| Issue |
A&A
Volume 498, Number 2, May I 2009
|
|
|---|---|---|
| Page(s) | 471 - 477 | |
| Section | Interstellar and circumstellar matter | |
| DOI | https://doi.org/10.1051/0004-6361/200811518 | |
| Published online | 19 March 2009 | |
The Polish doughnuts revisited
I. The angular momentum distribution and equipressure surfaces
Lei Qian1,
-
M. A. Abramowicz1,2 -
P. C. Fragile3,1 -
J. Horák4,1 -
M. Machida5 -
O. Straub2,1
1 -
Department of Physics, Göteborg University,
412-96 Göteborg, Sweden
2 -
N. Copernicus Astronomical Center, Polish Academy
of Sciences,
Bartycka 18, 00-716 Warszawa,
Poland
3 -
Physics & Astronomy College of Charleston,
58 Coming Street Charleston SC
29424, USA
4 -
Astronomical Institute, Academy of Sciences of the
Czech Republic, Bocni II/1401a, 141-31 Prague, Czech Republic
5 -
National Astronomical Observatory of Japan 2-21-1 Osawa,
Mitaka, 181-8588 Tokyo, Japan
Received 12 December 2008 / Accepted 10 March 2009
Abstract
We construct a new family of analytic models of black hole accretion disks in dynamical equilibria. Our construction is based on assuming distributions of angular momentum and entropy. For a particular choice of the distribution of angular momentum, we calculate the shapes of equipressure surfaces. The equipressure surfaces we find are similar to those in thick, slim and thin disks, and to those in ADAFs.
Key words: black holes physics - accretion, accretion disks
1 Introduction
In accretion disk theory one is often interested in phenomena that
occur on a ``dynamical'' timescale
much shorter
than the ``viscous'' timescale
needed for
angular momentum redistribution and the ``thermal'' timescale
needed for entropy redistribution
,
The question whether it is physically legitimate to approximately describe the black hole accretion flows (at least in some ``averaged'' sense) in terms of stationary (independent on t) and axially symmetric (independent on
From the point of view of mathematical self-consistency, in
modeling of these stationary and axially symmetric dynamical
equilibria, distributions of the conserved angular momentum
and entropy,
may be considered as being free functions of the Lagrangian coordinates (Ostriker et al. 1966; Bardeen 1970; Abramowicz 1970). The Lagrangian coordinates
In practice, it is far easier to guess and use the coordinate
distributions of the specific angular momentum and entropy,
than the Lagrangian distributions (2). However, one does not known a priori the relation between the conserved
In several ``astrophysical scenarios'' one indeed guesses a
particular form of (3) and
(4). For example, the celebrated
Shakura & Sunyaev (1973) thin disk model assumes the Keplerian
distribution of angular momentum,
and the popular cold-disk-plus-hot-corona model assumes a low entropy flat disk surrounded by high entropy, more spherical corona. These models contributed considerably to the understanding of black-hole accretion physics.
The mathematically simplest assumption for the angular momentum
and entropy distribution is, obviously,
This was used by Paczynski and his Warsaw team to introduce the thick disk models (Jaroszynski et al. 1980; Abramowicz et al. 1978; Kozowski et al. 1978; Paczynski & Wiita 1980; Abramowicz 1981; Paczynski 1982; Abramowicz et al. 1980). Thick disks have characteristic toroidal shapes, resembling a doughnut. Probably for this reason, Martin Rees coined the name of Polish doughnuts
Figure 1 shows a comparison of a
state-of-art MHD simulation of black-hole accretion (time and
azimuth averaged) with a Polish doughnut corresponding to a
particular
.
Both models show the same characteristic
features of black hole accretion: (i) a funnel along the rotation
axis, relevant for jet collimation and acceleration; (ii) a
pressure maximum, possibly relevant for epicyclic oscillatory
modes; and (iii) a cusp-like self-crossing of one particular
equipressure surface, relevant for an inner boundary condition,
and for stabilization of the Papaloizou-Pringle (Blaes 1987),
thermal, and viscous instabilities (Abramowicz 1971). The cusp is
located between the radii of marginally stable and marginally
bound circular orbits,
Polish doughnuts have been useful in semi-analytic studies of the astrophysical appearance of super-Eddington accretion (see e.g. Sikora 1971; Szuszkiewicz et al. 1996; Madau 1988) and in analytic calculations of small-amplitude oscillations of accretion structures in connection with QPOs (see e.g. Blaes et al. 2006). In the same context, numerical studies of their oscillation properties for different angular momentum distributions were first carried out by Rezzolla et al. (2003b,a). Moreover, Polish doughnuts are routinely used as convenient starting initial configurations in numerical simulations (e.g. De Villiers & Hawley 2003; Hawley et al. 2001). Recently, Komissarov (2006) has constructed analytic models of magnetized Polish doughnuts.
![]() |
Figure 1:
Equipressure surfaces in a very simple and analytic
Polish doughnut ( left, with linear spacing), and a sophisticated,
state-of-art full 3D MHD numerical simulation ( right, with logarithmic
spacing). Although the shapes of equipressure surfaces are
remarkably similar, in the numerical model the pressure
gradient is seriously larger, and visibly enhanced along roughly
conical surfaces, approximately
|
| Open with DEXTER | |
2 Assumptions and definitions
We assume that the accretion flow is stationary and axially
symmetric. This assumption expressed in terms of the
Boyer-Lindquist spherical coordinates states that the flow
properties depend only on the radial and polar coordinates
,
and are independent on time t and azimuth
.
We
also assume that the dynamical timescale is much shorter than the
thermal and viscus ones (1). Accordingly, we ignore
dissipation and assume the stress-energy tensor in the perfect
fluid form,
with p and
The last assumption is not fulfilled close to the cusp (see Fig. 1), where there is a transition from ``almost circular'' to almost ``free-fall'' radial trajectories. Nevertheless, the transition could be incorporated in the form of the inner boundary condition (the relativistic Roche lobe overflow, see e.g. Abramowicz 1985).
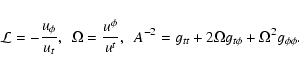
One introduces the specific angular momentum
,
the
angular velocity
,
and the redshift factor A by the well
known and standard definitions,
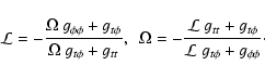
The specific angular momentum and angular velocity are linked by
The conserved angular momentum
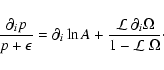
3 The shapes of the equipressure surfaces
In this section we briefly discuss one particularly useful result
obtained by Jaroszynski et al. (1980). It states that for a perfect fluid
matter rotating on circular trajectories around a black hole,
the shapes and location of the equipressure surfaces
const follow directly from the assumed angular momentum
distribution (3) alone. In particular,
they are independent of the equation of state,
,
and the assumed entropy distribution
(4).
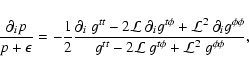
For a perfect-fluid matter, the equation of motion
yields,
which may be transformed into,
From the second derivative commutator
one derives (see e.g. Abramowicz 1971) the von Zeipel condition:
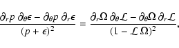
Jaroszynski et al. (1980) have also discussed a general, non barytropic
case. They wrote Eq. (14) twice, for i = r and
,
and divided the two equations side by side to get
For the Kerr metric components one knows the functions
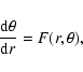
Let
be the explicit equation for the
equipressure surface
const. It is,
.
If the function
in (17) is known, then Eq. (17) takes the
form of an ordinary differential equation for the equipressure
surface,
,
with the explicitly known right hand side. It may be therefore directly integrated to get all the possible locations for the equipressure surfaces.
4 The angular momentum distribution
4.1 Physical arguments: the radial distribution
Jaroszynski et al. (1980) discussed general arguments showing that the
slope of the specific angular momentum should be between two
extreme: the slope corresponding to
and the
slope corresponding to
const. These two cases,
together with the Keplerian one
,
may be
considered as useful archetypes in discussing arguments relevant
to the angular momentum distribution.
Indeed, far away from the black hole
,
these arguments
are well known (see e.g. Frank et al. 2002) and together with
numerous numerical simulations show that typically (i.e. in a
stationary case with no shocks) the specific angular momentum
should be slightly sub-Keplerian
.
There is a solid consensus on this point.
The situation close to the black hole is less clear because there is not sufficient knowledge of the nature of the stress operating in the innermost part of the flow, i.e. approximately between the horizon and the ISCO. Formally, one may consider two extreme ideal cases, depending whether the stress is very small or very large.
In the first case, the almost vanishing stress implies that the
fluid is almost free-falling, and therefore the angular momentum
is almost constant along fluid lines. This leads to
const. Such situation is typical for the thin
Shakura & Sunyaev (1973) and slim (Abramowicz et al. 1988) accretion disks. In
the second case, one may imagine a powerful instability like MRI,
which occurs when
.
It may force the fluid
closer to the marginally stable state
const. This
situation may be relevant for ADAFs (Abramowicz et al. 1995; Narayan & Yi 1988).
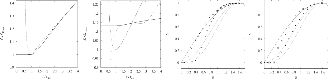
![]() |
Figure 2:
a) and b): the distribution of angular momentum on the equatorial plane. Thick lines correspond to the
angular momentum predicted by our analytic formula, dashed lines show the Keplerian angular momentum distribution and dots to the simulation data. a): Kerr geometry a=0.9 simulations by Sadowski (2008). b): Pseudo-Newtonian MHD simulations by Machida & Matsumoto (2008). c) and d): angular momentum off the equatorial plane, normalized to its equatorial plane value,
|
| Open with DEXTER | |
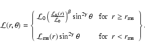
4.2 The new ansatz
We suggest adopting the following assumption for the angular
momentum distribution,
The constant
while for the ``MHD'' case its is calculated from the
Thus, there are only three dimensionless parameters in the model: (
The function
4.3 Angular momentum on the equatorial plane
On the equatorial plane,
,
and therefore only
and
(through
)
enter the distribution
formulae (19).
when
For small values of
the assumed equatorial plane angular
momentum (23) reproduces the characteristic
shape, shown in Fig. 2, which has been
found in many numerical simulations of accretion flows -
including stationary, axially symmetric,
viscosity,
hydrodynamical ``slim disks'' (e.g. Abramowicz et al. 1988), and more
recent, fully 3-D, non-stationary MHD simulations
(e.g. Fragile et al. 2009; Machida & Matsumoto 2008). It corresponds to a
distribution that is slightly sub-Keplerian for large radii, and
closer to the black hole it crosses the Keplerian distribution
twice, at
and at
,
forming a super-Keplerian part around
.
For
the angular momentum is almost constant.
4.4 Angular momentum off the equatorial plane
Numerical simulations show that away from the equatorial plane, the angular momentum falls off.
Figure 2 shows that indeed several MHD simulations (Fragile et al. 2009; Machida & Matsumoto 2008, Figs. 2c and d respectively), feature a drop of angular momentum away from the equatorial plane.
This behavior is reflected by the term
in (19). One may see that this form accurately mimics the outcome of the numerical simulations.
Proga & Begelman (2003a,b) also studied axisymmetric accretion
flows with low specific angular momentum using numerical
simulations. In their inviscid hydrodynamical case
Proga & Begelman (2003a) found that the inner accretion flow
settles into a pressure-rotation supported torus in the equatorial
region and a nearly radial inflow in the polar funnels.
Furthermore, the specific angular momentum in the equatorial torus
was nearly constant. This behavior changes once magnetic fields
are introduced, as shown in Proga & Begelman (2003b). In the MHD case,
the magnetic fields transport specific angular momentum so that in
the innermost part of the flow, rotation is sub-Keplerian, whereas
in the outer part, it is nearly Keplerian. Similar rotational
profiles are also found in MHD simulations of the collapsar model
of gamma-ray bursts (Baiotti et al. 2008; Proga et al. 2003), which use a sophisticated
equation of state and neutrino cooling (instead of a simple
adiabatic equation of state). Therefore, it appears that the
rotational profile assumed in our model is quite robust as it has
been obtained in a number of numerical experiments with various
microphysics.
5 Results
Figures 3 and 4
show sequences of models calculated with the new ansatz
(19) for black-hole spins a=0 and 0.5,
respectively. For these models we hold
fixed,
while
and
are varied over the limits of their
accessible ranges.
![]() |
Figure 3:
Equipressure surfaces for a = 0 and
|
| Open with DEXTER | |
![]() |
Figure 4:
Equipressure surfaces for a = 0.5 and
|
| Open with DEXTER | |
5.1 Equipressure surfaces on the axis of rotation
Figures 3 and 4
show an interesting change of
the behavior of equipressure surfaces close to the axis with
increasing
.
No equipressure surface can cross the symmetry
axis when the dependence of the angular momentum on
is
weak. This is the case for the first three columns of
Fig. 3 where
.
On the
other hand, for the angular momentum distributions with higher
the equipressure surfaces cross the axis perpendicularly.
This happens in plots of the last column of Fig. 3. This behavior can be understood easily
from the limit of
as
.
In
Schwarzschild spacetime Eqs. (17) and
(18) give
The limit on the right-hand side is either 0, 1 or
5.2 Comparison with numerical simulations
Figure 5 illustrates that the results of the analytic
models are well matched with results of modern 3-D MHD numerical
simulations (here taken from Fragile et al. 2009,2007). For the
correct choice of parameters, the model can reproduce many of the
relevant features of the numerical results, including the
locations of the cusp and pressure maximum, as well as the
vertical thickness of the disk. At this stage, such qualitative
agreement is all that can be hoped for. One notable difference
between the analytic and numerical solutions is the behavior
inside the cusp. While the analytic equipressure surfaces formally
diverge toward the poles, the numerical solution maintains a
fairly constant vertical
height, which is also evident in Fig. 1.
This is because in the region inside the cusp, our assumption (10) about the form of the velocity is not valid - velocity cannot be consistent with a pure rotation only,
.
In this region the radial velocity ur must be non-zero and large. Thus, accuracy of our analytic models may only be trusted in the region outside the cusp,
.
6 Discussion
In this paper we assumed a form of the angular momentum distribution (19) and from this calculated the shapes and locations of the equipressure surfaces. This may be used in calculating spectra (in the optically thick case) by the same ``surface'' method as used in works by Sikora (1971) and Madau (1988).
We plan to construct the complete physical model of the interior
in the second paper of this series. Here, we only outline the
method by considering a simplified toy model. Let us denote
.
We assume a toy (non-barytropic) equation of
state and an entropy distribution, by writing,
Let us, in addition, define two functions connected to the entropy distribution,
From the obvious condition that the second derivative commutator of pressure vanishes,
where Gr and
and can be calculated from the angular momentum distribution using Eq. (14). From (27) it is obvious that one cannot independently assume the functions
that may be directly integrated. Then the condition (27) gives the physical spacing (``labels'') to the isentropic surfaces, and through the equation of state (25) also to equipressure surfaces and isopicnic (
Note, that a possible choice
corresponds, obviously, to the ``von Zeipel'' case in which
equipressure and isentropic surfaces coincide. In this case the
denominator in (27) vanishes, implying a
singularity unless the numerator also vanishes. The condition for
the numerator to vanish is, however, equivalent to the von Zeipel
condition.
![]() |
Figure 5:
Comparison of pressure distributions between the analytic model ( dark lines)
and numerical simulations ( colors). The results of MHD
simulations (taken from Fragile et al. 2009,2007) have been
time-averaged over one orbital period at
|
| Open with DEXTER | |
7 Conclusions
The new ansatz (19) captures two essential features of the angular momentum distribution in black hole accretion disks:
- 1.
- On the equatorial plane and far from the black hole, the angular momentum in the disk differs only little from the Keplerian one being slightly sub-Keplerian, but closer in it becomes (slightly) super-Keplerian and still closer, in the plunging region, sub-Keplerian again and nearly constant.
- 2.
- Angular momentum may significantly decrease off the equatorial plane, and become very low (even close to zero, in a non-rotating ``corona'').
Acknowledgements
We thank Daniel Proga and Luciano Rezzolla for helpful comments and suggestions. Travel expenses connected to this work were supported by the China Scholarship Council (Q.L.), the Polish Ministry of Science grant N203 0093/1466 (M.A.A.), and the Swedish Research Council grant VR Dnr 621-2006-3288 (P.C.F.).
References
- Abramowicz, M. A. 1970, Ap. Lett., 7, 73 [NASA ADS]
- Abramowicz, M. A. 1971, Acta Astr., 21, 81 [NASA ADS] (In the text)
- Abramowicz, M. A. 1981, Nature, 294, 235 [NASA ADS] [CrossRef]
- Abramowicz, M. A. 1985, PASJ, 37, 727 [NASA ADS] (In the text)
- Abramowicz, M. A. 2005, Astr. Nacht., 326, a collection of articles on the twin, high frequency QPOs (In the text)
- Abramowicz, M. A., Jaroszynski, M., & Sikora, M. 1978, A&A, 63, 221 [NASA ADS]
- Abramowicz, M. A., Calvani, M., & Nobili, L. 1980, ApJ, 242, 772 [NASA ADS] [CrossRef]
- Abramowicz, M. A., Czerny, B., Lasota, J.-P., & Szuszkiewicz, E. 1988, ApJ, 332, 646 [NASA ADS] [CrossRef] (In the text)
- Abramowicz, M. A., Chen, X., Kato, S., Lasota, J.-P., & Regev, O. 1995, ApJ, 438, L37 [NASA ADS] [CrossRef]
- Abramowicz, M. A., Chen, X.-M., Granath, M., & Lasota, J.-P. 1997, ApJ, 471, 762 [NASA ADS] [CrossRef]
- Baiotti, L., Giaccomazzo, B., & Rezzolla L. 2008, Phys. Rev. D, 78, 0804033 [CrossRef]
- Bardeen, J. M. 1970, ApJ, 162, 71 [NASA ADS] [CrossRef]
- Blaes, O. M. 1987, MNRAS, 227, 975 [NASA ADS] (In the text)
- Blaes, O. M., Arras, P., & Fragile, P. C. 2006, MNRAS, 369, 1235 [NASA ADS] [CrossRef] (In the text)
- De Villiers, J.-P., & Hawley, J. F. 2003, ApJ, 592, 1060 [NASA ADS] [CrossRef]
- Fabian, A. C., & Vaughan, S. 2003, MNRAS, 340, L28 [NASA ADS] [CrossRef] (In the text)
- Fragile, P. C., Blaes, O. M., Anninos, P., & Salmonson, J. D. 2007, ApJ, 668, 417 [NASA ADS] [CrossRef] (In the text)
- Fragile, P. C., Lindner, C. C., Anninos, P., & Salmonson, J. D. 2009, ApJ, 691, 482 [NASA ADS] [CrossRef]
- Jaroszynski, M., Abramowicz, M. A., & Paczynski, B. 1980, Acta Astr., 30, 1 [NASA ADS]
- Frank, J., King, A., & Raine, D. 2002, Accretion Power in Astrophysics, 3rd edition (Cambridge University Press) (In the text)
- Hawley, J. F., Balbus, S. A., & Stone, J. M. 2001, ApJ, 554, 49 [NASA ADS] [CrossRef]
- Komissarov, S. 2006, MNRAS368, 993 (In the text)
- Kozowski, M., Abramowicz, M. A., & Jaroszynski, M. 1978, A&A,
- Machida, M., & Matsumoto, R. 2008, PASJ, 60, 613 [NASA ADS] (In the text)
- Madau, P. 1988, ApJ, 327, 116 [NASA ADS] [CrossRef]
- Montero, P. J., Rezzolla, L., & Yoshida, S. 2004, MNRAS, 354, 1040 [NASA ADS] [CrossRef]
- Narayan, R., & Yi, I. 1988, ApJ, 444, 231 [NASA ADS] [CrossRef]
- Ostriker, J., Bodenheimer, P., & Lynden-Bell, D. 1966, , 17, 816
- Paczynski, B. 1982, Astr. Gesellschaft, 57, 27 [NASA ADS]
- Paczynski, B., & Wiita, P. 1980, A&A, 88, 23 [NASA ADS]
- Proga, D., & Begelman, M. C. 2003a, ApJ, 582, 69 [NASA ADS] [CrossRef]
- Proga, D., & Begelman, M. C. 2003b, ApJ, 592, 767 [NASA ADS] [CrossRef]
- Proga, D., MacFadyen, A. I., Armitage, P. J., & Begelman, M. C. 2003, ApJ, 599, L5 [NASA ADS] [CrossRef]
- Rezzolla, L., Yoshida, S., & Zanotti, O. 2003a, MNRAS, 344, 978 [NASA ADS] [CrossRef]
- Rezzolla, L., Yoshida, S., Maccarone, T. J., & Zanotti, O. 2003b, MNRAS, 344, L37 [NASA ADS] [CrossRef]
- Sadowski, A. 2008, ApJ, submitted (In the text)
- Shafee, R., McClintock, J. E., Narayan, R., et al. 2007, ApJ, 636, L113 [NASA ADS] [CrossRef]
- Shafee, R., McKinney, J. C., Narayan, R., et al. 2008, ApJ, 687, L25 [NASA ADS] [CrossRef]
- Sikora, M. 1971, MNRAS, 196, 257 [NASA ADS]
- Shakura, N. I., & Sunyaev, R. A. 1973, A&A, 24, 337 [NASA ADS] (In the text)
- Szuszkiewicz, E., Malkan, M., & Abramowicz, M. A. 1996, ApJ, 458, 474 [NASA ADS] [CrossRef]
- Tassoul, J.-L. 1978, Theory of Rotating Stars (Princeton University Press), Chap. 7.2
- Witt, H. J., Jaroszynski, M., Haensel, P., Paczynski, B., & Wambsganss, J. 1994, ApJ, 422, 219 [NASA ADS] [CrossRef] (In the text)
Footnotes
- ...
- Permanent address: Department of Astronomy, Peking University Cheng Fu St. 209, 100871 Beijing, PR China.
- ... redistribution
- We use the spherical Boyer-Lindquist coordinates
,
the geometrical units c = 1 = G and the +-- signature. The Kerr metric is described by the ``geometrical'' mass M and the ``geometrical'' spin parameter 0 < a < 1, that relate to the ``physical'' mass and angular momentum by the rescaling,
,
.
Partial derivatives are denoted by
and covariant derivatives by
.
- ...
doughnuts
- However, real Polish doughnuts (called paczki in Polish) have spherical shapes. They are definitely non-toroidal - see e.g. http://en.wikipedia.org/wiki/Paczki
- ...

- The best known Newtonian
version of the von Zeipel condition states that for a barytropic
fluid
,
both angular velocity and angular
momentum are constant on cylinders,
,
,
with
being the distance from the
rotation axis.
- ...

- A somewhat similar situation in the case of rotating stars is known as the von Zeipel paradox (Tassoul 1978): Pseudo-barytropic models in a state of permanent rotation cannot be used to describe rotating stars in strict radiative equilibrium.
All Figures
![]() |
Figure 1:
Equipressure surfaces in a very simple and analytic
Polish doughnut ( left, with linear spacing), and a sophisticated,
state-of-art full 3D MHD numerical simulation ( right, with logarithmic
spacing). Although the shapes of equipressure surfaces are
remarkably similar, in the numerical model the pressure
gradient is seriously larger, and visibly enhanced along roughly
conical surfaces, approximately
|
| Open with DEXTER | |
| In the text | |
![]() |
Figure 2:
a) and b): the distribution of angular momentum on the equatorial plane. Thick lines correspond to the
angular momentum predicted by our analytic formula, dashed lines show the Keplerian angular momentum distribution and dots to the simulation data. a): Kerr geometry a=0.9 simulations by Sadowski (2008). b): Pseudo-Newtonian MHD simulations by Machida & Matsumoto (2008). c) and d): angular momentum off the equatorial plane, normalized to its equatorial plane value,
|
| Open with DEXTER | |
| In the text | |
![]() |
Figure 3:
Equipressure surfaces for a = 0 and
|
| Open with DEXTER | |
| In the text | |
![]() |
Figure 4:
Equipressure surfaces for a = 0.5 and
|
| Open with DEXTER | |
| In the text | |
![]() |
Figure 5:
Comparison of pressure distributions between the analytic model ( dark lines)
and numerical simulations ( colors). The results of MHD
simulations (taken from Fragile et al. 2009,2007) have been
time-averaged over one orbital period at
|
| Open with DEXTER | |
| In the text | |
Copyright ESO 2009
Current usage metrics show cumulative count of Article Views (full-text article views including HTML views, PDF and ePub downloads, according to the available data) and Abstracts Views on Vision4Press platform.
Data correspond to usage on the plateform after 2015. The current usage metrics is available 48-96 hours after online publication and is updated daily on week days.
Initial download of the metrics may take a while.


![\begin{figure}
\par\includegraphics[width=9cm]{1518.F01.eps} \end{figure}](/articles/aa/full_html/2009/17/aa11518-08/Timg48.gif)










![\begin{figure}
\par\mbox{\includegraphics[width=4.45cm,height=4.45cm]{1518.F02.e...
...fill
\includegraphics[width=4.45cm,height=4.45cm]{1518.F05.eps} }
\end{figure}](/articles/aa/full_html/2009/17/aa11518-08/Timg90.gif)

![\begin{displaymath}
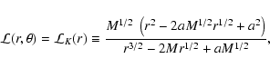
{\cal L}_{\rm ms}(r) = {\cal L}_0~[{\cal L}_{\rm K}(r_{\rm ms})/{\cal L}_0]^{\beta}
= {\rm const.},
\end{displaymath}](/articles/aa/full_html/2009/17/aa11518-08/img94.gif)


![\begin{figure}
\par\mbox{\includegraphics[width=4.3cm,clip]{1518.F06.eps} \inclu...
...]{1518.F24.eps} \includegraphics[width=4.3cm,clip]{1518.F25.eps} }
\end{figure}](/articles/aa/full_html/2009/17/aa11518-08/Timg117.gif)
![\begin{figure}
\par\mbox{\includegraphics[width=4.3cm,clip]{1518.F26.eps} \inclu...
...]{1518.F44.eps} \includegraphics[width=4.3cm,clip]{1518.F45.eps} }
\end{figure}](/articles/aa/full_html/2009/17/aa11518-08/Timg119.gif)





![\begin{displaymath}\left[\frac{{\rm d}\theta}{{\rm d}r}\right]_{\cal S} =
-\lambda(r, \theta),
\end{displaymath}](/articles/aa/full_html/2009/17/aa11518-08/img140.gif)
![\begin{figure}
\par\includegraphics[width=8cm,clip]{1518.F46.eps}\vspace*{2.5mm}
\includegraphics[width=8cm,clip]{1518.F47.eps} \end{figure}](/articles/aa/full_html/2009/17/aa11518-08/Timg143.gif)