| Issue |
A&A
Volume 499, Number 1, May III 2009
|
|
|---|---|---|
| Page(s) | 215 - 232 | |
| Section | Interstellar and circumstellar matter | |
| DOI | https://doi.org/10.1051/0004-6361/200811550 | |
| Published online | 05 March 2009 | |
Increased complexity in interstellar chemistry: detection and chemical modeling of ethyl formate and n-propyl cyanide in Sagittarius B2(N)
,![[*]](/icons/foot_motif.png)
A. Belloche1 - R. T. Garrod2,1 - H. S. P. Müller3,1 - K. M. Menten1 - C. Comito1 - P. Schilke1
1 - Max-Planck Institut für Radioastronomie, Auf dem Hügel 69,
53121 Bonn, Germany
2 -
Department of Astronomy, Cornell University,
106 Space Sciences Building, Ithaca, NY 14853, USA
3 -
I. Physikalisches Institut, Universität zu Köln,
Zülpicher Str. 77, 50937 Köln, Germany
Received 19 December 2008 / Accepted 17 February 2009
Abstract
Context. In recent years, organic molecules of increasing complexity have been found toward the prolific Galactic center source Sagittarius B2.
Aims. We wish to explore the degree of complexity that the interstellar chemistry can reach in star-forming regions.
Methods. We carried out a complete line survey of the hot cores Sgr B2(N) and (M) with the IRAM 30 m telescope in the 3 mm range, plus partial surveys at 2 and 1.3 mm. We analyzed this spectral survey in the local thermodynamical equilibrium approximation. We modeled the emission of all known molecules simultaneously, which allows us to search for less abundant, more complex molecules. We compared the derived column densities with the predictions of a coupled gas-phase and grain-surface chemical code.
Results. We report the first detection in space of ethyl formate (C2H5OCHO) and n-propyl cyanide (C3H7CN) toward Sgr B2(N). The detection of n-propyl cyanide is based on refined spectroscopic parameters derived from combined analyses of available laboratory spectroscopic data. For each molecule, we identified spectral features at the predicted frequencies having intensities compatible with a unique rotation temperature. For an assumed source size of 3
,
our modeling yields a column density of 5.4
1016 cm-2, a temperature of 100 K, and a linewidth of 7 km s-1 for ethyl formate. n-Propyl cyanide is detected with two velocity components having column densities of 1.5
1016 cm-2 and 6.6
1015 cm-2, respectively, for a source size of 3
,
a temperature of 150 K, and a linewidth of 7 km s-1. The abundances of ethyl formate and n-propyl cyanide relative to H2 are estimated to be 3.6
10-9 and 1.0
10-9, respectively. We derived column density ratios of 0.8/15/1 for the related species t-HCOOH/CH3OCHO/C2H5OCHO and 108/80/1 for CH3CN/C2H5CN/C3H7CN. Our chemical modeling reproduces these ratios reasonably well. It suggests that the sequential, piecewise construction of ethyl and n-propyl cyanide from their constituent functional groups on the grain surfaces is their most likely formation route. Ethyl formate is primarily formed on the grains by adding CH3 to functional-group radicals derived from methyl formate, although ethanol may also be a precursor.
Conclusions. The detection in Sgr B2(N) of the next stage of complexity in two classes of complex molecule, esters and alkyl cyanides, suggests that greater complexity in other classes of molecule may be present in the interstellar medium.
Key words: astrobiology - astrochemistry - line: identification - stars: formation - ISM: individual objects: Sagittarius B2 - ISM: molecules
1 Introduction
More than 150 molecules have been discovered in the interstellar medium or in circumstellar envelopes over the past four decades (see, e.g., Müller et al. 2005
). Among them, ``complex'' organic molecules with up to 13 atoms have been found,
showing that the interstellar chemistry in some regions is efficient enough to achieve a relatively high degree of chemical complexity
. In addition, much larger molecules have been found in meteorites discovered on Earth, including more than 80 distinct amino acids. The non-terrestrial isotopic ratios of these amino acids, as well as their racemic distributions
, suggest that they, or at least their direct precursors, have an interstellar origin (see, e.g., Ehrenfreund et al. 2001; Bernstein et al. 2002; Elsila et al. 2007, and references therein). Interstellar chemistry is therefore very likely capable of producing more complex organic molecules than those discovered in the interstellar medium so far. However, the degree of complexity that may be reached is still an open question; the partition functions of larger molecules are large, making it much more difficult to detect such species, even if they are present in reasonably large quantities.
Grain-surface chemistry is frequently invoked as the formation mechanism of many complex species, particularly following recent determinations of some key gas-phase reaction rates. Gas-phase production of methyl formate, a molecule ubiquitous in hot-core spectra, appears prohibitively slow (Horn et al. 2004), pointing to an efficient alternative. Additionally, the dissociative recombination of large organic molecular ions with electrons, which is typically the final step in the gas-phase synthesis of complex molecules, appears strongly to favor the fragmentation of complex structure (Geppert et al. 2006).
In the case of hot cores, the granular ice mantles built up during prior phases of evolution present a rich source of simple saturated molecules from which more complex species may form, as has long been realized (Millar et al. 1991). However, while the efficiency of complex molecule formation in the gas phase is limited (not exclusively) by the need to stabilize the energized complex, often resulting in fragmentation, adhesion to a grain surface allows an adduct to quickly thermalize. Thus, molecular radicals derived from the ice mantles may combine in situ on the grain surfaces to build up complex structures efficiently, if dust temperatures are sufficient for the reactants to meet by thermal diffusion. The hot-core models of Garrod & Herbst (2006) and Garrod et al. (2008) have demonstrated the plausibility of such mechanisms in reproducing observed abundances of many complex organic species.
The detection of new complex molecules places valuable constraints on the chemical models. In the context of the model employed, e.g., by Garrod et al. (2008), obtaining abundances of structurally-related molecules allows one to isolate the chemical behavior of the functional groups from which they are constructed, and to relate these back to more fundamental model parameters such as photodissociation rates, binding energies, and initial ice composition. Such an approach then allows further observational predictions to be made.
One of the current best sources to search for new molecules in the interstellar medium is the hot dense core Sagittarius B2(N) - hereafter Sgr B2(N) for short. This source, dubbed
the ``Large Molecule Heimat'' by Snyder et al. (1994), is extraordinary for its rich molecular content: most complex organic molecules such as, e.g., acetic acid (CH3COOH, Mehringer et al. 1997), glycolaldehyde (CH2(OH)CHO, Hollis et al. 2000), acetamide (CH3CONH2, Hollis et al. 2006), and aminoacetonitrile (NH2CH2CN, Belloche et al. 2008b,a), were first discovered
in Sgr B2(N). This hot core is located in the very massive and extremely active region of high-mass star formation Sagittarius B2, at a projected distance of
100 pc from the Galactic center, whose distance is 8.0
0.5 kpc from the Sun (Reid 1993). A second major and somewhat more evolved center of star formation activity, Sgr B2(M), is situated in its vicinity (
2 pc). A more detailed introduction on these two sources and their environment can be
found in, e.g., Belloche et al. (2008a).
Here, we report the detection of warm compact emission from ethyl formate (C2H5OCHO) and n-propyl cyanide (C3H7CN) in Sgr B2(N) with the IRAM 30 m telescope. Section 2 summarizes the observational details. The detections of ethyl formate and n-propyl cyanide are presented in Sects. 3 and 4, respectively. Implications in terms of interstellar chemistry are discussed in Sect. 5 based on a coupled gas-phase and grain-surface chemical code. Our conclusions are summarized in Sect. 6.
2 Observations and data analysis
2.1 Observations
We observed the two hot core regions Sgr B2(N) and Sgr B2(M) in January 2004, September 2004, and January 2005 with the IRAM 30 m telescope on Pico Veleta, Spain. We carried out a complete spectral survey toward both sources in the 3 mm atmospheric window between 80 and 116 GHz. A complete survey was performed in parallel in the 1.3 mm window between 201.8 and 204.6 GHz and between 205.0 and 217.7 GHz. Additional selected spectra were also obtained in the 2 mm window and between 219 and 268 GHz. The coordinates of the observed positions are
= 17
47
20
0,
=
22
19.0
for Sgr B2(N) with
a systemic velocity
= 64 km s-1 and
= 17
47
20
4,
=
23
07.0
for Sgr B2(M)
with
= 62 km s-1. More details about the observational setup and the data
reduction can be found in Belloche et al. (2008a). An rms noise level of 15-20 mK on the
scale was achieved below 100 GHz, 20-30 mK between 100 and 114.5 GHz, about 50 mK between 114.5 and 116 GHz, and 25-60 mK in the 2 mm window. At 1.3 mm, the confusion limit was reached for most of the spectra obtained toward Sgr B2(N).
2.2 Modeling of the spectral survey
The overall goal of our survey was to characterize the molecular content of Sgr B2(N) and (M). It also allows searches for new species once lines emitted by known molecules have been identified, including vibrationally and torsionally excited states, as well as less abundant isotopologues
containing, e.g., 13C, 18O, 17O, 34S, 33S, or 15N. We detected about 3700 and 950 lines above
over the whole 3 mm band toward Sgr B2(N) and (M), respectively. These numbers correspond to an average line density of about 100 and 25 features per GHz. Given this high line density, the assignment of a line to a given molecule can be trusted only if all lines emitted by this molecule in our frequency coverage are detected with
the right intensity predicted by a model (see below) and no predicted line is missing in the observed spectrum.
We used the XCLASS software (see Comito et al. 2005) to model the emission of all known molecules in the local thermodynamical equilibrium approximation (LTE for short). Each molecule is modeled separately and assumed to be emitted by a uniform region. For each molecule, the free parameters are: source size, temperature, column density, velocity linewidth, velocity offset with respect
to the systemic velocity of the source, and a flag indicating if its transitions are in emission or in absorption. For some of the molecules, it was necessary to include several velocity components to reproduce the observed spectra. The velocity components in emission are supposed to be non-interacting, i.e. the intensities add up linearly. This approximation is valid for two distinct, non-overlapping sources smaller than the beam of the telescope, but it is a priori less good for, e.g., a source that consists of a hot, compact region surrounded by a cold, extended envelope
or two overlapping sources of spectrally overlapping optically thick emission. More details about the entire analysis are given in Belloche et al. (2008a) and the detailed results of this modeling will be published in a forthcoming article describing the complete survey (Belloche et al., in prep.). So far, we have identified 49 different molecules, 60 rare isotopologues, and lines arising from within 42 vibrationally or torsionally excited states apart from the gound state in Sgr B2(N). This represents about
of the lines detected above the
level. In Sgr B2(M), the corresponding numbers are 42, 53, 23, and
,
respectively.
3 Identification of ethyl formate
3.1 Ethyl formate frequencies
Ethyl formate, C2H5OCHO, is also known as formic acid ethyl ester, or, according to the International Union of Pure and Applied Chemistry (IUPAC), as ethyl methanoate. Its rotational spectrum was studied in the microwave (Riveros & Bright Wilson 1967) and in the millimeter wave
regions up to 241 GHz (Demaison et al. 1984). The molecule occurs in two conformers. The heavy atoms C-C-O-C=O form a planar zigzag chain in the lowest anti-conformer which occasionally is also called the trans-conformer. The two conformers are depicted schematically in Medvedev et al. (2009). The terminal methyl group is rotated by
to the left or to the right in the gauche-conformer. Because of these two options, the gauche-conformer would be twice as abundant as the anti-conformer if the energy difference between the two were zero. However, the gauche-conformer is 0.78
0.25 kJ mol-1 or 65
21 cm-1 or 94
30 K higher in energy (Riveros & Bright Wilson 1967). Therefore, the abundance of the gauche-conformer is less than twice that of the anti-conformer, in particular at lower temperatures. Since the energy difference has been estimated at room temperature only from
relative intensities in the ground state spectra and since excited vibrational states have not been taken into consideration the error in the energy difference may well be larger.
Anti-ethyl formate is a strongly prolate molecule (
)
with electric dipole moments for a- and b-type transitions,
and
,
of 1.85 and 0.70 D, respectively. The gauche-conformer is more asymmetric, A is smaller by approximately one third and B and C are larger by about one third. The dipole moment components are
,
,
and
D (Riveros & Bright Wilson 1967). Internal rotation of the terminal methyl group can be neglected. Tunneling between the two gauche-conformers has not been observed (Riveros & Bright Wilson 1967).
In the early stages of the current study we received additional ethyl formate data from E. Herbst (Medvedev et al. 2009) based on spectra taken at the Ohio State University (OSU) and covering the frequency range 106-378 GHz. The predictions used for the current analysis are based on this data set. An entry for ethyl formate will be available in the catalog section of the Cologne Database for Molecular Spectroscopy (CDMS
,
see Müller et al. 2005,2001). The partition function of ethyl formate is 5.690
104 and
1.518
104 at 150 and 75 K, respectively. In the course of the analysis, the two conformers have been treated separately on occasion to evaluate if the abundance of either conformer is lower than would be expected under LTE conditions.
3.2 Detection of ethyl formate in Sgr B2(N)
Table 3: Transitions of the anti-conformer of ethyl formate detected toward Sgr B2(N) with the IRAM 30 m telescope.
For us to claim a reliable detection of a new molecule, it is essential that many lines of this molecule be detected in our spectral survey and that all the other expected lines, as predicted by our LTE model, either be blended with lines of other species or be below our detection limit (see Belloche et al. 2008a). Therefore, in the following, we inspect all transitions of ethyl formate in our frequency range. We list in Tables 1 and 2 (online material) only the transitions that our LTE modeling predicts to be stronger than 20 mK in the main-beam brightness temperature scale. 711 transitions of the anti-conformer and 478 transitions of the gauche-conformer are above this threshold that is conservative
since it is below 1.5 times the rms noise level of the best part of our survey (and
even below the rms noise level of most parts of our survey). To save some space, when two transitions have a frequency difference smaller than 0.1 MHz that cannot be resolved, we list
only the first one. We number the transitions in Col. 1 and give their quantum numbers in Col. 2. The frequencies, the frequency uncertainties, the energies of the lower levels in temperature units, and the
values are listed in Cols. 3-6, respectively. Since the spectra are
in most cases close to the line confusion limit and it is difficult to measure the noise level, we give in Col. 7 the rms sensitivity computed from the system temperature and the integration time:
,
with
and
the forward and beam efficiencies,
the system temperature,
the spectral resolution, and t the total integration time (on-source plus off-source).
We list in Col. 8 of Tables 1 and 2 comments about the blends affecting the transitions of the anti- and gauche-conformers of ethyl formate. As can be seen in these tables, most of the ethyl formate lines covered by our survey of Sgr B2(N) are heavily blended with lines of other molecules and therefore cannot be identified in this source based on our single-dish data. Only 46 of the 711 transitions of the anti-conformer are relatively free of contamination from other molecules, known or still unidentified according to our modeling. They are marked ``Detected'' or ``Group detected'' in Col. 8 of Table 1, and are listed with more information in Table 3. We stress that all transitions of sufficient strength predicted in the frequency range of our spectral survey are either detected or blended, i.e. no predicted transition is missing in the observed spectrum. The 46 detected transitions correspond to 24 observed features that are shown in Fig. 1 (online material) and labeled in Col. 8 of Table 3. For reference, we show the spectrum observed toward Sgr B2(M) in these figures also. We identified the ethyl formate lines and the blends affecting them with the LTE model of this molecule and the LTE model including all molecules (see Sect. 2.2). The parameters of our best-fit LTE model of ethyl formate are listed in Table 4, and the model is overlaid in red on the spectrum observed toward Sgr B2(N) in Fig. 1. The best-fit LTE model including all molecules is shown in green in the same figures.
For the frequency range corresponding to each detected ethyl formate feature, we list in Table 3 the integrated intensities of the observed spectrum (Col. 10), of the best-fit model of ethyl formate (Col. 11), and of the best-fit model including all molecules (Col. 12). In these columns, the dash symbol indicates transitions belonging to the same feature. Columns 1 to 7 of Table 3 are the same as in Table 1. The
uncertainty given for the integrated intensity in Col. 10 was computed using the estimated noise level of Col. 7.
The measurements of the anti-conformer of ethyl formate are plotted in the form of a population diagram in Fig. 2a, which plots upper level column density divided by statistical weight,
,
versus the upper level energy in Kelvins (see Goldsmith & Langer 1999). The data are shown in black and our best-fit model of ethyl formate in
red. Out of 12 features encompassing several transitions, one contains transitions with different energy levels and was ignored in the population diagram (feature 17). We used Eq. (A5) of Snyder et al. (2005) to compute the ordinate values:
![]() |
(1) |
where WT is the integrated intensity in K km s-1 in main-beam brightness temperature scale,
The population diagram derived from the modeled spectrum in Fig. 2a is systematically below the measurements. Since most of the detected features of the anti-conformer of ethyl formate are partially blended with lines from other molecules (see Col. 13 of Table 3), we can use our model including all identified molecules (shown in green in Fig. 1) to remove the expected contribution from the contaminating molecules. Instead of computing
with the integrated intensities
listed in Col. 10 of Table 3, we can use the value
derived from Cols. 10-12. The corrected population diagram is shown in Fig. 2b. The predicted (red) and measured (black) points are much closer to each other. A close inspection of Fig. 1 shows however that the wings of most detected features of ethyl formate are still contaminated by U-lines, which explains why the measured points are still above the predicted ones in the population diagram (our fitting method with XCLASS is mainly focused on the peak intensity, not on the integrated intensity). The only exception is feature 9 for which the level of the baseline was obviously overestimated (see panel 7 of Fig. 1).
Table 4: Parameters of our best-fit LTE model of ethyl formate.
Given the remaining uncertainties due to the contamination from U-lines, it is difficult to derive the temperature with high accuracy. However, feature 17, which can unfortunately not be shown in the population diagram since it is a blend of several transitions with different energy levels (from 149 to 253 K), is significantly detected in panel 13 of Fig. 1. This is a strong indication that the temperature cannot be much lower than 100 K. Overall, we estimate the resulting uncertainty on the derived column density to be on the order of 25
.
Finally, since all detected transitions are optically thin and the region emitting in ethyl formate is most likely compact given its high temperature, column density and source size are degenerate. We fixed the source size to 3
.
This is approximately the size of the region emitting in the chemically related molecule methyl formate (CH3OCHO) that we measured with the IRAM Plateau de Bure interferometer
(see Table 5 of Belloche et al. 2008b).
From this analysis, we conclude that our best-fit model for the anti-conformer of ethyl formate is fully consistent with our 30 m data of Sgr B2(N). This detection of ethyl formate is, to our knowledge, the first one in space
.
![]() |
Figure 2:
a) Population diagram of the anti-conformer of
ethyl formate in Sgr B2(N). The red points were computed in the optically thin approximation using the integrated intensities of our best-fit model of ethyl formate, while the green points were corrected for the opacity. The black points were computed in the optically thin approximation using the integrated intensities of the spectrum observed with the IRAM 30 m telescope.
The error bars are |
| Open with DEXTER | |
No feature of the gauche-conformer of ethyl formate is clearly detected in our spectral survey of Sgr B2(N). Only one feature at 213.6 GHz is possibly detected, but the baseline in this frequency range is very uncertain and the feature is blended with a transition of H13CCCN
(see Table 2). If we consider this feature as a detection, then it implies a column density a factor 2 smaller than for the anti-conformer. This may suggest that the distribution of ethyl formate molecules in the two conformers is not in thermodynamical equilibrium. However, we first have to evaluate the uncertainty on the ratio of the anti- and gauche-conformer populations coming from the uncertainty on the energy difference between the two conformers (
21 cm-1, see Sect. 3.1). With
,
the ratio would be 1/2. For the preferred energy difference of 65 cm-1, we have a ratio of about 0.56/0.44 at 100 K. If we assume an energy difference of 86 cm-1 this
ratio would change to 0.62/0.38, i.e. a variation of ![]()
.
This is not enough to compensate for the factor 2 mentioned above, but can have a significant contribution. In addition, a model of the emission spectrum of the gauche-conformer with the same parameters as for the
anti-conformer is not excluded because of the large uncertainty on the baseline at 213.6 GHz. Therefore, given the large densities characterizing the hot core in Sgr B2(N)
(see, e.g., Belloche et al. 2008b,a), it seems unlikely that the population in the
gauche-conformer is subthermal compared to the anti-conformer.
3.3 Upper limit in Sgr B2(M)
We do not detect ethyl formate in our spectral survey toward Sgr B2(M). Using the same source size, linewidth, and temperature as for Srg B2(N) (see Table 4), we find ![]()
column density upper limits of 2.0
1016 cm-2 and 4.0
1016 cm-2 in the LTE approximation for the anti- and gauche-conformers,
respectively. The column density of ethyl formate is thus at least a factor
3 lower
toward Sgr B2(M) than toward Sgr B2(N). This is not surprising since, e.g., Nummelin et al. (2000) found that hot-core-type molecules are more abundant in Sgr B2(N) by factors 3-8 as compared to Sgr B2(M).
3.4 Comparison to related species
We easily detect the already known molecules formic acid in the trans form (t-HCOOH or t-HOCHO), methyl formate (CH3OCHO), ethanol (C2H5OH), and dimethyl ether (CH3OCH3) in our survey toward Sgr B2(N) (see also, e.g., Nummelin et al. 2000; Liu et al. 2001). The parameters of
our current best fit models of these molecules are listed in Table 5. All species have two velocity components that correspond to the two hot cores embedded in Sgr B2(N)
(see, e.g., Belloche et al. 2008a, for a discussion about these two sources). Ethyl formate may have a second velocity component too, but our survey is not sensitive enough to detect it with a significant signal-to-noise ratio. Using the same parameters as for the first velocity component but a velocity shift of 10 km s-1, we estimate a
upper limit of
2.4
1016 cm-2 for the column density of a second velocity component of ethyl formate.
The lines of formic acid are optically thin in our model, so the size of the emitting region cannot be measured with our single-dish data. It was here fixed to 5
,
assuming that a more extended region would have a lower temperature. Nummelin et al. (2000) derived a temperature of
74+82-30 K and a beam-averaged column density of
4.2+2.0-1.0
1014 cm-2 in the LTE approximation with the SEST telescope (HPBW
at 1.3 mm). They used a linewidth of 13 km s-1 (
), which more or less corresponds to the combination of the two velocity components we identified. Their column density translates into a column density of
9.3+4.4-2.1
1015 cm-2 for
a source size of 5
,
i.e. about a factor 2 smaller than the sum of the column densities of both velocity components in Table 5. At least two reasons may explain this discrepancy. First of all, as we noticed in our own partial survey at 1.3 mm, the level of the baseline in this wavelength range is very uncertain for Sgr B2(N) because of the line confusion and it may easily be overestimated. Second, at these high frequencies in Sgr B2(N), the dust is partially optically thick and should partially absorb the line emission
. We estimate that the combination of these two effects can lead to underestimating the true line intensities by about a factor 2 or 3. In addition, assuming a temperature of 200 K, Liu et al. (2001) measured a beam-averaged column density of 1.1
0.3
1016 cm-2 with the BIMA interferometer at
86-90 GHz (HPBW
). This translates into a column density of
6.3
1.5
1015 cm-2 for a source size of 5
and a temperature of 70 K. The interferometric detection of Liu et al. (2001) is somewhat uncertain but suggests that about half of the 30 m flux may be emitted by an extended region filtered out by the
interferometer. The formic acid column density of the compact sources listed in Table 5 may therefore be overestimated by up to a factor 2.
Table 5: Parameters of our best-fit LTE models of formic acid, methyl formate, ethanol, and dimethyl ether.
The lines of methyl formate have opacities of up to about 1 in our model of the 3 mm spectrum, which puts only weak constraints on the source size that we fixed to 4
.
Assuming a temperature of 200 K, Nummelin et al. (2000) derived a beam-averaged column density of
5.6+0.3-0.1
1015 cm-2 with the SEST telescope for the a-type lines and, assuming a temperature of 500 K,
4.0+0.3-0.4
1016 cm-2 for the b-type lines. For a temperature of 80 K and a source size of 4
,
the column density of the a-type lines translates into a column density of
1.2
1017 cm-2, which is about a factor 5 smaller than the one we derived here for the sum of the two velocity components. Again, the uncertainty on the level of the baseline and the partial dust absorption at 1.3 mm may explain part of this discrepancy. In addition, we note that our
model at 3 mm reproduces quite well both the a- and b-type lines with the same temperature and column density (see Appendix A, online material), while Nummelin et al. (2000) found an order of magnitude difference between the column densities of the two types. We believe that this discrepancy results from the fact that they did not properly take into account the line blending, which is large in Sgr B2(N) and should affect the (weak) b-type lines the most, and that they underestimated the line opacities of the (strong) a-type lines that our model predicts to be on the order of 1-3 in the 1.3 mm range. Using the BIMA interferometer at 90.15 GHz with a beam size of
,
Liu et al. (2001) found a beam-averaged column density of 1.1
1017 cm-2 for an assumed temperature of 200 K in the optically thin approximation. This translates into a column density of 1.5
1017 cm-2 for a source size of 4
and a temperature of 80 K. However, our model predicts an opacity of
0.6 for this transition, which implies a higher column density of 2.0
1017 cm-2. This is still about a factor 2 times lower than our estimate and suggests that, like in the case of formic acid, half of the single-dish flux may actually come from a region more extended than the size of our model and may be filtered out by the interferometer. This conclusion is further supported by the flux ratio of 1.7 between the 12 m telescope (
)
and BIMA (
)
measurements of Friedel et al. (2004) at 86-90 GHz, and the flux ratio of 2.3 we found between the measurements done with the 30 m telescope and the Plateau de Bure interferometer at 82.2 GHz (see Table 5 of Belloche et al. 2008b). As a result, the methyl formate column density of the compact sources listed in Table 5 may be overestimated by up to a factor 2.
Most lines of ethanol are optically thin at 3 mm (
), except for three lines that are marginally optically thick (
). As a result, the source size is not well contrained and we fixed it to 3
.
Nummelin et al. (2000) derived a beam-averaged column density of 4.2
0.2
1015 cm-2 for a temperature of 73
+5-4 K
with the SEST telescope. This translates into a column density of 2.5
1017 cm-2 for a source size of 3
,
which is significantly lower than our measurement. However, Nummelin et al. (2000) used an earlier version of the JPL entry for ethanol that turned out to be
inaccurate (Pearson, private communication). With this older version, we determined column densities of 2.8
1017 and 8.9
1016 cm-2 for both velocity components, which was consistent with the result of Nummelin et al. (2000). The column densities given
in Table 5 were obtained with the latest JPL entry for ethanol (Pearson et al. 2008). The high-energy lines (
K) detected by Friedel et al. (2004) with the NRAO 12 m telescope and the BIMA interferometer have the same fluxes with
both instruments, implying that they are emitted by a compact region. Only the
41,4-30.3 line with
K has an interferometric flux significantly lower than the single-dish flux. Our LTE model is also too weak for this transition compared to the spectrum obtained with the 30 m telescope. However, it fits well the low-energy transitions at 84.595868 GHz (
K) and 112.807174 GHz (
K) detected in our survey. Therefore, it is unclear whether the BIMA missing flux of the
41,4-30.3 transition suggests an additional cold, extended component, or this line is heavily blended with a transition of another molecule.
Our model of dimethyl ether predicts line opacities up to 2. The size of the emitting region is thus reasonably well constrained for this molecule. Nummelin et al. (2000) derived a beam-averaged
column density of
7.9+0.8-0.7
1015 cm-2 for a temperature of 197
+31-22 K with the SEST telescope. This translates into a column density of 6.8
1017 cm-2 for a source size of 2.5
,
which is a factor 4 lower than derived here. The discrepancy most likely comes from the beam filling factor of unity assumed by Nummelin et al. (2000) that leads to underestimating the line opacities. Our LTE model indeed predicts
line optical depths up to 9 in the 1.3 mm window.
After rescaling to the same size of 3
,
the relative column densities of the three related molecules t-HCOOH/ CH3OCHO/C2H5OCHO are about 0.8/15/1 for the first velocity component, and 0.9/11/1 for the second velocity component using the upper limit
found for ethyl formate. We discuss these ratios and the implications for the
interstellar chemistry in Sect. 5.
4 Identification of n-propyl cyanide
4.1 n-Propyl cyanide frequencies
n-Butanenitrile, C3H7CN, is more commonly known as n-propyl cyanide or n-butyronitrile. Its rotational spectrum has been investigated in the microwave (Demaison & Dreizler 1982; Vormann & Dreizler 1988; Hirota 1962) and in the millimeter wave regions up to 284 GHz (Wodarczak et al. 1988). The n indicates the normal isomer with the carbon atoms forming a chain, in contrast to the iso isomer which has a branched structure. This isomer has been studied to a lesser extent. However, its rotational spectrum is currently under investigation in Cologne.
n-Propyl cyanide exists in two conformers, anti and gauche, just as does ethyl formate. Again, the anti-conformer is the lower energy form, is strongly prolate, and has a large a-dipole moment component of 3.60 D and a still sizable b-dipole moment component of 0.98 D. The gauche-conformer is 1.1
0.3 kJ mol-1 or 92
25 cm-1 or 132
36 K higher in energy, more asymmetric, and has
and
D (Wodarczak et al. 1988). The energy difference has been estimated at room temperature and at 233 K from relative intensities in the ground state spectra. Since excited vibrational states have not been taken into consideration the error in the energy difference may well be slightly larger than mentioned above. The residuals quoted in the most recent study (Vormann & Dreizler 1988) for their measurements are frequently much larger than the suggested uncertainties of about 5 kHz suggesting an insufficient set of spectroscopic parameters was used. Moreover, only newly determined rotational and centrifugal distortion parameters were given for the gauche-conformer. Therefore, new sets of rotational and centrifugal distortion parameters were determined for both
conformers in the present study.
In the initial fits transition frequencies were taken from all four studies (Demaison & Dreizler 1982; Vormann & Dreizler 1988; Hirota 1962; Wodarczak et al. 1988). Two b-type transitions from Wodarczak et al. (1988) were omitted from the fits as suggested in the erratum to this paper (Wodarczak et al. 1991). On the other hand, transition frequencies not given in Vormann & Dreizler (1988), but deposited at the library of the University of Kiel were obtained from there and included in the fits. Uncertainties of 200, 10, 50, and 5 kHz were assigned to the transitions from Hirota (1962), Demaison & Dreizler (1982), Wodarczak et al. (1988), and Vormann & Dreizler (1988), respectively. Demaison & Dreizler (1982) and Vormann & Dreizler (1988) resolved in part internal rotation of the methyl group or quadrupole splitting of the 14N nucleus in their laboratory measurements. The methyl internal rotation is unlikely to be resolved in astronomical observations. The quadrupole splitting may be resolvable for some low energy transitions, but these will be generally too weak. Therefore, only the unsplit frequencies were used from these two studies. In the unlikely event of detecting n-propyl cyanide in cold sources, quadrupole parameters published in Vormann & Dreizler (1988) would be adequate.
There were comparatively few transitions reported in Hirota (1962), and their uncertainties were fairly large. Trial fits with these transitions omitted from the fits caused essentially no change in the values and in the uncertainties of the spectroscopic parameters. Therefore, these transitions were omitted from the final fits. Two transitions, 361,36-350,35 of the anti-conformer and 315,27-305,26 of the gauche-conformer, had residuals between observed and calculated frequencies larger than four times the experimental uncertainties. Therefore, these transitions were omitted from the data sets. The final line list for the anti-conformer contained 4, 93, and 50 different transition frequencies from Demaison & Dreizler (1982), Wodarczak et al. (1988), and Vormann & Dreizler (1988), respectively. The total number of transitions is larger by 62 because of unresolved asymmetry splitting. The corresponding numbers of different transition frequencies for the gauche-conformer are 4, 119, and 46. Unresolved asymmetry splitting causes the total number of transitions to be larger by 46. The final line lists for both conformers are given in Tables 6 and 7 (online material).
The asymmetry parameter
is -0.9893 for anti-n-propyl cyanide, rather close to the symmetric prolate limit of -1. In such cases it is advisable to avoid using Watson's A-reduction and use the S-reduction instead. In the case of the gauche-conformer one finds
.
In this case both
reductions may be used. In the present work the S-reduction was used throughout for consistency reason. The sextic distortion parameter HK of the anti-conformer was initially estimated to be smaller than DK by the same factor that that parameter is smaller than A. This is certainly only a crude estimate. Trial fits with HK released suggested its value to be slightly larger than this estimate. But since the uncertainty was more than a third of its value and since
the difference was smaller than the uncertainty, HK was finally fixed to the estimated value. The final spectroscopic parameters are given in Table 8. Overall, the transition frequencies have been reproduced within experimental uncertainties as the dimensionless rms errors are 0.75 and 0.66 for the anti and gauche-conformers, respectively. The values for the individual data sets do not differ very much from these values. Moreover, this is reasonably close to 1.0 and suggests the ascribed uncertainties are quite appropriate.
Table 8: Spectroscopic parametersa (MHz) of n-propyl cyanide.
The gauche-conformer is considerably more asymmetric than the anti-conformer. Therefore, it is probably not surprising that the distortion parameters describing the asymmetry splitting (the off-diagonal di and the hi) are not only larger in magnitude for the former conformer, but also more of these terms are required in the fits. In addition, two octic centrifugal distortion parameters L were needed in the fit of the gauche-conformer resulting in an overall much larger parameter set and thus a much slower converging Hamiltonian compared with the anti-conformer. A similar situation occured in the recent investigation of ethyl formate (Medvedev et al. 2009) where also a much larger set of spectroscopic parameters was needed to fit the data of the gauche-conformer compared to the anti-conformer.
The predictions used for the current analysis will be made available in the CDMS (Müller et al. 2005,2001, see footnote 4). The partition function of n-propyl cyanide is 5.608
104 at 150 K. In the course of the analysis, the two conformers again have been treated separately on occasion to evaluate if the abundance of either conformer is
lower than would be expected under LTE conditions.
4.2 Detection of n-propyl cyanide in Sgr B2(N)
Table 11: Transitions of the anti-conformer of n-propyl cyanide detected toward Sgr B2(N) with the IRAM 30 m telescope.
To identify n-propyl cyanide, we used the same method as for ethyl formate (see Sect. 3.2). In our spectral survey, 636 transitions of the anti-conformer and 706 transitions of the gauche-conformer are predicted above the threshold of 20 mK defined in Sect. 3.2. They are listed in Tables 9 and 10 (online material), respectively, which are presented in the same way as Tables 1 and 2. Again, as can be seen in these tables, most of the n-propyl cyanide lines covered by our survey of Sgr B2(N) are heavily blended with lines of other molecules and therefore cannot be identified in this source. Only 50 of the 636 transitions of the anti-conformer are relatively free of contamination from other molecules, known or still unidentified according to our modeling. They are marked ``Detected'' or ``Group detected'' in Col. 8 of Table 9, and are listed with more information in Table 11. We stress that all transitions of sufficient strength predicted in the frequency range of our spectral survey are either detected or blended, i.e. no predicted transition is missing in the observed spectrum. The 50 detected transitions correspond to 12 observed features that are shown in Fig. 3 (online material) and labeled in Col. 8 of Table 11. For reference, we show the spectrum observed toward Sgr B2(M) in these figures also. We identified the n-propyl cyanide lines and the blends affecting them with the LTE model of this molecule and the LTE model including all molecules (see Sect. 2.2). The parameters of our best-fit LTE model of n-propyl cyanide are listed in Table 12, and the model is overlaid in red on the spectrum observed toward Sgr B2(N) in Fig. 3. The best-fit LTE model including all molecules is shown in green in the same figures.
For the frequency range corresponding to each detected n-propyl cyanide feature, we list in Table 11 the integrated intensities of the observed spectrum (Col. 10), of the best-fit model of n-propyl cyanide (Col. 11), and of the best-fit model including all
molecules (Col. 12). In these columns, the dash symbol indicates transitions belonging to the same feature. Columns 1 to 7 of Table 11 are the same as in Table 9.
The
uncertainty given for the integrated intensity in Col. 10 was computed using the estimated noise level of Col. 7.
As we did for ethyl formate, we show in Fig. 4a a population diagram derived from the integrated intensities of the detected features of the anti-conformer of n-propyl cyanide. Figure 4b displays the corresponding diagram after removing the expected contribution from contaminating molecules (see Sect. 3.2 for details). This figure is less helpful than in the case of ethyl formate because all features containing several transitions (6 out of 12) have transitions with different energy levels and cannot be shown in a population diagram. Therefore, this diagram does not help much for the determination of the temperature. Feature 3, which is a blend of transitions with upper energy levels from 61 to 147 K, is however reasonably well fitted by our 150 K model (see panel 2 of Fig. 3) and gives us some confidence in this high temperature. This is further confirmed by the high temperatures measured in our survey for chemically related molecules (see Sect. 4.4 below).
Our model for the anti-conformer of n-propyl cyanide consists of two components
with different velocities. The need for a second component mainly comes from the shape of features 2, 9, and 12. Its velocity is consistent with the velocity of the second component we find for many other, more abundant molecules in our survey toward Sgr B2(N). It was shown interferometrically that this second velocity component is a physically distinct source located
to the North of the main hot core in Sgr B2(N) (see, e.g., Sect. 3.4 of Belloche et al. 2008a). Our data are consistent with a second component about half as strong in n-propyl cyanide as the first component (Table 12). This is also the ratio we found for the two components of ethyl cyanide (C2H5CN) with the IRAM Plateau de Bure interferometer and the 30 m telescope (see Table 5 of Belloche et al. 2008b). Finally, since all detected transitions are optically thin and the two regions emitting in n-propyl cyanide are most likely compact given their high temperature, column density and source size are degenerated. We fixed the source size to 3
.
This is approximately the size of the region emitting in the chemically related molecule ethyl cyanide that we measured with the IRAM Plateau de Bure interferometer (see Table 5 of Belloche et al. 2008b).
From this analysis, we conclude that our best-fit model for the anti-conformer of n-propyl cyanide is fully consistent with our 30 m data of Sgr B2(N). This is, to our knowledge, the first clear detection of this molecule in space
.
No feature of the gauche-conformer of n-propyl cyanide is clearly detected in our spectral survey of Sgr B2(N). Only one feature at 211.4 GHz is possibly detected but the baseline in this frequency range is very uncertain and this feature is blended with a transition of acetone. If we consider this feature as a detection, it implies a column density a factor 2 smaller than for the model of the anti-conformer, which may suggest a non-thermal distribution of the molecules in the two conformers. However, we first have to evaluate the uncertainty on the ratio of the anti- and gauche-conformer populations coming from the uncertainty on their
energy difference (
25 cm-1, see Sect. 4.1). For
cm-1, the anti to gauche ratio is 0.51/0.49 at 150 K, and increases to 0.57/0.43 for
cm-1, i.e. a variation of ![]()
.
This is not enough to explain the factor 2 mentioned above, but it can have a significant contribution. Above all, the
uncertainty on the baseline level at 211.4 GHz is quite large and the data are still consistent with a thermal distribution of the gauche- and anti-conformers.
![]() |
Figure 4: Population diagram of the anti-conformer of n-propyl cyanide presented in the same way as for ethyl formate in Fig. 2 (see the caption of that figure for details). Panel a) shows the population diagram derived from the measured integrated intensities while panel b) presents the population diagram after correction for the expected contribution from contaminating molecules. Features 1, 2, 3, 6, 9, and 10 are blends of several transitions with different energy levels and were therefore omitted. |
| Open with DEXTER | |
4.3 Upper limit in Sgr B2(M)
We do not detect n-propyl cyanide in our spectral survey toward Sgr B2(M). Using the same source size, linewidth, and temperature as for Srg B2(N) (see Table 12), we find a ![]()
column density upper limit of 6
1015 cm-2 in the LTE approximation for both conformers. The column density of n-propyl cyanide is thus
at least a factor
2 lower toward Sgr B2(M) than toward Sgr B2(N), which is again consistent with the results of, e.g., Nummelin et al. (2000) for other molecules.
Table 12: Parameters of our best-fit LTE model of n-propyl cyanide with two velocity components.
4.4 Comparison to related species
We easily detect the already known molecules methyl cyanide (CH3CN) and ethyl cyanide (C2H5CN) in our survey toward Sgr B2(N) (see also, e.g., Miao et al. 1995; Liu & Snyder 1999; Nummelin et al. 2000). The parameters of our current best fit models of these two molecules are listed in Table 13. Our models use also constraints from the weaker isotopologues containing 13C (see, e.g., Müller et al. 2008). The source size is constrained by the optically thick transitions, once the temperature has been fitted. For ethyl cyanide, we used in addition the constraints on the source size derived from our high angular resolution observations with the IRAM Plateau de Bure interferometer (see Table 5 of Belloche et al. 2008b). The first two velocity components detected in methyl cyanide and ethyl cyanide correspond to the two hot cores embedded in Sgr B2(N) (see, e.g., Belloche et al. 2008a; Hollis et al. 2003). They are also seen in n-propyl cyanide. In addition, methyl cyanide and ethyl cyanide show a third component that may arise from the blueshifted lobe of an outflow (see the cyanoacetylene
emission in Figs. 5k to m of Belloche et al. 2008a). The redshifted counterpart is blended with the northern component in the single-dish beam (see Fig. 3 of Hollis et al. 2003). The third velocity component is too faint to be detected in n-propyl cyanide.
The model parameters for the compact sources listed for methyl cyanide in Table 13 are mostly based on the 13C isotopologues with a 12C/13C isotopic ratio of 20 because the transitions of the 12C main isotopologue are very optically thick and most likely dominated by large scale emission (see maps of, e.g., Jones et al. 2008; de Vicente et al. 1997). de Vicente et al. (1997) analysed their maps of methyl cyanide emission in the Large Velocity Gradient approximation. They found that the emission consists of several components (hot core, warm envelope, diffuse and hot envelope), and mentioned that their modeling toward Sgr B2(N) is uncertain because of the large opacities. However, their Fig. 5 suggests that the temperature and column density of methyl cyanide are strongly centrally peaked toward Sgr B2(N). Therefore, the emission of the optically thin 13C isotopologues should be dominated by the compact hot cores which gives us some confidence (within a factor of 2) in the column densities listed in Table 13. Friedel et al. (2004) measured similar intensities for CH313CN with the NRAO 12 m telescope and the BIMA interferometer toward Sgr B2(N), an additional evidence that the compact hot cores dominate
the emission of the 13C isotopologues we detected with the 30 m telescope. For a source size of 2.7
,
Nummelin et al. (2000) found column densities of 0.7-1.1
1017 cm-2 for the 13C isotopologues, which translates into a column density of 1.4-2.2
1018 cm-2 for the main isotopologue assuming a 12C/13C isotopic ratio of 20. This is in very good agreement with our result (see Table 13).
Table 13: Parameters of our best-fit LTE models of methyl cyanide, ethyl cyanide, vinyl cyanide, and aminoacetonitrile, and column density upper limit for cyanomethylidyne.
Assuming a temperature of 200 K and optically thin emission, Liu et al. (2001) obtained a beam-averaged column density of 4.63
0.14
1016 cm-2 for ethyl cyanide with BIMA at 89.6 GHz (
). For a source size of
,
this
translates into a column density of 2.9
1017 cm-2, which is a factor 4 smaller than the column density we derive for the main velocity component. However, our model predicts peak line opacities of 4-6 for these transitions, which is supported by our simultaneous modeling of the 13C isotopologues of ethyl cyanide (see Müller et al. 2008). As a result, Liu et al. (2001) most likely underestimated the column densities of ethyl cyanide by a factor of a few, which reconciles the single-dish and interferometric measurements and confirms that the source of ethyl cyanide emission is compact. This is also confirmed by the reasonable agreement between the 30 m and Plateau de Bure Interferometer fluxes published by Belloche et al. (2008b) at 81.7 GHz (see their Table 5). The compactness of the source of ethyl cyanide emission most likely explains the discrepancy with the column density found by Nummelin et al. (2000) with SEST in the 1.3 mm wavelength range (
). These authors derived temperatures of
175+25-20 K and
210+30-30 K and beam-averaged column densities of
1.6+0.2-0.1
1015 cm-2 and
1.5+0.4-0.3
1016 cm-2 for the ethyl cyanide a- and b-type lines, respectively. While they find an order of magnitude difference between the column densities of the a- and b-type lines, we successfully reproduce the ethyl cyanide emission in our 3 mm survey with a single model for the two types of lines, the former being optically thick while the latter are optically thin. Our model with a small source size predicts
line opacities on the order of 10-30 for the a-type lines in the 1.3 mm range. Hence, we believe that the column density derived by Nummelin et al. (2000) for these lines at 1.3 mm is underestimated by a large factor because they assumed a beam filling factor of 1, yielding opacities for these lines that were too low. On the other hand, since our model predicts opacities
1 for
the b-type lines at 1.3 mm, we would expect the column density derived by these authors to match ours. For a source size of
,
their column density of the b-type lines translates into a column density of 9.0
1017 cm-2, which is about a factor 2 smaller than the
sum of the column densities of the two main velocity components in Table 13 (after rescaling the second one to a source size of
). As in Sect. 3.4, we think that the discrepancy arises from the uncertain baseline level and the partial dust
absorption in the 1.3 mm wavelength range. Our current model, which suffers from the same
problems, also over-predicts intensities for the lines detected in our partial 1.3 mm survey.
After rescaling to the same size of 3
,
the relative column densities of the three related molecules CH3CN/C2H5CN/ C3H7CN are 108/80/1 for the first velocity component and 98/125/1 for the second velocity component. We discuss these ratios and the implications for the interstellar chemistry in Sect. 5.
In addition, we list in Table 13 the best-fit parameters we found for vinyl cyanide (Müller et al. 2008) and aminoacetonitrile (Belloche et al. 2008a), as well as an upper limit for the column density of cyanomethylidyne (CCN) for which the other parameters were fixed.
5 Chemical modeling and discussion
To better understand the observational results, we model the chemistry of Sgr B2(N) using a coupled gas-phase and grain-surface chemical code. Garrod et al. (2008) constructed a reaction network to account for the grain-surface formation of many complex molecules observed in hot cores. Surface formation was assumed to occur primarily by the addition of functional-group radicals derived from molecular ices or from other molecules formed in this way. Such reactions are viable when larger radicals become mobile at intermediate grain temperatures (
K), achieved during the
warm-up to typical hot-core temperatures (>100 K). The network also includes destruction mechanisms for all complex species, consisting of neutral-neutral reactions on the grain surfaces, ion-molecule reactions with simple ions in the gas phase, and cosmic ray-induced photodissociation both in the gas phase and on the grains. To this network we have added appropriate formation and
destruction mechanisms for ethyl formate, ethyl and n-propyl cyanide, and also the recently identified aminoacetonitrile (NH2CH2CN, Belloche et al. 2008b,a), whose surface formation routes may be similar to the other cyanides. In addition, surface hydrogenation routes have been added to allow for the full hydrogenation of the carbon chains C3 and C4, which was not previously considered, as well as the associated hydrogenated species and their destruction channels. The techniques used to construct the new reaction set are presented in detail by Garrod et al. (2008); the current model may be regarded as a consistent extension to that network.
We employ the single-point physical model used by Garrod & Herbst (2006), in which the isothermal collapse of a diffuse medium, to a density
cm-3, is followed by a warm-up from 10 to
200 K. Their T2 warm-up profile is assumed, in which the hot-core temperature has a t2 dependence on the time, t, elapsed in the warm-up phase. Dust and gas temperatures are assumed to be well coupled, hence we let
.
The warm-up timescale is representative of the time required for a parcel of gas to achieve a temperature of 200 K, as the hot core forms; it therefore does not relate directly to the current infall timescale.
This model traces the evolution of the chemistry up to a temperature of 200 K, associated with the central hot-core region. However, these time-dependent results may also be considered to represent differing spatial extents from the hot-core center, with the innermost regions being the most evolved and achieving the highest temperatures. As such, the time-dependent abundance profiles presented below also indicate a snapshot of the chemistry through the hot core.
Since we are interested mainly in specific features of the model, we choose not to fix the ice composition prior to the warm-up phase, but use the unadulterated composition computed in the collapse-phase.
Other details of the model may be found in Garrod et al. (2008). One important difference is the removal, in keeping with prior chemical networks, of the activation energy barrier for the surface reaction OH + H2CO
HCO + H2O. Garrod et al. employed an activation energy merely for consistency with other hydrogen-abstraction reactions of OH. The available evidence, however, suggests there is no barrier
. This change makes HCO radicals somewhat more abundant on the grains, tending to increase the
final abundances of species such as methyl formate, which is consistent with our observational results.
5.1 Surface chemistry
Surface chemical routes for the formation of methyl cyanide, CH3CN, were already present in the Garrod et al. (2008) network, including direct addition of methyl and nitrile groups, and repetitive surface hydrogenation of gas phase-produced C2N. Formation of ethyl cyanide, C2H5CN, was limited to repetitive surface hydrogenation of cyanoacetylene HC3N and vinyl cyanide, C2H3CN, both of which may be formed in the gas phase. n-Propyl cyanide and aminoacetonitrile were not present at all.
Table 14 shows the full set of surface reactions employed in the current model to form methyl cyanide, ethyl cyanide, n-propyl cyanide, aminoacetonitrile, and ethylformate, as well as a selection of significant cosmic ray-induced photodissociation processes that may occur on grain surfaces. (The same CR-induced processes are assumed also to occur in the gas phase, at
the same rates.) A cosmic-ray ionization rate of
10-17 s-1 is assumed.
Table 14: Surface reactions and cosmic-ray induced surface photodissociation processes related to the formation of cyanides, and ethyl formate.
The new reactions allow each cyanide to be constructed by sequential formation of its carbon backbone by the addition of CH2, CH3, or yet larger hydrocarbon radicals; however, photodissociation also allows the break-down of these structures. The resultant radicals may further react with another functional-group radical, to extend the backbone, or with a hydrogen atom, to terminate this sequence. Similarly, aminoacetonitrile may be formed by the addition of NH or NH2 groups, or by direct addition of CN to CH2NH2, or CH2NH (followed by hydrogenation). Different routes will dominate according to the relative mobilities of competing radicals, and their availabilities. Hence, the net direction of inter-conversion between cyanides may change with temperature, or as the abundances of molecular precursors vary.
Ethyl formate may be formed on grain surfaces by the addition of a CH3 or HCO radical to a CH2OCHO or C2H5O radical, respectively. These latter species are formed directly by cosmic ray-induced photodissociation of methyl formate or ethanol on the grains; hence, methyl formate need not be the only precursor for ethyl formate, nor the most important one. We do not consider other routes to the formation of CH2OCHO and C2H5O; radical addition to formaldehyde, H2CO, would almost certainly be mediated by a substantial activation energy barrier. Alternatively, addition of an oxygen atom to C2H5 is unlikely to be important, due to the relative scarcity of atomic oxygen, which is mainly bound in the ice mantles as H2O; however, this route cannot be entirely ruled out.
When the grain surface-produced molecules evaporate, they are subject to gas-phase destruction mechanisms. Whilst cosmic ray-induced photodissociation in the gas phase is also included for consistency, the gas-phase destruction of these molecules is dominated by reaction with the ions C+, He+, H3+, H3O+ and HCO+ (followed by dissociative recombination, if a protonated molecule results). Ion-molecule and dissociative recombination reaction rates are of a similar order for all new species; see Garrod et al. (2008).
Table 15: Peak gas-phase abundances from each model, with corresponding model temperatures, as well as source sizes, rotation temperatures, and gas-phase abundances derived from the observations of the main source in Sgr B2(N).
5.2 Results
We analyse the model results for ethyl formate and the cyanides in the context of a selection of complex molecules to which they are chemically or observationally related. We consider first the results of the basic model described above (called hereafter Basic model), using an intermediate warm-up timescale of 2
105 yr. This timescale was found by
Garrod et al. (2008) to be most appropriate to match the abundances of Sgr B2(N).
5.2.1 Ethyl formate and related species
Table 15 presents peak fractional abundances, and the temperatures at which they are achieved, derived from the chemical model. Model abundances are converted to values per mean particle with a mean molecular weight,
,
of 2.33, for comparison to the observations. Also
listed are the observed rotational temperatures and abundances (Cols. 7 and 8, respectively). The latter were derived from the column densities given in Tables 4,
5, 12, and 13, assuming an H2 column density of 1.8
1025 cm-2 for a source size of 2
(see Belloche et al. 2008b), and an H2 column density profile proportional to r-0.5 that corresponds to an H2 density profile proportional to r-1.5 in spherical symmetry
. Given that the dust properties are uncertain by a factor
2 at least and that the contribution of the vibrationally or torsionally excited states
of some molecules studied here (e.g. ethanol, see Pearson et al. 2008) to their partition function was not included, we estimate these observed abundances to be accurate within a factor
3.
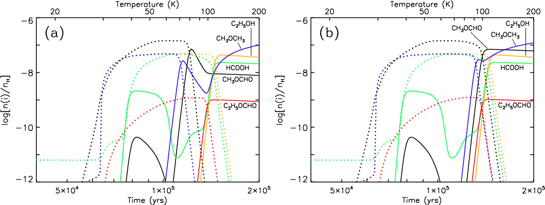
Ethyl formate is clearly formed most significantly at late times (see Fig. 5a), and its grain-surface abundance (dotted red lines) scales well with that of methyl formate. Grain-surface methyl formate is, in fact, the primary source of precursor radicals (via photodissociation) for the formation of ethyl formate. When methyl formate evaporates, and ethanol is left as the dominant source of precursor radicals, ethyl formate production becomes dependent on the addition of HCO to C2H5O. The post-evaporation gas-phase abundance of ethyl formate relative to methyl formate and formic acid appears to match observational abundances and rotational temperatures reasonably well.
The gas-phase methyl formate peak abundance is also relatively close to the observed abundance (within a factor 5), and the model temperature at this peak is in very good agreement with the observed rotational temperature (see Table 5). However, the abundance quickly falls, and the ratio of gas phase CH3OCHO to HCOOH, C2H5OH and CH3OCH3 at the higher temperatures most appropriate to the densest regions of the hot core is low compared to the observed values.
The Basic model uses the same binding energies for methyl formate and dimethyl ether as were employed by Garrod et al. (2008), appropriate to binding on amorphous water ice. These values cause relatively early evaporation of those species, resulting in significant destruction in the gas-phase, and low fractional abundances in comparison to observed values in the case of methyl formate. The binding energies of those molecules were obtained by simple interpolation of measured values obtained for other species. Laboratory data for methyl formate and dimethyl ether evaporation from appropriate ice surfaces are not currently available.
![]() |
Figure 5: a) Basic model, showing methyl formate, ethyl formate, formic acid, and related species. b) The same species, following augmentation of methyl formate and dimethyl ether binding energies. Solid lines indicate gas-phase species; dotted lines of the same color indicate the same species on the grain surfaces. |
| Open with DEXTER | |
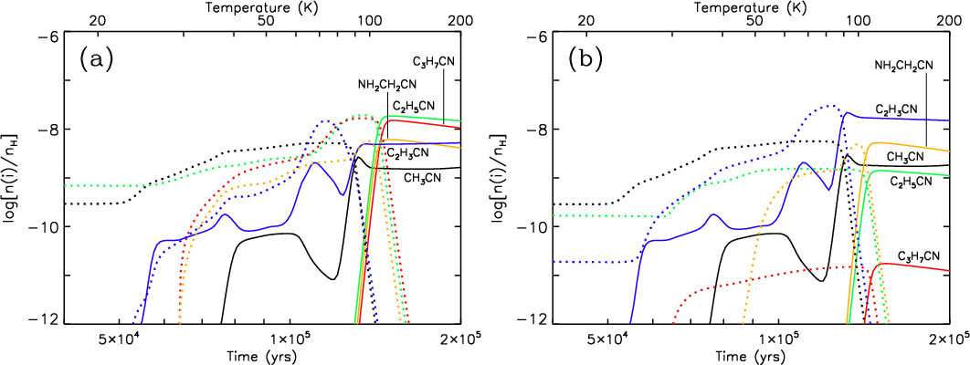
![]() |
Figure 6: a) Basic model, showing cyanides. b) The same species, using the Select model, in which selected grain-surface reactions are de-activated (see Table 14). Solid lines indicate gas-phase species; dotted lines of the same color indicate the same species on the grain surfaces. |
| Open with DEXTER | |
For species comprising at least one -OH functional group, binding-energy estimates take account of hydrogen-bonding interactions with the ice surface. Such species may act as both hydrogen-bond donors and acceptors, raising their binding strengths. However, both methyl formate and dimethyl ether have at least one unbonded electron pair attached to a strongly electro-negative atom (oxygen), allowing them to be hydrogen-bond acceptors. This may give them a somewhat stronger bond to the predominantly water-ice surface than has been assumed.
Here, the binding energy of methyl formate is raised beyond that of the Basic model, such that it falls approximately half way between its old value and that of ethanol, its most closely-matched counterpart with a single, fully hydrogen-bonding functional group. This augmentation constitutes an increase of approximately 1000 K, giving ED=5200 K. The binding energy of dimethyl ether is similarly raised by 1000 K.
Augmentation of methyl formate binding energy allows it to remain on grains for longer, reducing the time available for gas-phase destruction, before the majority of other species evaporate, damping the effect of ion-molecule destruction pathways (see Fig. 5b). This allows gas-phase methyl formate fractional abundances to remain high for longer, although the resulting peak-abundance temperature is somewhat greater, at 112 K.
Dimethyl ether does have a viable gas-phase formation mechanism, and is largely produced in the gas phase, due to the large abundance of methanol (
); hence, the peak abundance is not strongly affected by the augmentation of its binding energy. Its gas-phase abundance in the model is consistent with the observed value (within a factor 2, see Table 15). The peak-abundance temperature of the model is somewhat higher than that derived observationally. A slightly lower grain-surface methanol abundance would remedy this, as post-evaporation gas-phase methanol abundances should diminish more rapidly, reducing the rate of dimethyl ether formation. A slower warm-up subsequent to methanol evaporation would also produce a similar effect. Nevertheless, the observed rotational temperature of dimethyl ether seems consistent with gas-phase
formation.
Surface formation rates of ethyl formate, methyl formate and ethanol are not strictly dependent on methanol abundance in the ices, but rather on the rate of formation of its photodissociation products, CH3O, CH2OH, and CH3. These rates are not well constrained; however, they seem appropriate for this model. A lower grain-surface methanol abundance, as suggested above, would therefore necessitate slightly greater methanol photodissociation rates, in order to achieve appropriate abundances for methyl formate and other surface-formed species. Gas-phase and grain-surface ethyl formate abundances are largely unaffected by the changes in methyl formate binding energy. Both the gas-phase and grain-surface abundances of formic acid are strongly dependent on gas-phase processes (see Garrod et al. 2008). As a result, there appears to be no simple correlation with ethyl or methyl formate abundances. However, the low rotational temperature reported in Sect. 3.4 is qualitatively consistent with the low-temperature gas-phase formic acid peak at 40-60 K, a point noted by Garrod et al. (2008) in comparison to other hot-core observations. This ``cold'' peak presents a fractional abundance very close to the observed value (within a factor 4, see Table 15). In Sect 3.4, we modeled the spectrum of formic acid using a single temperature component; however, a two-component model with rotational temperatures (and inferred spatial extents) appropriate to the chemical models is not noticeably worse than the single-component fit. As discussed in Sect. 3.4, the existence of both hot, compact and cold, extended components would be consistent with the lower flux measured with the BIMA interferometer by Liu et al. (2001) compared to our lower-resolution single-dish measurement.
5.2.2 Cyanides
The Basic model is capable of producing cyanide species in appropriate absolute quantities (see Fig. 6a), however, their relative abundances are not well matched to the observationally determined values. In order to understand the behavior of the cyanide network, the different grain-surface formation mechanisms, and combinations, were isolated by artificially de-activating particular reaction routes. In fact, all combinations that include either the hydrogenation of the cyanopolyyne HC3N and of vinyl cyanide, C2H3CN, or the addition of large, pre-formed hydrocarbons directly to the CN radical, produce wildly inaccurate ratios. In some such cases, n-propyl cyanide is the most abundant of all, often with methyl cyanide abundances deeply depressed. The only combination in which the correct proportion is reproduced is that in which only the sequential addition of grain-surface CH2 and CH3 functional groups is allowed (see Fig. 6b). We label this model, combined with the augmented binding energies of methyl formate and dimethyl ether, as the Select model. In this scheme, formation of the larger cyanides begins with cosmic ray-induced photodissociation of a smaller grain-surface alkyl cyanide molecule (resulting in the ejection of a hydrogen atom), or with the accretion of CH2CN (which may be formed in the gas-phase following the evaporation of HCN). A methyl-group radical is then added to produce a larger alkyl cyanide molecule.
Methyl cyanide itself is mainly formed on the grains by addition of CH3 and CN radicals, but it may also be formed by gas-phase processes fuelled by the evaporation of HCN. Methyl cyanide evaporates from the dust grains around 90 K, producing its greatest gas-phase abundance; however, the subsequent evaporation of all molecular material from the grains promotes rapid gas-phase formation, maintaining methyl cyanide abundances for longer, and providing qualitative agreement with the large rotational temperature derived from the observational data.
The abundance obtained for aminoacetonitrile is in reasonable agreement with that obtained observationally (within a factor 8), suggesting that the addition of NH or NH2 to CH2CN on grain surfaces, similar to the suggested mechanism for ethyl cyanide, is a plausible route to its formation. There may therefore be some degree of correlation between these two species, which should be investigated in future. The removal of the other formation routes for aminoacetonitrile, comprising the addition of grain-surface CN to either CH2NH or CH2NH2, makes little difference to the results, mainly due to limited availability of the latter two radicals.
Vinyl cyanide, C2H3CN, a potential precursor of ethyl cyanide and n-propyl cyanide, is formed predominantly in the gas-phase in both the Basic and Select models. This occurs through the reaction of CN with ethylene (C2H4), which has been shown experimentally to be rapid over a range of temperatures (Carty et al. 2001). The resultant gas-phase vinyl cyanide then accretes onto the grains until greater temperatures are achieved. Following evaporation of the ice mantles at T>100 K, vinyl cyanide is again formed rapidly in the gas-phase by the same mechanism, allowing it, like methyl cyanide, to retain large fractional abundances longer than the other cyanides. This effect is also in qualititative agreement with its relatively high rotational temperature. Both models show good agreement with the observational abundance of this molecule, but the Select model produces an excellent match (see Table 15).
For the Basic model, ratios of peak abundance values are HCOOH/CH3OCHO/C2H5OCHO = 23/72/1 and CH3CN/ C2H5CN/C3H7CN = 0.18/1.3/1. For the Select model, these ratios are HCOOH/CH3OCHO/C2H5OCHO = 23/70/1 and CH3CN/C2H5CN/C3H7CN = 171/82/1. These seem a fair match to the observed values of Sects. 3.4 and 4.4 (0.8/15/1 and 108/80/1, respectively). Consideration of only the low temperature formic acid peak in the models further improves its ratio with ethyl formate abundances.
The warm-up timescale of
105 yr appears to yield the most appropriate reproduction of observed cyanide ratios, although longer timescales are also plausible; the Select model, with
yr, produces peak abundance ratios of
HCOOH/CH3OCHO/C2H5OCHO = 4.2/3.3/1 and CH3CN/ C2H5CN/C3H7CN = 258/106/1.
5.3 Discussion
Based on the abundance ratios of the model, the dominant formation mechanism for alkyl cyanides is probably the sequential addition of CH2 or CH3 radicals to CN, CH2CN and C2H4CN on the grain surfaces. Both the alternative routes - the grain-surface hydrogenation of gas phase-formed HC3N and C2H3CN, or the direct grain-surface addition of pre-formed large hydrocarbon radicals like C2H5 or C3H7 to a CN radical - appear to be very much too fast, resulting in excessive quantities of the two largest alkyl cyanides.
To achieve the appropriate ratios, those two formation routes must be artificially disabled within the model. Why should these mechanisms be less efficient in reality than they would appear from the model? Firstly, gas-phase HC3N and C2H3CN may be less abundant than the model suggests. The evaporation, and subsequent reaction, of HCN from the grains is a primary cause of gas-phase formation for each of these molecules. Variation in the evaporation characteristics or the composition/structure of the ices may weaken such mechanisms. However, the agreement between observed and modeled abundances of vinyl cyanide is very good. Indeed, the Select model shows excellent agreement, providing further justification for the omission of its hydrogenation reactions.
Alternatively, surface hydrogenation of HC3N and C2H3CN, once they have accreted onto the grains, may be less efficient than has been assumed here. Importantly, activation energies are required for hydrogenation of both these species, whose values are poorly constrained. The fact that it is these very reactions that must be disabled suggests strongly that their activation energies should be significantly higher than has been assumed here. Additionally, our use of a ``deterministic'' gas-grain model may also produce somewhat more efficient hydrogenation than is really the case (although a test-run using the rate-modification method of Garrod 2008 shows no great difference in this respect).
In the case of the addition of large hydrocarbon radicals to CN, the over-dominance of these channels is probably due to the incompleteness of the hydrocarbon chemistry as a whole, particularly on the grains. Whilst up to 10 carbon atoms in a chain are considered in this model, the hydrogenation states of the larger chains are typically limited to 4 hydrogen atoms. Crucially, hydrogenation is the only type of reaction included in the network for most hydrocarbons, aside from the newly-added CN addition reactions. The hydrocarbon reaction set was largely devised with cold dark clouds in mind, where hydrogenation dominates. By including only a single new reaction (addition to CN) for any particular hydrocarbon, that reaction can easily become the dominant channel. The completion of the hydrocarbon network to include reactions with all major reactants would be beneficial, although this is not a trivial task.
The small hydrocarbons CH2 and CH3, on the other hand, as well as CN itself, have a much more comprehensive reaction network, making sequential addition and its apparent degree of efficiency more credible.
Ethyl formate and aminoacetonitrile also seem to be well reproduced with a similar addition scheme to that of the alkyl cyanides. Ethyl formate abundance may be dependent on ethanol as well as methyl formate, depending on the specific conditions.
The Select model reproduces well the abundance ratios for alkyl cyanides, but their absolute abundances are an order of magnitude lower than observational values. This also results in a poor match to abundance ratios relative to methyl formate and other methanol-related species. In fact, the chemistries of the cyanides and the methanol-related species do not strongly influence one another in the model. The overall abundances of each category of molecule are mainly influenced by different, independent parameters: the formation rate of the products of methanol photodissociation (i.e. the product of the photodissociation rate and absolute grain-surface abundance of methanol), and the quantity of HCN or related nitrile-group species in the ice mantles, respectively. Similarly, the modeled abundance of aminoacetonitrile relative to the alkyl cyanides is very high. The formation rate of this molecule is strongly dependent on the product of the abundance of NH3 in the ices, and its rate of photodissociation. This indicates that one or both of these values may be too large, by at least an order of magnitude. A parameter search should yield the optimal values for all such quantities, but such is not the focus of this paper.
The augmentation of methyl formate binding energy allows its abundance to remain high at temperatures appropriate to the densest parts of the hot core. However, the low observed rotational temperatures suggest that methyl formate should still have a binding energy less than that of H2O, which is indeed the case here, even with the highest value we use. A value somewhat lower than our maximum would also achieve quite acceptable results. Clearly, an experimental value for binding to astrophysically appropriate surfaces would be highly valuable for the chemical modeling of hot cores.
While certain crucial steps in the formation of these complex molecules occur only in the gas-phase or on the grain surfaces, processes in each phase are inter-dependent and cannot be understood in isolation.
6 Conclusions
We used the complete 3 mm and partial 2 and 1.3 mm line surveys obtained with the IRAM 30 m telescope toward the hot cores Sgr B2(N) and (M) to search for emission from the organic molecules ethyl formate and n-propyl cyanide. We report the detection of both molecules toward the hot core Sgr B2(N), which are the first detections of these molecules in the interstellar medium. Our main results and conclusions are the following:
- 1.
- New entries for the CDMS catalog have been created for n-propyl cyanide and ethyl formate.
- 2.
- 46 of the 711 significant transitions of the anti-conformer of ethyl formate covered by our 30 m line survey are relatively free of contamination from other molecules and are detected in the form of 24 observed features toward Sgr B2(N). The emission of the gauche-conformer is too weak to be clearly detected in our survey.
- 3.
- 50 of the 636 significant transitions of the anti-conformer of n-propyl cyanide covered by our 30 m line survey are relatively free of contamination from other molecules and are detected in the form of 12 observed features toward Sgr B2(N) with two velocity components. The emission of the gauche-conformer is too weak to be clearly detected in our survey.
- 4.
- With a source size of 3
,
we derive an ethyl formate column density of 5.4
1016 cm-2 for a temperature of 100 K and a linewidth of 7 km s-1 in the LTE approximation. The abundance of ethyl formate relative to H2 is estimated to be 3.6
10-9.
- 5.
- The two velocity components detected in n-propyl cyanide have LTE column densities of 1.5
1016 and 6.6
1015 cm-2, respectively, with a temperature of 150 K, a linewidth of 7 km s-1, and a source size of 3
.
The fractional abundance of n-propyl cyanide in the main source is estimated to be 1.0
10-9.
- 6.
- We detected neither ethyl formate nor n-propyl cyanide toward the more evolved source Sgr B2(M) and derived column density upper limits of 2
1016 and 6
1015 cm-2, respectively, for a source size of 3
.
- 7.
- We modeled the emission of chemically related species also detected in our survey of Sgr B2(N) and derived column density ratios of 0.8/15/1 for t-HCOOH/CH3OCHO/ C2H5OCHO and 108/80/1 for CH3CN/C2H5CN/C3H7CN in the main hot core of Sgr B2(N).
- 8.
- The chemical models suggest that the sequential, piecewise construction of ethyl and n-propyl cyanide from their constituent functional groups on the grain surfaces is their most likely formation route. Aminoacetonitrile formation proceeds similarly, suggesting a possible
correlation with ethyl cyanide abundance. Vinyl cyanide is formed predominantly in the gas-phase.
- 9.
- Comparison of the observational and model results suggests that the production of alkyl cyanides by the hydrogenation of less saturated species is much less efficient than functional-group addition.
- 10.
- Ethyl formate can be formed on the grains by addition of HCO or CH3 to functional-group radicals derived from methyl formate and ethanol; however, methyl formate appears to be the dominant precursor.
- 11.
- Understanding of the complex interactions between gas-phase and grain-surface processes may be necessary to fully explain the observational features displayed by many complex molecules, including formic acid and methyl formate.
- 12.
- The detection in Sgr B2(N) of the next stage of complexity in two classes of complex molecule, esters and alkyl cyanides, suggests that greater complexity also may be present in other classes of molecule in the interstellar medium.
Acknowledgements
We thank the anonymous referee and the editor for their careful reading of the manuscript and for their suggestions that helped improve the clarity of this article. H.S.P.M. thanks Dr. Jürgen Aschenbach from the library of the University of Kiel for providing the supplementary material to Vormann & Dreizler (1988). We are grateful to Eric Herbst for providing the ethyl formate spectroscopic line list as well as a preprint of the manuscript prior to publication. H.S.P.M. thanks the Deutsche Forschungsgemeinschaft (DFG) for initial support through the collaborative research grant SFB 494. He is grateful to the Bundesministerium für Bildung und Forschung (BMBF) for recent support which was administered through Deutsches Zentrum für Luft- und Raumfahrt (DLR). R.T.G thanks the Alexander von Humboldt Foundation for a Research Fellowship.
References
- Belloche, A., Menten, K. M., Comito, C., et al. 2008a, A&A, 482, 179 [NASA ADS] [CrossRef] [EDP Sciences]
- Belloche, A., Menten, K. M., Comito, C., et al. 2008b, A&A, 492, 769 [NASA ADS] [CrossRef] [EDP Sciences]
- Bernstein, M. P., Dworkin, J. P., Sandford, S. A., Cooper, G. W., & Allamandola, L. J. 2002, Nature, 416, 401 [NASA ADS] [CrossRef]
- Carty, D., Le Page, V., Sims, I. R., & Sims, I. W. M. 2001, Chem. Phys. Lett., 344, 310 [NASA ADS] [CrossRef] (In the text)
- Comito, C., Schilke, P., Phillips, T. G., et al. 2005, ApJS, 156, 127 [NASA ADS] [CrossRef] (In the text)
- Demaison, J., & Dreizler, H. 1982, Z. Naturforsch. A, 37, 199 [NASA ADS]
- Demaison, J., Boucher, D., Burie, J., & Dubrulle, A. 1984, Z. Naturforsch. A, 39, 560 [NASA ADS] (In the text)
- de Vicente, P., Martin-Pintado, J., & Wilson, T. L. 1997, A&A, 320, 957 [NASA ADS]
- Ehrenfreund, P., Glavin, D. P., Botta, O., Cooper, G., & Bada, J. L. 2001, Proceedings of the National Academy of Science, 98, 2138 [NASA ADS] [CrossRef]
- Elsila, J. E., Dworkin, J. P., Bernstein, M. P., Martin, M. P., & Sandford, S. A. 2007, ApJ, 660, 911 [NASA ADS] [CrossRef]
- Friedel, D. N., Snyder, L. E., Turner, B. E., & Remijan, A. 2004, ApJ, 600, 234 [NASA ADS] [CrossRef] (In the text)
- Garrod, R. T. 2008, A&A, 491, 239 [NASA ADS] [CrossRef] [EDP Sciences] (In the text)
- Garrod, R. T., & Herbst, E. 2006, A&A, 457, 927 [NASA ADS] [CrossRef] [EDP Sciences] (In the text)
- Garrod, R. T., Widicus Weaver, S. L., & Herbst, E. 2008, ApJ, 682, 283 [NASA ADS] [CrossRef] (In the text)
- Geppert, W. D., Hamberg, M., Thomas, R. D., et al. 2006, Faraday Discuss., 133, 177 [CrossRef] (In the text)
- Goldsmith, P. F., & Langer, W. D. 1999, ApJ, 517, 209 [NASA ADS] [CrossRef] (In the text)
- Gordon, M. A., Berkermann, U., Mezger, P. G., et al. 1993, A&A, 280, 208 [NASA ADS]
- Hirota, E. 1962, J. Chem. Phys., 37, 2918 [NASA ADS] [CrossRef]
- Hollis, J. M., Lovas, F. J., & Jewell, P. R. 2000, ApJ, 540, L107 [NASA ADS] [CrossRef] (In the text)
- Hollis, J. M., Pedelty, J. A., Boboltz, D. A., et al. 2003, ApJ, 596, L235 [NASA ADS] [CrossRef]
- Hollis, J. M., Lovas, F. J., Remijan, A. J., et al. 2006, ApJ, 643, L25 [NASA ADS] [CrossRef] (In the text)
- Horn, A., Møllendal, H., Sekiguchi, O., et al. 2004, ApJ, 611, 605 [NASA ADS] [CrossRef] (In the text)
- Jones, P. A., Cunningham, M. R., Godfrey, P. D., & Cragg, D. M. 2007, MNRAS, 374, 579 [NASA ADS] [CrossRef]
- Jones, P. A., Burton, M. G., Cunningham, M. R., et al. 2008, MNRAS, 386, 117 [NASA ADS] [CrossRef]
- Lis, D. C., & Goldsmith, P. F. 1989, ApJ, 337, 704 [NASA ADS] [CrossRef]
- Lis, D. C., Goldsmith, P. F., Carlstrom, J. E., & Scoville, N. Z. 1993, ApJ, 402, 238 [NASA ADS] [CrossRef]
- Liu, S.-Y., & Snyder, L. E. 1999, ApJ, 523, 683 [NASA ADS] [CrossRef]
- Liu, S.-Y., Mehringer, D. M., & Snyder, L. E. 2001, ApJ, 552, 654 [NASA ADS] [CrossRef]
- Medvedev, I. R., De Lucia, F. C., & Herbst, E. 2009, ApJS, 181, 433 [NASA ADS] [CrossRef] (In the text)
- Mehringer, D. M., Snyder, L. E., Miao, Y., & Lovas, F. J. 1997, ApJ, 480, L71 [NASA ADS] [CrossRef] (In the text)
- Miao, Y., Mehringer, D. M., Kuan, Y.-J., & Snyder, L. E. 1995, ApJ, 445, L59 [NASA ADS] [CrossRef]
- Millar, T. J., Herbst, E., & Charnley, S. B. 1991, ApJ, 369, 147 [NASA ADS] [CrossRef] (In the text)
- Müller, H. S. P., Thorwirth, S., Roth, D. A., & Winnewisser, G. 2001, A&A, 370, L49 [NASA ADS] [CrossRef] [EDP Sciences]
- Müller, H. S. P., Schlöder, F., Stutzki, J., & Winnewisser, G. 2005, J. Mol. Struct, 742, 215 [NASA ADS] [CrossRef] (In the text)
- Müller, H. S. P., Belloche, A., Menten, K. M., Comito, C., & Schilke, P. 2008, J. Mol. Spectrosc., 251, 319 [NASA ADS] [CrossRef] (In the text)
- Nummelin, A., Bergman, P., Hjalmarson, Å., et al. 2000, ApJS, 128, 213 [NASA ADS] [CrossRef] (In the text)
- Osorio, M., Lizano, S., & D'Alessio, P. 1999, ApJ, 525, 808 [NASA ADS] [CrossRef]
- Pearson, J. C., Brauer, C. S., & Drouin, B. J. 2008, J. Mol. Spectrosc., 251, 394 [NASA ADS] [CrossRef] (In the text)
- Pickett, H. M., Poynter, I. R. L., Cohen, E. A., et al. 1998, J. Quant. Spectrosc. Radiat. Transfer, 60, 883 [NASA ADS] [CrossRef]
- Reid, M. J. 1993, ARA&A, 31, 345 [NASA ADS] [CrossRef] (In the text)
- Riveros, J. M., & Bright Wilson, E., Jr. 1967, J. Chem. Phys., 46, 4605 [NASA ADS] [CrossRef] (In the text)
- Snyder, L. E., Kuan, Y.-J., & Miao, Y. 1994, The Structure and Content of Molecular Clouds, ed. T. L. Wilson, & K. J. Johnston (Springer-Verlag), Lecture Notes in Physics, 439, 187 (In the text)
- Snyder, L. E., Lovas, F. J., Hollis, J. M., et al. 2005, ApJ, 619, 914 [NASA ADS] [CrossRef] (In the text)
- Vormann, K., & Dreizler, H. 1988, Z. Naturforsch. A, 43, 338
- Wodarczak, G., Martinache, L., Demaison, J., Marstokk, K.-M., & Møllendal, H. 1988, J. Mol. Spectrosc., 127, 178 [NASA ADS] [CrossRef] (In the text)
- Wodarczak, G., Martinache, L., Demaison, J., Marstokk, K.-M., & Møllendal, H. 1991, J. Mol. Spectrosc., 146, 224 [CrossRef] (In the text)
Online Material
Table 1: Transitions of the anti-conformer of ethyl formate observed with the IRAM 30 m telescope toward Sgr B2(N). The horizontal lines mark discontinuities in the observed frequency coverage. Only the transitions associated with a modeled line stronger than 20 mK are listed.
Table 2: Transitions of the gauche-conformer of ethyl formate observed with the IRAM 30 m telescope toward Sgr B2(N). The horizontal lines mark discontinuities in the observed frequency coverage. Only the transitions associated with a modeled line stronger than 20 mK are listed.
Table 6: Transitions of anti-n-propyl cyanide, employed in the present fits, their frequencies (MHz), uncertainties Unc. (kHz), and residuals O-C (kHz) between frequencies measured in the laboratory and those calculated from the final spectroscopic parameters. Unresolved asymmetry splitting (two transitions having the same Ka and the same transition frequency) has been treated as intensity-weighted average of the two lines.
Table 7: Transitions of gauche-n-propyl cyanide, employed in the present fits, their frequencies (MHz), uncertainties Unc. (kHz), and residuals O-C (kHz) between frequencies measured in the laboratory and those calculated from the final spectroscopic parameters. Unresolved asymmetry splitting (two transitions having the same Ka and the same transition frequency) has been treated as intensity-weighted average of the two lines.
Table 9: Transitions of the anti-conformer of n-propyl cyanide observed with the IRAM 30 m telescope toward Sgr B2(N). The horizontal lines mark discontinuities in the observed frequency coverage. Only the transitions associated with a modeled line stronger than 20 mK are listed.
Table 10: Transitions of the gauche-conformer of n-propyl cyanide observed with the IRAM 30 m telescope toward Sgr B2(N). The horizontal lines mark discontinuities in the observed frequency coverage. Only the transitions associated with a modeled line stronger than 20 mK are listed.
![]() |
Figure 1:
Transitions of the anti-conformer of ethyl formate (EtOCHO-a) detected with the IRAM 30 m telescope. Each panel consists of two plots and is labeled in black in the upper right corner. The lower plot shows in black the spectrum obtained toward Sgr B2(N) in main-beam brightness temperature scale (K), while the upper plot shows the spectrum toward Sgr B2(M). The rest frequency axis is labeled in GHz. The systemic velocities assumed for Sgr B2(N) and (M) are 64 and 62 km s-1, respectively. The lines identified in the Sgr B2(N) spectrum are labeled in blue. The top red label indicates the EtOCHO-a transition centered in each plot (numbered like in Col. 1 of Table 3), along with the energy of its lower level in K (
|
| Open with DEXTER | |
![]() |
Figure 1: continued. |
| Open with DEXTER | |
![]() |
Figure 1: continued. |
| Open with DEXTER | |
![]() |
Figure 3:
Transitions of the anti-conformer of n-propyl cyanide (PrCN-a) detected with the IRAM 30 m telescope. Each panel consists of two plots and is labeled in black in the upper right corner. The lower plot shows in black the spectrum obtained toward Sgr B2(N) in main-beam brightness temperature scale (K), while the upper plot shows the spectrum toward Sgr B2(M). The rest frequency axis is labeled in GHz. The systemic velocities assumed for Sgr B2(N) and (M) are 64 and 62 km s-1, respectively. The lines identified in the Sgr B2(N) spectrum are labeled in blue. The top red label indicates the PrCN-a transition centered in each plot (numbered like in Col. 1 of Table 11), along with the energy of its lower level in K (
|
| Open with DEXTER | |
![]() |
Figure 3: continued. |
| Open with DEXTER | |
Appendix A: a-type and b-type lines of methyl formate
Both A and E symmetry species of methyl formate (CH3OCHO) are easily detected in our spectral survey of Sgr B2(N) at 3 mm. Sixty four lines of the A species are detected in the form of 57 features in our 3 mm survey and 48 lines of the E species in the
form of 43 features. We followed the same procedure as described in Sect. 3.2 for ethyl formate to compute the population diagrams shown in Fig. A.1. In these diagrams, the a-type lines of methyl formate (with
= 0 [2] and
= 1 [2]) are marked with an additional circle. As mentioned in Sect. 3.4, both
a- and b-type lines are well fitted with the same physical model (see Table 5). Although many a-type transitions with
K look systematically too low in the population diagrams after removal of the contribution of contaminating lines (Figs. A.1b and d), this can be explained by the limitations
of our radiative transfer modeling: these a-type transitions (of the A or E species) have optical depths on the order of unity, as indicated by the significant shift between the red and green crosses in the lower energy range, and overlap with a-type lines of the other symmetry species (E or A, respectively) that have significant
optical depths too. Since our current complete model treats the two symmetry species as independent and our radiative transfer program computes the contributions of overlapping transitions of different species independently, the sum of the overlapping A and E transitions with significant optical depths is systematically overestimated. For a transition of, e.g., the A species, the ``contamination'' by the E species is overestimated and its removal in Fig. A.1b yields an underestimated residual flux. Our model could be improved by treating both symmetry species as a single molecule but this would not significantly change the physical parameters found for methyl formate and is beyond the scope of this article focused on ethyl formate and n-propyl cyanide.
![]() |
Figure A.1:
Population diagrams of the A and E symmetry species of methyl formate presented in the same way as for ethyl formate in Fig. 2 (see the caption of that figure for details). The a-type lines are marked with a circle. Panels a) and c) show the population diagrams derived from the measured integrated intensities for the A and E species, respectively, while panels b) and d) present the respective population diagrams after removing the expected contribution from contaminating molecules. Features 4 and 42 with
|
| Open with DEXTER | |
Footnotes
- ... Sagittarius B2(N)
- Based on observations carried out with the IRAM 30 m telescope. IRAM is supported by INSU/CNRS (France), MPG (Germany) and IGN (Spain).
- ...
- Tables 1, 2, 6, 7, 9, 10, Figs. 1, 3 and Appendix are only available in electronic form at http://www.aanda.org
- ...Müller et al. 2005
- Visit the Cologne Database for Molecular Spectroscopy (CDMS) at http://www.cdms.de for an updated list.
- ... complexity
- These molecules are ``complex'' for astronomers, not for biologists!
- ... distributions
- A racemic distribution means equal amounts of left- and right-handed enantiomers. Enantiomers are stereoisomers that are mirrorimages of each other and non-superposable.
- ...(CDMS
- http://www.cdms.de
- ...
transitions
- Note that our modeled spectrum is anyway calculated with the full LTE radiative transfer that takes into account the optical depth effects (see Sect. 2.2).
- ... space
- Jones et al. (2007) tentatively identified three lines
detected with the Australia Telescope Compact Array at
86.2738,
86.9784, and
86.9787 GHz as two transitions of the anti-conformer of ethyl formate, the second one with two velocity components. However, our model predicts a peak temperature of the ethyl formate
transition at 86.977087 GHz on the order of 2 mK whereas the two lines detected with the 30 m telescope close to this frequency have peak temperatures of 0.38 and 0.65 K, respectively! We identified these two lines with two velocity components of a transition of the vibrationally excited
= 1/
= 1 state of ethyl cyanide, and our modeled spectrum matches the observed lines very well. The tentative identification of Jones et al. (2007) at this frequency is therefore not confirmed. On the other hand, the line detected at
86.2738 GHz in our survey is still unidentified. The frequency of the 455,41-446,38 transition of ethyl formate mentioned by Jones et al. (2007) comes from the JPL catalog (Pickett et al. 1998, see http://spec.jpl.nasa.gov/). Our catalog contains a significantly different frequency for this transition (86 256.5339
0.0114 MHz instead of
86 273.7945
0.2103 MHz), and our model anyway predicts a very low peak temperature on the order of 0.3 mK for this transition. Our catalog contains two other overlapping transitions closer to 86.2738 GHz
(
3510,26-369,27 and
3510,25-369,28 at 86.2703101 and 86.2703225 GHz, respectively). However, our model predicts a very low peak temperature of 0.6 mK for these transitions as well. Therefore, this tentative identification of Jones et al. (2007) is not confirmed either.
- ... emission
- Lis et al. (1993) measured a peak flux of 20 Jy/
-beam at 227 GHz toward Sgr B2(N), i.e. 28 K in temperature unit. For a temperature of
100 K, this yields a dust optical depth of
0.34. On larger scales (
), Gordon et al. (1993) estimated that the dust opacity toward Sgr B2(N) reaches a value of 1 at 850
m, which implies an opacity of
0.43-0.53 at 1.3 mm. As a result, if not taken into account, these significant opacities
imply an underestimate of the line intensities by a factor
1.4-1.7.
- ... space
- Jones et al. (2007) tentatively
identified two lines detected with the Australia Telescope Compact Array at
86.9556 and
90.0560 GHz as transitions of the gauche-conformer of n-propyl cyanide. However, our model predicts a peak temperature of the n-propyl cyanide transition at
86.955466 GHz 15 times smaller than the peak temperature (0.13 K) of the line detected with the 30 m telescope at this frequency. The tentative identification of Jones et al. (2007) at this frequency is therefore not confirmed. The origin of this line in our survey is still unknown. As far as the other transition is concerned, our model of n-propyl cyanide predicts a peak intensity equal to only one quarter of the peak intensity (0.07 K) of the line detected with the 30 m telescope at
90.0560 GHz. Since this line is blended with a transition of 13CH3CH2CN that has a stronger contribution according to our modeling, the tentative identification of
Jones et al. (2007) should be viewed with caution too.
- ... barrier
- See the chemical kinetics database of the National Institute of Standards and Technology (NIST), http://kinetics.nist.gov/kinetics
- ... symmetry
- Osorio et al. (1999) expect a density
profile proportional to r-p with p = 1.5 for the central region of a hot core. On larger scales in Sgr B2 (
), Lis & Goldsmith (1989) derived a density profile
while de Vicente et al. (1997) found
.
All Tables
Table 3: Transitions of the anti-conformer of ethyl formate detected toward Sgr B2(N) with the IRAM 30 m telescope.
Table 4: Parameters of our best-fit LTE model of ethyl formate.
Table 5: Parameters of our best-fit LTE models of formic acid, methyl formate, ethanol, and dimethyl ether.
Table 8: Spectroscopic parametersa (MHz) of n-propyl cyanide.
Table 11: Transitions of the anti-conformer of n-propyl cyanide detected toward Sgr B2(N) with the IRAM 30 m telescope.
Table 12: Parameters of our best-fit LTE model of n-propyl cyanide with two velocity components.
Table 13: Parameters of our best-fit LTE models of methyl cyanide, ethyl cyanide, vinyl cyanide, and aminoacetonitrile, and column density upper limit for cyanomethylidyne.
Table 14: Surface reactions and cosmic-ray induced surface photodissociation processes related to the formation of cyanides, and ethyl formate.
Table 15: Peak gas-phase abundances from each model, with corresponding model temperatures, as well as source sizes, rotation temperatures, and gas-phase abundances derived from the observations of the main source in Sgr B2(N).
Table 1: Transitions of the anti-conformer of ethyl formate observed with the IRAM 30 m telescope toward Sgr B2(N). The horizontal lines mark discontinuities in the observed frequency coverage. Only the transitions associated with a modeled line stronger than 20 mK are listed.
Table 2: Transitions of the gauche-conformer of ethyl formate observed with the IRAM 30 m telescope toward Sgr B2(N). The horizontal lines mark discontinuities in the observed frequency coverage. Only the transitions associated with a modeled line stronger than 20 mK are listed.
Table 6: Transitions of anti-n-propyl cyanide, employed in the present fits, their frequencies (MHz), uncertainties Unc. (kHz), and residuals O-C (kHz) between frequencies measured in the laboratory and those calculated from the final spectroscopic parameters. Unresolved asymmetry splitting (two transitions having the same Ka and the same transition frequency) has been treated as intensity-weighted average of the two lines.
Table 7: Transitions of gauche-n-propyl cyanide, employed in the present fits, their frequencies (MHz), uncertainties Unc. (kHz), and residuals O-C (kHz) between frequencies measured in the laboratory and those calculated from the final spectroscopic parameters. Unresolved asymmetry splitting (two transitions having the same Ka and the same transition frequency) has been treated as intensity-weighted average of the two lines.
Table 9: Transitions of the anti-conformer of n-propyl cyanide observed with the IRAM 30 m telescope toward Sgr B2(N). The horizontal lines mark discontinuities in the observed frequency coverage. Only the transitions associated with a modeled line stronger than 20 mK are listed.
Table 10: Transitions of the gauche-conformer of n-propyl cyanide observed with the IRAM 30 m telescope toward Sgr B2(N). The horizontal lines mark discontinuities in the observed frequency coverage. Only the transitions associated with a modeled line stronger than 20 mK are listed.
All Figures
![]() |
Figure 2:
a) Population diagram of the anti-conformer of
ethyl formate in Sgr B2(N). The red points were computed in the optically thin approximation using the integrated intensities of our best-fit model of ethyl formate, while the green points were corrected for the opacity. The black points were computed in the optically thin approximation using the integrated intensities of the spectrum observed with the IRAM 30 m telescope.
The error bars are |
| Open with DEXTER | |
| In the text | |
![]() |
Figure 4: Population diagram of the anti-conformer of n-propyl cyanide presented in the same way as for ethyl formate in Fig. 2 (see the caption of that figure for details). Panel a) shows the population diagram derived from the measured integrated intensities while panel b) presents the population diagram after correction for the expected contribution from contaminating molecules. Features 1, 2, 3, 6, 9, and 10 are blends of several transitions with different energy levels and were therefore omitted. |
| Open with DEXTER | |
| In the text | |
![]() |
Figure 5: a) Basic model, showing methyl formate, ethyl formate, formic acid, and related species. b) The same species, following augmentation of methyl formate and dimethyl ether binding energies. Solid lines indicate gas-phase species; dotted lines of the same color indicate the same species on the grain surfaces. |
| Open with DEXTER | |
| In the text | |
![]() |
Figure 6: a) Basic model, showing cyanides. b) The same species, using the Select model, in which selected grain-surface reactions are de-activated (see Table 14). Solid lines indicate gas-phase species; dotted lines of the same color indicate the same species on the grain surfaces. |
| Open with DEXTER | |
| In the text | |
![]() |
Figure 1:
Transitions of the anti-conformer of ethyl formate (EtOCHO-a) detected with the IRAM 30 m telescope. Each panel consists of two plots and is labeled in black in the upper right corner. The lower plot shows in black the spectrum obtained toward Sgr B2(N) in main-beam brightness temperature scale (K), while the upper plot shows the spectrum toward Sgr B2(M). The rest frequency axis is labeled in GHz. The systemic velocities assumed for Sgr B2(N) and (M) are 64 and 62 km s-1, respectively. The lines identified in the Sgr B2(N) spectrum are labeled in blue. The top red label indicates the EtOCHO-a transition centered in each plot (numbered like in Col. 1 of Table 3), along with the energy of its lower level in K (
|
| Open with DEXTER | |
| In the text | |
![]() |
Figure 1: continued. |
| Open with DEXTER | |
| In the text | |
![]() |
Figure 1: continued. |
| Open with DEXTER | |
| In the text | |
![]() |
Figure 3:
Transitions of the anti-conformer of n-propyl cyanide (PrCN-a) detected with the IRAM 30 m telescope. Each panel consists of two plots and is labeled in black in the upper right corner. The lower plot shows in black the spectrum obtained toward Sgr B2(N) in main-beam brightness temperature scale (K), while the upper plot shows the spectrum toward Sgr B2(M). The rest frequency axis is labeled in GHz. The systemic velocities assumed for Sgr B2(N) and (M) are 64 and 62 km s-1, respectively. The lines identified in the Sgr B2(N) spectrum are labeled in blue. The top red label indicates the PrCN-a transition centered in each plot (numbered like in Col. 1 of Table 11), along with the energy of its lower level in K (
|
| Open with DEXTER | |
| In the text | |
![]() |
Figure 3: continued. |
| Open with DEXTER | |
| In the text | |
![]() |
Figure A.1:
Population diagrams of the A and E symmetry species of methyl formate presented in the same way as for ethyl formate in Fig. 2 (see the caption of that figure for details). The a-type lines are marked with a circle. Panels a) and c) show the population diagrams derived from the measured integrated intensities for the A and E species, respectively, while panels b) and d) present the respective population diagrams after removing the expected contribution from contaminating molecules. Features 4 and 42 with
|
| Open with DEXTER | |
| In the text | |
Copyright ESO 2009
Current usage metrics show cumulative count of Article Views (full-text article views including HTML views, PDF and ePub downloads, according to the available data) and Abstracts Views on Vision4Press platform.
Data correspond to usage on the plateform after 2015. The current usage metrics is available 48-96 hours after online publication and is updated daily on week days.
Initial download of the metrics may take a while.

![\begin{figure}
\par\includegraphics[angle=270,width=17cm,clip]{11550f2.eps}
\end{figure}](/articles/aa/full_html/2009/19/aa11550-08/Timg59.png)
![\begin{figure}
\par\includegraphics[angle=270,width=9cm,clip]{11550f4.eps}
\end{figure}](/articles/aa/full_html/2009/19/aa11550-08/Timg98.png)
![\begin{figure}
\par\includegraphics[width=9cm,clip]{11550f5anew.eps}\includegraphics[width=9cm,clip]{11550f5bnew.eps}
\end{figure}](/articles/aa/full_html/2009/19/aa11550-08/Timg125.png)
![\begin{figure}
\par\includegraphics[width=9cm,clip]{11550f6anew.eps}\includegraphics[width=9cm,clip]{11550f6bnew.eps}
\end{figure}](/articles/aa/full_html/2009/19/aa11550-08/Timg126.png)
![\begin{figure}
{\resizebox{15cm}{!}{\includegraphics[angle=270]{11550f1a.ps}\inc...
...angle=270]{11550f1g.ps}\includegraphics[angle=270]{11550f1h.ps}} }\end{figure}](/articles/aa/full_html/2009/19/aa11550-08/Timg142.png)
![\begin{figure}
\par {\resizebox{15.5cm}{!}{\includegraphics[angle=270]{11550f1i....
...angle=270]{11550f1o.ps}\includegraphics[angle=270]{11550f1p.ps}} }\end{figure}](/articles/aa/full_html/2009/19/aa11550-08/Timg143.png)
![\begin{figure}
\par {\resizebox{15.5cm}{!}{\includegraphics[angle=270]{11550f1q....
...angle=270]{11550f1s.ps}\includegraphics[angle=270]{11550f1t.ps}} }\end{figure}](/articles/aa/full_html/2009/19/aa11550-08/Timg144.png)
![\begin{figure}
\par {\resizebox{15.5cm}{!}{\includegraphics[angle=270]{11550f3a....
...angle=270]{11550f3g.ps}\includegraphics[angle=270]{11550f3h.ps}} }\end{figure}](/articles/aa/full_html/2009/19/aa11550-08/Timg145.png)
![\begin{figure}
\par {\resizebox{15.5cm}{!}{\includegraphics[angle=270]{11550f3i....
...{7.5cm}{!}{\includegraphics[angle=270]{11550f3k.ps}}\hspace*{4cm}}\end{figure}](/articles/aa/full_html/2009/19/aa11550-08/Timg146.png)
![\begin{figure}
\par\includegraphics[angle=270,width=16cm,clip]{11550a1a.eps}\vspace*{2mm}
\includegraphics[angle=270,width=16cm,clip]{11550a1b.eps}
\end{figure}](/articles/aa/full_html/2009/19/aa11550-08/Timg150.png)