| Issue |
A&A
Volume 498, Number 3, May II 2009
|
|
|---|---|---|
| Page(s) | 863 - 868 | |
| Section | The Sun | |
| DOI | https://doi.org/10.1051/0004-6361/200811025 | |
| Published online | 11 March 2009 | |
Numerical simulations of the first harmonic kink mode of vertical oscillations of a solar coronal loop
A. Wasiljew - K. Murawski
Group of Astrophysics and Gravity Theory, Institute of Physics, UMCS, ul. Radziszewskiego 10, 20-031 Lublin, Poland
Received 23 September 2008 / Accepted 16 January 2009
Abstract
Aims. We investigate impulsive excitation mechanisms of the first harmonic fast magnetoacoustic kink mode of vertical oscillations in a solar coronal loop, which is approximated by either a straight slab or a curved arcade slab.
Methods. We solve numerically the full set of nonlinear ideal two-dimensional magnetohydrodynamic equations and analyze temporal and spatial wave signatures to infer characteristic features, such as waveperiods and node positions.
Results. We show that an initial velocity pulse located off-center excites the first harmonic and fundamental modes, which result in a movement of the node around the loop apex. These results are verified by the analytical findings for an elastic string.
Conclusions. Since the fundamental mode acquires more energy than its first harmonic, this explains why the latter is so rarely detected within a coronal loop.
Key words: magnetohydrodynamics (MHD) - Sun: corona - Sun: oscillations
1 Introduction
The development of highly sensitive instruments such as SUMER (SOHO), TRACE, and Hinode resulted in the detection of various oscillations in solar coronal loops. Two types of waves were observed: (a) propagating (De Moortel et al. 2002) and standing (Wang et al. 2005) slow magnetoacoustic waves, and (b) fast magnetoacoustic standing waves: horizontal kink (Nakariakov et al. 1999; Aschwanden et al. 1999; Schrijver et al. 1999), vertical kink (Wang & Solanki 2004; Ofman & Wang 2008), and sausage (Nakariakov et al. 2003; Aschwanden et al. 2004) waves. Because of the insufficient temporal resolution of the observational data, it is often difficult to identify which mode of the oscillations is excited (Aschwanden et al. 2004). Therefore, despite of a large number of observations, most data is interpreted in terms of a fundamental mode and, only several events of harmonic modes have been reported. In particular, two events of the first harmonic (n=2) of the horizontal kink oscillations were detected by Verwichte et al. (2004) in a post-flare arcade loop. However, in both of these events this mode coexisted with the fundamental mode, so no pure higher harmonic mode was observed. De Moortel & Brady (2007) observed higher harmonic horizontal kink modes (n=2 and n=4(5)). Van Doorsselaere et al. (2007) found in TRACE data two waveperiods that were consistent with the waveperiods of the fundamental and first harmonic mode of fast magnetoacoustic kink oscillations.
Oscillations of magnetic loops can be studied both analytically and numerically. In this context, Díaz et al. (2006) studied analytically the fundamental and first harmonic modes of the vertical kink oscillations. They found that the first harmonic mode corresponds in a straight cylinder to the mode n=2 (Roberts et al. 1984). As a result of higher temporal and spatial resolutions in numerical experiments than in observations, a detection of higher harmonic oscillations should be more likely in a numerical data set.
Brady & Arber (2005) performed numerical experiments in which higher harmonics of vertical kink oscillations were excited by a footpoint velocity driver, while Ofman (2007) and Gruszecki et al. (2008), among others, triggered impulsively the fundamental mode.
The current work is motivated by the launch of the missions STEREO and Hinode, which provide observational data of far higher spatial and temporal resolution (Ofman & Wang 2008). As a result, detection of higher harmonic modes in these data becomes likely. Since few reports of the observation of higher harmonic modes exists, our goal is to explain why these modes are so rarely observed within coronal loops.
This paper is organized as follows. The analytical findings for elastic string oscillations are shown in Sect. 2. The mathematical and numerical models are described in Sect. 3. The numerical results are presented and discussed in Sect. 4. This paper is concluded by a presentation of the main results in Sect. 5.
2 Fundamental and first harmonic modes of string oscillations
We consider now
the fundamental and first harmonic modes of elastic string oscillations which
are present simultaneously in a system. This case will serve for comparison
purposes
with the oscillations
in more realistic systems such as
straight and curved slabs discussed in the following sections.
These modes are represented by wave functions
and
,
while their interference state is denoted
by z(x,t), i.e.,
Here subscripts
| (3) | |||
| (4) |
where
It is noteworthy that a node of these oscillations is not fixed and instead it moves around the point x=L/2. We derive the position of this node by requiring that
| (5) |
For simplicity reasons, we have assumed that the first harmonic (n=1) oscillations occur with larger amplitude, i.e.,
Figure 1 illustrates this formula. Initially at t=0, the node is settled at
| |
Figure 1: Position of the node for two modes of oscillations, given by Eq. (6). |
| Open with DEXTER | |
Time signatures for interference of the two oscillations of Eq. (1) are displayed in the top panels of Fig. 2.
These time signatures correspond to wave signals which are collected in time at x=L/4 (left panel) and at
x=L/2 (right panel).
From the definition of
,
it is clear that the mode n=1 is best traced in a wave signal that is
collected at x=L/2, where
attains extrema and
.
We set a detection point at the location of
the antinode of the pure first harmonic mode, x=L/4.
The bottom panels of Fig. 2, exhibits
the corresponding Fourier power spectra for these time signatures.
It is clear that the signal collected at x=L/4
results from two waveperiods
s and
s
(Fig. 2, bottom left panel), while the time signature collected at x=L/2 is associated with only
(bottom right panel).
Here, the waveperiods follow the analytical formula
where n is the mode number. The fundamental (first harmonic) mode corresponds to n=1 (n=2).
![]() |
Figure 2: Time signatures of z(L/4,t) ( top left panel) and z(L/2,t) ( top right panel) of Eq. (1) and the corresponding Fourier power spectra ( bottom panels). |
| Open with DEXTER | |
3 Mathematical and numerical models of slabs
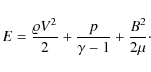
We consider a magnetized plasma with polytropic index
Here
is the magnetic permeability,
is mass density,
is flow velocity, p is gas pressure,
is magnetic field, and the plasma energy density is expressed as
We consider both a curved slab and a straight slab and limit our discussion to a 2D magnetically structured solar corona with plasma quantities independent of the spatial coordinate y,
| (15) |
where
| (16) |
where
| (17) |
Here
We also define
,
where
is the sound speed at z=0.
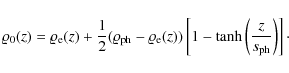
A slab is embedded in the equilibrium structures in such a way that its edges follow
two specific magnetic field lines.
The straight slab length is L=100 Mm and its width is 4 Mm.
The curved slab does not have a perfect circular shape, but its average radius
and length can be estimated as 70 Mm and 190 Mm, respectively. The mass density is enhanced in the slab compared
to the ambient medium. We define
the mass density contrast to be
,
where
denotes the mass density within the slab and
corresponds to the ambient
medium. Other curved slab parameters (footpoint separation, 1.4 L, and a half-width of the slab at its footpoint, 0.025 L)
are chosen to ensure consistency with the model of
Gruszecki et al. (2008).
We implement dense photosphere-like layers; for the straight slab, these layers are located at the left- and
right-sides of the simulation region and for the curved slab a single layer is located
at the bottom of a simulation region.
For the straight slab, we have
where
Initial mass density profiles for these slabs are displayed in Fig. 3.
![]() |
Figure 3:
Initial mass density profiles for the
straight ( top) and curved ( bottom) slabs.
The density (color bar, logarithmic scale) is given in arbitrary units (
|
| Open with DEXTER | |
4 Numerical results for slabs oscillations
In this section we present results of numerical simulations of the straight and curved slabs described in the former part of this paper. We adopt the numerical code Athena developed by Gardiner & Stone (2005). This code implements the higher-order Godunov method for solving time-dependent ideal magnetohydrodynamic equations. The algorithm is based on the piecewise parabolic method and it is second-order accurate in space and time. Equation (13) is satisfied by using a constrained transport scheme.
Equations (9)-(13) are solved numerically in Eulerian boxes with the x- and z-dimensions
for a case of the straight slab and
for the curved slab. These boxes are covered by a uniform grid of
numerical cells. Grid convergence studies showed that this resolution is sufficient for deriving results independent of the grid. We apply open boundary conditions for all perturbed plasma variables at all boundaries to allow a wave signal to leave freely the simulation region.
![]() |
Figure 4:
Time signatures of mass density (color bar, units of
|
| Open with DEXTER | |
![]() |
Figure 5: Fourier power spectra of the wave signals of Fig. 4. |
| Open with DEXTER | |
![]() |
Figure 6: Positions of the straight slab center for a case of Fig. 4. Top panel: solid (dotted) line corresponds to t=100 s (t=260 s). Bottom panel: t=305 s (solid line) and t=510 s (dotted line). |
| Open with DEXTER | |
![]() |
Figure 7:
Time signatures of mass density (color bar, units of
|
| Open with DEXTER | |
4.1 A straight slab
For the straight slab (Fig. 3, left panel), we launch an initial pulse in the vertical component of velocity:Here
Figure 6 displays the positions of the estimated straight slab center at different moments of time. It is discernible that the horizontal position of the node varies in time, which agrees with the analytical findings of Fig. 1.
4.2 A curved slab
In the case of the curved slab, a more realistic structure than the straight slab discussed above, we launch a Gaussian pulse in the velocityHere
![]() |
Figure 8: Mass density profiles for the case of curved slab oscillations shown in Fig. 7. Top panel: dark (bright) pattern corresponds to the position of the loop at t=140 s (t=300 s). Bottom panel: same profiles at t=410 s and t=580 s. |
| Open with DEXTER | |
![]() |
Figure 9: Fourier power spectra of the wave signals shown in Fig. 7. Top panel corresponds to the detection region at x=-0.4 L while bottom panel to x=0. |
| Open with DEXTER | |
Typical time signatures that result from the velocity pulse are shown in Fig. 7. After a significant initial shift (top panel), the curved slab begins oscillating. Mass density profiles exhibit kink oscillations for which the node changes its position close to the slab apex (Fig. 8). This behavior agrees with the analytical solution for both string oscillations (Fig. 1) and a straight slab (Fig. 6). The other two nodes are located at the footpoints.
Fourier power spectra are displayed in Fig. 9.
In a detection region along the line x=-0.4 L (top panel), two waveperiods
s and
s are discovered.
These waveperiods correspond to the modes of n=2 and n=1,
where more power is associated with the fundamental mode.
The time signature for the detection region located at the apex of a slab corresponds to the fundamental mode (n=1)
only. The difference in waveperiods between the straight and curved slabs is caused by
the different values of the slab lengths and Alfvén speeds.
5 Summary
We have presented numerical results for impulsively generated oscillations of a coronal loop modeled by either a straight slab or an arcade slab.It was shown by Gruszecki & Murawski (2008) that the effect of gravity produces a decrease in the wave period and an increase in the attenuation time. This decrease is a consequence of a higher Alfvén speed within the gravitationally-stratified arcade loop, while the weaker attenuation reflects a smaller amount of wave tunneling than in the gravity-free case.
Our findings apply to the gravity-free case and can be summarized as follows. The initial pulse of momentum initiated off-center at the beginning of the simulation triggers vertical oscillations consisting of the fundamental and first-harmonic modes. A node of these oscillations is not fixed in time but it moves about the loop apex. These numerically obtained results agree with the analytical findings for simple models of a coronal loop, such as an elastic string and a straight slab.
The simultaneous presence of the fundamental and first harmonic modes in a coronal loop explains the difficulty in detecting the latter mode; as a result of a lower power accumulated in the first harmonic mode, the latter is more difficult to detected in the coronal loop. Reports of these oscillations are indeed rare (Verwichte et al. 2004; de Moortel & Brady 2007; van Doorsselaere et al. 2007).
Acknowledgements
KM's work was supported by the grant for years 2007-2010 from the Polish Ministry of Science. The magnetohydrodynamics code used in this study was developed at Princeton University by Tom Gardiner, Jim Stone, Peter Teuben and John Hawley with support of the NSF Information Technology Research (ITR) program. KM's work was supported by the grant from the Polish Ministry of Science for years 2007-2010.
References
- Aschwanden, M., Fletcher, L., Schrijver, C., & Alexander, D. 1999, ApJ, 520, 880 [NASA ADS] [CrossRef] (In the text)
- Aschwanden, M., Nakariakov, V., & Melnikov, V. F. 2004, ApJ, 600, 458 [NASA ADS] [CrossRef] (In the text)
- Brady, C. S., & Arber, T. D. 2005, A&A, 438, 733 [NASA ADS] [CrossRef] [EDP Sciences] (In the text)
- De Moortel, I., & Brady, C. S. 2007, ApJ, 664, 1210 [NASA ADS] [CrossRef] (In the text)
- De Moortel, I., Ireland, J., Walsh, R. W., & Hood, A. W. 2002, Sol. Phys., 209, 61 [NASA ADS] [CrossRef] (In the text)
- Díaz, A. J., Zaqarashvili, T., & Roberts, B. 2006, A&A, 455, 709 [NASA ADS] [CrossRef] [EDP Sciences] (In the text)
- Gardiner, T. A., & Stone, J. M. 2005, J. Comput. Phys., 205, 509 [NASA ADS] [CrossRef] (In the text)
- Gruszecki, M., & Murawski, K. 2008, A&A, 487, 717 [NASA ADS] [CrossRef] [EDP Sciences] (In the text)
- Gruszecki, M., Murawski, K., & McLaughlin, J. 2008, A&A, 489, 413 [NASA ADS] [CrossRef] [EDP Sciences]
- Nakariakov, V. M., Ofman, L., Deluca, E. E., Roberts, B., & Davila, J. M. 1999, Science, 285, 862 [NASA ADS] [CrossRef] (In the text)
- Nakariakov, V. M., Melnikov, V. F., & Reznikova, V. E. 2003, A&A, 412, 7 [NASA ADS] [CrossRef] (In the text)
- Ofman, L. 2007, ApJ, 655, 1134 [NASA ADS] [CrossRef] (In the text)
- Ofman, L., & Wang, T. J. 2008, A&A, 482, L9 [NASA ADS] [CrossRef] [EDP Sciences] (In the text)
- Roberts, B., Edwin, P. M., & Benz, A. O. 1984, ApJ, 279, 857 [NASA ADS] [CrossRef] (In the text)
- Schrijver, C. J., Aschwanden, M. J., & Title, A. M. 2002, Sol. Phys., 206, 69 [NASA ADS] [CrossRef]
- Selwa M., Murawski, K., Solanki, S. K., & Wang, T. J. 2007, A&A, 462, 1127 [NASA ADS] [CrossRef] [EDP Sciences]
- van Doorsselaere, T., Nakariakov, V. M., & Verwichte, E. 2007, A&A, 473, 959 [NASA ADS] [CrossRef] [EDP Sciences] (In the text)
- Verwichte, E., Nakariakov, V. M., Ofman, L., & DeLuca, E. E. 2004, Sol. Phys., 223, 77 [NASA ADS] [CrossRef] (In the text)
- Wang, T. J., & Solanki, S. K. 2004, A&A, 421, L33 [NASA ADS] [CrossRef] [EDP Sciences] (In the text)
- Wang, T. J., & Solanki, S. K., Innes, D. E., & Curdt, W. 2005, A&A, 435, 753 [NASA ADS] [CrossRef] [EDP Sciences] (In the text)
All Figures
| |
Figure 1: Position of the node for two modes of oscillations, given by Eq. (6). |
| Open with DEXTER | |
| In the text | |
![]() |
Figure 2: Time signatures of z(L/4,t) ( top left panel) and z(L/2,t) ( top right panel) of Eq. (1) and the corresponding Fourier power spectra ( bottom panels). |
| Open with DEXTER | |
| In the text | |
![]() |
Figure 3:
Initial mass density profiles for the
straight ( top) and curved ( bottom) slabs.
The density (color bar, logarithmic scale) is given in arbitrary units (
|
| Open with DEXTER | |
| In the text | |
![]() |
Figure 4:
Time signatures of mass density (color bar, units of
|
| Open with DEXTER | |
| In the text | |
![]() |
Figure 5: Fourier power spectra of the wave signals of Fig. 4. |
| Open with DEXTER | |
| In the text | |
![]() |
Figure 6: Positions of the straight slab center for a case of Fig. 4. Top panel: solid (dotted) line corresponds to t=100 s (t=260 s). Bottom panel: t=305 s (solid line) and t=510 s (dotted line). |
| Open with DEXTER | |
| In the text | |
![]() |
Figure 7:
Time signatures of mass density (color bar, units of
|
| Open with DEXTER | |
| In the text | |
![]() |
Figure 8: Mass density profiles for the case of curved slab oscillations shown in Fig. 7. Top panel: dark (bright) pattern corresponds to the position of the loop at t=140 s (t=300 s). Bottom panel: same profiles at t=410 s and t=580 s. |
| Open with DEXTER | |
| In the text | |
![]() |
Figure 9: Fourier power spectra of the wave signals shown in Fig. 7. Top panel corresponds to the detection region at x=-0.4 L while bottom panel to x=0. |
| Open with DEXTER | |
| In the text | |
Copyright ESO 2009
Current usage metrics show cumulative count of Article Views (full-text article views including HTML views, PDF and ePub downloads, according to the available data) and Abstracts Views on Vision4Press platform.
Data correspond to usage on the plateform after 2015. The current usage metrics is available 48-96 hours after online publication and is updated daily on week days.
Initial download of the metrics may take a while.
![$\displaystyle \frac{L}{\pi}\arccos \left[ -\frac{1}{8\cos\left( \pi V_{\rm A} t/L\right)}\right] ,$](/articles/aa/full_html/2009/18/aa11025-08/img23.png)

![\begin{figure}
\par\includegraphics[scale=0.38, angle=0]{1025fig9.eps}\includegr...
...0]{1025fig7.eps}\includegraphics[scale=0.39, angle=0]{1025fig6.eps}
\end{figure}](/articles/aa/full_html/2009/18/aa11025-08/Timg34.png)

![$\displaystyle \frac{\partial E}{\partial t} + \nabla\cdot\left[\left( E + p + \...
...u}\right)
\vec{ V}- \frac{\vec{ B} (\vec{ B} \cdot \vec{ V})}{\mu}\right] = 0
,$](/articles/aa/full_html/2009/18/aa11025-08/img38.png)


![$\displaystyle {\varrho}_{\rm e0} +
\frac{1}{2}{\varrho}_{\rm e0}({d}_{\rm ph} - 1)\Bigg\{ \left[1-{\rm tanh}\left(\frac{x}{s_{\rm ph}}\right)\right]$](/articles/aa/full_html/2009/18/aa11025-08/img63.png)
![$\displaystyle + \left[1-{\rm tanh}\left(-\frac{x-L}{s_{\rm ph}}\right)\right] \Bigg\} ,$](/articles/aa/full_html/2009/18/aa11025-08/img64.png)
![\begin{displaymath}
\varrho_{\rm0}(z)=\varrho_{\rm e}(z)+\frac{1}{2}( \varrho_{\...
...))
\left[1-\tanh\left(\frac{z}{s_{\rm ph}}\right)\right] \cdot
\end{displaymath}](/articles/aa/full_html/2009/18/aa11025-08/img69.png)
![\begin{figure}
\par\includegraphics[scale=0.4, angle=0]{1025figb.eps}\par\includegraphics[scale=0.4, angle=0]{1025figa.eps}
\end{figure}](/articles/aa/full_html/2009/18/aa11025-08/Timg70.png)
![\begin{figure}
\par\includegraphics[scale=0.4, angle=0]{1025figf.eps}\par\includegraphics[scale=0.4, angle=0]{1025fige.eps}
\end{figure}](/articles/aa/full_html/2009/18/aa11025-08/Timg75.png)
![\begin{figure}
\par\includegraphics[scale=0.6, angle=0]{1025figh.eps}\par\includegraphics[scale=0.6, angle=0]{1025figg.eps}
\end{figure}](/articles/aa/full_html/2009/18/aa11025-08/Timg76.png)
![\begin{figure}
\par\includegraphics[scale=0.4, angle=0]{1025figc.eps}\par\includegraphics[scale=0.4, angle=0]{1025figd.eps}
\end{figure}](/articles/aa/full_html/2009/18/aa11025-08/Timg77.png)
![\begin{figure}
\par\includegraphics[scale=0.366, angle=0]{1025figj.eps}\par\includegraphics[scale=0.366, angle=0]{1025figi.eps}
\end{figure}](/articles/aa/full_html/2009/18/aa11025-08/Timg78.png)
![\begin{displaymath}
V_z(x,z,t=0) = A_V~ {\rm e}^{-\left[(x-x_{\rm0})/w_x\right]^2}
{\rm e}^{-\left[(z-z_{\rm0})/w_z\right]^2}.
\end{displaymath}](/articles/aa/full_html/2009/18/aa11025-08/img79.png)
![\begin{displaymath}
\vec{V}(x,z,t=0) = A_V[-1,0,1]\; {\rm e}^{-\left[(x-x_{\rm0})/w_x\right]^2} {\rm e }^{-\left[(z-z_{\rm0})/w_z\right]^2} .
\end{displaymath}](/articles/aa/full_html/2009/18/aa11025-08/img85.png)
![\begin{figure}
\par\includegraphics[scale=0.38, angle=0]{1025fig4.eps}\par\includegraphics[scale=0.38, angle=0]{1025fig5.eps}
\end{figure}](/articles/aa/full_html/2009/18/aa11025-08/Timg87.png)
![\begin{figure}
\par\includegraphics[scale=0.54, angle=0]{1025fig2.eps}\par\includegraphics[scale=0.54, angle=0]{1025fig3.eps}
\end{figure}](/articles/aa/full_html/2009/18/aa11025-08/Timg88.png)