| Issue |
A&A
Volume 498, Number 2, May I 2009
|
|
|---|---|---|
| Page(s) | L9 - L12 | |
| Section | Letters | |
| DOI | https://doi.org/10.1051/0004-6361/200911759 | |
| Published online | 25 March 2009 | |
LETTER TO THE EDITOR
Detection of 15NH2D in dense cores: a new tool for measuring
the
N/
N ratio in the cold ISM![[*]](/icons/foot_motif.gif)
M. Gerin1 - N. Marcelino2 - N. Biver3 - E. Roueff4 - L. H. Coudert5 - M. Elkeurti5 - D. C. Lis6 - D. Bockelée-Morvan3
1 - LERMA, UMR 8112, CNRS, Observatoire de Paris and École Normale Supérieure, 24 rue Lhomond, 75231 Paris Cedex 05, France
2 - Laboratorio de Astrofísica Molecular, CAB-CSIC/INTA, Ctra de Torrejón a Ajalvir km 4, 28850 Torrejón de Ardoz, Madrid, Spain
3 - LESIA, UMR 8109, CNRS and Observatoire de Paris, 5 place J. Janssen, 92195 Meudon
Cedex, France
4 -
LUTh, Observatoire de Paris and UMR 8102 CNRS, 5 place J. Janssen, 92195 Meudon Cedex, France
5 - LISA, UMR 7583 CNRS and Université Paris 12, 61 avenue du Général
de Gaulle, 94010 Créteil Cedex, France
6 - California Institute of Technology, MC 320-47, Pasadena, CA 91125, USA
Received 30 January 2009 / Accepted 12 March 2009
Abstract
Context. Ammonia is one of the most reliable tracers of cold dense cores. It is also a minor constituent of interstellar ices and, as such, one of the important nitrogen reservoirs in the protosolar nebula, together with the gas phase nitrogen, in the form of N2 and N. An important diagnostic of the various nitrogen sources and reservoirs of nitrogen in the Solar System is the 14N/15N isotopic ratio. While good data exist for the Solar System, corresponding measurements in the interstellar medium are scarce and of low quality.
Aims. Following the successful detection of the singly, doubly, and triply deuterated isotopologues of ammonia, we searched for 15NH2D in dense cores, as a new tool for investigating the 14N/15N ratio in dense molecular gas.
Methods. With the IRAM-30 m telescope, we obtained deep integrations of the ortho 15NH2D (11,1-10,1) line at 86.4 GHz, simultaneously with the corresponding ortho NH2D line at 85.9 GHz.
Results. The ortho 15NH2D (11,0-10,1) is detected in Barnard-1b, NGC1333-DCO+, and L1689N, while we obtained upper limits towards LDN1544 and NGC1333-IRAS4A, and a tentative detection towards L134N(S). The para line at 109 GHz remains undetected at the rms noise level achieved. The 14N/15N abundance ratio in 15NH2D ranges between 350 and 850, similar to the protosolar value of
424, and likely higher than the terrestrial ratio of
270.
Key words: astrochemistry - ISM: clouds - ISM: molecules - ISM: general - radio lines: ISM
1 Introduction
Nitrogen chemistry is particularly interesting for
understanding the connection between the ISM and the formation of the solar nebula,
because it is assumed that the primitive atmospheres were nitrogen-rich,
as Titan remains to be today. Furthermore, the isotopic
15N/14N ratio has been measured in a variety of Solar System
bodies, from the giant planets to the rocky planets, comets, and
meteorites. The observed differences in nitrogen fractionation are
used to understand how these bodies formed within the protosolar nebula.
The combination of nitrogen and hydrogen (D/H) isotopic ratios has
been demonstrated to be a very effective way of understanding how the
ice mantles were enriched in deuterium and nitrogen. Aléon & Robert
2004 concluded that a fast condensation of
the organic matter, enriched in 15N and deuterium, is needed
to retain a significant fractionation in the solid material of
the primitive Solar System. They
also evaluated the exothermicity of the fractionation reactions
for nitrogen to be
K. The D fractionation was not
inherited from the native prestellar core, but most likely produced in
the protosolar nebula (Remusat et al. 2006, Gourier et al. 2008); however,
the same physical and chemical
processes are operating in both the prestellar cores and the
coldest regions of circumstellar disks.
In the ISM, observations show that,
in contrast to CO, nitrogen does not deplete from the gas phase into dense
cores, except when the density rises significantly above 106 cm-3. Nitrogen species can therefore be very significantly deuterated, with D/H fractionation of several tenths for N2D+
Daniel et al. 2007,Pagani et al. 2007 and NH2D (Crapsi et al. 2007). Multiply deuterated ammonia in particular can be very abundant (Gerin et al. 2006,Lis et al. 2002a,Lis et al. 2006,Roueff et al. 2005).
Nitrogen molecules should therefore be significant molecular reservoirs of deuterium. It is interesting to study whether they could also be enriched in 15N, and whether signatures
from an enrichment at an early evolutionary stage can be identified in primitive matter.
High 15N enhancements are measured both in HCN and CN cometary gases Bockelée-Morvan et al. 2008,Schulz et al. 2008, and in primitive carbonaceous meteorites. High 15N enhancements may have been present in the ammonia ices of the natal presolar cloud according to the fractionation mechanism proposed by Rodgers & Charnley (2008a,b, 2004) and Charnley & Rodgers 2002. Nitrogen fractionation is not expected to be as efficient as deuterium fractionation in dense cores, yet significant departures from the elemental 14N/15N ratio may occur in some molecules. As first shown by Terzievia & Herbst (2000), and developed by Charnley & Rodgers 2002 and Rodgers & Charnley 2008a, nitrogen fractionation in the gas phase may operate through ion-molecule reactions involving atomic or ionized nitrogen. Rodgers and Charnley 2008b subsequently studied the possible role of neutral-neutral reactions involving 15N and CN. Little observational interstellar data are available. We therefore initiated a survey of the main nitrogen-bearing interstellar species in 5 dense cores and a class 0 source (Table 1). This paper reports the detection of o-15NH2D as the first result of this survey.
Table 1: Source list.
2 Observations
The microwave and far infrared spectra of 15NH2D and 15NHD2
were investigated by Elkeurti et al. (2008)
and used to produce the corresponding line lists as supplementary
data
, while accurate line lists and partition functions for the 14N isotopologues of the NH3 family can
be found in Coudert & Roueff 2006. These species are also independently listed in the Cologne Database for Molecular Spectroscopy (CDMS, Müller et al. 2001, 2005),
with small differences in the line frequencies due to the different handling of the Hamiltonians.
We decided to search for the 11,1-10,1 line of ortho 15NH2D since the corresponding NH2D line is very strong and both the sky transmission and telescope performances are excellent at 86 GHz. The frequency shift introduced by the 15N substitution is small enough for the two isotopologues to be observed with the same receiver tuning. The line frequencies (Elkeurti et al. 2008), Einstein A coefficients, upper energy levels, and critical densities are listed in Table 2. We used the theoretical estimates of the critical densities from the reduced-mass ratio scaling of Machin & Roueff 2006 for the NH2D-He values at 10 K, which is the temperature appropriate for the cold cores that we observed. However these values are probably too high when molecular hydrogen is involved, as found for calculations of the NH3-H2 system by Valiron et al. (private communication).
Table 2: Einstein coefficients, upper level energies and critical densities for the range of temperatures considered in this work.
The observations were performed with the IRAM-30 m telescope, during three
observing sessions in December 2007, March 2008, and September 2008. We used
the A100 and B100 receivers in parallel, tuned to 86.2 GHz to
detect o-NH2D and o-15NH2D with the same detector setting.
The weather conditions were average,
with 5-10 mm of water vapor (PWV). The NH2D and 15NH2D lines
were observed simultaneously, the J=1-0 lines of
HC15N and H13CN being at 86.055 GHz and 86.338 GHz, respectively.
We used the VESPA correlator, tuned to a spectral resolution of 40 kHz, and a spectral bandpass of
40 MHz for each line. The data were taken using the wobbling secondary reflector with a
beam separation of 240''. Telescope pointing was checked on nearby
planets and bright radio quasars and was found to be accurate to
3''.
Because of the rather poor weather conditions during the September run (high PWV
and cloudy sky), the pointing accuracy was degraded to
5''.
Additional observations of the p-15NH2D line at 109.3 GHz were obtained
in March 2008. We searched only for this line towards Barnard-1b and
detected no signal down to a rms noise level of 18 mK with 0.2 km s-1
velocity resolution. For L134N(S), we combined the data with observations
performed in April 2005, as part of the dark-cloud line-survey project Marcelino et al. 2009.
The weather conditions were excellent (1-2 mm PWV) and the
observations performed in the frequency switching mode.
![]() |
Figure 1:
Spectra of the 11,1-10,1 lines of o-NH2D (grey/red line) ando-15NH2D(black line). The vertical scale is
|
| Open with DEXTER | |
The data processing was performed with the GILDAS
software (e.g. Pety et al. 2005).
We used the dec08b version of this software, which allowed us to correct
for a minor bug in the frequency calibration during observations.
The IRAM-30 m data are presented in main beam temperatures
,
using the forward and main beam efficiencies
and
,
respectively, appropriate for 86 GHz, i.e.
= 0.95 and
= 0.78. The uncertainty in the flux calibration is
10%, as checked by the variation of the intensity of the strong o-NH2D and H13CN lines in the spectrum. Linear baselines were subtracted.
Because the nuclear spin of 15N is 1/2, the 15NH2D
lines are split into fewer hyperfine components than NH2D, which makes their detection more
favorable. The hyperfine structure of 15NH2D
is driven by the quadrupole moment of the deuterium nucleus, which is much smaller than the
corresponding value of 14N. We checked, by using the
nuclear quadrupole constants provided in Garvey et al. (1976), that
the resulting hyperfine splitting is lower than 50 kHz. We can thus
safely assume that the spectrum reduces to a single
component.
As shown in Fig. 1, the 15NH2D line is
clearly detected towards Barnard-1b,
and L1689N, while we obtained upper limits towards LDN1544 and
NGC1333-IRAS4A and tentative detections towards NGC1333-DCO+ and L134N(S).
The ratio of the peak antenna temperatures of the NH2D and 15NH2D lines
is 50-100, and the velocity agreement is excellent. Using the JPL and CDMS spectroscopy data bases, we checked that no line of known interstellar molecules are expected within a range
300 kHz about the 15NH2D line frequency. The identification of the detected feature
is therefore secure.
The line parameters were estimated by fitting Gaussian profiles to
the detected o-15NH2D lines. For o-NH2D, we used the HFS routine
implemented in CLASS, which allowed us to take into account the hyperfine
components self-consistently. The opacity of
the ortho NH2D line is moderate in all sources, with a total
opacity for all lines ranging from
1 to
5
(Table 3).
3 Results
3.1 NH2D and 15NH2D
Our fitting results and derived molecular column densities are listed in Table 3. Since we are interested mostly in the ratio of column densities, we computed them with the simple assumption of a single excitation temperature. We used the excitation temperature derived from the NH2D fit for both isotopic species. The o-NH2D column densities are in good agreement with previously published results for the same sources Roueff et al. 2005. The [NH2D]/[15NH2D] abundance ratio ranges from 360 to 810, reaching its highest value for L1689N. This last source is an interaction region between a molecular outflow and a dense core, and as such may have peculiar properties Lis et al. 2002b. Given the error bars, the measured [NH2D]/[15NH2D] ratio is comparable to the 14N/15N protosolar ratio, as measured in Jupiter (450; Fouchet et al. 2004) and in osbornite-bearing calcium-aluminium-rich inclusions from meteorites (424; Meibom et al. 2007), and likely higher than the terrestrial abundance ratio (270). Although the uncertainty in the [NH2D]/[15NH2D] ratio remains large, the cold prestellar cores L1689N and LDN1544 seem to have higher ratios than Barnard-1b and NGC1333-DCO+.
Table 3: Line intensities and molecular column densities.
3.2 15N fractionation
Nitrogen fractionation involves two main mechanisms in the gas phase: isotopic-dependent photodissociation of molecular N2, principally at work in the atmosphere of Titan (Liang et al. 2007), and possible ion-molecule fractionation reactions occurring at low temperatures in cold dense cores as first measured by Adams & Smith (1981) and calculated by Terzieva and Herbst (2000). In this latter case, the involved endothermicity values range between a few K and 36 K for exchange reactions involving 15N, 15N+, and 15NN. Selective photodissociation of N2 and 14N15N takes place at wavelengths between 80 and 100 nm, a range where cold dense cores are completely opaque. Then, this mechanism does not operate in the present context. Charley & Rodgers 2002 and Rodgers & Charnley 2008a investigated the nitrogen fractionation in their time-dependent, coupled gas/solid chemical models. They concluded that 15N-rich ammonia and deuterated ammonia can be frozen onto the ice mantles, provided all nitrogen is not converted into N2. The gas phase becomes enriched at early times, before the complete freezing of the gas-phase molecules.
Additional fractionation reactions may be introduced such as those
involving 15N+ with CN and NH3
and some neutral-neutral reactions between 15N and
CN (Rodgers & Charnley 2008b). However, these reactions have not been studied in the laboratory and
these schemes remain highly hypothetical. We developed a gas-phase chemical code, including ion-molecule fractionation reactions for carbon and nitrogen
Langer 1992,Langer et al. 1984,Terzieva & Herbst 2000, as well as a complete deuterium chemistry (Roueff et al. 2005). We explicitly introduced D and 13C on the one hand and D and 15N on the other hand for NH
,
HCN, and HNC molecules, for comparing directly the model results with the observations. The chemical network involves 302 chemical species and 5270 reactions. The maximum number of carbon atoms in a molecule was limited to 3. We introduced the additional
reaction channels arising from the inclusion of isotopic species. We also preserved functional groups in dissociative recombination reactions such as:
| (1) |
| (2) |
We note that the branching ratios of the dissociative recombination of N2H+ were measured again by Molek et al. (2007) with the result that the channel towards N2 occurs with a probability of at least 90%
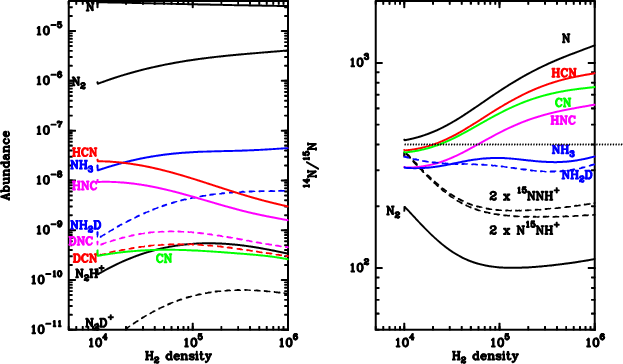
A calculation is shown in Fig. 2 for typical dense-core
parameters, and assuming both a 14N/15N abundance ratio of 400 and
an ionization rate of
s-1. The model predicts that the 15N enrichment of gas-phase ammonia is moderate, while a stronger enrichment is predicted for
N2H+, and depletion for HCN and CN. Models by Rodgers and Charnley (2008a) obtained similar results for the gas-phase abundances, the 15N enrichment of ammonia being more efficient in the solid phase.
![]() |
Figure 2: Prediction of the gas phase abundances relative to H2 ( left) and 14N/15N abundance ratio ( right) for the main nitrogen species. The models assumes a constant temperature of 10 K, and increasing depletions with the gas density, to mimic freezing out. The elemental abundance ratio 14N/15N is set to 400. |
| Open with DEXTER | |
4 Conclusions
We have reported the detection of heavy deuterated ammonia, 15NH2D, in three cold dense cores. The abundance ratio [NH2D]/[15NH2D] is compatible with the 14N/15N protosolar value, and appears to be higher than the terrestrial value, despite the remaining measurement uncertainties. While further observations are needed to improve the accuracy and test our chemical models, ammonia and deuterated ammonia seem to be good probes of the 14N/15N ratio. Deuterated ammonia is particularly interesting because it probes the coldest and densest regions of prestellar cores, which are reservoirs for the future formation of young stars and their associated protoplanetary disks.
Acknowledgements
We thank the IRAM director for assigning additional time for this program, which helped us to confirm the 15NH2D detection and the 30 m staff for their support during the observations. We thank the referee, E. Bergin, for his insightful comments. We acknowledge financial support from the CNRS interdisciplinary program ``Origines des Planètes et de la Vie'', and from the INSU/CNRS program PCMI. NM is supported by Spanish MICINN through grants AYA2006-14876, by DGU of the Madrid community government under IV-PRICIT project S-0505/ESP-0237 (ASTROCAM), and by Molecular Universe FP6 MCRTN. DCL is supported by the NSF, grant AST-0540882 to the Caltech Submillimeter Observatory.
References
- Aléon, J., & Robert, F. 2004, Icarus, 167, 424 [NASA ADS] [CrossRef] (In the text)
- Adams, S. 1981, ApJ, 247, L123 [NASA ADS] [CrossRef]
- Bockelée-Morvan, D., Biver, N., Jehin, E., et al. 2008, ApJ, 679, L49 [NASA ADS] [CrossRef] (In the text)
- Caselli, P., Vastel, C., Ceccarelli, C., et al. 2008, A&A, 492, 703 [NASA ADS] [CrossRef] [EDP Sciences]
- Charnley, S., & Rodgers, 2002, ApJ, 569, L133 [NASA ADS] [CrossRef] (In the text)
- Coudert, L. H., & Roueff, E. 2006, A&A, 449, 855 [NASA ADS] [CrossRef] [EDP Sciences] (In the text)
- Crapsi, A., Caselli, P., Walmsley, M. C., et al. 2007, A&A, 470, 221 [NASA ADS] [CrossRef] [EDP Sciences] (In the text)
- Daniel, F., Cernicharo, J., Roueff, E., et al. 2007, ApJ, 667, 980 [NASA ADS] [CrossRef] (In the text)
- Elkeurti, M., Coudert, L. H., Orphal, J., et al. 2008, J. Mol. Spec., 251, 90 [NASA ADS] [CrossRef] (In the text)
- Fouchet, T., Irwin, P. G. J., Parrish, P., et al. 2004, Icarus, 172, 50 [NASA ADS] [CrossRef]
- Garvey, R. M., de Lucia, F. C., & Cederberg, J. W. 1976, Molec. Phys., 31, 265 [NASA ADS] [CrossRef] (In the text)
- Geppert, W. D., Thomas, R., Semaniak, J., et al. 2004, ApJ, 609, 459 [NASA ADS] [CrossRef]
- Gerin, M., Lis, D. C., Philipp, S., et al. 2006, A&A, 454, L63 [NASA ADS] [CrossRef] [EDP Sciences] (In the text)
- Gourier, D., Robert, F., Delpoux, O., et al. 2008, Geochim. Cosmochim. Acta, 72, 1914 [NASA ADS] [CrossRef] (In the text)
- Langer, W. D. 1992, Astrochemistry of Cosmic Phenomena, IAU Symp., 150, 193 (In the text)
- Langer, W. D., Graedel, T. E., Frerking, M. A., & Armentrout, P. B. 1984, ApJ, 277, 581 [NASA ADS] [CrossRef] (In the text)
- Liang, M., Heays, A. N., Lewis, B. R., Gibson, S. T., & Yung Yuk, L. 2007, ApJ, 664, L115 [NASA ADS] [CrossRef]
- Lis, D. C., Roueff, E., Gerin, M., et al. 2002a, ApJ, 571, L55 [NASA ADS] [CrossRef] (In the text)
- Lis, D. C., Gerin, M., Phillips, T. G., & Motte, F. 2002b, ApJ, 569, 322 [NASA ADS] [CrossRef] (In the text)
- Lis, D. C., Gerin, M., Roueff, E., et al. 2006, ApJ, 636, 916 [NASA ADS] [CrossRef] (In the text)
- Machin, L., & Roueff, E. 2006, A&A, 460, 953 [NASA ADS] [CrossRef] [EDP Sciences] (In the text)
- Marcelino, N., Cernicharo, J., Tercero, B., & Roueff, E. 2009, ApJ, 690, L27 [NASA ADS] [CrossRef] (In the text)
- Meibom, A., Krot, A. N., Robert, F., et al. 2007, ApJ, 656, L33 [NASA ADS] [CrossRef]
- Molek, C. D., McLain, J. L., Poterya, V., & Adams, N. G., 2007, J. Phys. Chem. A, 111, 6760 [CrossRef]
- Müller, H. S. P., Thorwirth, S., Roth, D. A., & Winnewisser, W. 2001, A&A, 370, L49 [NASA ADS] [CrossRef] [EDP Sciences]
- Müller, H. S. P., Schlöder, F., Stutzki, J., & Winnewisser, W. 2005, J. Mol. Struct., 742, 215 [NASA ADS] [CrossRef]
- Pagani, L., Bacmann, A., Cabrit, S., & Vastel, C. 2007, A&A, 467, 179 [NASA ADS] [CrossRef] [EDP Sciences] (In the text)
- Penzias, A. A., & Burrus, C. A. 1973, ARA&A, 11, 51 [NASA ADS] [CrossRef]
- Pety, J. 2005, in SF2A-2005 Conf. Ser., ed. F. Casoli, T. Contini, J. M. Hameury, & L. Pagani (EDP Sciences), 721
- Remusat, L., Palhol, F., Robert, F., et al. 2006, Earth Planet. Sci. Lett. 243, 15. (In the text)
- Rodgers, S. D., Charnley, S. B. 2008a, MNRAS, 385, L48 [NASA ADS] (In the text)
- Rodgers, S. D., & Charnley, S. B. 2008b, ApJ, 689, 1448 [NASA ADS] [CrossRef] (In the text)
- Rodgers, S. D., & Charnley, S. B. 2004, MNRAS, 352, 600 [NASA ADS] [CrossRef]
- Roueff, E., Lis D. C., van der Tak, F. F. S., et al. 2005, A&A, 438, 585 [NASA ADS] [CrossRef] [EDP Sciences] (In the text)
- Terzieva, R., & Herbst. E. 2000, MNRAS, 317, 563 [NASA ADS] [CrossRef] (In the text)
- Schulz, R., Jehin E., Manfroid J., et al. 2008, P&SS, 56, 1713 [NASA ADS] (In the text)
Footnotes
- ... ISM
- Based on observations obtained with the IRAM 30 m telescope. IRAM is supported by INSU/CNRS (France), MPG (Germany), and IGN (Spain).
- ...
data
- Available at http://library.osu.edu/sites/msa/suppmat/v251.i1-2.pp90-101/mmc1.txt
- ...GILDAS
- See http://www.iram.fr/IRAMFR/GILDAS
All Tables
Table 1: Source list.
Table 2: Einstein coefficients, upper level energies and critical densities for the range of temperatures considered in this work.
Table 3: Line intensities and molecular column densities.
All Figures
![]() |
Figure 1:
Spectra of the 11,1-10,1 lines of o-NH2D (grey/red line) ando-15NH2D(black line). The vertical scale is
|
| Open with DEXTER | |
| In the text | |
![]() |
Figure 2: Prediction of the gas phase abundances relative to H2 ( left) and 14N/15N abundance ratio ( right) for the main nitrogen species. The models assumes a constant temperature of 10 K, and increasing depletions with the gas density, to mimic freezing out. The elemental abundance ratio 14N/15N is set to 400. |
| Open with DEXTER | |
| In the text | |
Copyright ESO 2009
Current usage metrics show cumulative count of Article Views (full-text article views including HTML views, PDF and ePub downloads, according to the available data) and Abstracts Views on Vision4Press platform.
Data correspond to usage on the plateform after 2015. The current usage metrics is available 48-96 hours after online publication and is updated daily on week days.
Initial download of the metrics may take a while.
![\begin{figure}
\par\includegraphics[width=8.8cm,angle=0,clip]{1759fig1}
\end{figure}](/articles/aa/full_html/2009/17/aa11759-09/Timg17.gif)
![\begin{figure}
\par\includegraphics[angle=270,width=8.8cm,clip]{1759fig2}
\end{figure}](/articles/aa/full_html/2009/17/aa11759-09/Timg69.gif)