| Issue |
A&A
Volume 499, Number 1, May III 2009
|
|
|---|---|---|
| Page(s) | L1 - L3 | |
| Section | Letters | |
| DOI | https://doi.org/10.1051/0004-6361/200911638 | |
| Published online | 29 April 2009 | |
LETTER TO THE EDITOR
Can angular momentum loss cause the period change of NN Serpentis?
W.-C. Chen
Department of Physics and Information Engineering, Shangqiu Normal University, Shangqiu 476000, PR China
Received 9 January 2009 / Accepted 15 April 2009
Abstract
NN Ser is a non mass-transferring pre-cataclysmic
variable containing a white dwarf with a mass of
0.5
and an M dwarf secondary star with a mass of
0.2
.
Based on the data obtained with the high-speed CCD camera ULTRACAM, it was observed that the orbital period of NN Ser is decreasing, which may be caused by a genuine angular momentum
loss or by the presence of a third body. However, neither gravitational radiation nor magnetic braking can fully account for the period change of NN Ser. Here, we search for a mechanism which could drain the angular momentum from NN Ser. We propose that a fossil circumbinary disk (CB disk) around the binary may have been established at the end of the common envelope phase, and the tidal torques caused by the gravitational interaction between the disk and the binary can efficiently extract the orbital angular momentum from the system. We find that only if M dwarf has an ultra-high wind loss rate of
10
,
and a large fraction (
)
of wind loss is fed into the CB disk, can the loss rates of angular momentum via the CB disk explain the period change observed in NN Ser. Such a wind loss rate and
-value seem to be highly unlikely. Hence it seems that the presence of a third body in a long orbit around the binary might account for the changing period of NN Ser.
Key words: binaries: eclipsing - pulsars: individual: N Serpentis - stars: evolution - white dwarfs - stars: winds, outflows
1 Introduction
From the Palomar-Green survey, NN Ser (PG 1550+131) was determined to have clear emission lines in its spectra. Based on the broad H, He I profiles, and Balmer jumps in the emission lines, NN Ser was classified as a U Gem-like object (see Green et al. 1982). Through the observations of NN Ser, Wilson et al. (1986) found that there exists a rapid decline its the brightness of
0.6 mag, which was believed to be a characteristic of cataclysmic variable stars.
Based on photometric observations in 1988 July, a strong heating
effect (
0.6 mag) and very deep primary eclipses (
0.4 mag) have been seen, which show that NN Ser is a detached white
dwarf binary with an orbital period of 3.12 h, i.e. it is a
pre-cataclysmic variable (Haefner 1989). Through low-resolution
IUE observations for NN Ser, Wood & Marsh (1991) derived that
the mass of the white dwarf is in the range of
,
and the secondary star is an M 4.7-M 6.1 dwarf with a mass of
and a temperature of
2775-3050 K. Using the phase-resolved blue and far red spectra,
Catalan et al. (1994) inferred the radial velocities, and discussed the
physical and orbital parameters for both components of NN Ser.
Haefner et al. (2004) redetermined all system parameters of NN Ser by
using the VLT and the multi-mode FORS instruments.
Using the high speed CCD camera ULTRACAM, Brinkworth et al. (2006) have
detected 13 primary eclipses of NN Ser. After fitting of light
curve models, they concluded that the orbital period of the binary
is decreasing, with a mean change rate
ss-1, and a current change rate
ss-1 during the past
2 years. Generally, period changes in binary systems may be caused
by three mechanisms: Applegate's mechanism (Applegate 1992), the
presence of a third body around the binary, and an orbital angular
momentum loss. After excluding Applegate's mechanism,
Brinkworth et al. (2006) concluded that a third body with a mass of
and an orbital period of 30-285 yr may be
responsible for the period change of NN Ser. Furthermore, the
standard magnetic braking model proposed by Rappaport et al. (1983) can
also account for NN Ser's period change if the magnetic braking
mechanism still applies to at a secondary star with mass lower
than
(Brinkworth et al. 2006).
Grossman et al. (1974) suggested that main-sequence stars with masses
0.3
have convective cores, therefore the magnetic field
lines cannot be locked to the core and magnetic braking should be
cut off. From the observed angular momentum loss properties of
cataclysmic variables (CVs), Andronov et al. (2003) noted that there is no
evidence for a cut-off in magnetic braking when the stellar mass
is below
.
In addition, if gravitational radiation
is the only mechanism draining angular momentum from CVs with a short period, it would result in two serious consequences: (1) the inferred minimum orbital period would be at 1.1 h instead of the observed value of 1.3 h; (2) there should exist a significant
fraction of CVs with a minimum period, which is not consistent
with the observations (Patterson 1998). Therefore, it is a
controversial issue as to whether magnetic braking still works for NN Ser.
It is the purpose of this paper to search for a feasible mechanism extracting the orbital angular momentum from NN Ser, and present an alternative interpretation for its orbital period change. In Sect. 2.1, our analytic results indicate that the magnetic braking cannot explain the observed data of NN Ser. In Sect. 2.2 we investigate if a circumbinary (CB) disk around the binary system can be responsible for the period change of NN Ser. We provide a brief discussion and summary in Sect. 3.
2 The orbital angular momentum loss
2.1 Magnetic braking
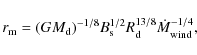
Single low-mass main-sequence stars would be expected to undergo magnetic braking due to the coupling between the stellar winds and the magnetic field (Verbunt & Zwaan 1981). The specific angular momentum loss in the stellar winds is very large because the outflow material is bound in the magnetic field lines to co-rotate with the stars out to a long distance (see Kalogera 1999; Mestel & Spruit 1987; Weber & Davis 1967).
Assuming that magnetic braking still works for NN Ser, we estimate
the loss rates of orbital angular momentum. The magnetospheric
radius of an M dwarf can be derived as (Justham et al. 2006)
![]() |
(1) |
where G is the gravitational constant,
In a binary system, the angular momentum loss by magnetic braking
would cause the evolved star to spin down. However, the tidal
forces between the two components would continuously act to spin
the star back up into co-rotation with the orbital rotation
(Patterson 1984). The spin-up takes place at the expense of the
orbital angular momentum. Hence magnetic braking indirectly
carries away the orbital angular momentum of the binary system.
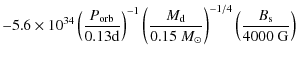
Assuming that the stellar wind with the angular velocity of the
donor star at magnetosphere depart from the magnetic lines, the
loss rates of orbital angular momentum is given by (Justham et al. 2006)
![]() |
(2) |
where
For NN Ser, the mass and radius of the M dwarf are
0.15
and
0.18
,
respectively
(Haefner et al. 2004). Detection of Zeeman splitting of Fe lines in very
active M dwarfs indicates a magnetic field of 2-4 kG
(Johns-Krull & Valenti 1996). Based on data from the James Clerk Maxwell
Telescope, Mullan et al. (1992) proposed that the flaring M dwarf stars
have a ultra-high wind loss rates of
yr-1. Hence we can obtain the loss rates of orbital angular
momentum by magnetic braking
| |
= | ![]() |
|
![]() |
(3) |
Since
2.2 Circumbinary disk
Recently, a new mechanism to extract angular momentum from binary
stars - the CB disk - was developed. CB disks were first
proposed by van den Heuvel & de Loore (1973) and van den Heuvel (1994), and they argued
that part of the transferred material with orbital angular
momentum may form a disk around the binary rather than leaving it.
The rotating disk around a binary is called the CB disk, whose
schematic diagram was presented by Hayasaki & Okazaki (2009) (see their
Fig. 1). If the CB disk follows Keplerian rotation, its angular
velocity
(r is the distance between
the CB disk and the mass center of the binary system), then the
angular velocity of the CB disk is less than that of the binary.
The gravitational interaction between the inner edge
of the CB disk and the binary causes the disk to spin up, and
causes the binary to spin down. Hence the tidal torques caused by
the gravitational interaction may extract the orbital angular
momentum from the binary to the CB disk. Spruit & Taam (2001) and
Taam & Spruit (2001) invoked the CB disk to explain the large spread of
the mass transfer rate for a given orbital period in CVs. Our
recent work also shows that CB disks can efficiently extract
orbital angular momentum from binaries, and hence enhance the mass
transfer rates (Chen & Li 2006,2007; Chen et al. 2006).
In the standard scenario for the birth of cataclysmic variables, the progenitor systems were assumed to include an intermediate mass star and a low mass companion. After the more massive star fills its Roche lobe, the mass transfer rate is very high because of the large mass ratio between the two components, and the binary systems will evolve into a common envelope phase (for a review Iben & Livio 1993). Ejecting the envelope due to friction dissipation, a compact binary with a low mass white dwarf was formed. NN Ser was proposed to be a post common envelope binary (Schreiber & Gnäsicke 2003). Since the common envelope may not be entirely ejected, a fossil CB disk may have been established (Spruit & Taam 2001).
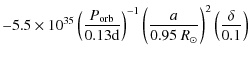
Assuming that a fraction
of the stellar wind loss from the M dwarf feeds into the CB disk, the loss rates of angular momentum via the CB disk can be written as (Taam & Spruit 2001; Spruit & Taam 2001)
![]() |
(4) |
where
For NN Ser, Haefner et al. (2004) suggested that the cooling time of the white dwarf is
yr, which is consistent with the age of the white dwarf estimated by Wood & Marsh (1991). Setting
,
and
(Chen & Li 2006),
yr. Inserting typical values for the parameters into Eq. (4), we have
| |
= | ![]() |
|
![]() |
(5) |
According to Eq. (5), the CB disk can explain the loss rates of angular momentum seen in NN Ser for a large
The above order-of-magnitude estimate obviously contains
substantial uncertainties in
and the wind loss rates.
Firstly, the loss rates of angular momentum relies strongly on the
stellar wind loss rates, which may be overestimated by
Mullan et al. (1992). Based on the observations for several M dwarf
flare stars, an upper limit of
was derived (van den Oord & Doyle 1997; Lim & White 1996). Analysis of the data from
Chandra and Hubble observations showed that the M
5.5 dwarf Proxima Centauri has a wind loss rate of
(Wargelin & Drake 2002; Wood et al. 2001).
Assuming that the white dwarf accretes wind material through
Bondi-Hoyle accretion, Debes (2006) presented a wind loss rates
range of
for three M dwarfs. We expect that future observations of P Cygni profiles, optical and molecular emission lines, infrared and radio excesses, and absorption lines can provide further constraints for the wind loss rates of NN Ser (Lamers & Cassinelli 1999). Secondly, even if the wind loss rates derived by Mullan et al. (1992) are the same as NN Ser, the CB disk mechanism still requires a large
,
which is about 2-3 orders of magnitude larger than that used by Spruit & Taam (2001). Such wind loss rates and
-values are overly large, so it seems that the presence of a CB disk is not the main cause of the period change of NN Ser.
3 Discussion and summary
Brinkworth et al. (2006) suggested that the standard magnetic braking model may explain the period change observed in NN Ser if the magnetic braking cut-off is ignored. Here, we estimate the loss rates of angular momentum via magnetic braking with an analytic approach. Our result shows that, even if the M dwarf in NN Ser possesses a strong magnetic field of 4000 G and an ultra-high wind loss rate of
,
the loss rates of angular momentum via magnetic braking are an order of magnitude less than that of observation. However, for the same wind loss rates, if a large fraction (
10%) of wind loss was delivered to the CB disk, the loss rates of angular momentum seen in NN Ser could be interpreted by the tidal torques caused by the gravitational interaction between the CB disk and the binary.
However, the stellar wind loss rates of M dwarfs determine if a CB disk can account for the period change of NN Ser. Several authors have subsequently derived wind loss rates of 2-6 mag lower than the one given by Mullan et al. (1992) (Wargelin & Drake 2002; van den Oord & Doyle 1997; Debes 2006; Wood et al. 2001; Lim & White 1996). Based on recent inferred wind loss rates for M dwarfs, the CB disk is not the main mechanism causing the period change of NN Ser. In the absence of evidence for a more efficient mechanism extracting angular momentum from the binary, the presence of a third body in a long orbit around NN Ser may be the best candidate mechanism for its period change (Brinkworth et al. 2006).
Though a CB disk is ruled out in NN Ser, the existence of CB disks might be a key issue in studying the evolution of the CVs. As the result of a continuum contribution of the dust emission, the CB disk may be detected in the L waveband (Spruit & Taam 2001). Recently, Hayasaki & Okazaki (2009) suggested a new channel to probe a CB disk in which the emission profiles may be caused to vary by prograde and nonaxisymmetric waves. Through interferometric observations, the direct imaging of CB disks has been successfully obtained in some young binaries such as GG Tau (Dutrey et al. 1994) and UY Aur (Duvert et al. 1998). When the Spitzer data for CVswith a strong magnetic field were analyzed, the flux density of four and five polars in mid-infrared wavelengths was discovered to be in excess. Howell et al. (2006) and Brinkworth et al. (2007) proposed that the CB dust disks are the most likely origin of these excesses (but the source of optically thin cyclotron radiation cannot be ruled out). Dubus et al. (2007) found that the infrared emission from the magnetic CV AE Aqr is larger than the expected value from the companion, and they thought that the thermal emission from the CB material might be a candidate. Therefore, as the progenitor of CVs, NN Ser may also be surrounded by a CB disk. We expect further detailed multi-waveband observations for this pre-CVs to confirm or negate our idea in the future.
Acknowledgements
We thank the anonymous referee for his/her helpful comments improving this manuscript, and thank Stephen Justham, Li X. D., Liu X. W., and Zuo Z. Y. for their help in improving English of this paper. This work has been supported in part by the National Natural Science Foundation of China (Grant No 10873011), and sponsored by Program for Science & Technology Innovation Talents in Universities of Henan Province, China.
References
- Andronov, N., Pinsonneault, M., & Sills, A. 2003, ApJ, 582, 358 [NASA ADS] [CrossRef] (In the text)
- Applegate, J. H. 1992, ApJ, 385, 621 [NASA ADS] [CrossRef] (In the text)
- Brinkworth, C. S., Marsh, T. R., Dhillon, V. S., & Knigge, C. 2006, MNRAS, 365, 287 [NASA ADS] [CrossRef] (In the text)
- Brinkworth, C. S., Hoard, D. W., Wachter, S., et al. 2007, ApJ, 659, 1541 [NASA ADS] [CrossRef] (In the text)
- Catalan, M. S., Davey, S. C., Sarna, M. J., Smith, R. C., & Wood, J. H. 1994, MNRAS, 269, 879 [NASA ADS] (In the text)
- Chen, W.-C., & Li, X.-D. 2006, MNRAS, 373, 305 [NASA ADS] [CrossRef]
- Chen, W.-C., & Li, X.-D. 2007, ApJ, 658, L51 [NASA ADS] [CrossRef]
- Chen, W.-C., Li, X.-D., & Qian, S.-B. 2006, ApJ, 649, 973 [NASA ADS] [CrossRef]
- Debes, J. H. 2006, ApJ, 652, 636 [NASA ADS] [CrossRef] (In the text)
- Dubus, G., Taam, R. E., Hull, C., et al. 2007, ApJ, 663, 516 [NASA ADS] [CrossRef] (In the text)
- Dutrey, A., Guilloteau, S., & Simon, M. 1994, A&A, 286, 149 [NASA ADS] (In the text)
- Duvert, G., Dutrey, A., Guilloteau, S., et al. 1998, A&A, 332, 867 [NASA ADS] (In the text)
- Green, R. F., Ferguson, D. H., Liebert, J., & Schmidt, M. 1982, PASP, 94, 560 [NASA ADS] [CrossRef] (In the text)
- Grossman, A. S., Hays, D., & Graboske, H. C. 1974, A&A, 30, 95 [NASA ADS] (In the text)
- Haefner, R. 1989, A&A, 213, L15 [NASA ADS] (In the text)
- Haefner, R., Fiedler, A., Butler, K., & Barwig, H. 2004, A&A, 428, 181 [NASA ADS] [CrossRef] [EDP Sciences] (In the text)
- Hayasaki, K., & Okazaki, A. T. 2009, ApJ, 691, L5 [NASA ADS] [CrossRef] (In the text)
- Howell, S. B., Brinkworth, C., Hoard, D. W., Howell, S. B., et al. 2006, ApJ, 646, L65 [NASA ADS] [CrossRef] (In the text)
- Iben, Jr. I., & Livio, M. 1993, PASP, 105, 1373 [NASA ADS] [CrossRef] (In the text)
- Johns-Krull, C. M., & Valenti, J. A. 1996, ApJ, 459, L95 [NASA ADS] [CrossRef] (In the text)
- Justham, S., Rappaport, S., & Podsiadlowski, Ph. 2006, MNRAS, 366, 1415 [NASA ADS] (In the text)
- Kalogera, V. 1999, ApJ, 521, 723 [NASA ADS] [CrossRef]
- Lamers, H. J. G. L. M., & Cassinelli, J. P. 1999, Introduction to Stellar Winds (Cambridge: Cambridge Univ. Press) (In the text)
- Lim, J., & White, S. M. 1996, ApJ, 462, L91 [NASA ADS] [CrossRef]
- Mestel, L., & Spruit, H. C. 1987, MNRAS, 226, 57 [NASA ADS]
- Mullan, D. J., Doyle, J. G., Redman, R. O., & Mathioudakis, M. 1992, ApJ, 397, 225 [NASA ADS] [CrossRef] (In the text)
- Patterson, J. 1984, ApJS, 54, 443 [NASA ADS] [CrossRef] (In the text)
- Patterson, J. 1998, PASP, 110, 1132 [NASA ADS] [CrossRef] (In the text)
- Rappaport, S., Verbunt, F., & Joss, P. C. 1983, ApJ, 275, 713 [NASA ADS] [CrossRef] (In the text)
- Schreiber, M., & Gnäsicke, B. T. 2003, A&A, 406, 305 [NASA ADS] [CrossRef] [EDP Sciences] (In the text)
- Sills, A., Pinsonneault, M. H., & Terndrup, D. M. 2000, ApJ, 534, 335 [NASA ADS] [CrossRef] (In the text)
- Spruit, H. C., & Taam, R. E. 2001, ApJ, 548, 900 [NASA ADS] [CrossRef] (In the text)
- Taam, R. E., & Spruit, H. C. 2001, ApJ, 561, 329 [NASA ADS] [CrossRef] (In the text)
- van den Heuvel, E. P. J. 1994, in interacting Binaries, ed. S. N. Shore, et al. (Saas-Fee 22; Berlin: Springer), 263 (In the text)
- van den Heuvel, E. P. J., & de Loore, C. 1973, A&A, 25, 387 [NASA ADS] (In the text)
- van den Oord, G. H. J., & Doyle, J. G. 1997, A&A, 319, 578 [NASA ADS]
- Verbunt, F., & Zwaan, C. 1981, A&A, 100, L7 [NASA ADS] (In the text)
- Wargelin, B. J., & Drake, J. J. 2002, ApJ, 578, 503 [NASA ADS] [CrossRef]
- Wood, J. H., & Marsh, T. R. 1991, ApJ, 381, 551 [NASA ADS] [CrossRef] (In the text)
- Wood, B. E., Linsky, J. L., Müller, H.-R., & Zank, G. P. 2001, ApJ, 547, L49 [NASA ADS] [CrossRef]
- Weber, E. J., & Davis, L. 1967, ApJ, 148, 217 [NASA ADS] [CrossRef]
- Wilson, J. W., Miller, H. R., Africano, J. L., et al. 1986, A&AS, 66, 323 [NASA ADS] (In the text)
Copyright ESO 2009
Current usage metrics show cumulative count of Article Views (full-text article views including HTML views, PDF and ePub downloads, according to the available data) and Abstracts Views on Vision4Press platform.
Data correspond to usage on the plateform after 2015. The current usage metrics is available 48-96 hours after online publication and is updated daily on week days.
Initial download of the metrics may take a while.






