| Issue |
A&A
Volume 499, Number 1, May III 2009
|
|
|---|---|---|
| Page(s) | 1 - 15 | |
| Section | Astrophysical processes | |
| DOI | https://doi.org/10.1051/0004-6361/200811055 | |
| Published online | 25 March 2009 | |
The neutrino signal from protoneutron star accretion and black hole formation
T. Fischer1 - S. C. Whitehouse1 - A. Mezzacappa2 - F.-K. Thielemann1 - M. Liebendörfer1
1 - Department of Physics, University of Basel,
Klingelbergstrasse 82, 4056 Basel, Switzerland
2 -
Physics Division, Oak Ridge National Laboratory,
Oak Ridge, Tennessee 37831-1200, USA
Received 29 September 2008 / Accepted 18 March 2009
Abstract
Context. We discuss the formation of stellar mass black holes via protoneutron star (PNS) collapse. In the absence of an earlier explosion, the PNS collapses to a black hole due to the continued mass accretion onto the PNS. We present an analysis of the emitted neutrino spectra of all three flavors during the PNS contraction.
Aims. Special attention is given to the physical conditions which depend on the input physics, e.g. the equation of state (EoS) and the progenitor model.
Methods. The PNSs are modeled as the central object in core collapse simulations using general relativistic three-flavor Boltzmann neutrino transport in spherical symmetry. The simulations are launched from several massive progenitors of 40 M
and 50 M
.
Results. We analyze the electron-neutrino luminosity dependencies and construct a simple approximation for the electron-neutrino luminosity, which depends only on the physical conditions at the electron-neutrinosphere. In addition, we analyze different
-neutrino pair-reactions separately and compare the differences during the post-bounce phases of failed core collapse supernova explosions of massive progenitors. We also investigate the connection between the increasing
-neutrino luminosity and the PNS contraction during the accretion phase before black hole formation.
Conclusions. Comparing the different post bounce phases of the progenitor models under investigation, we find large differences in the emitted neutrino spectra. These differences and the analysis of the electron-neutrino luminosity indicate a strong progenitor model dependency of the emitted neutrino signal.
Key words: black hole physics - equation of state - hydrodynamics - neutrinos - radiative transfer
1 Introduction
Core collapse supernovae of progenitor stars
in the mass range of
M
release energy of several 1053 erg/s
in neutrinos on a timescale of seconds.
These neutrinos carry detailed information from the
interior of the stellar core
and are therefore of special interest for neutrino measurement
facilities,
such as Super Kamiokande and SNO that are able to detect
a Galactic core collapse supernova at high resolution.
In addition, gravitational waves,
nucleosynthesis yields and neutron star (NS) properties are able to
provide information about the physical conditions
and the dynamical evolution inside the stellar core.
Up to now gravitational waves have proven difficult to detect and
nucleosynthesis calculations are model dependent.
Apart from NS mass measurements,
which are able to provide constraints
on the equation of state (EoS) for hot and dense
nuclear matter,
neutrinos are the most promising
source of information
leaving collapsing stellar cores.
Core collapse supernova modelers are now yearning
for a Galactic explosion,
to be able to compare the theoretically predicted neutrino signal
from simulations with the actual measured one.
So far SN1987A produced the only measured neutrino signal from a
core collapse supernova event,
which while providing very few data points,
nevertheless enables scientists to probe the
theoretically predicted scenario
to a limited extent (see Hirata et al. 1988).
At the end of nuclear burning, progenitors stars more
massive than 8 M
collapse due to the
pressure loss via photodisintegration of heavy nuclei
and electron captures. The central density increases
beyond nuclear saturation density of
g/cm3(depending on the
EoS).
The incompressibility increases and the collapse halts.
The core bounces back and a sound wave forms,
which turns into a shock front meeting the
supersonically infalling material at the sonic point.
The electron-neutrinos,
which are emitted via additional electron captures after bounce,
leave the star in the so called neutronization burst
within a few milliseconds after bounce as
soon as the shock propagates into the density regime below
neutrino trapping of
g/cm3.
This energy loss,
in combination with the dissociation of infalling heavy nuclei,
quickly turn the shock into a standing accretion shock (SAS),
which expands to a few 100 km at about 50 ms after bounce.
The dissociated nucleons behind the
shock accrete slowly onto the central object,
a protoneutron star (PNS) of initial
radius of
km, which contracts on timescales
depending on the accretion rate and the assumed matter
conditions of the infalling matter.
On the other hand, neutrino reactions behind and
ahead of the SAS have long been investigated
as a possible source of energy
leading to so called neutrino driven explosions
(Bethe & Wilson 1985;
Janka 2001;
Janka et al. 2005;
Mezzacappa et al. 2006).
However, the inefficiency of the neutrino heating
and the absence of any explosions using spherically symmetric
core collapse simulations of progenitors more massive than the
8.8 M
O-Ne-Mg-core (see Kitaura et al. 2006)
from Nomoto (1983, 1984, 1987),
implies the missing of (some)
important ingredient(s),
most likely multi-dimensional phenomena
such as convection, rotation and the development of
fluid instabilities.
Multi-dimensional core collapse models have become available only recently (Herant et al. 1994; Burrows et al. 1995; Buras et al. 2003; Bruenn et al. 2006; Buras et al. 2006; Scheck et al. 2008) and demonstrate the complexity of the underlying physical phenomena. Due to computational limits, such models have to make use of a neutrino transport approximation scheme. An exception is the axially symmetric core collapse model from Marek & Janka (2007) (and references therein), where Boltzmann neutrino transport is calculated in angular rays. However, the results achieved via these mostly axially symmetric core collapse simulations will have to be confirmed in three spatial dimensions. On the other hand, although spherically symmetric core collapse models fail to explain the explosion mechanism of massive progenitor stars, such models are well suited for investigating accretion phenomena and the emitted neutrino spectra accurately up to several seconds after bounce. Such long simulation times are at present beyond the numerical capability of multi-dimensional models.
The present paper reports on the emitted neutrino
signal from failed core collapse supernova explosions
and the formation of black holes via PNS collapse
(see for example
Baumgarte et al. 1996; Beacom et al. 2001;
Liebendörfer et al. 2004; Sumiyoshi et al. 2007).
We perform general relativistic simulations
in spherical symmetry using spectral
three-flavor Boltzmann neutrino transport.
By our choice of a spherically symmetric approach,
we assume that accurate neutrino transport
and general relativistic effects are more important
for the analysis of the emitted neutrino signal,
than multi-dimensional phenomena
which are investigated in Marek et al. (2008).
The simulations are launched from several
massive progenitors stars of 40 and 50 M
.
For such progenitors,
the presence of strong gravitational fields
implements that general relativistic effects are important
and must be taken into account.
Such progenitor stars will not develop explosions
but collapse to a black hole,
while low and intermediate mass progenitors
are assumed to explode and leave a NS behind.
After the explosion has been launched,
the NSs contract on timescales
of millions of years and cool in several phases.
(Page 1995;
Pons et al. 2002;
Henderson & Page 2007).
Progenitor stars in the mass range
between intermediate mass and
are assumed to explode as well
but the material that falls back onto the PNS
may force the PNS to collapse
to a solar mass black hole. Neutron pressure and
nuclear forces will eventually fail to keep the PNS
stable against gravity.
The actual progenitor mass limits for these different scenarios
are a subject of debate and depend on the explosion mechanism
and the input physics.
The fate of progenitors more massive
than
M
differs from the
usual Fe-core collapse scenario by the appearance
of the pair-instability, as studied by
Fryer et al. (2001), Linke et al. (2001),
Heger & Woosley (2002), Nomoto et al. (2005),
Ohkubo et al. (2006) and Nakazato et al. (2007).
In this paper, we will investigate the differences in the emitted neutrino signals for several massive progenitor models from different stellar evolution groups (Woosley & Weaver 1995; Heger & Woosley 2002; Umeda & Nomoto 2008; Tominaga et al. 2007) during the accretion phase before black hole formation.
The emitted neutrino signal depends on the matter conditions during the dynamical evolution of the PNS contraction, which are given by the EoS for hot and dense nuclear matter. Sumiyoshi et al. (2007) compared two different EoSs with respect to stiffness and illustrated the different emitted neutrino signals, especially the different timescales for the PNSs to become gravitationally unstable during the accretion phase of failed core collapse supernova explosions. We will point out the importance of the progenitor model for the emitted neutrino signal. We will demonstrate that it is hardly possible to draw any conclusions from the neutrino signal about the EoS or the progenitor model separately, as both quantities have similar effects on the emitted neutrino spectra.
Moreover, we analyze the feasibility of approximating the electron-neutrino luminosity at large distances (typically of the order of a few 100 km and more) depending explicitly on the progenitor model (the mass accretion rate) and the temperature at the neutrinosphere. Liebendörfer (2005) presented a density-parametrized deleptonization scheme which can be applied in multi-dimensional simulations during the collapse phase. Here, we introduce a simple model to illustrate the dependency of the electron-(anti)neutrino luminosity from the matter conditions at the PNS surface.
-(anti)neutrinos are assumed to interact
via neutral current reactions only
as the thermodynamic conditions do not favor the presence of a
large fraction of
.
Hence the muonic charged current reactions are suppressed.
On the other hand,
the
-(anti)neutrino emission
is rather important for the cooling
at the
)-neutrinospheres
and needs to be handled carefully.
In an earlier study, Liebendörfer et al. (2004)
emphasized the (
)-(anti)neutrino
luminosity increase during the accretion phase
of a 40 M
progenitor model.
Fischer et al. (2007) extended this study
and presented preliminary results investigating
the connection between the
(
)-(anti)neutrino luminosity increase and the
contraction of the PNS during the accretion phase.
Here, we will compare selected pair creation reactions
separately and analyze the consequences
of these different reactions to the
post bounce evolution of massive progenitors
before black hole formation.
The paper is organized as follows.
In Sect. 2, we summarize our spherically symmetric
core collapse model and compare the recently implemented
EoS from Shen et al. (1998) with the EoS
from Lattimer & Swesty (1991) using the example of a
core collapse simulation of a 40 M
progenitor.
In addition, we will illustrate the general scenario of the
PNS collapse to a black hole.
In Sect. 3, we introduce the electron neutrino
luminosity approximation and apply it to core collapse
simulations of several massive progenitors
of 40 and 50 M
and an intermediate
mass progenitor of 15 M
.
For the massive progenitor models,
we compare the different emitted neutrino signals
in Sect. 4.
We also analyze the different massive progenitor models
at the final stage of stellar evolution
and investigate the connection
between the mass accretion rate at the PNS surface
and the progenitor structure.
In Sect. 5, we discuss different
)-(anti)neutrino
reactions and the connection between the PNS contraction and the
)-(anti)neutrino luminosity increase
during the post bounce accretion phase of
massive progenitors.
We also illustrate the
corrections of the standard opacities with respect to
weak magnetism, nucleon-recoil and contributions
from strange quarks as suggested by
Horowitz (2002).
2 GR radiation hydrodynamics in spherical symmetry
Our model is based on an implicit three-flavor neutrino and anti-neutrino Boltzmann transport solver developed by Mezzacappa & Bruenn (1993a-c) (for a detailed overview on the neutrino physics, see Schinder & Shapiro 1982; Bruenn 1985; Mezzacappa & Messer 1999). In order to treat the post-bounce phase, Liebendörfer et al. (2001a) coupled this Lagrangian model to an implicit general relativistic hydrodynamics code that features an adaptive grid. In addition, the Boltzmann solver has been extended to solve the general relativistic transport equation described by Lindquist (1966). Liebendörfer et al. (2001b) and Liebendörfer et al. (2004) implemented a finite differencing of the coupled transport and hydrodynamics equations that accurately conserves lepton number and energy in the post-bounce phase.
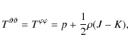
2.1 Aspects of PNS evolution and black hole formation
Figure 1
illustrates the physical conditions during the collapse of a PNS to a
black hole. The PNSs are modeled as the central object
in failed core collapse supernova explosions
of massive progenitors of (40 and 50 M
).
As the central density in Fig. 1b exceeds a certain critical value (depending on the EoS),
nuclear forces and neutron pressure fail to keep the PNS
stable against gravity and the central part of the
PNS starts to contract.
This can be identified at the radial velocities in
Fig. 1a.
During the subsequent compression,
the central matter density in Fig. 1b
continues to rise above 1015 g/cm3while the shock position remains almost unaffected at 30-35 km.
In addition, the hydrodynamical timescale
for the PNS to become gravitationally unstable
and to collapse to a black hole
is reduced to 10-6 s.
![]() |
Figure 1:
Radial velocity and density profiles
as a function of the radius. The relativistic factor |
| Open with DEXTER | |
The moment of black hole formation is reached when
the central lapse function (
in Fig. 1c)
approaches zero with respect to time.
Due to our co-moving coordinate choice,
no stable solutions of the differential equations for
momentum and energy conservation
![]() |
(1) |
with
can be found.
with the Einstein tensor
![]() |
(6) |
(see Misner & Sharp 1964) with coordinate choice (t,a) eigentime and enclosed baryon mass respectively and the angles (
In addition, Fig. 1d
shows the relativistic factor
and
as a function of the enclosed baryon mass a for three
snapshots directly before and during the PNS collapse,
illustrating the region where relativistic effects become
important.
2.2 The equation of state
At the present time, the EoS for hot and dense asymmetric nuclear matter in core collapse supernovae is uncertain and a subject of research. The information leaving the central core of collapsing stars is limited as matter is optically opaque and the analysis of the escaping neutrinos is difficult, taking into account the emission, absorption, transport and possible oscillations of neutrinos. Hence, the EoSs of present core collapse supernova models have to rely on nuclear physics calculations that are gauged to reproduce data from terrestrial experiments. Depending on the nuclear physics model and the parameters used, the resulting high-density EoSs may differ quite a lot and the differences between core collapse simulations using these EoSs can be large as well.
The EoS has to handle several different regimes,
coupled sensitively to each other.
At low matter density and temperature (T<0.5 MeV),
nuclei and nuclear burning processes dominate the
evolution of physical quantities, for instance internal energy, pressure,
entropy and the neutron and proton chemical potentials.
To handle this regime, we use
an ideal gas approximation to calculate the internal energy
(coupled to a nuclear burning energy approximation;
for simplicity we assume 28Si and 30Si here),
which is sufficient for the
outer layers of the innermost 3-4 M
of 40 and 50 M
progenitors).
For low and intermediate mass progenitors, a
nuclear reaction network is applied to calculate
the energy exchange rate from a
-network.
However, the low density and low temperature regime
is coupled to the EoS for hot and dense nuclear matter
above temperatures of T=0.5 MeV, where nuclei are
assumed to be in nuclear statistical equilibrium (NSE).
In addition, there are free nucleons and light nuclei.
The transition from NSE to
bulk nuclear matter (free nucleons only)
above the neutron drip line
is handled via the EoSs intrinsically.
In the following paragraphs, we compare
the soft EoS from Lattimer & Swesty (1991)
(eos1) with the compressibility of 180 MeV
with the stiff EoS from Shen et al. (1998) (eos2)
with the compressibility of 281 MeV
during the accretion phase of a core
collapse simulation of the 40 M
progenitor model from
Woosley & Weaver (1995) before black hole formation.
Eos1 is based on the liquid drop model including surface effects, while eos2 uses a relativistic mean field approach and Thomas-Fermi approximation. In addition, the nuclear part of eos2, given as a table, is coupled to an electron-positron EoS, developed by Timmes & Arnett (1999) and Timmes & Swesty (2000). Eos1, distributed as a subroutine, already contains the electron-positron contributions. Both EoSs depend on the three independent variables temperature, electron fraction and matter density.
![]() |
Figure 2:
Luminosities and mean energies
during the post bounce phase of a
core collapse simulation of a 40 M |
| Open with DEXTER | |
![]() |
Figure 3:
Bounce conditions for the
core collapse simulation of a 40 M |
| Open with DEXTER | |
![]() |
Figure 4: The last stable configuration of the PNSs before becoming gravitationally unstable and collapsing to a black hole, comparing eos1 (thin dashed lines) and eos2 (thick solid lines). |
| Open with DEXTER | |
Figure 2
compares the neutrino luminosities in graph (a) and
the mean neutrino energies in graph (b) as a function of time after
bounce for eos1 and eos2.
The larger electron-neutrino luminosity slightly before and
at bounce is due to
the different thermodynamic conditions achieved at bounce
as illustrated in Fig. 3.
These different conditions are a direct hydrodynamic consequence
of the more compact bouncing core using eos1
(see the higher central density in graph (a)),
which results in a larger central
deleptonization in graph (b).
The corresponding entropy and temperature profiles
are shown in graphs (c) and (d) respectively.
At intermediate densities and temperatures,
heavy nuclei appear with slightly larger
average atomic charge and number
using eos1
(see graph (e)).
On the other hand,
the fractions of light nuclei in graph (f)
differ quite a lot.
During the postbounce phase,
the simulation using the soft EoS eos1 is characterized by a
short accretion time of
ms
and thus a rapid PNS contraction
before becoming gravitationally
unstable and collapsing to a black hole.
Figure 4
illustrates the last stable
configuration before the PNSs
(identified via the
-spheres)
become gravitationally unstable.
Graphs (a) and (b) compare the velocity
and the density profiles respectively
with respect to the enclosed baryon mass.
The configuration achieved using the stiff eos2
is supported via larger pressure and nuclear forces,
which stabilize the PNS against gravity and
allow more mass to be accreted.
The maximal masses for both (hot and dense) EoSs
were found to be 2.196 M
for eos1
and 3.15 M
for eos2 respectively.
This results in an extended PNS accretion phase
of
s using eos2
for the progenitor model under investigation.
The corresponding thermodynamic conditions for the
PNS configurations illustrated in Fig. 4
are shown in Table 1.
(a) compares the central data with (b) the maximum temperatures
achieved, illustrating the region where the PNSs
become gravitationally unstable and start to collapse.
However, both of the PNS collapses to a black hole
proceed along similar paths.
Our results are in qualitative agreement with an independent study on the subject of an EoS comparison, recently published by Sumiyoshi et al. (2007).
Table 1: Thermodynamic conditions of the PNSs in Fig. 4, comparing the central data (a) with the maximum temperature (b).
3 A simple model for the electron-(anti)neutrino luminosity
Since the core of massive stars is optically opaque, the only sources of information that is able to leave are gravitational waves and neutrinos. An indirect insight into the happenings inside the Fe-core is given by the observed composition of the ejecta in the case of an explosion. However, gravitational waves have proven difficult to detect and nucleosynthesis calculations are model dependent. Neutrinos on the other hand (especially the electron-flavor neutrinos), are of interest for neutrino detector facilities, such as Super-Kamiokande and SNO, being able to resolve the neutrino signal from a Galactic core collapse supernova on a tens of millisecond timescale. The understanding and modeling of the neutrino emission, absorption and transport is essential in core collapse supernova models to be able to compare the predicted neutrino signal with a possible future measurement.
For the prediction of three flavor neutrino spectra,
accurate Boltzmann neutrino transport can only be applied
in spherically symmetric core collapse simulations.
Due to computational limits, multi-dimensional models
(especially 3-dimensional models) have to
make use of some neutrino transport approximation scheme.
An exception is the ray-by-ray discretization
in the two-dimensional core collapse model
from Marek & Janka (2007),
where Boltzmann neutrino transport is
calculated in each ray separately.
This technique is computationally very expensive.
A very simple but powerful approximation has been published
by Liebendörfer (2005),
applying a density parametrization of the
deleptonization during the collapse phase.
Unfortunately, it does not reproduce
the additional deleptonization after bounce
(neutronization burst).
With special focus on multi-dimensional simulations
of the post bounce phase,
we present an analysis of the electron-neutrino luminosity.
We will construct an electron-neutrino
luminosity approximation,
which depends only on the physical conditions
at the electron neutrinosphere
and can be applied after the neutronization burst
after bounce has been launched.
We will also compare the approximation with spherically symmetric
simulations using three-flavor Boltzmann neutrino transport.
The long term sources of energy for the electron neutrino luminosity are
the total change of the potential energy
given by the amount of accreted mass per unit time
(accretion luminosity)
at
Here,
The accurate neutrino number density from Boltzmann transport
is (in spherical symmetry) given by
![]() |
(9) |
at
We have found that the assumption of a thermal electron-neutrino
number spectrum at
,
does not generally apply for all progenitor models. The measure of deviation is denoted as
Comparing the electron-neutrino luminosity from Boltzmann transport calculations (at large distances; typically of the order of a few 100 km or more) with the luminosities given by Eqs. (7) and (8), we find the following approximation for the electron-neutrino luminosity
The pre-factor 1/4is in agreement with Janka (2001) (see Sect. 6.1) and expresses the approximate amount of outward directed transported thermal neutrinos. These neutrinos are assumed to carry information about the local thermodynamic matter conditions, since the neutrino temperature can be approximated by the matter temperature at
![]() |
Figure 5:
The electron-neutrino luminosity
approximation and Boltzmann neutrino transport calculations
during the post bounce evolution of the
40 M |
| Open with DEXTER | |
![]() |
Figure 6:
The electron-neutrino luminosity
approximation and Boltzmann neutrino transport calculations
during the post bounce evolution of a
50 M |
| Open with DEXTER | |
Due to the lack of the neutrino momenta
in approximate neutrino transport calculations,
it is usually not possible
to calculate the coefficient
.
However, since
depends
only on the mass accretion induced deviation of the neutrino
spectrum from a black body spectrum,
an exponential behavior of the quotient of the
accretion luminosity and the diffusion luminosity was
empirically found
In the following section, we will compare the approximation Eq. (11) with three-flavor Boltzmann neutrino transport during the post-bounce evolution of different progenitor models.
3.1 Thermal electron-neutrino spectra
The large mass accretion rates of
M
/s
of the 40 and 50 M
progenitor models from
Woosley & Weaver (1995) in Fig. 5
and from Tominaga et al. (2007); Umeda & Nomoto (2005) in
Fig. 6 respectively (see graphs (c))
result in fast contracting PNSs (see graphs (d)).
The electron-neutrino number densities
differ only slightly from a thermal spectrum
after the neutrino burst has been launched after
about 50 ms post bounce.
Hence, the electron-neutrino luminosities at large distances
(here 500 km) in the graphs (b)
are dominated by the diffusion luminosity
over the accretion luminosity
due to the limiter in Eq. (11).
Graphs (a) compare
from Boltzmann transport calculations via
Eqs. (10) and via (12).
were found to be 0.7,
increasing after 100 ms after bounce up to 0.8.
Finally, the fast contracting PNSs become
gravitationally unstable rather quickly
(due to the soft EoS eos1 and
the large mass accretion rate)
and collapse to black holes
after 435.5 ms after bounce for the 40 M
progenitor model
and after 487.3 ms after bounce for the 50 M
progenitor model.
3.2 Non-thermal electron-neutrino spectra
We will continue the analysis from above and
present data from core collapse simulations of massive progenitors
with small mass accretion rates.
These models show a different electron-neutrino
luminosity dependency with respect
to the approximation Eq. (11)
during the post bounce phase.
Figures 7 and 8 illustrate
the post bounce evolution of a
40 M
progenitor
model from Woosley et al. (2002)
and a 50 M
progenitor model
from Umeda & Nomoto (2008) respectively
(both using eos1).
We find the electron neutrino luminosities
are initially (until
ms post bounce)
dominated by the diffusion
approximation of Eq. (11),
as the matter temperatures are moderately high.
This is in agreement with an earlier study
by Liebendörfer et al. (2004).
However, as the accretion rates in
Figs. 7 and 8 graphs (c)
decrease drastically after
ms post bounce
(even below 0.5 M
/s).
The temperature at
increases less rapidly
and the neutrino number density at
differs from a thermal spectrum.
in
Figs. 7 and 8
graphs (a) were found to be generally smaller,
between 0.6 and 0.7.
The PNS contraction times exceed more than 1 s,
as can be seen from the slowly contracting
neutrinospheres in graphs (d).
The electron neutrino luminosities in
Figs. 7 and 8
graphs (b) are generally smaller
(
erg/s) in comparison to
the thermal dominated spectra
in Figs. 5 and 6.
For low accretion rates,
the electron neutrino luminosities are dominated
by the accretion luminosity
as described by the limiter in Eq. (11).
![]() |
Figure 7:
The same presentation as Fig. 5
but for a 40 M |
| Open with DEXTER | |
As an example of an intermediate mass
progenitor model with a small mass accretion rate,
we apply the same analysis to a core collapse simulation of
the 15
progenitor from Woosley & Weaver (1995)
in Fig. 9 (using eos2),
which often served as a reference model
(e.g. Liebendörfer et al. 2005).
Due to the small mass accretion rate in graph (c),
the neutrinospheres in graph (d) contract
on timescales of hundreds of milliseconds.
In contrast to the massive progenitors
with a small mass accretion rate,
the neutrino number spectrum at the
electron-neutrinosphere differs only slightly
from the thermal one and
in graph (a)
was found to be quite large,
between 0.7 increasing up to 0.8as for the massive progenitors
with a large mass accretion rate.
The electron-neutrino luminosity in graph (b)
agrees initially (until 200 ms post bounce)
with the approximation Eq. (11)
due to the limiter
and is dominated by the diffusion luminosity.
Note, although the electron-neutrino Luminosity
can be approximated by the accretion luminosity
after 200 ms post bounce,
the difference from the diffusion luminosity
is only
.
On a longer timescale,
the accretion luminosity
becomes too large.
![]() |
Figure 8:
The same presentation as Fig. 7
but for a 50 M |
| Open with DEXTER | |
So far, it has been demonstrated that the electron-neutrino luminosity in the post bounce phase of core collapse supernovae depends sensitively on the progenitor model induced neutrino-spherical data and does not generally follow a thermal spectrum.
4 Dependency of the emitted neutrino signal on the progenitor model
The shock dynamics during the post bounce evolution
of failed core collapse supernova explosions
take place in the innermost
km
in spherical symmetry.
Note that present axially symmetric core collapse
models are more optimistic.
The dynamical evolution outside the Fe-core
is determined by the progenitor structure
and does not evolve significantly
during the simulation time.
Material from the gravitationally unstable
surrounding regions continues to fall onto the SAS.
Nuclei dissociate into free nucleons and light nuclei,
which accrete slowly onto the PNS at the center.
The PNS contraction is determined by the
evolution of the baryon mass
at the radius of the electron-neutrinosphere
Above, we have discussed the connection between the emitted neutrino spectra and the matter properties at the neutrinospheres. In the following, we will explore whether there is a correlation between the different neutrino spectra and the structure of the progenitor.
![]() |
Figure 9:
The same presentation as Fig. 8
for a 15 M |
| Open with DEXTER | |
The progenitor models under investigation are
the 40 M
from
Woosley & Weaver (1995) (40WW95),
the 40 M
from
Woosley et al. (2002) (40W02),
the 40 M
from
Umeda & Nomoto (2008) (40U08),
the 50 M
from
Umeda & Nomoto (2008) (50U08) and
the 50 M
from
Tominaga et al. (2007); Umeda & Nomoto (2005) (50T07).
All are non-rotating and of solar metallicity.
These models differ in the size
of the iron-cores (see Table 2).
The masses of the iron-cores are thereby
determined intuitively, as Fe-group nuclei
(52Fe, 53Fe, 56Fe and 56Ni)
are more abundant then 28Si and 32S.
Figures 10 and 11
illustrate the post bounce luminosities and
mean neutrino energies
of the progenitor models listed in Table 2.
As discussed above, the different mass accretion rates
result in different PNS contraction timescales
and different electron-neutrino luminosity dependencies.
The models 40WW95, 40U08 and 50T07 with large
mass accretion rates at the PNS surface
are identified with a short accretion phase
after bounce before black hole formation.
This corresponds to large luminosities
(
erg/s,
erg/s)
in the graphs (a) and (c).
The (
)-(anti)neutrino
mean energies in
the graphs (c) increase rapidly
after bounce and reach 34 MeV.
On the other hand, the models 40W02 and 50U08
with small mass accretion rates
at the neutrinospheres show
before black hole formation an extended accretion phase
of more than 1 second
with smaller luminosities after the neutrino burst
has been launched
(
erg/s,
erg/s).
The electron-neutrino flavor mean energies
in the graphs (b) and (d)
follow a similar behavior for all progenitor models
while the (
)-(anti)neutrino energies
increase over a longer timescale during the PNS contraction.
For the model 40W02, the (
)-(anti)neutrino energies
increase only after 700 ms after bounce
from 22 MeV up to only 30 MeV.
For the model 50U08,
the PNS does not reach equivalent compactness
during the post bounce accretion phase
before becoming gravitationally unstable and collapsing
to a black hole.
The (
)-(anti)neutrino energies
increase from 22 MeV to 24 MeV only
after 1.1 s after bounce.
![]() |
Figure 10:
Neutrino luminosities in the graphs (a) and (c)
and mean neutrino energies in the graph (b) and (d)
for the different 40 M |
| Open with DEXTER | |
![]() |
Figure 11:
The same presentation as Fig. 10
for the different 50 M |
| Open with DEXTER | |
Table 2: The size of the iron core and time between bounce and black hole formation for the different progenitor models.
Consequently, the central region of all models
are very similar.
The 40 M
progenitors
have electron factions of Y
,
temperatures of
MeV
and infall velocities of
km s-1.
The more massive 50 M
progenitors
have similar infall velocities
but higher central temperatures of 0.9 MeV
and are slightly more deleptonized
with Y
.
Note that the central hydrodynamical variables
are rather similar compared to
the properties outside the Fe-cores
(see Figs. 12 and 13).
There, the differences of the baryon density can be
more than one order of magnitude for the same progenitor mass
while temperatures and infall velocities can differ by
a factor of 2. These differences are responsible for the
different dynamical evolution in the post bounce phase
and will be discussed in the following paragraph.
![]() |
Figure 12:
Selected hydrodynamic variables
for the different 40 M |
| Open with DEXTER | |
![]() |
Figure 13:
The same configuration as Fig. 12
for the different 50 M |
| Open with DEXTER | |
![]() |
Figure 14:
Bounce conditions for the 40 M |
| Open with DEXTER | |
![]() |
Figure 15:
Bounce conditions for the 50 M |
| Open with DEXTER | |
The central regions evolve in a similar manner and are synchronized at core bounce for all progenitor models, as illustrated in Figs. 14 and 15. As demonstrated above, the PNS contraction behavior and the subsequent electron-neutrino luminosity are determined by the mass accretion rate at the neutrinosphere, which depends on the amount of mass that falls through the SAS from regions outside the Fe-core. Hence, the mass accretion rate at the neutrinosphere is given by the progenitor structure at bounce as illustrated in Figs. 14 and 15.
The infall velocities in Figs. 14 and 15a are similar for all progenitor models. On the other hand, for the same progenitor mass differ the matter densities in the graphs (b) outside the Fe-cores substantially, comparing the models from the different stellar evolution groups.
The models 40WW95, 40U08 and 50T07 have high matter densities outside the Fe-cores. This corresponds to large mass accretion rates at the neutrinospheres and short post bounce accretion times before the PNSs reach the critical masses and collapse to black holes (see Figs. 10 and 11). The electron neutrino luminosities correspond to thermal spectra.
The opposite holds for the models 40W02 and 50U08, with small matter densities outside the Fe-cores. This leads to small mass accretion rates at the neutrinospheres and consequently extended post bounce accretion phases (see Figs. 10 and 11). The electron neutrino luminosities correspond to accretion spectra.
We have found a correlation between the electron flavor neutrino luminosities and the progenitor structure. The latter has a direct impact on the mass accretion rate at the neutrinosphere and hence on the electron neutrino spectra. We find that the structure of the progenitor has a non-negligible influence on the emitted neutrino spectra. This is in contradiction to Sumiyoshi et al. (2008), who attribute differences in the emitted neutrino emission mainly to the properties of the EoS. This is due to their selective choice of progenitor models, which all have large accretion rates producing thermal electron-neutrino spectra. However, for models that have been used in both studies, e.g. 40WW95 and 50T07, the results are qualitatively similar.
![]() |
Figure 16:
The different ( |
| Open with DEXTER | |
5 Neutral current reactions in core collapse supernovae
The standard neutrino emissivities and opacities
as well as the scattering kernels
are given in Bruenn (1985).
The dominant reactions for the electron-flavor neutrinos
are the charged current reactions.
The source for
-neutrinos
are pair-processes, which are
assumed to interact only via neutral-current reactions.
Focusing on the pair-processes here,
attention is devoted to the
-neutrinos.
The classical pair-production process is
Additional pair emission and thermalisation processes have been investigated by Thompson & Burrows (2001), such as Nucleon-Nucleon-Bremsstrahlung
(with
We show in the Appendix that the reaction rates for (14) and (16) can be calculated among similar lines, via phase space integrations over the distribution functions for incoming and outgoing particles as well as the squared and spin averaged matrix element
Here, we compare the different neutral current reactions (14)-(16).
Figure 16
illustrates the three
phase-space-integrated reaction rates separately
at two different hydrodynamical states,
as a function of the neutrino energy.
At high matter density and temperature in graph (a),
N-N-Bremsstrahlung is found to be the dominant reaction
for the emission of
-(anti)neutrinos.
This is in agreement with an earlier study by Messer & Bruenn (2003).
Following the path to lower densities and
temperatures in graph (b)
but still inside the
-sphere,
in agreement with Buras et al. (2003)
we find reaction (16)
dominates the other pair-production rates (14)
and (15).
However, outside the
-sphere,
reaction (16) no longer contributes to
the emission of
-(anti)neutrino pairs
since matter becomes more and more
transparent to neutrinos.
The dominant source for pair-reactions are
the electron-positron pairs.
After the separate investigation of the pair reactions, we will now explore the effects observed in core collapse simulations comparing the different sets of pair-reactions (14) and (15) with the full set of reactions (14)-(16).
The additional source of
-(anti)neutrinos
via reaction (16)
increases the total
-neutrino pair-reaction rate,
which increases the
-neutrino luminosity in
Fig. 17a and the mean neutrino
energies in Fig. 17b
from regions inside the
-sphere.
Note, although N-N-Bremsstrahlung dominates
the low neutrino energy regime,
its contribution to change the (
)-neutrino
luminosity is relatively minor.
![]() |
Figure 17:
The neutrino luminosities in graph (a)
and mean neutrino energies in graph (c) of all
three neutrino flavors (solid:
|
| Open with DEXTER | |
Since
-neutrinos do not interact
via the charged current reactions,
the generally larger
-neutrino
luminosity and mean energies
results in larger cooling rates
at the
-neutrinospheres.
This leads to a more compact central object
as indicated by the shock and
neutrinosphere position in Fig. 17
graphs (b) and (d) respectively.
The gain region behind the shock does not expand as much and the
infall velocities ahead of the shock are larger.
Losing pressure support from below,
the shock starts to propagate inward earlier.
Due to the higher temperatures at the PNS surface,
the electron-flavor neutrino mean energies are larger
(see Fig. 17 graph (c)).
However, the faster contracting neutrinospheres in graph (d)
lead to smaller electron-flavor neutrino
luminosities after 400 ms after bounce
in graph (a).
An additional effect observed via the comparison of fast and slow
contracting PNSs (achieved via different cooling at the
PNS surface) is the shorter accretion time before becoming
gravitationally unstable. Here, we find the accretion time to be
shorter by
ms.
Hence, the
-neutrino reaction and cooling rates,
reflect sensitively
the matter conditions at the neutrinospheres,
the PNS contraction behaviour
and the emitted neutrino spectra.
Buras et al. (2003) have seen similar phenomena with respect to
the neutrino luminosities and mean energies. They also see the more
compact PNS and the less extended gain region behind the shock.
However, since their simulations only lasted for
ms
post bounce and they were investigating a 15 M
progenitor model with a lower accretion rate
(in comparison to our 40 M
progenitor),
the effects observed were less intense
and did not include the formation of a black hole.
5.1 Evolution of the
-neutrino luminosity
In the following, we extend the analysis of
Liebendörfer et al. (2004) and Fischer et al. (2007), who
investigated the drastic
-(anti)neutrino luminosity
increase during the late PNS accretion phase of failed core collapse
supernova explosions of massive progenitors.
The evolution of the neutrino luminosities
depends on the production rates and the diffusion timescale,
which in turn depend on the assumed matter conditions.
These conditions and the production rates for all neutrino flavors are
plotted in Fig. 18 for a core collapse simulation
of a 40 M
progenitor model,
applying the full set of pair
reactions (14)-(16).
In order to separate the different regimes,
we plot all quantities with
respect to the baryon density.
Note, that the electron-(anti)neutrinospheres
are at lower densities than the
-neutrinospheres,
since the latter do not interact via charged current reactions.
Most
-(anti)neutrino pairs are produced at
g/cm3.
This finding remains rather
constant during the late accretion phase,
because the matter temperature Tand the electron fraction
do not change at that density,
as can be seen in Figs. 18e and f.
In contrast, at the
-neutrinosphere
(
g/cm 3)
we find a drastic increase in temperature and
.
Due to the continuous contraction of the PNS,
the electron-degeneracy reduces which
favors more electron-positron-pairs.
These thermalized electron-positron-pairs increase the
-neutrino pair reaction rates in graph (d)
via reaction (14),
which increases the
-(anti)neutrino
luminosity contribution from lower densities.
In addition, the diffusion time scale of the
-neutrinos is reduced during the PNS contraction.
The corresponding optical depths (at 300 km distance)
are shown in graph (c).
![]() |
Figure 18:
Different post bounce snap shots
(thin red lines: 300 ms
intermediate blue lines: 400 ms
thick black lines: 500 ms),
illustrating the effects of the PNS contraction
to the number fluxes, the optical depths |
| Open with DEXTER | |
5.2 Improvements of the neutrino opacities
Finally, we will investigate corrections of the
standard neutrino opacities (Bruenn 1985),
following the suggestions by Horowitz (2002)
regarding the effect of weak magnetism, nucleon recoil and
corrections for the strangeness of nucleons,
as already briefly explored
in Liebendörfer et al. (2003)
using a 15 M
progenitor model.
We will illustrate the effects using the example of a
failed supernova explosion of a 40 M
progenitor model from Umeda & Nomoto (2008)
during the post bounce evolution.
The separate consideration of weak magnetism
is a higher order extension of the zeroth order scattering
cross section, which
reduces the antineutrino and increases the neutrino
cross sections.
On the other hand, recoil reduces both neutrino-
and antineutrino cross sections,
as discussed in Horowitz (2002).
The total modified cross section for the electronic
charged current reactions
can be written as
with zeroth order cross section
The correction from the strange quark contributions
are taken into account by a modified axial-vector
coupling constant, for (anti)neutrino-nucleon
scattering
The larger electron-antineutrino cooling rates inside the neutrinosphere result in a more compact PNS supporting higher matter temperatures, compared to core collapse simulations of the same progenitor model with otherwise identical input physics. The largest differences are found at the (
![]() |
Figure 19:
Comparing the standard neutrino opacities
(thick black lines) (see Bruenn 1985)
with the corrections (thin blue lines) given in Horowitz (2002),
plotting the neutrino luminosities and
the mean neutrino energies as a function of time after bounce,
for all three neutrino flavors (solid line:
|
| Open with DEXTER | |
6 Summary
Table 3:
Weak interaction coefficients in the Weinberg-Salam-Glashow
theory (in first order), where
is the squared
and spin-averaged matrix element and
is the Weinberg
angle.
are the 4-momenta of the interacting
particles. For the calculation of the proper phase space integration
with the assumption of a homogeneous distribution as well as
various additional neutrino interaction processes, see for example
Hannestad & Madsen (1995).
The neutrinos emitted during core collapse supernovae are, besides gravitational waves and nucleosynthesis yields, the only source of information leaving the stellar core. In addition, the available NS properties from observations provide information about the remnants of core collapse supernova explosions. However, gravitational waves are difficult to detect, nucleosynthesis calculations are model dependent and NS mass measurements provide information about the EoS of hot and dense nuclear matter. Hence, we believe that up to now neutrinos are the most promising source of information that gives a direct insight into the happenings inside the stellar core. The understanding of the emission, absorption and transport of neutrinos is essential for the accurate modeling of core collapse supernovae. Special focus is devoted to the cooling at the neutrinospheres and heating between the neutrinospheres and the expanding shock during the post bounce evolution.
We confirm the results from Sumiyoshi et al. (2007),
that a stiff EoS for hot and dense nuclear matter
leads to an extended accretion phase of
several seconds
(as has been explored here at the example of a
40 M
progenitor model).
However, comparing progenitors of the same mass from different stellar evolution groups shows that a small mass accretion rate at the electron-neutrinosphere also leads to an extend accretion phase of several seconds. For the same progenitor mass but different mass accretion rates at the electron-neutrinosphere, we even find a different electron-neutrino luminosity dependency. Models with large mass accretion are determined by a diffusion dominated electron-neutrino spectrum, while small mass accretion rates lead to accretion dominated spectra. Different EoS of hot and dense nuclear matter are unable to change a diffusion dominated electron-neutrino spectrum into an accretion dominated one. Different EoSs might extend or delay the accretion phase due to a different compressibility and asymmetry energy or may provide a different composition. However, the electron-neutrino spectra will always stay either diffusion or accretion dominated, determined by the progenitor model only. In that sense, the progenitor model has a non-negligible influence on the emitted neutrino spectra. This is in contradiction to the recently published work by Sumiyoshi et al. (2008). They investigated different progenitor models with similar mass accretion rates and thus find the progenitor dependency less relevant for the emitted neutrino signal. We would like to point out that the emitted neutrino signal contains correlated information about the EoS, the progenitor star and the neutrino physics. If analyzing the neutrino luminosities, one has to take all these dependencies into account.
Finally, three-dimensional core collapse models have to make use of some form of neutrino transport approximation scheme due to present computational limitations. For that reason, we introduced an electron neutrino luminosity approximation which can be applied to any progenitor model and for large distances, typically from a few 100 km to the remaining physical domain of the progenitor. This approximation depends only on the mass accretion rate, given by the progenitor model, and the temperature at the electron-neutrinosphere. We compared this approximation with accurate three-flavor Boltzmann neutrino transport calculations for several different massive progenitor models and find qualitatively good agreement.
In addition to the electron-flavor neutrino spectra, the
-neutrinos are analyzed in the full
Boltzmann model and their importance with
respect to cooling at the
-neutrinosphere is explored.
We compared different
-neutrino pair reactions separately and
during the accretion phase of failed
core collapse supernova explosions
of massive progenitors.
A large
-neutrino luminosity
corresponds to a large cooling rate
and consequently supports a more compact PNS
as well as a shorter PNS accretion phase
of the order of a few milliseconds.
In addition, the connection between the drastic
-neutrino luminosity increase
during the accretion phase and the PNS
contraction has been investigated.
We find that the changing thermodynamic conditions
(especially the increasing temperature)
at the
-neutrinosphere
establish
-equilibrium at a larger value
of the electron fraction, which leads to an increase of the
-neutrino pair reaction rate.
This increases the
-neutrino luminosity
from regions with low and intermediate density.
Additionally, following Horowitz (2002),
an update of the standard neutrino emissivities
and opacities has been investigated,
using the example of a failed core collapse supernova
of a massive progenitor.
The present analysis addresses a deeper understanding of the origin and the dependencies of the emitted neutrino signal of all three flavors, examined using failed core collapse supernova explosions of massive stars and the formation of solar mass black holes.
Acknowledgements
We would like to thank Simon Scheidegger, Roger Kaeppeli and Urs Frischknecht for many helpful discussions and guiding hints. The project was funded by the Swiss National Science Foundation grant. No. PP002-106627/1 and 200020-122287. A.Mezzacappa is supported at the Oak Ridge National Laboratory, which is managed by UT-Battelle, LLC for the U.S. Department of Energy under contract DE-AC05-00OR22725.
Appendix
The neutrino pair-emissivity from
electron-positron annihilation was
calculated by Yueh & Buchler (1976a) and
Yueh & Buchler (1976b). They explored the possibility of
calculating the pair-reaction rates in a similar way as
neutrino-electron scattering (NES).
The rate for NES is given by
the following integral expression over the phase
space distribution functions for incoming
and
outgoing
electrons (including blocking factors)
and the squared and spin-averaged matrix element
(listed in Table 3)
![]() |
(19) |
The 4-momenta of the in- and outgoing electrons are denoted by
where
Evaluating the squared and spin-averaged matrix element
given in Table 3,
the expression (20)
can be rewritten as
(see Schinder & Shapiro 1982)
with
![]() |
(22) |
Now, replacing the incoming electron and positron distributions in expression (20) by electron-(anti)neutrino distributions and comparing the weak interaction coefficients of reaction (14) with reaction (16) as well as the corresponding matrix elements in Table 3, the pair-reaction rate (21) reduces to
![]() |
(23) |
where the emitted particles are now (
References
- Bacca, S., Hally, K., Pethick, C. J., & Schwenk, A. 2008, [arXiv:0812.0102] (In the text)
- Baumgarte, T. W., Shapiro, S. L., & Teukolsky, S. A. 1996, ApJ, 458, 680 [NASA ADS] [CrossRef] (In the text)
- Beacom, J. F., Boyd, R. N., & Mezzacappa, A. 2001, Phys. Rev. D, 63, 073011 [NASA ADS] [CrossRef] (In the text)
- Bethe, H. A., & Wilson, J. R. 1985, ApJ, 295, 14 [NASA ADS] [CrossRef] (In the text)
- Bruenn, S. W. 1985 ApJS, 58, 771 (In the text)
- Bruenn, S. W., Dirk, C. J., Mezzacappa, A., et al. 2006, J. Phys. Conf. Ser., 46, 393 [NASA ADS] [CrossRef] (In the text)
- Buras, R., Janka, H.-T., Keil, M. T., Raffelt, G. G., & Rampp, M. 2003, ApJ, 587, 320 [NASA ADS] [CrossRef] (In the text)
- Buras, R., Rampp, M., Janka, H.-T., & Kifonidis, K. 2006, A&A, 447, 1049 [NASA ADS] [CrossRef] [EDP Sciences] (In the text)
- Burrows, A., Hayes, J., & Fryxell, B. A. 1995, ApJ, 450, 830 [NASA ADS] [CrossRef] (In the text)
- Fischer, T., Liebendörfer, M., & Mezzacappa, A. 2007, J. Phys. Conf. Ser., 66, 2043 [NASA ADS] [CrossRef] (In the text)
- Fryer, C. L., Woosley, S. E., & Heger, A. 2001, ApJ, 550, 372 [NASA ADS] [CrossRef] (In the text)
- Hannestad, S., & Madsen, M. 1995, Phys. Rev. D, 52, 1764 [NASA ADS] [CrossRef] (In the text)
- Hannestad, S., & Raffelt, G. 1998, ApJ, 507, 339 [NASA ADS] [CrossRef] (In the text)
- Heger, A., & Woosley, S. E. 2002, ApJ, 567, 532 [NASA ADS] [CrossRef] (In the text)
- Henderson, J. A., & Page, D. 2007, Ap&SS, 308, 513 [NASA ADS] [CrossRef] (In the text)
- Herant, M., Benz, W., Hix, W. R., Fryer, C. L., & Colgate, S. A. 1994, ApJ, 435, 339 [NASA ADS] [CrossRef] (In the text)
- Hirata, K. S., Kajita, T., Koshiba, M., et al. 1988, Phys. Rev. D, 38, 448 [NASA ADS] [CrossRef] (In the text)
- Horowitz, C. J. 2002, Phys. Rev. D, 65, 043001 [NASA ADS] [CrossRef] (In the text)
- Janka, H.-T. 2001, A&A, 368, 527 [NASA ADS] [CrossRef] [EDP Sciences] (In the text)
- Janka, H.-T., Buras, R., Kitaura Joyanes, F. S., et al. 2005, Nucl. Phys. A, 758, 19 [NASA ADS] [CrossRef] (In the text)
- Kitaura, F. S., Janka, H.-T., & Hillebrandt, W. 2006, A&A, 450, 345 [NASA ADS] [CrossRef] [EDP Sciences] (In the text)
- Lattimer, J. M., & Swesty, D. F. 1991, Nucl. Phys. A, 535, 331 [NASA ADS] [CrossRef] (In the text)
- Liebendörfer, M. 2005, ApJ, 633, 1042 [NASA ADS] [CrossRef] (In the text)
- Liebendörfer, M., Mezzacappa, A., & Thielemann, F.-K. 2001a, Phys. Rev. D, 63, 104003 [NASA ADS] [CrossRef] (In the text)
- Liebendörfer, M., Mezzacappa, A., Thielemann, F.-K., et al. 2001b, Phys. Rev. D, 63, 103004 [NASA ADS] [CrossRef] (In the text)
- Liebendörfer, M., Mezzacappa, A., Messer, O. E. B., et al. 2003, Nucl. Phys. A, 719, 144 [NASA ADS] [CrossRef] (In the text)
- Liebendörfer, M., Messer, O. E. B., Mezzacappa, A., et al. 2004, ApJS, 150, 263 [NASA ADS] [CrossRef] (In the text)
- Liebendörfer, M., Rampp, M., Janka, H.-T., & Mezzacappa, A. 2005, ApJ, 620, 840 [NASA ADS] [CrossRef] (In the text)
- Lindquist, R. W. 1966, Ann. Phys., 37, 487 [NASA ADS] [CrossRef] (In the text)
- Linke, F., Font, J. A., Janka, H.-T., Müller, E., & Papadopoulos, P. 2001, A&A, 376, 568 [NASA ADS] [CrossRef] [EDP Sciences] (In the text)
- Marek, A., & Janka, H.-T. 2007, [arXiv:0708.3372] (In the text)
- Marek, A., Janka, H.-T., & Mueller, E. 2008, [arXiv:0808.4136] (In the text)
- Messer, O. E. B., & Bruenn, S. W. 2003, private communications (In the text)
- Mezzacappa, A., & Bruenn, S. W. 1993a, ApJ, 405, 637 [NASA ADS] [CrossRef]
- Mezzacappa, A., & Bruenn, S. W. 1993b, ApJ, 405, 669 [NASA ADS] [CrossRef]
- Mezzacappa, A., & Bruenn, S. W. 1993c, ApJ, 410, 740 [NASA ADS] [CrossRef]
- Mezzacappa, A., & Messer, O. E. B. 1999, J. Comp. Appl. Math., 109, 281 [NASA ADS] [CrossRef] (In the text)
- Mezzacappa, A., Blondin, J. M., Messer, O. E. B., & Bruenn, S. W. 2006, in Origin of Matter and Evolution of Galaxies, AIP Conf. Ser., 847, 179 (In the text)
- Misner, C. W., & Sharp, D. H. 1964, Phys. Rev., 136, 571 [NASA ADS] [CrossRef] (In the text)
- Nakazato, K., Sumiyoshi, K., & Yamada, S. 2007, ApJ, 666, 1140 [NASA ADS] [CrossRef] (In the text)
- Nomoto, K. 1983, Supernova Remnants and their X-ray Emission, ed. J. Danziger, & P. Gorenstein, IAU Symp., 101, 139
- Nomoto, K. 1984, ApJ, 277, 791 [NASA ADS] [CrossRef]
- Nomoto, K. 1987, ApJ, 322, 206 [NASA ADS] [CrossRef]
- Nomoto, K., Tominaga, N., Umeda, H., et al. 2005, in The Fate of the Most Massive Stars, ed. R. Humphreys, & K. Stanek, ASP Conf. Ser., 332, 374 (In the text)
- Ohkubo, T., Umeda, H., Maeda, K., et al. 2006, ApJ, 645, 1352 [NASA ADS] [CrossRef] (In the text)
- Page, D. 1995, ApJ, 442, 273 [NASA ADS] [CrossRef] (In the text)
- Pons, J. A., Walter, F. M., Lattimer, J. M., et al. 2002, ApJ, 564, 981 [NASA ADS] [CrossRef] (In the text)
- Scheck, L., Janka, H.-T., Foglizzo, T., & Kifonidis, K. 2008, A&A, 477, 931 [NASA ADS] [CrossRef] [EDP Sciences] (In the text)
- Schinder, P. J., & Shapiro, S. L. 1982, ApJS, 50, 23 [NASA ADS] [CrossRef] (In the text)
- Shen, H., Toki, H., Oyamatsu, K., & Sumiyoshi, K. 1998, Progr. Theor. Phys., 100, 1013 [NASA ADS] [CrossRef] (In the text)
- Sumiyoshi, K., Yamada, S., & Suzuki, H. 2007, ApJ, 667, 382 [NASA ADS] [CrossRef] (In the text)
- Sumiyoshi, K., Yamada, S., & Suzuki, H. 2008, ApJ, 688, 1176 [NASA ADS] [CrossRef] (In the text)
- Thompson, T. A., & Burrows, A. 2001, Nucl. Phys. A, 688, 377 [NASA ADS] [CrossRef] (In the text)
- Timmes, F. X., & Arnett, D. 1999, ApJS, 125, 277 [NASA ADS] [CrossRef] (In the text)
- Timmes, F. X., & Swesty, F. D. 2000, ApJS, 126, 501 [NASA ADS] [CrossRef] (In the text)
- Tominaga, N., Umeda, H., & Nomoto, K. 2007, ApJ, 660, 516 [NASA ADS] [CrossRef] (In the text)
- Umeda, H., & Nomoto, K. 2005, ApJ, 619, 427 [NASA ADS] [CrossRef]
- Umeda, H., & Nomoto, K. 2008, ApJ, 673, 1014 [NASA ADS] [CrossRef] (In the text)
- Woosley, S. E., & Weaver, T. A. 1995, ApJS, 101, 181 [NASA ADS] [CrossRef] (In the text)
- Woosley, S. E., Heger, A., & Weaver, T. A. 2002, Rev. Mod. Phys., 74, 1015 [NASA ADS] [CrossRef] (In the text)
- Yueh, W. R., & Buchler, J. R. 1976a, Ap&SS, 39, 429 [NASA ADS] [CrossRef] (In the text)
- Yueh, W. R., & Buchler, J. R. 1976b, Ap&SS, 41, 221 [NASA ADS] [CrossRef] (In the text)
All Tables
Table 1: Thermodynamic conditions of the PNSs in Fig. 4, comparing the central data (a) with the maximum temperature (b).
Table 2: The size of the iron core and time between bounce and black hole formation for the different progenitor models.
Table 3:
Weak interaction coefficients in the Weinberg-Salam-Glashow
theory (in first order), where
is the squared
and spin-averaged matrix element and
is the Weinberg
angle.
are the 4-momenta of the interacting
particles. For the calculation of the proper phase space integration
with the assumption of a homogeneous distribution as well as
various additional neutrino interaction processes, see for example
Hannestad & Madsen (1995).
All Figures
![]() |
Figure 1:
Radial velocity and density profiles
as a function of the radius. The relativistic factor |
| Open with DEXTER | |
| In the text | |
![]() |
Figure 2:
Luminosities and mean energies
during the post bounce phase of a
core collapse simulation of a 40 M |
| Open with DEXTER | |
| In the text | |
![]() |
Figure 3:
Bounce conditions for the
core collapse simulation of a 40 M |
| Open with DEXTER | |
| In the text | |
![]() |
Figure 4: The last stable configuration of the PNSs before becoming gravitationally unstable and collapsing to a black hole, comparing eos1 (thin dashed lines) and eos2 (thick solid lines). |
| Open with DEXTER | |
| In the text | |
![]() |
Figure 5:
The electron-neutrino luminosity
approximation and Boltzmann neutrino transport calculations
during the post bounce evolution of the
40 M |
| Open with DEXTER | |
| In the text | |
![]() |
Figure 6:
The electron-neutrino luminosity
approximation and Boltzmann neutrino transport calculations
during the post bounce evolution of a
50 M |
| Open with DEXTER | |
| In the text | |
![]() |
Figure 7:
The same presentation as Fig. 5
but for a 40 M |
| Open with DEXTER | |
| In the text | |
![]() |
Figure 8:
The same presentation as Fig. 7
but for a 50 M |
| Open with DEXTER | |
| In the text | |
![]() |
Figure 9:
The same presentation as Fig. 8
for a 15 M |
| Open with DEXTER | |
| In the text | |
![]() |
Figure 10:
Neutrino luminosities in the graphs (a) and (c)
and mean neutrino energies in the graph (b) and (d)
for the different 40 M |
| Open with DEXTER | |
| In the text | |
![]() |
Figure 11:
The same presentation as Fig. 10
for the different 50 M |
| Open with DEXTER | |
| In the text | |
![]() |
Figure 12:
Selected hydrodynamic variables
for the different 40 M |
| Open with DEXTER | |
| In the text | |
![]() |
Figure 13:
The same configuration as Fig. 12
for the different 50 M |
| Open with DEXTER | |
| In the text | |
![]() |
Figure 14:
Bounce conditions for the 40 M |
| Open with DEXTER | |
| In the text | |
![]() |
Figure 15:
Bounce conditions for the 50 M |
| Open with DEXTER | |
| In the text | |
![]() |
Figure 16:
The different ( |
| Open with DEXTER | |
| In the text | |
![]() |
Figure 17:
The neutrino luminosities in graph (a)
and mean neutrino energies in graph (c) of all
three neutrino flavors (solid:
|
| Open with DEXTER | |
| In the text | |
![]() |
Figure 18:
Different post bounce snap shots
(thin red lines: 300 ms
intermediate blue lines: 400 ms
thick black lines: 500 ms),
illustrating the effects of the PNS contraction
to the number fluxes, the optical depths |
| Open with DEXTER | |
| In the text | |
![]() |
Figure 19:
Comparing the standard neutrino opacities
(thick black lines) (see Bruenn 1985)
with the corrections (thin blue lines) given in Horowitz (2002),
plotting the neutrino luminosities and
the mean neutrino energies as a function of time after bounce,
for all three neutrino flavors (solid line:
|
| Open with DEXTER | |
| In the text | |
Copyright ESO 2009
Current usage metrics show cumulative count of Article Views (full-text article views including HTML views, PDF and ePub downloads, according to the available data) and Abstracts Views on Vision4Press platform.
Data correspond to usage on the plateform after 2015. The current usage metrics is available 48-96 hours after online publication and is updated daily on week days.
Initial download of the metrics may take a while.
![\begin{figure}
\par\includegraphics[width=9cm]{1055f01.eps}
\end{figure}](/articles/aa/full_html/2009/19/aa11055-08/Timg27.png)



![\begin{figure}
\par\includegraphics[width=8cm]{1055f02.eps}
\end{figure}](/articles/aa/full_html/2009/19/aa11055-08/Timg41.png)
![\begin{figure}
\par\includegraphics[width=9cm]{1055f03.eps}
\end{figure}](/articles/aa/full_html/2009/19/aa11055-08/Timg42.png)
![\begin{figure}
\par\includegraphics[width=9cm]{1055f04.eps}
\end{figure}](/articles/aa/full_html/2009/19/aa11055-08/Timg43.png)





![\begin{figure}
\par\includegraphics[width=9cm]{1055f05.eps}
\end{figure}](/articles/aa/full_html/2009/19/aa11055-08/Timg59.png)
![\begin{figure}
\par\includegraphics[width=9cm]{1055f06.eps}
\end{figure}](/articles/aa/full_html/2009/19/aa11055-08/Timg60.png)

![\begin{figure}
\par\includegraphics[width=9cm]{1055f07.eps}
\end{figure}](/articles/aa/full_html/2009/19/aa11055-08/Timg66.png)
![\begin{figure}
\par\includegraphics[width=9cm]{1055f08.eps}
\end{figure}](/articles/aa/full_html/2009/19/aa11055-08/Timg69.png)

![\begin{figure}
\par\includegraphics[width=9cm]{1055f09.eps}
\end{figure}](/articles/aa/full_html/2009/19/aa11055-08/Timg73.png)
![\begin{figure}
\par\includegraphics[width=9cm]{1055f10.eps}
\end{figure}](/articles/aa/full_html/2009/19/aa11055-08/Timg78.png)
![\begin{figure}
\par\includegraphics[width=9cm]{1055f11.eps}
\end{figure}](/articles/aa/full_html/2009/19/aa11055-08/Timg79.png)
![\begin{figure}
\par\includegraphics[width=9cm]{1055f12.eps}
\end{figure}](/articles/aa/full_html/2009/19/aa11055-08/Timg88.png)
![\begin{figure}
\par\includegraphics[width=9cm]{1055f13.eps}
\end{figure}](/articles/aa/full_html/2009/19/aa11055-08/Timg89.png)
![\begin{figure}
\par\includegraphics[width=9cm]{1055f14.eps}
\end{figure}](/articles/aa/full_html/2009/19/aa11055-08/Timg90.png)
![\begin{figure}
\par\includegraphics[width=9cm]{1055f15.eps}
\end{figure}](/articles/aa/full_html/2009/19/aa11055-08/Timg91.png)
![\begin{figure}
\par\includegraphics[width=9cm]{1055f16.eps}\par\includegraphics[width=9cm]{1055f17.eps}
\end{figure}](/articles/aa/full_html/2009/19/aa11055-08/Timg92.png)
![\begin{figure}
\par\includegraphics[width=9cm]{1055f18.eps}
\end{figure}](/articles/aa/full_html/2009/19/aa11055-08/Timg100.png)
![\begin{figure}
\par\includegraphics[width=17cm]{1055f19.eps}
\end{figure}](/articles/aa/full_html/2009/19/aa11055-08/Timg105.png)
![\begin{figure}
\par\includegraphics[width=9cm]{1055f20.eps}
\end{figure}](/articles/aa/full_html/2009/19/aa11055-08/Timg115.png)




