| Issue |
A&A
Volume 499, Number 1, May III 2009
|
|
|---|---|---|
| Page(s) | 45 - 46 | |
| Section | Extragalactic astronomy | |
| DOI | https://doi.org/10.1051/0004-6361/20077721e | |
| Published online | 09 February 2009 | |
Erratum
Suppressed radio emission in supercluster galaxies: enhanced ram pressure in merging clusters?
J.-C. Mauduit1 - G. A. Mamon2,3
1 - Observatoire de la Côte d'Azur, BP 4229, 06304 Nice Cedex 4, France
2 -
Institut d'Astrophysique de Paris (UMR 7095: CNRS & UPMC),
98 bis Bd. Arago, 75014 Paris, France
3 -
Astrophysics & BIPAC, University of Oxford, Keble Rd, Oxford OX1 3RH, UK
A&A 475, 169-185 (2007), DOI: 10.1051/0004-6361/20077721
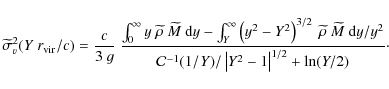
The paper ``Suppressed radio emission in supercluster galaxies: enhanced ram pressure in merging clusters'' was published in A&A 475, 169. There is a double typographical error in Appendix A. In Eqs. (A.2) and (A.9), which both express the squared aperture velocity dispersion of a respectively general and NFW (Navarro et al. 1996) spherical system, there is
a factor 3 missing in the terms in front of the integrals, so that the squared aperture velocity dispersion should be 3 times smaller than given
.
These two equations should thus read
and
However, all other equations (in particular Eqs. (A.10) and (A.11)) are correct as is the accompanying discussion.
Note that the derivation of Eq. (A.9) involves not only Eq. (A.2) of Mauduit & Mamon (2007) and Eq. (42) of okas & Mamon (2001), but also Eq. (43) of okas & Mamon.
References
- okas, E. L., & Mamon, G. A. 2001, MNRAS, 321, 155 [NASA ADS] [CrossRef] (In the text)
- Mamon, G. A., & okas, E. L. 2005, MNRAS, 362, 95 [NASA ADS] [CrossRef]
- Mamon, G. A., & okas, E. L. 2006, MNRAS, 370, 1581 [NASA ADS] [CrossRef]
- Mauduit, J.-C., & Mamon, G. A. 2007, A&A, 475, 169 [NASA ADS] [CrossRef] [EDP Sciences] (In the text)
- Navarro, J. F., Frenk, C. S., & White, S. D. M. 1996, ApJ, 462, 563 [NASA ADS] [CrossRef] (In the text)
Footnotes
- ... given
- This factor of 3 is also missing in Eq. (B.7) of Mamon & okas (2005), as reported by Mamon & okas (2006).
Copyright ESO 2009
Current usage metrics show cumulative count of Article Views (full-text article views including HTML views, PDF and ePub downloads, according to the available data) and Abstracts Views on Vision4Press platform.
Data correspond to usage on the plateform after 2015. The current usage metrics is available 48-96 hours after online publication and is updated daily on week days.
Initial download of the metrics may take a while.
![\begin{displaymath}\sigma_{\rm ap}^2 (R) = {4\pi~G\over 3~M_{\rm p}(R)}~\left [\...
... {(r^2\!-\!R^2)^{3/2}\over r^2}~\rho(r)
M(r)~{\rm d}r \right ]
\end{displaymath}](/articles/aa/full_html/2009/19/aa7721-07e/img1.png)
