| Issue |
A&A
Volume 498, Number 3, May II 2009
|
|
|---|---|---|
| Page(s) | 771 - 783 | |
| Section | Interstellar and circumstellar matter | |
| DOI | https://doi.org/10.1051/0004-6361/200811496 | |
| Published online | 19 March 2009 | |
The ionization fraction gradient across the Horsehead edge:
an archetype for molecular clouds![[*]](/icons/foot_motif.png)
J. R. Goicoechea1 - J. Pety2,3 - M. Gerin3 - P. Hily-Blant4 - J. Le Bourlot5
1 - Laboratorio de Astrofísica Molecular. Centro de Astrobiología. CSIC-INTA.
Carretera de Ajalvir, Km 4. Torrejón de Ardoz, 28850 Madrid, Spain
2 - IRAM, 300 rue de la Piscine, 38406 Grenoble Cedex, France
3 - LERMA - LRA, UMR 8112, CNRS, Observatoire de Paris and École Normale Supérieure, 24 rue Lhomond, 75231 Paris, France
4 - Laboratoire d'Astrophysique, Observatoire de Grenoble, BP 53, 38041 Grenoble Cedex 09, France
5 - LUTH, UMR 8102 CNRS, Université Paris 7 and Observatoire de Paris, Place J. Janssen,
92195 Meudon, France
Received 10 December 2008 / Accepted 11 February 2009
Abstract
Context. The ionization fraction (i.e., the electron abundance) plays a key role in the chemistry and dynamics of molecular clouds.
Aims. We study the H13CO+, DCO+ and HOC+ line emission towards the Horsehead, from the shielded core to the UV irradiated cloud edge, i.e., the photodissociation region (PDR), as a template to investigate the ionization fraction gradient in molecular clouds.
Methods. We analyze an IRAM Plateau de Bure Interferometer map of the H13CO+ J=1-0 line at a
resolution, complemented with IRAM-30 m H13CO+ and DCO+ higher-J line maps and new HOC+ and CO+ observations. We compare self-consistently the observed spatial distribution and line intensities with detailed depth-dependent predictions of a PDR model coupled with a nonlocal radiative transfer calculation. The chemical network includes deuterated species, 13C fractionation reactions and HCO+/HOC+ isomerization reactions. The role of neutral and charged PAHs in the cloud chemistry and ionization balance is investigated.
Results. The detection of the HOC+ reactive ion towards the Horsehead PDR proves the high ionization fraction of the outer UV irradiated regions, where we derive a low [HCO+]/[HOC+]
75-200 abundance ratio. In the absence of PAHs, we reproduce the observations with gas-phase metal abundances, [Fe+Mg+...], lower than
(with respect to H), and a cosmic-ray ionization rate of
s-1. The inclusion of PAHs modifies the ionization fraction gradient and increases the required metal abundance.
Conclusions. The ionization fraction in the Horsehead edge follows a steep gradient, with a scale length of
0.05 pc (or
25''), from [e-]
10-4 (or
-5 cm-3) in the PDR to a few times
10-9 in the core. PAH- anions play a role in the charge balance of the cold and neutral gas if substantial amounts of free PAHs are present (
).
Key words: astrochemistry - ISM: clouds - radiative transfer - radio lines: ISM - ISM: molecules - ISM: abundances
1 Introduction
The electron abundance ([e-] =
)
plays a fundamental role in the chemistry and
dynamics of interstellar gas. The degree of ionization determines the
preponderance of ion-neutral reactions, i.e., the main formation
route for most chemical species in molecular clouds
(Herbst & Klemperer 1973; Oppenheimer & Dalgarno 1974). In addition, the ionization fraction constrains the
coupling of matter and magnetic fields, which drives the dissipation of
turbulence and the transfer of angular momentum, thus having crucial
implications in protostellar collapse and accretion disks (e.g., Balbus & Hawley 1991).
High-angular resolution observations of interstellar clouds reveal steep density, temperature and turbulence gradients as well as sharp chemical variations. Accordingly, the electron abundance should vary within a cloud depending on the relative ionizing sources and prevailing chemistry.
Table 1: Observation parameters of the PdBI maps shown in Fig. 1.
Table 2: Observation parameters of the IRAM-30 m observations.
Rotational line emission of molecular ions such as DCO+ and HCO+ have been traditionally used to estimate the ionization fraction in molecular clouds because (i) they are abundant and easily observable; (ii) dissociative recombination is their main destruction route, and thus their abundances are roughly inversely proportional to the electron abundance (e.g., Guélin et al. 1982; Wootten et al. 1982; de Boisanger et al. 1996; Williams et al. 1998; Caselli et al. 1998; Maret & Bergin 2007; Hezareh et al. 2008). On the other hand, the presence of reactive ions (species such as HOC+ or CO+ that react rapidly with H2) is predicted to be a sensitive indicator of high ionization fraction regions, e.g., the UV irradiated cloud surfaces (e.g., Smith et al. 2002; Fuente et al. 2003).
In order to constrain the ionization fraction gradient from models,
the cloud chemistry and physics cannot be simplified much because
the charge balance depends on parameters such as the penetration of UV radiation,
the cosmic-ray ionization rate (
)
and the abundance of key species
(e.g., metals and PAH).
Compared to other works, in this paper we determine the ionization fraction gradient
by direct comparison of H13CO+ and DCO+ high-angular resolution
maps and HOC+ pointed observations, with detailed depth-dependent chemical and radiative transfer models covering a broad range of cloud physical conditions.
Indeed, the observed field-of-view contains the famous
Horsehead PDR (the UV illuminated edge of the cloud) and a dense and cold
core discovered by us from its intense DCO+ line emission
(Pety et al. 2007). Due to its simple geometry
and moderate distance (
pc),
the Horsehead PDR and associated core are good templates to
study the steep gradients expected in molecular clouds
(e.g., Pety et al. 2005, 2007; Goicoechea et al. 2006; Gerin et al. 2009).
The paper is organized as follows. The observations are presented in Sect. 2 and the models used to interpret them are described in Sect. 3. The chemistry of H13CO+, DCO+ and HOC+ (our observational probes of the ionization fraction) is analyzed in Sect. 4. In Sect. 5 we investigate the role of metals, PAHs and
on the electron abundance determination. The main results and constrains are presented in Sect. 6 and discussed in Sect. 7.
2 Observations
2.1 Observations and data reduction
Tables 1 and 2 summarize the observation parameters of the data obtained with the PdBI and the IRAM-30 m telescope that we shall study in this work. The H13CO+ J=1-0 line emission map was first presented in Gerin et al. (2009). Frequency-switched, on-the-fly maps (OTF) obtained at the IRAM-30 m were used to produce the short-spacings needed to complement a 7-field mosaic acquired with the 6 PdBI antennae in the CD configuration (baseline lengths from 24 to 176 m). Correlator backends were used (VESPA for IRAM-30 m observations). The high angular resolution PdBI H13CO+J=1-0 map complements our previous H13CO+J=3-2 and DCO+ J=2-1 and 3-2 maps taken with the IRAM-30 m telescope and first presented in Pety et al. (2007).
In this work we present new IRAM-30 m deeper integrations
in the HOC+, H13CO+and HCO+ J=1-0 lines,
and an upper limit for the CO+ emission towards the PDR
(defined here as the HCO emission peak; Gerin et al. 2009).
The position switching observing mode was used.
The on-off cycle duration was 1 mn and the off-position offsets were
,
i.e., the H II region
ionized by
Ori and free of molecular gas emission. Position accuracy is estimated to be
3'' for the 30 m data and better than 0.5'' for the PdBI data. The data processing was done with the GILDAS
softwares (e.g., Pety 2005b). The IRAM-30 m data were first calibrated to the
scale using the chopper wheel method (Penzias & Burrus 1973), and finally converted to main beam temperatures
using the forward and main beam efficiencies
and
displayed in Table 2 (e.g., Greve et al. 1998). The amplitude accuracy for heterodyne observations with the IRAM-30 m telescope is
10%. PdBI data and short-spacing data were merged before imaging and deconvolution of the mosaic, using standard techniques of GILDAS and used in our previous
works (see e.g., Pety et al. 2005).
![]() |
Figure 1:
DCO+ J=3-2 and 2-1 (IRAM-30 m; from Pety et al. 2007), H13CO+ J=1-0 (PdBI) and 3-2 (IRAM-30 m) line integrated intensity maps, aromatic infrared band emission (ISOCAM, from Abergel et al. 2003) and HCO (PdBI, from Gerin et al. 2009). Maps have been rotated by |
| Open with DEXTER | |
2.2 DCO+ and H13CO+ spatial distribution, HOC+ detection
Figure 1 shows H13CO+ J=1-0, HCO 10,1-00,0 (PdBI) and DCO+ J=2-1, 3-2 integrated line intensity maps (IRAM-30 m; Pety et al. 2007), as well as the aromatic infrared band emission (AIB, observed with ISOCAM, Abergel et al. 2003) that traces the UV illuminated edge of the cloud, i.e., the PDR. The DCO+ emission is concentrated in a narrow, arclike structure of dense and cold gas behind the PDR (Pety et al. 2007). Hence, it shows a very different spatial distribution than the emission of ``PDR tracers'' such as C2H, C4H, c-C3H2 (Pety et al. 2005), HCO radicals (Gerin et al. 2009), vibrationally excited H2 (Habart et al. 2005) or the AIB emission (Compiègne et al. 2008). The H13CO+ J=1-0 emission follows the DCO+ distribution and it mostly delineates the dense core that coincides with the DCO+ emission peak. Nevertheless, while DCO+ is not detected in the illuminated edge, H13CO+ does show a faint emission in the PDR. Therefore, the small field-of-view shown in Fig. 1 contains two different environments: a warm PDR and a cold core shielded from the external UV radiation field. In the following sections we analyze these emission maps to determine the ionization fraction gradient in the region.
Figure 2 shows long integration spectra of the HOC+,
H13CO+ and HCO+ J=1-0 lines towards the PDR. This is the first
detection of the HOC+ reactive ion towards the Horsehead, and adds to
previous detections in interstellar environments with high electron
abundances (Woods et al. 1983; Ziurys & Apponi 1995; Fuente et al. 2003; Rizzo et al. 2003; Savage & Ziurys 2004; Liszt et al. 2004). H12CO+ lines are optically thick, as shown by the low H12CO+/H13CO+J=1-0 line intensity ratio (
7), much lower than the expected
12C/
abundance ratio (Langer & Penzias 1990; Savage et al. 2002) and references
therein). The high opacity of H12CO+ lines even towards the PDR
justifies the use of H13CO+ lines as tracers of the HCO+ abundance.
Table 3: Main spectroscopic parameters of the studied lines.
3 Analysis: models
In this work we couple the depth-dependent abundances predicted by a PDR model
(for the varying physical conditions prevailing in the Horsehead edge) with detailed
excitation and radiative transfer calculations adapted to the cloud
geometry. This technique allows us to analyze different chemical models by
direct comparison with observed line intensities. This methodology was
introduced to study our interferometric CS and C18O maps of the
Horsehead edge (Goicoechea et al. 2006). It enables us to observationally
benchmark the abundance gradients predicted by chemical models, even
if it does not produce perfect fits to line profiles in all cloud positions.
In this paper, we analyze a horizontal cut of the H13CO+ and DCO+ line emission
along the direction of the illuminating star (
). Figure 1 shows that this cut (blue dashed line) goes across the DCO+ emission peak (
), which we identify as the ``shielded core'', and across the HCO emission peak, the ``PDR'' (
).
![]() |
Figure 2:
HOC+ and H13CO+ J=1-0 lines towards the Horsehead
PDR (upper and middle panels) observed with the IRAM-30 m telescope. Solid lines are radiative transfer models with
|
| Open with DEXTER | |
3.1 Geometry and density gradient
The Horsehead edge has an almost edge-on geometry with a line-of-sight
depth of
pc (e.g., Habart et al. 2005) and a spatial
scale in the plane of the sky of
0.002 pc arcsec-1. We determine
the density profile from observations by fitting the 1.2 mm dust continuum
emission (IRAM-30 m/MAMBO) along the
direction
(Hily-Blant et al. 2005). In this fit, we adopt a dust opacity per unit (gas+dust)
mass column density of
cm2 g-1 at 1.2 mm
(computed for ``MRN grains'': Mathis et al. 1977, see below),
our best knowledge of the dust grains temperature (from
15 K in the core to
30 K in the PDR; e.g., Ward-Thompson et al. 2006) and a power-law density profile
+
,
where r is the distance from the shielded core towards the illuminated
edge of the cloud. Best fits are obtained for a steep density gradient in the cloud edge (
)
and a flatter one towards the core (
). The turnover point occurs at a core radius of
pc (or
in the maps).
The resulting density gradient used in the photochemical and radiative transfer models is shown in Fig. 4. In the next sections we constrain the ionization fraction gradient
in the cloud by comparing synthetic and observed H13CO+ and DCO+ spectra along the same cut.
3.2 Photochemical models
We have updated the Meudon PDR code to model our observations of the Horsehead. The code has been described in detail elsewhere (e.g., Le Bourlot et al. 1993; Le Petit et al. 2006; Goicoechea & Le Bourlot 2007) and benchmarked against other PDR codes by Röllig et al. (2007). In this section we summarize the most relevant upgrades and model features for this work.
3.2.1 UV radiative transfer and dust properties
The code solves the UV radiative transfer problem taking into account
dust scattering and gas absorption. Anisotropic scattering of UV photons by dust grains
is included by explicity calculating the wavelength-dependent grain albedo and g-asymmetry parameters (Goicoechea & Le Bourlot 2007). This enables the specific computation of the UV radiation field
(continuum+lines) and thus, the direct integration of consistent
photoionization and photodissociation rates. We use two types of dust populations: (i) a mixture of graphite+silicate grains; and (ii) PAHs (see next paragraph). More precisely, we adopt a power-law size distribution (
)
with minimum and maximum radius of
5 and
250 nm respectively (for graphite+silicate grains).
Wavelength-dependent optical properties (Q efficiencies and g factors)
are interpolated from Laor & Draine (1993) tabulations. With a standard
gas-to-dust mass ratio (
100), this grain mixture (``MRN grains'')
reproduces the main characteristics of the standard interstellar extinction curve with
cm-2 and RV=3.1.
In order to complete our description of the dust populations, in this work
we have also added smaller aromatic grains.
Observationally, the AIB emission towards the
Horsehead (produced by free PAHs according to the most accepted
theory; Léger & Puget 1984; Allamandola et al. 1985) clearly separates the H II region and
PDR (where the emission is bright) from the regions shielded from UV
radiation, where no AIB emission is detected (Abergel et al. 2003; Habart et al. 2005; Compiègne et al. 2007; 2008).
However, the size distribution and PAH abundance in dense regions shielded
from UV radiation are uncertain.
It may vary from ``negligible'', if PAHs coagulate into larger PAH
aggregates (Boulanger et al. 1990; Rapacioli et al. 2006) to ``high''
abundances (though they will not be detected in the mid-IR due to the
lack of UV photons to excite them). We used the following PAH properties:
a size distribution with
0.4 and
1.2 nm radii limits
(Desert et al. 1990) and optical parameters from Li & Draine (2001).
This size distribution is compatible with PAHs having a mean radius of
0.6 nm and
carbon atoms assuming
a3 (Bakes & Tielens 1994). The extinction curve and the
efficiency of the photoelectric heating mechanism depend on the mass
fraction put into PAHs (Bakes & Tielens 1994). Depending on the PAH
abundance, they contribute to the total dust mass by
1%
for [PAH] = 10-7 and
10% for [PAH] = 10-6.
3.2.2 Chemical network and elemental abundances
Once the UV field is determined at each cloud position, steady-state chemical
abundances are computed for a given network of chemical reactions. The model also
computes the temperature profile by solving the thermal balance between the
most important gas heating and cooling mechanisms (Le Petit et al. 2006). Our chemical network contains
160 species and
2000 reactions. It includes deuteration, 13C fractionation (Graedel et al. 1982) and HCO+/HOC+ isomerization reactions. When available, we used the photodissociation rates given by van Dishoeck (1988), which are explicitly calculated for Draine's interstellar radiation field (ISRF). The most critical reaction rates for our determination
of the ionization fraction are listed in Table 4. Most reactions were checked against OSU (Herbst and co-workers) and UDFA (Woodall et al. 2006) networks. Also, we benchmarked our network with more extended ones by comparing the predicted abundances of simple species such as CO and DCO+.
Following Flower & Pineau des Forêts (2003), we have also included
interactions (
60 reactions) of gas phase species with very small aromatic grains (neutral
PAH and singly charged PAH
). In particular, we take into
account PAH-gas processes such as neutralization reactions of atomic and
molecular cations on PAH-, PAH electron attachment and photodetachment
of PAH- and PAH by UV photons. Such processes can play a significant
role in the ionization balance of dense molecular clouds (e.g.,
Lepp & Dalgarno 1988; Bakes & Tielens 1998; Flower et al. 2007, Wakelam & Herbst 2008; Wolfire et al. 2008). We
have not included larger grains in the network in order to
isolate the role of PAHs in the gas-phase chemistry. We thus assume
that recombinations of ions with grains are much less frequent than
recombinations with electrons and PAH-. This is partially justified by
the fact that, according to their size and mass, the fractional
abundance of ``MRN grains'' is low:
and their effective cross section per H nucleus is
cm-2 (the product of the grain abundance and the mean grain cross section).
Grain growth towards the denser parts the cloud will result in even lower grain abundances and smaller effective cross sections if the gas-to-dust mass ratio has to be preserved:
e.g.,
and
cm-2 if the grain radii a increase by
10. Therefore, the resulting lower
abundance of charged grains and their smaller effective cross section for ion-grain recombinations will not alter our estimations of the ionization fraction much.
Table 4:
Key chemical reaction rates
adopted in this work.
The adopted elemental abundances are shown in
Table 5. Low ionization potential heavy metals
(
8 eV; Fe+, Mg+ or Na+) are all represented by a single
element, ``M+''. In our model, such metals slowly recombine with electrons (through radiative recombinations), can be photoionized and can exchange charge with ions and neutrals (including PAHs). However, they are assumed to be chemically inert and thus do not form metallic molecules (e.g., Oppenheimer & Dalgarno 1974).
Once the physical and geometrical parameters of the cloud are constrained, the only free parameters in the model are the cosmic-ray ionization rate and the metal and PAH abundances.
Table 5: Standard conditions and gas-phase elemental abundances. Molecular, atomic and electron abundances, noted [x], refer to H.
3.3 From abundances to spectra: mm radiative transfer
We use the PDR model predictions (molecular abundance,
,
,
gas temperature and ionization fraction gradients) as input for a nonlocal radiative
transfer calculation able to compute DCO+ and H13CO+ line intensities as a function of cloud position. Our radiative transfer code handles edge-on plane-parallel geometry, and accounts for line trapping, collisional excitation
, and radiative excitation by absorption of continuum photons. After the level populations are determined in each modeled slab, emergent line intensities along each line of sight are computed and convolved with the telescope angular resolution at each frequency. A more detailed description is given in Goicoechea et al. (2006; Appendix). Since typical densities in the Horsehead (
104-105 cm-3) are below the critical densities of the observed high-dipole moment molecular ions (a few
105-106 cm-3 for the studied transitions) our approach allows us to properly take into account non-LTE excitation effects (e.g., subthermal excitation), as well as opacity and line profile formation.
4 Chemistry of the ionization fraction probes
4.1 H13CO+ and DCO+ chemistry in the UV shielded core
The detection of very bright DCO+ emission towards the shielded core (Pety et al. 2007) implies cold gas temperatures (
-20 K) and thus efficient HCO+ deuterium fractionation (i.e.,
[DCO+]/[HCO+]
D/H). From our observations we infer [DCO+]
,
[H13CO+]
and thus a [DCO+]/[HCO
abundance ratio towards the core peak. Such gas-phase DCO+ enhancement is achieved
via the reaction:
which is endothermic by
which dominates the DCO+ formation in the cold and dense gas. The absence of significant DCO+ line emission in the PDR is consistent with the higher temperatures (>60 K) expected in the illuminated edge of the cloud.
The detection of intense H13CO+ emission towards the shielded core
and its vicinity (see Fig. 1) implies low
ionization fractions. In terms of excitation and opacity effects,
H13CO+ is a much more reliable tracer of HCO+ column density
than H12CO+ itself (as the latter suffers from very large opacities and
line photon scattering by low-density halos; e.g., Cernicharo & Guélin 1987). In terms
of its chemistry, two main processes dominate the formation of
H13CO+ in the low temperature shielded gas:
and isotopic fractionation through
which is endothermic by only
their abundances inversely scale with that of electrons. In this work we have used a ``standard'' HCO+ dissociative recombination rate (i.e.,
4.2 HOC+ and H13CO+ chemistry in the PDR
In order to extract the [HOC+] and [H13CO+] abundances towards
the Horsehead PDR, we have modeled the observed lines
(Fig. 2) using our best knowledge of the prevailing
physical conditions:
-120 K,
n(H
cm-3, n(H) = 500 cm-3,
[e
and a 0.1 pc line-of-sight depth (or
cm-2) all accurate within a
factor
2. From the observed lines we derive the following column
densities: N(HOC+) = (1.2-
cm-2 and
N(H13CO+) = (4.7-
cm-2, which
translates into [HOC+]=(0.4-
and
[H13CO+] = (1.5-
.
This computation assumes
that the HOC+ and H13CO+ emission fills the IRAM-30 m
beam. However, HOC+ has not been mapped and its emission could well
arise from the same
12''-width filament where the emission of small
hydrocarbons and HCO radical is concentrated (Pety et al. 2005; Gerin et al. 2009). In this
case, [HOC+] increases by a factor
3. Therefore, we conclude that
the [HOC+]/[H13CO+] abundance ratio towards the PDR lies in the range
0.3-0.8. These values are orders of magnitude higher than the
value expected in the UV shielded gas.
Our chemical models (see next section) reproduce the
[HOC+]/[H13CO+] abundance ratio towards the PDR
but the absolute abundances
derived from observations are larger than those predicted by the model.
The discrepancies between observed and modeled abundances for
HOC+ and H13CO+ likely have a common origin. In particular,
the formation of HOC+ in UV
irradiated gas is driven by reactions involving C+ and species such as
H2O and CO+ (from C+ + OH reaction) that efficiently form at
high temperatures, that is:
where reaction 7 predominantly produces HOC+ whereas reaction 8 has similar branching ratios for the HCO+ and HOC+ formation (e.g., Scott et al. 1997; Savage & Ziurys 2004). The HOC+ destruction is governed by the isomerization reaction:
Laboratory experiments show that the reaction rate is lower than previously thought (Smith et al. 2002), allowing interstellar HOC+ to exist at detectable amounts.
The intensity peak of the CO J=2-1 optically thick lines observed with the PdBI
(
;
Pety et al. 2005), together with the observed
CO J=4-3/2-1 line ratio (Philipp et al. 2006), provide a lower limit to the gas temperature in the PDR (
-120 K). Temperatures in this range are predicted by the PDR model
but are not enough to overcome the activation energy barriers of the neutral-neutral reactions
leading to the formation of abundant H2O, OH and CO+ (e.g., Neufeld et al. 1995; Cernicharo et al. 2006).
Therefore, our models predict HOC+ and H13CO+ abundances lower than observed because their precursor molecules have low abundances, and reactions 7 and 8 are not efficient enough.
| |
Figure 3:
Predicted H13CO+, HOC+ and CO+ peak abundances in the PDR (
|
| Open with DEXTER | |
We have computed that gas temperatures around
350 K
are needed to reproduce the observed HOC+ and H13CO+ abundances
in the PDR through the previous scheme (see Fig. 3).
Our models of the Horsehead (low UV radiation field) include photoelectric heating
from PAHs and grains but do not predict such a warm gas component even if the PAH
abundance is significantly increased.
However, we do not model the PDR gas dynamics and thus processes such
as shock waves, driven by the expansion of the H II region
that compress the cloud edge, may provide
additional gas heating sources to trigger this warm chemistry.
This reasoning is partially consistent with the non detection of CO+lines, at least at the sensitivity level of our long integration
observation (rms
50 mK in a 0.20 km s-1 velocity width channel
or [CO
).
![]() |
Figure 4:
Grid of chemical models for 2 different metal abundances,
low-metallicity with
|
| Open with DEXTER | |
If the gas in the PDR has not gone through such a warm phase, reaction 8 has to be ruled out as the main chemical pathway for HOC+ formation and an alternative formation scenario is required. In this case, we propose that the enhanced HOC+ abundance in the PDR can still be related to the high abundance of C+ (and thus high ionization fraction), but also to grain photodesorption of water-ice mantles formed in earlier evolutionary stages of the cloud.
In this
picture, the low
/n ratio in the Horsehead (
10-3) will
allow water-ices to be photodesorbed close to the illuminated edge of the
cloud (see predictions by Hollenbach et al. 2009), increasing the water vapor
abundance well above the pure gas phase predictions. Reaction 7 will then dominate the HOC+ formation in the PDR. Taking into account that isomerization, dissociative recombination and photodissociation contribute to HOC+ destruction, we estimate
that the required water vapor abundance needed to explain the
inferred HOC+ abundance in the PDR is [
.
Herschel Space Observatory observations will enable the detection of C+ and H2O lines in a large sample of PDRs, confirming whether or not water vapor is abundant at the edges of molecular clouds (e.g., Cernicharo et al. 2006).
5 Determination of the ionization fraction
Figure 4 presents depth-dependent predictions of several photochemical models across the Horsehead edge. Each model shows the main physical parameters (density and temperature), the ionization fraction gradient, the DCO+, H13CO+ and HOC+ abundances (our observational probes of the ionization fraction) and the abundances of key chemical species for the charge balance in the cloud: CO/C/C+, M/M+, PAH-/PAH/PAH+.
Four sets of models are displayed. Top/bottom models use a
low (
s-1) and
high (
s-1) cosmic-ray ionization rate
respectively.
Left/right models exclude and include the effects of PAHs.
In the latter case, we include PAHs in the UV radiative transfer
(as a source of absorption and scattering of UV photons), in the photoelectric heating
and in the chemical network.
We start the chemistry computation by including neutral PAHs alone with
an initial abundance of [PAH] = 10-7. In each set of models (each panel),
the only parameter that varies is the abundance of metals:
high metallicity with
= 10-6 (dashed curves) and low metallicity with
= 10-9 (solid curves). The low metallicity case implies a large metal depletion from the gas phase.
In terms of the chemical species observed in this work,
a salient feature of all models is the constancy of the DCO+/H13CO+ abundance ratio
once the gas is shielded from UV radiation (
). This
feature agrees with the almost
identical spatial distribution of DCO+ and H13CO+ emission observed
beyond the PDR (see Fig. 1). This similarity was
already noticed in the lower resolution DCO+ and H13CO+pioneering maps of several molecular clouds (e.g., Guélin et al. 1982).
Also, the predicted [HOC+]/[H13CO+] abundance ratio
towards the PDR is in good agreement with the value inferred
from observations. In this UV irradiated region where the
C+ and electron abundances are very high, the HCO+ destruction rate
becomes comparable to the isomerization rate (reaction 9).
This implies that the [HOC+]/[H13CO+] abundance ratio in the cloud
achieves the highest value in the PDR.
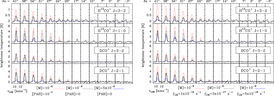
![]() |
Figure 5:
Left: H13CO+ and DCO+ spectra
along the direction of the exciting star at
|
| Open with DEXTER | |
5.1 The role of ionized carbon and metals
According to the ionization fraction gradient all models show two differentiated
environments separated by a transition region: the ``PDR'' (
-2) and the ``shielded core'' (
). The electron density at every cloud position is given by the difference of cations and anions densities;
![]() |
(10) |
In the PDR, carbon, the most abundant heavy element with a ionization potential below 13.6 eV, provides most of the charge:
As A
increases inwards the cloud, the C+ abundance
decreases by several orders of magnitude and so does the abundance of electrons.
In the shielded core (
), low ionization heavy metal ions (e.g., Fe+, Mg+ or Na+) determine much of the ionization fraction (Oppenheimer & Dalgarno 1974; Guélin et al. 1982).
In the absence of PAHs, abundant molecular ions m+ transfer charge rapidly to heavy metal
atoms M through
reactions.
Metal ions recombine orders of magnitude slower than molecular ions
(Table 4), and thus a large fraction of them is kept ionized
(higher
implies higher electron abundances).
Therefore, the ionization fraction in the core is highly dependent on the adopted
metallicity, and varies from a few
for
= 10-9, to a few
for
= 10-6.
5.2 The role of PAHs
Depending on their abundances, the presence of PAHs can alter the chemistry and the ionization balance in dense clouds (e.g., Lepp & Dalgarno 1988). For our adopted abundance of [PAH] = 10-7 the right and left panels in Fig. 4 shows that the presence of PAHs most modifies the ionization fraction at
.
Hence, if not all PAHs accrete onto bigger grains or coagulate towards cloud interiors,
can be abundant through the cloud because the radiative electron attachment rate
is high (
At the illuminated edge of the cloud, PAH- is predominantly destroyed by UV photons through electron detachment,
| (12) |
and through recombination with atomic cations which are very abundant in the PDR (e.g., Bakes & Tielens 1998; Wolfire et al. 2008). As a consequence, the abundance of ions such as S+ in the PDR decreases with respect to models without PAHs. This effect is important to determine the elemental abundances and depletion factors. Despite the higher PAH- destruction rates in the PDR, the high electron density and relatively low UV field in the Horsehead allows PAH- to form efficiently through electron attachment (reaction 11). Hence the resulting PAH- abundance is also high in the PDR. On the other hand, the predicted abundance of positively charged PAH+ in our models is
5.3 The role of the cosmic-ray ionization rate
Cosmic rays affect the ionization state and the physics of molecular clouds, being the dominant source of heating and ionization in the gas shielded from interstellar radiation fields. Indeed, secondary UV photons are created in cloud interiors by H2electron cascades following H2 excitation by collisions with cosmic rays (Prasad & Tarafdar 1983). Therefore, cosmic rays maintain a certain ionization degree in the shielded gas and play a fundamental role in the ion-neutral chemistry by setting the abundance of key ions (Herbst & Klemperer 1973).
Most studies based on the interpretation of observed molecular ions
set a range of a few 10-17 to a few 10-16 s-1 for the
cosmic-ray ionization rate (Le Petit et al. 2004; van der Tak 2006; Dalgarno 2006 and references
therein). However, it is still debated whether or not
depends on
environmental conditions (e.g., galactic center vs. disk clouds) or if it
varies from source to source (e.g., from dense molecular cores to more
translucent clouds). In many ways, PDRs offer an interesting intermediate
medium to analyze the transition between translucent and dark clouds.
In terms of our observations, the DCO+ and H13CO+ abundances
directly scale with
in the UV shielded gas. Indeed,
these ions are direct products of the H3+ destruction (through reactions 2 and 3), and the H3+ formation is proportional to
.
However,
and the metal abundance cannot be constrained independently from
the inferred DCO+ and H13CO+ abundances
since both parameters control the ionization fraction,
and thus the destruction of these ions through
reactions 5 and 6.
6 Results: observational constraints
In this section we compare the synthetic and observed H13CO+ and DCO+ spectra as a function of cloud position. We then explore the range of metallicities and cosmic-ray ionization rates compatible with the H13CO+ and DCO+ inferred abundances (see Table 6). The influence of PAHs is also investigated. We finally compare the [HOC+]/[H13CO+] ratio obtained towards the Horsehead with the values derived in other PDRs.
![]() |
Figure 6:
Left: model predictions for the shielded core
(the ``DCO+ peak'' at
|
| Open with DEXTER | |
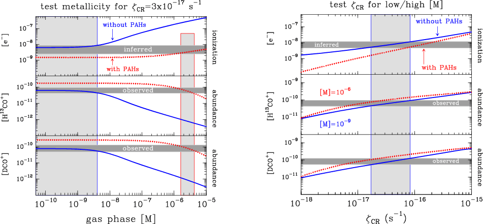
6.1 Constraints to the metals abundance
Figure 5 left shows the spectra along the
direction of the exciting star (histograms) and radiative transfer models
using the output of several PDR models for a fixed ionization rate
(
=
s-1) and varying metallicities. In
particular, the model with [M] = 10-9 (and no PAHs) displays a
notable agreement with both the DCO+ and H13CO+ spatial
distribution and with the inferred peak
abundances towards the core (Table 6). In addition,
Fig. 6 left shows the predicted ionization
fraction and [H13CO+] and [DCO+] abundances at the core peak
(AV > 10) as a function of [M] (blue-solid curves). These models
(no PAHs, fixed
)
show that the upper limit metallicity
compatible with observations is [M]
,
which
implies an ionization fraction of [e
at the core peak. Higher metal abundances increase the ionization
fraction (see Fig. 6 left), which translates into
weaker lines than observed (Fig. 5 left:
thin-blue curves). Therefore, the gas-phase metal abundance is depleted
by
4 orders of magnitude with respect to the Sun
(
,
Anders & Grevesse 1989). This range of
depletion is similar to that obtained in other prestellar cores such as
Barnard 68 (Maret & Bergin 2007). We shall refer it as the strong metal
depletion case.
Table 6:
Inferred abundances [x]=N(x)/
where
=N(H)+2N(H2).
The inclusion of PAH interactions implies lower ionization
fractions and enhanced molecular ion abundances (see Fig. 6 left)
which result in overestimated H13CO+ and DCO+ line intensities
towards the core. Therefore, the abundance of metals (e.g., indirectly the
ionization fraction) has to be increased to match
the observed intensities. In particular, Fig. 5 left
shows that a model with [PAHs] = 10-7 and [M] = 10-6 (red-dashed curves)
displays only a factor <2 brighter lines than models with
3 orders of magnitude lower metallicities and no PAHs (thick-grey curves).
As shown in Fig. 6 left,
the inclusion of PAHs makes the range of metal abundances compatible
with observations much higher now, [M] = (
.
The required abundance of metals is
at least a factor
500 larger than the former case without PAHs. Thus, we
refer to it as the weak metal depletion case. Note that this metallicity
is still below the gas-phase abundance of Fe+Mg+... elements in the diffuse interstellar
gas (e.g., Wolfire et al. 1995; Howk et al. 2006) and is consistent with the
incorporation of metals into dust grains in higher density regions (e.g., Wolfire et al. 1995).
On the other hand, the ionization fraction required
to reproduce the H13CO+ and DCO+ abundances
does not change much, [e-] = (
at the core peak
(red-dashed curves Fig. 6 left).
Therefore, it is not easy to distinguish between the
strong metal depletion (no PAHs) and weak metal depletion (with PAHs) cases
in terms of the ionization fraction. The observation of forbidden lines from metals such as [Fe II] towards the UV illuminated edges of molecular clouds may help to remove this apparent degeneracy. In one of the few positive cases, the S140 PDR,
the detection of a weak [Fe II]26.0
m fine-structure line emission suggests that
iron is depleted, but with an abundance of
relative to H (Timmermann et al. 1996).
Nevertheless, without mapping and comparing with other PDR tracers, it is not obvious to disentangle whether [Fe II] lines arise from the PDR gas or from the adjacent (H II) ionization front (e.g., Marconi et al. 1998; Kaufman et al. 2006).
6.2 Constraints to the cosmic-ray ionization rate
![]() |
Figure 7:
Derived abundance profiles for the most significant ions studied in this work for different PAH and sulfur elemental abundances. An enhanced UV radiation field 60 times the mean ISRF illuminates the cloud from the right. The metal abundance ([M] = 10-9) and the cosmic-ray rate (
|
| Open with DEXTER | |
Figure 5 right shows again the observed
spectra along the direction of the exciting star (histograms) and radiative
transfer models using the output of PDR models that vary the cosmic
ray rate, without PAHs and a fixed metal abundance of [M] = 10-9. The adopted metal abundance is, within an order of magnitude, the usual value estimated in prestellar cores (e.g., Caselli et al. 1999; Maret & Bergin 2007) and is compatible with our strong metal depletion case.
Therefore, Fig. 5 right shows the effects
of different ionization rates directly on the DCO+ and H13CO+ line
intensities. For the adopted physical conditions and chemical network, our
observations constrain
within a factor
2. In particular,
Fig. 6 right shows the predicted [e-], [H13CO+]
and [DCO+] abundances at the core peak (AV > 10) as a
function of
,
and suggests that in the absence of PAHs,
the cosmic ray ionization rate range compatible with the observations of the
Horsehead edge is
s-1
(solid-blue curves). If PAHs are included in the chemistry, the metal
abundance has to be increased accordingly to reproduce the observations.
For our [PAH] = 10-7 model case,
the required metal abundance needs to be above
to
obtain ionization rates above
s-1(Fig. 6 right; red-dotted curves).
Note that given the fact that the H13CO+ formation in the PDR is not
dominated by the 13CO + H3+ reaction, the H13CO+ abundance
in the UV illuminated gas does not scale with
.
Therefore,
we cannot further investigate if
varies significantly in the transition from diffuse regions to the shielded core (e.g., McCall et al. 2003; Padoan & Scalo 2005).
6.3 High ionization fraction in the PDR
The bright [C II]158
m (Zhou et al. 1993) and [C I]492 GHz
(Philipp et al. 2006) fine structure line emission towards the Horsehead PDR,
together with subtle chemical effects such as the large
[l-C3H2]/[c-C3H2] linear-to-cyclic abundance ratio
(Teyssier et al. 2005) all show observationally that the ionization fraction is
higher in the UV illuminated edge than towards the cloud interior.
Nevertheless, all those studies lacked the angular resolution to properly
measure the ionization fraction gradient.
The abundances of reactive ions such as HOC+
are also predicted to be enhanced in the UV illuminated gas,
where we have shown that the ionization fraction is high, up to [e
,
and
that the HOC+ formation is linked to the availability of C+.
On the other hand, the H13CO+ abundance increases as the electron
abundance decreases towards the shielded core. Therefore, we predict that the [HOC+]/[H13CO+] abundance ratio scales with the ionization fraction gradient, reaching
the highest values in the PDR (Fig. 4). In particular, we derive a high [HOC+]/[H13CO+]=0.3-0.8 ratio (or a low [HCO+]/[HOC+]
75-200 ratio) towards the PDR, similar to that observed in other PDRs such as NGC 7023 (Fuente et al. 2003).
7 Discussion
7.1 The ionization fraction gradient
Star forming clouds display different environments depending on the dominant physical and chemical processes. These environments are, to a first approximation, similar to those studied here: (i) a low density cloud edge directly exposed to a UV radiation field from nearby stars; (ii) a transition region or ridge where the H2 density increases as the gas temperature decreases due to the attenuation of the external radiation field. UV photons can still play a significant role depending on their penetration depths (e.g., cloud clumpiness, grain properties, etc.); and (iii) the denser shielded cores that may be externally triggered to form a new generation of stars depending on their stability against gravitational collapse (e.g., Goicoechea et al. 2008).
Assuming that the observed field-of-view in the Horsehead nebula is
representative of the above 3 environments, our maps and chemical models
reveal that the ionization fraction follows a steep gradient in
molecular clouds: from [e-]
10-4 at the edge of the cloud (the ``C+ dominated'' region) to a few times
10-9 in the shielded cores. The prevailing chemistry and the abundance of atomic ions such as C+ and S+ determine the ``slope'' of the ionization fraction gradient in the transition regions. In particular, sulfur (with a ionization potential of
10.36 eV) is a good source of charge behind the ``C+ dominated'' region. Advection and time-dependent effects may also modify the ionization fraction gradient with time. However, Morata & Herbst (2008) have shown models for (uniform) physical conditions similar to those in the Horsehead where [HCO+] (and [e-] presumably) does not change
with time appreciably.
Figure 7 shows the predicted ionization fraction gradient,
with a scale length of
0.05 pc (or
25''), and the main charge carriers for 3 representative models with fixed standard metal abundance (our strong metal depletion case) and standard cosmic-ray rate. Panel 7a shows a model without PAHs and high gas-phase sulfur abundance ([S] =
;
Goicoechea et al. 2006). The ionization fraction gradient in the
core / transition / edge zones, is mainly
determined by the [HCO++S++M++...] / [S+] / [C+]
abundances respectively. Sulfur ions control the charge balance in the
transition layers, and due to their high abundance and slow
radiative recombination rate with electrons, the ionization fraction is
high, a few times 10-7, and the gradient is smooth. This model qualitatively agrees with the observed more extended emission and narrower line-widths of sulfur recombination lines
compared to carbon recombination lines in dark clouds, as well
as with the relatively low (<10) carbon-to-sulfur recombination lines intensity ratio
(e.g., Pankonin & Walmsley 1978; Falgarone et al. 1978). All these signatures argue in favor of extended regions with significant amounts of gas-phase S+.
Panel 7b shows the same model but sulfur abundances
smaller by two orders of magnitude (strong gas-phase sulfur depletion). The
ionization fraction in the cloud core (
)
and
edge (
)
are nearly the same as in the previous high
sulfur abundance model. However, the lack of abundant S+ in the
transition layers decreases the electron abundance considerably,
and makes the ionization fraction gradient much steeper.
Observational constraints to the atomic and ionic S abundances from far-IR fine
structure lines or recombination lines, and a careful treatment of the sulfur chemistry (i.e., which are the most abundant S-bearing species as a function of cloud depth?) are thus required to quantify the S+ abundance at large AV and its impact on the charge balance.
Panel 7c shows a model with high sulfur abundance but including PAHs (with [PAH] = 10-7). As presented in Sect. 5.2, negatively charged PAH- efficiently form by radiative electron attachment and their abundance remains high through the cloud. Given the much higher recombination rates of atomic ions on PAH- than on electrons, the abundance of atomic ions such as S+ in the transition zone, or M+ in the shielded cores, quickly decreases. Hence, lower ionization fractions (and a much weaker dependence on the assumed metal elemental abundance) are predicted by the model with PAHs. These results agrees with theoretical predictions for UV shielded gas (Lepp & Dalgarno 1988; Flower et al. 2007; Wakelam & Herbst 2008).
In summary, a high abundance of PAHs throughout the molecular cloud (not only in the PDR) plays a role in the ionization balance and in the abundance of molecular ions, which affects the determination of elemental abundances (e.g., S) from fractional molecular abundances (e.g., HCS+/CS, SO+/SO, etc.).
7.2 The PAH abundance in UV shielded gas
The PAH abundance in the dense and UV shielded gas is far from being well constrained. Different approaches to analyze ISO and Spitzer mid-IR observations towards several PDRs all argue in favor of an evolution of dust grain sizes: from the illuminated cloud edge where the emission of PAH bands dominates, to the shielded interiors where the continuum emission from bigger grains dominates (Rapacioli et al. 2005; Berné et al. 2007; Compiègne et al. 2008). It is not trivial to disentangle whether this is a physical effect (i.e., free PAHs are not present in the shielded regions) or an excitation effect (i.e., lack of UV photons). Even if the PAH abundance drastically decreases towards cloud interiors, a chemically significant fraction of them may survive. Unfortunately, while the effects of grain growth in the UV extinction curve have been modelled by us (Goicoechea & Le Bourlot 2007), including PAH coagulation/accretion in the chemistry is beyond the scope of this work. All we can say at this point is that a better description of the cloud chemistry may be a decreasing PAH abundance gradient or an increasing PAH size distribution towards the cloud interior. In any case, we have shown that the presence of free PAHs in molecular clouds modifies the prevailing chemistry. As a result, the predicted high abundance of PAH- can dominate the recombination of metal ions and reduce the ionization fraction.
The presence of abundant free PAHs, or large molecules to which electron attach (Lepp & Dalgarno 1988), can thus be crucial in determining the coupling of the gas with magnetic fields in molecular clouds, but also in collapsing cores or in the ``dead'' zones of protoplanetary disks (magnetically inactive regions where accretion cannot occur if the ionization fraction is very low). According to our models, the PAH abundance threshold required to affect the metal and electron abundance determination in the UV shielded gas is [PAH] > 10-8. Herschel observations might allow the identification of specific PAH carriers through their far-IR skeletal modes (Joblin et al. 2002; Mulas et al. 2006), thus providing clues to their composition and abundance variations in different environments.
7.3 ``Non standard'' HCO+ dissociative recombination rate
We conclude by discussing the sensitivity of our determination of the ionization fraction from H13CO+ and DCO+ abundances. In particular, we have checked the effects of adopting a smaller, ``non standard'' HCO+ dissociative recombination rate,
(HCO
(300/T)0.50 cm3 s-1
(Sheehan 2000, Florescu-Mitchell & Mitchell 2006). For models without PAHs, the predicted H13CO+ and
DCO+ abundances increase by a factor of
3 with respect to models using the ``standard''
(HCO+) rate (Table 4), but the metallicity required to fit the observed lines has to be increased to
and the
predicted ionization fraction increases to [e-]
in the core. This value
should be regarded as the upper limit of our determination. On the other hand, the influence of
(HCO+) in models with PAHs is less important. It also requires
high metallicities to fit the observed intensities (weak metal depletion case),
but the predicted [e-] in the shielded core remains low (below
10-8).
8 Summary and conclusions
We have presented the first detection of HOC+ reactive ion towards the Horsehead PDR. Combined with our previous IRAM-PdBI H13CO+ J=1-0 (Gerin et al. 2009) and IRAM-30 m H13CO+ and DCO+ higher-J lines maps (Pety et al. 2007) we performed a detailed analysis of their chemistry, excitation and radiative transfer to constrain the ionization fraction as a function of cloud position. The observed field contains 3 different environments: (i) the UV illuminated cloud edge; (ii) a transition region or ridge; and (iii) a dense and cold shielded core. We have presented a study of the ionization fraction gradient in the above environments, which can be considered as templates for most molecular clouds. Our main conclusions are the following:
- 1.
- The ionization fraction follows a steep gradient, with a scale length of
0.05 pc (
25''), from [e-]
(
-5 cm-3) at the cloud edge (the ``C+ dominated'' regions) to a few times
10-9 in the
shielded core (with ongoing deuterium fractionation). Sulfur, metal and PAH ions play a key role in the charge balance at different cloud depths.
- 2.
- The detection of HOC+ towards the PDR, and the high [HOC+]/[H13CO+]
0.3-0.8 abundance ratio inferred,
proves the high ionization fraction in the UV irradiated gas.
However, the H13CO+ and HOC+ abundances derived from observations
are larger than the PDR model predictions. We propose that either the gas is/was warmer than predicted or that significant water ice-mantle photodesorption is taking place
and HOC+ is mainly formed by the C+ + H2O reaction.
- 3.
- The ionization fraction in the shielded core depends on the metal abundance and on the cosmic-ray ionization rate. Assuming a standard rate of
s-1 and pure gas-phase chemistry (no PAHs), the metal abundance has to be lower than
(strong metal depletion). Conversely, assuming a standard metal abundance of [M] = 10-9, our observations can only be reproduced
with
s-1.
- 4.
- The inclusion of PAHs
modifies the ionization fraction gradient and decreases the metal
depletion required to reproduce the observations if
(i.e., if not all PAHs coagulate/accrete onto bigger grains).
In such a case, PAH- acquire large abundances also in the shielded gas.
Recombination of atomic ions on PAH- is much more efficient
than on electrons and thus metal ions and molecular ions are neutralized at similar rates.
For [PAH] = 10-7, the metal abundance consistent with observations increases to [M] = (
(still below the heavy metals abundance in the diffuse ISM).
Acknowledgements
We thank the IRAM staff for their support during observations and D. Talbi and B. Godard for useful advice regarding the HCO+ dissociative recombination rate. Inelastic collisional rates of HCO+ with electrons were kindly provided by A. Faure and J. Tennyson. We also thank M. Walmsely for several interesting comments. We acknowledge the use of OSU (http://www.physics.ohio-state.edu/~eric/research.html) and UDFA (http://www.udfa.net/) chemical reaction databases. We finally acknowledge financial support from CNRS/INSU research programme PCMI. JRG is supported by a Ramón y Cajal research contract from the Spanish MICINN and co-financed by the European Social Fund.
References
- Abergel, A., Teyssier, D., Bernard, J. P., et al. 2003, A&A, 410, 577 [NASA ADS] [CrossRef] [EDP Sciences] (In the text)
- Allamandola, L. J., Tielens, A. G. G. M., & Barker, J. R. 1985, ApJ, 290, L25 [NASA ADS] [CrossRef] (In the text)
- Allamandola, L. J., Tielens, A. G. G. M., & Barker, J. R. 1989, ApJS, 71, 733 [NASA ADS] [CrossRef] (In the text)
- Anders, E., & Grevesse, N. 1989, Geochim. Cosmochim. Acta, 53, 197 [NASA ADS] [CrossRef] (In the text)
- Bakes, E. L. O., & Tielens, A. G. G. M. 1994, ApJ, 427, 822 [NASA ADS] [CrossRef] (In the text)
- Bakes, E. L. O., & Tielens, A. G. G. M. 1998, ApJ, 499, 258 [NASA ADS] [CrossRef] (In the text)
- Balbus, S. A., & Hawley, J. F. 1991, ApJ, 376, 214 [NASA ADS] [CrossRef] (In the text)
- Berné, O., Joblin, C., Deville, Y., et al. 2007, A&A, 469, 575 [NASA ADS] [CrossRef] [EDP Sciences] (In the text)
- Boulanger, F., Falgarone, E., Puget, J. L., & Helou, G. 1990, ApJ, 364, 136 [NASA ADS] [CrossRef] (In the text)
- Caselli, P., Walmsley, C. M., Terzieva, R., & Herbst, E. 1998, ApJ, 499, 234 [NASA ADS] [CrossRef]
- Caselli, P., Walmsley, C. M., Tafalla, M., Dore, L., & Myers, P. C. 1999, ApJ, 523, L165 [NASA ADS] [CrossRef] (In the text)
- Cernicharo, J., & Guélin, M. 1987, A&A, 176, 299 [NASA ADS] (In the text)
- Cernicharo, J., Goicoechea, J. R., Pardo, J. R., & Asensio-Ramos, A. 2006, ApJ, 642, 940 [NASA ADS] [CrossRef] (In the text)
- Compiègne, M., Abergel, A., Verstraete, L., et al. 2007, A&A, 471, 205 [NASA ADS] [CrossRef] [EDP Sciences] (In the text)
- Compiègne, M., Abergel, A., Verstraete, L., & Habart, E. 2008, A&A, 491, 797 [NASA ADS] [CrossRef] [EDP Sciences] (In the text)
- Dalgarno, A. 2006, Proceedings of the National Academy of Science, 103, 33 [CrossRef], 12269 (In the text)
- de Boisanger, C., Helmich, F. P., & van Dishoeck, E. F. 1996, A&A, 310, 315 [NASA ADS] (In the text)
- Desert, F.-X., Boulanger, F., & Puget, J. L. 1990, A&A, 237, 215 [NASA ADS]. (In the text)
- Falgarone, E., Cesarsky, D. A., Encrenaz, P. J., & Lucas, R. 1978, A&A, 65, L13 [NASA ADS] (In the text)
- Faure, A., & Tennyson, J. 2001, MNRAS, 325, 443 [NASA ADS] [CrossRef]
- Florescu-Mitchell, A. I., & Mitchell, J. B. A. 2006, Phys. Rep., 430, 277 [NASA ADS] [CrossRef] (In the text)
- Flower, D. R. 1999, MNRAS, 305, 651 [NASA ADS] [CrossRef]
- Flower, D. R., & Pineau des Forêts, G. 2003, MNRAS, 343, 390 [NASA ADS] [CrossRef]
- Flower, D. R., Pineau des Forêts, G., & Walmsley, C. M. 2007, A&A, 474, 923 [NASA ADS] [CrossRef] [EDP Sciences] (In the text)
- Fuente, A., Rodríguez-Franco, A., García-Burillo, S., Martín-Pintado, J., & Black, J. H. 2003, A&A, 406, 899 [NASA ADS] [CrossRef] [EDP Sciences] (In the text)
- Fuente, A., García-Burillo, S., Usero, A., et al. 2008, A&A, 492, 675 [NASA ADS] [CrossRef] [EDP Sciences]
- Gerin, M., Goicoechea, J. R., Pety, J., & Hily-Blant, P. 2009, A&A, in press (In the text)
- Gerlich, D., Herbst, E., & Roueff, E. 2002, Planetary and Space Science, 50, 12, 1275 (In the text)
- Goicoechea, J. R., & Le Bourlot, J. 2007, A&A, 467, 1 [NASA ADS] [CrossRef] [EDP Sciences] (In the text)
- Goicoechea, J. R., Pety, J., Gerin, M., et al. 2006, A&A, 456, 565 [NASA ADS] [CrossRef] [EDP Sciences] (In the text)
- Goicoechea, J. R., Berné, O., Gerin, M., Joblin, C., & Teyssier, D. 2008, ApJ, 680, 466 [NASA ADS] [CrossRef] (In the text)
- Graedel, T. E., Langer, W. D., & Frerking, M. A. 1982, ApJS, 48, 321 [NASA ADS] [CrossRef] (In the text)
- Greve, A., Kramer, C., & Wild, W. 1998, A&AS, 133, 271 [NASA ADS] [CrossRef] [EDP Sciences] (In the text)
- Guélin, M., Langer, W. D., & Wilson, R. W. 1982, A&A, 1982, 107 [NASA ADS], 107 (In the text)
- Habart, E., Abergel, A., Walmsley, C. M., Teyssier, D., & Pety, J. 2005, A&A, 437, 177 [NASA ADS] [CrossRef] [EDP Sciences] (In the text)
- Herbst, E., & Klemperer, W. 1973, ApJ, 185, 505 [NASA ADS] [CrossRef] (In the text)
- Hezareh, T., Houde, M., McCoey, C., Vastel, C., & Peng, R. 2008, ApJ, 684, 1221 [NASA ADS] [CrossRef] (In the text)
- Hily-Blant, P., Teyssier, D., Philipp, S., & Güsten, R. 2005, A&A, 440, 909 [NASA ADS] [CrossRef] [EDP Sciences] (In the text)
- Hollenbach, D., Kaufman, M. J., Bergin, E. A., & Melnick, G. J. 2009, ApJ, 690, 1497 [NASA ADS] [CrossRef] (In the text)
- Howk, J. C., Sembach, K. R., & Savage, B. D. 2006, ApJ, 637, 333 [NASA ADS] [CrossRef] (In the text)
- Joblin, C., Toublanc, D., Boissel, P., & Tielens, A. G. G. M. 2002, Mol. Phys., 100, 3595 [NASA ADS] [CrossRef] (In the text)
- Kaufman, M. J., Wolfire, M. G., & Hollenbach, D. J. 2006, ApJ, 644, 28 [NASA ADS] [CrossRef] (In the text)
- Langer, W. D., & Penzias, A. A. 1990, ApJ, 357, 477 [NASA ADS] [CrossRef] (In the text)
- Langer, W. D., Graedel, T. E., Frerking, M. A., & Armentrout, P. B. 1984, A&A, 277, 581 [NASA ADS] (In the text)
- Laor, A., & Draine, B. T. 1993, 402, 441
- Le Bourlot, J., Pineau Des Forets, G., Roueff, E., & Flower, D. R. 1993, A&A, 267, 233 [NASA ADS] (In the text)
- Leger, A., & Puget, J. L. 1984, A&A, 137, L5 [NASA ADS] (In the text)
- Le Petit, F., Roueff, E., & Herbst, E. 2004, A&A, 417, 993 [NASA ADS] [CrossRef] [EDP Sciences] (In the text)
- Le Petit, F., Nehmé, C., Le Bourlot, J., & Roueff, E. 2006, ApJS, 64, 506 [NASA ADS] [CrossRef] (In the text)
- Lepp, S., & Dalgarno, A. 1988, ApJ, 324, 553 [NASA ADS] [CrossRef] (In the text)
- Li, A., & Draine, B. T. 2001, ApJ, 554, 778 [NASA ADS] [CrossRef]
- Liszt, H., Lucas, R., & Black, J. H. 2004, A&A, 428, 117L [NASA ADS] [CrossRef] (In the text)
- Marconi, A., Testi, L., Natta, A. & Walmsley, C. M. 1998, A&A, 330, 696 [NASA ADS] (In the text)
- Maret, S., & Bergin, E. A. 2007, ApJ, 664, 956 [NASA ADS] [CrossRef] (In the text)
- Mathis, J. S., Rumpl, W., & Nordsieck, K. H. 1977, ApJ, 217, 425 [NASA ADS] [CrossRef]
- McCall, B. J., Huneycutt, A. J., Saykally, R. J., et al. 2003, Nature, 422, 500 [NASA ADS] [CrossRef] (In the text)
- Morata, O., & Herbst, E. 2008, MNRAS, 390, 1549 [NASA ADS]
- Mulas, G., Malloci, G., Joblin, C., & Toublanc, D. 2006, A&A, 460, 93 [NASA ADS] [CrossRef] [EDP Sciences] (In the text)
- Neufeld, D. A., Lepp, S., & Melnick, G. J. 1995, ApJS, 100, 132 [NASA ADS] [CrossRef] (In the text)
- Omont, A., 1986, A&A, 164, 159 [NASA ADS] (In the text)
- Oppenheimer, M., & Dalgarno, A. 1974, ApJ, 192, 29 [NASA ADS] [CrossRef] (In the text)
- Padoan, P., & Scalo, J. 2005, ApJ, 624, L97 [NASA ADS] [CrossRef] (In the text)
- Pankonin, V., & Walmsley, C. M. 1978, A&A, 67, 12 (In the text)
- Penzias, A. A., & Burrus, C. A. 1973, ARA&A, 11, 51 [NASA ADS] [CrossRef] (In the text)
- Pety, J., Teyssier, D., Fossé, D., et al. 2005, A&A, 435, 885 [NASA ADS] [CrossRef] [EDP Sciences] (In the text)
- Pety, J. 2005, Semaine de l'Astrophysique Française, meeting held in Strasbourg, France, ed. F. Casoli, T. Contini, J. M. Hameury, & L. Pagani (EDP Sciences), SF2A-2005, 721 (In the text)
- Pety, J., Goicoechea, J. R., Hily-Blant, P., Gerin, M., & Teyssier, D. 2007, A&A, 464, L41 [NASA ADS] [CrossRef] [EDP Sciences] (In the text)
- Philipp, S. D., Lis, D. C., Güsten, R., Kasemann, C., Klein, T., & Phillips, T. G. 2006, A&A, 454, 213 [NASA ADS] [CrossRef] [EDP Sciences] (In the text)
- Prasad, S. S., & Tarafdar, S. P. 1983, ApJ, 267, 603 [NASA ADS] [CrossRef] (In the text)
- Rapacioli, M., Joblin, C., & Boissel, P. 2005, A&A, 429, 193 [NASA ADS] [CrossRef] [EDP Sciences] (In the text)
- Rapacioli, M., Calvo, F., Joblin, C., et al. 2006, A&A, 460, 519 [NASA ADS] [CrossRef] [EDP Sciences] (In the text)
- Rizzo, J. R., Fuente, A., Rodríguez-Franco, A., & García-Burillo, S. 2003, ApJ, 597, L153 [NASA ADS] [CrossRef] (In the text)
- Röllig, M., Abel, N. P., Bell, T., et al. 2007, A&A, 467, 187 [NASA ADS] [CrossRef] [EDP Sciences]
- Savage, C., & Ziurys, L. M. 2004, ApJ, 616, 966 [NASA ADS] [CrossRef] (In the text)
- Savage, C., Apponi, A. J., Ziurys, L. M., & Wyckoff, S. 2000, ApJ, 578, 211 [NASA ADS] [CrossRef] (In the text)
- Scott, G. B. I., Fairley, D. A., Freeman, C. G., et al. 1997, J. Chem. Phys., 106, 3982 [NASA ADS] [CrossRef] (In the text)
- Sheehan, C. H. 2000, Ph.D. Thesis, the University of Western Ontario, London, Canada (In the text)
- Smith, M. A., Schlemmer, S., von Richthofen, J., & Gerlich, D. 2002, ApJ, 578, L87 [NASA ADS] [CrossRef] (In the text)
- Teyssier, D., Fossé, D., Gerin, M., et al. 2004, A&A, 417, 135 [NASA ADS] [CrossRef] [EDP Sciences]
- Teyssier, D., Hily-Blant, P., Gerin, M., et al. 2005, in Proceedings of the dusty and molecular universe: a prelude to Herschel and ALMA, ed. A. Wilson, ESA SP-577 (Noordwijk, Netherlands: ESA Publications Division), 423 (In the text)
- Timmermann, R., Bertoldi, F., Wright, C. M., et al. 1996, A&A, 315, L281 [NASA ADS] (In the text)
- van der Tak, Floris, F. S. 2006, Royal Soc. London Trans. Ser. A, 364, 1848, 3101 (In the text)
- van Dishoeck, E. F. 1988, Rate Coefficients in Astrochemistry, ed. T. J. Millar, & D. A. Williams (Dordrecht, Boston: Kluwer Academic Publishers), 49
- Wakelam, V., & Herbst, E. 2008, ApJ, 680, 371 [NASA ADS] [CrossRef] (In the text)
- Ward-Thompson, D., Nutter, D., Bontemps, S., Whitworth, A., & Attwood, R. 2006, MNRAS, 369, 1201 [NASA ADS] [CrossRef] (In the text)
- Williams, J. P., Bergin, E. A., Caselli, P., Myers, P. C., & Plume, R. 1998, ApJ, 503, 689 [NASA ADS] [CrossRef] (In the text)
- Wolfire, M. G., Hollenbach, D., McKee, C. F., Tielens, A. G. G. M., & Bakes, E. L. O. 1995, ApJ, 443, 152 [NASA ADS] [CrossRef] (In the text)
- Wolfire, M. G., Tielens, A. G. G. M., Hollenbach, D., & Kaufman, M. J. 2008, ApJ, 680, 384 [NASA ADS] [CrossRef] (In the text)
- Woodall, J., Agúndez, M., Markwick-Kemper, A. J., & Millar, T. J. 2006, A&A, 466, 1197 [NASA ADS] [CrossRef] (In the text)
- Woods, R. C., Gudeman, C. S., Dickman, R. L., et al. 1983, ApJ, 270, 583 [NASA ADS] [CrossRef] (In the text)
- Wootten, A., Loren, R. B., & Snell, R. L. 1982, ApJ, 255, 160 [NASA ADS] [CrossRef] (In the text)
- Zhou, S., Jaffe, D. T., Howe, J. E., et al. 1993, ApJ, 419, 190 [NASA ADS] [CrossRef] (In the text)
- Ziurys, L. M., & Apponi, A. J. 1995, J, 455, 73 (In the text)
Footnotes
- ... clouds
- Based on observations obtained with the IRAM Plateau de Bure interferometer and 30 m telescope. IRAM is supported by INSU/CNRS (France), MPG (Germany), and IGN (Spain).
- ...GILDAS
- See http://www.iram.fr/IRAMFR/GILDAS
- ... excitation
- PDR-like environments require us to consider inelastic collisions with H2, H, He and e-. H13CO+, DCO+ and HOC+ collisional rates with H2, H and He have been scaled from those of Flower (1999), while collisional rates with e- were kindly provided by Faure and Tennyson (see e.g., Faure & Tennyson 2001).
All Tables
Table 1: Observation parameters of the PdBI maps shown in Fig. 1.
Table 2: Observation parameters of the IRAM-30 m observations.
Table 3: Main spectroscopic parameters of the studied lines.
Table 4:
Key chemical reaction rates
adopted in this work.
Table 5: Standard conditions and gas-phase elemental abundances. Molecular, atomic and electron abundances, noted [x], refer to H.
Table 6:
Inferred abundances [x]=N(x)/
where
=N(H)+2N(H2).
All Figures
![]() |
Figure 1:
DCO+ J=3-2 and 2-1 (IRAM-30 m; from Pety et al. 2007), H13CO+ J=1-0 (PdBI) and 3-2 (IRAM-30 m) line integrated intensity maps, aromatic infrared band emission (ISOCAM, from Abergel et al. 2003) and HCO (PdBI, from Gerin et al. 2009). Maps have been rotated by |
| Open with DEXTER | |
| In the text | |
![]() |
Figure 2:
HOC+ and H13CO+ J=1-0 lines towards the Horsehead
PDR (upper and middle panels) observed with the IRAM-30 m telescope. Solid lines are radiative transfer models with
|
| Open with DEXTER | |
| In the text | |
| |
Figure 3:
Predicted H13CO+, HOC+ and CO+ peak abundances in the PDR (
|
| Open with DEXTER | |
| In the text | |
![]() |
Figure 4:
Grid of chemical models for 2 different metal abundances,
low-metallicity with
|
| Open with DEXTER | |
| In the text | |
![]() |
Figure 5:
Left: H13CO+ and DCO+ spectra
along the direction of the exciting star at
|
| Open with DEXTER | |
| In the text | |
![]() |
Figure 6:
Left: model predictions for the shielded core
(the ``DCO+ peak'' at
|
| Open with DEXTER | |
| In the text | |
![]() |
Figure 7:
Derived abundance profiles for the most significant ions studied in this work for different PAH and sulfur elemental abundances. An enhanced UV radiation field 60 times the mean ISRF illuminates the cloud from the right. The metal abundance ([M] = 10-9) and the cosmic-ray rate (
|
| Open with DEXTER | |
| In the text | |
Copyright ESO 2009
Current usage metrics show cumulative count of Article Views (full-text article views including HTML views, PDF and ePub downloads, according to the available data) and Abstracts Views on Vision4Press platform.
Data correspond to usage on the plateform after 2015. The current usage metrics is available 48-96 hours after online publication and is updated daily on week days.
Initial download of the metrics may take a while.
![\begin{figure}
\par\includegraphics[height=17cm,angle=270]{1496fig1.eps}
\end{figure}](/articles/aa/full_html/2009/18/aa11496-08/Timg58.png)
![\begin{figure}
\par\includegraphics[angle=-90,width=7.5cm,clip]{1496fig2.eps}
\end{figure}](/articles/aa/full_html/2009/18/aa11496-08/Timg70.png)

![\begin{figure}
\par\includegraphics[height=22.5cm,width=16.3cm,clip]{1496fig4.eps} %\end{figure}](/articles/aa/full_html/2009/18/aa11496-08/Timg155.png)
![\begin{figure}
\par\includegraphics[height=6.5cm,angle=0]{1496fig5.eps}
\end{figure}](/articles/aa/full_html/2009/18/aa11496-08/Timg158.png)

![\begin{figure}
\par\includegraphics[width=16cm,clip,angle=0]{1496fig6.eps}
\end{figure}](/articles/aa/full_html/2009/18/aa11496-08/Timg175.png)
![\begin{figure}
\par\includegraphics[width=16cm,angle=0]{1496fig7.eps}
\end{figure}](/articles/aa/full_html/2009/18/aa11496-08/Timg205.png)