| Issue |
A&A
Volume 498, Number 2, May I 2009
|
|
|---|---|---|
| Page(s) | 329 - 333 | |
| Section | Astrophysical processes | |
| DOI | https://doi.org/10.1051/0004-6361:200810493 | |
| Published online | 20 November 2008 | |
Short
-ray bursts and gravitational waves from dynamically formed
merging binaries
D. Guetta - L. Stella
Osservatorio astronomico di Roma, v. Frascati 33, 00040 Monte Porzio Catone, Italy
Received 1 July 2008 / Accepted 26 October 2008
Abstract
Merging binary systems consisting of two collapsed objects are among the most promising sources of high frequency gravitational wave, GW, signals for ground based interferometers. Double neutron star or black hole/neutron star mergers are also believed to give rise to short hard bursts (SHBs) a subclass of gamma ray bursts. SHBs might thus provide a powerful way to infer the merger rate of two-collapsed object binaries. Under the hypothesis that most SHBs originate from double neutron star or black hole/neutron star mergers, we outline here a method to estimate the incidence of merging events from dynamically formed binaries in globular clusters and infer the corresponding GW event rate that can be detected with Advanced LIGO/Virgo. In particular, a sizeable fraction of detectable GW events is expected to be coincident with SHBs. The beaming and redshift distribution of SHBs are reassessed and their luminosity function constrained by using the results from recent SHB observations. We confirm that a substantial fraction of SHBs occur at low redshifts, where the merging of systems formed in globular clusters through dynamical interactions is expected.
Key words: gamma rays: bursts - stars: binaries: general - stars: neutron - gravitational waves
1 Introduction
Merging binary systems containing two collapsed objects, i.e. a double neutron star (DNS),
a stellar-mass black hole and neutron star (BH-NS) or two stellar-mass black hole (BH-BH),
are powerful gravitational wave (GW) sources with frequencies from hundreds
to over a thousand Hz. They are considered
among the most promising GW sources for ground-based interferometers,
of the current and future generation,
such as LIGO, Virgo and their advanced versions.
BH-NS and, especially, BH-BH mergers
emit more powerful and lower frequency GWs
than DNS mergers, where the sensitivity of
LIGO and Virgo detectors is highest: therefore they
can be detected up to greater distances.
The horizon of first generation LIGO and Virgo for DNSs, BH-NS and BH-BH
mergers is
20, 43 and 100 Mpc, respectively,
while Advanced LIGO/Virgo class interferometers
should detect them out to a distance
of
300, 650 and 1600 Mpc
(for a review see Cutler & Thorne 2002).
The rate of detectable merging events
has been estimated based on the observed galactic
population of DNS binaries containing a radio pulsar (Phinney 1991;
Narayan et al. 1991; Kalogera et al. 2001; Burgay et al. 2003).
The best estimate of the DNS merger rate
in the Galaxy is presently
80+200-60/Myr, converting to
800+2000-600 Gpc-3 yr-1
for a galaxy number density of 10-2 Mpc-3 (Kalogera et al. 2004).
Population synthesis studies of binary systems give results consistent
with the above rate (Perna & Belczynski 2002; Belczynski et al. 2002, 2007).
GW signals from DNS mergers are expected at a rate of one in
10-150 years with Virgo and LIGO and one every 1-15 days with Advanced LIGO/Virgo
class interferometers.
The BH-NS and BH-BH merger rates in the Galaxy
are highly uncertain. Belczynski et al. (2007)
estimate
1% and
0.1% of the DNS merger rate, respectively,
implying that BH-NS and BH-BH mergers contribute marginally to the
GW event rate, despite the
greater distance up to which they can be detected.
DNSs and NS-BH merging events also provide one of the leading models
for short hard gamma ray bursts (SHBs), i.e. bursts of
-rays that last
<2 s and take place at cosmological distances (Goodman 1986; Paczynski 1986; Eichler et al. 1989; Narayan et al. 1992). As with the collapsar scenario
for long Gamma Ray Bursts, GRBs (Woosley & Mac Fadyen 1999), such models
envisage the formation of a black hole surrounded by a torus of matter at nuclear density
that is rapidly accreted and provides the primary source of energy for the burst.
For this reason it is believed that BH-BH mergers are not among the progenitors
of SHBs.
SHBs comprise about 1/4 and 1/10 of the CGRO/BATSE and Swift/BAT GRB samples.
The X-ray and optical afterglows of SHBs have been observed only recently,
leading to the first
identifications and redshift determinations of SHB host galaxies
(see e.g. Berger et al. 2007a and references therein).
Out of the
30 SHBs in the current Swift
and HETE 2 sample
about half displayed an optical afterglow, 11 have redshift,
and a few show evidence of beaming in their optical afterglow light curve
(Fox et al. 2005; Soderberg et al. 2006).
The association of some SHBs with galaxies characterized by a very low star
formation rate (SFR, of the order of
)
indicates a long time-delay
between the progenitors' collapse and the time at which these SHBs occur.
It has long been known that DNSs and BH-NS systems (hereafter NS-NS/BH systems),
can form from massive binaries surviving two gravitational collapses
(we term these ``primordial'' NS-NS/BH systems).
Population synthesis calculations show that
primordial NS-NS/BH systems merge after a relatively short
time (
on average), implying that the
redshift-distribution of SHBs should follow closely the
SFR history of the universe (e.g. Bloom et al. 1999;
Belczynski et al. 2002, 2006).
Alternatively NS-NS/BH systems can form through
dynamical interactions in the cores of globular clusters (GCs).
The dominant process comprises two stages:
first an isolated NS (or BH) in the cluster captures a
non-degenerate star during a close encounter, thus forming a binary
containing a collapsed object.
This binary then undergoes an exchange
interaction with another collapsed object, leading to the ejection of the
non-degenerate star and formation of a NS-NS/BH binary
(Verbunt & Hut 1987; Efremov 2000).
Grindlay et al. (2006) estimate that
10-30% of all DNS mergers
may stem from such dynamically formed systems.
Dynamical interactions take place efficiently at high stellar densities,
which, in turn, are highest in the core of globular clusters that have
undergone core collapse. Therefore, the delay between the formation
of the collapsed objects and merging of dynamically-formed NS-NS/BH systems
is dominated by the time until core-collapse, which is
typically comparable to the Hubble time.
In their simulations Sadowski et al. (2008) found
that merging BH-BH binaries form rather efficiently
in dense clusters, but failed to find any merging of NS-NS/BH binaries.
If NS-NS/BH mergers are among the progenitors of SHBs, the SHB rate can be used as an alternative way of constraining the DNS merger rate (Guetta & Piran 2005, 2006 (GP05, GP06), Nakar et al. 2006). Hopman et al. (2006) (H06) showed that dynamically formed DNSs give rise to more numerous low-z bursts than would be expected if SHB closely followed the SFR, as in the case of primordial DNSs. The z-distribution of dynamically formed DNSs provides a better match to observed redshifts of SHBs. This result was recently confirmed by Salvaterra et al. (2008), who also conclude that SHBs may well originate from both classes of DNSs. GP05, GP06 and H06 fitted the peak flux distribution of SHBs detected by BATSE to derive their formation rate and luminosity function (LF), in both the dynamically-formed and primordial DNS scenarios, while Nakar et al. (2006) and GP06 studied the prospects for detecting GW signals from SHBs from primordial DNSs.
In this paper, based on the results from recent SHB observations, we first reassess the beaming, redshift distribution and LF of SHBs. Under the hypothesis that NS-NS/BH mergers give rise to most SHBs, we then present a method to estimate the incidence of merging events from dynamically formed binaries in globular clusters and infer the corresponding GW event rate that could be detected with Advanced LIGO/Virgo class interferometers.
2 Luminosity function and rate evolution of SHBs
For primordial NS-NS/BH systems, the intrinsic SHB rate is given by the
convolution of the formation rate of NS-NS/BH binaries
(which is assumed to follow the SFR with negligible delay )
with the distribution of the merging time delays,
,
where
is the time over which GW losses bring a
binary to its pre-merging stage.
We adopt
in agreement with
the
-values of DNS radio pulsar binaries and population
synthesis calculations (Champion et al. 2004; Belczynski et al. 2007).
The SHB rate from primordial DNSs is given by
where
For a dynamically formed NS-NS/BH binary,
,
where the delay time
represents the
elapsed time between the birth of NSs and BHs in GCs and
the dynamical formation of NS-NS/BH systems following core collapse.
According to H06, the distribution of dynamically formed
NS-NS/BH binaries
(which replaces
in Eq. (1))
increases for increasing time delays.
We assume that the formation rate of GCs is proportional
to the total SFR
.
We derive an average delay of
and
,
for primordial and dynamically formed
NS-NS/BH systems, respectively (for the latter we considered only
values of
shorter than the Hubble time).
2.1 The SHB luminosity function
In this section we summarize the method adopted by GP06 and H06
to estimate the SHBs' LF and we derive the local SHB rates
independently for primordial and dynamically formed NS-NS/BH binaries.
We use here the same sample of 194 SHBs detected by BATSE as in
Paciesas et al. (1999).
GP06 and H06 modelled the ``isotropic-equivalent" LF (i.e.
uncorrected for beaming), with a broken power law extending
from
to
and with break at L*(with
), i.e.
(C0 is a normalization constant). The best fit LF was derived by using the SHB rate
Table 1: Model parameters and local rates.
The results in Table 1 are virtually insensitive to an increase of
,
whereas
cannot be increased by more
than a factor of 10
without excluding the least luminous SHB detected so far
(GRB050509B, Gehrels et al. 2005).
By decreasing
,
the local SHB rate increases approximately as
(Nakar 2006).
Objects with luminosity
observed by CGRO/BATSE or
Swift/BAT at a limiting flux of
are detectable up to a maximum redshift of
which decreases with decreasing
(for Swift/BAT
is
;
Sakamoto et al. 2008).
Therefore SHBs with very low
luminosity are above the limiting sensitivity of BATSE and BAT
only in a fairly small volume, where they appear rarely.
Current data do not constrain this part of the LF and
the number of very weak SHBs (if any) remains unknown.
It cannot be excluded that the volume afforded by the limiting sensitivity of
BATSE and BAT is close to that required in order to sample
the low-luminosity end of the LF of SHBs over the satellites' lifetime.
However this appears contrived and the low-luminosity
end of the SHB LF might well extend below the BATSE and BAT sensitivity.
We note in passing that the presently-known LF of long GRBs extends
over more than 4 decades
(see e.g. Liang et al. 2007; Guetta & Della Valle 2007).
In Sect. 3 we discuss further the implications
of a SBH LF that extends below the currently-estimated value.
There exists evidence that SHBs
are beamed in a relatively small solid angle.
Similarly to the case of long GRBs,
the jet opening angle is inferred from the steepening of the optical
afterglow light curve. Fox et al. (2005) found
a beaming factor of
for GRB 050709 and GRB 050724
(with
the fraction of the
solid angle within which the GRB
is emitted).
Soderberg et al. (2006) inferred
for GRB 051221A.
We adopt a fiducial value of
and derive a beaming-corrected rate of
and
Gpc-3 yr-1 for
SHBs originating in primordial and dynamically formed binaries, respectively.
The former estimate compares well with the lower end of the range estimated by
Belczynski et al. (2002) and
Kalogera et al. (2004) for primordial DNSs (200-2800 Gpc-3 yr-1).
2.2 The observed z distribution of SHBs
In order to infer the redshift distribution of SHBs, we use the
entire sample of presently known SHBs with redshift determination,
i.e. the sample of events in Table 2 of
Salvaterra et al. (2008)
plus GRB 071227, GRB 070429B and GRB 070714 at z = 0.384, z=0.902 and z=0.922,
respectively (D'Avanzo et al. 2007; Berger et al. 2007b;
D'Avanzo et al. 2008; Cenko et al. 2008).
We excluded two of the bursts (GRB 061006, GRB 061201) from the sample
of Salvaterra et al. (2008) because uncertainties in the redshift determination
.
We have verified that re-inserting these bursts in our sample
does not significantly affect any of our results.
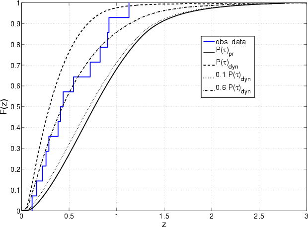
In Fig. 1 we compare the cumulative distribution of the
observed redshifts with the expected cumulative
z-distribution given by
where
We then considered the cumulative z-distribution that results
from a combination of primordial and dynamically
formed NS-NS/BH systems. By varying their relative incidence
the closest match with the observed z-distribution
of SHBs was found for a
60% contribution from dynamically
formed NS-NS/BH binaries (see the dot-dashed line in Fig. 1).
In order obtain a rough
lower limit on the incidence of dynamically formed NS-NS/BH systems
we decreased their contribution until a KS probability of 0.1 was
reached: this gives a
10% incidence of such systems.
We note that the corresponding local SHB rate is
and 1.6 Gpc-3 yr-1 for a 60% and 10% fraction of
dynamically formed mergers, respectively.
![]() |
Figure 1: Observed (histogram) and expected (curves) cumulative z-distribution functions for the different time-delay probabilities expected in the two scenarios. Model distributions are shown for different combination of primordial and dynamically formed NS-NS/BHsystems. |
| Open with DEXTER | |
Of course this incidence can be derived
only approximately, considering the small sample of SHBs
with redshift determinations known so far.
We emphasise that the relative contribution of the
two populations of merging binaries is determined
primarily by the observed redshift distribution of SHBs
,
which can be constrained at present only through
the 11 SHBs with known redshift.
The above estimate compares well with the fraction (10-30%) of SHBs produced in GCs, as derived by Grindlay et al. (2006). We conclude that the present sample of SHBs with redshift determination favors a bimodal origin of SHBs, with high-z bursts resulting primarily from the merging of primordial NS-NS/BH systems and low-z bursts produced mainly by dynamically-formed systems, as first proposed by Salvaterra et al. (2008). The contribution from the latter systems is unlikely to be <10%. This conclusion might be altered if there existed a large population of high redshift (and thus mainly primordial) SHBs that has so far remained unidentified (Berger et al. 2007a; O'Shaughnessy et al. 2008).
On the other hand the association of a SHB with a GC would confirm
unambiguously the dynamical formation scenario. The large offset
of some SHBs from their host galaxy is consistent with that of GCs
,
but direct evidence for this is still lacking. This issue may also be addressed
statistically by considering that, even though GCs
are present in galaxies of virtually all types
,
most of them are in early type galaxies. Therefore SHBs from dynamically formed
binaries, besides having on average lower redshifts than those from primordial
binaries, should be associated preferentially with early type galaxies.
Since our sample largely overlaps with that of Salvaterra et al. (2008), we
obtain similar results to theirs in this respect, with 3 in 3 SHBs associated
with early type galaxies at z < 0.3, and 1 in 8 SBHs in association with
early type galaxies at z > 0.3. While these results are in broad
agreement with a bimodal origin of NS-NS/BH systems giving rise to SHBs,
the low numbers involved prevent us from reaching any firm conclusion.
The beaming-corrected SHB rate scales as
![]() |
(4) |
If dynamically formed DNS mergers represent 10% of the total SHB local rate
3 Prospects for detection of gravitational waves
Within the NS-NS/BH binary interpretation, the local rate of SHBs has clear
implications for the number of merging events that can be detected with present
and future ground-based GW interferometers.
Based on the results in Sect. 2, we estimate here
the number of detectable GW events
expected for Advanced LIGO/Virgo class interferometers
due to SHBs originating from NS-NS/BH mergers,
| |
(5) | ||
![]() |
|||
![]() |
where
We note that as long as
the rate
of detectable GW events from BH-NS binaries will be higher
than that from DNSs (see Eq. (5)).
We assume
(and the other fiducial values in Eq. (5))
in the estimates of
given below, and report also
in parentheses the values corresponding to
and 1.
For Advanced LIGO/Virgo we find that events from primordial
and dynamically formed NS-NS/BH binaries are expected
at a rate of
14 yr-1
and
248 yr-1 (45, 450), respectively.
For
the latter event rate is dominated by merging
BH-NS binaries formed in GCs (
226 yr-1) and is close to the
upper end of the range
estimated by Kalogera et al. (2006) for primordial DNSs.
For present generation interferometers Eq. (5) gives 1 event in 238 years and
1 event in 13 years (74, 7 years) from primordial and dynamically
formed systems, respectively.
There are presently substantial uncertainties
in the values of the parameters in Eq. (5) and therefore
a precise estimate of the expected number of detectable GW event cannot be made yet.
However it should be possible in the near future to constrain more tightly the
uncertain parameters in Eq. (5). Concerning the beaming factor,
a few additional detailed studies of the optical afterglow of SHBs
with currently available instrumentation will allow a more precise
determination of
.
Taken at face value, the present
estimates range over a factor of
2.6.
The local SHB event rate R0, while
constrained by the large sample of SHBs revealed by BATSE,
can vary by up to a factor of
1.8 depending on
the redshift distribution and incidence of dynamically formed SHBs
(see Sects. 2.1 and 2.2). The latter
is presently determined through 11 SHBs, but the
sample of SHBs with secure redshift is steadily increasing
and should triple by the end of the Swift mission.
A more accurate determination of the lower end of the
SHB luminosity function will likely require more sensitive
GRB detectors than currently available; however, as we discussed in
Sect. 2.1 the lower limit
will likely decrease
(i.e.
will increase) resulting in a higher
expected rate of detectable GW events.
The incidence of NS-BH systems among dynamically
formed SHB progenitors
can be determined through
more extensive dynamical GC simulations. The whole
range of allowed values of
(i.e.
)
translates into a factor of
10 uncertainty in the
number of GW events in Eq. (5).
Our treatment assumes that SHBs with similar properties
are produced both by DNS and BH-NS mergers. From the point of view of the models,
this appears to be a reasonable ansatz as the torus of matter at nuclear densities is
expected to originate from the lightest collapsed object in the system
and provide the main source of energy for the SHB.
Moreover, observations have not yet shown clear evidence
that SHBs comprise different subclasses. Alternatively, if all SHBs
detected so far came from DNSs, the total GW event rate from
dynamically formed DNS and BH-NS mergers would be higher
(unless
holds). On the more pessimistic side,
if a fraction h of SHBs were due to an entirely different
phenomenon (e.g. giant flares from soft gamma repeaters, Hurley et al. 2005)
all the rates given above would be decreased by a factor
(1-h).
According to Sadowski et al. (2008), the rate of BH-BH mergers formed in globular clusters is high and can give rise to 0.01-1 event per year in LIGO and 25-3000 events per year in Advanced LIGO, a major uncertainty being the initial stellar mass fraction in dense clusters. Other authors envisage substantially lower rates (Portegies Zwart & McMillan 2000, O'Leary et al. 2006). Once the ratio between NS-NS/BH and BH-BH binaries in globular clusters will be better known from simulations, the merging rate of dynamically formed NS-NS/BH binaries inferred from SHBs can provide an independent normalization for the BH-BH merger rate.
We note that an interferometer's horizon would increase by a factor of
2.4 for a GW detection coinciding with a SHB detection (Cutler & Thorne 2002).
This is because of the higher sensitivity afforded by having independent
knowledge of the time of occurrence and sky position of the event.
The above factor also takes into account that, if SHBs are beamed
along the binary's angular momentum axis, then the SHBs that are detected
at the earth are also the ones whose orientation angle maximises the GW
signal. The larger horizon translates into a factor of
15 increase in
both
and
.
Considering that only
a fraction
of the SHBs are beamed toward us, the coincident event rate
would be
of the rates derived from Eq. (5).
4 Conclusions
In this paper we have presented a simple method for inferring the merging
rate and corresponding rate of detectable GW signals from coalescing
NS-NS/BH binaries. The method is based on the assumption that at least a
sizable fraction of SHBs originates in the merging of such binaries and
exploits the most recent results from observations to infer the luminosity function,
redshift distribution and degree of beaming of SHBs. We find further evidence in
favor of a bimodal origin of SHB progenitors, with the merging of primordial
binaries dominating at high redshift, whereas at lower redshift at least
10%
(and probably about half) of the events arise from coalescing binaries formed
dynamically in GCs. We have shown that the latter events make the
expected local merging rate higher.
The accuracy of the GW event rate that can be estimated at present is
hampered by our current knowledge of the parameters in Eq. (5).
Maximum uncertainties in the SHB beaming factor (
)
and local rate (R0)
add up to a factor of
5, whereas the ignorance of the incidence
of BH-NS binaries among dynamically formed systems adds
a factor of 10 uncertainty. This results in an increase of total uncertainty
by a factor of
50 in the detectable GW event rate in Eq. (5).
Though large, this is not far from the uncertainties of
other estimates of GW events in literature.
For instance Kalogera et al. (2004) estimate the galactic double neutron
star merger rate with an uncertainty of a factor of 14.
Similarly, the results of the dynamical simulations of Sadowski et al.
(2008) for BH-BH mergers are affected by a 1.5 decade wide uncertainty
in the initial mass fraction of globular clusters.
We expect that further SHB observations in the Swift era will lead to a more
accurate determination of
and R0, while more advanced dynamical globular
cluster simulations will decrease the range of allowed values of
.
Progress in this area might take place at a sufficiently fast pace
that our method can yield accurate predictions before GW events
from coalescing binaries are detected in large numbers.
We have shown that a sizeable fraction of detectable GW events is expected to be coincident with SHBs (depending on the SHB beaming factor): this provides a new interesting perspective for the Advanced LIGO/Virgo era. We conclude that SHBs can provide a powerful means of inferring the GW event rate from coalescing binaries containing two collapsed objects.
Acknowledgements
We acknowledge useful discussions with Monica Colpi, Livia Origlia and Andrea Possenti. This work was partially supported through ASI/INAF contracts ASI/I/R/039/04 and ASI/I/R/023/05.
References
- Belczynski, K., Kalogera, V., & Bulik, T. 2002, ApJ, 572, 407 [NASA ADS] [CrossRef] (In the text)
- Belczynski, K., Perna, R., Bulik, T., et al. 2006, ApJ, 648, 1110 [NASA ADS] [CrossRef] (In the text)
- Belczynski, K., Perna, R., Bulik, T., et al. 2007, ApJ, 662, 504 [NASA ADS] [CrossRef] (In the text)
- Berger, E., Fox, D. B., Price, P. A., et al. 2007a, ApJ, 664, 1000 [NASA ADS] [CrossRef] (In the text)
- Berger, E., Morrell, N., & Roth, M. 2007b, GCN, 7154 (In the text)
- Bloom, J. S., Sigurdsson, S., & Pols, O. R. 1999, MNRAS, 305, 763 [NASA ADS] [CrossRef] (In the text)
- Bloom, J. S., Perley, D., Kocevski, D., et al. 2006, GCN, 5238
- Burgay, M., D'Amico, N., Possenti, A., et al. 2003, Nature, 426, 531 [NASA ADS] [CrossRef] (In the text)
- Cenko, B. S., et al. 2008, [arXiv:0802.0874] (In the text)
- Champion, D. J., Lorimer, D. R., McLaughlin, M. A., et al. 2004, MNRAS, 350, L61 [NASA ADS] [CrossRef] (In the text)
- Cutler, C., & Thorne, K. S. 2002, Proc. of GR16, [arXiv:gr-qc/0204090] (In the text)
- D'avanzo, P., Fiore, F., Piranomonte, S., et al. 2007, GCN, 7152
- D'avanzo, P. et al. 2008, A&A, submitted
- Efremov, Yu. N. 2000, Astron. Lett. 26, 558 (In the text)
- Eichler, D., Livio, M., Piran, T., & Schramm, D. N. 1989, Nature, 340, 126 [NASA ADS] [CrossRef] (In the text)
- Fox, D. B., Frail, D. A., Price, P. A., et al. 2005, Nature, 437, 845 [NASA ADS] [CrossRef] (In the text)
- Gehrels, N., Sarazin, C. L., O'Brien, P. T., et al. 2005, Nature, 437, 851 [NASA ADS] [CrossRef] (In the text)
- Goodman, J. 1986, ApJ, 308, L47 [NASA ADS] [CrossRef] (In the text)
- Grindlay, J., Portegies Zwart, S. F., & McMillan, S. 2006, Nat. Phys. 2, 116 (In the text)
- Guetta, D., & Della Valle, M. 2007, ApJ, 657, L73 [NASA ADS] [CrossRef]
- Guetta, D., & Piran, T. 2005, A&A, 435, 421 [NASA ADS] [CrossRef] [EDP Sciences] (GP05) (In the text)
- Guetta, D., & Piran, T. 2006, A&A, 453, 823 [NASA ADS] [CrossRef] [EDP Sciences] (GP06) (In the text)
- Guetta, D., & Piran, T. 2007, JCAP, 07, 3 [NASA ADS] (In the text)
- Hopman, C., Guetta, D., Waxman, E. & Portegies Zwart, S. F. 2006, ApJ, 643, L91 [NASA ADS] [CrossRef] (H06) (In the text)
- Hurley, K., Boggs, S. E., Smith, D. M., et al. 2005, Nature, 434, 1098 [NASA ADS] [CrossRef] (In the text)
- Kalogera, V., Narayan, R., Spergel, D. N., & Taylor, J. H. 2001, ApJ, 556, 340 [NASA ADS] [CrossRef] (In the text)
- Kalogera, V., Kim, C., Lorimer, D. R., et al. 2004, ApJ, 601, L179 [NASA ADS] [CrossRef] (In the text)
- Liang, E. Zhang, B., Virgili, F., & Dai, Z. G. 2007, ApJ, 662, 1111 [NASA ADS] [CrossRef] (In the text)
- Nakar, E., Gal-Yam, A., & Fox, D. 2006, ApJ, 650, 281 [NASA ADS] [CrossRef] (In the text)
- Narayan, R., Piran, T. & Shemi, A. 1991, ApJ, 379, L17 [NASA ADS] [CrossRef] (In the text)
- Narayan, R., Paczynski, B., & Piran, T. 1992, ApJ, 395, L83 [NASA ADS] [CrossRef] (In the text)
- Oechslin, R., & Janka, H. T. 2007, Phys. Rev. Lett., 99, 121102 [NASA ADS] [CrossRef]
- O'Leary, R. M., Rasio, F. A. Fregeau, J. M. Ivanova N., & O'Shaighnessy, R. 2006, ApJ, 637, 937 [NASA ADS] [CrossRef]
- O'Shaughnessy, R., Belczynski, K., & Kalogera, V. 2008, ApJ, 675, 566 [NASA ADS] [CrossRef]
- Paciesas, W., Meegan, C. A., Pendleton, G. N. et al. 1999, ApJS, 122, 465 [NASA ADS] [CrossRef] (In the text)
- Paczynski, B. 1986, ApJ, 308, L43 [NASA ADS] [CrossRef] (In the text)
- Perna, R., & Belczynski, K. 2002, ApJ, 570, 252 [NASA ADS] [CrossRef] (In the text)
- Phinney, E. S. 1991, ApJ, 380, L17 [NASA ADS] [CrossRef] (In the text)
- Portegies Zwart, S., & McMillan, S. L. W. 2000, ApJ 528, L17
- Sadowski, A., Belczynski, K., Bulik, T., et al. 2008, ApJ, 676, 1162 [NASA ADS] [CrossRef] (In the text)
- Sakamoto, T., Barthelmy, S. D., Barbier, L., et al. 2008, ApJS, 175, 179 [NASA ADS] [CrossRef] (In the text)
- Salvaterra, R., Cerutti, A., Chincarini, G., et al. 2008, MNRAS, 388, L6 [NASA ADS] (In the text)
- Sigurdsson, S. Phinney, E. S. 1995, ApJS, 99, 609 [NASA ADS] [CrossRef]
- Soderberg, A. 2006, ApJ, 650, 261 [NASA ADS] [CrossRef] (In the text)
- Verbunt, F., & Hut, P. 1987, Proc. IAU Symp., 125, 187 [NASA ADS] (In the text)
- Woosley, S., & MacFadyen, A. I. 1999, A&AS, 138, 499 [NASA ADS] [CrossRef] [EDP Sciences] (In the text)
Footnotes
- ... SFR
- We note that Salvaterra et al. (2008) considered two alternative GC formation rates and found that these produce very similar results to those obtained by assuming that GC formation follows the SFR.
- ... determination
- However we note that D'Avanzo et al. (2008) have recently confirmed the redshift of GRB 061006.
- ... SHBs
- The other uncertainties in the expected cumulative distribution, see Eq. (3), play a negligible role here.
- ... GCs
- See Gehrels et al. (2005) for the case of GRB050509b and Bloom et al. (2006) for GRB060502b.
- ... types
- Except perhaps dwarf galaxies with MV > -13.
- ... rate
- Note that the contribution from BH-NS mergers is not included.
All Tables
Table 1: Model parameters and local rates.
All Figures
![]() |
Figure 1: Observed (histogram) and expected (curves) cumulative z-distribution functions for the different time-delay probabilities expected in the two scenarios. Model distributions are shown for different combination of primordial and dynamically formed NS-NS/BHsystems. |
| Open with DEXTER | |
| In the text | |
Copyright ESO 2009
Current usage metrics show cumulative count of Article Views (full-text article views including HTML views, PDF and ePub downloads, according to the available data) and Abstracts Views on Vision4Press platform.
Data correspond to usage on the plateform after 2015. The current usage metrics is available 48-96 hours after online publication and is updated daily on week days.
Initial download of the metrics may take a while.



![\begin{figure}
\par\includegraphics[width=8.8cm,clip]{0493.eps}
\end{figure}](/articles/aa/full_html/2009/17/aa10493-08/Timg46.gif)


![$\displaystyle \quad \times \left[(1-g_{\rm B})+g_{\rm B}\frac{V_{\rm BHNS}}{V_{\rm DNSs}}\right]~{\rm yr}^{-1},$](/articles/aa/full_html/2009/17/aa10493-08/img53.gif)