| Issue |
A&A
Volume 499, Number 2, May IV 2009
|
|
|---|---|---|
| Page(s) | 541 - 555 | |
| Section | Stellar structure and evolution | |
| DOI | https://doi.org/10.1051/0004-6361/200810609 | |
| Published online | 01 April 2009 | |
A deep multi-band investigation of IC 2391![[*]](/icons/foot_motif.png)
L. Spezzi1,2 - I. Pagano1 - G. Marino1 - G. Leto1 - E. Young3 - N. Siegler4 - Z. Balog3 - S. Messina1 - E. Distefano1 - B. Merín5 - D. Barrado y Navascués6
1 - INAF - Osservatorio Astrofisico di Catania, via S. Sofia 78, 95123 Catania, Italy
2 - European Space Agency (ESTEC), PO Box 299, 2200 AG Noordwijk, The Netherlands
3 - Steward Observatory, University of Arizona, 933 North Cherry Avenue, Tucson, AZ 85721, USA
4 - Jet Propulsion Laboratory, California Institute of Technology, Pasadena, California 91109-8099, USA
5 - European Space Agency (ESAC), PO Box Apdo. de correos 78, 28691 Villanueva de la Cañada, Madrid, Spain
6 - Laboratorio de Astrofísica Espacial y Exoplanetas, Centro de Astrobiologia (LAEFF-CAB, INTA-CSIC),
European Space Astronomy Center (ESAC), PO Box 78, 28691 Villanueva de la Cañada, Madrid, Spain
Received 15 July 2008 / Accepted 26 February 2009
Abstract
Aims. We report the outcome of a deep multiwavelength study of the IC 2391 young open cluster. We attempt to uncover new low-mass and sub-stellar members of the cluster and identify new debris disk objects.
Methods. We observed a
square arcmin area in IC 2391 using the wide-field imager at the ESO 2.2 m telescope. The completeness limits of the photometry at the 3
level are V=24.7,
,
and
,
faint enough to reveal sub-stellar members down to
0.03
.
Our membership criteria are based on use of our optical data in combination with
magnitudes from the 2MASS catalog. We also estimate the physical parameters of the selected candidates. Debris disk candidates are identified on the basis of their infrared excess emission using near- and mid-infrared photometry from the Spitzer Space Telescope.
Results. Our optical survey, which has a limiting magnitude at the 3
level 1-2 mag fainter than previous optical surveys conducted in IC 2391, revealed 29 new low-mass member candidates of the cluster. We estimate the contamination to be at least
50%. We constrain the fraction of sub-stellar objects in the range 8-15% and discuss possible explanations of the deficit of brown dwarfs in this cluster. We also identify 10 candidates in the cluster showing IR excess emission consistent with the presence of debris disks.
Key words: stars: formation - stars: low-mass, brown dwarfs - stars: pre-main sequence - stars: circumstellar matter - ISM: individual objects: IC 2391
1 Introduction
The general form of the stellar IMF has been observationally established, while the situation remains unclear across the hydrogen-burning limit (Reid 2005). Infrared (IR) survey data (e.g., Lodieu et al. 2007; Muench et al. 2003; Bouvier et al. 1998; Lodieu et al. 2006c; Moraux et al. 2003; Lodieu et al. 2006a,2005,2006b; Luhman et al. 2006; Luhman 2004b; Muench et al. 2007), have produced reliable statistics for substellar objects. These overall results, in combination with optical photometric and spectroscopic follow-up observations, allow us to address quantitatively such issues as the continuity of the IMF across the stellar/substellar boundary and its invariance or dependency on local conditions. These studies also hold important keys for the clarification of the dominant brown-dwarf (BD) formation mechanism in star clusters (Bouvier et al. 2005).
Because of its proximity (
150 pc; Forbes et al. 2001), relatively young age
(30-50 Myr; Basri et al. 1996; Mermilliod 1981; Stauffer et al. 1998; Barrado y Navascués et al. 1999,2004), and insignificant
extinction along the line of sight (
E(B-V)=0.006; Patten & Simon 1996),
the IC 2391 young open cluster has been considered to be an ideal location
for star-formation studies.
Consequently, IC 2391 is one of the most well-studied clusters.
In this cluster there are about 180 known members, with accurate
proper motion determinations (Platais et al. 2007; Monet al. 2003; Dodd 2004),
among which a dozen are substellar objects.
The only determination of the IC 2391 mass spectrum in the very low-mass regime has been presented by Barrado y Navascués et al. (2004).
According to these authors, the mass spectrum between 0.5
and the substellar limit
(
0.07
)
follows a power law with
-index
0.96.
Below this limit, there is a sudden drop that the authors attribute to a
local drop in the shape of the luminosity-mass relation at spectral types M7-M8 and,
partially, to the incompleteness of their spectroscopic follow-up below
mag
(i.e., 0.05
for cluster members).
However, other young clusters (e.g.,
Per and NGC 2547)
exhibit a lack of substellar members more or
less of the same mass as for IC 2391 (see Jeffries et al. 2004; Barrado y Navascués et al. 2002).
This deficit may extend to lower masses or may only be a dip,
perhaps caused by an imperfect understanding of the mass-luminosity
relationship at temperatures around 2400-2500 K (Dobbie et al. 2002). However,
the incompleteness of the surveys conducted in these clusters leaves the question open.
In particular, the number of substellar objects discovered so far in IC 2391
is too low to draw any conclusion on a statistically significant basis.
In this paper, we present the results of a deep optical, wide-field imaging survey
of IC 2391, complemented by IR photometry from the 2MASS catalog (Cutri et al. 2003)
and the Spitzer satellite.
This survey, which has a 3
photometric limit 1-2 mag fainter
than previous optical photometric surveys conducted in IC 2391
(i.e.,
mag; Patten & Simon 1996; Barrado y Navascués et al. 2001b; Patten & Pavlovski 1999),
aims to uncover new low-mass and BD member candidates,
which should be confirmed with future follow-up spectroscopy, to provide
further insights into the substellar mass spectrum in this cluster.
In addition, the age and distance of IC 2391 offer a unique combination in
studying the evolution of debris disks around low-mass stars, which is
a crucial step toward our understanding of
the terrestrial planet formation mechanism (e.g., Decin et al. 2003; Habing et al. 2001; Dominik & Decin 2003; Currie et al. 2007).
The study of circumstellar disks has undergone
development following the analyses of data from the Spitzer Space Telescope.
These data are ideal for disk investigations because
the Spitzer sensitivity and wavelength coverage allow
studies of statistically significant samples and
probe the inner planet-forming region of disks (see, e.g., Lada et al. 2006).
Spitzer observations have shown that debris disks are found around solar-like
stars at a wide range of possible distances
(1-50 AU) from the central star and temperatures (10-650 K),
with an age-dependent frequency (see Siegler et al. 2007, and reference therein).
A pioneer studying of the debris disk population in IC 2391 was
conducted by Siegler et al. (2007) using the Multiband Imaging
Photometer for Spitzer (MIPS).
Using our optical photometry, the MIPS catalog by Siegler et al. (2007),
and additional IR photometry from 2MASS and the
InfraRed Array Camera (IRAC) on Spitzer, we present here our search for
new debris disk candidates in IC 2391.
This study aims ultimately to measure the frequency of debris disks around very low-mass stars
and assess whether they experience a planetesimal phase in their evolution,
as observed for more massive stars (e.g., Riaz et al. 2006; Lada et al. 2006; Kessler-Silacci et al. 2006; Sicilia-Aguilar et al. 2007; Young et al. 2004; Chen et al. 2005).
In Sect. 2, we describe the WFI survey in IC 2391 and the data reduction and catalog extraction procedures. In Sects. 3 and 4, we describe our membership criteria, present the sample of new cluster-member candidates, and estimate the contamination level of this sample. The fraction of substellar objects in IC 2391 is discussed in Sect. 5, while in Sect. 6 we investigate the debris disk population in this cluster. Our conclusions are drawn in Sect. 7.
2 Observations and data reduction
2.1 The WFI observations
The optical photometric observations were performed in service mode using
the Wide Field Imaging (WFI) mosaic camera attached
to the ESO 2.2 m telescope at La Silla (Chile), from November
2001 to March 2002 (Program ID: 68.D-0541(A), PI: Isabella Pagano).
WFI is an
CCD mosaic, covering a
square arcmin field with a pixel scale
of 0.238 arcsec/pix.
These observations are also intended to investigate the variability of
young stars at the bottom of the main sequence caused by their magnetic activity,
which will be presented in a future paper (Pagano et al., in preparation).
For this reason, our observing strategy consisted of
repeated exposures of the same field.
To avoid photometric contamination from the
bright AB type stars in the core of IC 2391, our WFI pointing was
centered on
:42
:31
and Dec = -53
:02
:58
,
i.e., about 0.25 deg east of the cluster center (Fig. 1), and
covers about 60% of the sky-area spanned by IC 2391.
The region was observed in the V, R, and I WFI broad-band filters
for nine non-consecutive nights, with 1-7 observations per night per filter.
The seeing conditions were always superior to 1.2 arcsec.
This strategy ensured a good phase coverage for objects
with rotational periods between 0.2 and 10 days, i.e.,
the range expected for very low-mass stars at the age of IC 2391 (30-50 Myr).
To cover the gaps between the WFI CCDs, each observation in
each filter was divided into three individual exposures (ditherings) and
the telescope pointing was shifted by
1 arcmin between consecutive exposures.
Since we are interested in both identifying the lowest mass
cluster members and recovering the early-type ones,
we performed two series of observations per night.
The total exposure time was 270 s in
the V-band and 75 s in the RI bands
for the ``long-time'' series and 30 s in the V-band, 15 s in
the R-band, and 21 s in the I-band for the ``short-time'' one.
In this way, the photometry for early-type members saturated
in the long-time exposures is recovered from the ``short-time'' ones.
A summary of the observations is reported in Table 1.
![]() |
Figure 1: R-band image of IC 2391 from the STScI Digitised Sky Survey. The solid line displays the total sky-area surveyed with the WFI CCD mosaic camera at the ESO 2.2 m telescope, while the dashed lines trace the area observed with IRAC and MIPS at Spitzer (see Sect. 6). The arrow indicates the cluster center. The filled squares represent the new member candidates identified in this work, while the circled symbols indicate the objects showing IR excess emission (the stars mark the confirmed cluster members, while squares and crosses mark the member candidates and the four sources of dubious nature discussed in Sect. 6.1.1, respectively). |
| Open with DEXTER | |
Table 1: Journal of the observations.
2.1.1 Pre-reduction
The raw images were processed using the IRAF
mscred package
and a number of scripts ad hoc developed with both
IRAF and IDL
.
We followed the standard steps for mosaic CCD data reduction, i.e.,
overscan, bias and flat-fielding correction.
For each night in which observations for our program were performed,
bias and twilight-flat frames were combined to obtain the
night master bias and flat, respectively, which were
then used to correct the science images.
The possible residual effects of vignetting and sky concentration caused by the geometrical distortion
were reduced by subtracting a background's 2D-polynomial fit from each image,
obtained by using the imsurfit routine under IRAF.
Fringing strongly affects the WFI observations acquired at near-IR
wavelengths. To remove the effect from our I-band
images, we subtracted from each I-band science frame
the fringing pattern frame available as part
of the WFI standard calibration plan
,
scaled by a specific factor to account
for the amplitude of the fringes in the individual science frames.
2.1.2 Astrometry and co-addition of images
The astrometric calibration of each exposure was
performed using the msczero and msccmatch
packages under IRAF; the GSC (STScI 2006) and
TYCHO (Hog et al. 1998) catalogs were used as reference and an absolute
astrometric precision of 0.6 arcsec was achieved,
as confirmed by a cross-check with the 2MASS point-source catalog (see Sect. 2.1.4).
Individual exposures in each dithering set
were then resampled, flux-scaled, and combined into a single mosaic
by using the mscimage, mscimatch, and imcombine
tasks under IRAF, respectively.
The final stacked image is a
frame,
where each pixel value is the median flux of the
coadded ditherings normalized to the total exposure
time and relative to the airmass and atmospheric
transparency of the first frame in the dithering set.
The final stacked images were also trimmed to the overlapping area
of the relative ditherings, so that only those sources falling
in all ditherings were considered in the subsequent analysis.
2.1.3 Photometric calibration
Instrumental magnitudes were calibrated to the
standard Johnson-Cousins system.
To achieve this aim, the Landolt's standard star field SA 92
(Landolt 1992) was observed in the
filters.
By using the IRAF photcal package,
we first performed the aperture photometry for the standard stars,
obtaining their instrumental magnitudes (v0, r0, and i0)
corrected for atmospheric extinction and normalized to the exposure time.
Then, the transformation coefficients, namely zero point (ZP)
and color term (c), from the WFI photometric
system to the Johnson-Cousins standard system
were determined by a linear fitting of
the following equations:
where V,
2.1.4 The deep catalog extraction
The sources extraction and photometry from
each stacked image in each filter was performed
using the SExtractor tool by Bertin & Arnouts (1996).
This data set will be used to study the variability of the IC 2391
low-mass members as will be presented in a future paper (Pagano et al., in preparation).
The limiting magnitude achieved at the 3
level
using the single stacked images is
.
At the age (
50 Myr) and distance (
150 pc) to IC 2391,
this limit corresponds to very low-mass stars (
)
close to the hydrogen-burning limits or, perhaps, to massive BDs.
One of the main goals of this work is the identification
of new candidate substellar members of IC 2391, which are expected
to have R magnitude in the range 18.5-24 depending on their
mass and the intervening reddening.
Since our data set consists of repeated
observations of the same field, we further combined the
stacked images with the same exposure time and
obtained, for each filter, a photometrically deeper frame
with improved signal-to-noise ratio, suitable
for our purposes (Fig. 2).
The combination was performed using the imcombine
task under IRAF in the same configuration as explained in
Sect. 2.1.2, and the stacked images from our ``long-time''
series (see Sect. 2.1). Seventeen images were combined in the V filter,
18 in the R filter, and 15 in the I filter, for a total
exposure time of 76.5 min, 22.5 min, and 18.75 min, respectively.
PSF-fitting photometry was performed on these deeper frames
by using the IRAF daophot package (Stetson 1987);
this method provides a more accurate deblending of sources than
aperture photometry and hence, the detection of the
faintest neighbors to bright stars.
Since we are interested in very low-luminosity objects,
we defined a very low detection threshold (
)
and
selected point-like objects from extended sources
(e.g., galaxies), saturated objects, and other spurious detections
by using the daophot morphological parameters.
In Fig. 3, the internal photometric errors of
all the detected point-like sources are plotted against
magnitude for all the available filters; the relative
exponential fits are overplotted.
Table 3 reports the saturation limits and
the limiting magnitudes achieved at the 3
level from these deeper frames.
These limits are sufficient for the detection of
young stars and BDs with masses of between
1
and
0.03
at the age and distance of IC 2391.
Our optical catalog contains 60 596 point-like sources with VRI magnitudes.
A merged catalog with position and photometry in
each optical filter, as well as in the near-IR
(
magnitudes from 2MASS; Cutri et al. 2003), was finally produced
and used for the selection of cluster members
(Sect. 3). A matching radius of 1
was used to merge the
WFI and the 2MASS catalogs; this value was set by taking
the astrometric accuracy of both catalogs into account.
Table 2: Mean photometric calibration coefficients for our WFI observing run.
![]() |
Figure 2: Section of a single stacked image in the R-band ( upper panel) and the same region as it appears in the deeper frame obtained by combining 18 stacked images ( lower panel). |
| Open with DEXTER | |
![]() |
Figure 3:
Photometric errors versus magnitudes and relative
exponential fits of all the point-like sources detected in
the
|
| Open with DEXTER | |
Table 3:
Saturation limits and limiting
magnitudes at 3
level (see Sect. 2.1.4).
In the fourth column, the corresponding limiting mass for cluster members
(i.e. assuming an age between 30 and 50 Myr and a distance of 150 pc)
derived from the evolutionary models by Baraffe et al. (1998) and Chabrier et al. (2000) is reported;
in the last column the magnitude corresponding to the Hydrogen burning limit
(
0.07
)
for IC 2391 members is also given for comparison.
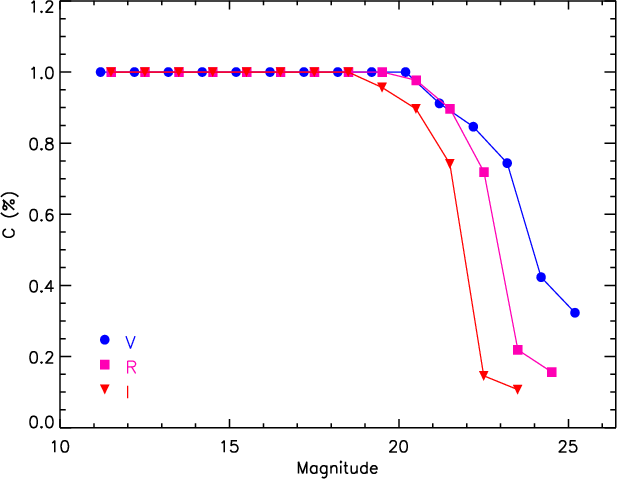
2.1.5 Completeness
The completeness of our ``deep'' catalog was derived empirically.
We used the IRAF addstar package to add test stars into the frames and
then the same PSF-fitting procedure as for true objects (Sect. 2.1.4)
to determine the fraction of these artificial stars recoverable
as a function of magnitude. This fraction provides a measure of the completeness.
We inserted 500 artificial sources into each of the three deep frames in the
filters;
this number is statistically significant for our purposes and, at the same time,
does not alter the crowding in the images.
The profile for the artificial sources was generated
by using the same PSF model as used for the source extraction; the positions of the
artificial objects were randomly distributed over the entire area of the mosaic,
and their magnitudes range uniformly between the detection and the saturation
limits in each band (Table 3).
Figure 4 shows the fraction of recovered artificial objects,
i.e., the completeness (C), as a function of magnitude for each filter.
We estimate a 100% completeness level down to
,
,
and
;
however, objects down to our detection limits at 3
level (Table 3)
are recovered with a completeness level of higher than
80%.
Using the theoretical isochrones and evolutionary tracks of Baraffe et al. (1998) and
Chabrier et al. (2000) for the WFI-Cousins system (see Sect. 3.1 by Spezzi et al. 2007)
and considering the age and distance of IC 2391,
we estimate that the 100% and 80% completeness levels
correspond to objects with
and
,
respectively.
Interstellar extinction effects are expected to be negligible (see Sect. 1).
![]() |
Figure 4: Completeness (C) plot for extraction of artificial stars from our ``deep'' mosaics (see Sect. 2.1.4) for the three optical bands used in this work. |
| Open with DEXTER | |
2.2 Spitzer observations and data reduction
IRAC (Fazio et al. 2004) observations of IC 2391 were obtained on 30 December 2006.
The 12 s high-dynamic-range mode was used to obtain two frames in each position, one with 0.4 s
exposure time and one with 10.4 s. The observation of each field was repeated three
times with a small offset, providing 31.2 s integration time for each position.
The frames were processed using the SSC IRAC Pipeline v15.05, and mosaics were
created from the basic calibrated data (BCD) frames using a customized IDL program
(see Gutermuth et al. 2008, for details).
Aperture photometry for these images was carried out using PhotVis version 1.10,
which is an IDL-GUI based photometry visualization tool (see Gutermuth et al. 2004
for further details about PhotVis). The radii of the source aperture, and the
inner and outer boundaries of the sky annulus were 2.4, 2.4, and 7.2 arcsec,
respectively. The calibration used large-aperture measurements of standard stars.
The zero-point magnitudes of the calibration were 19.6642, 18.9276, 16.8468,
and 17.3909 for channel 1, 2, 3, and 4, respectively. Aperture corrections of 0.21,
0.23, 0.35, and 0.5 mag were applied to channels 1, 2, 3, and 4 to account for
the differences between the aperture sizes used for the standard stars and those used for
the IC 2391 photometry. The sensitivity of the IRAC observations is sufficient for the
detection of objects with
,
which corresponds to
the hydrogen-burning limit for cluster members.
MIPS observations in IC 2391 and the relative data reduction and calibration
were described by Siegler et al. (2007).
The standard fluxes at each Spitzer passband were derived from the observed magnitudes using
the absolute flux calibration constants by Reach et al. (2005) and Engelbracht et al. (2007)
for IRAC and MIPS/24
m bands, respectively.
3 Selection of new cluster members
The extraction of member candidates in open clusters generally involves selecting objects whose position in color-magnitude diagrams (CMDs) is located above the ZAMS shifted to the distance of the cluster (see, e.g., Leggett 1992; Lodieu 2005; Barrado y Navascués et al. 2001a). The selection of IC 2391 member candidates was carried out using a similar criterion, refined by exploiting estimates of the cluster proper motion and the photometry of previously known cluster members available from the literature. Our selection procedure includes the three steps that are now described.
3.1 Determination of stellar parameters
We first assumed that all the point-like objects detected
in our images above 3
level are all at the distance of IC 2391
and simultaneously estimated
their visual extinction (AV), effective temperature (
),
and stellar radius (
)
by fitting a grid of stellar
photosphere models to their observed spectral energy distribution (SED).
The observed SEDs were derived by merging the VRI WFI-Cousins photometry with
the 2MASS
photometry; the standard fluxes
at each passband were derived from the observed magnitudes using
the absolute flux calibration constants by Johnson (1965) and Cousins (1976)
for the optical bands and Cutri et al. (2003) for the 2MASS bands, respectively.
The grid of reference SEDs was constructed by using the NextGen and Stardusty
model spectra by Hauschildt et al. (1999) and Allard et al. (2000),
and the WFI and 2MASS filter transmission curves,
as prescribed by Spezzi et al. (2007). Our grid spans the
range 1700-10 000 K and assumes a surface
gravity of
,
as expected for low-mass objects at the age of IC 2391.
The reference SEDs were scaled to the distance of IC 2391 (i.e., 150 pc) and
fitted to the observed SED of each object following
the prescription by Spezzi et al. (2007) and adopting the extinction law by
Cardelli et al. (1989)
.
The AV,
,
and
values of the reference SED minimizing
the
of the fit correspond to the closest approximation
to the true stellar parameters. The stellar luminosity (
)
is deriving to be
,
where
is the Stefan-Boltzmann constant.
For more details about the SED fitting procedure, we refer the reader to Spezzi et al. (2007).
The goodness of our fits can be appreciated from the examples shown in Fig. 8.
As demonstrated by Spezzi et al. (2007), this parametrization method turns out to
be accurate to within about 250 K in
and 1.5 mag in AV for objects
with spectral type later than K5 (i.e.
K).
These uncertainties translate into an average uncertainty
of 0.15 dex in the logarithm of luminosity.
This accuracy in the derived physical parameters
is sufficient for candidate selection purposes.
On the basis of the saturation limits of our survey (Table 3),
we expect to recover only the low-mass cluster members (
mag,
i.e.
at the age and distance of IC 2391),
for which the parametrization method by Spezzi et al. (2007) can be confidently applied.
Note also that possible IR excesses at 2MASS
wavelengths due to the presence of hot circumstellar dust does not
appear to be a major issue in our fits. Indeed, the age of IC 2391 is
consistent with both theoretical and observational timescales of
disk dissipation and terrestrial planet formation (Siegler et al. 2007; Kleine et al. 2002; Chambers 2001);
thus, following the classification by Lada (1987) as extended by Greene et al. (1994),
the cluster population is expected to consist mainly
of class III objects with no prominent IR excess at near-IR wavelengths.
Moreover, the same parametrization procedure was applied to 40 confirmed
members of IC 2391 whose spectral type (later than K5) and
optical/near-IR photometry were recovered from the literature
(Rolleston et al. 1997; Barrado y Navascués et al. 1999; Patten & Pavlovski 1999; Patten & Simon 1996; Barrado y Navascués et al. 2001b; Cutri et al. 2003; Barrado y Navascués et al. 2004; Simon & Patten 1998).
Our fitting procedure yields
and AV values for these objects
that are consistent with those derived from spectroscopy within
250 K and
0.7 mag, respectively. This further supports the reliability
of our parametrization method.
3.2 Selection of cluster member candidate from the HR diagram
Having a reliable estimate of
and
for all the sources in our catalog with
K
(i.e. 2395 sources), we constructed the Hertzsprung-Russell (HR) diagram
for these sources and for the 40 confirmed
members of IC 2391 mentioned above (Sect. 3.1).
Mass and age of these objects can now be determined by comparison of
their location on the HR diagram with a suitable set of evolutionary tracks,
which in our case are those of Baraffe et al. (1998) and Chabrier et al. (2000).
We found that the isochronal age of the 40 low-mass
cluster members ranges between 10 and 80 Myr,
and has a mean value of 20-30 Myr (Fig. 5);
this isochronal age is in fair agreement with the
cluster age estimated on the basis of the lithium-depletion technique
and the main-sequence isochrone fitting
(30-50 Myr;Basri et al. 1996; Mermilliod 1981; Stauffer et al. 1998; Barrado y Navascués et al. 1999,2004).
However, we observe an age spread of between a few Myr and 100 Myr
(see also Table 5), which is wider than reported in the literature.
This wider age spread mainly arises from our indetermination on effective temperature and luminosity
(Sect. 3.1); indeed, stellar parameters inferred from photometry alone are far more
inaccurate than those derived from spectroscopy, although
still useful for candidate selection purposes.
![]() |
Figure 5: HR diagram for 40 low-mass confirmed members of IC 2391 (stars), the sample of optical sources whose isochronal age is <100 Myr (open squares; see Sect. 3.2) and the final sample of 29 member candidates selected in this work (filled squares). The continuous and dashed lines are the evolutionary tracks and isochrone by Baraffe et al. (1998) and Chabrier et al. (2000). The average error bars on effective temperature and luminosity are shown in the top-right. |
| Open with DEXTER | |
New low-mass cluster members are expected to be found in the same locus of the HR diagram. Thus, we performed a first-level selection of member candidates by selecting objects whose isochronal age is <100 Myr; this selection yielded 90 candidates. We also identified a large number of sources in our catalog for which we could not assign an age because their location on the HR diagram is inconsistent with the pre-main sequence (PMS) locus when the distance of IC 2391 is assumed; these sources are field objects unrelated to the cluster.
The advantage of using this approach, compared to frequently
used membership criteria based on CMDs, is in the simultaneous use of
the photometric information from the V to the
bands;
this wavelength range contains the peak of the photospheric
emission of cool, low-mass objects, and enables a highly reliable
determination of the stellar parameters (Comerón et al., A&A, in press).
Table 4:
Optical and near-IR photometry for the IC 2391 members and candidates of IC 2391 discussed in this work.
The objects with identification number (ID) from 1 to 29 are the new candidates selected in this work (Sect. 3);
three of these candidates show IR excess emission at 24
m and are marked by an asterisk.
The objects with ID from 30 to 37 are the additional 8 cluster members and candidates showing IR
excess emission discussed in Sect. 6.
3.3 Refining the sample using proper motion measurements
Figure 6 show the
vs.
and
vs.
CMDs for all the point-like optical sources detected
in IC 2391 above 3
level and the 90 candidates selected
from the inspection of the HR diagram. The lines in these plots
are the 1 and 50 Myr theoretical NextGen isochrones by Baraffe et al. (1998) for effective
temperatures higher than 2500 K and the DUSTY isochrones by
Chabrier et al. (2000) for lower temperatures;
these isochrones were transformed into the
WFI-Cousins system, as described by Spezzi et al. (2007), and scaled
to the IC 2391 distance of 150 pc.
No correction was made for the mean reddening towards IC 2391,
which is estimated to be close to zero (E(B-V) = 0.006; Patten & Simon 1996).
Both diagrams show a wide sequence of candidates with
mag
and
mag, which is probably caused by
the merging of the cluster and field star sequences.
Since the Galactic latitude of IC 2391 is about
,
it is indeed inevitable that the sample of photometrically selected candidates
is contaminated by field stars.
![]() |
Figure 6:
|
| Open with DEXTER | |
To remove stellar contaminants, the proper motions of cluster member
candidates are generally computed and compared to those of field
objects (see, e.g., Casewell et al. 2007).
We applied this proper motion analysis to the candidates in our sample
using two proper motion catalogs: the all-sky Naval Observatory Merged Astrometric Dataset (NOMAD Zacharias et al. 2005),
reporting proper motions for stars down to
mag with an average
accuracy of 6 mas/yr, and the catalog presented by Platais et al. (2007),
who obtained proper motions for 6991 stars down to
13-16 over a
9 deg2 area around IC 2391 with a precision of about 1.7 mas/yr.
These two catalogs reported consistent proper motions for the confirmed cluster members,
although the NOMAD catalog is photometrically deeper and hence,
we found a much higher number of matches with our candidate list than with the Platais et al. (2007) catalog.
Thus, we used the proper motions from NOMAD, where
70 candidates out of 90 in our original list (Sect. 3.2) have proper motion estimates.
Because of the low precision, we were unable to calculate the probability
of membership for the standard method described in Moraux et al. (2003).
Consequently, we only selected objects to be proper
motion members if their proper motions were
within 3
of the cluster mean proper motion
(pm(RA)
-24 mas/yr and pm(DEC)
+24 mas/yr; Kharchenko 2001; Dodd 2004).
This criterion identified only 9 proper motion member candidates out of 70.
Adding these objects to the 20 fainter candidates whose proper motion are not available,
we obtained a sample of 29 new member candidates of IC 2391.
Of course, we still expected a certain level of contamination, especially among
the candidates without proper motion estimates; this issue is discussed in Sect. 4.
3.4 Statement on the selection results
Our selection method allowed us to identify 29 new candidate members of IC 2391:
9 selected by photometry and astrometry, and 20 selected by photometry, for which no PM data
is available.
In Tables 4 and 5, we report the optical
and near-IR photometry for these candidates and their stellar parameters
as explained in Sect. 3.1; the object designation follows the scheme
already adopted by Spezzi et al. (2007).
A few of these objects coincide with member candidates selected in previous
photometric surveys (Rolleston et al. 1997; Patten & Pavlovski 1999), as indicated
in Table 4 (Col. 4). Moreover, 10 of our candidates, i.e. 34%,
are X-ray sources detected with XMM-EPIC by Marino et al. (2005);
these 10 objects are marked with an ``X'' in Table 4 (Col. 3).
We note that the XMM-EPIC pointing in IC 2391 is centered on RA
and
Dec
and the instrument field of view has a diameter of 30 arcmin.
Thus, the vast majority of our candidates are located in the area observed by Marino et al. (2005), and
the reason that 66% of them were not detected must be mainly due to their
faint X-ray emission (i.e., below the XMM-EPIC sensitivity limits; Ehle et al. 2008).
In addition, we correctly recovered 32 previously known cluster members.
We note that these 32 objects represent the
40% of the IC 2391 known
population falling in the area observed with WFI;
the remaining 60% of the sources are either saturated in our
WFI images or do not have complete
photometric data-set in our merged catalog,
so we were unable to apply our selection criteria.
However, using their magnitudes and proper motions from the
the literature (Platais et al. 2007; Rolleston et al. 1997; Barrado y Navascués et al. 1999; Patten & Pavlovski 1999; Patten & Simon 1996; Cutri et al. 2003; Barrado y Navascués et al. 2001b; Simon & Patten 1998; Barrado y Navascués et al. 2004; Zacharias et al. 2005),
they would be found within our selection limits (see Figs. 5 and 6).
All of these arguments support the reliability of our selection method.
3.5 Multiple visual systems
To identify possible multiple systems, we visually inspected the 32 IC 2391 members falling
in the area observed with WFI and the proposed 29 candidates in all the available images.
Following the prescription by Reipurth & Zinnecker (1993), we perform this search for visual
neighbors in the separation range 1.2-5 arcsec.
The lower limit of this range was fixed by considering the typical seeing of our images (Sect. 2.1).
The upper limit is imposed to avoid contamination from fore- and background stars.
This cut-off is somewhat arbitrary; we can justify this choice
by considering that the typical star-to-star separation
in our images is
5 arcsec and, when a visual companion is found within this distance,
it is mostly located conspicuously close to the primary in an otherwise rather empty area of the image.
Twenty-two objects in our sample are found to have neighbors to within less than 5 arcsec.
However, a nearby star is accepted to be a possible companion only if it shows indications of youth.
Two of these neighbors have a complete
photometric data-set but do not fulfill our
membership criteria (Sect. 3) and hence were rejected.
The remaining 20 neighbors are too faint and do not have near-IR detection in 2MASS,
so the only possible indication of youth comes from their position on the optical CMDs.
We found that 7 of these 20 neighbors have optical magnitudes and colors consistent or marginally consistent
with those of IC 2391 members
.
These 7 objects, together with their possible primary
companion and the relative angular separation, are reported in Table 6.
We note that at the distance of IC 2391 (
150 pc), the range of angular separation
covered by these possible visual binaries corresponds to a linear separation of 350-700 AU,
which is reasonable for physically bound young low-mass stars (Reipurth & Zinnecker 1993).
For the member candidate ID 6, two neighbors were found within a 5 arcsec radius;
both of these neighbors have optical magnitudes and colors consistent with members of the cluster
and hence together these stars might represent a triple system.
Table 5:
Estimates of the stellar parameters for the IC 2391 members and candidates of IC 2391 discussed in this work.
The objects with identification number (ID) from 1 to 29 are the new candidates selected in this work (Sect. 3);
three of these candidates show IR excess emission at 24
m and are marked by an asterisk.
The objects with ID from 30 to 37 are the additional 8 cluster members and candidates showing IR
excess emission discussed in Sect. 6.
Table 6: Possible multiple systems in IC 2391 (see Sect. 3.5).
4 Estimating the contamination
In Sect. 3.3, we adopted the proper motion membership criterion
to remove stellar contaminants in the magnitude range
mag.
We could not perform this analysis for fainter candidates
because their proper motions are unknown and hence, we still expect
a certain level of contamination by field stars in our candidate sample.
To estimate the degree of contamination, we used optical imaging of a
nearby field available from the ESO archive. This field was observed with WFI in the
filters and
is centered on
:43
:53
and
Dec = -52
:47
:33
,
i.e., about 0.9 deg north-east of the center of IC 2391;
since the cluster has an apparent diameter of about 50 arcmin (Kharchenko et al. 2005),
we expect this area to be more or less devoid of cluster members and to be usable as a control field.
The exposure time of the control field images is 600 s in all the filters;
this implies that all the source brighter than
are saturated,
while sources with
are detected with a signal-to-noise
ratio of higher than 10. Thus, using these data, we could estimate the level of contamination
at least in the photometric range spanned by our candidates with no proper motion determination.
By using the same procedure outlined in Sect. 3,
we found 12 objects in our control field satisfying our photometric cluster membership criteria.
Therefore, we estimate that the 17 objects with
cataloged by us
to be candidate cluster members (Table 4), still have a probability up to
70% of being spurious.
To verify further the amount of expected contamination
in all the photometric range covered by our candidates, i.e.,
,
we have also used a different approach.
Nearly all members of IC 2391 are
located in the region of the HR diagram defined approximately by
the 10 Myr and 100 Myr isochrones (Fig. 5).
In particular, all our candidates are confined within the region defined by
K and
-0.4
(i.e., absolute visual magnitude MV=12-6 mag);
thus, to estimate the contamination level of our candidate sample,
we must estimate the numbers of stars
unrelated to the cluster that may appear
in this region of the HR diagram.
The number of interloping stars can be probed
by using analytic models of the Galactic stellar distribution, i.e., simulations of
the expected properties of stars seen towards a given direction
of the Galaxy over a given solid angle.
We performed this exercise by using the Galaxy model by Robin et al. (2003) and their online
tool
.
In the temperature range of our candidates, foreground stars are
expected to be main-sequence cool dwarfs, whereas red giants
are expected to dominate the background population.
Assuming a cluster distance of 150-200 pc, we expect
some 14 foreground dwarfs in the
square
arcmin area observed in IC 2391 with apparent
magnitude
between 12 and 21 and spectral types of MK, i.e., the ranges estimated
for our candidates (see Tables 4 and 5).
No background giants are expected to be found in the locus
occupied by the cluster members because all these stars appear
much brighter than IC 2391 members in the same effective temperature
range. We thus conclude that only foreground cool main-sequence stars can
contribute noticeably to the contamination of our candidate sample,
with the expected contamination level being 48%.
We note that this value is very close to the pollution rate of 50% estimated
by Barrado y Navascués et al. (2001b) for the same area in IC 2391.
Another possible source of contamination is represented
by galaxies that may have colors similar to those of PMS objects.
However, these bright galaxies are a priori excluded from our selection,
because our PSF extraction method allows an efficient identification/removal of extended
objects (Sect. 2.1.4).
The only source of contamination may be point-like extragalactic objects, i.e., QSO's.
According to QSO's number counts (Richards et al. 2005; Fontanot et al. 2007),
the predicted number of QSO's per square degree become significant
(i.e., greater than
10/deg2) at magnitudes fainter than
,
while the majority of
our candidates are brighter. Thus, extra-galactic objects
are likely to affect our candidate sample by no more than 3%.
In conclusion, the expected contamination of our
candidate sample due to field objects is
50%.
5 On the sub-stellar population in IC 2391
The first and only estimate of the IC 2391 mass spectrum in the very low-mass domain was derived by Barrado y Navascués et al. (2004).
Independently of the assumed cluster age of between 25 and 50 Myr, they found an
index of the power-law mass function in the mass range 0.072-0.5
equal to 0.96
0.12, consistent with the value reported for other
open clusters (e.g. Barrado y Navascués & Stauffer 2003; Barrado y Navascués et al. 2001a; Bouvier et al. 1998; Barrado y Navascués et al. 2002).
Below 0.07
,
the cluster mass spectrum presents a sudden drop
which these authors partially attribute to the lack
of completeness of their survey at magnitudes fainter than
(i.e. 0.05
for cluster members).
Although our survey is complete at the 100% and 80% levels down to 0.05
and
0.03
,
respectively, and covers 60% of the sky area spanned by the cluster,
we found only an handful of candidate substellar members.
In terms of numbers, considering the IC 2391 populations observed before to January 2008
(i.e.,
180 objects; Patten & Simon 1996; Barrado y Navascués et al. 2001b; Platais et al. 2007; Rolleston et al. 1997; Barrado y Navascués et al. 1999; Patten & Pavlovski 1999; Simon & Patten 1998; Barrado y Navascués et al. 2004),
there are 14 members with
K,
i.e., below the approximate substellar limit for 30-50 Myr old objects. Thus,
the fraction of sub stellar objects,
,
in this cluster is
8%; by adding our 12 BD candidates
(i.e. candidates with
K;
see Table 5), this fraction would increase to
15%.
However, all our BD candidates have R-magnitudes in the range
,
where we expect a high level of contamination (70%, see Sect. 4).
Thus, the true value of
is expected to be close to 10%.
Our physical parametrization also indicates
that all our BD candidates have
K
and masses very close to the hydrogen-burning limit.
Thus, the results of our deeper optical survey
confirm the lack of members with spectral type later than
M7-M8 in IC 2391 found earlier by Barrado y Navascués et al. (2004).
A similar result was obtained for the nearly coeval open clusters
Per (
50 Myr) and NGC 2547 (
25 Myr)
by Barrado y Navascués et al. (2002) and Jeffries et al. (2004), respectively.
Thus, as already concluded by Barrado y Navascués et al. (2004), one of the most solid hypothesis
explaining the BD deficit in IC 2391 and other open clusters
remains that by Dobbie et al. (2002) and Jameson et al. (2003), i.e., the onset
of larger-size dust grain formation in the upper atmosphere
of objects with spectral types M7-M8 or later, which would be responsible
of the local drop in the shape of the luminosity-mass relation.
Of course, a number of alternative hypotheses might also be invoked. For instance, simulations of the dynamics of BD populations in open clusters, which consider the effects of a large range of primordial binary populations, also demonstrated that the majority of BDs might be contained within primordial binary systems, which then prevent a large proportion of them from being detected (Adams et al. 2002). Alternatively, the deficit of BDs in IC 2391 might be due to mass segregation and/or evaporation effects. Dynamical mass segregation acts on a timescale similar to the relaxation time of a cluster (Bonnell & Davies 1998), which for clusters of the size of IC 2391 is on the order of 1 Myr (Binney & Tremaine 1987, p. 390). Sagar & Bhatt (1989) also found indication that the higher mass stars in IC 2391 have lower velocity dispersions than the lower mass stars.
6 On the debris disk population in IC 2391
The first survey for debris disks in IC 2391
was performed by Siegler et al. (2007) using MIPS on board Spitzer.
The central square degree of IC 2391 was observed at
24
m, with the aim of studying the incidence of debris disks in the cluster.
The authors reported detecting an IR excess indicative of debris disks around
8 previously known members of the cluster, namely 1 A star,
6 FGK stars and 1 M dwarf, and estimated a debris disk fraction of
10% for BA stars and 31% for FGK stars.
We investigate further the debris disk population
in IC 2391, using our optical data in combination with 2MASS data,
the MIPS catalog by Siegler et al. (2007), and additional IR data from IRAC.
This dataset is suitable for probing disk radii from
0.1 AU
up to 20 AU depending on the stellar mass (Merín et al. in preparation).
While the work by Siegler et al. (2007) focuses only on the previously
known cluster members, we extend the search for objects with IR excess emission
to all sources detected at 24
m that have a counterpart in our optical WFI images.
This allow us to identify new candidate KM-type members of the cluster with
debris disks.
We remind the reader that our search is spatially limited to the overlapping area observed with
WFI and Spitzer (Fig. 1).
The selected debris disk candidates should also be investigated
spectroscopically to assess definitively their membership
to the cluster. The experience gained in analyzing
the Spitzer Core to Disk Legacy Survey (hereafter c2d; Evans et al. 2003)
implies that samples of objects showing mid-IR excess in star-forming regions
could be highly contaminated by background post-main sequence stars,
mostly in the direction of the Galactic plane.
This contamination might account for up to 30% of those objects and could be
even higher in the case of IC 2391, which has a Galactic latitude (
)
lower than the typical c2d fields.
For all these reasons, our search is intended to provide a deeper
insight into the candidate debris disk population in IC 2391.
6.1 Selection of debris disk candidates
We identified possible debris disk objects in IC 2391 by measuring 24
m flux
densities in excess of the expected photospheric emission;
this criterion was adopted in the pioneering study by Siegler et al. (2007) and
allows us to select new debris disk candidates in a homogeneous way.
We used the (
)
vs. (
)
color-color (CC)
diagram to identify these excess sources across a broad
range of spectral types. As demonstrated by Siegler et al. (2007),
the (
)
color is a good tracer for spectral types down to late M-dwarfs, while
the (
)
color is a good diagnostic for mid-IR excess
because the
-band flux is almost entirely photospheric for stars older than
10 Myr,
which have already dissipated the innermost region of their disks (Haish et al. 2001).
We dereddened the magnitudes of all the sources detected at 24
m using the AV
values derived in Sect. 3.1 and the extinction law by
Cardelli et al. (1989)
.
We selected objects with IR excesses at 24
m using the mean dereddened
photospheric locus in the (
)
vs. (
)
diagram determined by Siegler et al. (2007);
for spectral types later than M4, we used the IR photospheric
colors for M-dwarfs determined by Gautier et al. (2007).
As shown in Fig. 7, we found 10 sources redder than this threshold,
i.e., objects possessing (
)
flux ratios in excess of the expected
photospheric colors by at least 15%, i.e., the same criterion as in Siegler et al. (2007).
Four of these 10 sources (ID 30, ID 32, ID 34, and ID 37),
are previously known members of the cluster
(stars in Fig. 7),
two (ID 1 and ID 7) are new candidate members selected in this work
(squares in Fig. 7),
while the remaining four (ID 31, ID 33, ID 35 and ID 36) are new sources with
IR excess emission neither reported by previous
studies nor selected as candidate cluster members
by our optical criteria (crosses in Fig. 7);
the latter objects are discussed further in Sect. 6.1.1.
The optical and near-IR photometry and the physical parameters of the
10 sources showing IR excesses at MIPS/24
m are reported in Tables 4
and 5, respectively, while Table 7
provides their IRAC and MIPS/24
m magnitudes.
6.1.1 Comments on individual objects
Siegler et al. (2007) reported IR excesses at 24
m indicative of debris disks for 8 objects in IC 2391.
Only two of these objects are within the area observed with WFI, namely ID 29 and
ID 24 from their Table 2; we correctly recovered ID 29 as a possible debris disk object
(i.e., our ID 37), while ID 24 is saturated in our WFI images
and was then a priori excluded from our analysis.
Four of our debris disk candidates, namely ID 31, ID 33, ID 35, and ID 36, were not selected as candidate cluster members either by previous surveys or by our optical criteria, even though they exhibit a clear IR excess emission in their SEDs (Fig. 8). This is because these four sources are sub-luminous in the HR diagram when the distance of 150 pc is adopted and the extinction is determined as explained in Sect. 3.1. Possible reasons for this inconsistency may be an underestimate of the extinction and/or the distance for these four sources. From a visual inspection of our optical WFI images, these four sources appear point-like and are concentrated in the central area of the cluster (Fig. 1). Moreover, by fitting their SEDs with the Robitaille et al. (2006) grid of models for young stellar objects normalized to the observed I-band flux, we obtain stellar and disk parameters that remain consistent with young stars belonging to the cluster (see Table 5). Thus, for the time being, we include these sources in our list of possible debris disk objects in IC 2391; future follow-up spectroscopy will shed further light on their nature.
![]() |
Figure 7:
(
|
| Open with DEXTER | |
![]() |
Figure 8:
Spectral energy distributions of the 10 sources in IC 2391 showing
IR excess emission identified in this work.
The dereddened fluxes are represented with filled circles, while the observed
fluxes are represented with open circles. Flux upper limits are marked with an arrow.
The best-fit NextGen spectrum by Hauschildt et al. (1999), for objects with
|
| Open with DEXTER | |
Table 7:
IRAC and MIPS/24
m magnitudes and SED slope (
)
for the 10 objects showing IR excess emission at 24
m identified in this work.
6.2 On the disk properties
We describe the circumstellar material around the 10 objects with IR excess emission selected above, to study the nature and evolutionary phase of their disks. Analysis of Spitzer observations in star-forming regions within the framework of the c2d survey (e.g. Merín et al. 2008; Harvey et al. 2007; Alcalá et al. 2008) have provided several methods to study disk properties, such as the amount of circumstellar dust and morphology. We applied some of these methods to investigate the nature of our 10 debris disk candidates in IC 2391.
We first constructed the SEDs of these objects from optical to mid-IR wavelengths, as already described in Sect. 3.1 but including IRAC and MIPS data and, where possible, additional B magnitudes from the NOMAD catalog (Zacharias et al. 2005). For each object, the flux at each wavelength was corrected for interstellar extinction using the AV values reported in Table 5 and the normal (RV=3.1) reddening law by Cardelli et al. (1989). The SEDs of the 10 debris disk candidates in IC 2391 are shown in Fig. 8 together with the best-fit model spectra by Hauschildt et al. (1999) and Allard et al. (2000) for the same temperature as the objects (see Sect. 3.1), which represents the stellar contribution. For the majority of objects, the IR excess with respect to the expected photospheric emission is clearly visible. Moreover, the lack of near-IR excess emission is indicative of disks whose inner part has already been dissipated (see, e.g., Sicilia-Aguilar et al. 2006).
Additional clues about the nature of our debris disk candidates can be
obtained by investigating the objects IR classes according
to the definition by Lada (1987) as extended by Greene et al. (1994).
This classification is traditionally based on the value of the
spectral index,
which is determined as the slope of the SED in the form
vs.
at wavelengths
longer than 2
m. Following the c2d convention (e.g. Merín et al. 2008; Harvey et al. 2007; Alcalá et al. 2008),
we used
as the reference spectral index,
which is the slope of the linear fit to the fluxes at
and MIPS/24
m (Table 7).
As shown in Fig. 9,
we found that 5 of the 10 debris disk candidates in our sample exhibit
slopes typical of IR class III sources (
)
according to the classification by Greene et al. (1994), i.e., they have optically thin disks.
The remaining 5 objects fall in the class II regime (
),
i.e., they should have optically thick disks, but the majority of them lay very
close to the class III boundary (i.e.
).
The possibility of IC 2391 having any thick/transitional disks is quite surprising
considering its age (30-50 Myr), because these disks, along with primordial disks, are
typically dissipated within
10 Myr (Decin et al. 2003; Dominik & Decin 2003).
However, Spitzer data have shown a clear mass dependence of
the disk dissipation timescale, i.e., very low-mass stars dissipate
their primordial disks more slowly than more massive stars (Scholz et al. 2007; Hillenbrand 2008).
In conclusion, the 10 sources with IR excess emission selected in Sect. 6.1 are likely to possess evolved disks, whose inner part might have already been cleared by the formation of large-sized bodies (such as rocks).
![]() |
Figure 9:
Distribution of the
|
| Open with DEXTER | |
7 Conclusions
We have performed a deep wide-field imaging survey of the young open cluster
IC 2391 to study its low mass population down to 0.03
.
We have used our optical VRI data, in combination with
magnitudes
from the 2MASS catalog to estimate the physical parameters of the
optically detected sources and selected cluster-member candidates
on the basis of their location in the HR diagram relative to theoretical
isochrones. We have estimated the contamination using
statistical arguments and, when possible, proper motions from the NOMAD catalog.
Our survey has a completeness level of 80% down to
,
i.e.,
1-2 mag fainter than previous optical surveys conducted in IC 2391, and
has revealed 29 new low-mass member candidates,
among which 12 may be BDs.
The expected contaminations is at least
50%.
We have confirmed the presence of a significant drop in the cluster mass spectrum across the stellar/substellar boundary, the fraction of substellar objects being only 8-15%. The lack of BDs in IC 2391 might be due to the dip in the luminosity function around M7-M8 that has already been observed in other star-forming regions, open clusters, and the field, which is caused by the onset of larger-size dust formation in the atmospheres of objects in this effective temperature regime. However, other explanations such as dynamical mass segregation and/or masking in binary systems might be invoked. Our data are unable to help us distinguish between these scenarios.
Finally, we have combined our ground-based optical observations with near-IR
photometry from 2MASS and Spitzer GTO observations to investigate
the debris disk population of IC 2391.
We identified 10 possible debris disk objects in the cluster on the basis of
their excess 24
m flux densities relative to their expected
photospheric emission. We constructed optical/IR SEDs for all of these
objects and investigated the properties of their circumstellar material.
According to our analysis, these 10 objects are likely to possess
evolved disks whose inner parts have already been cleared.
A few of these objects might possess thick or transition disks,
whihc would be surprising given the age of IC 2391.
Acknowledgements
This paper is based on observations carried out at the European Southern Observatory, La Silla (Chile), under observing program number 68.D-0541(A). This publication makes use of data products from the Two Micron All Sky Survey, which is a joint project of the University of Massachusetts and the Infrared Processing and Analysis Center/California Institute of Technology, funded by NASA and the National Science Foundation. We also acknowledge extensive use of the SIMBAD database, operated at CDS Strasbourg, the WEBDA database, operated at the Institute for Astronomy of the University of Vienna, and the NOMAD catalog, released by the U.S. Naval Observatory. L. Spezzi acknowledges financial support from INAF-Catania. We thank J.M. Alcalá, A. Frasca, D. Gandolfi and F. Comerón for many discussions and suggestions. We are also grateful to many others, in particular to Salvatore Spezzi.
References
- Adams, T., Davies, M. B., Jameson, R. F., & Scally A. 2002, MNRAS, 333, 547 [NASA ADS] [CrossRef] (In the text)
- Alcalá, J. M., Spezzi, L., Chapman, N., et al. 2008, ApJ, 676, 427 [NASA ADS] [CrossRef]
- Allard, F., Hauschildt, P. H., & Schwenke, D. 2000, ApJ, 540, 1005 [NASA ADS] [CrossRef] (In the text)
- Baraffe, I., Chabrier, G., Allard, F., & Hauschildt, P. H. 1998, A&A, 337, 403 [NASA ADS] (In the text)
- Barrado y Navascués, D., Stauffer, J. R., & Patten, B. M. 1999, ApJ, 522, L53 [NASA ADS] [CrossRef]
- Barrado y Navascués, D., Bouvier, J., Stauffer, J. R., & Martìn, E. L. 2001a, ApJ, 546, 1006 [NASA ADS] [CrossRef]
- Barrado y Navascués, D., Stauffer, J. R., Bricenõ, C., et al. 2001b, ApJS, 134, 103 [NASA ADS] [CrossRef]
- Barrado y Navascués, D., Bouvier, J., Stauffer, J. R., et al. 2002, A&A, 395, 813 [NASA ADS] [CrossRef] [EDP Sciences]
- Barrado y Navascués, D., & Stauffer, J. R. 2003, in Brown Dwarfs, ed. E. L. Martìn (San Francisco: ASP), IAU Symp., 211, 155
- Barrado y Navascués, D., Stauffer, J. R., & Jayawardhana, R. 2004, ApJ, 614, 386 [NASA ADS] [CrossRef]
- Basri, G., Marcy, G. W., & Graham, J. R. 1996, ApJ, 458, 600 [NASA ADS] [CrossRef]
- Bertin, E., & Arnouts, S. 1996, A&AS, 117, 393 [NASA ADS] [CrossRef] [EDP Sciences] (In the text)
- Binney, J., & Tremaine, S. 1987, Galactic Dynamics (Princeton: Princeton Univ. Press) (In the text)
- Bonnell, I. A., & Davies, M. B. 1998, MNRAS, 295, 691 [NASA ADS] [CrossRef] (In the text)
- Bouvier, J., Stauffer, J. R., Martìn, E. L., et al. 1998, A&A, 336, 490 [NASA ADS]
- Bouvier, J., Moraux, E., & Stauffer, J.R. 2005, ASSL, 327, 61 [NASA ADS] (In the text)
- Cardelli, J. A., Clayton, G. C., & Mathis, J. S. 1989, ApJ 345, 245 (In the text)
- Casewell, S. L., Dobbie, P. D., Hodgkin, S. T., et al. 2007, MNRAS, 378, 1131 [NASA ADS] [CrossRef] (In the text)
- Chabrier, G., Baraffe, I., Allard, F., & Hauschildt, P. 2000, ApJ, 542, 464 [NASA ADS] [CrossRef] (In the text)
- Chambers, J. E. 2001, Icarus, 152, 205 [NASA ADS] [CrossRef]
- Chen, C. H., Patten, B. M., Werner, M. W., et al. 2005, ApJ, 634, 1372 [NASA ADS] [CrossRef]
- Cousins, A. W. J. 1976, Mem. R. Astr. Soc. 81, 25 (In the text)
- Currie, T., Kenyon, S. J., Rieke, J., et al. 2007, ApJ, 663, L105 [NASA ADS] [CrossRef]
- Cutri, R. M., Skrutskie, M. F., Van Dyk, S., et al. 2003, Explanatory Supplement to the 2MASS All Sky Data Release (In the text)
- Decin, G., Dominik, C., Waters, L. B. F. M., & Waelkens, C. 2003, ApJ, 598, 636 [NASA ADS] [CrossRef]
- Dobbie, P. D., Pinfield, D. J., Jameson, R. F., & Hodgkin, S. T. 2002, MNRAS, 335, L79 [NASA ADS] [CrossRef] (In the text)
- Dodd, R. J. 2004, MNRAS, 355, 959 [NASA ADS] [CrossRef]
- Dominik, C., & Decin, G. 2003, ApJ, 598, 626 [NASA ADS] [CrossRef]
- XMM-Newton Users Handbook 2008, ed. M. Ehle, I. de la Calle, Díaz Trigo, et al. (In the text)
- Engelbracht, C. W., Blaylock, M., Su, K. Y. L., et al. 2007, PASP, 119, 994 [NASA ADS] [CrossRef] (In the text)
- Evans, II N. J., & the c2d Team 2003, PASP, 115, 965 [NASA ADS] [CrossRef] (In the text)
- Fazio, G. G., Hora, J. L., Allen, L. E., et al. 2004, ApJS, 154, 10 [NASA ADS] [CrossRef] (In the text)
- Forbes, M. C., Dodd, R. J., & Sullivan, D. J. 2001, Baltic Astron., 10, 375 [NASA ADS] (In the text)
- Fontanot, F., Somerville, R. S., & Jester, S. 2007 [arXiv:0711.1440]
- Gautier, T. N. III, Rieke, G. H., Stansberry, J., et al. 2007, ApJ, 667, 527 [NASA ADS] [CrossRef] (In the text)
- Greene, T. P., Wilking, B. A., Andre, P., et al. 1994, ApJ, 434, 614 [NASA ADS] [CrossRef] (In the text)
- Gutermuth, R. A., Megeath, S. T., Muzerolle, J., et al. 2004, ApJS, 154, 374 [NASA ADS] [CrossRef] (In the text)
- Gutermuth, R. A., Myers, P. C., Megeath, S. T., et al. 2008, ApJ, 674, 336 [NASA ADS] [CrossRef] (In the text)
- Habing, H. J., Dominik, C., Jourdain de Muizon, M., et al. 2001, A&A, 365, 545 [NASA ADS] [CrossRef] [EDP Sciences]
- Haish, K. E., Lada, E. A., & Lada, C. J. 2001, ApJ, 553, 153 [NASA ADS] [CrossRef] (In the text)
- Harvey, P., Merín, B., Huard, T. L., et al. 2007, ApJ, 663, 1149 [NASA ADS] [CrossRef]
- Hauschildt, P. H., Allard, F., & Baron, E. 1999, ApJ, 512, 377 [NASA ADS] [CrossRef] (In the text)
- Hillenbrand, L. A. 2008, to appear in Physica Scripta - Special Issue on Nobel Symposium 135: Physics of Planetary Systems [arXiv:0805.0386]
- Hog, E., Kuzmin, A., Bastian, U., et al. 1998, A&A, 335, L65 [NASA ADS] (In the text)
- Jameson, R. F., Dobbie, P. D., Pinfield, D. J., & Hodgkin, S. T. 2003, in ed. E. L. Martìn (San Francisco: ASP), IAU Symp., 211, 171 (In the text)
- Jeffries, R. D., Naylor, T., Devey, C. R., & Totten, E. J. 2004, MNRAS, 351, 1401 [NASA ADS] [CrossRef]
- Johnson, H. L. 1965, ApJ, 141, 936 [NASA ADS] (In the text)
- Kessler-Silacci, J., Augereau, J.-C., Dullemond, C. P., et al. 2006, ApJ, 639, 275 [NASA ADS] [CrossRef]
- Kharchenko, N. V. 2001, KFNT, 17, 409 [NASA ADS]
- Kharchenko, N. V., Piskunov, A. E., Roeser, S., et al. 2005, A&A, 438, 1163 [NASA ADS] [CrossRef] [EDP Sciences] (In the text)
- Kleine, T., Munker, C., Mezger, K., & Palme, H. 2002, Nature, 418, 952 [NASA ADS] [CrossRef]
- Lada, C. J. 1987, IAUS, 115, 1 [NASA ADS] (In the text)
- Lada, C. J., Muench, A. A., Luhman, K. L., et al. 2006, AJ, 131, 1574 [NASA ADS] [CrossRef] (In the text)
- Landolt, A. U. 1992, AJ, 104, 340 [NASA ADS] [CrossRef] (In the text)
- Leggett, S. 1992, ApJS, 82, 351 [NASA ADS] [CrossRef]
- Lodieu, N. 2005, AN, 326, 10, 1001
- Lodieu, N., McCaughrean, M. J., Barrado Y Navascués, D., et al. 2005, A&A, 436, 853 [NASA ADS] [CrossRef] [EDP Sciences]
- Lodieu, N., Hambly, N. C., Jameson, R. F., et al. 2006a, MNRAS, 374, 372 [NASA ADS] [CrossRef]
- Lodieu, N., Hambly, N. C., & Jameson, R. F. 2006b, MNRAS, 373, 95 [NASA ADS] [CrossRef]
- Lodieu, N., Bouvier, J., James, D. J., et al. 2006c, A&A, 450, 147 [NASA ADS] [CrossRef] [EDP Sciences]
- Lodieu, N., Dobbie, P. D., Deacon, N. R., et al. 2007, MNRAS, 380, 712 [NASA ADS] [CrossRef]
- Luhman, K. L. 2004, ApJ, 616, 1033 [NASA ADS] [CrossRef]
- Luhman, K. L., Whitney, B. A., Meade, M. R., et al. 2006, ApJ 647, 1280
- Marino, A., Micela, G., Peres, G., et al. 2005, A&A, 430, 287 [NASA ADS] [CrossRef] [EDP Sciences] (In the text)
- Merín, B., Jorgensen, J., Spezzi, L., et al. 2008, ApJ, in press [arXiv:0803.1504]
- Mermilliod, J. C. 1981, A&A, 97, 2351
- Monet, D., Levine, S. E., Casian, B., et al. 2003, AJ, 125, 984 [NASA ADS] [CrossRef]
- Moraux, E., Bouvier, J., Stauffer, J. R., & Cullindre, J. C. 2003, A&A, 400, 891 [NASA ADS] [CrossRef] [EDP Sciences]
- Muench, A. A., Lada, E. A., Lada, C. J., et al. 2003, ApJ, 125, 2029 [NASA ADS]
- Muench, A. A., Lada, C. J., Luhman, K. L., et al. 2007, AJ, 134, 411 [NASA ADS] [CrossRef]
- Patten, B. M., & Simon, T. 1996, ApJS, 106, 489 [NASA ADS] [CrossRef] (In the text)
- Patten, B. M., & Pavlovski, C. M. 1999, PASP, 111, 210 [NASA ADS] [CrossRef]
- Platais, I., Melo, C., Mermilliod, J.-C., et al. 2007, A&A, 461, 509 [NASA ADS] [CrossRef] [EDP Sciences]
- Reach, W. T., Megeath, S. T., Cohen, M., et al. 2005, PASP, 117, 978 [NASA ADS] [CrossRef] (In the text)
- Reid, I. N. 2005, ASSL, 327, 53 [NASA ADS] (In the text)
- Reipurth, B., & Zinnecker, H. 1993, A&A, 278, 81 [NASA ADS] (In the text)
- Riaz, B., Mullan, D. J., & Gizis, J. E. 2006, ApJ, 650, 1133 [NASA ADS] [CrossRef]
- Richards, G. T., Croom, S. M., Anderson, S. F., et al. 2005, MNRAS, 360, 839 [NASA ADS] [CrossRef]
- Robin, A. C., Reylé, C., Derriére, S., & Picaud, S. 2003, A&A, 409, 523 [NASA ADS] [CrossRef] [EDP Sciences] (In the text)
- Robitaille, T. P., Whitney, B. A., Indebetow, R., et al. 2006, ApJS, 167, 256 [NASA ADS] [CrossRef] (In the text)
- Rolleston, W. R. J., & Byrne, P. B. 1997, A&AS, 126, 357 [NASA ADS] [CrossRef] [EDP Sciences]
- Sagar, R., & Bhatt, H. C. 1989, MNRAS, 236, 865 [NASA ADS] (In the text)
- Savage, B. D., & Mathis, J. S. 1979, ARA&A, 17, 73 [NASA ADS] [CrossRef]
- Scholz, A., Jayawardhana, R., Wood, K., et al. 2007, ApJ, 660, 1517 [NASA ADS] [CrossRef]
- Sicilia-Aguilar, A., Hartmann, L., Calvet, N., et al. 2006, ApJ, 638, 897 [NASA ADS] [CrossRef] (In the text)
- Sicilia-Aguilar, A., Hartmann, L. W., Watson, D., et al. 2007, ApJ, 659, 1637 [NASA ADS] [CrossRef]
- Siegler, N., Muzerolle, J., Young, E. T., et al. 2007, ApJ, 654, 580 [NASA ADS] [CrossRef] (In the text)
- Simon, T., & Patten, B. 1998, PASP, 110, 283 [NASA ADS] [CrossRef]
- Spezzi, L., Alcalá, J. M., Frasca, A., et al. 2007, A&A, 470, 281 [NASA ADS] [CrossRef] [EDP Sciences] (In the text)
- Stauffer, J. R., Schultz, G., & Kirkpatrick, J. D. 1998, ApJ, 499, L199 [NASA ADS] [CrossRef]
- Stetson, P. B. 1987, PASP, 99, 191 [NASA ADS] [CrossRef] (In the text)
- The Guide Star Catalogue, Version 2.3.2, Space Telescope Science Institute (STScI) and Osservatorio Astronomico di Torino (In the text)
- Weingartner, J. C., & Draine, B. T. 2001, ApJ, 548, 296 [NASA ADS] [CrossRef]
- Young, E. T., Lada, C. J., Teixeira, P., et al. 2004, ApJS, 154, 428 [NASA ADS] [CrossRef]
- Zacharias, N., Monet, D. G., Levine, S. E., et al. 2005, A&AS, 205, 4815 (In the text)
Footnotes
- ... IC 2391
- Based on observations carried out at the ESO/La Silla, Chile under proposal number 68.D-0541(A).
- ... IRAF
- IRAF is distributed by NOAO, which is operated by the Association of Universities for Research in Astronomy, Inc., under contract to the National Science Foundation.
- ... IDL
- Interactive Data Language.
- ... plan
- See: http://www.ls.eso.org/lasilla/sciops/2p2/E2p2M/WFI/CalPlan/fringing/
- ... Silla
- See http://www.ls.eso.org/lasilla/Telescopes/2p2T/E2p2M/WFI/zeropoints/
- ...Cardelli et al. (1989)
- We also checked that using other extinction laws, such as those by Savage & Mathis (1979) and Weingartner & Draine (2001), does not affect significantly our results. We adopt the Cardelli et al. (1989) extinction law because its analytic form is more functional for our purposes.
- ... members
- This membership criterion is explained in Sect. 3.3.
- ...
tool
- For details on the adopted Galaxy model, we refer the reader to Robin et al. (2003). The online simulation tool is available at: http://bison.obs-besancon.fr/modele/
- ...Cardelli et al. (1989)
- We adopt the Cardelli et al. (1989) extinction law for consistency with our parametrization procedure (Sect. 3.1).
- ... cluster
- See Table 4 for previous bibliography on these objects.
All Tables
Table 1: Journal of the observations.
Table 2: Mean photometric calibration coefficients for our WFI observing run.
Table 3:
Saturation limits and limiting
magnitudes at 3
level (see Sect. 2.1.4).
In the fourth column, the corresponding limiting mass for cluster members
(i.e. assuming an age between 30 and 50 Myr and a distance of 150 pc)
derived from the evolutionary models by Baraffe et al. (1998) and Chabrier et al. (2000) is reported;
in the last column the magnitude corresponding to the Hydrogen burning limit
(
0.07
)
for IC 2391 members is also given for comparison.
Table 4:
Optical and near-IR photometry for the IC 2391 members and candidates of IC 2391 discussed in this work.
The objects with identification number (ID) from 1 to 29 are the new candidates selected in this work (Sect. 3);
three of these candidates show IR excess emission at 24
m and are marked by an asterisk.
The objects with ID from 30 to 37 are the additional 8 cluster members and candidates showing IR
excess emission discussed in Sect. 6.
Table 5:
Estimates of the stellar parameters for the IC 2391 members and candidates of IC 2391 discussed in this work.
The objects with identification number (ID) from 1 to 29 are the new candidates selected in this work (Sect. 3);
three of these candidates show IR excess emission at 24
m and are marked by an asterisk.
The objects with ID from 30 to 37 are the additional 8 cluster members and candidates showing IR
excess emission discussed in Sect. 6.
Table 6: Possible multiple systems in IC 2391 (see Sect. 3.5).
Table 7:
IRAC and MIPS/24
m magnitudes and SED slope (
)
for the 10 objects showing IR excess emission at 24
m identified in this work.
All Figures
![]() |
Figure 1: R-band image of IC 2391 from the STScI Digitised Sky Survey. The solid line displays the total sky-area surveyed with the WFI CCD mosaic camera at the ESO 2.2 m telescope, while the dashed lines trace the area observed with IRAC and MIPS at Spitzer (see Sect. 6). The arrow indicates the cluster center. The filled squares represent the new member candidates identified in this work, while the circled symbols indicate the objects showing IR excess emission (the stars mark the confirmed cluster members, while squares and crosses mark the member candidates and the four sources of dubious nature discussed in Sect. 6.1.1, respectively). |
| Open with DEXTER | |
| In the text | |
![]() |
Figure 2: Section of a single stacked image in the R-band ( upper panel) and the same region as it appears in the deeper frame obtained by combining 18 stacked images ( lower panel). |
| Open with DEXTER | |
| In the text | |
![]() |
Figure 3:
Photometric errors versus magnitudes and relative
exponential fits of all the point-like sources detected in
the
|
| Open with DEXTER | |
| In the text | |
![]() |
Figure 4: Completeness (C) plot for extraction of artificial stars from our ``deep'' mosaics (see Sect. 2.1.4) for the three optical bands used in this work. |
| Open with DEXTER | |
| In the text | |
![]() |
Figure 5: HR diagram for 40 low-mass confirmed members of IC 2391 (stars), the sample of optical sources whose isochronal age is <100 Myr (open squares; see Sect. 3.2) and the final sample of 29 member candidates selected in this work (filled squares). The continuous and dashed lines are the evolutionary tracks and isochrone by Baraffe et al. (1998) and Chabrier et al. (2000). The average error bars on effective temperature and luminosity are shown in the top-right. |
| Open with DEXTER | |
| In the text | |
![]() |
Figure 6:
|
| Open with DEXTER | |
| In the text | |
![]() |
Figure 7:
(
|
| Open with DEXTER | |
| In the text | |
![]() |
Figure 8:
Spectral energy distributions of the 10 sources in IC 2391 showing
IR excess emission identified in this work.
The dereddened fluxes are represented with filled circles, while the observed
fluxes are represented with open circles. Flux upper limits are marked with an arrow.
The best-fit NextGen spectrum by Hauschildt et al. (1999), for objects with
|
| Open with DEXTER | |
| In the text | |
![]() |
Figure 9:
Distribution of the
|
| Open with DEXTER | |
| In the text | |
Copyright ESO 2009
Current usage metrics show cumulative count of Article Views (full-text article views including HTML views, PDF and ePub downloads, according to the available data) and Abstracts Views on Vision4Press platform.
Data correspond to usage on the plateform after 2015. The current usage metrics is available 48-96 hours after online publication and is updated daily on week days.
Initial download of the metrics may take a while.
![\begin{figure}
\par\includegraphics[width=16cm,height=14cm]{0609fig1.ps}
\end{figure}](/articles/aa/full_html/2009/20/aa10609-08/Timg26.png)
![\begin{figure}
\par\includegraphics[width=6cm,height=8cm]{0609fig2.ps}
\end{figure}](/articles/aa/full_html/2009/20/aa10609-08/Timg50.png)
![\begin{figure}
\par\includegraphics[width=7cm,height=8cm]{0609fig3.ps}
\end{figure}](/articles/aa/full_html/2009/20/aa10609-08/Timg51.png)
![\begin{figure}
\par\includegraphics[width=9cm,height=7cm]{0609fig4.ps}
\end{figure}](/articles/aa/full_html/2009/20/aa10609-08/Timg57.png)
![\begin{figure}
\par\includegraphics[width=9cm,height=6.5cm]{0609fig5.ps}
\end{figure}](/articles/aa/full_html/2009/20/aa10609-08/Timg68.png)
![\begin{figure}
\par\resizebox{9cm}{!}{\includegraphics[width=2.5cm,height=2cm]{0...
...box{9cm}{!}{\includegraphics[width=2.5cm,height=2cm]{0609fig6b.ps}}
\end{figure}](/articles/aa/full_html/2009/20/aa10609-08/Timg91.png)
![\begin{figure}
\par\resizebox{9cm}{!}{\includegraphics[width=2.5cm,height=1.75cm]{0609fig7.ps}}
\end{figure}](/articles/aa/full_html/2009/20/aa10609-08/Timg118.png)
![\begin{figure}
\par\includegraphics[width=11cm,height=15cm]{0609fig8.ps}
\end{figure}](/articles/aa/full_html/2009/20/aa10609-08/Timg119.png)
![\begin{figure}
\par\resizebox{9cm}{!}{\includegraphics[width=2.5cm,height=2cm]{0609fig9.ps}} .
\end{figure}](/articles/aa/full_html/2009/20/aa10609-08/Timg127.png)