| Issue |
A&A
Volume 498, Number 3, May II 2009
|
|
|---|---|---|
| Page(s) | 825 - 836 | |
| Section | Stellar structure and evolution | |
| DOI | https://doi.org/10.1051/0004-6361/200809373 | |
| Published online | 19 March 2009 | |
Study of the accreting pulsar 4U 0115+63 using a bulk and thermal Comptonization model
C. Ferrigno1,2 - P. A. Becker3 - A. Segreto4 - T. Mineo4 - A. Santangelo2
1 - ISDC, chemin d'Écogia 16, 1290 Versoix, Switzerland
2 - IAAT, Abt. Astronomie, Universität Tübingen, Sand 1, 72076 Tübingen, Germany
3 - Department of Computational and Data Sciences George Mason University
4400 University Drive, MS 6A3 Fairfax, VA 22030, USA
4 - IASF - INAF, via Ugo la Malfa 153, 90146 Palermo, Italy
Received 9 January 2008 / Accepted 5 March 2009
Abstract
Context. Highly magnetized pulsars accreting matter in a binary system are bright sources in the X-ray band (0.1-100 keV). Despite the early comprehension of the basic emission mechanism, their spectral energy distribution is generally described by phenomenological or simplified models.
Aims. We propose a study of the spectral emission from the high mass X-ray binary pulsar 4U 0115+63 by means of thermal and bulk Comptonization models based on the physical properties of such objects.
Methods. For this purpose, we analyze the BeppoSAX data in the energy range 0.7-100 keV of the 1999 giant outburst, 12 days after the maximum. We focus first on the phase averaged emission, and then on the phase resolved spectra, by modeling the system using a two-component continuum.
Results. At higher energy, above
7 keV, the emission is due to thermal and bulk Comptonization of the seed photons produced by cyclotron cooling of the accretion column, and at lower energy, the emission is due to thermal Comptonization of a blackbody source in a diffuse halo close to the stellar surface. Phase resolved analysis establishes that most of the emission in the main peak comes from the column, while the low energy component gives a nearly constant contribution throughout the phase.
Conclusions. From the best fit parameters, we argue that the cyclotron emission is produced
1.7 km above the stellar surface, and escapes from the column near its base, where the absorption features are generated by the interaction with the magnetic field in the halo. We find that in 4U 0115+63, the observed spectrum is dominated by reprocessed cyclotron radiation, whereas in other bright sources with stronger magnetic fields such as Her X-1, the spectrum is dominated by reprocessed bremsstrahlung.
Key words: X-rays: binaries - pulsars: individual: 4U 0115+63
1 Introduction
X-ray binary pulsars (XRBPs) were discovered more than 35 years ago
with the pioneering observations of the bright sources Her X-1 (Giacconi et al. 1971) and Cen X-3 (Tananbaum et al. 1972). The basic mechanisms
of the pulsed emission were understood quickly: radiation originates
from the accretion of ionized gas onto a rotating neutron star (NS) from
a nearby companion, an O or B star (
)
in high mass
X-ray binaries (HMXBs), a later than type A star (
)
in
low mass X-ray binaries. For strong magnetic fields
(
G) of the compact object, the plasma is threaded at
several hundred stellar radii and then funneled along the magnetic field
lines onto the magnetic poles, forming one or more accretion columns
(Pringle & Rees 1972; Davidson & Ostriker 1973). The system is powered by the conversion of
gravitational potential energy into kinetic energy, which is eventually
emitted in the form of X-rays as the plasma decelerates, possibly
through a radiative shock, and settles onto the stellar surface.
Pulsation is generated because of the nonalignment between the magnetic
and rotational axes.
The spectral emission from XRBPs still presents many puzzling aspects. Recently, Becker & Wolff (2007) made a major step forward by proposing a model (from here on the BW model) which represents a complete calculation of the X-ray spectrum associated with the physical accretion scenario first suggested by Davidson & Ostriker (1973). A summary of the model properties will be given in Sect. 2.
A unique spectral characteristic of many HMXBs is the presence of
cyclotron resonant scattering features (CRSFs), which provide a tool
for direct measurement of the magnetic-field strengths of accreting
pulsars, a key ingredient of the model. The fundamental line appears at
keV, where B12 is the
magnetic field strength in units of 1012 G and z is the
gravitational redshift in the line-forming region (Wasserman & Shapiro 1983).
However, the determination of the centroid energy of the fundamental
line might be hampered by its complex shape, due to photon spawning
(see e.g. Kreykenbohm et al. 2005). The second harmonic is deeper and can be
described by a simple analytical function such as a Gaussian curve,
since it is due to pure absorption (Nishimura 2003). Phase resolved
spectral analysis is essential for this kind of study because the
spectral characteristics of the lines depend heavily on the angle
between the observation direction and the magnetic field orientation
(see e.g. Araya & Harding 1999; Schönherr et al. 2007; Araya-Góchez & Harding 2000).
In this paper we exploit the BW model to study an observation of the
bright HMXB 4U 0115+634. Hard X-ray radiation from this source was discovered
in 1969 (Whitlock et al. 1989), during one of its giant type II outbursts
(16 have been observed up to now), when the X-ray luminosity rises to a
few 1037 erg s-1, two orders of magnitude above its quiescent level.
X-ray pulsations (
s) were soon discovered (Cominsky et al. 1978), and the determination of the orbital parameter (
,
e=0.34,
)
was made possible for the first time using the
SAS data (Rappaport et al. 1978). The high energy (
10 keV)
continuum of 4U 0115+63 has previously been modeled with the standard power-law modified by an exponential cut-off (e.g. Coburn et al. 2002).
The source has also been widely studied in the optical and IR bands, allowing the identification of its optical counterpart, V 635 Cas (Johns et al. 1978), and also the determination of its distance 7-8 kpc (Negueruela & Okazaki 2001). The relation between the optical properties of the system and the X-ray type II outbursts have been studied by Whitlock et al. (1989), who suggested a 3-year quasi-periodicity of the outbursts. Later, Negueruela & Okazaki (2001) and Negueruela et al. (2001) were able to characterize the outburst mechanism as a result of a disc instability due to radiative warping.
In the spectrum of 4U 0115+63, cyclotron harmonics have been observed up the
fifth order (Santangelo et al. 1999; White et al. 1983; Wheaton et al. 1979; Heindl et al. 1999),
while in the other known XRBPs, only the second harmonic, and in one
case the third (Tsygankov et al. 2006), is sometimes detected
(Orlandini 2004; Coburn et al. 2002; Caballero et al. 2007). The luminosity of 4U 0115+63
during outburst is comparable to that of the bright sources Her X-1 and
Cen X-3 studied by BW, but the magnetic field strength,
1012 G, implied by the cyclotron absorption features in the
spectrum of 4U 0115+63, is considerably lower than the field strength in the
other two sources. As a result of the analysis presented here, we find
that the lower field strength causes a fundamental shift in the character of the emitted X-ray spectrum, from Comptonized bremsstrahlung in Her X-1 and Cen X-3 to Comptonized cyclotron in 4U 0115+63.
The GINGA observations evidenced how both the continuum and the line energies are phase-dependent (Mihara et al. 2004). A remarkable result, obtained analyzing the RXTE data, is the luminosity dependence of the cyclotron features (Nakajima et al. 2006). This is interpreted as reflecting the passage from a radiation-dominated flow with a shock above the stellar surface at high luminosity, to a matter-dominated flow at low luminosity, in which the accreting material is brought to rest at the stellar surface by the pressure of the gas. Additional constraints on the height of the line forming region in 4U 0115+63 have been developed by Tsygankov et al. (2007), who also concluded that the height of the hard-photon emission region in the column decreases with decreasing luminosity.
After providing a brief summary of the Becker & Wolff (2007) column emission model, in Sect. 3 we describe the observations and the analysis methods. In Sect. 4 we report our results, which are discussed in detail in Sect. 5. Finally, in Sect. 6, we draw our conclusions.
2 Summary of the column emission model
Becker & Wolff (2007) proposed a model for the production of the accretion
column emission spectrum based on the bulk and thermal Comptonization of
seed photons emitted via bremsstrahlung, cyclotron, and blackbody
processes occurring in the accreting plasma. The partial differential
equation governing the Green's function yields an analytical solution
that can be convolved with the seed photon distribution to produce an
emergent spectrum displaying a power-law continuum with an exponential
cutoff at high energies. They assume a cylindrical geometry for the
column, along with a constant electron temperature and a constant
magnetic field. The constant properties of the column are a reasonable
approximation, since most of the relevant interactions are thought
to take place in a relatively thin layer close to its base. The density
and velocity profiles of the infalling matter are analytical
approximations of numerically computed functions, and the
angle-dependent cross section is approximated using two terms to
represent the mode-averaged electron scattering cross sections for
photons propagating either parallel or perpendicular to the magnetic
field direction, denoted by
and
,
respectively.
The cyclotron and bremsstrahlung source distributions each vary as the square of the plasma density, but their energy dependences are quite different: the cyclotron emission is due to the collisional excitation and radiative decay of the first Landau level, and it therefore displays a monoenergetic energy dependence; the bremsstrahlung emission is due to the braking of electrons interacting with protons, and it therefore possesses a continuous energy dependence. The combination of these terms provides a good approximation of the free-free process in very strong magnetic fields (Riffert et al. 1999). It should be emphasized that when the cyclotron energy is comparable to the plasma temperature, the cyclotron emission becomes the preferred cooling channel (Arons et al. 1987). Finally, blackbody emission is localized at the base of the column due to the presence of the thermal mound; it is the only term for which an integral must be numerically computed to derive the emergent spectrum.
For given values of the stellar mass M* and the stellar radius
R*, the BW model has six fundamental free parameters, namely the
accretion rate
,
the column radius r0, the electron
temperature
,
the magnetic field strength B, the photon diffusion
parameter
,
and the Comptonization parameter
.
The final
two parameters are defined by
where
The accretion rate is constrained by the observed luminosity, under the assumption of isotropic accretion and unitary efficiency, which might allow us to remove this parameter from the set. A unique solution for the remaining free parameters can be found by comparing the model spectrum with the observations for a particular source. The analytical nature of the model makes it amenable to incorporation into standard analysis packages such as Xspec, as we did, which facilitates observational testing.
3 Observations and data analysis
This work is based on the observations performed by BeppoSAX (see Boella et al. 1997a, for a description of the mission) on 1999 March, 26 at 17:31:32.5 (OP6714) and ended on 1999 March, 27 at 17:34:05.5, during the decay of a giant outburst, more precisely 12 days after the peak, when the flux in the 2-10 keV energy range was a factor of two lower than the maximum value (see Fig. 1 of Heindl et al. 1999). Among the many publicly available observations of 4U 0115+63 during its X-ray outbursts, our choice is driven by the wide energy band, good spectral resolution, and reliable calibration of the BeppoSAX instruments, and also by the relatively long exposure of this data-set. Another observation of the same outburst, made seven days earlier, is reported in Santangelo et al. (1999).
We analyze the data obtained by the high energy narrow field instruments
LECS (0.7-4.0 keV, Parmar et al. 1997), MECS (1.5-10.5 keV, Boella et al. 1997b), HPGSPC (7-44 keV, Manzo et al. 1997) and PDS (15-100 keV, Frontera et al. 1997) after the processing through the standard pipeline
(saxdas v.2.1). Background subtraction is performed using the
Earth occultation for HPGSPC, the off-source pointing for PDS, and the
standard calibration files for MECS and LECS. The LECS and
MECS source extraction radii are set to
for an
optimal signal to noise ratio. The instrument exposure times are 5043 s
(LECS), 53 660.4 s (MECS), 42 495.3 s (HPGSPC), and 48 328.9 s (PDS),
with the differences due to the variations in the operating
procedures.
![]() |
Figure 1: Pulse profiles of 4U 0115+63 in different energy ranges. The data are from the MECS (1.0-8.5 keV), HPGSPC (8.5-28 keV) and PDS (28-95 keV) instruments on board of BeppoSAX. |
| Open with DEXTER | |
3.1 Spectral analysis
The spectral analysis is performed with the Xspec package version 12.3.1 (Arnaud 1996), using our implementation of the analytical model for the vertically-integrated accretion column
emission spectrum developed by Becker & Wolff (2007). The fundamental and harmonic cyclotron resonant absorption features are modeled using multiplicative Gaussian functions:
where Nn,
The phase averaged spectrum is studied at first, then we divide the
pulse period into 15 bins of equal width and analyze each spectrum
separately to obtain the dependency of the parameters on the phase.
Due to the short exposure, we use the LECS data only in the phase
averaged spectrum. All of the errors are reported at 90% confidence
level (c.l.), i.e.
for one parameter of
interest, unless stated differently.
3.2 Timing analysis
We transform the photon arrival times into the Solar system barycenter
reference frame by means of the standard tool for BeppoSAX (baryconv),
then to the binary system reference frame using the known orbital ephemeris
(Rappaport et al. 1978; Tamura et al. 1992). From the HPGSPC data, we find the pulse
period
s on 1999-03-26 at 17:28:45.643 UT
(MJD 51263.72830605) adopting the phase shift method described by
Ferrigno et al. (2007). I.e. we divide the observation into 174 equally
spaced time bins; in each bin, we determine the phase of the pulse
maximum with a typical uncertainty of 5% and then linearly fit these
values as functions of time by adapting iteratively the initial
guess on the period. The quoted uncertainty is purely statistical. If no
orbital correction is applied, we find a significant variation of the
pulse period within the observation:
s/s.
We fold the light curves in different energy ranges with 100 phase bins
(Fig. 1). To account for the timing systematics of the
three instruments the pulse profiles are arbitrarily shifted to obtain
an optimal alignment in the common energy ranges (8-11 keV for MECS
and HPGSPC, 20-25 keV for HPGSPC and PDS): we apply a forward phase shift
of 4 bins (
0.14 s) to the MECS profiles and of 5 bins
(
0.18 s) to the PDS ones keeping the HPGSPC profiles as reference.
The reason for this instrumental timing problem is currently unknown.
4 Results
4.1 Pulse profiles
The shape of the pulse profiles, shown in Fig. 1, is
highly variable with energy: above
10 keV we can clearly
distinguish a main peak at pulse phase
0.4, and, with more
attention, a secondary shallower one at pulse phase
0.7
interpreted by some authors as the partially obscured emission of the
column of the opposite polar cap (Tsygankov et al. 2007).
At lower energy, the pulse shape is more complex, suggesting that the
soft emission is generated by a different mechanism.
![]() |
Figure 2: Pulsed fraction as function of energy, from 1.2 to 8 keV the data are from MECS, from 8 to 30 keV from HPGSPC, and from 30 to 120 keV from PDS. |
| Open with DEXTER | |
We compute the pulsed fraction, i.e. the ratio
,
as a function of
energy, where the count rates at the maximum (
)
and
minimum (
)
of the pulses are the weighted average of
three neighboring phase bins. We perform an energy binning, which
ensures that the signal is at least 140 times larger than the noise for
each pulse profile.
As shown in Fig. 2, the pulsed fraction below
5 keV remains always between 20% and 30%, then it begins to raise,
showing at
22 keV a sharp localized decrease due to the resonant
scattering at the second Landau level. The low S/N at high energy
prevents the detection of the higher harmonics, and even the fundamental
cannot be clearly identified despite the high count level. This may be
due to competing effects such as photon spawning and cyclotron
emission. We verified that in the overlapping energy ranges, the data
of the three instruments are consistent with each other.
4.2 Phase averaged spectrum
Due to the well-known problems in the absolute calibration, we used
inter-calibration constants between the different instruments: they are
obtained from a best fit procedure setting the HPGSPC as reference. We
verified that the results reported in Table 1 are
model independent (within the quoted errors) and consistent with the instrument team
recommendations
.
4.2.1 Phenomenological model
The aim of this work is the introduction of a physical model to describe
the spectrum. However, we study the traditional phenomenological models
for comparison with the results present in the literature. The fit
with a simple high-energy cut-off power law plus absorption features is
unsatisfactory (
); we then adopt the model that
Klochkov et al. (2008) applied to the high mass X-ray binary EXO 2030+375: a
broad Gaussian emission line plus a high-energy cut-off power-law.
The absorption lines are described by Eq. (2), photoelectric
absorption by the model phabs in Xspec.
![]() |
Figure 3: Upper panel: the unfolded spectrum of 4U 0115+63 described by the phenomenological model: the dashed line is the high-energy cut-off power law, the dot-dashed line the broad Gaussian, and the solid line the sum. The spectra of the four instruments have been scaled according to the inter-calibration constants of Table 1. Lower panel: residuals from the best fit model. |
| Open with DEXTER | |
The unfolded spectrum is reported in Fig. 3
and the best fit parameters in Table 2: the continuum is altered only locally by cyclotron resonances, the fundamental line is shallower than the second harmonic as expected from the pulsed fraction of Fig. 2, and the photon index is almost equal to one, as typical for saturated Comptonization (Coburn et al. 2002). The photoelectric absorption is parametrized by
,
which is higher than the value for Galactic absorption in the source direction,
,
(average of the values of Kalberla et al. 2005; Dickey & Lockman 1990), thus the X-ray emission seems to be attenuated also locally around the source.
Table 1: Instrument inter-calibration constants using the HPGSPC as reference.
We derive a flux in the 1-100 keV band of
corresponding to a luminosity
assuming a distance of
7 kpc. In this model, the power-law component is responsible for the
high- and low-energy portions of the spectrum, which are characterized
by completely different pulse profiles. The ``bump'' below the cyclotron
energy is described by the broad Gaussian line, which does not
correspond clearly to any physical process.
Table 2: Best fit parameters of the phase averaged spectral model, if uncertainties are omitted, the parameter is frozen.
4.2.2 Comptonization model
If we apply the model proposed by Becker & Wolff (2007), using as an
input parameter the magnetic field derived using the cyclotron
absorption features, then the Comptonized cyclotron emission has a flux
about two orders of magnitude larger than the bremsstrahlung and
blackbody components, and the resulting spectrum does not reproduce the
lower energy portion of the 4U 0115+63 spectrum. Driven by the observation
that the pulse profiles below
5 keV are very different from the
others, we therefore try to fit the spectrum below this energy with
another component. The attempts to use a blackbody, a cut-off power law,
or a simple power-law, all attenuated by photoelectric absorption, are
unsuccessful, giving
.
Among the reasonably
simple models, only the thermal Comptonization of low energy
(0.1-0.5 keV) blackbody emission, located in the center of a spherical
cloud of hot electrons, gives a satisfactory fit to the data, as
verified by the application of the compST (Sunyaev & Titarchuk 1980) and
compTT (Titarchuk 1994) models in Xspec. We will
therefore attempt to fit the broad band spectrum of 4U 0115+63 using a
combination of the BW bulk+thermal Comptonization model, which gives
good agreement at high energies, and a thermal Comptonization component
at lower energy. As discussed below, we interpret the low energy
component as emission arising in a halo of gas surrounding the base of
the accretion column.
From the statistical point of view, it is not possible to discriminate
between the thermal Comptonization models for the low energy component.
We then compute the effective radius of the blackbody which produces the
seed photons following the method of in 't Zand et al. (1999). In the
compST model, the temperature of the seed photons is fixed to
0.1 keV: for best fit parameters of the hot electron temperature
keV, the optical depth of the spherical cloud
,
and the 2-100 keV flux for this spectral component
of
,
the blackbody
radius is 550 km, which is clearly too high for such a system. We
therefore utilize the compTT model rather than the
compST model to analyze the low-energy component.
Using the compTT model, it is possible to determine the seed
photon temperature,
keV, if we fix the absorption
column to the Galactic value. In this scenario, the low energy emission
is produced by an optically thick plasma halo (
)
at
temperature
keV, while for comparison the BW
electron temperature in the column is
keV. With these
parameters (reported in Table 2), corresponding
to a flux in the 0.5-100 keV band of
,
we obtain a blackbody effective radius of
16 km, which is of the right order of magnitude. Assuming a
standard NS, the gravitational redshift at the surface is 0.3.
Correcting for this effect, we find best-fit parameters corresponding to
a blackbody with
9 km radius. However, in the rest of the paper we will neglect the relativistic effects for consistency with the BW model.
If we fix the magnetic field strength of the BW component using the
value derived from the absorption lines, then we find no
combination of the other parameters which can account for the emission
between
7 and
10 keV. We therefore leave the magnetic field
in the BW component as a free parameter, which effectively separates the
spatial region where the high-energy BW component is produced from the
region where the cyclotron absorption features are imprinted on the
emergent spectrum. The implications of this physical picture are further
discussed below. The mass accretion
is also determined through
the spectral fit. Since there is a very strong correlation between the
column radius r0 and
,
we study the contour plot of r0 and
and find that a good fit is obtained for
m and
g/s. The value obtained for the
accretion rate using the fit is somewhat lower than that expected if the
emission were isotropic, in which case the X-ray luminosity would imply
g/s. Our result for
therefore
suggests that the emission from the column is anisotropic, as expected
for a fan beam. This point is further discussed in Sect. 5.
![]() |
Figure 4: Upper panel: the unfolded spectrum of 4U 0115+63 described by the Comptonization model: the dashed line is the thermal Comptonization, the dot-dashed line the column emission computed using the BW model, the dot-dot-dashed line a narrow Gaussian line, and the solid line the sum. The spectra of the four instruments have been scaled according to the inter-calibration constants of Table 1. Lower panel: residuals from the best fit model. |
| Open with DEXTER | |
We then freeze r0 and
to obtain a stable fit for the other
model parameters. The neutron star mass and radius are fixed at the
standard values of
and 10 km, which cannot be
constrained by the comparison to the data. Among the results reported in
Table 2, we note that the magnetic field which
produces the cyclotron emission in the BW model has a strength
G while the line centroid energy implies that the magnetic field in the line forming region is
1012 G. These results clearly suggest the existence of a spatial
offset between the BW emission region and the cyclotron absorption
region, as further explored in Sect. 5.
Due to some residuals in the transition region between the low energy
thermal Comptonization component and the BW column emission, we
introduce a third emission component in the form of a Gaussian line with
energy
9 keV and standard deviation
keV. From
Fig. 4 it is clear that this component gives a
negligible contribution to the flux, unlike in the phenomenological
model, and its necessity here probably stems from our rough description of
the cyclotron scattering in strong magnetic fields.
4.3 Phase resolved spectroscopy
The vertically-integrated accretion column emission spectrum computed
using the BW model is independent of the observation angle of the
observer, who is assumed to be at rest in the frame of the neutron star.
The angle independence stems from the fact that the model does not
incorporate the full angle and energy dependence of the cyclotron
scattering cross section, but instead uses a two-component formalism
based on the cross sections
and
for photons propagating either parallel or perpendicular to the field.
Despite the simplified treatment of the scattering cross section, it is
interesting to see what insight can be gained by fitting the BW model to
the phase-resolved spectral data. Physically, variations in the
phase-resolved spectrum arise due to the partial occultation of the base
of the accretion column, in combination with the angle dependence of the
cyclotron cross section. These physical effects can be studied in an
approximate manner by allowing the parameters in the BW model to vary as
functions of the pulse phase. For example, the effect of the changing
angle of observation due to the pulsar spin can be modeled by allowing
the cross sections
and
to vary,
resulting in variation of the parameter
as a function of the
pulse phase (see Eq. (1)). Conversely, the effect of the
partial occultation of the base of the column can be modeled by allowing
for a phase dependency in the parameters B,
,
and
.
Moreover, in each phase bin we note that light bending (see e.g. Kraus et al. 2003) might cause the mixing of emission arriving from different angles. Based on these observations, we extract phase-dependent parameters by applying the BW model to the spectra in 15 equally spaced phase bins.
For the BW component, we adopt the values of
and r0derived for the phase averaged spectrum. For the lower energy
compTT component, since we do not use the LECS data, the
temperature of the seed photons cannot be constrained; we therefore
freeze it to the value 0.51 keV found in the phase averaged spectrum.
Depending on the particular characteristics of each single spectrum,
some parameters cannot be constrained and thus are frozen at a suitable
value consistent with the neighboring bins or the phase averaged
spectrum. In particular, we put great care in limiting the line width by
freezing the
parameter in the fitting process whenever its
unconstrained value would give a major contribution to the continuum
model.
We also allow a fine tuning of the relative normalization between the
different instruments due to the uncertainty in the absolute timing for
BeppoSAX (see Sect. 3). However, we verified that the
scatter is within 8% (PDS) and 3% (MECS) from the values computed
for the phase averaged spectrum and reported in
Table 1. Eventually, we obtained for the fits reduced
between 0.94 and 1.2 for 346-352 degrees of freedom
corresponding to a null hypothesis probability always lower than
0.5%. Given the model uncertainties, we consider this an acceptable
result. The unfolded spectra are reported in Fig. 5.
![]() |
Figure 5: Unfolded phase resolved spectra. The phase range is indicated in each plot. The dashed line is the thermal Comptonization, the dot-dashed line the column emission computed using the BW model, the dot-dot-dashed line a narrow Gaussian line, and the solid line the sum. |
| Open with DEXTER | |
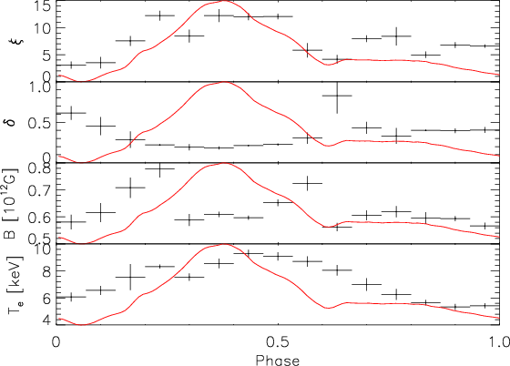
The phase dependency of the best fit parameters in the BW component is
shown in Fig. 6: the magnetic field B is higher at the
edges of the main peak (phase 0.13-0.66), as is the contribution of
bulk with respect to thermal Comptonization described by the parameter
.
The parameter
follows roughly the luminosity phase
dependency, whilst the temperature of the electrons
displays a
single peak at phase
0.5. The pattern is less clear outside the
main peak and will not be discussed further.
The phase dependency of the optical depth
and electron
temperature
in the lower energy compTT component is shown
in Fig. 7: the former is always very high, between 20 and
35, and the latter varies almost by a factor of three. Even though the
deviation from a constant value is highly significant for both
parameters, there are no clear correlations with the pulse structure.
The additive Gaussian line has always a centroid energy around 9 keV
with no obvious correlation to the magnetic field intensity
(Fig. 8), however its minimal presence is required to
obtain an acceptable
in six phase bins.
We show in Fig. 9 the centroid energies, the width of the
first three harmonics, the line normalization, and the ratio between the
centroid energies and half the centroid energy of the second harmonic.
This final parameter can be considered the best indicator of the magnetic
field intensity in the line forming region, since the second harmonic is
purely due to scattering and, incidentally, it is covered with high S/N
by two instruments in this observation. We note that along the main peak
(phase 0.12-0.66), the higher harmonics are almost equally spaced: the
deviations are at most of 4% with less than 3
significance.
Note that for the same phase range, the fundamental is systematically higher,
and from phase 0.66 to 1.12, the lines do not present a regular spacing.
4.4 Search for higher harmonics
At phase 0.33-0.46 (the peak), we introduce a previously undetected sixth harmonic to model some residuals in the high-energy tail of the spectrum. To have a better grasp on the line significance and verify it is not due to an inappropriate modeling of the continuum, we test its presence using a cut-off power model for the energy range above 13 keV. This model was used for previous analyses (see e.g. Santangelo et al. 1999). The results are reported in Table 3: the probability that the feature is only a statistical fluctuation is not negligible, therefore we cannot claim a firm detection of the sixth harmonic, just a strong suggestion of its presence since the centroid energy is compatible with the value of the second harmonic, the line normalization is greater than zero at 90% c.l., and it is present in two distinct phase bins at the pulse maximum.
![]() |
Figure 6:
Best fit parameters for the Becker and Wolff spectral component as function of the phase. The accretion column radius is fixed at 600 m and the mass accretion rate at
|
| Open with DEXTER | |
![]() |
Figure 7: Best fit parameters for the soft Comptonization spectral component (compTT) as function of the phase. The temperature of the seed photons is fixed to 0.51 keV. The solid line is the smoothed pulse profile in the 10-20 keV energy band with arbitrary normalization. |
| Open with DEXTER | |
| |
Figure 8: Best fit parameters for the Gaussian emission line as function of the phase. The line width is fixed to 1 keV. The solid line is the smoothed pulse profile in the 10-20 keV energy band with arbitrary normalization. |
| Open with DEXTER | |
![]() |
Figure 9:
Absorption line parameters. a) The centroid energy. b) The width. c) The normalization. d) The ratio between the centroid energy and half the
centroid energy of the second harmonic. In each plot the 10-20 keV pulse profile is sketched with arbitrary normalization for illustrative purpose. Line width and normalization are vertically displaced of 10 n keV, where n is the harmonic order. Uncertainties are reported at
1 |
| Open with DEXTER | |
5 Discussion
We have applied the self-consistent bulk+thermal Comptonization model
developed by Becker & Wolff (2007) to study the bright transient source
4U 0115+63. In order to treat this source, we find that the BW model needs
some adjustments with respect to the prescriptions in the original
paper. The first issue is the relatively low accretion rate compared to
the X-ray luminosity: assuming a distance of 7 kpc, we find a
1-100 keV luminosity of
which
corresponds to
for
unitary conversion efficiency from gravitational to electromagnetic
energy. If we consider only the BW component, we find
and
.
Our adopted value for
is instead
,
a factor three lower. However,
using the relation
,
one assumes an isotropic
emission over
steradians. This clearly overestimates the
luminosity from a single magnetic pole by at least a factor of two. The
factor could be even larger if the emission came from a fan beam
geometry and/or the NS has a different mass to radius ratio. In general,
the prescription for the calculation of the luminosity in X-ray pulsars
probably needs to be re-examined and firmed up due to these expected
anisotropies in the emission profile.
Table 3:
Fit results in the search for the 6th harmonic using
the cut-off power law model for the continuum above 13 keV.
is referred to the introduction of the further Gaussian
absorption line.
is the centroid value,
is the
value corresponding to three times the centroid energy of the second
harmonic, and
is the line normalization. The null
hypothesis probability is obtained using the F-test.
![]() |
Figure 10: Contribution of the BW model plotted in red (dark gray), compTT in green (light gray), and the Gaussian emission line in black to the total flux (points with error bars). |
| Open with DEXTER | |
The most striking observational feature of 4U 0115+63 is the unique presence of at least five cyclotron lines in its spectrum; other HMXBs display at most a second, and in one case a third harmonic (see Tsygankov et al. 2006; Orlandini 2004; Coburn et al. 2002; Caballero et al. 2007). This is due to the relatively low intensity of its magnetic field, the lowest among the Galactic HMXBs that display cyclotron absorption features. In fact, at energies corresponding to the higher harmonics, there is still a high photon density, up-scattered in energy by the thermal population of electrons at a temperature of a few keV. The presence of the significant high-energy continuum allows the harmonic absorption features to be detected.
This peculiar characteristic finds some correspondence also in the
continuum model. For example, we show for the first time that the high
energy (
10 keV) emission of 4U 0115+63 is dominated by Comptonized
cyclotron cooling, as expected on theoretical basis (Arons et al. 1987).
Using the best fit parameters obtained
from the phase averaged spectrum, we simulated the source emission if
the magnetic field were higher and found that the relative contribution
of the cyclotron component decreases relative to bremsstrahlung and
fades to a negligible value for
G. The reason
is the decreased production rate for the cyclotron seed photons that
form as a result of radiative de-excitation from the first excited
Landau level, since this is less and less populated as its energy
becomes higher than the electron temperature. As a consequence, the
spectrum of this source is dominated by reprocessed cyclotron emission,
in contrast to other bright pulsars with stronger magnetic fields, in
which the emission is dominated by reprocessed bremsstrahlung emission
(Becker & Wolff 2007).
Decomposing the contributions of the different components as functions of
the phase demonstrates that along the peak, between 65% and 90% of the
radiation is produced by the BW component, while at other phases the
relative contribution of the thermal Comptonization reaches
50%
(Fig. 10). The contribution of the Gaussian
emission line is always less than 5% and is concentrated on the
descending part of the main peak. This is probably due to incomplete
modeling of the cyclotron scattering process. The high energy
component clearly originates in the accretion column while the low
energy component has the characteristics of a diffuse halo, since
its absolute flux is roughly constant throughout the phase.
5.1 Parameter constraints
During the determination of the optimal mass accretion rate, we noted
that this parameter is tightly anti-correlated with the column radius,
and both are linked to
via Eq. (1). Since there is
no basis for choosing a priori the value of
,
it was necessaryto
study the probability contour plots of r0 and
in the range
and
,
where
is the mass accretion rate in units of
1017 g/s. We found that at 68% c.l., any combination of these
parameters is acceptable provided it falls between the lines of the
equations
and
r0 = 1823 (M17 - 0.46) + 450, where r0 is expressed in meters. We then made the choice of fixing
and r0=600 m, the latter according to the indication of a relatively large column in other bright
sources studied by Becker & Wolff (2007), and also based on the upper limit
set by Lamb et al. (1973), and later revised by Harding et al. (1984).
We also verified that the NS mass and radius cannot be constrained by
the spectral data. Any change in their value within reasonable
boundaries can be compensated by tuning the mass accretion rate and
column radius. Therefore, only four out of the namely six free
parameters can be determined by a direct fit of the model to the data.
On the contrary, we already showed that we can constrain just a
relatively wide region of the r0-
plane, and this region
depends on the particular choice of the NS base parameters. Among the
free parameters, the magnetic field is insensitive to the choice of the
fixed parameters, while
,
and
depend on them. At
least in the case of 4U 0115+63, where the lower energy portion of the
spectrum is dominated by another component, it is not possible to infer
from the data all the physical characteristics of the accretion column.
Nevertheless, the BW model gives us the unique chance to investigate the
basic emission mechanisms.
5.2 Magnetic field structure and emission geometry
The other main issue is the strength of the magnetic field producing
the cyclotron emission, which is found to be
G, while in the line forming region the field strength is
G, as derived from the centroid energy of the
second harmonic (the values are given neglecting the gravitational
redshift, which acts as a scale factor). Assuming a dipolar field, and
supposing that the cyclotron absorption features form close to the
neutron star surface, we derive the cyclotron emission is concentrated
at
1.7 km above the stellar surface. Based on this observation,
we argue that the cyclotron cooling in 4U 0115+63 takes place between the NS
and the column sonic point, which is at
2.7 km above the surface,
according to the best fit model parameters. At that height, the emission
is strongly beamed since the plasma speed is
and most of
the radiation is emitted downwards, as predicted for an emitting charge
in relativistic motion (see e.g. Eq. (4.100-4.103) of Rybicki & Lightman 1979).
The radiation is subject to Compton reprocessing inside the accretion
column, and it can subsequently escape from the sides only near the
base, where the advection velocity decreases, and the density and
temperature are higher. We can verify that for the best fit value of
,
the diffusive escape time from the column is comparable to the
free-fall time from the sonic point - see Eq. (104) of
Becker & Wolff (2007). Further confirmation of this scenario comes from the
phase dependency of the parameters
and
,
which are higher
along the peak, implying respectively that the radiation traveled mostly
parallel to the magnetic field, and that the visible layer is deeper in
the column for this phase range. The sharp feature in the pulsed
fraction (Fig. 2) at
20 keV also fits
into the picture: while the emerging radiation is beamed roughly
perpendicular to the column, the resonant scattering produces an
isotropic emission which reduces locally the pulsed fraction.
The lower energy component is due to thermal Comptonization of seed
photons with temperature
keV, which is
compatible to
the temperature of the thermal mound (
)
probably present at the base of the
column: according to
Eq. (93) of Becker & Wolff (2007), we find
keV, where the uncertainty is due to the
indetermination on
and r0.
However, any attempt to fit the broad
band spectrum using the BW model alone was unsuccessful due to the very
low flux of the components originating from the blackbody and
bremsstrahlung sources compared to the cyclotron one. As was already
discussed, the effective radius of the blackbody photon source for the
low energy compTT component is about 15 km (or 9 km
considering the gravitational redshift). It is therefore likely that the
low-energy radiation source resides close to the NS surface, perhaps in
a diffuse halo. An optically thick atmosphere
at a
temperature of a few keV could be confined by multipolar or crustal
components of the magnetic field (see e.g. Gil et al. 2002), while the
region around the column could be heated to
0.5 keV either by the
accretion itself or by the strongly beamed column emission.
The modulation of the magnetic field producing the continuum radiation
along the main peak (Fig. 6) suggests that the emission layer
has not a planar geometry, but becomes closer to the NS at the edges of
the column. A similar pattern is present in the phase dependency of the
parameter, indicating that bulk Comptonization is stronger at
the center of the main peak. The photon-diffusion parameter,
,
follows nicely the pulse profile in the phase interval 0.2-0.8. This can
give us some information on the angle between the magnetic field and the
radiation direction.
Even though
is inversely proportional to the geometrical mean of
the extreme values of the electron scattering cross section (see
Eq. (1)), and does not include explicitly its angle
dependence, it can be regarded as an estimator of the average value in a
particular phase bin. We argue that at the maximum of the peak, the
radiation field is subject to a reduced scattering cross section, and
therefore the photons must travel preferentially in the direction of the
magnetic field lines (Ventura 1979). The photons are therefore able
to reach almost the NS surface, before escaping from the column walls
mostly near the base, where the plasma temperature is higher. At the
column boundaries, where the plasma is optically thin outside the
cyclotron resonances, the observed cyclotron absorption features are
imprinted on the spectral energy distribution. In Fig. 11
we provide a schematic drawing of the model that we propose.
![]() |
Figure 11: A schematic and not in scale cartoon of the magnetospheric structure of 4U 0115+63, as it emerges from our analysis. |
| Open with DEXTER | |
5.3 Comparison to the standard spectral phenomenological model
Even though we were able to successfully model the continuum with a
standard spectral phenomenological model similar to the one that Klochkov et al. (2008)
used for EXO 2030+375, we consider this model unsatisfactory for 4U 0115+63
due to its incoherency with the pulse energy dependency. The pulse
profiles and the pulsed fraction change at
7 keV, corresponding
to the spectral region where the Gaussian ``bump'' starts to dominate,
whilst they do not exhibit a peculiar evolution at the energy where the
power law continuum becomes again the main component. It is also
difficult to explain why the same spectral component produces a pulsed
fraction which is nearly constant below
5 keV and steadily
increasing above
15 keV.
Adopting the spectral phenomenological model, we note the appearance of some
residuals in the spectral fit below
1 keV
(Fig. 3). Even though they are not
statistically significant due to the low exposure of the LECS
instrument, they essentially disappear when we adopt the multi-component
Comptonization model (Fig. 4). With this latter
model, we find that the photoelectric absorption due to neutral plasma
is entirely due to the foreground Galactic medium: this is plausible
since the observation took place after the outburst maximum when the
strong radiation field of the NS could have ionized the surrounding
medium.
Moreover, to our knowledge there is no physical process which could explain the broad Gaussian ``bump'' in emission: for instance, if it is due to cyclotron cooling, then one must find a way to make the Compton scattering so ineffective in reprocessing this component that it maintains a broad Gaussian profile instead of the typical power-law with exponential decay. We conclude that although this model can yield a good phenomenological description of the spectrum, it is nonetheless unable to give a coherent picture of the system in terms of physical processes.
The decoupling between the high and low energy emission is more
naturally explained by two distinct emission components, one dominating
below
7 keV, and the other above. In the scenario we have focused
on here, the low energy emission (48% of the phase averaged total flux
in the 1-100 keV energy band) is modeled as a thermal Comptonization
of 0.51 keV seed photons (Titarchuk 1994), while the high energy
continuum (51% of the total flux) is modeled using the BW formalism
(Becker & Wolff 2007). We also add a Gaussian emission line which gives a
minor contribution to the total flux (
1%). The appearance of
this component likely reflects either an approximation of the emission
wings predicted to appear near the fundamental by Monte Carlo
simulations of cyclotron scattering (Schönherr et al. 2007, and references therein), and/or an adjustment to the BW model to account for
a more complex geometry in the scattering process. While this component
is required to obtain an acceptable
,
it is clearly not a major
contributor to the continuum, in contrast to the phenomenological model
described above, in which it contributes 16% of the total flux in the
1-100 keV energy band.
5.4 Structure of the cyclotron harmonics
The line widths of the second and third harmonics reach a minimum just after the maximum of the pulse, which indicates that the line of sight reaches its maximum angle relative to the magnetic field at this phase. However, we note that the lines appear much shallower than those computed in the MC models (Schönherr et al. 2007). Probable reasons are a more complex geometry with respect to the model assumptions and general relativistic effects such as light bending, lensing effect, and doppler shift. A more quantitative discussion of this issue and the scenario we envisage for the system would require a complete numerical simulation, but this goes beyond the scope of the present paper.
If the radiation field dominates the thermodynamics of the plasma, then one expects a link between the temperature of the plasma and the magnetic field intensity. The relation depends on the optical depth in the absorption lines, the angle that the radiation forms with the magnetic field lines, and the system geometry (e.g. Isenberg et al. 1998, and references therein). In a slab geometry and for radiation injected parallel to the magnetic field, the cyclotron energy should be more than two times the plasma temperature. For isotropic radiation, one instead expects a ratio of about 4. This is the case for the halo temperature and the cyclotron line energy found here, while the column temperature is too high to be due to cyclotron heating, supporting the idea that the line forming region is not located within the column but rather in an external halo.
The apparent non-harmonicity of the line spacing in some HMXBs has been explained by the variation of the magnetic field in the line forming region. Nishimura (2003) showed that for a dipolar field the height of the region relevant for the absorption and scattering process must be of the order of several hundred meters to reproduce the observations. In a later work Nishimura (2005) demonstrates that a linearly varying magnetic field is able to produce line non-harmonicity even for a 5 m thick slab of plasma above the NS. Such a configuration can be modeled by a combination of axial and crustal magnetic field, as proposed by Gil et al. (2002).
We show that the higher harmonics are equally spaced in 4U 0115+63, as also noted by Santangelo et al. (1999) and Tsygankov et al. (2007), and therefore the field is nearly constant in the line forming region. The previously reported deviations from harmonicity regards only the ratio to the fundamental, whose centroid energy can be displaced from the cyclotron value. This can be due to the influence of the other emitting component, which is present below the cyclotron energy, and/or to a complex shape of the line profile, heavily modified by photon spawning, and then poorly described by a Gaussian absorption line. Also the need to introduce a Gaussian emission line points towards a complex structure of the cyclotron fundamental line, with emission wings that are not modeled by a Gaussian profile.
Using the second harmonic, with energy
20 keV, as the best
estimator of the magnetic field in the line forming region, the
displacement from the harmonic law is always less than 5% for the
higher harmonics, thus the scattering region thickness is at most 2% of
its distance from the NS center. The modulation of the line centroid
energy with phase was already reported e.g. by Mihara et al. (2004) and is
a typical feature of this source: it is interpreted as due to the
occultation of part of the column by the NS along its rotation. Since
the magnetic field of the line forming region varies from
G to
G along the
main peak, the maximum reduction from the maximum value is 23%. This
corresponds to an 8% variation of the height of the line forming
region; assuming that at phase 0.5-0.6 the absorption takes place close
to the base of the column and the NS has a radius of 10 km it means
that for instance at phase 0.2-0.3 the scattering takes place in a
layer, which is a few hundred meters thick, located
800 m above
the NS surface.
The last issue we would like to briefly discuss is the puzzling jump of
the energy of the fundamental cyclotron feature around the pulse minimum
from
11 to
15 keV. A similar discontinuity was already
noted in the phase averaged spectrum by Tsygankov et al. (2007); Mihara et al. (2004); Nakajima et al. (2006) when the luminosity drops below
erg/s: it
is interpreted as a drift of the compact emitting region in the magnetic
field, due either to the disruption of the radiative shock or possibly
to the accretion column burning out with the onset of another column in
a multi-polar configuration. We show that this jump is not linked
exclusively to the system luminosity, but appears at different phases
even when the source is brighter than the proposed threshold for the
shock disruption (
). Moreover,
the absorption features at 30-40 keV which are present outside the
main peak, do not seem to be linked by an harmonic ratio to the
20 keV line, which suggests that complex field geometries could
be present in 4U 0115+63.
6 Conclusions
For the first time we apply the self-consistent model of the high luminosity X-ray binary pulsar emission proposed by Becker & Wolff (2007) to the well studied transient source 4U 0115+63 during the giant outburst that occurred in 1999. We find that the emission of the peak is produced by thermal and bulk Comptonization of the cyclotron emission which is the main cooling channel of the column. On the other hand the lower energy continuum is roughly constant throughout the phase, and is due to thermal Comptonization of a 0.5 keV blackbody, whose effective radius is comparable to the NS dimensions.
We are able to sketch a model in which the photons are generated by cyclotron cooling well above the NS surface. The photons are advected towards the NS by the relativistic plasma bulk motion, while they are Compton up-scattered by the hot electrons in the column. The radiation escapes from the column lateral walls close to the NS surface, where the relativistic beaming is less severe. At this height the cyclotron lines are formed, probably in the boundary layer between the column and the plasma which forms an extended halo above the NS surface, and also produces the low-energy spectral component.
Unequivocal interpretation of the phase-dependent parameters using the theoretical model would require some estimate of the angles for the system. I.e., the angle between the line of sight and the rotation axis, and the angle between the rotation axis and the accretion column. These two angles would determine the portion of the column visible during a given phase, as well as the angle between the normal to the column and the line of site to the observer. Relativistic ray tracing should be used to study the influence of the system geometry on the emission pattern, but this is beyond the scope of this paper.
Although we have developed a convincing physical model for 4U 0115+63 which is able to describe coherently the system properties, we emphasize that this scenario should be checked quantitatively in future work using a detailed numerical simulation. The analysis presented here was made possible via the implementation of the model proposed by Becker & Wolff (2007) in the standard fitting package Xspec. The application of this new model is very promising and it is expected to facilitate the study of many other systems.
Acknowledgements
The authors would like to thank M. Wolff for suggesting to us the possible anisotropy of the X-ray emission from the column, A. Paizis for her helpful remarks and also the referee M. Falanga who provided several insightful comments that led to significant improvements in the manuscript. C. F. has been supported by grant DLR 50 OG 0601 and PRIN-INAF 2007, ``Bulk motion Comptonization models in X-ray Binaries: from phenomenology to physics'', PI M. Cocchi.
References
- Araya, R. A., & Harding, A. K. 1999, The ApJ, 517, 334 [CrossRef]
- Araya-Góchez, R. A., & Harding, A. K. 2000, ApJ, 544, 1067 [NASA ADS] [CrossRef]
- Arnaud, K. A. 1996, Astronomical Data Analysis Software and Systems V, 101, 17 [NASA ADS] (In the text)
- Arons, J., Klein, R. I., & Lea, S. M. 1987, ApJ, 312, 666 [NASA ADS] [CrossRef] (In the text)
- Becker, P. A., & Wolff, M. T. 2007, ApJ, 654, 435 [NASA ADS] [CrossRef] (In the text)
- Boella, G., Butler, R. C., Perola, G. C., et al. 1997a, A&AS, 122, 299 [NASA ADS] [CrossRef] [EDP Sciences] (In the text)
- Boella, G., Chiappetti, L., Conti, G., et al. 1997b, A&AS, 122, 327 [NASA ADS] [CrossRef] [EDP Sciences] (In the text)
- Caballero, I., Kretschmar, P., Santangelo, A., et al. 2007, A&A, 465, L21 [NASA ADS] [CrossRef] [EDP Sciences]
- Coburn, W., Heindl, W. A., Rothschild, R. E., et al. 2002, ApJ, 580, 394 [NASA ADS] [CrossRef] (In the text)
- Cominsky, L., Clark, G. W., Li, F., Mayer, W., & Rappaport, S. 1978, Nature, 273, 367 [NASA ADS] [CrossRef] (In the text)
- Davidson, K., & Ostriker, J. P. 1973, ApJ, 179, 585 [NASA ADS] [CrossRef]
- Dickey, J. M., & Lockman, F. J. 1990, ARA&A, 28, 215 [NASA ADS] [CrossRef]
- Ferrigno, C., Segreto, A., Santangelo, A., et al. 2007, A&A, 462, 995 [NASA ADS] [CrossRef] [EDP Sciences] (In the text)
- Frontera, F., Costa, E., dal Fiume, D., et al. 1997, A&AS, 122, 357 [NASA ADS] [CrossRef] [EDP Sciences] (In the text)
- Giacconi, R., Gursky, H., Kellogg, E., Schreier, E., & Tananbaum, H. 1971, ApJ, 167, L67 [NASA ADS] [CrossRef] (In the text)
- Gil, J. A., Melikidze, G. I., & Mitra, D. 2002, A&A, 388, 246 [NASA ADS] [CrossRef] [EDP Sciences] (In the text)
- Harding, A. K., Kirk, J. G., Galloway, D. J., & Meszaros, P. 1984, ApJ, 278, 369 [NASA ADS] [CrossRef] (In the text)
- Heindl, W. A., Coburn, W., Gruber, D. E., et al. 1999, ApJ, 521, L49 [NASA ADS] [CrossRef]
- in 't Zand, J. J. M., Verbunt, F., Strohmayer, T. E., et al. 1999, A&A, 345, 100 [NASA ADS] (In the text)
- Isenberg, M., Lamb, D. Q., & Wang, J. C. L. 1998, ApJ, 505, 688 [NASA ADS] [CrossRef] (In the text)
- Johns, M., Koski, A., Canizares, C., et al. 1978, IAU Circ., 3171, 1 (In the text)
- Kalberla, P. M. W., Burton, W. B., Hartmann, D., et al. 2005, A&A, 440, 775 [NASA ADS] [CrossRef] [EDP Sciences]
- Klochkov, D., Santangelo, A., Staubert, R., & Ferrigno, C. 2008, A&A, 491, 833 [NASA ADS] [CrossRef] [EDP Sciences] (In the text)
- Kraus, U., Zahn, C., Weth, C., & Ruder, H. 2003, ApJ (In the text)
- Kreykenbohm, I., Mowlavi, N., Produit, N., et al. 2005, A&A, 433, L45 [NASA ADS] [CrossRef] [EDP Sciences] (In the text)
- Lamb, F. K., Pethick, C. J., & Pines, D. 1973, ApJ, 184, 271 [NASA ADS] [CrossRef], A&A (In the text)
- Manzo, G., Giarrusso, S., Santangelo, A., et al. 1997, A&AS, 122, 341 [NASA ADS] [CrossRef] [EDP Sciences] (In the text)
- Mihara, T., Makishima, K., & Nagase, F. 2004, ApJ, 610, 390 [NASA ADS] [CrossRef] (In the text)
- Nakajima, M., Mihara, T., Makishima, K., & Niko, H. 2006, ApJ, 646, 1125 [NASA ADS] [CrossRef] (In the text)
- Negueruela, I. & Okazaki, A. T. 2001, A&A, 369, 108 [NASA ADS] [CrossRef] [EDP Sciences] (In the text)
- Negueruela, I., Okazaki, A. T., Fabregat, J., et al. 2001, A&A, 369, 117 [NASA ADS] [CrossRef] [EDP Sciences] (In the text)
- Nishimura, O. 2003, PASJ, 55, 849 [NASA ADS] (In the text)
- Nishimura, O. 2005, PASJ, 57, 769 [NASA ADS] (In the text)
- Orlandini, M. 2004, Proceedings of the Fourth AGILE Science Workshop, ed. M. Tavani, A. Pellizzoni, & S. Vercellone, X-ray and Gamma-ray Astrophysics of Galactic Sources, 119
- Parmar, A. N., Martin, D. D. E., Bavdaz, M., et al. 1997, A&AS, 122, 309 [NASA ADS] [CrossRef] [EDP Sciences] (In the text)
- Pringle, J. E., & Rees, M. J. 1972, A&A, 21, 1 [NASA ADS]
- Rappaport, S., Clark, G. W., Cominsky, L., Li, F., & Joss, P. C. 1978, ApJ, 224, L1 [NASA ADS] [CrossRef] (In the text)
- Riffert, H., Klingler, M., & Ruder, H. 1999, Phys. Rev. Lett. (In the text)
- Rybicki, G. B., & Lightman, A. P. 1979, New York (In the text)
- Santangelo, A., Segreto, A., Giarrusso, S., et al. 1999, ApJ, 523, L85 [NASA ADS] [CrossRef]
- Schönherr, G., Wilms, J., Kretschmar, P., et al. 2007, A&A, 472, 353 [NASA ADS] [CrossRef] [EDP Sciences]
- Sunyaev, R. A., & Titarchuk, L. G. 1980, A&A, 86, 121 [NASA ADS] (In the text)
- Tamura, K., Tsunemi, H., Kitamoto, S., Hayashida, K., & Nagase, F. 1992, ApJ, 389, 676 [NASA ADS] [CrossRef]
- Tananbaum, H., Gursky, H., Kellogg, E. M., et al. 1972, ApJ, 174, L143 [NASA ADS] [CrossRef] (In the text)
- Titarchuk, L. 1994, ApJ, 434, 570 [NASA ADS] [CrossRef] (In the text)
- Tsygankov, S. S., Lutovinov, A. A., Churazov, E. M., & Sunyaev, R. A. 2006, MNRAS, 371, 19 [NASA ADS] [CrossRef] (In the text)
- Tsygankov, S. S., Lutovinov, A. A., Churazov, E. M., & Sunyaev, R. A. 2007, Astron. Lett., 33, 368 [NASA ADS] [CrossRef] (In the text)
- Ventura, J. 1979, Phys. Rev. D - Particles and Fields, 19, 1684, a&AA (In the text)
- Wasserman, I., & Shapiro, S. L. 1983, ApJ, 265, 1036 [NASA ADS] [CrossRef] (In the text)
- Wheaton, W. A., Doty, J. P., Primini, F. A., et al. 1979, Nature, 282, 240 [NASA ADS] [CrossRef]
- White, N. E., Swank, J. H., & Holt, S. S. 1983, ApJ, 270, 711 [NASA ADS] [CrossRef]
- Whitlock, L., Roussel-Dupre, D., & Priedhorsky, W. 1989, ApJ, 338, 381 [NASA ADS] [CrossRef] (In the text)
Footnotes
- ...-parameters
- The y-parameters describes the average fractional energy change experienced by a photon before it escapes through the column walls.
- ...
recommendations
- http://heasarc.gsfc.nasa.gov/docs/sax/abc/saxabc/saxabc.html
All Tables
Table 1: Instrument inter-calibration constants using the HPGSPC as reference.
Table 2: Best fit parameters of the phase averaged spectral model, if uncertainties are omitted, the parameter is frozen.
Table 3:
Fit results in the search for the 6th harmonic using
the cut-off power law model for the continuum above 13 keV.
is referred to the introduction of the further Gaussian
absorption line.
is the centroid value,
is the
value corresponding to three times the centroid energy of the second
harmonic, and
is the line normalization. The null
hypothesis probability is obtained using the F-test.
All Figures
![]() |
Figure 1: Pulse profiles of 4U 0115+63 in different energy ranges. The data are from the MECS (1.0-8.5 keV), HPGSPC (8.5-28 keV) and PDS (28-95 keV) instruments on board of BeppoSAX. |
| Open with DEXTER | |
| In the text | |
![]() |
Figure 2: Pulsed fraction as function of energy, from 1.2 to 8 keV the data are from MECS, from 8 to 30 keV from HPGSPC, and from 30 to 120 keV from PDS. |
| Open with DEXTER | |
| In the text | |
![]() |
Figure 3: Upper panel: the unfolded spectrum of 4U 0115+63 described by the phenomenological model: the dashed line is the high-energy cut-off power law, the dot-dashed line the broad Gaussian, and the solid line the sum. The spectra of the four instruments have been scaled according to the inter-calibration constants of Table 1. Lower panel: residuals from the best fit model. |
| Open with DEXTER | |
| In the text | |
![]() |
Figure 4: Upper panel: the unfolded spectrum of 4U 0115+63 described by the Comptonization model: the dashed line is the thermal Comptonization, the dot-dashed line the column emission computed using the BW model, the dot-dot-dashed line a narrow Gaussian line, and the solid line the sum. The spectra of the four instruments have been scaled according to the inter-calibration constants of Table 1. Lower panel: residuals from the best fit model. |
| Open with DEXTER | |
| In the text | |
![]() |
Figure 5: Unfolded phase resolved spectra. The phase range is indicated in each plot. The dashed line is the thermal Comptonization, the dot-dashed line the column emission computed using the BW model, the dot-dot-dashed line a narrow Gaussian line, and the solid line the sum. |
| Open with DEXTER | |
| In the text | |
![]() |
Figure 6:
Best fit parameters for the Becker and Wolff spectral component as function of the phase. The accretion column radius is fixed at 600 m and the mass accretion rate at
|
| Open with DEXTER | |
| In the text | |
![]() |
Figure 7: Best fit parameters for the soft Comptonization spectral component (compTT) as function of the phase. The temperature of the seed photons is fixed to 0.51 keV. The solid line is the smoothed pulse profile in the 10-20 keV energy band with arbitrary normalization. |
| Open with DEXTER | |
| In the text | |
| |
Figure 8: Best fit parameters for the Gaussian emission line as function of the phase. The line width is fixed to 1 keV. The solid line is the smoothed pulse profile in the 10-20 keV energy band with arbitrary normalization. |
| Open with DEXTER | |
| In the text | |
![]() |
Figure 9:
Absorption line parameters. a) The centroid energy. b) The width. c) The normalization. d) The ratio between the centroid energy and half the
centroid energy of the second harmonic. In each plot the 10-20 keV pulse profile is sketched with arbitrary normalization for illustrative purpose. Line width and normalization are vertically displaced of 10 n keV, where n is the harmonic order. Uncertainties are reported at
1 |
| Open with DEXTER | |
| In the text | |
![]() |
Figure 10: Contribution of the BW model plotted in red (dark gray), compTT in green (light gray), and the Gaussian emission line in black to the total flux (points with error bars). |
| Open with DEXTER | |
| In the text | |
![]() |
Figure 11: A schematic and not in scale cartoon of the magnetospheric structure of 4U 0115+63, as it emerges from our analysis. |
| Open with DEXTER | |
| In the text | |
Copyright ESO 2009
Current usage metrics show cumulative count of Article Views (full-text article views including HTML views, PDF and ePub downloads, according to the available data) and Abstracts Views on Vision4Press platform.
Data correspond to usage on the plateform after 2015. The current usage metrics is available 48-96 hours after online publication and is updated daily on week days.
Initial download of the metrics may take a while.

![\begin{figure}
\par\includegraphics[width=8.5cm,clip]{9373fig1.ps}
\end{figure}](/articles/aa/full_html/2009/18/aa09373-08/Timg38.png)

![\begin{figure}
\par\includegraphics[width=8.5cm,clip]{9373fig2.ps}
\end{figure}](/articles/aa/full_html/2009/18/aa09373-08/Timg45.png)
![\begin{figure}
\par\includegraphics[width=8.5cm,clip]{9373fig3.ps}
\end{figure}](/articles/aa/full_html/2009/18/aa09373-08/Timg50.png)
![\begin{figure}
\par\includegraphics[width=8.5cm,clip]{9373fig4.ps}
\end{figure}](/articles/aa/full_html/2009/18/aa09373-08/Timg70.png)
![\begin{figure}
\par\includegraphics[width=8.5cm,clip]{9373fig5.ps}
\end{figure}](/articles/aa/full_html/2009/18/aa09373-08/Timg75.png)
![\begin{figure}
\par\includegraphics[angle=0,width=8cm,clip]{9373fig6.ps}
\end{figure}](/articles/aa/full_html/2009/18/aa09373-08/Timg79.png)
![\begin{figure}
\par\includegraphics[angle=0,width=8cm,clip]{9373fig7.ps}
\end{figure}](/articles/aa/full_html/2009/18/aa09373-08/Timg80.png)
![\begin{figure}
\par\mbox{\includegraphics[width=5cm,clip]{9373fi9a.ps}\includegr...
...c.ps}\hspace{2mm}\includegraphics[width=4.8cm,clip]{9373fi9d.ps} }\end{figure}](/articles/aa/full_html/2009/18/aa09373-08/Timg82.png)
![\begin{figure}
\par\includegraphics[angle=0,width=8.5cm,clip]{9373fi10.ps}
\end{figure}](/articles/aa/full_html/2009/18/aa09373-08/Timg98.png)
![\begin{figure}
\par\includegraphics[width=8.5cm,angle=0,clip]{9373fi11.eps}
\end{figure}](/articles/aa/full_html/2009/18/aa09373-08/Timg111.png)