| Issue |
A&A
Volume 499, Number 1, May III 2009
|
|
|---|---|---|
| Page(s) | 175 - 189 | |
| Section | Interstellar and circumstellar matter | |
| DOI | https://doi.org/10.1051/0004-6361/200811442 | |
| Published online | 18 February 2009 | |
Probing the role of protostellar feedback in clustered star formation
,![[*]](/icons/foot_motif.png)
Mapping outflows in the collapsing protocluster NGC 2264-C
A. J. Maury1 - Ph. André1 - Z.-Y. Li2
1 - Laboratoire AIM, CEA/DSM-CNRS-Université Paris Diderot, IRFU/Service d'Astrophysique, C.E. Saclay, Orme des Merisiers, 91191 Gif-sur-Yvette, France
2 - Department of Astronomy, University of Virginia, PO Box 400325, Charlottesville, VA 22904, USA
Received 28 November 2008 / Accepted 6 February 2009
Abstract
Context. The role played by protostellar feedback in clustered star formation is still a matter of debate. In particular, protostellar outflows have been proposed as a source of turbulence in cluster-forming clumps, which may provide support against global collapse for several free-fall times.
Aims. Here, we seek to test the above hypothesis in the case of the well-documented NGC 2264-C protocluster, by quantifying the amount of turbulence and support injected in the surrounding medium by protostellar outflows.
Methods. Using the HERA heterodyne array on the IRAM 30 m telescope, we carried out an extensive mapping of NGC 2264-C in the three molecular line transitions 12CO(2-1), 13CO(2-1), and C18O(2-1).
Results. We found widespread high-velocity 12CO emission, testifying to the presence of eleven outflow lobes, closely linked to the compact millimeter continuum sources previously detected in the protocluster. We carried out a detailed analysis of the dynamical parameters of these outflows, including a quantitative evaluation of the overall momentum flux injected in the cluster-forming clump. These dynamical parameters were compared to the gravitational and turbulent properties of the clump.
Conclusions. We show that the population of protostellar outflows identified in NGC 2264-C is likely to contribute a significant fraction of the observed turbulence but cannot efficiently support the protocluster against global collapse. Gravity appears to largely dominate the dynamics of the NGC 2264-C clump at the present time; however it is possible that an increase in the star formation rate during the later evolution of the protocluster will trigger enough outflows to finally halt the contraction of the cloud.
Key words: stars: formation - stars: circumstellar matter - ISM: clouds - ISM: structure - ISM: jets and outflows - ISM : individual objects: NGC 2264-C
1 Introduction
1.1 Clustered star formation, turbulence and protostellar feedback
It is now well established that a large fraction of young stars in giant molecular clouds form in groups and clusters rather than in isolation (e.g. Carpenter 2000; Adams & Myers 2001; Lada & Lada 2003).
Three main classes of models have been proposed for regulating the star formation process and explaining the origin of the stellar initial mass function (IMF) in young star clusters. The first scenario is based on turbulent fragmentation of the parent molecular cloud (e.g. Hennebelle & Chabrier 2008; Padoan & Nordlund 2002), which produces an IMF-like core mass distribution as observed in the nearest cluster-forming regions (e.g. Motte et al. 1998; Stanke et al. 2006). Briefly, self-gravitating pre-stellar condensations (each containing one local Jeans mass) form as turbulence-generated density fluctuations, then decouple from their turbulent environment, and eventually collapse with little interaction with their surroundings. In this picture, the IMF results primarily from the properties (e.g. power spectrum) of interstellar turbulence, which also controls the global star formation rate and efficiency (e.g. Mac Low & Klessen 2004; Krumholz & Tan 2007). The second class of models emphasizes the role of protostellar turbulence and feedback in regulating the star formation process (e.g. Adams & Fatuzzo 1996; Norman & Silk 1980; Shu et al. 2004). Here, the IMF and the star formation efficiency are determined by the stars themselves through the collective effects of their feedback on both individual cores and the parent cloud. A third scenario exists, however, according to which turbulence is only responsible for forming protostellar seeds but plays no direct role in regulating the star formation process and shaping the IMF, which is mainly determined by competitive accretion and dynamical interactions between individual cluster members (e.g. Bate et al. 2003; Bonnell et al. 2001).
From an observational perspective, millimeter-wave observations of molecular clouds have revealed supersonic linewidths, which are presumably due to turbulent motions. Theory suggests that turbulent motions can be treated as an additional pressure (e.g. Chandrasekhar 1951; Von Weizsäcker 1951), so that supersonic turbulence increases the effective Jeans mass supported against collapse.
Protostellar outflows have long been considered a plausible way of driving a significant fraction of molecular cloud turbulence, especially in cluster-forming clumps, where stars form more efficiently than in the bulk of molecular gas (Knee & Sandell 2000; Bally et al. 1996; Reipurth & Bally 2001). Recently, Nakamura & Li (2007) discussed the possible effects of protostellar outflows on cluster formation. In particular, they argued that, due to its short decay time (e.g. Mac Low et al. 1998), the ``interstellar turbulence'' initially present in a cluster-forming clump is quickly replaced by turbulent motions generated by protostellar outflows. According to Nakamura & Li, the protostellar outflow-driven turbulence dominates for most of a protocluster's lifetime and acts to maintain the cluster-forming region close to overall virial equilibrium for several dynamical times, avoiding global free-fall collapse. The exact mechanism by which outflows inject turbulence in the parent cloud is not well understood yet and may involved fossil cavities (e.g. Quillen et al. 2005; Cunningham et al. 2006). On the scale of an entire giant molecular cloud, the shocks produced by outflows from young stars may not inject momentum and energy at a high enough rate to counter the rate at which turbulent energy decays (see Banerjee et al. 2007). On the other hand, intense outflow activity within a young protocluster may be sufficient to support the parsec-scale parent gas clump, thereby modifying the outcome of the star formation process.
As the role of protostellar feedback in cluster-forming clouds is still a matter of debate, detailed studies of the dynamical effects of protostellar outflows in young protoclusters, where outflows are particularly strong and numerous, are required to fully understand the process of clustered star formation. In this paper, we test some of the above ideas by quantifying the impact of protostellar outflows on the dynamics of the NGC 2264-C clump, a protocluster at a very early stage of evolution.
1.2 Our target region: NGC2264-C
The NGC 2264 cluster-forming region is located in the Mon OB1 giant molecular cloud complex at a distance
pc.
The cloud associated with NGC 2264 has been the target of several millimeter line studies, including an unbiased CO (
)
survey for molecular outflows (Margulis et al. 1988)
and a search for dense gas via multitransitional CS observations (Wolf-Chase et al. 1995; Wolf-Chase & Walker 1995).
These early studies revealed two prominent molecular clumps, named NGC 2264-C and NGC 2264-D,
each associated with a CO outflow.
The NGC 2264 region also harbors a young star cluster of more than 360 near-IR sources (Lada et al. 1993; Lada & Lada 2003).
The most luminous object of the cluster, hereafter called IRS1 after Allen (1972), is embedded in NGC 2264-C and associated with the Class I IRAS source
IRAS 06384+0932 (
- Margulis et al. 1989).
The internal structure of NGC 2264-C and NGC 2264-D was subsequently resolved by higher-resolution
millimeter and submillimeter studies
(Peretto et al. 2007; Williams & Garland 2002; Peretto et al. 2006; Ward-Thompson et al. 2000).
In particular, through 1.2 mm continuum observations,
Peretto et al. (2006) identified 12 compact dense cores
in NGC 2264-C (see Fig. 1), of which at least 8 are Class 0-like objects with associated near-IR H2 jets
(Wang et al. 2002) or compact CS outflows (Schreyer et al. 2003). These cores have typical diameters
0.04 pc, masses ranging from
2 to
,
and column densities ranging from
to
.
Based on HCO+, CS, and N2H+
mapping observations, Peretto et al. (2006) also showed the
presence of large-scale collapse motions converging onto the most massive core (C-MM3 with
),
near the center of NGC 2264-C.
The IRAM Plateau de Bure interferometer observations of Peretto et al. (2007) revealed
a thirteenth source, C-MM13, located only 13.5
(or
0.05 pc) away from C-MM3.
![]() |
Figure 1:
a) Dust continuum map of NGC 2264-C taken at 1.2 mm by Peretto et al. (2006) with the MAMBO bolometer array on the IRAM 30 m telescope.
Twelve millimeter peaks were found and interpreted as candidate Class 0 objects (see Peretto et al. for details). b) Total-power 450 |
| Open with DEXTER | |
In their study, Peretto et al. (2007) successfully modeled the dynamical evolution of the
NGC 2264-C protocluster.
They compared the available millimeter observations with SPH numerical simulations
of the collapse of a Jeans-unstable, prolate dense clump.
Peretto et al. (2007) obtained a good quantitative agreement with observations when starting from a low level of initial turbulent energy.
However, the total mass of dense gas (i.e., with
)
was
10 times lower
in the best-fit simulations than in the actual NGC 2264-C clump.
When Peretto et al. (2007) increased the mass of dense gas by a factor of 10 in their numerical simulations, a larger
number of cores was generated, leading to a poor match to the observations.
It seemed therefore that an additional source of support against gravity, not included in the simulations of Peretto et al. (2007), had to be invoked to explain the current dynamical state NGC 2264-C.
Peretto et al. suggested that this extra support could arise from protostellar feedback and/or magnetic fields.
Because it is well documented and known to exhibit outflow activity (Margulis et al. 1988), the NGC 2264-C protocluster is an ideal laboratory for probing the initial conditions of clustered star formation and evaluating the impact of outflow feedback on early protocluster evolution. We thus initiated a mapping study of the outflow already detected by Margulis et al. (1988) in NGC 2264-C, with higher angular resolution and better sensitivity. Our goal was to assess the momentum injection rate due to outflows in this protocluster and examine whether outflows could affect the global dynamical evolution of the protocluster.
2 Observations and data reduction
2.1 Observations
Observations of the 12CO(2-1), C18O(2-1) and 13CO(2-1) emission lines (see Table 1) from the NGC 2264-C protocluster were taken with the IRAM-30 m telescope between October and November 2006 using the HEterodyne Receiver Array HERA (Schuster et al. 2004) together with the VESPA autocorrelator backend.
HERA is an assembly of two focal plane arrays (HERA1 and HERA2) of 9 SIS receivers each. The two arrays have orthogonal polarization and their 9 pixels are arranged in the form of a center-filled square and are separated by
.
HERA1 and HERA2 were used simultaneously, allowing us to map the same region of the sky at two different frequencies at the same time.
VESPA was used with a channel spacing of 320 kHz for 12CO(2-1), and 80kHz for C18O(2-1) and 13CO(2-1).
The VESPA autocorrelator configurations used during our observations can be found in Table 1.
Observations were carried out in position switched On-The-Fly (OTF) mode, scanning NGC 2264-C in right ascension and declination. We adopted a drift speed of
/s with a dump time of 2 s, and HERA was rotated by
to obtain a spacing of
between adjacent scan lines, while a derotator
was used to keep the HERA pixel pattern stationary in the Nasmyth focal plane. All this resulted in a sampling of
over the entire map.
The half power beamwidth (HPBW) of the 30-m telescope being of 11
at this frequency, this corresponds to an over-Nyquist sampling.
The resulting map has a size of
(equivalent to
0.8 pc2 at the distance of the protocluster).
The emission-free reference position
was located at offsets (-1500
,
-1500
)
from the protostellar core C-MM3, located at the center of our map.
The typical system temperatures varied between
300 K and
600 K.
The telescope pointing was checked every
2 h on J0528+134, while focus checks and adjustments were made every
3 h on the strong source NGC 7538.
The observations were carried out in single sideband mode with an image rejection of
10 dB, providing a calibration accuracy better than
10%.
At 230 GHz, the main beam efficiency and the forward efficiency of the telescope are
and
respectively. Throughout this paper, the line intensity scale adopted is in units of
,
the equivalent antenna temperature above the atmosphere.
Table 1: Parameters of the IRAM 30 m observations.
We also mapped the NGC 2264-C region in the 450
m dust continuum
at
resolution (HPBW)
with the P-ArTéMiS bolometer array on the Atacama Pathfinder Experiment (APEX) telescope
in November 2007.
The resulting map is shown in Fig. 1b, and details about the P-ArTéMiS camera
and the November 2007 run at APEX can be found in André et al. (2008).
2.2 Data reduction
All data were reduced with the CLASS90 program, a new part of the GILDAS software package. Dedicated CLASS90 scripts were written to automatically reduce the data and produce a datacube for each of the three observed transitions (see Table 1).
Linear (first-order) baselines were determined from velocity ranges where emission is no longer positively detected above the 3
noise limit anywhere in the map, and then subtracted from the spectra.
We stress that our HERA observations resulted in very good baselines (see example in Fig. 4).
We used 5 km s-1-wide velocity windows at either end of the 12CO(2-1) spectra
to fit the substracted baselines, making us sensitive to any outflow emission present up to LSR velocities of
55 km s-1.
Some velocity channels showed spikes due to band splitting of the VESPA autocorrelator.
We had to flag them and replace their values by interpolating the closest two good channels.
The worst case occurred around
km s-1 with four consecutive bad channels, leading to an interpolation over
1.7 km s-1, which we consider as being negligible for the present study of high-velocity emission.
Finally, in order to improve the signal-to-noise ratio, we also smoothed the initial velocity resolution by a factor of two for the 12CO(2-1) map, leading to a final spectral resolution of 0.84 km s-1 per channel.
![]() |
Figure 2: 12CO(2-1) map of the NGC 2264-C protocluster. Blue contours show the levels of 12CO(2-1) intensity integrated between -27 km s-1 and 2 km s-1 in the blue-shifted part of the line, and go from 5 to 98 K km s-1. Red contours are levels of intensity integrated between 13 km s-1 and 34 km s-1 in the red-shifted part of the line, and go from 5 to 110 K km s-1. The eleven outflows discovered in the present survey are labeled by F1 to F11. The background greyscale image is the 1.2 mm dust continuum map obtained by Peretto et al. (2006) with MAMBO on the IRAM-30 m. White crosses and numbers refer to the millimeter continuum peaks identified by Peretto et al. (2007,2006) (see also Fig. 1). |
| Open with DEXTER | |
3 Mapping results and analysis
We detected a total of eleven sub-regions or ``lobes" exhibiting high-velocity emission in the 12CO(2-1) map (Fig. 2). These eleven lobes are spatially distributed around the millimeter continuum cores identified by Peretto et al. (2007,2006), and four of these lobes can be directly associated with Class 0 - like objects, as discussed in Sect. 5.1 below.
In Sect. 3.1 we explore the kinematical properties of these eleven outflow lobes, while Sect. 3.2 discusses the optical depth of the 12CO(2-1) transition in our map.
3.1 Spatial extent of the outflow lobes and minimum associated velocity intervals
In order to determine the spatial extent of each outflow, we need to find out which pixels exhibit high-velocity emission due to outflows. We know from previous work that the NGC 2264-C protocluster exhibits a complex pattern of cloud velocities: the mean LSR velocity of the cloud was found to be
km s-1, but a pronounced velocity discontinuity was also found by Peretto et al. (2006) near CMM3, and local systemic velocities can depart from this value by up to 0.7 km s-1, depending on position in the protocluster.
Likewise, the intrinsic 12CO(2-1) linewidth varies with position as column density and turbulent motions vary through the protocluster.
Therefore, to discriminate emission due to high-velocity outflow motions from
emission due to an intrinsically wider 12CO(2-1) line from the cloud itself, and thus identify those pixels with outflow emission, we adopted the following conservative method.
![]() |
Figure 3:
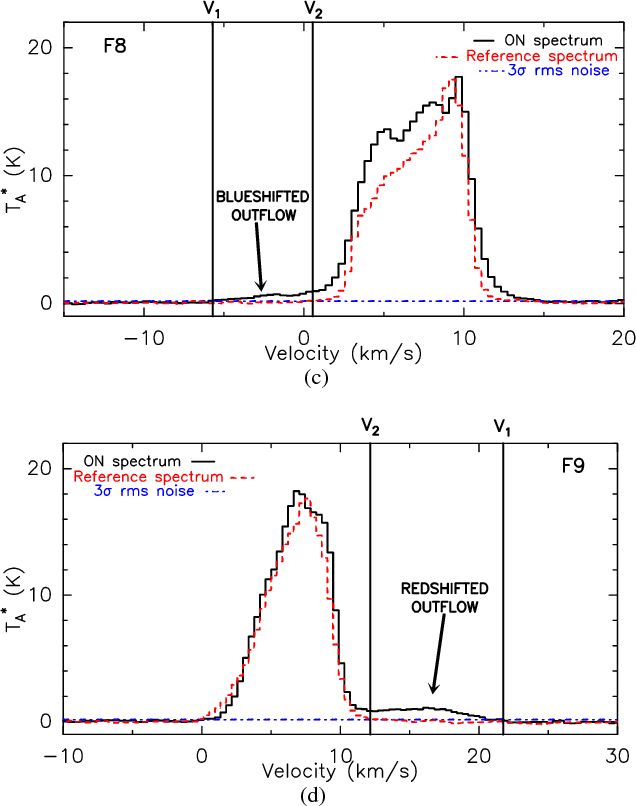
Examples of high-velocity 12CO(2-1) spectra showing emission at blue-shifted a) and red-shifted b) velocities for the candidate outflows
F8 and F9, respectively.
In both cases, the dashed spectrum shows a 12CO(2-1) reference spectrum obtained by averaging |
| Open with DEXTER | |
We first constructed 12CO(2-1) reference spectra for the local ambient medium surrounding the high-velocity lobes.
In practice, we constructed each reference spectrum by averaging a large number of spectra (from 30 to 200 spectra depending on the subregion considered) located in the close neighborhood of each candidate outflow.
In this way, we obtained one reference spectrum per high-velocity lobe for outflows F3 to F11.
We constructed two reference spectra for each of F1 and F2, so as to ensure that
small variations in the systemic velocity occurring between different sub-regions of these extended lobes be properly accounted for.
In a second step, we compared each reference spectrum with the corresponding high-velocity lobe line profiles.
Each pixel which showed emission stronger than three times the typical noise level,
,
in the 12CO(2-1) outflow spectrum in three consecutive channels
(corresponding to a 2.5 km s-1-wide window in velocity), at velocities where emission was no longer detected in the reference spectrum, was assigned to the candidate outflow under consideration.
![]() |
Figure 4:
Spatial extent of the red-shifted outflow lobe F4.
The upper panel shows the high-velocity 12CO(2-1) emission, integrated from
|
| Open with DEXTER | |
Such cases are illustrated in Fig. 3, using spectra from the two outflows F8 and F9, for which obvious high-velocity wings are observed, at blueshifted and redshifted velocities, respectively. The vertical solid lines mark the velocity range over which emission is only due to outflow material: in this velocity range no emission is detected in the reference spectrum, while emission is positively detected in the spectra from the candidate outflow. Here, we ignore any additional outflow emission at lower velocities where emission is still seen in the reference spectrum. Distinguishing between low-velocity outflow emission and turbulent broadening of the line spectrum from the ambient cloud is more uncertain. We will try to account for the low-velocity outflow emission when we estimate outflow parameters in Sect. 4 below. For the purpose of determining the spatial extents of the outflows, however, only those pixels satisfying the selection criteria described above were included.
Following this procedure for all pixels in the map, we were able to determine the spatial extent of
each outflow lobe (see Col. 4 of Table 2 for the values, and Fig. 4 for an example).
The velocity range over which high-velocity emission was detected from the outflow lobe
but no emission was seen in the reference spectrum will be adopted as the
main LSR velocities interval to be considered in further calculations.
In the following,
will denote the extreme LSR velocity observed toward the outflow
(beyond which
),
and
will denote the minimum LSR velocity at which unambiguous outflow emission
is detected (beyond which
while
). As can be seen in Table 2, the velocity ranges spanned by the observed high velocity emission vary from outflow to outflow,
and 12CO(2-1) emission is detected at very high LSR velocities in some cases
(up to -27 km s-1 in the case of the blue-shifted lobe F2).
Table 2: Observed properties of the 12CO(2-1) outflows detected in the map of Fig. 2.
3.2 Optical depth of the 12CO(2-1) emission
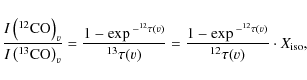
In order to derive the masses and moments for the eleven candidate outflows, we need to assess the optical depth of the CO emission. We used our observations in three isotopes (see Table 1) to estimate the optical depth of the CO(2-1) transition in our data.
We first used our C18O(2-1) data to check that the 13CO(2-1) emission observed away from line center was optically thin
over the entire mapped area and estimated a maximum optical depth
at the systemic velocity
of the ambient cloud.
We then derived the 12CO(2-1) optical depth in the high-velocity gas
from the observed 12CO/13CO line intensity ratio (cf. Goldsmith et al. 1984).
We measured this ratio at eleven positions, chosen to coincide with the positions of the candidate
outflows in the 12CO map.
Assuming that the excitation temperatures of the 12CO and 13CO lines are equal, and
knowing that the 13CO emission is optically thin, the 12CO optical depth
(v) at any given velocity v is related to the 12CO/13CO intensity ratio by:
![]() |
(1) |
where
![]() |
Figure 5:
12CO(2-1) to 13CO(2-1) intensity ratio calculated over the widest velocity range for which the 13CO(2-1) intensity is greater than the 3 |
| Open with DEXTER | |
The 12CO(2-1)/13CO(2-1) intensity ratio is expected to increase, and
to decrease, at greater velocity offsets from the line centroid,
but the 13CO(2-1) emission becomes undetectable at these high velocities.
At the highest velocities showing detectable 13CO(2-1) emission, a maximum 12CO(2-1)/13CO(2-1) intensity ratio of
45 is measured
for both blueshifted and redshifted gas (cf. Fig. 5), which corresponds to
.
Therefore,
is much lower than 1.5 at LSR velocities greater than 12 km s-1 or lower than 2 km s-1.
As the velocity intervals derived in Sect. 3.1.2 for the candidate outflows lie outside the [2:12] km s-1 range, we conclude
that the 12CO(2-1) outflow emission is optically thin at both blue-shifted and red-shifted velocities.
Note, however, that we will apply an optical depth correction factor when we derive the amount of mass entrained by the outflows at
low velocities (i.e., inside the [2:12] km s-1 range) in Sect. 4.1.2 below.
For this purpose, we will use the values of
estimated at LSR velocities between +2 and +12 km s-1 (see Fig. 5 for examples).
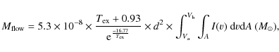
4 Momentum injection rate due to outflows in NGC 2264-C
Our 12CO(2-1) map revealed the presence of eleven outflows in the NGC 2264-C protocluster. To quantify the effective feedback that these eleven outflows produce on the protocluster, we now estimate the masses of outflow entrained material, as well as the outflow dynamical parameters.
4.1 Outflow mass estimates
4.1.1 Method of derivation
Assuming local thermal equilibrium (LTE),
the total gas mass of an outflow can be obtained from the observed 12CO(2-1) spectra as follows (see, e.g., Scoville et al. 1986):
![]() |
(2) |
where
4.1.2 Masses of outflow-entrained gas
We first computed the minimum mass of gas associated with each outflow, assuming
that the whole outflow emission is included in the main LSR velocity range [V1:V2] derived in Sect. 3.1.2 (Col. 3 of Table 2).
In this first estimate, we thus did not take into account any additional outflow emission seen at
lower absolute velocity offsets from line center, where emission is positively detected
in the reference spectrum (see Fig. 6).
We showed in Sect. 3.2 that the 12CO(2-1) emission is optically thin everywhere outside
the velocity range [2:12] km s-1 in our map.
As the minimum velocity intervals considered in this first estimate all lie outside the [2:12] km s-1 range, the minimum masses of outflowing gas can thus be computed as:
![]() |
(3) |
In the above equation,
The main source of uncertainty on the derived outflow-entrained masses is the uncertain
value of the CO excitation temperature.
For optically thin CO emission, the excitation temperature is expected to be close
to the gas kinetic temperature due to the low dipole moment of the CO molecule.
Nevertheless, large temperatures (up to 80 K), due to gas heating by outflow shocks
(Umemoto et al. 1992; Bachiller et al. 2001,1993) are sometimes found in CO outflows.
As can be seen from Eq. (2), the derived outflow mass is almost proportional to the assumed excitation temperature.
We assumed an excitation temperature of 20 K in our calculations, which is representative of typical CO ouflows.
The uncertainty in the CO excitation temperature introduces a factor of
2 uncertainty on our
estimates of the masses, momenta, and momentum fluxes.
Table 3: Estimates of the masses of outflow-entrained material at low velocities.
Table 4: Derived parameters of the eleven 12CO(2-1) outflows mapped in NGC 2264-C.
We calculated the value of
dv dA directly from our
data by integrating the intensity of the 12CO(2-1) emission, both spatially over the outflow extent,
and kinematically over the main LSR velocity range [V1; V2] of each outflow. The outflow extents and main LSR
velocity ranges adopted are given in Table 2.
The minimum mass of gas associated with each outflow is given in the fifth column
(first value) of Table 4.
The minimum total mass of gas entrained by the network of eleven outflows in NGC 2264-C is
estimated to be 0.3
0.15
.
In order to estimate the maximum mass of gas entrained by the eleven outflows observed, two calculations were made.
![]() |
Figure 6:
Illustration of the velocity ranges used for the calculation of minimum and maximum masses of the outflows.
The dashed spectrum shows the 12CO(2-1) reference spectrum from the ambient cloud.
The solid spectrum corresponds to the candidate outflow F3. Vertical solid lines show the velocity ranges used in the computation of the outflow masses.
[V1; V2] represents the interval used for the calculation of the minimum outflow mass (see Sect. 4.1.2 for details). [V2; V3] is the additional
velocity interval used to compute
|
| Open with DEXTER | |
First, for each outflow lobe, we assumed that all of the blue-shifted or red-shifted emission such as
was due to the corresponding outflow (see Fig. 6).
This hypothesis may overestimate outflow masses by including low-velocity motions due to local turbulent broadening of the ambient cloud emission.
The corresponding values therefore provide upper limits to the masses of outflow-entrained gas.
We also recall that, at low velocities, the 12CO(2-1) emission is no longer optically thin (see Fig. 5).
Therefore, we used the values of optical depth derived previously to correct for optical depth effects on our mass estimates.
The additional outflow emission at low velocities (see Col. 3 of the online Table 3 for numerical values) can be expressed as:
![]() |
(4) |
where
As a second step, we further took into account the material entrained by outflows down to velocities comparable to the systemic velocity of the surrounding medium.
We first extracted a characteristic mean spectrum per outflow, and fitted a power law to this mean spectrum,
,
in the velocity range
V1 < v< V3.
We then extrapolated the fitted profile for velocities
,
in order to estimate the amount of mass entrained at very low velocities and which remains hidden in the main body of the 12CO(2-1) line:
![]() |
(5) |
where
The power-law indices of the fit can be found in Col. 4 of the online Table 3.
The additional mass of outflow-entrained gas at velocities between V3 and the systemic velocity of the cloud
is given in
Col. 5 of the online Table 3.
We obtained satisfactory fits for all eleven outflow lobes, except outflow F4 which exhibits a detached high-velocity emission feature (see Fig. 4).
The best fits lead to a fraction of invisible, low-velocity outflow-entrained mass
/
10-
.
Since this additional mass is moving at very low velocities (1 to 3 km s-1 away from the systemic velocity), its contribution to the
outflow dynamical parameters will nevertheless be quite small (see Sect. 4.2 below).
Finally, the maximum masses of outflow-entrained gas
were computed by adding the masses
+
calculated in the velocity interval [V2;
]
to the minimum masses
derived earlier.
These maximum masses are reported in Col. 5 of Table 4 (second value).
We stress that these masses represent the maximum possible values of the outflow masses, as the hypothesis made in their derivation
led us to include all of the 12CO emission potentially due to outflows.
The overall uncertainty on each of the outflow mass components (
,
,
)
is about a factor of two.
Table 5: Global properties of the population of eleven 12CO(2-1) outflows observed in NGC 2264-C.
4.2 Outflow dynamical parameters
Using the mass estimates given in Col. 5 of Table 4,
we first computed the momentum associated with each outflow:
| (6) |
where
The inclination angle i between the flow axis and the
line of sight (l.o.s.) has to be taken into account when computing the true characteristic
velocity
,
since it is related to the observed characteristic velocity
(projected on the l.o.s.)
(see Col. 2. of Table 4),
by
=
/
.
We derived the outflow momentum in each of the three velocity regimes [V1; V2], [V2; V3], [V3 ;
]
considered
for the calculations of the outflow-entrained mass (cf. Sect. 4.1.2 and Fig. 6). The total outflow momentum was calculated as the sum of the three momenta estimated in the three velocity regimes.
The outflow momentum flux was obtained by dividing the momentum by
the estimated dynamical timescale
of the outflow:
| (7) |
The dynamical timescale,
The results of these calculations are given in Table 4.
The length of each outflow is reported in Col. 3, where the first quoted value is the
observed projected length of the outflow and
the second value is corrected for the mean inclination angle
.
Column 4 gives the dynamical timescale of each outflow. The lower value is the apparent dynamical timescale (with no correction for inclination),
while the upper value is corrected for the mean inclination angle
.
The outflow momentum and momentum flux values are given in Cols. 6 and 7.
The minimum quoted values were derived using the minimum mass estimates and
ignoring inclination effects, i.e. assuming that the outflows had their axes along the l.o.s.
The maximum values were derived using the maximum mass estimates
and assuming a mean inclination angle
to account for inclination effects
(leading to a mean correction factor
for the momentum flux - cf. Bontemps et al. 1996).
We stress that the amount of outflow mass hidden at low
velocities in the main body of the 12CO(2-1) line,
,
contributes only
1
to 5
of the maximum momentum flux computed here,
due to the low velocity of this material.
Therefore, thanks to the procedure adopted here to take into account
the different velocity regimes of the outflows,
the relatively large uncertainty in the outflow-entrained mass at low velocities results
only in a small uncertainty factor for the momentum flux.
The main source of uncertainty in our momentum and momentum flux estimates comes from the hypothesis made on the inclination angle with respect to the l.o.s. .
We considered that our sample of eleven outflow lobes was large enough to
justify a statistical treatment and applied a mean inclination angle of
assuming random outflow orientations.
We estimate that this hypothesis on the inclination angle leads to a factor of
2
uncertainty on the individual momentum and momentum flux values.
Altogether the global uncertainty on the derived momentum fluxes is roughly a factor
of
8, which is consistent with the results of Cabrit & Bertout (1990) based
on an analysis of synthetic outflow data.
Table 5 gives the total dynamical parameters of the entire population
of outflows observed in NGC 2264-C obtained by summing the values computed
for the eleven outflow lobes (from Table 4).
The total kinetic energy contained in the eleven outflows was estimated from the total momentum as follows:
3.4
1044 - 1
1045 ergs.
We also estimated the rate of kinetic energy deposited by the outflows in the surrounding medium as:
,
where
is the escape velocity of the cloud
5 km s-1
(Stojimirovic et al. 2006).
In this way, we found a total mechanical luminosity
0.21-1.2
.
The range of values we derive for the total mass of outflow-entrained gas is in agreement with the mass values found by Margulis et al. (1988) for the whole NGC 2264-C region. The range of values we find for the overall momentum and mechanical luminosity are in agreement only with the lower values of Margulis et al. (1988). This difference is mainly due to their method, which used the maximum projected flow velocity to compute upper limits to the momentum and mechanical luminosity. Furthermore, Margulis et al. (1988) did not resolve the network of outflows in NGC 2264-C and thus used a single characteristic velocity for the eleven outflows, while our study reveals large velocity variations from outflow to outflow.
5 Discussion
5.1 Identification of driving sources
The lobes named F1 and F2 in Fig. 2 are the most elongated and best collimated
outflow lobes identified in our study.
F1 extends over 130
and F2 extends over 180
,
corresponding to
physical lengths of 0.49 pc and 0.71 pc, respectively, assuming the outflows are perpendicular to the line of sight (
).
The similar morphologies and relative positions of the two lobes in the map of Fig. 2
strongly suggest that F1 and F2 are physically associated and correspond to the two lobes of a single bipolar outflow.
Based on Figs. 2 and 7, the best candidate driving sources for this bipolar flow are C-MM3 and C-MM13.
To determine which source is driving the (F1, F2) bipolar outflow, we constructed several
position-velocity (PV) diagrams along the axis of the flow, assuming various barycenters and
orientations for the outflow.
Figure 8 shows the best (most symmetric) position-velocity diagram we found.
This PV diagram was constructed along an outflow axis passing through C-MM13 and defined
by a position angle of
(east of north) on the plane of the sky.
Note that the PV diagrams constructed for position angles between
and
are nearly indistinguishable.
Figure 7 indicates the range of possible outflow axes based on our PV-diagram study.
It is clear from Fig. 8 that the highest-velocity emission (
km s-1 with respect
to the systemic velocity) is detected in the immediate vicinity of the protostellar core C-MM13,
and that this high-velocity emission presents a very high level of symmetry about C-MM13.
On this basis, we conclude that C-MM13 is the most likely driving source of the bipolar outflow made up by lobes F1 and F2.
| |
Figure 7:
Blow up of the 12CO(2-1) map of Fig. 2 toward the (F1, F2) bipolar outflow in
the central part of the NGC 2264-C protocluster. The full contours show the integrated intensity in the blue-shifted part of CO(2-1) line (from 1 to -27 km s-1). Contours range from 5 to 98 K km s-1. The dashed contours are levels of CO(2-1) integrated intensity in the red-shifted part of the line (from 13 to 28.5 km s-1), and contours range from 5 to 110 K km s-1. Markers refer to the positions of millimeter continuum peaks C-MM3 and C-MM13.
The solid line arrow marks the direction of the bipolar outflow made up by F1 and F2, at a position angle of
|
| Open with DEXTER | |
![]() |
Figure 8:
Position-velocity diagram of the (F1, F2) bipolar flow, constructed along an axis passing through C-MM13
(offset
|
| Open with DEXTER | |
One possible explanation for the slight misalignment between the outflow features located close to C-MM13 and their more distant counterparts (see Fig. 7) is that the protostellar jet driving the (F1, F2) outflow precesses with time (Gueth et al. 1998). High-velocity features located farther away from the driving source, which presumably correspond to older ejection events, would then indicate a different outflow direction than that indicated by the high-velocity features located closer to C-MM13.
Based on spatial coincidence and absence of confusion (see Fig. 2), we also believe that the blue-shifted lobe F3 is driven by the millimeter source C-MM2 and that the red-shifted lobe F4 is related to C-MM1. The seven other lobes are either too poorly collimated (e.g. red-shifted lobe F11), too far away from the protostellar clump (e.g. red-shifted lobe F6), or too blended with other lobes to be directly associated with any particular Class 0-like object.
The outflow lobe F4 exhibits a compact (
0.03 pc) 12CO
emission peak at
+18 km s-1, corresponding to
a projected velocity offset
+11 km s-1 from the systemic velocity (see Fig. 4).
No emission is seen at
= +18 km s-1 in our 13CO data, ruling out a background cloud origin for
the 12CO peak. Such a discrete 12CO emission feature, well defined in both space and velocity, is
reminiscent of the high-velocity molecular ``bullets'' observed toward some young outflows driven by Class 0 objects
such as the L1448-C bipolar flow (Bachiller et al. 1990).
We also stress that there is evidence for at least two well-collimated outflows in NGC 2264-C: the first one is the (F1, F2) pair which is very likely driven by CMM-13, while the second one is the outflow lobe F10 which is also well collimated but of unidentified origin. Given that the best collimated CO outflows are generally detected toward the youngest protostellar objects (André et al. 1990; Bachiller 1996), these highly-collimated outflows further testify to the presence of extremely young (Class 0) protostellar objects in the NGC 2264-C protocluster.
5.2 Properties of the driving sources and comparison with well-studied outflows
We now discuss the properties of the three protostellar driving sources identified in the previous section : C-MM1, C-MM2, and C-MM13.
5.2.1 Source properties
We used Spitzer/MIPS data at 70
m, APEX/P-ArTéMiS data at 450
m (see Fig. 1b),
and IRAM 30m MAMBO data at 1.2 mm
(Peretto et al. 2006) to estimate the bolometric luminosities (
)
of C-MM1, C-MM2 and C-MM13.
We could directly measure 70
m and 450
m flux densities for the relatively isolated sources C-MM1 and C-MM2 and we then estimated their bolometric luminosities using the online tool devised by Robitaille et al. (2007) to fit the spectral energy distributions of young stellar objects (YSOs).
Unfortunately, due to the presence of the bright young star IRS1 (see Fig. 1) in the field, it was impossible to derive a flux from the Spitzer/MIPS data for C-MM13.
We could nevertheless obtain a MIPS 70
m flux density and a bolometric luminosity for the neighboring source C-MM3 (
13.5
away from C-MM13).
We then derived a luminosity estimate for C-MM13 assuming that the bolometric luminosity ratio
/
was
equal to the 450
m flux density ratio
/
.
We stress that the bolometric luminosity derived in this way for C-MM13 is more uncertain than the
estimates obtained for C-MM1 and C-MM2.
Our bolometric luminosity estimates for the three identified driving sources are listed in Table 6.
We also give the envelope masses (
)
of these protostellar objects as measured by Peretto et al. (2007) with the IRAM Plateau de Bure interferometer on
3000 AU scales.
Table 6: Properties of the sources : C-MM1, C-MM2, C-MM13, and C-MM3.
The protostellar sources C-MM1, C-MM2, C-MM3 and C-MM13 were then placed in an
-
diagram
(see Fig. 9) similar to the ones presented by André et al. (2000,2008).
Model evolutionary tracks are shown, computed by assuming each protostar
forms from a bounded condensation of finite initial mass
(0) and has
,
where
is the
protostellar radius and
the interior stellar luminosity (Stahler 1988; Hosowaka & Omukai 2008).
The mass accretion rate and the envelope mass were assumed to be related by
,
where
is the typical
star formation efficiency for individual cores (Matzner & McKee 2000), and
yr
is the characteristic timescale of protostellar evolution, leading to
and
functions declining exponentially with time
(see Bontemps et al. 1996). The positions of C-MM1, C-MM2, C-MM3 and C-MM13
in this diagram demonstrate that they are bona fide Class 0 objects.
Moreover, comparison with the model evolutionary tracks suggests that these objects
will form stars with main-sequence masses
2-8
.
![]() |
Figure 9:
Envelope mass versus bolometric luminosity diagram comparing the locations of the protostellar sources of NGC 2264-C (open triangles with error bars) with the positions of low-mass Class I (filled circles) and Class 0 objects (open circles) (from André et al. 2000). Model evolutionary tracks, computed for various final stellar masses
|
| Open with DEXTER | |
5.2.2 Comparison with other outflows from the literature
Here, we compare the properties of the three outflows (F1, F2), F3, and F4 with those of several protostellar outflows from the literature.
Bontemps et al. (1996) carried out a study of outflow energetics for a sample of 45 low-luminosity YSOs including both Class I and Class 0 objects.
They found that outflows from younger sources were more powerful.
The outflow momentum flux values we find here, namely a few 10-5
km s-1 yr-1, are very similar
to the momentum fluxes of the Class 0 outflows in the Bontemps et al. sample (see Fig. 10).
The left panel of Fig. 10 plots outflow momentum flux versus driving source luminosity, while
the right panel shows
versus
(see Bontemps et al. 1996, for details).
Figure 10
shows that C-MM1, C-MM2, and C-MM13 drive outflows which are typical of low- to intermediate-mass Class 0 objects
and closely follow the trend established by Bontemps et al. (1996).
![]() |
Figure 10:
CO momentum flux
|
| Open with DEXTER | |
We can also compare the properties of the outflows mapped in NGC 2264-C with the two molecular outflows used as references by Nakamura & Li (2007) to estimate the typical outflow momentum to be injected in their numerical simulations.
The first one is the well-documented outflow driven by the border-line Class I/Class 0 object L1551 IRS 5.
Stojimirovic et al. (2006) showed that the L1551 IRS 5 bipolar outflow extends over 1.3 pc and drives a total
momentum of
17.8-23
km s-1.
The dynamical parameters of the L1551 outflow, as re-estimated by us from the results of
Stojimirovic et al. (2006) for consistency with the present study,
are reported in Table 4 (see also Fig. 10).
We note that the momentum flux injected by the L1551 outflow in the surrounding medium is of the same order as
the momentum flux of the strongest outflow observed in the NGC 2264-C protocluster (F11).
The second reference outflow used by Nakamura & Li (2007) is the one driven by the
low-luminosity Class 0 protostar L1157-MM (e.g. Umemoto et al. 1992; Bachiller et al. 2001).
The dynamical parameters of the L1157 outflow are also reported in Table 4 and used in Fig. 10.
It can be seen in Fig. 10 that the L1157 outflow is characterized by a very high momentum flux.
None of the outflows mapped in the NGC 2264-C protocluster drives that much momentum flux in
the surrounding medium, and even the combined effects of the eleven outflows in NGC 2264-C inject at most
km s-1 yr-1 (see Table 5), i.e. one tenth of what is found for the L1157 outflow alone.
Therefore, we conclude that L1157-MM represents an extreme case of a Class 0 outflow.
We also note that the total momentum flux derived here (Table 5) for the network of eleven outflows in NGC 2264-C is similar to the total outflow momentum flux found by Knee & Sandell (2000) in the NGC 1333 protocluster.
5.3 Outflows as a source of turbulence and support
5.3.1 Observed turbulence vs outflow contribution
We now discuss whether or not the eleven outflows mapped in NGC 2264-C are likely to contribute a significant fraction of the turbulence observed in the protocluster.
From our 13CO mapping, we determined a one-dimensional velocity dispersion
1.7 km s-1, measured on the mean 13CO(2-1) spectrum over the NGC 2264-C clump (radius
pc).
If we place NGC 2264-C in the linewidth-size diagram representing Larson's first scaling law (Larson 1981), we find that
NGC 2264-C exhibits a velocity dispersion about twice as large as what is expected from the classical linewidth-size relationship
observed in giant molecular clouds (GMCs) (Solomon et al. 1987). This suggests that NGC 2264-C is more turbulent
than the CO clouds considered by Solomon et al. (1987).
However, Heyer et al. (2008) recently re-examined Solomon's results with new 13CO data and
found the relationship
=
,
which shows that
the normalization of Larson's first scaling law depends on the mean surface density
of the clouds.
From the 1.2 mm dust continuum observations of Peretto et al. (2006) we estimate a mean surface density of
3000
pc-2
for the NGC 2264-C cluster-forming clump, which is much higher than the mean surface density
170
pc-2
of the CO clouds following the classical linewidth-size relation.
The location of NGC 2264-C in the
)
diagram of Heyer et al. (2008)
is nevertheless similar to that of the densest clouds discussed by these authors.
We also note that both the N2H+ (Peretto et al. 2006) and 13CO (this work)
linewidths of NGC 2264-C are consistent with the log(
)
= 0.23 + 0.21
log(R) correlation
found by Caselli & Myers (1995) for massive cloud cores in Orion.
Therefore, although NGC 2264-C exhibits broader linewidths than those expected
from Larson's classical linewidth-size relation, it exhibits the same level of turbulence as that generally
found in massive clouds and cores.
Next, we can estimate the rate of turbulent energy dissipation in the NGC 2264-C clump
using Eq. (7) of Mac Low (1999).
From the 1.2 mm dust continuum map obtained by Peretto et al. (2006), a total gas mass of 2300
can be derived within a radius of 0.7 pc.
Using the velocity dispersion derived from our 13CO observations, we find:
![]() |
(8) |
For comparison, the total mechanical power due to the eleven outflows in NGC 2264-C is
5.3.2 Gravitational collapse vs. outflow support
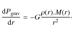
In order to determine whether the force exerted by the outflows on NGC 2264-C can slow down or even stop the global collapse of the protocluster, we first estimate the force needed to keep the whole protocluster in hydrostatic equilibrium.
The pressure gradient needed to balance the gravitational acceleration
at radius r
and keep a spherical clump with a mass distribution M(r) in hydrostatic equilibrium is:
![]() |
(9) |
Assuming a density distribution of the form
Therefore, the total force needed to balance gravity at radius R in the NGC 2264-C protocluster is:
![]() |
(10) |
The corresponding gravitational binding energy is
![]() |
(11) |
If we adopt R1= 0.4 pc and M(R1) = 1600
If we adopt
R2= 0.7 pc and
, we find:
km s-1 yr-1, and
km s-1 Myr-1
20 pc Myr-2.
Comparing
to our upper estimate of the force exerted by outflows on the NGC 2264-C protocluster,
= 1.7
10-3
km s-1 yr-1 (see Sect. 4.2),
we find that the eleven observed outflows fall short by a factor
25 to
provide significant support against collapse in NGC 2264-C.
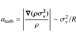
We also note that the turbulent acceleration (cf. Matzner 2007):
![]() |
(12) |
is only
From an energetic point of view, the total kinetic energy (see
in Table 5) derived in Sect. 4.2 for the eleven outflows
is nearly three orders of magnitude lower than the gravitational binding energy of the NGC 2264-C cluster-forming clump (
erg).
Stojimirovic et al. (2006) showed that the kinetic energy injected by the L1551-IRS5 outflow in the surrounding medium was
comparable to the binding energy of the L1551 cloud itself.
The kinetic energy they derived from the L1551 outflow (
erg) is comparable to our upper estimate
of the total kinetic energy of the outflow population in NGC 2264-C (see Table 5), but the L1551 cloud is much less massive (110
)
than NGC 2264-C for an equivalent volume (radius of 0.5 pc).
Likewise, we find that the total mass of outflow-entrained material represents only 0.25
of the mass
of the NGC 2264-C protocluster, whereas the IRS5 outflow represents
5
of the total mass of the L1551 cloud.
For comparison, the rate of gravitational energy release due to global collapse is:
![]() |
(13) |
in the NGC 2264-C, where we have used the large-scale infall velocity
We conclude that neither the direct force exerted by the network of observed protostellar outflows, nor the turbulence they produce, can support the cluster-forming clump against global collapse at the present time. Therefore, the additional source of support against gravity, not included in the purely hydrodynamic simulations of Peretto et al. (2007) but needed to account for the observed characteristics of NGC 2264-C (see end of Sect. 1.2), cannot find its origin in protostellar feedback. Although little is known about magnetic fields in the region, the most plausible remaining hypothesis is that the missing support is magnetic in character. In any case, gravitational contraction seems to largely dominate the physics of the NGC 2264-C clump and may even be the main source of the high level of turbulence observed in the protocluster (see also Peretto et al. 2006).
5.4 Caveats
We recall that there is a factor of
8 uncertainty on the outflow momentum flux values given in Table 4
(see Sect. 4.2). This uncertainty is mainly due to the uncertain excitation temperature of the 12CO(2-1) transition
and the unknown inclination angles of the outflows.
Here, we explore other effects which may have led us to underestimate the energy injected by outflows in the NGC 2264-C protocluster.
First, our 12CO(2-1) mapping survey may have missed some outflows, due to its limited sensitivity.
We had a sensitivity limit of
0.1 K in our 12CO(2-1) observations of NGC 2264-C.
For a typical outflow with a characteristic velocity of
10 km s-1 (with respect to the systemic velocity) and
a dynamical timescale of 104 years, this corresponds to a momentum flux sensitivity of
km s-1 yr-1.
A rough estimate indicates that 225 additional outflows as powerful as the (F1, F2) bipolar flow, or 4 outflows as energetic as the L1551 outflow, would be needed in order to balance gravity in NGC 2264-C (see Sect. 5.2.2). The sensitivity of our 12CO(2-1) survey is such that we could not have missed such strong outflows. Nevertheless, a large number of fainter, undetected outflows driven by low-mass objects may be present in the protocluster.
According to Peretto et al. (2007), the NGC 2264-C protocluster contains seven Class 0-like
objects with envelope masses ranging from 4
to 16
.
Based on the
-
diagram shown in Fig. 9, we estimate that
these seven protostellar objects are the progenitors of stars with main-sequence masses in
the range 2
8
(see Sect. 5.2.1).
If the population of protostellar objects in the NGC 2264-C protocluster follows the Kroupa (2001) IMF,
then we expect
250 protostellar objects with final stellar masses
in the range
0.01
2
.
Assuming these 250 objects lie in the border zone between the conceptual Class 0 and Class I stages
and have
,
we infer that
10 of them have
envelope masses
in the range 1
2
,
110 of them have 0.1
1
,
and
130 of them have 0.01
0.1
in NGC 2264-C.
Following Bontemps et al. (1996), we adopt the following relation between outflow momentum flux and protostellar enveloppe mass:
log(
log(
).
From this relation, we estimate that the
250 low-mass protostellar objects mentioned earlier can generate
a total momentum flux of
km s-1 yr-1.
Therefore, even if we account for the effect of weak, undetected outflows driven by low-mass protostellar objects,
the total outflow momentum flux injected in NGC 2264-C is only
km s-1 yr-1,
which is still a factor of
8 lower than the force needed to support the clump against global collapse.
Second, our 12CO(2-1) map of NGC 2264-C provides only a snapshot of outflow activity in the protocluster. Given that the characteristic timescale of protostellar evolution is
105 years,
we can estimate the total momentum
injected by protostellar outflows over their entire lifetime.
Bontemps et al. (1996) showed that outflow momentum flux is roughly proportional to protostellar envelope mass, i.e.,
decreases as
decreases and protostars evolve from Class 0 to Class I objects.
Furthermore, the linear correlation
is suggestive of a simple
overall accretion/ejection history according to which
,
,
and the mass accretion rate,
,
all decline exponentially with time (see Bontemps et al. 1996).
We thus computed the total momentum as:
![]() |
(14) |
Using the value of the total momentum flux which includes the contribution from the low-mass protostellar population, we find
It should be also pointed out that the star formation rate within the NGC 2264-C
clump may increase in the near future.
Using a global mass inflow rate
yr-1
for the collapsing clump (Peretto et al. 2006), we predict a star formation rate
yr-1, where
is the typical star formation efficiency for individual cores (Matzner & McKee 2000).
Such a star formation rate would lead to a momentum injection rate of the corresponding outflows
km s-1 yr-1.
This value remains lower than, but of the same order as, the force needed to support the clump against global collapse.
This suggests that if NGC 2264-C undergoes a burst of star formation in the near future as
a result of its global collapse, then feedback due to protostellar outflows
may eventually become sufficient to slow down and halt the collapse of the clump.
6 Summary and conclusions
We carried out a high-resolution 12CO(2-1) survey of NGC 2264-C with the IRAM 30 m telescope in an effort to take a quantitative census of protostellar outflows in this collapsing cluster-forming clump. Additional mapping observations were also taken in 13CO(2-1) and C18O(2-1). Our main results and conclusions can be summarized as follows:
- 1.
- We detected a network of eleven CO(2-1) outflow lobes with characteristic
projected velocities between
10 km s-1 and
30 km s-1,
lengths between
0.2 pc and
0.8 pc, momenta between
0.1
km s-1 and
3
km s-1, and momentum fluxes
between
km s-1 yr-1
km s-1 yr-1.
- 2.
- One pair of high-velocity CO(2-1) lobes corresponds to a highly-collimated bipolar
flow, whose most likely driving source is the millimeter continuum object
C-MM13 located very close to the center of mass of the NGC 2264-C protocluster.
Two other CO(2-1) outflow lobes appear to be driven by the millimeter continuum objects C-MM1 and
C-MM2. The driving sources of the seven other outflow lobes have not been identified.
- 3.
- The three outflows with identified driving sources have properties that are typical
of the flows observed toward low- to intermediate-mass Class 0 protostars.
Based on their positions in the
-
evolutionary diagram
for protostars, we confirm that the sources C-MM1, C-MM2, C-MM3 and CMM13 are
bona-fide Class 0 objects, which will form intermediate-mass stars with
2-8
.
- 4.
- The total mechanical power associated with the network of eleven ouflows,
= 0.7
0.5
,
is large enough to contribute
a significant, if not dominant, fraction of the turbulence observed in the NGC 2264-C
cluster-forming clump.
- 5.
- However, even if we account for weak, undetected outflows driven by low-mass protostellar objects
and below the sensitivity limit of our CO(2-1) survey, the total momentum flux generated by the entire
outflow population in the protocluster,
km s-1 yr-1,
falls short by nearly an order of magnitude to provide sufficient support against global collapse of the clump at the current epoch.
Therefore, the additional support against gravity missing in the hydrodynamic simulations of NGC 2264-C by
Peretto et al. (2007),
cannot arise from protostellar feedback, and most likely originates in magnetic fields.
- 6.
- We conclude that gravitational contraction largely dominates the physics of the NGC 2264-C clump at the present time
and may even be the main source of turbulence in the protocluster.
Given the early stage of evolution of the protocluster and its global collapse,
it is nevertheless plausible that the star formation rate will increase in the future,
up to a point where the feedback due to protostellar outflows becomes sufficient to halt the
large-scale, global contraction of the protocluster.
Acknowledgements
We thank the referee, Rafael Bachiller, for useful comments which helped us improve the clarity of the paper. We are grateful to the ArTéMiS team whose dedication made the P-ArTéMiS mapping of NGC 2264-C (Fig. 1b) possible as part of ESO program 080.C-0722 on APEX. The work presented in this paper was stimulated by discussions held during the Star Formation Workshop organized by Hsien Shang and Nagayoshi Ohashi at ASIAA-TIARA, Taiwan, in December 2005.
References
- Adams, F. C., & Fatuzzo, M. 1996, ApJ, 464, 256 [NASA ADS] [CrossRef]
- Adams, F. C., & Myers, P. C. 2001, ApJ, 553, 744 [NASA ADS] [CrossRef]
- André, Ph., Martin-Pintado, J., Despois, D., & Montmerle, T. 1990, A&A, 236, 180 [NASA ADS] (In the text)
- André, Ph., Ward-Thompson, D., & Barsony, M. 2000, in Protostars and Planets IV, ed. V. Mannings et al., 59
- André, Ph., Minier, V., Gallais, P., et al. 2008, A&A, 490, 27 [NASA ADS] [CrossRef] (In the text)
- Arce, H. G., & Goodman, A. A. 2001, ApJ, 554, 132 [NASA ADS] [CrossRef]
- Bachiller, R. 1996, in ARA&A, 34, 111 (In the text)
- Bachiller, R., Cernicharo, J., Martin-Pintado, J., Tafalla, M., & Lazareff, B. 1990, A&A, 231, 174 [NASA ADS] (In the text)
- Bachiller, R., Martin-Pintado, J., & Fuente, A. 1993, ApJ, 417, 45 [NASA ADS] [CrossRef]
- Bachiller, R., Pérez Gutiérrez, M., Kumar, M. S. N., & Tafalla, M. 2001, A&A, 372, 899 [NASA ADS] [CrossRef] [EDP Sciences]
- Bally, J., Devine, D., & Reipurth, B. 1996, ApJ, 473, 49 [NASA ADS] [CrossRef]
- Banerjee, R., Klessen, R., & Fendt, C. 2007, ApJ, 668, 1028 [NASA ADS] [CrossRef] (In the text)
- Bate, M. R., Bonnell, I. A., & Bromm, V. 2003, MNRAS, 339, 577 [NASA ADS] [CrossRef]
- Bonnell, I. A., Clarke, C., Bate, M., & Pringle, J. 2001, MNRAS, 324, 573 [NASA ADS] [CrossRef]
- Bontemps, S., André, Ph., Terebey, S., & Cabrit, S. 1996, A&A, 311, 858 [NASA ADS] (In the text)
- Cabrit, S., & Bertout, C. 1990, ApJ, 348, 530 [NASA ADS] [CrossRef] (In the text)
- Carpenter, J. M. 2000, ApJ, 120, 139
- Caselli, P., & Myers, P. C. 1995, ApJ, 446, 665 [NASA ADS] [CrossRef] (In the text)
- Chackerian, C., Guelachvili, G., & Tipping, R. H. 1983, JQSRT, 30, 107 [NASA ADS]
- Chandrasekhar, S. 1951, in Proceedings of a topical symposium, commemorating the 50th anniversary of the Yerkes Observatory and half a century of progress in astrophysics, ed. J. A. Hynek, 598
- Clarke, C. J., Bonnell, I. A., & Hillenbrand, L. A., in Protostars and Planets IV, ed. V. Mannings et al., 151
- Cunningham, A., Frank, A., Quillen, A., & Blackman, E. 2006, ApJ, 653, 416 [NASA ADS] [CrossRef]
- Elmegreen, B. 1997, ApJ, 486, 944 [NASA ADS] [CrossRef]
- Emerson, J. P., Harris, S., Jennings, R. E., et al. 1984, ApJ, 278, 49 [NASA ADS] [CrossRef]
- Frerking, M. A., Langer, W. D., & Wilson, R. W. 1982, ApJ, 262, 590 [NASA ADS] [CrossRef]
- Goldsmith, P. F., Snell, R. L., Hemeon-Heyer, M., & Langer, W. D. 1984, ApJ, 286, 599 [NASA ADS] [CrossRef] (In the text)
- Gueth, F., Guilloteau, S., & Bachiller, R. 1998, A&A, 333, 287 [NASA ADS] (In the text)
- Hennebelle, P., & Chabrier, G. 2008, ApJ, 684, 395 [NASA ADS] [CrossRef]
- Heyer, M., Krawczyk, C., Duval, J., & Jackson, J. M. 2008, ApJ, [arXiv:0809.1397] (In the text)
- Hillenbrand, L. A., & Carpenter, J. M. 2000, ApJ, 540, 236 [NASA ADS] [CrossRef]
- Hosowaka, T., & Omukai, K. 2008, ApJ, [arXiv:0806.4122]
- Johnstone, D., Wilson, C. D., Moriarty-Schieven, G., et al. 2000, ApJ, 545, 327 [NASA ADS] [CrossRef]
- Knee, L. B. G., & Sandell, G. 2000, A&A, 361, 671 [NASA ADS]
- Kroupa, P. 1995, MNRAS, 277, 1522 [NASA ADS]
- Kroupa, P. 2001, MNRAS, 322, 231 [NASA ADS] [CrossRef] (In the text)
- Krumholz, M., & Tan, J. 2007, ApJ, 654, 304 [NASA ADS] [CrossRef] (In the text)
- Lada, C. J., & Lada, E. 2003, ARA&A, 41, 57 [NASA ADS] [CrossRef]
- Lada, C. J., Young, E. T., & Greene, T. P. 1993, ApJ, 408, 471 [NASA ADS] [CrossRef]
- Larson, R. B., MNRAS, 194, 809 (In the text)
- Mac Low, M. -M. 1999, ApJ, 524, 169 [NASA ADS] [CrossRef] (In the text)
- Mac Low, M. -M., & Klessen, R. 2004, RvMP, 76, 125 [NASA ADS] [CrossRef] (In the text)
- Mac Low, M. -M., Klessen, R., Burkert, A., & Smith, M. D. 1998, Phys. Rev. Lett., 80, 2754 [NASA ADS] [CrossRef] (In the text)
- Margulis, M., Lada, C. J., & Snell, R. L. 1988, ApJ, 333, 316 [NASA ADS] [CrossRef] (In the text)
- Matzner, C. D. 2007, ApJ, 659, 1394 [NASA ADS] [CrossRef] (In the text)
- Matzner, C. D., & McKee, C. F. 2000, ApJ, 545, 364 [NASA ADS] [CrossRef] (In the text)
- Meyer, M. R., Adams, F. C., Hillenbrand, L. A., Carpenter, J. M., & Larson, R. B. 2000, in Protostars and Planets IV, ed. V. Mannings et al., 521
- Motte, F., & André, P. 2001, A&A, 365, 440 [NASA ADS] [CrossRef] [EDP Sciences]
- Motte, F., André, P., & Neri, R. 1998, A&A, 336, 150 [NASA ADS] (In the text)
- Motte, F., André, P., Ward-Thompson, D., & Bontemps, S. 2001, A&A, 372, 41 [NASA ADS] [CrossRef]
- Myers, P. C. 2000, ApJ, 530, 119 [NASA ADS] [CrossRef]
- Nakamura, F., & Li, Z. -Y. 2007, ApJ, 662, 395 [NASA ADS] [CrossRef] (In the text)
- Norman, C., & Silk, J. 1980, ApJ, 238, 158 [NASA ADS] [CrossRef]
- Padoan, P., & Nordlund, A. 2002, ApJ, 576, 870 [NASA ADS] [CrossRef]
- Palla, F., & Stahler, S. 1999, ApJ, 525, 772 [NASA ADS] [CrossRef]
- Peretto, N., André, Ph., & Belloche, A. 2006, A&A, 445, 979 [NASA ADS] [CrossRef] [EDP Sciences]
- Peretto, N., Hennebelle, P., & André, Ph. 2007, A&A, 464, 983 [NASA ADS] [CrossRef] [EDP Sciences]
- Quillen, A., Thorndike, S., Cunningham, A., et al. 2005, ApJ, 632, 941 [NASA ADS] [CrossRef]
- Reipurth, B., & Bally, J. 2001, ARA&A, 39, 403 [NASA ADS] [CrossRef]
- Robitaille, T., Whitney, B., Indebetouw, R., & Wood, K. 2007, ApJ, 169, 328 [NASA ADS] [CrossRef] (In the text)
- Rodriguez, L. F., Canto, J., Torrelles, J. M., & Ho, P. T. P. 1986, ApJ, 301, 25 [NASA ADS] [CrossRef]
- Rodriguez, L. F., Porras, A., Claussen, M. J., et al. 2003, ApJ, 586, 137 [NASA ADS] [CrossRef]
- Schreyer, K., Helmich, F. P., van Dishoeck, E. F., & Henning, T. 1997, A&A, 326, 347 [NASA ADS]
- Schreyer, K., Stecklum, B., Linz, H., & Henning, Th. 2003, ApJ, 599, 335 [NASA ADS] [CrossRef] (In the text)
- Schuster, K.-F., Boucher, C., Brunswig, W., et al. 2004, A&A, 423, 1171 [NASA ADS] [CrossRef] [EDP Sciences] (In the text)
- Scoville, N. Z., Sargent, A. I., Sanders, D. B., et al. 1986, ApJ, 303, 416 [NASA ADS] [CrossRef] (In the text)
- Shu, F. H., Li, Z.-Y., & Allen, A. 2004, ASPC, 323, 37 [NASA ADS] (In the text)
- Snell, R. L., Loren, R. B., & Plambeck, R. L. 1980, ApJ, 239, 17 [NASA ADS] [CrossRef]
- Solomon, P. M., Rivolo, A. R., Barrett, J., & Yahil, A. 1987, ApJ, 319, 730 [NASA ADS] [CrossRef] (In the text)
- Stahler, S. W. 1988, ApJ, 332, 804 [NASA ADS] [CrossRef]
- Stanke, T., Smith, M. D., Gredel, R., & Khanzadyan, T. 2006, A&A, 447, 609 [NASA ADS] [CrossRef] [EDP Sciences] (In the text)
- Stojimirovic, I., Narayanan, G., Snell, R. L., & Bally, J. 2006, ApJ, 649, 280 [NASA ADS] [CrossRef] (In the text)
- Strom, S. E., Strom, K. M., Grasdalen, G. L., et al. 1984, BAAS, 16, 465 [NASA ADS]
- Talvard, M., André, Ph., Rodriguez, L., et al. 2008, SPIE, 7020, 70200
- Taylor, D. K., & Dickman, R. L. 1989, ApJ, 341, 293 [NASA ADS] [CrossRef]
- Testi, L., & Sargent, A. 1998, ApJ, 508, 91 [NASA ADS] [CrossRef]
- Umemoto, T., Iwata, T., Fukui, Y., et al. 1992, ApJ, 392, 83 [NASA ADS] [CrossRef]
- Von Weizsäcker, C. F. 1951, in Proceedings of a Symposium on the Motion of Gaseous Masses of Cosmical Dimensions, 1949, 158
- Wang, H., Yang, J., Wang, M., & Yan, J. 2002, A&A, 389, 1015 [NASA ADS] [CrossRef] [EDP Sciences] (In the text)
- Ward-Thompson, D., Zylka, R., Mezger, P. G., & Sievers, A. W. 2000, A&A, 355, 1122 [NASA ADS]
- Williams, J., & Garland, C. 2002, ApJ, 568, 259 [NASA ADS] [CrossRef]
- Wilson, T. L., & Matteucci, F. 1992, A&A, 4, 1 (In the text)
- Wolf-Chase, G. A., Walker, C. K., & Lada, C. J. 1995, ApJ, 442, 197 [NASA ADS] [CrossRef]
- Wolf-Chase, G. A., & Walker, C. K. 1995, ApJ, 447, 244 [NASA ADS] [CrossRef]
Footnotes
- ... formation
- Based on observations carried out with the IRAM 30 m telescope. IRAM is supported by INSU/CNRS (France), MPG (Germany), and IGN (Spain).
- ...
- The Fits files for the CO(2-1) HERA maps are only available in electronic from at the CDS via anonymous ftp to cdsarc.u-strasbg.fr (130.79.128.5) or via http://cdsweb.u-strasbg.fr/cgi-bin/qcat?J/A+A/499/175
All Tables
Table 1: Parameters of the IRAM 30 m observations.
Table 2: Observed properties of the 12CO(2-1) outflows detected in the map of Fig. 2.
Table 3: Estimates of the masses of outflow-entrained material at low velocities.
Table 4: Derived parameters of the eleven 12CO(2-1) outflows mapped in NGC 2264-C.
Table 5: Global properties of the population of eleven 12CO(2-1) outflows observed in NGC 2264-C.
Table 6: Properties of the sources : C-MM1, C-MM2, C-MM13, and C-MM3.
All Figures
![]() |
Figure 1:
a) Dust continuum map of NGC 2264-C taken at 1.2 mm by Peretto et al. (2006) with the MAMBO bolometer array on the IRAM 30 m telescope.
Twelve millimeter peaks were found and interpreted as candidate Class 0 objects (see Peretto et al. for details). b) Total-power 450 |
| Open with DEXTER | |
| In the text | |
![]() |
Figure 2: 12CO(2-1) map of the NGC 2264-C protocluster. Blue contours show the levels of 12CO(2-1) intensity integrated between -27 km s-1 and 2 km s-1 in the blue-shifted part of the line, and go from 5 to 98 K km s-1. Red contours are levels of intensity integrated between 13 km s-1 and 34 km s-1 in the red-shifted part of the line, and go from 5 to 110 K km s-1. The eleven outflows discovered in the present survey are labeled by F1 to F11. The background greyscale image is the 1.2 mm dust continuum map obtained by Peretto et al. (2006) with MAMBO on the IRAM-30 m. White crosses and numbers refer to the millimeter continuum peaks identified by Peretto et al. (2007,2006) (see also Fig. 1). |
| Open with DEXTER | |
| In the text | |
![]() |
Figure 3:
Examples of high-velocity 12CO(2-1) spectra showing emission at blue-shifted a) and red-shifted b) velocities for the candidate outflows
F8 and F9, respectively.
In both cases, the dashed spectrum shows a 12CO(2-1) reference spectrum obtained by averaging |
| Open with DEXTER | |
| In the text | |
![]() |
Figure 4:
Spatial extent of the red-shifted outflow lobe F4.
The upper panel shows the high-velocity 12CO(2-1) emission, integrated from
|
| Open with DEXTER | |
| In the text | |
![]() |
Figure 5:
12CO(2-1) to 13CO(2-1) intensity ratio calculated over the widest velocity range for which the 13CO(2-1) intensity is greater than the 3 |
| Open with DEXTER | |
| In the text | |
![]() |
Figure 6:
Illustration of the velocity ranges used for the calculation of minimum and maximum masses of the outflows.
The dashed spectrum shows the 12CO(2-1) reference spectrum from the ambient cloud.
The solid spectrum corresponds to the candidate outflow F3. Vertical solid lines show the velocity ranges used in the computation of the outflow masses.
[V1; V2] represents the interval used for the calculation of the minimum outflow mass (see Sect. 4.1.2 for details). [V2; V3] is the additional
velocity interval used to compute
|
| Open with DEXTER | |
| In the text | |
| |
Figure 7:
Blow up of the 12CO(2-1) map of Fig. 2 toward the (F1, F2) bipolar outflow in
the central part of the NGC 2264-C protocluster. The full contours show the integrated intensity in the blue-shifted part of CO(2-1) line (from 1 to -27 km s-1). Contours range from 5 to 98 K km s-1. The dashed contours are levels of CO(2-1) integrated intensity in the red-shifted part of the line (from 13 to 28.5 km s-1), and contours range from 5 to 110 K km s-1. Markers refer to the positions of millimeter continuum peaks C-MM3 and C-MM13.
The solid line arrow marks the direction of the bipolar outflow made up by F1 and F2, at a position angle of
|
| Open with DEXTER | |
| In the text | |
![]() |
Figure 8:
Position-velocity diagram of the (F1, F2) bipolar flow, constructed along an axis passing through C-MM13
(offset
|
| Open with DEXTER | |
| In the text | |
![]() |
Figure 9:
Envelope mass versus bolometric luminosity diagram comparing the locations of the protostellar sources of NGC 2264-C (open triangles with error bars) with the positions of low-mass Class I (filled circles) and Class 0 objects (open circles) (from André et al. 2000). Model evolutionary tracks, computed for various final stellar masses
|
| Open with DEXTER | |
| In the text | |
![]() |
Figure 10:
CO momentum flux
|
| Open with DEXTER | |
| In the text | |
Copyright ESO 2009
Current usage metrics show cumulative count of Article Views (full-text article views including HTML views, PDF and ePub downloads, according to the available data) and Abstracts Views on Vision4Press platform.
Data correspond to usage on the plateform after 2015. The current usage metrics is available 48-96 hours after online publication and is updated daily on week days.
Initial download of the metrics may take a while.
![\begin{figure}
\par\subfigure[]{\includegraphics[width=8cm,clip]{1442fig1a.eps} }
\par\subfigure[]{\includegraphics[width=8cm,clip]{1442fig1b.eps} }\end{figure}](/articles/aa/full_html/2009/19/aa11442-08/Timg34.png)
![\begin{figure}
\par\includegraphics[width= 16.5cm]{1442fig2.CMYK.eps}
\end{figure}](/articles/aa/full_html/2009/19/aa11442-08/Timg46.png)
![\begin{figure}
\par\subfigure[]{\includegraphics[width=5.2cm,angle=-90,clip]{144...
...e[]{\includegraphics[width=5.2cm,angle=-90,clip]{1442fig3b.eps} }
\end{figure}](/articles/aa/full_html/2009/19/aa11442-08/Timg48.png)
![\begin{figure}
\par\includegraphics[width=7.4cm,clip]{1442fig4.eps}
\end{figure}](/articles/aa/full_html/2009/19/aa11442-08/Timg52.png)

![\begin{figure}
\par\includegraphics[width=9cm,angle=0,clip]{1442fig5.eps}
\end{figure}](/articles/aa/full_html/2009/19/aa11442-08/Timg64.png)


![\begin{figure}
\par\includegraphics[width=6.5cm,angle=-90,clip]{1442fig6.eps}
\end{figure}](/articles/aa/full_html/2009/19/aa11442-08/Timg88.png)
![$\displaystyle M_{\rm {add}} = 1.6 \times 10^{-6}
\int_{{V_{2}}}^{{V_{3}}}\!\!\i...
...\rm flow} - T_{\rm A}^{*}({v})\vert_{\rm ref}] {\rm d}{v} ~ {\rm d}A~(M_\odot),$](/articles/aa/full_html/2009/19/aa11442-08/img90.png)
![$\displaystyle M_{\rm {low}} = 1.6 \times 10^{-6}
\int_{{V_{3}}}^{{V_{\rm sys}}}...
...{v}}}}
~[\beta \times ({v}-{V}_{\rm sys})^{\alpha}] {\rm d}v \times A(M_\odot),$](/articles/aa/full_html/2009/19/aa11442-08/img99.png)
![\begin{figure}
\par\includegraphics[width=7.6cm,angle=-90,clip]{1442fig8.eps}\\\end{figure}](/articles/aa/full_html/2009/19/aa11442-08/Timg137.png)
![\begin{figure}
\par\includegraphics[width=6.7cm,angle=-90,clip]{1442fig9.ps}
\end{figure}](/articles/aa/full_html/2009/19/aa11442-08/Timg158.png)
![\begin{figure}
\par\subfigure{\includegraphics[width=6.9cm,angle=-90,clip]{1442f...
...igure{\includegraphics[width=6.9cm,angle=-90,clip]{1442f10b.eps} }\end{figure}](/articles/aa/full_html/2009/19/aa11442-08/Timg159.png)






