Binney, J., Gerhard, O., & Spergel, D. 1997, MNRAS, 288, 365 [NASA ADS]
- Bissantz, N., & Gerhard, O. 2002, MNRAS, 330, 591 [NASA ADS] [CrossRef]
- Bonatto, C., Bica, E., & Girardi, L. 2004, A&A, 415, 571 [NASA ADS] [CrossRef] [EDP Sciences] (In the text)
- Broyden, C. G. 1970, Journal of the Institute of Mathematics and Its Applications, 6, 76
- Cabrera-Lavers, A., Hammersley, P. L., González-Fernández, C., et al. 2007, A&A, 465, 825 [NASA ADS] [CrossRef] [EDP Sciences]
- Cardelli, J. A., Clayton, G. C., & Mathis, J. S. 1989, ApJ, 345, 245 [NASA ADS] [CrossRef] (In the text)
- Dame, T. M., Hartmann, D., & Thaddeus, P. 2001, ApJ, 547, 792 [NASA ADS] [CrossRef] (In the text)
- Decin, L., Hony, S., de Koter, A., et al. 2007, A&A, 475, 233 [NASA ADS] [CrossRef] [EDP Sciences] (In the text)
- Dwek, E., Arendt, R. G., Hauser, M. G., et al. 1995, ApJ, 445, 716 [NASA ADS] [CrossRef]
- Eidelman, S., Hayes, K., Olive, K., et al. 2004, Phys. Lett. B, 592 (In the text)
- Eisenhauer, F., Schödel, R., Genzel, R., et al. 2003, ApJ, 597, L121 [NASA ADS] [CrossRef] (In the text)
- Eisenhauer, F., Genzel, R., Alexander, T., et al. 2005, ApJ, 628, 246 [NASA ADS] [CrossRef] (In the text)
- Feast, M. W. 1997, MNRAS, 284, 761 [NASA ADS]
- Feltzing, S., & Gilmore, G. 2000, A&A, 355, 949 [NASA ADS] (In the text)
- Fernley, J. A., Jameson, R. F., Longmore, A. J., Watson, F. G., & Wesselink, T. 1987, MNRAS, 226, 927 [NASA ADS]
- Fletcher, R. 1970, Comput. J., 13, 317 [CrossRef]
- Freudenreich, H. T. 1998, ApJ, 492, 495 [NASA ADS] [CrossRef]
- Ghez, A. M., Salim, S., Weinberg, N. N., et al. 2008, ApJ, 689, 1044 [NASA ADS] [CrossRef] (In the text)
- Gillessen, S., Eisenhauer, F., Trippe, S., et al. 2009, ApJ, 692, 1075 [NASA ADS] [CrossRef] (In the text)
- Girardi, L., & Salaris, M. 2001, MNRAS, 323, 109 [NASA ADS] [CrossRef] (In the text)
- Girardi, L., Groenewegen, M. A. T., Weiss, A., & Salaris, M. 1998, MNRAS, 301, 149 [NASA ADS] [CrossRef] (In the text)
- Girardi, L., Bressan, A., Bertelli, G., & Chiosi, C. 2000, A&AS, 141, 371 [NASA ADS] [CrossRef] [EDP Sciences] (In the text)
- Girardi, L., Bertelli, G., Bressan, A., et al. 2002, A&A, 391, 195 [NASA ADS] [CrossRef] [EDP Sciences] (In the text)
- Girardi, L., Groenewegen, M. A. T., Hatziminaoglou, E., & da Costa, L. 2005, A&A, 436, 895 [NASA ADS] [CrossRef] [EDP Sciences] (In the text)
- Goldfarb, D. 1970, Mathematics of Computation, 24, 23 [CrossRef] http://links.jstor.org/sici?sici=0025-5718D
- Groenewegen, M. A. T., & Blommaert, J. A. D. L. 2005, A&A, 443, 143 [NASA ADS] [CrossRef] [EDP Sciences]
- Groenewegen, M. A. T. 2008, A&A, 488, 835 (In the text)
- Holtzman, J. A., Light, R. M., Baum, W. A., et al. 1993, AJ, 106, 1826 [NASA ADS] [CrossRef] (In the text)
- López-Corredoira, M., Cabrera-Lavers, A., & Gerhard, O. E. 2005, A&A, 439, 107 [NASA ADS] [CrossRef] [EDP Sciences]
- López-Corredoira, M., Cabrera-Lavers, A., Mahoney, T. J., et al. 2007, AJ, 133, 154 [NASA ADS] [CrossRef]
- Marigo, P., & Girardi, L. 2007, A&A, 469, 239 [NASA ADS] [CrossRef] [EDP Sciences] (In the text)
- McWilliam, A., & Rich, R. M. 1994, ApJS, 91, 749 [NASA ADS] [CrossRef] (In the text)
- Merrifield, M. R. 2004, in Milky Way Surveys: The Structure and Evolution of our Galaxy, ed. D. Clemens, R. Shah, & T. Brainerd, ASP Conf. Ser., 317, 289
- Nishiyama, S., Nagata, T., Sato, S., et al. 2006, ApJ, 647, 1093 [NASA ADS] [CrossRef]
- Ortolani, S., Renzini, A., Gilmozzi, R., et al. 1995, Nature, 377, 701 [NASA ADS] [CrossRef] (In the text)
- Ortolani, S., Barbuy, B., Bica, E., et al. 2001, A&A, 376, 878 [NASA ADS] [CrossRef] [EDP Sciences] (In the text)
- Paczynski, B., & Stanek, K. Z. 1998, ApJ, 494, L219 [NASA ADS] [CrossRef]
- Ramírez, S. V., Stephens, A. W., Frogel, J. A., & DePoy, D. L. 2000, AJ, 120, 833 [NASA ADS] [CrossRef] (In the text)
- Rattenbury, N. J., Mao, S., Sumi, T., & Smith, M. C. 2007, MNRAS, 378, 1064 [NASA ADS] [CrossRef]
- Reid, M. J., Schneps, M. H., Moran, J. M., et al. 1988, ApJ, 330, 809 [NASA ADS] [CrossRef] (In the text)
- Robin, A. C., Reylé, C., Derrière, S., & Picaud, S. 2003, A&A, 409, 523 [NASA ADS] [CrossRef] [EDP Sciences]
- Rocha-Pinto, H. J., Maciel, W. J., Scalo, J., & Flynn, C. 2000a, A&A, 358, 850 [NASA ADS] (In the text)
- Rocha-Pinto, H. J., Scalo, J., Maciel, W. J., & Flynn, C. 2000b, A&A, 358, 869 [NASA ADS] (In the text)
- Sadler, E. M., Rich, R. M., & Terndrup, D. M. 1996, AJ, 112, 171 [NASA ADS] [CrossRef] (In the text)
- Sevenster, M. N. 1999, MNRAS, 310, 629 [NASA ADS] [CrossRef] (In the text)
- Sevenster, M., Saha, P., Valls-Gabaud, D., & Fux, R. 1999, MNRAS, 307, 584 [NASA ADS] [CrossRef] (In the text)
- Shanno, D. F. 1970, Mathematics of Computation, 24, 647 [CrossRef] http://links.jstor.org/sici?sici=0025-5718F
- Skrutskie, M. F., Cutri, R. M., Stiening, R., et al. 2006, AJ, 131, 1163 [NASA ADS] [CrossRef] (In the text)
- Stanek, K. Z., & Garnavich, P. M. 1998, ApJ, 503, L131 [NASA ADS] [CrossRef] (In the text)
- Stanek, K. Z., Udalski, A., Szymanski, M., et al. 1997, ApJ, 477, 163 [NASA ADS] [CrossRef]
- Sumi, T. 2004, MNRAS, 349, 193 [NASA ADS] [CrossRef] (In the text)
- Udalski, A. 1998, Acta Astron., 48, 113 [NASA ADS]
- Udalski, A. 2003, ApJ, 590, 284 [NASA ADS] [CrossRef] (In the text)
- Udalski, A., Kubiak, M., & Szymanski, M. 1997, Acta Astron., 47, 319 [NASA ADS] (In the text)
- Udalski, A., Szymanski, M., Kubiak, M., et al. 2002, Acta Astron., 52, 217 [NASA ADS] (In the text)
- Uttenthaler, S., Hron, J., Lebzelter, T., et al. 2007, A&A, 463, 251 [NASA ADS] [CrossRef] [EDP Sciences] (In the text)
- van Loon, J. T., Gilmore, G. F., Omont, A., et al. 2003, MNRAS, 338, 857 [NASA ADS] [CrossRef] (In the text)
- Whitelock, P. 1992, in Variable Stars and Galaxies, in honor of M. W. Feast on his retirement, ed. B. Warner, ASP Conf. Ser., 30, 11
- Wyse, R. F. G. 1995, in Stellar Populations, ed. P. C. van der Kruit, & G. Gilmore, IAU Symp., 164, 133 (In the text)
- Zoccali, M., Renzini, A., Ortolani, S., et al. 2003, A&A, 399, 931 [NASA ADS] [CrossRef] [EDP Sciences] (In the text)
- Zoccali, M., Hill, V., Lecureur, A., et al. 2008, A&A, 486, 177 [NASA ADS] [CrossRef] [EDP Sciences] (In the text)
Footnotes
- ... systems
- Our experience is that the simulation of the 2MASS photometric system presents zero-point offsets of just a few 0.01 mag. Zero-point errors of similar magnitude are just expected in synthetic photometry applied to present-day libraries of synthetic spectra, and are also likely present in our simulations of the OGLE-II system.
- ... determinations
- We recall that their
values
were derived from the Hipparcos sample of red clump stars with good
parallax measurements, without applying any population correction
between the Hipparcos and bulge samples. Girardi & Salaris (2001, their Table 4)
estimated that this correction is smaller than 0.1 mag.
All Tables
Table 1: A not complete overview of recent values of parameters describing the GB, its bar and the distance to the GC.
Table 2: Properties of the selected fields.
Table 3: Overview of the different models described in the text.
All Figures
![]() |
Figure 1:
Example of the photometric errors of
the |
| Open with DEXTER | |
| In the text | |
![]() |
Figure 2:
|
| Open with DEXTER | |
| In the text | |
![]() |
Figure 3: Same figure and colour code as Fig. 2 for the same model but now for a V - I vs. I CMD. The additional box which is not seen in Fig. 2 is used to compare the red clump stars. |
| Open with DEXTER | |
| In the text | |
![]() |
Figure 4: Example showing how the red clump stars are fitted using the method described by Stanek & Garnavich (1998). The black histogram are the stars selected from the ``red clump box'' in the V - I vs. I CMD and the grey line is the Gaussian fit with underlying second degree polynomial. |
| Open with DEXTER | |
| In the text | |
![]() |
Figure 5: The left figure shows the SFR normalised to 1 and the right figure shows the metallicity distribution normalised to 1 (based on ZRO2003). |
| Open with DEXTER | |
| In the text | |
![]() |
Figure 6:
Histograms showing the distribution of selected bulge
stars for field bul_sc40. The black line represents the
observations, the red line the model. The left panel shows the
2MASS data, the right panel the OGLE data. The model has the
following parameters: R0 = 8.6 kpc, am = 2.7 kpc, a0 =
97 pc,
|
| Open with DEXTER | |
| In the text | |
![]() |
Figure 7:
Histograms showing the distribution of selected bulge
stars for field bul_sc40. The black line represents the
observations, the red line the model. The upper panels shows the
2MASS data, the lower panels the OGLE data. The model has the
following parameters: R0 = 8.6 kpc, am = 2.7 kpc, a0 =
97 pc,
|
| Open with DEXTER | |
| In the text | |
![]() |
Figure 8:
Histograms showing the distribution of selected bulge
stars for all the modelled fields. The black line is the histogram
for the observational data, the red line represents the
model. For each field there are four panels, the first two panels
shows the 2MASS data (one for star counts in
|
| Open with DEXTER | |
| In the text | |
![]() |
Figure 8: continued. |
| Open with DEXTER | |
| In the text | |
![]() |
Figure 9:
Peak positions I0 of the red clump stars corrected
for extinction in function of the longitude |
| Open with DEXTER | |
| In the text | |
Copyright ESO 2009
Current usage metrics show cumulative count of Article Views (full-text article views including HTML views, PDF and ePub downloads, according to the available data) and Abstracts Views on Vision4Press platform.
Data correspond to usage on the plateform after 2015. The current usage metrics is available 48-96 hours after online publication and is updated daily on week days.
Initial download of the metrics may take a while.


![\begin{figure}
\par\includegraphics[width=9cm,clip]{8472fig01.eps}
\end{figure}](/articles/aa/full_html/2009/16/aa8472-07/Timg69.gif)
![\begin{figure}
\par\includegraphics[width=9cm,clip]{8472fig02.eps}
\end{figure}](/articles/aa/full_html/2009/16/aa8472-07/Timg71.gif)
![\begin{figure}
\par\includegraphics[width=9cm,clip]{8472fig03.eps}
\end{figure}](/articles/aa/full_html/2009/16/aa8472-07/Timg72.gif)

![\begin{figure}
\par\includegraphics[width=9cm,clip]{8472fig04.eps}
\end{figure}](/articles/aa/full_html/2009/16/aa8472-07/Timg90.gif)



![\begin{figure}
\par\includegraphics[width=9cm,clip]{8472fig05.eps}
\end{figure}](/articles/aa/full_html/2009/16/aa8472-07/Timg111.gif)
![\begin{figure}
\par\includegraphics[width=9cm,clip]{8472fig06.eps}
\end{figure}](/articles/aa/full_html/2009/16/aa8472-07/Timg112.gif)
![\begin{figure}
\par\includegraphics[width=9cm,clip]{8472fig07.eps}
\end{figure}](/articles/aa/full_html/2009/16/aa8472-07/Timg132.gif)
![\begin{figure}
\par\includegraphics[width=16.4cm,clip]{8472fig08.eps}
\end{figure}](/articles/aa/full_html/2009/16/aa8472-07/Timg133.gif)
![\begin{figure}
\par\includegraphics[width=16.5cm,clip]{8472fig09.eps}
\end{figure}](/articles/aa/full_html/2009/16/aa8472-07/Timg134.gif)

![\begin{figure}
\par\includegraphics[width=9cm,clip]{8472fig10.eps}
\end{figure}](/articles/aa/full_html/2009/16/aa8472-07/Timg154.gif)