| Issue |
A&A
Volume 499, Number 1, May III 2009
|
|
|---|---|---|
| Page(s) | 47 - 68 | |
| Section | Extragalactic astronomy | |
| DOI | https://doi.org/10.1051/0004-6361/200811355 | |
| Published online | 25 March 2009 | |
Evolution of red-sequence cluster galaxies from redshift 0.8 to 0.4: ages, metallicities, and morphologies
,![[*]](/icons/foot_motif.png)
P. Sánchez-Blázquez1,2 - P. Jablonka2,3,4 - S. Noll5,6 - B. M. Poggianti7 - J. Moustakas8 - B. Milvang-Jensen9,10 - C. Halliday11 - A. Aragón-Salamanca12 - R. P. Saglia5 - V. Desai13 - G. De Lucia14 - D. I. Clowe15 - R. Pelló16 - G. Rudnick17 - L. Simard18 - S. D. M. White14 - D. Zaritsky19
1 - Center for Astrophysics, University of Central Lancashire,
Preston, PR1 2HE, UK
2 -
Laboratoire d'Astrophysique, Ecole Polytechnique Fédérale de
Lausanne (EPFL), Observatoire de Sauverny 1290 Versoix, Switzerland
3 -
Université de Genève, Observatoire de Sauverny 1290 Versoix,
Switzerland
4 -
GEPI, CNRS-UMR8111, Observatoire de Paris, section de Meudon, 5 Place
Jules Janssen, 92195 Meudon Cedex, France
5 -
Max-Planck-Institut für extraterrestrische Physik,
Giessenbachstrasse, 85748 Garching bei München, Germany
6 -
Observatoire Astronomique de Marseille-Provence, 38 rue Frédéric
Joliot-Curie,
13388 Marseille Cedex 13, France
7 -
Osservatorio Astronomico di Padova, Vicolo dell'Osservatorio 5, 35122
Padova, Italy
8 -
Center for Cosmology and Particle Physics, New York University, 4 Washington Place, New York, NY 10003, USA
9 -
Dark Cosmology Centre, Niels Bohr Institute, University of Copenhagen,
Juliane Maries Vej 30, 2100 Copenhagen, Denmark
10 -
The Royal Library/Copenhagen University Library, Research Dept., Box 2149,
1016 Copenhagen K, Denmark
11 -
INAF, Osservatorio Astrofisico di Arcetri, Largo E. Fermi 5, 50125
Firenze, Italy
12 -
School of Physics and Astronomy, University of Nottingham, University
Park, Nottingham NG7 2RD, UK
13 -
Spitzer Science Center, Caltech, Pasadena CA 91125, USA
14 -
Max-Planck-Institut für Astrophysik, Karl-Schwarzschild-Strasse 1,
85748 Garching bei München, Germany
15 -
Ohio University, Department of Physics and Astronomy, Clippinger Labs
251B, Athens, OH 45701, USA
16 -
Laboratoire d'Astrophysique de Toulouse-Tarbes, CNRS, Université de Toulouse, 14
Avenue Edouard Belin, 31400 Toulouse, France
17 -
NOAO, 950 N. Cherry Avenue, Tucson, AZ 85719, USA
18 -
Herzberg Institute of Astrophysics, National Research Council of
Canada, 5071 West Saanich Road, Victoria, Canada BC V9E 2E7, Canada
19 -
Steward Observatory, University of Arizona, 933 North Cherry Avenue,
Tucson, AZ 85721, USA
Received 16 November 2008 / Accepted 14 February 2009
Abstract
We present a comprehensive analysis of the stellar population
properties and morphologies of red-sequence galaxies in 24 clusters and groups
from
to
.
The dataset, consisting of
215 spectra drawn from the ESO Distant Cluster Survey, constitutes the
largest spectroscopic sample at these redshifts for which such an
analysis has been conducted. Analysis reveals that the evolution of the stellar
population properties of red-sequence galaxies depend on their mass:
while the properties of the most massive are well described by
passive evolution and high-redshift formation, those of the less massive
galaxies are consistent with a more extended star-formation history.
We show that
these scenarios reproduce the index-
relations and the
galaxy colours. The two main results of this work are: (1)
the evolution of the line-strength
indices for the red-sequence galaxies can be reproduced if 40% of the galaxies with
km s-1 entered the red-sequence between z=0.75 to z=0.45, in
agreement with the fraction derived in studies of the luminosity
functions; and
(2) the percentage of red-sequence galaxies exhibiting early-type
morphologies (E and S0) decreases
by 20% from z=0.75 to z=0.45. This can be understood
if the red-sequence becomes more populated at later times with disc galaxies
whose star formation has been quenched.
We conclude that the processes quenching star
formation do not necessarily produce a simultaneous morphological
transformation of the galaxies entering the red-sequence.
Key words: galaxies: evolution - galaxies elliptical and lenticular, cD - galaxies: clusters: general - galaxies: stellar content - galaxies: high-redshift - galaxies: abundances
1 Introduction
Early-type galaxies are strongly clustered (e.g., Willmer et al. 1998; Hermit et al. 1996; Loveday et al. 1995;Shepherd et al. 2001) and,
therefore, galaxy clusters are an ideal place for
their study.
Stellar population studies have shown that both, local, and high-redshift
early-type galaxies follow tight correlations between the colours and line-strength
features, and other properties of the galaxies (mostly related to their masses)
(e.g., Bower et al. 1992; Bernardi et al. 2005; Sánchez-Blázquez et al. 2006b; Kuntschner 2000; Trager et al. 2000a)
The mere existency of these correlations, as well as their evolution with redshift,
is consistent with a very early (
)
and coordinated formation
of their stars (Visvanathan & Sandage 1977;Bower et al. 1992; Ziegler et al. 2001; Kelson et al. 2001; Kodama & Arimoto 1998; Ellis et al. 1997; Bender et al. 1998; Stanford et al. 1998).
However, the evolution of the
cluster red-sequence luminosity function with redshift challenges this
view (De Lucia et al. 2004; De Lucia et al. 2007; Kodama
et al. 2004; Rudnick et al. 2008, in preparation; although see
Andreon (2008) for contradictory results), and so does the
morphological evolution since z=0.4 (e.g., Dressler et al. 1997), and the
evolution of the blue/star-forming fraction (Butcher & Oemler 1984;
Poggianti et al. 2006) in clusters.
A deeper understanding of the nature of the evolution of the cluster
red-sequence requires a study that is not limited to observables
but one that instead determines the
stellar-population parameters (age and chemical abundances) as a function of
time, using stellar-population models.
The main difficulty in this type of studies is breaking the age-metallicity
degeneracy (Worthey 1994). A very popular technique requires the use
of a combination of absorption lines with different
sensitivities to both parameters (see, e.g., Rabin 1982)
.
Observational advances, on the ground and
in space, allow now to complete these measurements for galaxies at
intermediate to high-redshift, both in clusters and in the field
(Ziegler et al. 2001; Schiavon et al. 2006; Jørgensen et al. 2005; Barr et al. 2005). The analysis of these data have revealed that the age-metallicity degeneracy, indeed, confuses the interpretation of the
scaling relations: large spreads in galaxy luminosity-weighted mean ages
and metallicities
at high-redshift have been found in datasets showing
very tight Faber-Jackson, Mgb-
,
and Fundamental plane (FP)
relations, challenging the classical interpretation of the tightness
of the scaling relations.
High-redshift spectroscopic samples are, however, still restricted to a
maximum of
30 galaxies, and they often target only a single
cluster (Kelson et al. 2006,2001; Tran et al. 2007; Jørgensen et al. 2005). This could be biasing the
results, because studies at low redshift have shown that the star-formation
histories of early-type galaxies might depend on cluster properties
(e.g., compare Sánchez-Blázquez et al. 2003; Jørgensen 1999; Nelan et al. 2005; Trager et al. 2008; Kuntschner & Davies 1998; Caldwell et al. 2003).
Therefore, a study based on a large sample of galaxies in
clusters covering a wide range in cluster masses is necessary to obtain
a complete picture of galaxy evolution.
The present work is based on 24 clusters with redshifts between 0.39 and 0.8 from the ESO Distant Cluster Survey (hereafter, EDisCS). Its major novelty is that we do not only consider very massive structures; our sample also spans a wide range in cluster velocity dispersions. Therefore, we minimize possible biases due to the relationship between galaxy properties and environment.
It is now common to study red-sequence galaxies rather than morphologically classified early-type galaxies, since colours are easier to measure in large datasets than morphology, and they appear to be more correlated with environment (Martínez & Muriel 2006; Kauffmann et al. 2004; Blanton et al. 2005). Nonetheless, observations have also revealed the existence of an intrinsic spread in morphology at a given colour (e.g., Baldry et al. 2004; Cross et al. 2004; Conselice 2006). This highlights the need to investigate the relation between morphology and colour, and their evolution with redshift and this is, therefore, the strategy we adopt.
Our sample of red-sequence galaxies is much larger than those used in previous efforts. It encompasses 337 galaxies, distributed in 24 clusters and groups, for which we study stellar populations and morphologies. Our sample of red-sequence galaxies is not restricted to the most massive, but span a wide range of internal velocity dipsersion (100-350 km s-1), comparable to the samples analysed at low-redshift.
Throughout the paper, we adopt a concordance cosmology with
,
,
and H0=70 km s-1 Mpc-1. All
magnitudes are quoted in the Vega system.
Table 1: Column 1: redshift interval in which the galaxy structure falls (see text for details). Column 2: cluster name. Following Milvang-Jensen et al. (2008), we label the secondary structures with letters ``a'' and ``b''. Column 3: cluster redshift. Column 4: marked with x if ACS images are available. Column 5: Number of secure spectroscopically confirmed red-sequence galaxies. Column 6 Number of red-sequence galaxies with no or negligible emission, full-filling our signal-to-noise ratio criterion. Column 7 Velocity dispersion of the cluster. Column 8 R200, calculated as in Finn et al. (2005).
2 Our sample
The ESO Distant Cluster Survey
(EDisCS) is a photometric and spectroscopic survey of galaxies
in 20 fields containing clusters with redshifts between 0.39 and 0.96.
These fields were selected from the Las Campanas Distant Cluster Survey
(Gonzalez et al. 2001), specifically from the 30 highest surface-brightness
candidates. A full description of the sample selection can
be found in White et al. (2005). EDisCS includes structures
with velocity dispersions from
150 to
1100 km s-1,
i.e. from small groups to clusters.
Deep optical photometry with VLT/FORS2 (White et al. 2005), near-IR
photometry with SOFI on the ESO/NTT (Aragón-Salamanca et al., in
preparation), and deep-multi-slit spectroscopy with VLT/FORS2 were
acquired for each field. The same high-efficiency grism was used
in all observing runs (grism 600RI+19,
Å).
The wavelength range varies with the field and
the x-location of the slit on the mask (see Milvang-Jensen et al. 2008, for details), but
it was chosen to cover, at least, a rest-frame wavelength range
from 3670 to 4150 Å (in order to include [OII] and H
lines)
for the assumed cluster redshift.
The spectral resolution is
6 Å (FWHM), corresponding to
rest-frame 3.3 Å at z=0.8 and 4.3 Å at z=0.4. Typically,
four- and two-hour exposures were obtained for the high-z and
mid-z samples, respectively. The
spectroscopic selection, observations, data reduction, and catalogues are
presented
in detail in Halliday et al. (2004) and Milvang-Jensen et al. (2008).
In brief, standard reduction procedures (bias subtraction, flat fielding, cosmic-ray removal,
geometrical distortion corrections, wavelength calibration, sky subtraction, and flux calibration)
were performed with IRAF. Particular attention was paid to the
sky-subtraction performed
before any interpolation or rebinning of the data (see Milvang-Jensen et al. 2008, for details).
This dataset was complemented with 80 orbits of HST/ACS imaging in F814W of the highest
redshift clusters (Desai et al. 2007), H
narrow-band imaging
(Finn et al. 2005), and XMM-Newton/EPIC X-ray observations (Johnson et al. 2006).
Twenty-six structures (groups or clusters) were identified in the 20 EDisCS fields (Milvang-Jensen et al. 2008; Halliday et al. 2004). Two of these structures were not considered in this paper, the first one, cl1103.7-1245, because its spectroscopic redshift (0.96) is too far away from the redshift targeted by the photo-z-based selection (0.70), which could introduce observational biases, and the second one, cl1238.5-1144, because it could only be observed for 20 min and the typical signal-to-noise ratio (S/N) of its galaxy spectra was insufficient for our analysis.
To define the red-sequence, we used total-I magnitudes, estimated by adding, to the Kron magnitudes, a correction appropriate for a point source measured within an aperture equal to the galaxy's Kron aperture. These corrections were derived empirically from unsaturated and isolated stars on each convolved I-band image (see White et al. 2005 for details).
![]() |
Figure 1:
V, I colour-magnitude diagrams for the 24 EDisCS
structures considered in this study. Galaxies with no- or weak-
emission are represented by red circles, while galaxies with strong
emission are marked as blue circles. Solid line represent a linear-fit,
fixing the slope to be -0.09, to the data for secure cluster members with no or only weak emission
lines. The dashed lines trace the |
| Open with DEXTER | |
A galaxy was considered to be a member of a given cluster (or group) if its
redshift was within
of the cluster
redshift, where
is the cluster velocity
dispersion presented in Halliday et al. (2004) and Milvang-Jensen et al. (2008). As in
all other EDisCS analyses, galaxy groups were identified as structures with
km s-1. We define red-sequence galaxies
as those with both secure spectrocopic redshifts and colours
between
0.3 mag
from the best-fit linear relation (with slope fixed to -0.09)
to the colour-magnitude
relation (V-I versus I) of the objects without emission lines. This
definition coincides with that of White et al. (2005) and De Lucia et al. (2004,
2007). The width of the region corresponds to
3 times the
rms-dispersion of the red-sequence colours of our two most populated
clusters, cl1216.8-1201 and cl1232.5-1250.
Table 1 lists the structures selected for the present work
and the total number of galaxies on the red-sequence.
Figure 1
displays the V-I versus I colour-magnitude diagrams of the 24 EDisCS
structures studied in the present paper.
To study the evolution of the galaxy population properties with
redshift,
we divided our galaxies into 3 different redshift intervals: (1)
0.39 < z < 0.5; (2)
;
and (3)
.
For convenience, we
refer to these intervals by their median redshifts, z=0.45,
z=0.55, and z=0.75. Figure 2 shows the redshift
distribution of our sample of galaxies.
Dust-reddened star-forming galaxies
are estimated to constitute
20% of galaxies in low-redshift
clusters (Bell et al. 2004; Franzetti et al. 2007; Strateva et al. 2001; Gavazzi et al. 2002). This fraction
is likely to be more important in the strong-emission line regime.
To avoid ``contamination'' from these galaxies (which are not the target of this
study) we discard, in our absorption-line
analysis, galaxies showing
evidence of emission lines.
Our selection is based both on visual
inspection of the 2D-spectra and on measurements of the line
equivalent widths (EWs). These measurements were taken from
Poggianti et al. (2006). We also measured the [OII] and H
emission-line
EWs after carefully subtracting the underlying stellar continuum (see
Moustakas & Kennicutt 2006, for details).
After comparing the visual inspection with the quantitative measurements,
we retained galaxies with equivalent widths of
[OII]
Å.
In Fig. 1, we distinguish between galaxies with strong
emission lines and those with no- or weak- emission lines (N+W,
hereafter) in the spectroscopic sample of red-sequence galaxies.
Figure 3 shows the fraction of N+W red-sequence galaxies as
a function of redshift and structure velocity dispersion. The scatter
is large and there is no trend with either
or redshift. On average, 24% of the red-sequence galaxies show
EW[OII]3727 > 7 Å. Section 3 discusses the nature of
the emission in these galaxies.
We also remove the brightest cluster galaxies (BCGs) from the sample, since their unique position in the cluster may lead to a different evolution from the typical red galaxy (De Lucia & Blaizot 2007). A photometric study of the BCGs in the EDisCS clusters is presented in Whiley et al. (2008).
Our initial sample includes a total of 337 N+W red-sequence
galaxies. Their mean spectral S/N, measured
between 4000 and 4500 Å (rest-frame) is
17, 19, and
12 per Å at redshifts 0.45, 0.55, and 0.75, respectively. We
consider all galaxies independently of their distance to the cluster
centers except for the morphological analysis. The radial cuts, when
applied, are stated explicitly. However, to measure line-strength indices, we require a minimum signal-to-noise ratio of 10 per Å, measured between 4000 and 4500 Å (rest-frame).
A total of 215 galaxies satisfy our selection criteria,
i.e., 70% of the initial sample (see Table 1 for their distribution).
3 Source of ionization in the emission-line red-sequence galaxies
As inferred from Fig. 3, a non negligible fraction of
red-sequence galaxies exhibit emission lines which, in some cases,
can be fairly strong, reaching equivalent width values of
30 Å for[OII] and
12 Å for H
.
Although these galaxies are discarded from further investigation, we
are interested in trying to unveil their nature. We study below the
various possible ionization sources and look for evidence of
evolution with redshift.
![]() |
Figure 2: Redshift distribution of the red-sequence galaxies in the 3 redshift-bins with no or negligible emission lines, before any signal-to-noise selection. |
| Open with DEXTER | |
We performed an analysis similar to that of Yan et al. (2006).
Yan et al. (2006) studied
a large sample of red galaxies from the
Sloan Digital Sky Survey (SDSS) finding emission in 52.2%
of them. They showed that the emission-line galaxies
could be classified into two
main groups: galaxies with high [OII]
/H
(LINER-like and quiescent galaxies, representing 20.6% of the
total red populution with emission) and low-[OII]/H
galaxies
(mostly dusty-starforming ones, with a small fraction of Seyferts, accounting
for 9% of the red-sequence galaxies with emission).
Counting galaxies
with only [OII] seen in emission (instead of both [OII] and
H
)
increases the fraction of LINERS to 28.8%. Finally, 14%
of the red galaxies have H
detected but no [OII], making them
difficult to classify. Nevertheless, Yan et al. (2006) showed that the
majority of these galaxies have [NII]/H
,
suggesting a
non-starforming origin for their emission lines.
In the present case, the determination of the ionization sources is
hampered by the fact that the wavelength coverage of the spectra does
not include H
.
We considered H
instead. For each
galaxy, the stellar continuum was fitted and the [OII] and
H
equivalent widths subsequently measured.
Figure 4 illustrates the distribution of [OII] and
H
EWs for the red-sequence galaxies and the full EDisCS spectroscopic sample.
From a total of 393 red-sequence galaxies in the full EDisCS sample, 243 have
spectra with a wavelength range appropriately centered and wide enough
to include both [OII]
Å and H
.
The
redshift distribution of these galaxies has a mean of 0.52 and a
standard deviation of 0.09. We count 57 galaxies with a 2-
detection (a threshold identical to that of Yan et al. (2006)) of both [OII] and
H
,
68 with only one of the two lines detected, and 118 with no
detection at all (at the 2-
level). Hence, in a similar way
to Yan et al. (2006), we obtain 51.4% of emission-line red-sequence
galaxies.
Following Kewley et al. (2004), we considered that star formation cannot
produce a [OII]/H
higher than 1.5. This value was derived before
any reddening correction and independently confirmed by
Moustakas & Kennicutt (2006). We assumed a mean value of
H
/H
,
which was derived by Yan et al. (2006) before
any reddening correction, and corresponds to a median
extinction of
,
assuming type B recombination. Under
this condition, [OII]/H
draws a boundary between star
forming galaxies and those with emission powered by an AGN. As shown
in Fig. 11 of Yan et al. (2006), this limit is very conservative.
Indeed, one hardly finds any star-forming galaxies with
[OII]/H
.
However, it does eliminate most Seyferts and
selects mostly LINER-type galaxies. Interestingly, the limit of 6.7
seems to represent a
natural upper limit to the bulk of the entire cluster galaxy
population (see the histogram part of Fig. 4).
In our statistical analysis below, we used the empirical bimodal demarcation
advised by Yan et al. (2006), i.e., EW([OII]) = 18 EW(H
)-6 rather
than a constant [OII]/H
ratio. We checked, however, that
both methods produce identical results (to within 1-2%).
Table 2 shows the emission-line properties of the
red-sequence galaxies with spectra of wide enough wavelength range to
cover H
and [OII]. To be able to measure more than just upper and
lower limits, we would
need, at least, another set of two lines to build more diagnostic
diagrams (e.g., Kewley et al. 2006). However, we believe that our counts
infer reliably the major trends for the main ionization processes
for our sample. The fraction of quiescent red galaxies is very
much the same as the percentage reported by Yan et al. (2006) in the local
Universe. The obvious difference between the two studies resides in
the nature of the galaxies that do have detections of both H
and [OII]. While Yan et al. (2006) found that only 9% of those galaxies
have low-[OII]/H
ratios, we identify more than twice this percentage,
i.e., 19%.
In addition, only 4% of
our red-sequence galaxies have high-[OII]/H
ratios
characteristic of LINERS. This fraction might increase to 8% if we
include galaxies with [OII] detected and H
undetected. However, this
is still a factor of 3 smaller than
the fraction of high-[OII]/H
galaxies in the red-sequence reported
by Yan et al. (2006), i.e., 29%.
![]() |
Figure 3:
Fraction of red-sequence galaxies that have no or only weak
emission lines ( EW[OII] < 7 |
| Open with DEXTER | |
Our conclusion about this tentative identification of the ionizing
sources in the EDisCS emission-line red-sequence galaxies is that most
of them are dusty star-forming ones. We cannot disentangle, at this
stage, whether time or environment, or even more technically the use
of H
instead of H
,
leads to the difference with the
results of Yan et al. (2006). Further investigation, both in field
intermediate-redshift galaxies and in low-redshift cluster galaxies,
is required to shed light on this matter.
4 Stellar velocity dispersions
Velocity dispersions were measured in all our spectra using the IDL
routine PPXF developed by Cappellari & Emsellem (2004). This routine, based on
maximum penalized likelihood with an optimal template, is ideal for
extracting as much
information as possible from the spectra while suppressing the noise
in the solution and, therefore, is perfect for measuring kinematics
with low S/N data. This algorithm estimates the best-fit solution to a
galaxy spectrum
by combining stellar templates that are shifted to the mean galaxy velocity
and convolved with the appropriate
mean galaxy velocity dispersion.
The final values of these parameters are sensitive to template
mismatch and, therefore, the use of this technique requires templates that
match closely the galaxy spectrum under scrutiny.
This is achieved with the use of an extensive stellar library spanning a
wide range of metallicities and ages. We use 35 synthetic spectra from
the library of single stellar-population
models from Vazdekis et al. (2009, in preparation), which adopts the new
stellar library MILES
(Sánchez-Blázquez et al. 2006c), degraded to the resolution of EDisCS spectra.
This library contains spectra covering an age range from 0.13 to 17 Gyr
and metallicities from
to
.
Errors were calculated by means of Monte
Carlo simulations, in which each data point was perturbed by
a randomly selected amount from a Gaussian distribution of width given
by the typical observed error. Because the template mistmach
affects the measure of the velocity and
determined with PPXF,
a new optimal template was derived in each simulation. The errors were
determined to be the
standard deviation of the values measured in a total of 50 simulations.
The mean uncertainty
in the velocity dispersion calculated in our spectra with
is
25%. Given the S/N ratio and the resolution of
our spectra,
values below 100 km s-1 are considered
untrustworthy and, consequently, galaxies with
km s-1 are eliminated in all analysis involving the comparison
with
.
5 Line-strength indices
For all of the galaxies in the red sequence, we measured Lick/IDS indices as defined by Trager et al. (1998) and Worthey & Ottaviani (1997). The strength of the Lick/IDS as a function of age, metallicity, and individual chemical abundances has been calibrated by many authors for a simple stellar population, i.e. a population formed in a single, instantaneous burst (e.g. Thomas et al. 2003; Worthey 1994; Vazdekis 1999, TMB03 hereafter), and for more complicated star formation histories (e.g. Bruzual & Charlot 2003). These indices remain the most popular way to extract information about the stellar ages and metallicities from the integrated light of galaxies.
![]() |
Figure 4:
Ratio between [OII] and H |
| Open with DEXTER | |
Table 2:
Emission-line properties of the red-sequence
galaxies for which the spectra covers both [OII] and H
.
The
first two columns indicate whether or not [OII] and H
have been
detected (at 2-
level). High and low [OII]/H
stand for
EW([OII])>18EW(H
)-6 and
(H
)-6, respectively.
Table 3:
Line-strength indices in our sample of red-galaxies with S/N(Å) > 10 and no- or weak-emission lines. The number between brackets after
the indices values indicates the presence (1) or not (0) of sky-subtraction residuals or telluric absorptions inside the definition passband of the
index. Only those indices with labels (0) are used in our analysis. Type: Indicate the presence (2) or not (1) of weak (
Å) emission
lines. Last column lists the measured velocity dispersion and its error.
This is only a portion of
the table, shown for guidance regarding its format and content. The full table is electronically
available at CDS and at http://www.ucm.es/info/Astrof/psb/ediscs.html
The errors in the indices were estimated from the uncertainties caused
by photon noise using the formula by Cardiel et al. (1998) and from
uncertainties due to the wavelength calibration, which were derived using
Monte-Carlo simulations. The variances were estimated from the
residuals between the observed spectrum and the ``best template'',
which was obtained in the calculation of the velocity dispersion, and
had been broadened previously to reproduce as closely as possible the
line width of each galaxy.
For the clusters with z> 0.6, indices redward of 4500 Å were
affected by telluric absorption in the atmosphere and by sky-subtraction
residuals and were not measured. For the clusters with
,
all Lick/IDS indices from H
to H
were
measured, as well as D4000. Each individual spectrum was visually
examined to check for indices affected by sky residuals or telluric
absorption in the atmosphere. All affected indices were discarded
from any subsequent analysis.
Line-strength indices are sensitive to the line broadening due to both instrumental resolution and the stellar velocity dispersion. To compare the galaxy spectra with stellar-population models and to compare the line-strength indices of galaxies with different velocity dispersions, the indices need to be corrected to identical levels of intrinsic Doppler and instrumental broadening.
Because the models that we use (see Sect. 6) predict
not only line-strength indices, but the entire spectral energy distribution,
we can degrade the synthetic
spectra to the resolution of the data. We decided to broaden all of
the observed and synthetic spectra to a final resolution of
325 km s-1 (including the velocity dispersion of the galaxy and
the instrumental resolution) before measuring the indices. Galaxies
with a velocity dispersion higher than
315 km s-1 could
not be broadened, but the number of galaxies with velocity dispersions
above this limit is very small and, therefore, we decided to include
them in our plots, although they have not been included in the data
analysis.
One of the problems of using Lick/IDS-based models
(e.g., Worthey 1994; Thomas et al. 2003)
is that the data need to be transformed to the spectrophotometric system of
the Lick/IDS stellar library.
To do this, it is common to observe stars from the Lick/IDS library using the
same instrumental configuration than for the science objects and to derive
small offsets between the indices measured in those stars and the ones from Lick/IDS. When
analyzing data at high-redshift, this is of course impossible.
In principle, no further corrections to the indices are required when
comparing data with stellar-population models using flux-calibrated
libraries.
Although we do not have to apply the offsets to our indices, we
computed them using the stars in common between MILES and the Lick/IDS
library because it may be useful for other studies. The final offsets
and the comparison can be found in Appendix A
.
Some of the Lick/IDS indices are affected by emission lines. In
particular, emission, when present, fills the Balmer lines, lowering
the values of the indices and, hence, increasing the derived age.
High-order Balmer indices (H
and H
)
are much less
affected by emission than the classic index H
(Worthey & Ottaviani 1997), but
nevertheless still affected. To correct for
emission, two different approaches are normally adopted. Firstly, we
assume a correlation between the equivalent width of some other
emission line and the emission in the Balmer line
(e.g. González 1993; Trager et al. 2000a). Secondly, fit an optimal template and
subtract the emission directly from the residuals. Nelan et al. (2005) have
shown that the first approach suffers from significant uncertainties,
in part because there are almost certainly several competing sources
of ionization in early type galaxies. The second approach requires
that the fit of the optimal template to the individual spectrum is
very good. The S/N of our individual spectra simply do not allow us to
explore that option. Therefore, instead of trying an emission
correction to the Balmer lines, we have analyzed the differences in
the results by first eliminating all the galaxies showing any emission. It is re-assuring to see that none of our conclusions
change when the (weak)
emission line galaxies are excluded (we remind the reader than the
galaxies with strong emission lines have been excluded from the
analysis).
Table 3, available at the CDS, lists the measured line-strength indices in our sample of galaxies with non-or weak emission lines. A portion of the table is shown here to show its content an structure.
5.1 The local sample and aperture correction
To increase the time baseline of our analysis, we compare the EDisCS
spectra with 36 early-type galaxies (ellipticals and
lenticulars) in the Coma cluster at redshift z=0.02. The
characteristics of this sample are described in Sánchez-Blázquez et al. (2006b). Because
the galaxies were selected morphologically we
checked first that all the objects belong to the red-sequence of this
cluster, using the colours and magnitudes from Mobasher et al. (2001). We are
aware that the comparison with the Coma cluster is probably not the
most appropriate, as the the velocity dispersion of this cluster
exceeds that of all the clusters in our sample at intermediate
redshifts. For this reason, we will base all the conclusions of this paper in the
intercomparison of the EDisCS clusters. The local sample is included here
to show that some of our results can be extrapolated to
the local Universe, where higher S/N spectra can be obtained. One of the
main problems when comparing observations at different redshifts is
that, for a fixed aperture, one is sampling different physical regions
within the galaxies. Early-type galaxies show variations in their
main spectral characteristics with radius and, therefore, a correction
due to these aperture differences is necessary. In order to compare
directly with the sample at medium- and high-redshift, we extracted
the 1D spectra in the same way as the EDisCS spectra, inside an
aperture equal to the FWHM of the spatial profile. However, aperture
effects are not entirely mitigated via such an extraction, as the
EDisCS spectra were observed with a 1
-wide slit,
equivalent to a much larger physical aperture at the redshift of the
Coma cluster. Jørgensen et al. (1995), Jørgensen (1997) and Jørgensen et al. (2005) derived
aperture corrections using mean gradients obtained in the
literature.
The index corrected for aperture effects
can be obtained as
for those indices
measured in Å and
for molecular indices measured in
magnitudes, where
is the final normalised aperture,
and
is the equivalent circular aperture, obtained
as 2
,
being x and y
the width and length of the rectangular aperture.
Jørgensen (1995, 1997) calculated
parameters
for a large subset of Lick indices but, in some cases, using the gradients
measured in a very small sample of galaxies.
In this work, we have taken advantage of the large sample
of galaxies with measured line-strength gradients published in
Sánchez-Blázquez et al. (2006a), Sánchez-Blázquez et al. (2007) and Jablonka et al. (2007) to calculate new
aperture corrections. These also include corrections for the
higher-order Balmer lines that have not been published before, as far
as we are aware.
Appendix B
lists the new
parameter calculated in this paper.
We correct all our indices to
mimic the physical aperture of the slit used to observe the galaxies
at z=0.75. The aperture corrections (
)
for all the indices at the
different redshift bins are listed in Table 4.
Line-strength gradients show large variations between early-type
galaxies (see, e.g. Halliday 1998; Jablonka et al. 2007; Carollo et al. 1993; Sánchez-Blázquez et al. 2006a; Davies et al. 1993; Gorgas et al. 1990; Kuntschner et al. 2006, among others),
and the slope of the
gradients does not seem to correlate clearly with any of their other
properties. For this reason, we use the mean gradient to compute the
aperture corrections for all the galaxies. However, to
calculate the error in the aperture correction due to the fact that
early-type galaxies show a large variation in the slope of their
gradients, we perform a series of Monte Carlo simulations, where the
mean index-gradient was perturbed by a random amount given by a
Gaussian distribution with
equal to the typical rms dispersion
in the gradients
The errors in the aperture correction calculated this way are also
indicated in Table 4. In some cases
(e.g., higher-order Balmer lines), these errors are very large.
Despite the high mean aperture-correction for H
and
H
indices, the aperture correction is compatible, within
those errors, with being null. These errors were
added quadratically to the errors in the indices for the Coma
galaxies.
For the 0.45 and 0.55 redshift bins, the error in the aperture
correction due to the scatter among the mean gradients is negligible
(less than 1% of the total correction) and we do not list them.
Gradients might also evolve with redshift. For this, we correct the indices in the Coma cluster to the same equivalent aperture as the highest redshift bin, instead of correcting the highest redshift measurements as is commonly done. This way, the correction is performed on the spectra of galaxies whose gradients have been used to derive the aperture correction.
5.2 Stacked spectra
The degeneracy between age and metallicity effects on galaxy colours could well affect the interpretation of their colour-magnitude diagrams. This degeneracy can be partially broken by using a combination of two or more spectral indices chosen for their different sensitivities to age and metallicity. The S/N of our galaxy spectra is not high enough to do this analysis on an individual galaxy basis. Therefore, to derive the evolution with time in the galaxy mean ages and chemical abundances, we stacked the galaxy spectra for each of the 0.45, 0.55, and 0.75 redshift bins.
We ensure that the distribution of galaxy velocity dispersions (
)
in all the different redshift intervals were similar (Fig. 5).
This a prerequisite to any further
comparison between the three redshift bins, since most line-strength
indices are strongly correlated with
(e.g. González 1993). To explore the possible dependence of star-formation
history on galaxy mass, we distinguish between galaxies with
higher and lower than 175 km s-1 in all of the three redshift
groups. We perform a Kolmorogov-Smirnov test comparing the
distribution of
at different redshifts to search for
possible significant differences. We performed the test separately
for galaxies with
higher and lower than 175 km s-1 and found
them compatible with being drawn from the same distribution.
Before adding them, we normalized all spectra by their mean flux in the region between
3900 Å and 4400 Å, to avoid a bias towards the indices of the most
luminous galaxies. Finally, we co-added the spectra, clipping out all the
pixels deviating more than 2-
from the mean.
Figure 6 displays the resulting 6 stacked
spectra for the three redshift bins and the two velocity dispersion
regimes.
Table 4: Aperture correction for Lick/IDS indices measured in our sample. The correction for the molecular indices and for the higher-order Balmer lines is additive while the correction for the atomic indices is multiplicative. The aperture correction was only applied to the Coma galaxies, as it is very small for the other redshifts. The type of correction is indicated in the last column.
Earlier works have studied the evolution of red-sequence galaxies as a
function of magnitude (e.g. De Lucia et al. 2004; De Lucia et al. 2007; Rudnick et al. 2008, in preparation). These studies used
to separate between faint and bright galaxies. Assuming
a formation redshift of 3 followed by passive evolution, our
km s-1 cut corresponds to
,
-20.2 and
-20.2 mag at z=0.45, 0.55, and 0.75, respectively (see
Fig. 7). As can be seen, this magnitude cut
in our study and the above mentioned photometric
studies do not differ significantly. However, these other studies reach
much fainter magnitudes in
their ``faint'' bin.
Velocity dispersions and line-strength indices for the stacked spectra
were measured using the same techniques as for the individual spectra.
Errors in the indices were calculated with the formula of
Cardiel et al. (1998), using the S/N of the stacked spectra.
These errors do not reflect the differences between the spectra added
in each bin, which are higher than the formal errors obtained using
the S/N. However, we do not intend to study the
distribution of galaxy properties but rather their mean values. To
ascertain the sensitivity of our results to errors in velocity
dispersion, we performed 20 Monte Carlo simulations in which the
individual galaxy velocities were randomly perturbed following a
Gaussian error distribution. After each simulation, the spectra were
stacked again, their indices were measured, and their mean and
rms dispersions were calculated. Figure 8 compares the indices
obtained in the original stacked spectra with the mean indices
obtained from the 20 simulations. The separation between low- and
high-
galaxies is robust to the errors in velocity dispersion.
When the rms-dispersion for all the simulated galaxies was higher than
the error calculated for the individual indices, we added the
quadratic difference as a residual error to the original error in the
index. We also checked that the mean values of the individual
indices for all the stacked galaxies were compatible, within the errors,
with the indices measured in the stacked spectra.
The Lick/IDS indices measured in the stacked spectra as well as their errors are listed in Table 5.
![]() |
Figure 5: Velocity-dispersion distribution of the individual spectra stacked in the different redshift bins. From bottom to top: z=0, 0.45, 0.55, 0.75. |
| Open with DEXTER | |
![]() |
Figure 6: Final stacked spectra for our three redshift and velocity dispersion bins. The shaded areas identify the central bands of the four indices used in our spectral analysis. |
| Open with DEXTER | |
![]() |
Figure 7:
Relation between the absolute magnitude Mv and the velocity
dispersion for our sample of galaxies in the three considered redshift
bins. The right label shows the absolute magnitude Mv evolved
passively to z=0 using Bruzual & Charlot (2003) models at solar
metallicity. The vertical dashed line indicates the position corresponding
to our |
| Open with DEXTER | |
6 Stellar population models
In this study, we compare our measured values with the models by Vazdekis et al. (2008, in preparation, V08 hereafter
However, the chemical composition of stars in the MILES library (as
in the other empirical libraries included in the stellar population models)
matches that of the solar-neighborhood
. This
means that the models, in principle, can only predict accurate ages
and metallicities for stellar populations with the same chemical
patterns as the solar vicinity.
Table 5: Line-strength indices and velocity dispersion measured in the stacked spectra. The second row of each line lists the errors. Last column show the velocity dispersion measured in the different stacked spectra.
![]() |
Figure 8:
Comparison between the indices measured in the stacked
spectra and the mean index calculated in the 20 stacked spectra
obtained with Monte Carlo simulations as described in the text to
analyze the robustness of our separation of galaxies with |
| Open with DEXTER | |
![]() |
(1) |
where R0.3(Xi) is the response function for element i at [Xi/H]=+0.3 dex. As in Trager et al. (2000a), we also assume the fractional light contribution of each stellar component to be 53% from cool giant stars, 44% from turnoff stars and 4% from cool dwarf stars. We use the calibrations by Korn et al. (2005) instead of those by Tripicco & Bell (1995) (used by Trager et al.) because they include the higher-order Balmer lines H
Table 6:
First 4 rows: ages (measured in Gyr), metallicities [Z/H] and [E/Fe]
abundances for the stacked spectra, in different redshift bins,
of the red-sequence galaxies, measured using V08 models and the indices H
,
Fe4383 and
CN2. The spectra have been stacked separating galaxies with
lower than 175 km s-1 (right side) and larger than 175 km s-1 (left side). The parameters have been obtained iteratively as
described in the text. Last three rows: ages, metallicities
and [E/Fe] derived for the stacked spectra, at different redshifts, of
morphologically classified E and S0 galaxies.
Because we are not working at the Lick/IDS resolution, in principle, we should not be using the Korn et al. (2005) response functions to compute the sensitivity of different indices to variations in chemical abundance ratios, since these functions were computed at this resolution. However, Korn et al. (2005) showed that the influence of the resolution on the response functions is very small.
The models used here (as well as most existing models in the
literature) do not include isochrones with chemical abundance
ratios that differ from solar. The effect of the different chemical
abundance ratios is included only in the atmospheres. The influence
that the inclusion of
-enhanced isochrones may have in the
final predictions is still unclear, especially at super-solar
metallicities, but some studies have shown
that it is
much smaller than the one in the model atmospheres (Coelho et al. 2007),
at least for line-strength indices at wavelengths shorter than
5750.
We caution the reader that the absolute values of ages
obtained directly with stellar population models are affected, not only
by errors in the data (which are taken into account) but also
errors in the stellar population models. Stellar evolutionary models
are still affected by uncertainties that leave room for improvement
(see, e.g. Cassisi 2005), as illustrated by the non-negligible
differences still existing among the results provided by different
theoretical groups. Furthermore, it must be noted that the oldest
ages of the models that we are using (17.78 Gyr) are older than the current
age of the Universe. The derivation of very old spectroscopic ages,
inconsistent with the ages derived from colour-magnitude diagrams for
globular clusters and the age of the Universe, was first pointed
out by Gibson et al. (1999) and is a well-known problem in the community.
Some solutions have been proposed, such as the inclusion of atomic
diffusion in the stellar evolutionary models or the use of
-enhanced isochrones (see Vazdekis et al. 2001), although none of
these have been implemented in publicly available stellar population
models. Schiavon et al. (2002) showed, for the particular case of 47Tuc, that
the luminosity function of the red giant branch is underestimated in
the stellar evolutionary models and that the use of the observed
luminosity functions instead of theoretical ones results in derived
ages for this cluster consistent with the age of the Universe and with
those derived directly from the colour-magnitude diagram. A similar
effect in super-solar metallicity models would cause spectroscopic
ages to be 30% too high (see Schiavon et al. 2002, for details). It
is beyond the scope of this paper to discuss these uncertainties in
stellar population models, but it is clear that conclusions based on
the absolute values of age are simply too preliminary. Relative
differences in age and metallicity are more reliable than absolute
values, and we therefore base our interpretations on relative
values.
Both Lick/IDS indices and colours
are sensitive to variations in both age and chemical abundances, but the
relative sensitivity of the different indices to these two parameters
is not identical. To break the existing degeneracy between age
and metallicity, it is necessary to combine two or more indices. In
what follows, for the main analysis, we use 4 indices: Fe4383, CN2,
H
,
and H
,
which are choosen because, of all the
Lick/IDS indices that could be measured in all galaxies, they
are the most sensitive to variations in age (H
and H
)
and total metallicity (CN2, Fe4383). TMB03 recommended the use of
CN and Fe4383 to calculate
/Fe
abundance ratios in the case that only blue indices were available.
Furthermore, we choose H
instead of H
because the
ages measured with H
are systematically younger than those
measured with H
or H
when
-enhanced models
are used (Thomas et al. 2004). Since the origin of these differences is
unclear, we follow the advice by Thomas et al. (2004) and use H
,
despite the higher photon noise in this index compared to its wider
version (H
).
7 Age and metallicity
We derive mean values of age, metallicity, and the ratio of
-element
enhancement [E/Fe] for our stacked spectra by comparing our
four selected indices (H
,
H
,
CN2, and Fe4383) with
the single stellar population models
by V08 using a
minimization routine.
We find that the
derived ages are independent of the chosen Balmer index (H
or H
). The resulting ages, metallicities, and [E/Fe]
are listed in Table 6. Index-index
diagrams comparing the indices measured in the stacked spectra with
the predictions for single stellar population models
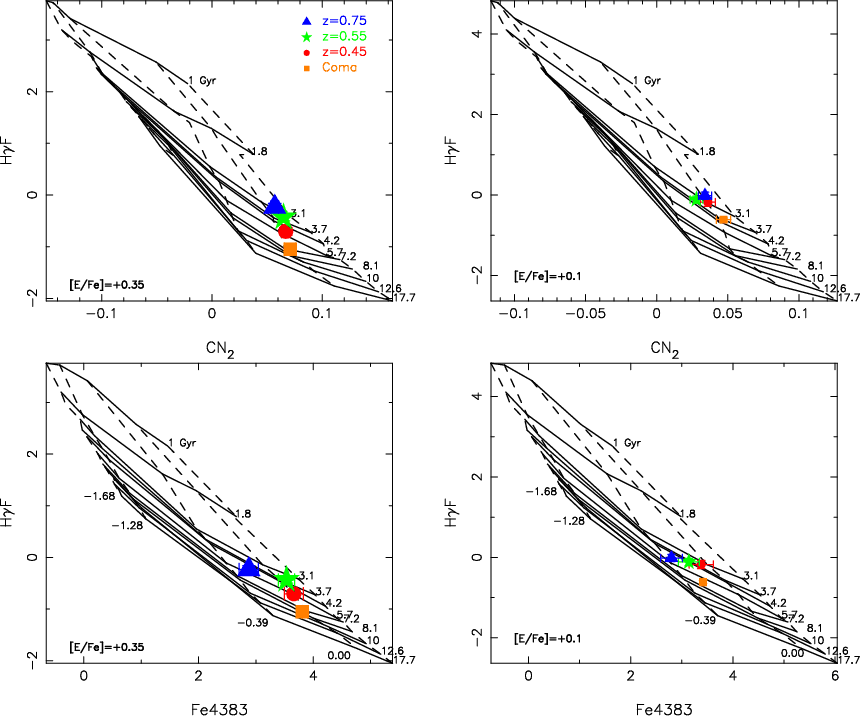
by V08 are shown Fig. 9. In each panel, [E/Fe] is chosen to be as close as
possible to the values given in Table 6.
![]() |
Figure 9:
Index-index diagrams for the indices measured in the stacked
spectra at different redshifts. Left panels (big symbols) show
measurements on the stacked spectra of galaxies with |
| Open with DEXTER | |
Although the selection of our sample was completed using colours, many previous studies of the red-sequence were restricted to morphologically classified early-type galaxies. To compare with those, the analysis in this section was repeated for the subset of red-sequence galaxies that are morphologically classified as E or S0 galaxies. For the clusters imaged with the ACS (see Table 1), we used their visual classification (Desai et al. 2007). For the others, we applied the selection criterion of Simard et al. (2008), based on the bulge fraction derived from our VLT I-images (see Sect. 9 for the criteria to select early-type galaxies).
The last three rows of Table 6 show the SSP-parameters derived for the red early-type galaxies. The first thing that can be seen is that the SSP-parameters for the entire red-sequence and for the morphologically classified early-type galaxies are compatible within the errors. Therefore, we do not discuss further the possible differences and restrict our analysis to the complete red-sequence sample.
7.1 Massive galaxies
In Table 6 and Fig. 9,
it can be seen that the age difference between the redshift bins
of the most massive
galaxies (
km s-1) corresponds to the expected age
difference of the Universe at those redshifts. The absolute age
obtained from the models for these galaxies corresponds to a redshift
of 1.4. In other words, they are compatible with being formed at
z>1.4 and evolving passively since then. The metallicity measured
from CN2 does not evolve either, as expected in a passive evolution
scheme.
When we look at the panels using Fe4383 instead of CN2, we can see
that the most massive galaxies at z=0.75 have Fe4383
than predicted by passive evolution. Jørgensen et al. (2005) similarly found a
weaker Fe4383 index for more than half of the galaxies in a sample of
red-sequence galaxies (including those with
higher than
175 km s-1)
in the cluster RX J101522.7-1357 at redshift z=0.83. This result,
if confirmed, could indicate that at least some massive galaxies
have experienced some chemical enrichment since z=0.75. It will be
necessary to measure other Fe-sensitive indices to confirm this
trend. Unfortunately, the wavelength range covered by our spectra does
not allow us to do this and, therefore, we do not discuss this further.
7.2 Less-massive galaxies
In contrast to their massive counterparts, galaxies with
km s-1 do not show any evolution, within the errors, in either age
or metallicity between z=0.75 and z=0.45. They also evolve
less than expected from a pure passive scenario between z=0.45 and
z=0.0. A similar result was reported by Schiavon et al. (2006) with a field galaxy sample. Comparing galaxies from the DEEP2 survey around z=0.8 with an
SDSS local galaxy sample, these authors showed that the H
variation
was less than predicted by passively evolving models. However, they did
not group galaxies by mass. Along the lines discussed by the authors,
our results suggest that either individual low-mass galaxies
experience continuous low levels of star formation, or that the
red-sequence is progressively built-up with new and younger small
galaxies. This latter hypothesis is supported by a number of recent
works (e.g., Faber et al. 2007; Bell et al. 2004; De Lucia et al. 2007; Poggianti et al. 2006; Harker et al. 2006). This
differential evolution for massive and less massive galaxies implies
that the mean difference in luminosity-weighted mean age between
massive and intermediate-mass red-sequence galaxies increases with
time. This should be taken into account when studying the evolution
of the colour-magnitude relation with redshift.
Low-
galaxies exhibit a lower value of [E/Fe] than high-
galaxies, in agreement with the results at low redshift. Most of the
``enhanced'' (E) elements that we consider here arise from massive
stars and the bulk of their mass is released in type II supernova
explosions, while at least 2/3 of the Fe is released to the
interstellar medium by type Ia supernovae, after a delay of
1 Gyr. Therefore, the ratio [E/Fe] has been classically used as a cosmic
clock to measure the duration of the star formation. The lower [E/Fe]
in low-
galaxies can be interpreted as a more extended star-formation
history, just as found locally.
Table 6 also shows that, within the errors, [Z/H] and
[E/Fe] do not vary with redshift for low-
galaxies.
Whether galaxies have experienced low-level star formation or new
galaxies have entered the red-sequence from the blue cloud, it is
still unclear how galaxies that have been forming stars until recently,
have the same chemical composition as those where star formation was
quenched 2 Gyr previously (the correspnding time lapsed between
and
). Answering this question is not trivial, since there are
multiple paths by which a galaxy may enter and leave the red-sequence.
Furthermore, one must be careful when interpreting single-stellar
population equivalent parameters. While galaxy mean ages are biased
towards their last episode of star formation, the chemical composition
depends more strongly on the oldest population (see Serra & Trager
2007, for a quantitative study).
Therefore, galaxies with different
star-formation histories can have similar [E/Fe] and [Z/H] if they
have formed the bulk of their stars on similar time scales and with a
similar efficiency.
8 Evolution of the index-
relations with redshift
The outcome of the previous section seems to contradict earlier
studies, in which the evolution of the index-
relation was
found to be compatible with a high-redshift formation and subsequent passive
evolution for all red-sequence galaxies, irrespective of their mass
range (Kelson et al. 2001). We now demonstrate that our
index-
relation is also consistent with this scenario, but
that this analysis cannot provide robust constraints on the
star-formation histories of red galaxies. In fact, the evolution of
the index-
relation is also compatible with a more extended
star-formation history for the intermediate-mass galaxies if the
progenitor-bias (i.e., the fact that the galaxies with more extended
star-formation history (or quenched at later times) drop out of the red-sequence at high-redshift
(van Dokkum et al. 2000) is taken into account.
Figure 10 displays the relation between H
,
H
,
CN2, and Fe4383 and the galaxy velocity dispersion,
for the Coma cluster and our EDisCS sample.
![]() |
Figure 10:
Relation between line-strength indices and the velocity
dispersion for the galaxies in the three different bins. Solid
coloured lines represent the result of a linear fit to the data
forcing the slope to be the same as the one obtained for the galaxies
in the redshift bin at z=0.45. The black lines represent the
expected relation assuming that galaxies formed at
|
| Open with DEXTER | |
Following Kelson et al. (2001) and Jørgensen et al. (2005), among others, we first
calculated the best-fit linear relation for the data using the galaxy sample at
z=0.45. Then, keeping the slope of the relation fixed, we evolved
its zeropoint with lookback time.
This approach assumes that, if galaxies were coeval and evolving passively, the
slope of the relation would not change. In reality, if all the
galaxies in the red-sequence were coeval and evolving passively, we
would expect a small variation in the slope of the index-
relation, since the variation in the indices is not completely linear
with age. However, this variation would be very small over the
range of ages considered.
To calculate the lines of passive
evolution, we used the V08 models, assigning solar metallicity to the
galaxies with
km s-1, to match the observed
value of the metal-sensitive index Fe4383 at z=0.45. We show the
best-fit linear relations in
Fig. 10, obtained by minimizing the residuals in the
y-direction. We also show the expected evolution of the
index-
relation assuming three different formation redshifts:
,
2, and 3. The value
is chosen because
it corresponds to the mean age measured in the stacked spectra of the
massive galaxies in the 0.75 galaxy group (see
Sect. 5.2). We plot only models with solar-scaled
chemical abundances.
Figure 10 shows that a scenario where all stars form
at
and evolve passively afterwards is compatible with the
observations (the exception is CN2, which we discuss below). To analyze
this more quantitatively, we performed a t-test,
comparing the linear fit values at
km s-1 (which is
approximately the mean of the distribution of
)
with the ones
predicted by passive evolution. The results are shown in
Table 7. t-values higher than 1.9 indicate that
the probability that we can reject the null-hypothesis (prediction
and measurement are equal) by chance is less than
5%, i.e., a
t-value higher than 1.9 implies that the passive scenario does not
reproduce our relations to within the errors. We do not obtain such
t-values, implying indeed that a passive evolution model can
reproduce the evolution in the zero-point of the index-
relations from z=0 to, at least,
.
Although we achieve
a slightly closer agreement between model and data if we assume a
formation redshift above 2, we do not find any statistically
significant difference for a formation redshift of 1.4. Noticeably,
formation redshifts lower that 1.4 produce an evolution in the
index-
relation that is significant far more than the one observed.
The relation of the other indices with
is presented in
Appendix C. The analysis of these indices gives
consistent results without adding any new information to our study,
but we show it for comparison purposes with eventual following
studies. We did not include CN2 in the t-test procedure since the
stellar population models with solar-scaled chemical abundances cannot
reproduce the absolute values of this index. This is a well-known
effect in nearby early-type galaxies (Worthey 1998; Sánchez-Blázquez et al. 2003; Kelson et al. 2006; Schiavon et al. 2006; Graves et al. 2007) and is attributed to differences between the chemical
composition of these galaxies and the solar abundance values. (Note that
in Sect. 5.2 we used models where the ratios between
C, N and Fe (C/Fe and N/Fe) were
enhanced with respect to the solar values in order to reproduce the
CN index).
Summarizing, we show here that, in agreement with previous works, the
evolution of the index-
relation is compatible with a scenario
where the red galaxies formed their stars at z>1.4 and have evolved
passively since. However, this conclusion has been reached assuming
that all red galaxies formed at the same time independently of their
mass. The results of Sect. 5.2 argue against this.
Furthermore, numerous works (De Lucia et al. 2007; Kodama et al. 2004; De Lucia et al. 2004) indicate that the
red sequence was not yet fully in place at
and that it has
been growing since then. If this effect is taken into account, a more
complex star-formation history is allowed while keeping the slope and
the tightness of the index-
relations. This was proposed by van Dokkum & Franx (2001)
to explain both the evolution in the magnitude
and the constancy and scatter of the colours on the red sequence.
Harker et al. (2006) showed that quenched models, where a constant star
formation is truncated at evenly spaced time intervals can explain the
evolution in the mean H
of all the field red galaxies
between z=1 to z=0. However, they did not explore the dependence
of this evolution on galaxy mass. To study this aspect, we
used the Bruzual & Charlot (2003) population synthesis models with a Salpeter
IMF and solar metallicity. We modelled a series of star-formation
histories starting at
where a constant rate of star
formation of 1
/yr is quenched at different lookback
times. Whenever a galaxy satisfies our criteria for belonging to the
red-sequence, we measure its indices.
Figure 11 shows the resulting line-strength indices assuming 3
different metallicities, Z=0.001, 0.004, and 0.02. We display, again,
the relation of the indices with
for each redshift bin
discussed in Sect. 8. While the index-
relations of the most massive galaxies are only reproduced well by a
scenario where star-formation is truncated after 1 Gyr (i.e., the rest
of the star-formation histories produce relations systematically
shifted compared to the observed one), less massive ones can be
described by a variety of star-formation histories, in agreement with
our results of Sect. 5.2. Furthermore, this variety of
star formation histories is supported by the larger scatter in
metallicity and age values at a given mass of low-
galaxies
compared to that of the most massive ones (e.g., Concannon et al. 2000). Some
studies claimed that star-formation histories of this nature
would have problems reproducing the colours of red-sequence galaxies.
As a sanity check (see Fig. 12), we verified that these
star-formation histories reproduce the colours of the red-sequence.
![]() |
Figure 11:
Evolution in the relation of line-strength indices with |
| Open with DEXTER | |
This, of course, does not prove that different galaxies have different
star-formation histories, but it does demonstrate that more
complicated scenarios than pure passive evolution are compatible with
the index-
relations.
9 Morphological content of red-sequence galaxies
Table 1 lists the EDisCS structures
observed with the HST/ACS in the F814W band, i.e., all six in the
0.75 redshift bin, six at z=0.55, and three at z=0.45.
In the following, we use the visual classifications of Desai et al. (2007), which
were performed to a magnitude limit of
![]()
= 23 mag.
Since we concentrate on the EDisCS spectroscopic sample, the true magnitude cuts for the
morphological classification are I(
)
22 mag at
z=0.45 and I(
)
23 mag at z=0.75. This translates
into rest-frame magnitudes of
and
-19.3 mag at
z=0.45 and z=0.75, respectively. Once we account for the dimming due
to passive evolution (0.5 mag from z=0.75 to 0.45, assuming an age of
3.1 Gyr at z=0.75), the intrinsic magnitude cut is the same at
all redshifts. We note that some secondary structures at low redshift
were discovered in high-redshift targeted fields. Consequently, they
were observed to lower magnitude limits than the primary targets
at similar redshifts. As such, they are exceptions to the above
general rule. However, they represent a small percentage of the
total number of galaxies.
Interestingly, only 15 E/S0 galaxies out of 168 (i.e., 9%) are not on the red-sequence. This is similar to the fraction of blue early-type galaxies found at low redshift (Bamford et al. 2008), which is highly dependent on local density but varies between 12% and 2%.
We concentrate on the N+W red-sequence galaxies, the same for which we
analyzed the stellar population. Figure 13
shows their Hubble-type distribution. We also indicate the
distribution of galaxies with
km s-1. There is no
apparent morphological segregation as a function of galaxy mass, i.e.,
whatever the galaxy mass range, the dominant morphological types on
the red-sequence are clearly E and S0, although the entire Hubble
sequence is covered.
![]() |
Figure 12:
Measured V-I versus |
| Open with DEXTER | |
Table 7:
Comparison between the indices predicted by the linear fit
to the data at
km s-1 and the ones predicted - at the
same velocity dispersion- in a passively evolving model with formation redshifts
of
,
,
and
.
Column 3 shows the predicted
value by the linear fit at
km s-1, Col. 4 the
standard deviation among the relation; Cols. 5, 7, and 9 show the value
predicted by the model with redshift formations of 1.4, 2, and 3 respectively.
Columns 6, 8, and 10 shows the t-parameter
of comparing these two values (fitted and predicted) using a Student's t-test. A t value higher than 1.96 would
indicate that the probability that the two values are different by chance
is less than 5% (for samples larger than 40 and 6% for smaller samples). As can be seen, none of the
values show significant
differences from the model.
![]() |
Figure 13: The distribution of Hubble types among the N+W emission line red-sequence galaxies in redshift bins: E(T=-5), S0(T=-2), Sa (T=1), Sab(T=2), Sd(T=7). The solid line histograms trace the morphological distribution for the entire sample. The dashed areas trace the histograms for the galaxies with velocity dispersions lower than 175 km s-1. |
| Open with DEXTER | |
To search for possible evolution with time, we now restrict the
sample to the EDisCS clusters (galaxy structures with
higher than
400 km s-1) and fix the area of analysis to the region falling inside
a radius of 0.6 R200 from the cluster centers, where R200 is
the radius within which the average cluster mass density is equal to
200 times the critical density. The R200 values were derived using
Eq. (8) in Finn et al. (2005) and are listed in
Table 1. These restrictions are governed by the need to
have the same spatial coverage in all structures,
given that a morphology-radius relation is observed in clusters
(e.g. Whitmore & Gilmore 1991; Postman et al. 2005).
The fraction of galaxies of each morphological type
was corrected for magnitude and spatial
incompleteness (Poggianti et al. 2006). Errors in these fractions are calculated using the formulae in
Gehrels (1986), since Poissonian and binomial statistics
apply to our small samples.
The fraction of early-type galaxies (E and S0) at
redshifts z=0.45, 0.55, and 0.75 are:
,
,
and
,
respectively. In other words, our calculations suggest that,
in the red-sequence, the fraction of early-type galaxies
decreases from z=0.75 to z=0.45.
To check the
robustness of this result, we also consider another type of
morphological classification. In particular,
the GIM2D decompositions presented in Simard et al. (2008, in
preparation), where early-type galaxies are identified by their bulge
fraction (
)
and the ACS image smoothness within two
half-light radii (
). This method leads to
33
+14-12%, 62
+8-9%, and 80
+5-6% of
early-type galaxies at z=0.45, 0.55 and 0.75, respectively, in
agreement with our previous findings. As mentioned earlier, only
3 clusters have ACS data in the 0.45 bin, and only 22 galaxies within
0.6 R200, since these clusters did not constitute our primary targets
for HST. This probably explains the large difference found at this
redshift between the two classification techniques. Nevertheless, the
decrease in early-type fractions in the red-sequence
is confirmed. We note that even when
strong emission-line galaxies are kept in the sample, the fractions of
early-type galaxies are very much the same, i.e., 62
+10-9%
and 72
+5-7% at z=0.55 and z=0.75, respectively.
The mean redshift of the MORPHS sample is 0.45 (Dressler et al. 1999), hence
allowing direct comparison with our lowest redshift group and
increasing the statistical significance (10 clusters). After
selection of the red galaxies (g-r>1.4) without emission lines,
i.e., a selection comparable to ours, the fraction of MORPHS E+S0s is
57
9% (Poggianti, private communication), i.e., very close to
the initial value from our visual classification. Additional
evidence of a decrease in early-type fraction with time on the
red-sequence comes from Holden et al. (2006), who measured a
total fraction of E/S0 galaxies in two clusters at z=0.83 (MS 1054.4-0321 and
Cl 0152.7-1357) of 74% and 82%, for their
selection in mass (
> 1010.9
),
that corresponds
more closely to our red-sequence criteria. We note that our selection extends to
lower masses or accordingly to fainter limits, i.e.,
(derived from stellar M/L with the calibration by
Bell & de Jong (2001) and the renormalization proposed by
de Jong & Bell (2007) for elliptical galaxies). However, in this fainter
regime, Holden et al. take into account all cluster galaxies, rather
than only those on the red-sequence, making impossible a direct
comparison. Anyhow, their Fig. 2 shows that their early-type
fraction cannot vary much along the red-sequence.
Figure 14 summarizes our results.
This detection of a decrease, on the red-sequence, in the early-type fraction
represents
remarkable agreement with the results of Desai et al. (2007), who detected
no evolution in the cluster total fraction of E/S0 galaxies
between redshift 0.4 and 1.4, and those of De Lucia et al. (2007), who measured a
decrease in the red-sequence faint-to-luminous galaxy ratio of
40% between redshift 0.45 and 0.75. If the
red-sequence keeps building up, as suggested by De Lucia et al. (2007), it must
find its supply in the cluster blue galaxies. These EDisCS blue
galaxies consists of only 20
7% early-types and 80%
spiral galaxies. This distribution in types is constant with
redshift. Hence, provided that galaxy colours redden before any
morphological transformation occurs, an increase in the number of
spirals on the red-sequence is naturally expected when new galaxies
reach it. By restricting our analysis to the EDisCS spectroscopic
sample, we do not reach as faint magnitudes as De Lucia et al. (2007). As a
consequence, our 20% variation in the fraction of E/S0 galaxies on
the red-sequence between redshifts 0.45 and 0.75 most certainly
constitutes a lower limit.
It is interesting to estimate the subsequent evolution of the
red-sequence population, i.e., from z=0.45 to z=0. Dressler et al. (1997)
and Fasano et al. (2000) found that, while the elliptical fraction does not
evolve in the redshift range 0.5 to 0.0, the fraction of lenticular
galaxies doubles. This increase in the number of S0s is accompanied by
a drop in the fraction of (Sp+Irr) type galaxies. Combining these
results together with those of Postman et al. (2005) and EDisCS,
Desai et al. (2007) concluded that
must constitute a special
epoch after which the total fraction of S0-type galaxies in
clusters begins to increase. Meanwhile, De Lucia et al. (2007) measured only
a
% variation in the red-sequence faint-to-luminous galaxy
ratio between redshift 0.45 and 0. As a consequence, at the time the
red sequence reduces its growth (
), one can expect a rise
in its E/S0 fraction as well.
![]() |
Figure 14: Variation of the fraction of early-type galaxies in the red-sequence with redshift. Black and red symbols show the fraction derived from the EDisCS data. Black triangles show the results for the morphological classification based on visual inspection. Red squares stand for the GIM2D bulge and disk decomposition method, where early-type galaxies are selected upon their bulge-to-total light fractions and image smoothness. The green circle represents MORPHS and the blue star indicates the results of Holden et al. (2006), for their two X-ray selected clusters. |
| Open with DEXTER | |
10 Discussion
We have shown that the rate at which red-sequence galaxies evolve depends on their mass range. In particular, less massive galaxies show evidence of a more extended star-formation history. Two possibilities are considered: i) the sequence is in place at redshift
In the context of the second hypothesis, Faber et al. (2007) and Poggianti et al. (2006) proposed a mixed scenario where red-sequence
galaxies form by two different channels. Poggianti et al. (2006)
discussed a scenario where the red-sequence consists of primordial
galaxies formed at
on the one hand and of galaxies
that quenched their star formation due to the dense environment of
clusters on the other hand. They calculated that, of the 80% of
passive galaxies at z=0, 20% are primordial and 60% have been
quenched. With regards to this later aspect, Harker et al. (2006) could
reproduce the evolution of U-B and the H
,
as well as the
galaxy number density, by assuming models of constant star-formation
histories truncated at evenly spaced intervals of 250 Myr up to now.
Along these lines, we calculated the number of new quenched galaxies that
must enter the red sequence to reproduce the results obtained in
Sect. 5.2. We started with a population of galaxies with a
formation redshift of zf=1.4 and solar metallicity, both derived
for the low-mass galaxy bin at z=0.75. We then consider galaxies
that started forming stars at z=2 at a constant rate of
1
/yr and quench their star formation at regular intervals of 250
Myr. Once a galaxy was red enough to pass our red-sequence selection
criteria at z=0.45 and 0.55, we added its normalized spectrum to
that of the initial population. If we assumed that all the new
galaxies had velocity dispersions lower than 175 km s-1, we needed
40% new arrivals in the interval z=0.75 to z=0.45
to reproduce the constant luminosity-weighted age of the low-
galaxy bins with redshift. This is in surprisingly exact
correspondence with the result of De Lucia et al. (2007), who measured a decrease
in the red-sequence faint-to-luminous galaxy ratio of
40%
between redshifts 0.45 and 0.75. We note that De Lucia et al. (2007) analyzed
photometric data and therefore their dataset reaches fainter
magnitudes than our spectroscopic sample. The exercise presented here
is of an extremely simple nature and is not intended to represent the
true star-formation histories of these galaxies. Apart from experiencing quenching,
disk galaxies can merge and have bursts of star formation before
becoming red. By merging with other galaxies, our objects can also
move from the low-
bin to the high-
bin, which is
something not considered here. However, simple models similar to this
one have proved to be very successful in reproducing the evolution of
the colours and H
index and the evolution of the luminosity
function (e.g., Harker et al. 2007).
Linking these constraints to our morphological results, it appears that the mechanism that quenches star formation does not necessarily produce a morphological transformation at the same time, but certainly, it favours it. This has already been proposed in previous studies (Dressler et al. 1999; Poggianti et al. 1999). Most likely, the mechanism that quenches star formation also produces the morphological transformation, but on a different timescale. Indeed, the fraction of spiral galaxies evolves by 20% and not by the 40% calculated in the spectroscopic analysis.
11 Summary
We have addressed the questions of the epoch of formation of the reddest galaxies in clusters, the extent of their period of star formation, and the link between morphological and stellar population evolution timescales.
Our analyses are based primarily on 215 red-sequence galaxies, selected from the EDisCS spectroscopic database, which we divided into three redshift bins, z=0.75, 0.55, and 0.45. We considered their mass range, via the proxy of their velocity dispersions; their stellar population properties derived from absorption-line features; and their morphologies, derived from HST/ACS imaging. We have been able to trace the evolution of the red-sequence from z=0.75 to z=0.45 with a homogeneous dataset, the largest to date, extracted from a single survey, hence avoiding a mix of different systematic errors.
- Before discarding red-sequence galaxies with strong emission
lines from our absorption-line analysis, we investigated the nature of
their ionizing sources. Most of the EDisCS red-sequence galaxies with
emission lines seem to be forming stars. The proportion of dusty star-forming
galaxies among our total sample is higher than the fraction
reported by Yan et al. (2006) at z=0 for an SDSS field red galaxy
population. Whether this difference is due to evolution or to
environment is worth clarifying in the future.
- We measured 12 Lick/IDS indices, carefully visually
inspecting the spectra to eliminate those possibly affected
by sky-subtraction residuals or any other systematic effect. To
compare with our local sample of Coma galaxies, we derived new
aperture corrections. We used state-of-the art stellar population
models to derive ages, metallicities, and chemical abundance ratios.
These models predicts the entire spectral energy
distribution, allowing us to analyze our data at a resolution of
325 km s-1, and avoiding any spurious correction for the galaxy velocity
dispersion.
- After selecting spectra of sufficient S/N ratios
and with secure spectroscopic redshifts, we stacked the galaxy spectra in
redshift bins. In each bin,
we also distinguished galaxies according to their velocity
dispersions, dividing at
km s-1. We derived the
age, metallicity (Z), and
-element abundance ([E/Fe]) of each
redshift and velocity dispersion group.
- Massive galaxies (
km s-1) show a variation
in age corresponding to the expected cosmological variation between
redshifts, a mean solar metallicity, and an overabundance [E/Fe] with
respect to the solar values. Therefore, they are well represented by
a scenario of formation at high-redshift, followed by passive
evolution. Conversely, the properties of less massive galaxies
(
km s-1) require longer star formation episodes.
Indeed, their ``mean'' luminosity-weighted ages are found to be constant with
time in our redshift range. An immediate consequence is that the age
difference between low- and high-
galaxies increases with
time. This needs to be taken into account in studies of the evolution
in the colour-magnitude diagrams.
- Values of [E/Fe] and [Z/H] are constant with time, independent
of
.
This implies that the bulk of the galaxy stellar
population forms on a timescale and with an efficiency fixed by the
galaxy mass. Possible subsequent episodes of star formation, which
change the age of the less-massive galaxies, cannot account for a
large fraction of the galaxy stellar mass.
- Massive galaxies (
- We confirm that the evolution in the zeropoints of the
index-
relationships with redshift is compatible with a
scenario in which galaxies formed all their stars at high-redshift and
have evolved passively since then. However, we demonstrate that the evolution is also
compatible with more complex star-formation histories. In particular,
galaxies can progressively enter the red-sequence as their star
formation is quenched. In this scenario, galaxies of lower
enter the red-sequence at lower redshift than more massive galaxies.
The two most important results of this work are:
- The morphological analysis, based on both visual and automated
classifications, indicates that red sequences are composed of types
covering the entire Hubble sequence, irrespective of redshift,
with, however, a very clear presence of Es and S0s. The fraction of
red-sequence early type galaxies decreases between z=0.75 and
z=0.45 by about 20%. This means that spiral galaxies become
redder (after stopping their star formation) before become of earlier
morphological types. This evolution is however lower than the rate at
which new galaxies enter the red-sequence, meaning that quenching and
morphological transformation operate on different timescales.
- We found that the evolution of the line-strength indices with
redshift can be reproduced if 40% of the galaxies with
lower than
175 km s-1entered the red-sequence between z=0.75 and z=0.45, in agreement
with the fraction derived in studies of the luminosity function.
Acknowledgements
We thank the anonymous referee for useful suggestions that have improved the final presentation of the paper. PSB is supported by a Marie Curie Intra-European Fellowship within the 6th European Community Framework Programme. The Dark Cosmology Centre is funded by the Danish National Research Foundation.
Appendix A: Transformation to the Lick system
Table A.1: Mean index offsets between he stars in common between MILES and the Lick/IDS. Some times the differences can be better described with a linear relation than a simple offset. Last column display the best linear relation describing the relation of the indices measured in MILES and Lick/IDS spectra.
Although the new generation of stellar population models is starting to make predictions, not only of individual features, but of the whole spectral energy distribution (e.g. Bruzual & Charlot 2003; Vazdekis et al. 2003; Vazdekis 1999), some of the most popular models (e.g. Thomas et al. 2003; Worthey 1994) still base their predictions on the original fitting functions released by the Lick group (Worthey et al. 1994; Gorgas et al. 1993). To be able to compare measurements with these models and with the bulk of the data in the literature, which is usually transformed onto this system, one has to follow two steps. The first step is to degrade the resolution of the spectra into the wavelength-variable resolution of the Lick system (see Worthey & Ottaviani 1997) and then apply a correction due to the velocity dispersion of the galaxies. The second step is to correct small systematic differences in the indices due to differences in the shape of the spectra of the Lick/IDS stars and a fully-flux calibrated spectrum. To do that, one usually observes stars in common with the Lick library with the same instrumental configuration as the objects one wants to analyze and compare the indices after degrading their spectra to the Lick resolution. This cannot be done, however, for the growing number of analyses of Lick indices in galaxies at high redshift. For these cases when stars in common with Lick are not present, it is still possible to correct for the instrumental response of the Lick/IDS stars by applying an offset derived by comparing flux calibrated spectra with Lick/IDS spectra previously degraded to the Lick/IDS resolution. This experiment was attempted before by Worthey & Ottaviani (1997) and Bruzual & Charlot (2003) using the Jones (1999) and STELIB (Le Borgne et al. 2003) libraries respectively. Here we present new offsets using the MILES library (Sánchez-Blázquez et al. 2006c). The advantage of this calibration is that the MILES library contains a large number of stars (242) in common with the Lick/IDs library. Furthermore, the flux calibration has an accuracy higher than 1%.To obtain the offsets, we broadened the MILES spectra to the wavelength-dependent resolution of the Lick/IDS spectra using Fig. 7 in Worthey & Ottaviani (1997) and measured the Lick/IDS indices with the definition given in Trager et al. (1998). In some cases, differences between the indices measured in both datasets can be described with a linear fit, better than with a single offset. Therefore, we also derived a linear transformation between both libraries obtained with a simple linear-regression, eliminating galaxies deviating more than 3 times the rms from the relation.
In principle, the offsets between the indices measured in the Lick and other libraries are due to differences in the continuum shape. However, as noted before by Worthey & Ottaviani (1997), some of the indices with larger differences have very narrow definition bands and show a very small dependence on the flux shape. Therefore, the reason for the differences is unclear.
The mean offsets and linear relations obtained in the comparison between the MILES and Lick/IDS libraries are listed in Table A.1.
![]() |
Figure A.1: Comparison between the Lick/IDS indices measured in the stars in common between the MILES and Lick/IDS libraries. The solid line represents the 1:1 relation. The dashed line shows the calculated offset, while the red dashed line indicates the best linear fit to the data. |
| Open with DEXTER | |
Appendix B: Mean gradients and aperture correction
Galaxies have radial gradients in the line-strength indices and, therefore, when comparing galaxies at different redshifts, the indices need to be aperture-corrected. Jørgensen (1997) and Jørgensen et al. (2005) presented a series of corrections based on the radial gradients from Vazdekis et al. (1997), Cardiel et al. (1998), and Davidge & Clark (1994). These works, however, did not include many of the Lick indices, particularly the higher-order Balmer lines.
We derived new aperture corrections for all the Lick/IDS indices
and the higher-order-Balmer line indices (Worthey & Ottaviani 1997), taking advantage
of the large sample of nearby galaxies presented in Sánchez-Blázquez et al. (2006a) and
Sánchez-Blázquez et al. (2007).
To calculate the
parameter, we assumed that the light
in our galaxies follows a de Vaucouleur profile. Using the
gradients for each individual galaxy, we obtained
the final index inside an aperture as the luminosity-weighted
index. We then calculated how the final indices depends on
aperture size.
The variation in the luminosity-weighted
indices with different aperture sizes can be described as power law.
Therefore,
aperture corrections (those measured in Å) were written as
(see Jørgensen 1997; Jørgensen et al. 1995):
![]() |
(B.1) |
and for molecular indices and higher-order Balmer lines
![]() |
(B.2) |
where
Table B.1:
coefficient and corresponding error
obtained using the samples of SB06 and Sánchez-Blázquez et al. (2007).
The
coefficients
are listed in Table B.1 and can be used by any other
study. In our case, we were more interested in selecting a fraction
of the total light of the galaxy instead of a fixed aperture and
therefore y was not fixed but was chosen to be the FWHM of the spatial
profile. However, we fixed the y for all the spectra to be the
physical aperture equivalent to 1 arcsec (the width of the slit) at
z=0.75. The correction for the galaxies at z > 0.4 was very small and
we did not apply any. The aperture correction was applied only to the
galaxies in the Coma cluster.
Elliptical galaxies exhibit a great variety of gradients that do not seem
to be correlated with any other properties of the galaxies, such mass
or colour. For this reason, we used the mean gradient to compute the
aperture corrections. We calculated the error due to the dispersion
in the mean of all the measured gradients. To do this, we performed
a series of Monte Carlo simulations where, to each gradient value,
we added a random number drawn from a
Gaussian distribution of
equal to the typical
rms dispersion in the gradients. For each of these new gradient values, the
coefficient
and the final correction for the galaxies in the
Coma cluster were recomputed. The errors in the aperture correction
calculated this way are indicated in Table 4.
Appendix C: Relation of the Lick/IDS indices with velocity dispersion
Figure 10 shows the relation between all the measured line-strength indices and the velocity dispersion for the 4 considered redshift bins.
Table C.1:
Comparison between the indices predicted by the linear fit to
the data at
km s-1 and the ones predicted - at the
same velocity dispersion - in a passively evolving model with
formation redshifts of
,
and
.
Column 3 shows the value predicted by the linear fit at
km s-1; Col. 4 shows the standard deviation of the
relation; Col. 5 shows the value predicted by the SSP model; and the
last column shows the t parameter of the comparison of these two
values. A t value higher than 1.9 would indicate that the there is
a 5% probability that the two values are different by chance. As can
be seen, none of the values show significant differences from the
model.
![]() |
Figure C.1: Relation of the indices with the velocity dispersion for the galaxies of the sample grouped in three different redshift bins. The meaning of the lines is the same as in Fig. 10. From top to bottom: z=0.75, z=0.55, z=0.45, and Coma galaxies are represented. |
| Open with DEXTER | |
References
- Andreon, S. 2008, MNRAS, 386, 1045 [NASA ADS] [CrossRef] (In the text)
- Baldry, I. K., Glazebrook, K., Brinkmann, J., et al. 2004, ApJ, 600, 681 [NASA ADS] [CrossRef]
- Bamford, S. P., Nichol, R. C., Baldry, I. K., et al. 2008, ArXiv e-prints, 805 (In the text)
- Barr, J., Davies, R., Jørgensen, I., Bergmann, M., & Crampton, D. 2005, AJ, 130, 445 [NASA ADS] [CrossRef]
- Bell, E. F., & de Jong, R. S. 2001, ApJ, 550, 212 [NASA ADS] [CrossRef] (In the text)
- Bell, E. F., Wolf, C., Meisenheimer, K., et al. 2004, ApJ, 608, 752 [NASA ADS] [CrossRef]
- Bender, R., Saglia, R. P., Ziegler, B., et al. 1998, ApJ, 493, 529 [NASA ADS] [CrossRef]
- Bernardi, M., Sheth, R. K., Nichol, R. C., Schneider, D. P., & Brinkmann, J. 2005, AJ, 129, 61 [NASA ADS] [CrossRef]
- Blakeslee, J. P., Franx, M., Postman, M., et al. 2003, ApJ, 596, L143 [NASA ADS] [CrossRef]
- Blanton, M. R., Eisenstein, D., Hogg, D. W., Schlegel, D. J., & Brinkmann, J. 2005, ApJ, 629, 143 [NASA ADS] [CrossRef]
- Bower, R. G., Lucey, J. R., & Ellis, R. S. 1992, MNRAS, 254, 601 [NASA ADS]
- Bruzual, G., & Charlot, S. 2003, MNRAS, 344, 1000 [NASA ADS] [CrossRef] (In the text)
- Caldwell, N., Rose, J. A., & Concannon, K. D. 2003, AJ, 125, 2891 [NASA ADS] [CrossRef]
- Cappellari, M., & Emsellem, E. 2004, PASP, 116, 138 [NASA ADS] [CrossRef] (In the text)
- Cardiel, N., Gorgas, J., Cenarro, J., & Gonzalez, J. J. 1998, A&AS, 127, 597 [NASA ADS] [CrossRef] [EDP Sciences] (In the text)
- Carollo, C. M., Danziger, I. J., & Buson, L. 1993, MNRAS, 265, 553 [NASA ADS]
- Cassisi, S. 2005, ArXiv Astrophysics e-prints (In the text)
- Chiosi, C., & Carraro, G. 2002, MNRAS, 335, 335 [NASA ADS] [CrossRef] (In the text)
- Coelho, P., Bruzual, G., Charlot, S., et al. 2007, MNRAS, 382, 498 [NASA ADS] [CrossRef] (In the text)
- Concannon, K. D., Rose, J. A., & Caldwell, N. 2000, ApJ, 536, L19 [NASA ADS] [CrossRef] (In the text)
- Conselice, C. J. 2006, MNRAS, 373, 1389 [NASA ADS] [CrossRef]
- Cross, N. J. G., Bouwens, R. J., Benítez, N., et al. 2004, AJ, 128, 1990 [NASA ADS] [CrossRef]
- Davidge, T. J., & Clark, C. C. 1994, AJ, 107, 946 [NASA ADS] [CrossRef] (In the text)
- Davies, R. L., Sadler, E. M., & Peletier, R. F. 1993, MNRAS, 262, 650 [NASA ADS]
- de Jong, R. S., & Bell, E. F. 2007, Comparing Dynamical and Stellar Population Mass-To-Light Ratio Estimates (Island Universes - Structure and Evolution of Disk Galaxies), 107 (In the text)
- De Lucia, G., & Blaizot, J. 2007, MNRAS, 375, 2 [NASA ADS] [CrossRef]
- De Lucia, G., Poggianti, B. M., Aragón-Salamanca, A., et al. 2004, ApJ, 610, L77 [NASA ADS] [CrossRef]
- De Lucia, G., Poggianti, B. M., Aragón-Salamanca, A., et al. 2007, MNRAS, 374, 809 [NASA ADS] [CrossRef]
- Desai, V., Dalcanton, J. J., Aragón-Salamanca, A., et al. 2007, ApJ, 660, 1151 [NASA ADS] [CrossRef] (In the text)
- Dressler, A., Oemler, A. J., Couch, W. J., et al. 1997, ApJ, 490, 577 [NASA ADS] [CrossRef] (In the text)
- Dressler, A., Smail, I., Poggianti, B. M., et al. 1999, ApJS, 122, 51 [NASA ADS] [CrossRef] (In the text)
- Ellis, R. S., Smail, I., Dressler, A., et al. 1997, ApJ, 483, 582 [NASA ADS] [CrossRef]
- Faber, S. M., Willmer, C. N. A., Wolf, C., et al. 2007, ApJ, 665, 265 [NASA ADS] [CrossRef]
- Fasano, G., Poggianti, B. M., Couch, W. J., et al. 2000, ApJ, 542, 673 [NASA ADS] [CrossRef] (In the text)
- Finn, R. A., Zaritsky, D., McCarthy, Jr., D. W., et al. 2005, ApJ, 630, 206 [NASA ADS] [CrossRef] (In the text)
- Franzetti, P., Scodeggio, M., Garilli, B., et al. 2007, A&A, 465, 711 [NASA ADS] [CrossRef] [EDP Sciences]
- Gavazzi, G., Boselli, A., Pedotti, P., Gallazzi, A., & Carrasco, L. 2002, A&A, 396, 449 [NASA ADS] [CrossRef] [EDP Sciences]
- Gebhardt, K., Faber, S. M., Koo, D. C., et al. 2003, ApJ, 597, 239 [NASA ADS] [CrossRef] (In the text)
- Gehrels, N. 1986, ApJ, 303, 336 [NASA ADS] [CrossRef] (In the text)
- Gibson, B. K., Madgwick, D. S., Jones, L. A., Da Costa, G. S., & Norris, J. E. 1999, AJ, 118, 1268 [NASA ADS] [CrossRef] (In the text)
- Gonzalez, A. H., Zaritsky, D., Dalcanton, J. J., & Nelson, A. 2001, ApJS, 137, 117 [NASA ADS] [CrossRef] (In the text)
- González, J. J. 1993, Ph.D. Thesis
- Gorgas, J., Efstathiou, G., & Aragon Salamanca, A. 1990, MNRAS, 245, 217 [NASA ADS]
- Gorgas, J., Faber, S. M., Burstein, D., et al. 1993, ApJS, 86, 153 [NASA ADS] [CrossRef]
- Graves, G. J., Faber, S. M., Schiavon, R. P., & Yan, R. 2007, ApJ, 671, 243 [NASA ADS] [CrossRef]
- Halliday, C. 1998, Ph.D. Thesis, Univ. Durham
- Halliday, C., Milvang-Jensen, B., Poirier, S., et al. 2004, A&A, 427, 397 [NASA ADS] [CrossRef] [EDP Sciences] (In the text)
- Harker, J. J., Schiavon, R. P., Weiner, B. J., & Faber, S. M. 2006, ApJ, 647, L103 [NASA ADS] [CrossRef]
- Hermit, S., Santiago, B. X., Lahav, O., et al. 1996, MNRAS, 283, 709 [NASA ADS]
- Holden, B. P., Franx, M., Illingworth, G. D., et al. 2006, ApJ, 642, L123 [NASA ADS] [CrossRef] (In the text)
- Houdashelt, M. L., Trager, S. C., Worthey, G., & Bell, R. A. 2002, in BAAS, 34, 1118
- Jablonka, P., Gorgas, J., & Goudfrooij, P. 2007, A&A, 474, 763 [NASA ADS] [CrossRef] [EDP Sciences] (In the text)
- Johnson, O., Best, P., Zaritsky, D., et al. 2006, MNRAS, 371, 1777 [NASA ADS] [CrossRef] (In the text)
- Jørgensen, I. 1997, MNRAS, 288, 161 [NASA ADS] (In the text)
- Jørgensen, I. 1999, MNRAS, 306, 607 [NASA ADS] [CrossRef]
- Jørgensen, I., Franx, M., & Kjaergaard, P. 1995, MNRAS, 276, 1341 [NASA ADS] (In the text)
- Jørgensen, I., Bergmann, M., Davies, R., et al. 2005, AJ, 129, 1249 [NASA ADS] [CrossRef]
- Kauffmann, G., White, S. D. M., Heckman, T. M., et al. 2004, MNRAS, 353, 713 [NASA ADS] [CrossRef]
- Kaviraj, S. 2008, ArXiv e-prints, 801 (In the text)
- Kelson, D. D., Illingworth, G. D., van Dokkum, P. G., & Franx, M. 2000, ApJ, 531, 184 [NASA ADS] [CrossRef]
- Kelson, D. D., Illingworth, G. D., Franx, M., & van Dokkum, P. G. 2001, ApJ, 552, L17 [NASA ADS] [CrossRef]
- Kelson, D. D., Illingworth, G. D., Franx, M., & van Dokkum, P. G. 2006, ApJ, 653, 159 [NASA ADS] [CrossRef]
- Kewley, L. J., Geller, M. J., & Jansen, R. A. 2004, AJ, 127, 2002 [NASA ADS] [CrossRef] (In the text)
- Kodama, T., & Arimoto, N. 1998, MNRAS, 300, 193 [NASA ADS] [CrossRef]
- Kodama, T., Yamada, T., Akiyama, M., et al. 2004, MNRAS, 350, 1005 [NASA ADS] [CrossRef]
- Korn, A. J., Maraston, C., & Thomas, D. 2005, A&A, 438, 685 [NASA ADS] [CrossRef] [EDP Sciences] (In the text)
- Kuntschner, H. 2000, MNRAS, 315, 184 [NASA ADS] [CrossRef]
- Kuntschner, H., & Davies, R. L. 1998, MNRAS, 295, L29 [NASA ADS] [CrossRef]
- Kuntschner, H., Emsellem, E., Bacon, R., et al. 2006, MNRAS, 369, 497 [NASA ADS] [CrossRef]
- Le Borgne, J.-F., Bruzual, G., Pelló, R., et al. 2003, A&A, 402, 433 [NASA ADS] [CrossRef] [EDP Sciences] (In the text)
- Loveday, J., Maddox, S. J., Efstathiou, G., & Peterson, B. A. 1995, ApJ, 442, 457 [NASA ADS] [CrossRef]
- Martínez, H. J., & Muriel, H. 2006, MNRAS, 370, 1003 [NASA ADS]
- Milvang-Jensen, B., Noll, S., Halliday, C., et al. 2008, A&A, 482, 419 [NASA ADS] [CrossRef] [EDP Sciences] (In the text)
- Mobasher, B., Bridges, T. J., Carter, D., et al. 2001, ApJS, 137, 279 [NASA ADS] [CrossRef] (In the text)
- Moustakas, J., & Kennicutt, Jr., R. C. 2006, ApJS, 164, 81 [NASA ADS] [CrossRef] (In the text)
- Nelan, J. E., Smith, R. J., Hudson, M. J., et al. 2005, ApJ, 632, 137 [NASA ADS] [CrossRef]
- Poggianti, B. M., Smail, I., Dressler, A., et al. 1999, ApJ, 518, 576 [NASA ADS] [CrossRef]
- Poggianti, B. M., von der Linden, A., De Lucia, G., et al. 2006, ApJ, 642, 188 [NASA ADS] [CrossRef] (In the text)
- Postman, M., Franx, M., Cross, N. J. G., et al. 2005, ApJ, 623, 721 [NASA ADS] [CrossRef] (In the text)
- Prochaska, L. C., Rose, J. A., & Schiavon, R. P. 2005, AJ, 130, 2666 [NASA ADS] [CrossRef]
- Rabin, D. 1982, ApJ, 261, 85 [NASA ADS] [CrossRef]
- Sánchez-Blázquez, P., Gorgas, J., Cardiel, N., Cenarro, J., & González, J. J. 2003, ApJ, 590, L91 [NASA ADS] [CrossRef]
- Sánchez-Blázquez, P., Gorgas, J., & Cardiel, N. 2006a, A&A, 457, 823 [NASA ADS] [CrossRef] [EDP Sciences] (In the text)
- Sánchez-Blázquez, P., Gorgas, J., Cardiel, N., & González, J. J. 2006b, A&A, 457, 787 [NASA ADS] [CrossRef] [EDP Sciences]
- Sánchez-Blázquez, P., Peletier, R. F., Jiménez-Vicente, J., et al. 2006c, MNRAS, 371, 703 [NASA ADS] [CrossRef] (In the text)
- Sánchez-Blázquez, P., Forbes, D. A., Strader, J., Brodie, J., & Proctor, R. 2007, MNRAS, 377, 759 [NASA ADS] [CrossRef] (In the text)
- Schiavon, R. P., Faber, S. M., Rose, J. A., & Castilho, B. V. 2002, ApJ, 580, 873 [NASA ADS] [CrossRef] (In the text)
- Schiavon, R. P., Faber, S. M., Konidaris, N., et al. 2006, ApJ, 651, L93 [NASA ADS] [CrossRef]
- Shepherd, C. W., Carlberg, R. G., Yee, H. K. C., et al. 2001, ApJ, 560, 72 [NASA ADS] [CrossRef] (In the text)
- Stanford, S. A., Eisenhardt, P. R., & Dickinson, M. 1998, ApJ, 492, 461 [NASA ADS] [CrossRef]
- Strateva, I., Ivezic, Z., Knapp, G. R., et al. 2001, AJ, 122, 1861 [NASA ADS] [CrossRef]
- Tantalo, R., Chiosi, C., & Bressan, A. 1998, A&A, 333, 419 [NASA ADS] (In the text)
- Thomas, D., Maraston, C., & Bender, R. 2003, MNRAS, 343, 279 [NASA ADS] [CrossRef]
- Thomas, D., Maraston, C., & Korn, A. 2004, MNRAS, 351, L19 [NASA ADS] [CrossRef] (In the text)
- Trager, S. C., Worthey, G., Faber, S. M., Burstein, D., & Gonzalez, J. J. 1998, ApJS, 116, 1 [NASA ADS] [CrossRef] (In the text)
- Trager, S. C., Faber, S. M., Worthey, G., & González, J. J. 2000a, AJ, 120, 165 [NASA ADS] [CrossRef]
- Trager, S. C., Faber, S. M., Worthey, G., & González, J. J. 2000b, AJ, 119, 1645 [NASA ADS] [CrossRef] (In the text)
- Trager, S. C., Faber, S. M., & Dressler, A. 2008, MNRAS, 386, 715 [NASA ADS] [CrossRef]
- Tran, K.-V. H., Franx, M., Illingworth, G. D., et al. 2007, ApJ, 661, 750 [NASA ADS] [CrossRef]
- Tripicco, M. J., & Bell, R. A. 1995, AJ, 110, 3035 [NASA ADS] [CrossRef] (In the text)
- van Dokkum, P. G., & Franx, M. 2001, ApJ, 553, 90 [NASA ADS] [CrossRef] (In the text)
- van Dokkum, P. G., Franx, M., Kelson, D. D., & Illingworth, G. D. 1998, ApJ, 504, L17 [NASA ADS] [CrossRef]
- van Dokkum, P. G., Franx, M., Fabricant, D., Illingworth, G. D., & Kelson, D. D. 2000, ApJ, 541, 95 [NASA ADS] [CrossRef] (In the text)
- Vazdekis, A. 1999, ApJ, 513, 224 [NASA ADS] [CrossRef]
- Vazdekis, A., Peletier, R. F., Beckman, J. E., & Casuso, E. 1997, ApJS, 111, 203 [NASA ADS] [CrossRef] (In the text)
- Vazdekis, A., Kuntschner, H., Davies, R. L., et al. 2001, ApJ, 551, L127 [NASA ADS] [CrossRef] (In the text)
- Vazdekis, A., Cenarro, A. J., Gorgas, J., Cardiel, N., & Peletier, R. F. 2003, MNRAS, 340, 1317 [NASA ADS] [CrossRef]
- Visvanathan, N., & Sandage, A. 1977, ApJ, 216, 214 [NASA ADS] [CrossRef] (In the text)
- Whiley, I. M., Aragón-Salamanca, A., De Lucia, G., et al. 2008, MNRAS, 387, 1253 [NASA ADS] [CrossRef]
- White, S. D. M., Clowe, D. I., Simard, L., et al. 2005, A&A, 444, 365 [NASA ADS] [CrossRef] [EDP Sciences] (In the text)
- Willmer, C. N. A., da Costa, L. N., & Pellegrini, P. S. 1998, AJ, 115, 869 [NASA ADS] [CrossRef]
- Worthey, G. 1994, ApJS, 95, 107 [NASA ADS] [CrossRef]
- Worthey, G. 1998, PASP, 110, 888 [NASA ADS] [CrossRef] (In the text)
- Worthey, G., & Ottaviani, D. L. 1997, ApJS, 111, 377 [NASA ADS] [CrossRef] (In the text)
- Worthey, G., Faber, S. M., Gonzalez, J. J., & Burstein, D. 1994, ApJS, 94, 687 [NASA ADS] [CrossRef]
- Wuyts, S., van Dokkum, P. G., Kelson, D. D., Franx, M., & Illingworth, G. D. 2004, ApJ, 605, 677 [NASA ADS] [CrossRef]
- Yan, R., Newman, J. A., Faber, S. M., et al. 2006, ApJ, 648, 281 [NASA ADS] [CrossRef] (In the text)
- Ziegler, B. L., Bower, R. G., Smail, I., Davies, R. L., & Lee, D. 2001, MNRAS, 325, 1571 [NASA ADS] [CrossRef]
Footnotes
- ... morphologies
- Based on observations obtained at the ESO Very Large Telescope (VLT) as part of the Large Programme 166.A-0162 (the ESO Distant Cluster Survey).
- ...
- Full Table 3 is only available in electronic form at the CDS via anonymous ftp to cdsarc.u-strasbg.fr (130.79.128.5) or via http://cdsweb.u-strasbg.fr/cgi-bin/qcat?J/A+A/499/47
- ...
- Combination of optical and near-IR colours have also been probed useful to break the age-metallicity degeneracy (e.g., Peletier et al. 1990; MacArthur et al. 2004; James et al. 2005, among others), although dust reddening is still a problem.
- ... metallicities
- We will refer to luminosity-weighted mean ages and metallicities as those obtained with single stellar population models. The values obtained in this manner are not the same as those weighted by the luminosity in the V-band, or any other photometric band (see, e.g., Serra & Trager 2006, for a discussion).
- ...
- Note that these offsets will not correct for any systematic effect due to a not-perfect calibration in the data. They are only useful to correct the fitting-function-based models from the non-perfect calibration of the Lick/IDS stars.
- ... V08 hereafter
- The models are publicly available at http://www.ucm.es/info/Astrof/miles/models/models.html
- ... +0.2 dex
- In the normalization to the solar values,
a solar metallicity
was used.
- ... solar-neighborhood
- Although the detailed chemical composition of all the stars in the MILES is unknown, it is reasonable to assume that this is the case.
- ... constant
- Despite the fact that Ca is an
-element, theoretically linked
to overabundant elements such as Mg, measurements show that it may be
depressed in elliptical galaxies (although see Prochaska et al. (2005) for a
different point of view). We follow Trager et al. (2000a) and include
this element in our depressed group.
- ...

- SExtractor Kron magnitudes.
- ...%
- The percentage varies between 4 and 10% depending on the chosen metallicities.
- ... lines
- The correction for the higher-order Balmer lines is additive as these indices can have both positive and negative values.
All Tables
Table 1: Column 1: redshift interval in which the galaxy structure falls (see text for details). Column 2: cluster name. Following Milvang-Jensen et al. (2008), we label the secondary structures with letters ``a'' and ``b''. Column 3: cluster redshift. Column 4: marked with x if ACS images are available. Column 5: Number of secure spectroscopically confirmed red-sequence galaxies. Column 6 Number of red-sequence galaxies with no or negligible emission, full-filling our signal-to-noise ratio criterion. Column 7 Velocity dispersion of the cluster. Column 8 R200, calculated as in Finn et al. (2005).
Table 2:
Emission-line properties of the red-sequence
galaxies for which the spectra covers both [OII] and H
.
The
first two columns indicate whether or not [OII] and H
have been
detected (at 2-
level). High and low [OII]/H
stand for
EW([OII])>18EW(H
)-6 and
(H
)-6, respectively.
Table 3:
Line-strength indices in our sample of red-galaxies with S/N(Å) > 10 and no- or weak-emission lines. The number between brackets after
the indices values indicates the presence (1) or not (0) of sky-subtraction residuals or telluric absorptions inside the definition passband of the
index. Only those indices with labels (0) are used in our analysis. Type: Indicate the presence (2) or not (1) of weak (
Å) emission
lines. Last column lists the measured velocity dispersion and its error.
This is only a portion of
the table, shown for guidance regarding its format and content. The full table is electronically
available at CDS and at http://www.ucm.es/info/Astrof/psb/ediscs.html
Table 4: Aperture correction for Lick/IDS indices measured in our sample. The correction for the molecular indices and for the higher-order Balmer lines is additive while the correction for the atomic indices is multiplicative. The aperture correction was only applied to the Coma galaxies, as it is very small for the other redshifts. The type of correction is indicated in the last column.
Table 5: Line-strength indices and velocity dispersion measured in the stacked spectra. The second row of each line lists the errors. Last column show the velocity dispersion measured in the different stacked spectra.
Table 6:
First 4 rows: ages (measured in Gyr), metallicities [Z/H] and [E/Fe]
abundances for the stacked spectra, in different redshift bins,
of the red-sequence galaxies, measured using V08 models and the indices H
,
Fe4383 and
CN2. The spectra have been stacked separating galaxies with
lower than 175 km s-1 (right side) and larger than 175 km s-1 (left side). The parameters have been obtained iteratively as
described in the text. Last three rows: ages, metallicities
and [E/Fe] derived for the stacked spectra, at different redshifts, of
morphologically classified E and S0 galaxies.
Table 7:
Comparison between the indices predicted by the linear fit
to the data at
km s-1 and the ones predicted - at the
same velocity dispersion- in a passively evolving model with formation redshifts
of
,
,
and
.
Column 3 shows the predicted
value by the linear fit at
km s-1, Col. 4 the
standard deviation among the relation; Cols. 5, 7, and 9 show the value
predicted by the model with redshift formations of 1.4, 2, and 3 respectively.
Columns 6, 8, and 10 shows the t-parameter
of comparing these two values (fitted and predicted) using a Student's t-test. A t value higher than 1.96 would
indicate that the probability that the two values are different by chance
is less than 5% (for samples larger than 40 and 6% for smaller samples). As can be seen, none of the
values show significant
differences from the model.
Table A.1: Mean index offsets between he stars in common between MILES and the Lick/IDS. Some times the differences can be better described with a linear relation than a simple offset. Last column display the best linear relation describing the relation of the indices measured in MILES and Lick/IDS spectra.
Table B.1:
coefficient and corresponding error
obtained using the samples of SB06 and Sánchez-Blázquez et al. (2007).
Table C.1:
Comparison between the indices predicted by the linear fit to
the data at
km s-1 and the ones predicted - at the
same velocity dispersion - in a passively evolving model with
formation redshifts of
,
and
.
Column 3 shows the value predicted by the linear fit at
km s-1; Col. 4 shows the standard deviation of the
relation; Col. 5 shows the value predicted by the SSP model; and the
last column shows the t parameter of the comparison of these two
values. A t value higher than 1.9 would indicate that the there is
a 5% probability that the two values are different by chance. As can
be seen, none of the values show significant differences from the
model.
All Figures
![]() |
Figure 1:
V, I colour-magnitude diagrams for the 24 EDisCS
structures considered in this study. Galaxies with no- or weak-
emission are represented by red circles, while galaxies with strong
emission are marked as blue circles. Solid line represent a linear-fit,
fixing the slope to be -0.09, to the data for secure cluster members with no or only weak emission
lines. The dashed lines trace the |
| Open with DEXTER | |
| In the text | |
![]() |
Figure 2: Redshift distribution of the red-sequence galaxies in the 3 redshift-bins with no or negligible emission lines, before any signal-to-noise selection. |
| Open with DEXTER | |
| In the text | |
![]() |
Figure 3:
Fraction of red-sequence galaxies that have no or only weak
emission lines ( EW[OII] < 7 |
| Open with DEXTER | |
| In the text | |
![]() |
Figure 4:
Ratio between [OII] and H |
| Open with DEXTER | |
| In the text | |
![]() |
Figure 5: Velocity-dispersion distribution of the individual spectra stacked in the different redshift bins. From bottom to top: z=0, 0.45, 0.55, 0.75. |
| Open with DEXTER | |
| In the text | |
![]() |
Figure 6: Final stacked spectra for our three redshift and velocity dispersion bins. The shaded areas identify the central bands of the four indices used in our spectral analysis. |
| Open with DEXTER | |
| In the text | |
![]() |
Figure 7:
Relation between the absolute magnitude Mv and the velocity
dispersion for our sample of galaxies in the three considered redshift
bins. The right label shows the absolute magnitude Mv evolved
passively to z=0 using Bruzual & Charlot (2003) models at solar
metallicity. The vertical dashed line indicates the position corresponding
to our |
| Open with DEXTER | |
| In the text | |
![]() |
Figure 8:
Comparison between the indices measured in the stacked
spectra and the mean index calculated in the 20 stacked spectra
obtained with Monte Carlo simulations as described in the text to
analyze the robustness of our separation of galaxies with |
| Open with DEXTER | |
| In the text | |
![]() |
Figure 9:
Index-index diagrams for the indices measured in the stacked
spectra at different redshifts. Left panels (big symbols) show
measurements on the stacked spectra of galaxies with |
| Open with DEXTER | |
| In the text | |
![]() |
Figure 10:
Relation between line-strength indices and the velocity
dispersion for the galaxies in the three different bins. Solid
coloured lines represent the result of a linear fit to the data
forcing the slope to be the same as the one obtained for the galaxies
in the redshift bin at z=0.45. The black lines represent the
expected relation assuming that galaxies formed at
|
| Open with DEXTER | |
| In the text | |
![]() |
Figure 11:
Evolution in the relation of line-strength indices with |
| Open with DEXTER | |
| In the text | |
![]() |
Figure 12:
Measured V-I versus |
| Open with DEXTER | |
| In the text | |
![]() |
Figure 13: The distribution of Hubble types among the N+W emission line red-sequence galaxies in redshift bins: E(T=-5), S0(T=-2), Sa (T=1), Sab(T=2), Sd(T=7). The solid line histograms trace the morphological distribution for the entire sample. The dashed areas trace the histograms for the galaxies with velocity dispersions lower than 175 km s-1. |
| Open with DEXTER | |
| In the text | |
![]() |
Figure 14: Variation of the fraction of early-type galaxies in the red-sequence with redshift. Black and red symbols show the fraction derived from the EDisCS data. Black triangles show the results for the morphological classification based on visual inspection. Red squares stand for the GIM2D bulge and disk decomposition method, where early-type galaxies are selected upon their bulge-to-total light fractions and image smoothness. The green circle represents MORPHS and the blue star indicates the results of Holden et al. (2006), for their two X-ray selected clusters. |
| Open with DEXTER | |
| In the text | |
![]() |
Figure A.1: Comparison between the Lick/IDS indices measured in the stars in common between the MILES and Lick/IDS libraries. The solid line represents the 1:1 relation. The dashed line shows the calculated offset, while the red dashed line indicates the best linear fit to the data. |
| Open with DEXTER | |
| In the text | |
![]() |
Figure C.1: Relation of the indices with the velocity dispersion for the galaxies of the sample grouped in three different redshift bins. The meaning of the lines is the same as in Fig. 10. From top to bottom: z=0.75, z=0.55, z=0.45, and Coma galaxies are represented. |
| Open with DEXTER | |
| In the text | |
Copyright ESO 2009
Current usage metrics show cumulative count of Article Views (full-text article views including HTML views, PDF and ePub downloads, according to the available data) and Abstracts Views on Vision4Press platform.
Data correspond to usage on the plateform after 2015. The current usage metrics is available 48-96 hours after online publication and is updated daily on week days.
Initial download of the metrics may take a while.
![\begin{figure}
\par\resizebox{18cm}{!}{\includegraphics[angle=-90]{1355f1.ps}}
\par\end{figure}](/articles/aa/full_html/2009/19/aa11355-08/Timg50.png)
![\begin{figure}
\par\resizebox{8.8cm}{!}{\includegraphics[angle=-90]{1355f2.ps}}
\end{figure}](/articles/aa/full_html/2009/19/aa11355-08/Timg57.png)
![\begin{figure}
\par\includegraphics[origin=rb,angle=-90,width=12cm,clip]{1355f3.ps}
\end{figure}](/articles/aa/full_html/2009/19/aa11355-08/Timg65.png)
![\begin{figure}
\par\resizebox{8cm}{!}{\includegraphics[angle=-90]{1355f4.ps}}
\end{figure}](/articles/aa/full_html/2009/19/aa11355-08/Timg70.png)
![\begin{figure}
\par\resizebox{8cm}{!}{\includegraphics[angle=-90]{1355f5.ps}}
\end{figure}](/articles/aa/full_html/2009/19/aa11355-08/Timg96.png)
![\begin{figure}
\par\resizebox{8cm}{!}{\includegraphics[angle=-90]{1355f6.ps}}
\end{figure}](/articles/aa/full_html/2009/19/aa11355-08/Timg97.png)
![\begin{figure}
\par\resizebox{8cm}{!}{\includegraphics[angle=-90]{1355f7.ps}}
\end{figure}](/articles/aa/full_html/2009/19/aa11355-08/Timg98.png)
![\begin{figure}
\par\resizebox{7cm}{!}{\includegraphics[angle=-90]{1355f8a.ps}}\p...
...ps}}\par\resizebox{7cm}{!}{\includegraphics[angle=-90]{1355f8c.ps}}
\end{figure}](/articles/aa/full_html/2009/19/aa11355-08/Timg102.png)
![\begin{displaymath}\frac{\Delta I}{I}=\left (\prod_i (1+R_{0.3}(X_i))^{[X_i/H]/0.3} \right) -1,
\end{displaymath}](/articles/aa/full_html/2009/19/aa11355-08/img103.png)
![\begin{figure}
\par\mbox{\resizebox{7cm}{!}{\includegraphics[angle=-90]{1355f9a....
...4mm}
\resizebox{7cm}{!}{\includegraphics[angle=-90]{1355f9d.ps}} }\end{figure}](/articles/aa/full_html/2009/19/aa11355-08/Timg148.png)
![\begin{figure}
\par\mbox{\resizebox{8.8cm}{!}{\includegraphics[angle=-90]{1355f1...
...}
\resizebox{8.8cm}{!}{\includegraphics[angle=-90]{1355f10d.ps}} }\end{figure}](/articles/aa/full_html/2009/19/aa11355-08/Timg149.png)
![\begin{figure}
\par\resizebox{8.8cm}{!}{\includegraphics[angle=-90]{1355f11a.ps}...
...x{8.8cm}{!}{\includegraphics[angle=-90]{1355f11c.ps}}\hspace*{8cm}\end{figure}](/articles/aa/full_html/2009/19/aa11355-08/Timg154.png)
![\begin{figure}
\par\resizebox{8.8cm}{!}{\includegraphics[angle=-90]{1355f12.ps}}
\end{figure}](/articles/aa/full_html/2009/19/aa11355-08/Timg158.png)
![\begin{figure}
\par\resizebox{8.5cm}{!}{\includegraphics[angle=-90]{1355f13.ps}}
\end{figure}](/articles/aa/full_html/2009/19/aa11355-08/Timg159.png)
![\begin{figure}
\par\resizebox{8.5cm}{!}{\includegraphics[angle=-90]{1355f14.ps}}
\end{figure}](/articles/aa/full_html/2009/19/aa11355-08/Timg169.png)
![\begin{figure}
\par\mbox{\resizebox{2.5cm}{!}{\includegraphics[angle=-90]{1355f1...
...{2.5cm}{!}{\includegraphics[angle=-90]{1355f15y.ps}}\hspace*{14cm}\end{figure}](/articles/aa/full_html/2009/19/aa11355-08/Timg176.png)


![\begin{figure}
\par\mbox{\resizebox{4.5cm}{!}{\includegraphics[angle=-90]{1355f1...
...4.5cm}{!}{\includegraphics[angle=-90]{1355f16h.ps}}\hspace{4.2cm}}\end{figure}](/articles/aa/full_html/2009/19/aa11355-08/Timg197.png)