| Issue |
A&A
Volume 498, Number 3, May II 2009
|
|
|---|---|---|
| Page(s) | 793 - 800 | |
| Section | Interstellar and circumstellar matter | |
| DOI | https://doi.org/10.1051/0004-6361/200811536 | |
| Published online | 19 March 2009 | |
Radiative transfer in circumstellar disks
I. 1D models for GQ Lupi
S. D. Hügelmeyer1 - S. Dreizler1 - P. H. Hauschildt2 - A. Seifahrt1 - D. Homeier1 - T. Barman3
1 - Institut für Astrophysik, Georg-August-Universität
Göttingen, Friedrich-Hund-Platz 1, 37077 Göttingen, Germany
2 -
Hamburger Sternwarte, Gojenbergsweg 112, 21029 Hamburg, Germany
3 -
Lowell Observatory, 1400 W Mars Hill Rd, Flagstaff, AZ 86001, USA
Received 17 December 2008 / Accepted 10 March 2009
Abstract
We present a new code for the calculation of the 1D
structure and synthetic spectra of accretion disks. The code is an
extension of the general purpose stellar atmosphere code
PHOENIX and is therefore capable of including extensive lists
of atomic and molecular lines as well as dust in the calculations. We
assume that the average viscosity can be represented by a critical
Reynolds number in a geometrically thin disk and solve the structure
and radiative transfer equations for a number of disk rings in the
vertical direction. The combination of these rings provides the total
disk structure and spectrum. Since the warm inner regions of
protoplanetary disks show a rich molecular spectrum, they are well
suited for a spectral analysis with our models. In this paper we test
our code by comparing our models with high-resolution VLT CRIRES
spectra of the T Tauri star GQ Lup.
Key words: radiative transfer - accretion, accretion disks - methods: numerical - techniques: spectroscopic
1 Introduction
Gas and dust disks are common objects; they can be observed around a variety of objects such as very young stars (e.g. T Tauri and Herbig Ae/Be stars), evolved binaries (cataclysmic variables), and even black holes. With the discovery of the first extrasolar planets over 10years ago, the interest in protoplanetary disks has increased. Disk properties such as density, temperature, and chemical composition effect the process of planet formation and therefore also the characteristics of the planets. For very young stars (ages ofTremendous efforts have been made to model the structure and more importantly for the comparison with observations radiative transfer in accretion disks. Kriz & Hubeny (1986), Shaviv & Wehrse (1986), Hubeny (1990) and others went beyond the vertically averaged models of Shakura & Syunyaev (1973) and Lynden-Bell & Pringle (1974) or models using the diffusion approximation (e.g. Cannizzo et al. 1982; Meyer & Meyer-Hofmeister 1982) to obtain full numerical solutions for the structure of and the radiative transfer in accretion disks. Since then, these models have reached a high degree of sophistication (for an overview of protoplanetary disk models see Dullemond et al. 2007).
Even though instruments like the VLTI constitute a major improvement
for the observation of spatially extended objects, most of our
information about the physics of protoplanetary disks comes from
spatially unresolved spectra. NIRSPEC observations of protoplanetary
disks have shown the capabilities of IR spectroscopy
(Najita et al. 2003). With the ESO IR spectrograph CRIRES
(Kaeufl et al. 2004) such observations have become available to
a larger community of astronomers. Dust continuum radiative transfer
(RT) calculations (e.g. Wolf 2001) can reproduce
the overall structure of the dust disk out to a few hundred AU. The
more abundant gas in the disk, however, cannot be predicted by these
models. The warm inner disks (temperatures between
to a
few
)
provide a special laboratory to study the gas
structure because temperatures and densities are adequate to produce
molecular spectral lines visible in the near- to
mid-infrared. High-resolution observations in combination with model
spectra enable us to obtain kinematic information about the gas since
line profiles are governed by the velocity field in the disk. Another
interesting observation is the agreement of mean inner gas disk radii
and orbital radii of short-period extrasolar planets
(Carr 2007). To further investigate this and other
phenomena, detailed gas and dust models of the warm inner disk regions
are necessary.
Our paper is structured as follows: in Sect. 2 we will explain the construction of our model structure and synthetic spectra. We will concentrate on the basic concepts and highlight the implementation of the solution. In Sect. 3 we will present synthetic spectra for the disk of the T Tauri star GQ Lup and compare these with CRIRES infrared observations to show the potential of our 1D disk model code. Section 4 will give a summary and an outlook of our work.
2 Models
We have developed a circumstellar disk radiative transfer code as an extension of the well-tested model atmosphere packagePHOENIX
(Hauschildt & Baron 1999). PHOENIX can handle very large atomic and
molecular line lists and blanketing due to several hundred million
individual lines is treated in the direct opacity sampling
method. Dust is included in the models presented here by treating
condensate formation under the assumption of chemical equilibrium and
phase-equilibrium for several hundred species. I.e. all dust
monomers exceeding the local saturation pressure as defined by thermal
equilibrium are allowed to condense (this implies a
supersaturation ratio S=1; Allard et al. 2001, cf. also
Helling et al. 2008, for a
comparison of different condensation treatments).
The grain opacity is calculated from the most important refractory
condensates using optical data for a total of 50 different
species. Absorption and scattering are calculated in the Mie
formalism, assuming a given particle size distribution for a mixture
of pure spherical grains, following the general setup of the Dusty set
of PHOENIX atmosphere models (Allard et al. 2001, a plot with relative
abundances of the most important species in our disk models is shown
in Fig. 9). This equilibrium assumption is
a good approximation in the inner optically thick layers of the
well-mixed disk atmosphere. In the low-density outer layers,
non-thermal effects are more important; including these effects in the
DISK version of PHOENIX is planned for the future. In
the later phases of disk evolution grain growth will become important
and may cause departures from a homogeneous size distribution.
Partial pressures for the different atoms, molecules, and dust species
are calculated with the new ``Astrophysical Chemical Equilibrium
Solver'' (ACES) equation of state (Barman, in preparation) which
allows us to reach temperature regimes as low as a few tens of degrees
Kelvin.
| |
Figure 1: Disk ring structure as adopted for our calculations. The radius of the rings increases exponentially. The left panel shows a face-on view of a disk, the right one a vertical cut viewed edge-on (height is not to scale). The dotted lines are the radii R for which the models are calculated while the solid lines show the borders of a disk ring. The disk structure is assumed to be constant over the ring width. |
| Open with DEXTER | |
In our models, the disk region considered is divided into rings (see
Fig. 1) and a plane-parallel disk atmosphere is computed
between the midplane and the top of the disk for a given number of
quadrature points (Gaussian angles)
for each ring
independently. Here
denotes the angle between the
characteristic and the normal to the disk plane.
We adopt the standard accretion model for geometrically thin disks,
i.e. the disk height H is much smaller than the disk ring radius
R. This assumption decouples the treatment of vertical and radial
disk structure because the vertical structure is in quasi-static
equilibrium compared to time scales for the radial motion of
gas. Matter is assumed to rotate with Keplerian velocities and viscous
shear decelerates inner and accelerates outer parts leading to
accretion of matter and outward transportation of angular
momentum. Molecular viscosity is too small to provide the observed
mass accretion rates. Thermal convection in accretion disks was
investigated by different authors using various methods which are
summarised in Klahr (2007). The results show that
thermal convection is unlikely the dominant source of turbulence and
even leads to inward transport of angular momentum. Furthermore, a
heating source is required to drive the
convection. Bell & Lin (1994) argue that convective
instabilities can only occur at temperatures T<200 K or
,
i.e. temperature regimes which our models
do not reach (see Sect. 3). The magnetorotational
instability (MRI) introduced by poloidal magnetic fields in weakly
ionised disk matter (Balbus & Hawley 1991) is the currently
favoured origin of dissipation and angular momentum transport but its effect on the thermal structure
of the disk cannot be easily described or parametrised. Even though
temperatures T>1000 K are necessary to thermally ionise disk
material, cosmic ray ionisation is possible at surface densities
(Gammie 1996) which is true
for all our models presented below. The mean viscous dissipation is
often modelled as an ``alpha-viscosity'' resulting in a
vertically-averaged viscosity
(Shakura & Syunyaev 1973) where
(Lynden-Bell & Pringle 1974). This second model has the advantage, that the calculation of the mean viscous dissipation is decoupled from the thermal structure of the disk and is adopted here. Both of these formalisms allow one to account for the effect of viscosity on the disk structure without the need to describe its origin in detail.
2.1 Start models
In order to start a newDISK disk calculation either an
existing model can be used as input or a grey LTE start model is
constructed. In the latter case we follow the approach of
Hubeny (1990).
The model is initialised by setting up a mass depth scale
,
where NL is the number of layers, which
will be kept fixed also for later calculations with the same input
parameters. The m scale is equally spaced on a logarithmic grid
between the column mass at the midplane of the disk
and the outer value m1, which is an input parameter. This spacing is done for
In a next step, we calculate the depth-dependent viscosity
assuming a value of
We further assume an isothermal density structure - the sound speed
associated with the gas pressure
and the flux mean opacity
are independent of height - which lets one derive a simple
analytic expression for the density at each depth point
.
The relation
is then inverted to convert our mass depth variable m into a height above the midplane of the disk z.
Finally we employ the formal LTE solution derived in
Hubeny (1990) and the Rosseland opacity tables of
Ferguson et al. (2005) to get a temperature structure by
iterating
with
2.2 Iterative procedure
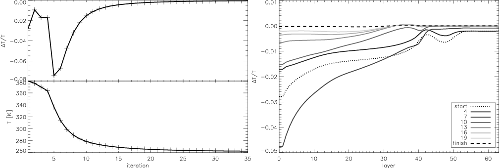
After a restart model is read in or a start structure has been computed, the hydrostatic equation, the radiative transfer (RT) equation, and the energy balance equation have to be solved. This is done iteratively until convergence in flux is obtained. Our termination criterion iswhere
![]() |
Figure 2:
Temperature correction scheme for a not irradiated disk
atmosphere with
|
| Open with DEXTER | |
2.2.1 Hydrostatic equation
The hydrostatic equation is one of the basic equations that govern the structure of a stable disk. Since the mass of the disk is much smaller than that of the central object, we can neglect self-gravitation of the disk. Assuming that the radial component of the central star's gravitation and the centrifugal forces of the rotating disk just cancel each other out, we obtain the vertical hydrostatic equation for a thin diskwhere P is the sum of gas pressure
This way, we eliminate the height z (which is not known a-priori) and introduce the sound speed
2.2.2 Radiative transfer
We solve the plane-parallel radiative transfer equationfor a given number of Gaussian angles
and the lower boundary condition due to symmetry conditions is
In Eq. (11), the expression
where S is the source function and
and we can rewrite Eq. (13) as
The non-local
2.2.3 Energy balance
The standard accretion disk model demands that all the energy that is produced by viscous dissipation, i.e. mechanical energy, is released in form of radiative and convective energy, viz.For a viscous disk, the left hand term can be written as
(Kriz & Hubeny 1986) and the radiative energy is expressed by
We shall neglect the convective energy term
where
The introduction of the Eddington factors
and insertion of the first frequency-integrated moment of the radiative transfer equation gives the temperature correction law
with
the absorption mean and Planck mean opacity. An example iteration history is shown in Fig. 2.
| |
Figure 3:
Irradiation geometry as adopted for our calculations. We
consider a star with radius |
| Open with DEXTER | |
2.2.4 Irradiation
Irradiation by the central star plays an important role in the determination of the temperature and height profile of a protoplanetary accretion disk. Therefore, we have taken special care to treat this effect in detail. The impinging intensity onto the surface of the disk (see Eq. (11)) is determined by first calculating the slope of the disk surfacewhere NS is the number of surface segments for Gauss angle
PHOENIX spectrum can be used as irradiation source. The
irradiation geometry is shown in Fig. 3.
![]() |
Figure 4:
Optical depth structure for a disk ring model with
|
| Open with DEXTER | |
2.2.5 Spectrum
Having determined a set of self-consistent disk ring structures, we calculate a last iteration with a larger number of Gaussian angles (usually NG=16) and a fine wavelength spacing (up toIn Eq. (26) we assumed that the disk is axis-symmetric and that the intensity is constant for all radii between inner and outer radii for each ring. In addition to the integration over all disk rings, the influence of the disk's rotation on the line profile is taken into account by applying the Doppler shift
to the line. Here the velocity
3 Synthetic spectra for GQ Lup
We retrieved spectra of T Tauri stars taken with the high-resolution infrared spectrograph CRIRES at the VLT from the ESO Science Archive Facility (see Pontoppidan et al. 2008, for a description of the observations). The observations were reduced using a combination of the CRIRES pipeline and our own IDL routines. The telluric absorption lines in the spectrum were removed by using a telluric model spectrum (Seifahrt, in preparation). From the spectra taken between April 22 and April 26 2007, we selected the observation of the classical T Tauri star GQ Lup to demonstrate the applicability of our models to observations.
3.1 GQ Lup
GQ Lup is a classical T Tauri star (CTTS) which is mostly known for its recently discovered sub-stellar companion GQ Lup B (Neuhäuser et al. 2005). The activity due to ongoing accretion of the CTTS makes a well constrained determination of its physical parameters difficult. This becomes obvious regarding the differences in visual brightness of more than
SD08 obtained a radius of
for the K7 V
star assuming a mean distance of
.
From
evolutionary tracks they derive a mass of
.
Together with their rotational period of
and a spectroscopically determined
they find an inclination angle of
.
BR07 measure a shorter photometric period of
and a larger radius of
from
and a luminosity L from evolutionary tracks. With these values
and
they predict an
inclination angle of
.
![]() |
Figure 5: The left panel shows normalised disk ring spectra. Intensities and wavelength are offset for clarity. The right panel depicts bars corresponding in height to the contribution of each disk ring spectrum to the total spectrum. The bar for the stellar contribution has to be multiplied by a factor of 25. The spectra and the weights are grey-scale coded corresponding to their ring radius R. |
| Open with DEXTER | |
![]() |
Figure 6: Temperature structures for the eight disk rings calculated for the spectral analyses. The temperature profiles marked with symbols, e.g. for disk rings with R=0.031 AU and R=0.045 AU, are not included in the best fit model. |
| Open with DEXTER | |
![]() |
Figure 7: Spectra calculated from the same structure model but for different dust grain sizes. Neglecting dust as opacity source results in overestimation of the lines. ISM grain size distribution and a dust grain size setup with ten times smaller dust radii yield a very similar spectrum. The dust opacity is slightly reduced if we increase the grain size by a factor of ten. |
| Open with DEXTER | |
3.2 Models
We calculated small model grids for the input parameters from the publications of BR07 and SD08 (see Sect. 3.1), i.e. using
Since we consider a disk that has recently formed from a protostellar
cloud and yet not seen significant grain growth, we assumed a standard
ISM type power law grain size distribution with base size
and an exponent of -3.5. The
abundances follow Grevesse & Noels (1993).
In Fig. 5 we show the normalised spectra of each disk
ring and how much each spectrum contributes to the total disk spectrum
in the wavelength region considered. From these ring weights one can
see that the outer disk radius
contributes only very
little to the ring integrated spectrum and that the extension to even
larger disk radii would have almost no measurable
influence. Furthermore, it becomes obvious that the inner rings, even
though their surface area is much smaller than those of rings at
larger radii, have a much higher weight. This is simply because the
irradiated and viscously heated atmosphere is much warmer closer to
the star and therefore has a higher flux level than that of rings
further out. Furthermore, the continuum becomes optically thin for
disk parts with
which further decreases the
flux level. The influence of the central star GQ Lup A on the total
spectrum is accounted for by a blackbody spectrum of
.
The ratio of stellar and disk flux is
depending on the input parameters for the
disk. Figure 5 also shows that CO emission lines
disappear at
which corresponds to temperatures
in the outer line emitting layers of
.
![]() |
Figure 8:
CRIRES spectrum of GQ Lup (grey line) with our best fit
disk model (black line). The model is calculated for a disk
between
|
| Open with DEXTER | |
3.3 Spectral fit
The comparison of our disk model spectra to the CRIRES spectrum of GQ Lup in the wavelength range
The part of the disk with radii
has no measurable
influence on the spectrum at wavelength
.
The strong CO
fundamental transition lines (v=1-0) in the spectrum are well
reproduced by the model. The weaker v=2-1 CO emission lines are also
visible in the spectrum and fitted by our model. The
13CO isotope is weakly present in the model, which
assumes the solar system carbon isotope ratio of 89:1, but we cannot
find clear evidence for its existence in the observed spectrum.
Woods & Willacy (2009) have modelled isotopic fractionation for a
protoplanetary disk quite similar to our GQ Lup model, but found only
mild effects on carbon monoxide, with very modest increases in the
12CO/ 13CO ratio only in the outermost
layers of the disk. Considering the noise in the spectrum and the
blending of 12CO and 13CO lines we
therefore cannot find evidence for a different isotope ratio in our
observations. The maximum temperature in the surface layers of the
disk atmospheres is
which is much smaller than the
estimated excitation temperature of
found by
Najita et al. (2003) for DF Tau which has a similar spectrum
but stronger v=2-1 emission lines.
In Fig. 7 we show the influence of the dust grain
size distribution on the spectrum. All of the spectra are based on the
same structure model but the emergent flux is calculated for four
different dust grain size setups, i.e. no dust, ISM grain size
distribution with
,
,
and
.
As we
can see, neglecting dust leads to a lack of opacity and too strong
lines. The ISM grain size distrbution fits the data equally well as
the smaller grains. The spectrum with ten times larger grains than ISM
still reproduces the observation reasonably well, but lines are
slightly stronger than for ISM sizes.
An interesting feature in the observed spectrum is the hydrogen
Pf
(7-5) emission line. This line has been attributed to an
absorption line in the telluric standard star used for the calibration
of CTTS by Najita et al. (2003). Since we used a telluric model
to remove telluric absorption lines, we can relate the Pf
feature unambiguously to an emission line intrinsic to GQ Lup. We
measure a blue shift of
for the line relative to the
star and the width corresponds to a velocity of
.
This value is much larger than the measured
by BR07. Therefore, the line cannot be attributed to the star
directly. If we assume Keplerian rotation, the formal origin of the
line is at
and could originate from the
accretion flow onto the star or a stellar or disk wind.
![]() |
Figure 9:
Relative abundances of the most important dust
contributors to the opacity. The left plot is for the disk ring
with R=0.094 AU and the right one for R=0.290 AU. Forsterite
(Mg2SiO4) is the most abundant dust species and strongly
present in all layers. Graphite sets on around
|
| Open with DEXTER | |
4 Summary and outlook
We present a new 1D structure and radiative transfer program for circumstellar disks that is an extension of the general purpose stellar atmosphere code PHOENIX. The disk is separated into concentric rings and the structure is calculated from the midplane of the disk to the top of the disk atmosphere for each ring. A combination of all rings then yields the total disk spectrum. Our program assumes a geometrically thin accretion disk geometry and a critical Reynolds number to describe the energy release in the disk due to turbulent viscosity. We have modified the hydrostatic equation, the inner and outer boundary condition of the RT equation, as well as the energy balance equation to account for the difference between star and disk atmosphere. Irradiation of the central star onto the top of the disk atmosphere is taken into account.
Our disk model spectra can reproduce high-resolution IR emission line
spectra, in this case of the CTTS GQ Lup. For this particular object,
we calculated a set of disk models for different stellar input
parameters given by the recent publications of
Broeg et al. (2007) and Seperuelo Duarte et al. (2008) and varied
the mass accretion rate
,
the Reynolds number Re, and the
inner and outer disk radii. We investigated the contribution of each
disk ring on the total disk spectrum and showed where line and
continuum radiation originates in the atmosphere. Furthermore we could
show that the inclination of the warm inner disk of GQ Lup is
which is much smaller than the value obtained by
Seperuelo Duarte et al. (2008) and just within the uncertainties given
for the inclination by Broeg et al. (2007).
Even though we could provide a reasonable model fit to the observed spectra of GQ Lup with our 1D structure and RT code, there is room for improvement. One obvious drawback of our code is the assumption of equilibrium chemistry and local thermodynamic equilibrium. This is not very likely to be valid for the cool inner and optically thin and irradiated outer disk atmospheric layers. Therefore, the consideration of departure from chemical equilibrium due to turbulent mixing or photodissociation, and radiative excitation of molecules needs to be considered in future projects. Furthermore, convective energy transport will be considered in the future in order to investigate the influence of this effect on the disk structure and spectra.
We are extending our effort to model the structure and spectra of circumstellar disks to full 3D radiative transfer calculations. This way we can relax the assumption that there is no flux exchange between matter at different radii R and we will ``naturally'' consider the direct irradiation of the central star onto the disk and heat the very inner disk rim. The influence of the Kepler velocity field in the disk on the line profile will be investigated by means of two level atom line transfer (see Baron & Hauschildt 2007).
Acknowledgements
S.D.H. is supported by a scholarship of the DFG Graduiertenkolleg 1351 ``Extrasolar Planets and their Host Stars''. A.S. acknowledges financial support from the Deutsche Forschungsgemeinschaft under DFG RE 1664/4-1. Based on observations made with ESO Telescopes at Paranal Observatory under programme ID 179.C-0.151(A).
References
- Allard, F., Hauschildt, P., Alexander, D., Tamanai, A., & Schweitzer, A. 2001, ApJ, 556, 357 [NASA ADS] [CrossRef] (In the text)
- Balbus, S. A., & Hawley, J. F. 1991, ApJ, 376, 214 [NASA ADS] [CrossRef] (In the text)
- Baron, E., & Hauschildt, P. H. 2007, A&A, 468, 255 [NASA ADS] [CrossRef] [EDP Sciences]
- Bell, K. R., & Lin, D. N. C. 1994, ApJ, 427, 987 [NASA ADS] [CrossRef] (In the text)
- Broeg, C., Schmidt, T. O. B., Guenther, E., et al. 2007, A&A, 468, 1039 [NASA ADS] [CrossRef] [EDP Sciences]
- Cannizzo, J. K., Ghosh, P., & Wheeler, J. C. 1982, ApJ, 260, L83 [NASA ADS] [CrossRef]
- Carr, J. S. 2007, in IAU Symp. 243, ed. J. Bouvier, & I. Appenzeller, 135 (In the text)
- D'Alessio, P., Canto, J., Calvet, N., & Lizano, S. 1998, ApJ, 500, 411 [NASA ADS] [CrossRef] (In the text)
- Dullemond, C. P., Hollenbach, D., Kamp, I., & D'Alessio, P. 2007, in Protostars and Planets V, ed. B. Reipurth, D. Jewitt, & K. Keil, 555 (In the text)
- Ferguson, J. W., Alexander, D. R., Allard, F., et al. 2005, ApJ, 623, 585 [NASA ADS] [CrossRef] (In the text)
- Gammie, C. F. 1996, ApJ, 457, 355 [NASA ADS] [CrossRef] (In the text)
- Grevesse, N., & Noels. 1993, in Abundances, ed. C. Jaschek, & M. Jaschek (Dordrecht: Kluwer), 111 (In the text)
- Hauschildt, P. H., & Baron, E. 1999, J. Comput. Appl. Math., 109, 41 [NASA ADS] [CrossRef] (In the text)
- Hauschildt, P. H., Störzer, H., & Baron, E. 1994, JQSRT, 51, 875 [NASA ADS] (In the text)
- Helling, C., Ackerman, A., Allard, F., et al. 2008, MNRAS, 391, 1854 [NASA ADS] [CrossRef] (In the text)
- Horne, K., & Marsh, T. R. 1986, MNRAS, 218, 761 [NASA ADS] (In the text)
- Hubeny, I. 1990, ApJ, 351, 632 [NASA ADS] [CrossRef] (In the text)
- Janson, M., Brandner, W., Henning, T., & Zinnecker, H. 2006, A&A, 453, 609 [NASA ADS] [CrossRef] [EDP Sciences]
- Kaeufl, H.-U., Ballester, P., Biereichel, P., et al. 2004, in SPIE Conf. Ser. 5492, ed. A. F. M. Moorwood, & M. Iye, 1218 (In the text)
- Kenyon, S. J., & Hartmann, L. 1995, ApJS, 101, 117 [NASA ADS] [CrossRef] (In the text)
- Klahr, H. 2007, in IAU Symp., 239, ed. F. Kupka, I. Roxburgh, & K. Chan, 405 (In the text)
- Kriz, S., & Hubeny, I. 1986, Bull. Astron. Inst. Czechoslovakia, 37, 129 [NASA ADS] (In the text)
- Lucy, L. B. 1964, SAO Special Report, 167, 93 [NASA ADS] (In the text)
- Lynden-Bell, D., & Pringle, J. E. 1974, MNRAS, 168, 603 [NASA ADS] (In the text)
- Meyer, F., & Meyer-Hofmeister, E. 1982, A&A, 106, 34 [NASA ADS]
- Najita, J., Carr, J. S., & Mathieu, R. D. 2003, ApJ, 589, 931 [NASA ADS] [CrossRef] (In the text)
- Neuhäuser, R., Guenther, E. W., Wuchterl, G., et al. 2005, A&A, 435, L13 [NASA ADS] [CrossRef] [EDP Sciences]
- Pontoppidan, K. M., Blake, G. A., van Dishoeck, E. F., et al. 2008, ApJ, 684, 1323 [NASA ADS] [CrossRef] (In the text)
- Seperuelo Duarte, E., Alencar, S. H. P., Batalha, C., & Lopes, D. 2008, A&A, 489, 349 [NASA ADS] [CrossRef] [EDP Sciences]
- Shakura, N. I., & Syunyaev, R. A. 1973, A&A, 24, 337 [NASA ADS]
- Shaviv, G., & Wehrse, R. 1986, A&A, 159, L5 [NASA ADS]
- Wolf, S. 2001, Ph.D. Thesis, AA, University of Jena (In the text)
- Woods, P. M., & Willacy, K. 2009, ApJ, accepted (In the text)
All Figures
| |
Figure 1: Disk ring structure as adopted for our calculations. The radius of the rings increases exponentially. The left panel shows a face-on view of a disk, the right one a vertical cut viewed edge-on (height is not to scale). The dotted lines are the radii R for which the models are calculated while the solid lines show the borders of a disk ring. The disk structure is assumed to be constant over the ring width. |
| Open with DEXTER | |
| In the text | |
![]() |
Figure 2:
Temperature correction scheme for a not irradiated disk
atmosphere with
|
| Open with DEXTER | |
| In the text | |
| |
Figure 3:
Irradiation geometry as adopted for our calculations. We
consider a star with radius |
| Open with DEXTER | |
| In the text | |
![]() |
Figure 4:
Optical depth structure for a disk ring model with
|
| Open with DEXTER | |
| In the text | |
![]() |
Figure 5: The left panel shows normalised disk ring spectra. Intensities and wavelength are offset for clarity. The right panel depicts bars corresponding in height to the contribution of each disk ring spectrum to the total spectrum. The bar for the stellar contribution has to be multiplied by a factor of 25. The spectra and the weights are grey-scale coded corresponding to their ring radius R. |
| Open with DEXTER | |
| In the text | |
![]() |
Figure 6: Temperature structures for the eight disk rings calculated for the spectral analyses. The temperature profiles marked with symbols, e.g. for disk rings with R=0.031 AU and R=0.045 AU, are not included in the best fit model. |
| Open with DEXTER | |
| In the text | |
![]() |
Figure 7: Spectra calculated from the same structure model but for different dust grain sizes. Neglecting dust as opacity source results in overestimation of the lines. ISM grain size distribution and a dust grain size setup with ten times smaller dust radii yield a very similar spectrum. The dust opacity is slightly reduced if we increase the grain size by a factor of ten. |
| Open with DEXTER | |
| In the text | |
![]() |
Figure 8:
CRIRES spectrum of GQ Lup (grey line) with our best fit
disk model (black line). The model is calculated for a disk
between
|
| Open with DEXTER | |
| In the text | |
![]() |
Figure 9:
Relative abundances of the most important dust
contributors to the opacity. The left plot is for the disk ring
with R=0.094 AU and the right one for R=0.290 AU. Forsterite
(Mg2SiO4) is the most abundant dust species and strongly
present in all layers. Graphite sets on around
|
| Open with DEXTER | |
| In the text | |
Copyright ESO 2009
Current usage metrics show cumulative count of Article Views (full-text article views including HTML views, PDF and ePub downloads, according to the available data) and Abstracts Views on Vision4Press platform.
Data correspond to usage on the plateform after 2015. The current usage metrics is available 48-96 hours after online publication and is updated daily on week days.
Initial download of the metrics may take a while.

![\begin{displaymath}
M_0=\frac{\dot{M}}{6\pi
\bar{\nuup}}\left[1-\left(\frac{R_\star}{R}\right)^{\frac{1}{2}}\right]
\end{displaymath}](/articles/aa/full_html/2009/18/aa11536-08/img42.png)


![\begin{displaymath}
T^4 = \frac{3}{4} T^4_{\rm eff} \left[ \tau
\left(1-\frac{...
...}{3 \epsilon \tau_{\rm tot}}
\frac{\nuup}{\bar{\nuup}}\right]
\end{displaymath}](/articles/aa/full_html/2009/18/aa11536-08/img57.png)

![\begin{figure}
\par\includegraphics[width=17cm,,clip]{1536fig2.eps} \end{figure}](/articles/aa/full_html/2009/18/aa11536-08/Timg71.png)









![$\displaystyle \Delta T = \frac{\pi}{4 \sigma T^3}
\biggl[ \frac{\kappa_J}{\kapp...
...) {\rm d}m'\right)
- \frac{1}{\kappa_B} \frac{d \Delta H(m)}{{\rm d}m} \biggl],$](/articles/aa/full_html/2009/18/aa11536-08/img101.png)


![\begin{figure}
\par\includegraphics[width=8.5cm,clip]{1536fig4.eps}\hspace*{2mm}
\includegraphics[width=8.5cm,clip]{1536fig5.eps} \end{figure}](/articles/aa/full_html/2009/18/aa11536-08/Timg117.png)

![$\displaystyle \pi \cos(i) \sum_{j=1}^{NR} \biggl\lbrace
\left[\left(R_j^{\rm out}\right)^2-\left(R_j^{\rm in}\right)^2\right]$](/articles/aa/full_html/2009/18/aa11536-08/img121.png)


![\begin{figure}
\par\includegraphics[width=9cm,clip]{1536fig6.eps} \end{figure}](/articles/aa/full_html/2009/18/aa11536-08/Timg142.png)
![\begin{figure}
\par\includegraphics[width=9cm,clip]{1536fig7.eps} \end{figure}](/articles/aa/full_html/2009/18/aa11536-08/Timg143.png)
![\begin{figure}
\par\includegraphics[width=9cm,clip]{1536fig8.eps} \end{figure}](/articles/aa/full_html/2009/18/aa11536-08/Timg144.png)
![\begin{figure}
\par\includegraphics[width=17cm,clip]{1536fig9.eps} \end{figure}](/articles/aa/full_html/2009/18/aa11536-08/Timg163.png)
![\begin{figure}
\par\includegraphics[width=9cm,clip]{1536fig0.eps} \end{figure}](/articles/aa/full_html/2009/18/aa11536-08/Timg180.png)