| Issue |
A&A
Volume 499, Number 2, May IV 2009
|
|
|---|---|---|
| Page(s) | 465 - 472 | |
| Section | Extragalactic astronomy | |
| DOI | https://doi.org/10.1051/0004-6361/200810920 | |
| Published online | 01 April 2009 | |
High energy emission and polarisation limits for the INTEGRAL burst GRB 061122
S. McGlynn1,2 - S. Foley1 - B. McBreen1 - L. Hanlon1 - S. McBreen1,3 - D. J. Clark4 - A. J. Dean4 - A. Martin-Carrillo1 - R. O'Connor1
1 - UCD School of Physics, University College
Dublin, Dublin 4, Ireland
2 - Department of Physics, Royal Institute of Technology (KTH), AlbaNova University Centre, 10691 Stockholm, Sweden
3 - Max-Planck-Institut für extraterrestrische Physik, 85741 Garching, Germany
4 - School of Physics and Astronomy, University of Southampton, Southampton
SO17 1BJ, UK
Received 5 September 2008 / Accepted 24 March 2009
Abstract
Context. GRB 061122 is one of the brightest GRBs detected within INTEGRAL's field of view to date, with a peak flux (20-200 keV) of 32 photons cm-2 s-1 and fluence of
erg cm-2. The Spectrometer aboard INTEGRAL, SPI, can measure linear polarisation in bright GRBs through the process of Compton scattering in the Germanium detectors. Polarisation measurements of the prompt emission are relatively rare. The spectral and polarisation results can be combined to provide vital information about the circumburst region.
Aims. The two
-ray detectors on INTEGRAL were used to investigate the spectral characteristics of GRB 061122. A search for linear polarisation in the prompt emission was carried out on GRB 061122 using the SPI multiple event data in the energy range 100 keV-1 MeV. The X-ray properties were examined using data from the X-Ray Telescope (XRT) on Swift.
Methods. The
-ray spectral and temporal properties of GRB 061122 were determined using IBIS and SPI. The afterglow properties were obtained using XRT. The multiple event data of GRB 061122 from SPI were analysed and compared with the predicted instrument response obtained from Monte-Carlo simulations using the GEANT 4 INTEGRAL mass model. The
distributions between the real and simulated data as a function of the percentage polarisation and polarisation angle were calculated and limits on the level and angle of polarisation were obtained from the best-fit value of
.
Results. The prompt spectrum was best fit by a combination of a blackbody and a power-law model (the quasithermal model), with evidence for high energy emission continuing above 8 MeV. A pseudo-redshift value of pz =
was determined using the spectral fit parameters. The isotropic energy at this pseudo-redshift is
erg. The jet opening angle was estimated to be smaller than
or larger than
from the X-ray lightcurve. An upper limit of 60% polarisation was determined for the prompt emission of GRB 061122, using the multiple event data from the spectrometer on INTEGRAL.
Conclusions. The high energy emission observed in the spectrum may be due to the reverse shock interacting with the GRB ejecta when it is decelerated by the circumburst medium. This behaviour has been observed in a small fraction of GRBs to date, but is expected to be more commonly observed by the Fermi Gamma-ray Space Telescope. The conditions for polarisation are met if the jet opening angle is less than
,
but further constraints on the level of polarisation are not possible.
Key words: polarization - gamma rays: bursts - gamma rays: obsrevations
1 Introduction
Long
Most bright GRB spectra can be fit by the Band model (Band et al. 1993) which is an empirical function comprising two smoothly broken power-laws, with the distributions of the low energy and high energy power-law photon indices around values of
and
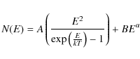
respectively (Kaneko et al. 2006). A thermal component of the prompt emission has also been proposed (e.g. Ghirlanda et al. 2003; Ryde 2005,2004). This model is a hybrid of the Planck black body function plus a simple power-law model and is of the form:
![]() |
(1) |
where
The thermal emission may originate from the transition from opaque to transparent in a wind photosphere (Daigne & Mochkovitch 2002; Lyutikov & Usov 2000). Most GRB spectra are dominated by non-thermal radiation corresponding to the synchrotron/inverse Compton emission generated in the optically thin environment, usually interpreted as the signature of internal shocks. The relative strengths of the thermal and non-thermal components can vary with time over the burst duration. In some cases, the thermal (i.e. black-body) component is dominant in the first few seconds of the burst (Pe'er et al. 2007; Ryde 2004) and decreases in strength so that the power-law component dominates the later emission.
INTEGRAL (Winkler et al. 2003) has observed 52 long-duration GRBs (
s, e.g. Foley et al. 2008) and one short GRB (
s, McGlynn et al. 2008) to the end of June 2008. The spectral and temporal properties of the most intense burst detected, GRB 041219a, have been previously published (McBreen et al. 2006b). The level of polarisation was also determined for GRB 041219a using multiple event data from the spectrometer (SPI) on board INTEGRAL (Kalemci et al. 2007; McGlynn et al. 2007). SPI was not specifically designed as a polarimeter, but polarisation can be measured through observed multiple scatter events due to the layout and geometry of the detector array. RHESSI is the only other instrument currently in orbit with the ability to measure
-ray polarisation (Wigger et al. 2004).
In this paper we present the results of the
-ray spectral and temporal characteristics of the intense burst GRB 061122 obtained with SPI and the Imager (IBIS) onboard INTEGRAL (Sect. 5). The results of polarisation analysis using the SPI multiple event data of GRB 061122 are presented in Sect. 6, using the method described in McGlynn et al. (2007). We also present afterglow results from Swift-XRT (Sect. 7). The implications of the spectral analysis and limit on the polarisation are discussed in Sect. 8.
The cosmological parameters adopted throughout the paper are
H0 = 70 km s-1 Mpc-1,
,
.
We adopt the notation for the
-ray spectra that
represents the low energy power-law photon index and the power-law index in the quasithermal model,
represents the high energy power-law photon index and
is the peak energy of the spectral fit. The power-law photon index of the X-ray spectrum is represented by
and the temporal slope is given by
.
All errors are quoted at the 1
confidence level.
2 INTEGRAL
The Spectrometer on INTEGRAL (SPI) consists of 19 hexagonal germanium (Ge) detectors covering the energy range 20 keV-8 MeV. The fully coded field of view (FoV) is 16
corner-to-corner, with a partially coded FoV of 34
.
A detailed description of SPI is available in Vedrenne et al. (2003). The event data from SPI are separated into single events where a photon deposits
energy in a single detector, and multiple events where the photon Compton scatters and deposits
energy in two or more detectors. The single events are used for spectral and temporal analysis, while the multiple events are used for polarisation analysis. The failure of detectors 2 and 17 reduces the effective area to about 90% of the original area for single events. It is reduced to
75% for multiple events, because the number of adjacent detector pairs drops from 84 to 64.
The imager IBIS consists of two separate detector layers, ISGRI (energy range 15 keV-1 MeV) and PICsIT (energy range
180 keV-10 MeV). A detailed description of IBIS can be found in Ubertini et al. (2003). The ISGRI detector is made up of 16 384 CdTe pixels, creating a pixellated imager with good spatial resolution and decreased spectral resolution compared with SPI (8 keV at 100 keV). The fully coded field of view is 9
,
with a coded mask 3.4 m above the detector plane. The INTEGRAL Burst Alert System (IBAS, Mereghetti et al. 2003) detects and localises
1 GRB/month utilising data from the ISGRI detector.
The two
-ray instruments on INTEGRAL are suitable for spectral analysis. Data from SPI and IBIS were used to determine the spectral characteristics of GRB 061122, while multiple event data from SPI were used in the polarisation analysis.
3 Prompt and afterglow observations
GRB 061122 was detected by IBAS at 07:56:45 on 22 November 2006, at a location
of
,
Dec = +15
(Mereghetti et al. 2006). GRB 061122 was a bright burst with an initial fluence reported in the 20-200 keV range of
erg cm-2 (Mereghetti & Götz 2006) and a peak flux of
31.7 ph cm-2 s-1, making it the second most intense burst observed by INTEGRAL after GRB 041219a. KONUS-Wind also triggered on the burst, and reported a fluence of
erg cm-2 in the energy range 20 keV-2 MeV (Golenetskii et al. 2006).
The GRB location was observed by XRT on Swift starting approximately 7 h post-trigger (Oates & McBreen 2006; McBreen et al. 2006a) where a fading X-ray afterglow with a flux of
erg cm-2 s-1 was observed. Using 2245 s of overlapping XRT Photon Counting mode and UVOT V-band data, the astrometrically corrected X-ray position was RA =
,
Dec = +15
31
02.3
with an uncertainty of 2.0
,
consistent with the INTEGRAL location.
R-band observations of the error region of GRB 061122 were taken on two consecutive nights using the
MDM 2.4 m telescope in Arizona (Halpern 2006). A fading object was discovered within 1
of the X-ray afterglow candidate. The observations are listed in Table 2. The magnitudes were not corrected for Galactic extinction which is estimated to be
AR = 0.49 mag.
4 Gamma-ray spectral and temporal analysis
4.1 Lightcurves
The background-subtracted SPI lightcurve of GRB 061122 is presented in Fig. 1 and the lightcurves per SPI detector are shown in Fig. 4. All lightcurves are in 1 s bins with the trigger time, T0, at 07:56:45. GRB 061122 is composed of a single relatively symmetric pulse. The KONUS Wind lightcurve
![]() |
Figure 1: Background-subtracted SPI lightcurve of GRB 061122 in the energy range 20 keV-8 MeV at 1 s resolution. The hardness ratios between the energy ranges 25-100 keV and 100-300 keV calculated from IBIS data are overlaid (circles). The hardness ratios are multiplied by 1000 for clarity of presentation. |
| Open with DEXTER | |
4.2 Spectral analysis
The spectra were extracted using specific GRB tools from the Online Software Analysis (Skinner & Connell 2003; Diehl et al. 2003) version 5.1 available from the INTEGRAL Science Data Centre. The T90duration (the time for 5%-95% of the GRB counts to be recorded) was determined using the lightcurve generated from the IBIS/ISGRI data in 1 s bins. The T90 interval was then selected for the spectral analysis in both instruments. The SPI data was fit over the energy range 20 keV-8 MeV and the IBIS data from 20 keV-1 MeV. Table 1 lists the details of GRB 061122, including the off-axis angle, T90, and peak flux obtained with SPI in the 20-200 keV energy range.
Each spectrum was fit with several spectral models: a simple power-law (PL), the Band model (GRBM, Band et al. 1993), a combination of a blackbody and simple power-law model (BB+PL, e.g. Ryde 2005) and a cutoff power-law which is a variation of the Band model with
(Cutoff PL). The spectra from IBIS and SPI were also fit simultaneously (Joint Fit), with the normalisation between the two instruments free to vary. The parameters and fluences from each fit are listed in Table 3. The burst was divided into 2 s intervals and spectral analysis was performed with SPI. These results are listed in Table 4. KONUS-Wind (Golenetskii et al. 1998) also triggered on GRB 061122 and the spectral results are listed in Table 3 for comparison.
5 Spectral results
Table 1: Properties of GRB 061122 obtained with INTEGRAL.
Table 2: R-band observations of the optical afterglow of GRB 061122 from the MDM telescope.
![]() |
Figure 2:
The |
| Open with DEXTER | |
Table 3:
Spectral fit parameters for GRB 061122 with spectral models as described in Sect. 4.2 and reduced
per degrees of freedom (d.o.f.).
The spectra were fit with the models described in Sect. 4. The fit parameters for each model are listed in Table 3. The values of
,
the low energy photon index, and
,
the high energy photon index, are consistent with the distribution of values obtained by Kaneko et al. (2006). The simple power-law model (PL) is not as good a fit as the models with curvature, since a break is visible in the spectrum (Fig. 2). There is also evidence for a high
energy excess, which is better fit by the blackbody + power-law model (BB+PL, Fig. 2b). The IBIS/SPI joint fits were not as good as the SPI spectrum on its own, since the SPI spectrum was finely binned and much better fits were obtained than with IBIS. The spectral results for IBIS are not included in the table because the gaps in the data interfered with the fitting. The same effect rendered the joint fit poorer than that of the SPI data. The reduced
is close to 1 for the SPI spectral fits and although the GRBM has a better
reduced
,
the BB+PL model seems to better account for the high energy emission.
The high energy component persists for up to 5 s after the burst. The fluence from 15-20 s after the trigger is
erg cm-2 in the 1-8 MeV energy range compared to
erg cm-2 in the 20-200 keV energy range.
Table 4: SPI spectral parameters of GRB 061122 in 2 s intervals during the burst, fit by the Band model and combined blackbody and power-law model.
Vianello et al. (2008) have recently published the IBIS spectral results of GRB 061122 and also note the presence of the data gaps. They obtained the best fit to the IBIS data with a cutoff power-law with parameters
and
keV. These values are consistent with the results from SPI and from the joint fit presented in Table 3.
The burst was divided into 2 s intervals and the spectral analysis was carried out for each interval using SPI data. The fit results are listed in Table 4. The peak energy in the Band model fit decreases with time and
steepens. The value of kT decreases from 41 keV to 31 keV and the photon index of the BB+PL fit evolves from -1.66 to -2.10 through the burst. However, the overall values in each fit are mainly consistent within the error bars.
The KONUS-WIND spectrum was also fit by a cutoff power-law model over the brightest 12 s (Golenetskii et al. 2006) and the spectral fits obtained (in the 20 keV-2 MeV range) are also listed in Table 3. The peak flux on a 64-ms time scale measured over 3 s from KONUS was
erg cm-2 s-1. The fit parameters from KONUS are in good agreement with the cutoff power-law fit from SPI, with the KONUS fit in the energy range 20 keV-2 MeV and the SPI fit in the range 20 keV-8 MeV.
6 Polarisation
6.1 Model simulations for polarisation in SPI
The dominant mode of interaction for photons in the energy range of a few hundred keV is Compton scattering. Linearly polarisedA computer model of the INTEGRAL spacecraft written in the GEANT 4 toolkit (Agostinelli et al. 2003) was used to simulate SPI multiple events. This model was developed from the GEANT 3 INTEGRAL Mass-Model (TIMM) (Ferguson et al. 2003) originally designed to provide background and performance evaluation of all the instruments onboard INTEGRAL. The model contains an accurate representation of the SPI instrument, including the mask and veto elements. The rest of the spacecraft is modelled to a much lower level of detail.
![]() |
Figure 3: The coded mask elements (yellow) overlaying the 19 SPI detectors (blue), as viewed from the direction of the incoming GRB photons generated using the simulations. Detectors 14, 15 and 16 ( bottom left) are partially obscured by the anticoincidence shield. |
| Open with DEXTER | |
![]() |
Figure 4: The layout of the 19 detectors of SPI with single event lightcurves of GRB 061122 showing the variation in count rate per detector. GRB 061122 is evident in all operational detectors and the weakest signals are in detectors partially or fully covered by the mask. Detectors 14, 15 and 16 are also partially obscured by the anticoincidence shield. |
| Open with DEXTER | |
The simulation of the GRB multiple events was carried out as described in McGlynn et al. (2007). The spectral parameters from the Band model of the T90 spectrum were used to generate a set of simulated events arriving from the direction of the GRB. For each simulation run, the polarisation angle of the photons was
set between 0
and 180
in 10 degree
steps, and the polarisation fraction was set to 100%. There was one run for a beam of unpolarised photons. The unpolarised
simulation data were combined with the polarised simulation data, allowing the
percentage of polarisation to be varied as a function of angle.
The polarisation analysis procedure for GRB 061122 was carried out in the same manner as for GRB 041219a in McGlynn et al. (2007). The SPI multiple event data were divided into six directions in the energy ranges of 100-350 keV and 100-500 keV using the kinematics of the Compton scatter interactions, and divided into 3 directions in the 100-1000 keV energy range. The number of multiple events between 100-350 keV, 100-500 keV and 100 keV-1 MeV were 244, 303 and 927 respectively for GRB 061122. The total number of simulated events was
per energy range.
These event lists were compared with the simulated data from the INTEGRAL mass model and the value of
was calculated for a
range of polarisation angles and percentages of polarisation. These values were used to generate
significance level contour plots, which gave a minimum for the angle and
percentage of polarisation that most closely matches the actual data. The
results of the fitting procedure are given in Table 5, which
lists the best fit percentage polarisation and the angle for the GRB in the energy ranges
100-350 keV, 100-500 keV and 100 keV-1 MeV. The errors quoted for the
percentage and angle of polarisation are 1
for 2 parameters of interest.
Table 5:
Table of results from
fitting of real and simulated
data.
GRB 061122 occurred at 8
off-axis and the detector plane was almost completely illuminated (Fig. 4) with the largest count rates observed in the detectors at the top of the plane (detectors 10-12). The six direction data provide poorer polarisation constraints due to the low statistics. The background scatter is also non-linear, which contributes to the smearing-out of the polarisation signal. The best fit probability that
the model simulations provide a good description of the real data is
97% for the three scatter directions in all 3 energy ranges (Table 5), corresponding to an upper percentage polarisation limit of 60%. The contour plot for the 100-1000 keV energy range is shown in Fig. 5. Only the 1
contour is closed indicating the paucity of statistics available.
![]() |
Figure 5:
Contour plot of the percentage
polarisation as a function of the
polarisation angle for the three scatter directions (
|
| Open with DEXTER | |
7 Afterglow analysis
The 0.3-10 keV X-ray lightcurve was fit with a decaying power-law with a slope of
over the time interval
T0 + 24.5 ks to
T0 + 76 ks (Fig. 6). The presence of another nearby source contaminated the XRT lightcurve at late times, so the source extraction region was reduced to minimise
contamination.
The X-ray spectrum over the interval
T0 + 24.5 ks to
T0 + 1267 ks was fit by an absorbed power-law with a photon index of
and a column density of
cm-2, comparable to the Galactic column density in the direction of the source (1.5
cm-2). The average unabsorbed 0.3-10 keV flux for this spectrum is
erg cm-2 s-1.
The XRT hardness ratio is shown in Fig. 6. There appears to be significant spectral hardening from about 105 s to the end of the observation. However, when the spectra were subdivided into early and late times, the spectral parameters could not be significantly constrained, due to contamination.
![]() |
Figure 6:
Top panel: XRT lightcurve of GRB 061122 fit with a power-law slope of
|
| Open with DEXTER | |
8 Discussion
8.1 Constraints on redshift and luminosity
An estimate of the redshift, the ``pseudo-redshift'', can be obtained using the burst spectral parameters. Pélangeon et al. (2008) used a sample of HETE-II GRBs with known z to test the pseudo-redshift calculation and found that the dispersion of the ratios between the spectroscopically measured redshift and the pseudo-redshift was smaller than a factor of 2. The pseudo-redshift was calculated for GRB 061122 using the SPI Band model fits from Table 3 and the online pseudo-redshift calculator and was found to be
.
Using this pseudo-redshift and the spectral fluence and peak flux from
Sect. 5, the isotropic peak luminosity
was estimated to be
erg s-1 (50-300 keV) and the isotropic equivalent bolometric energy
erg (1-1000 keV).
8.2 The hard tail component of GRB 061122
GRB 061122 exhibits a high energy spectral component throughout the duration of the burst (Fig. 2). The high energy component does not turn over within the energy range of SPI, indicating that emission may exist above
8 MeV. In addition, this hard component may persist up to 5 or more seconds after the main emission pulse. A significant fluence
(
erg cm-2, 1-8 MeV) is present in the 5 s after the emission appears to end at T0 + 20 s in Fig. 1.
GRB 941017 was the first burst with a significant long lasting high energy component detected up to
200 MeV, discovered by EGRET (González et al. 2003). One high energy (18 GeV) photon was observed in GRB 940217 90 minutes after the burst trigger (Hurley et al. 1994). The RHESSI burst GRB 021206 also seems to have an excess at high energies (e.g. Wigger et al. 2008). Kaneko et al. (2008) analysed 15 BATSE GRBs with possible high energy components observed by TASC, the Total Absorption Shower Counter on EGRET, including GRB 941017. They found that high energy components were present for two bursts in the sample, and a third burst had a probable peak energy in excess of 170 MeV. High energy photons between 25-50 MeV have also been observed in the AGILE burst GRB 080514b (Giuliani et al. 2008). These photons occurred after the apparent end of the hard X-ray emission. This high energy emission has so far been observed solely in a few bright bursts, indicating that it may be relatively unusual among GRBs.
A possible interpretation of the high energy component is that it is due to synchrotron self-Compton (SSC) emission from the reverse shock (Granot & Guetta 2003), where the synchrotron emitting electrons are responsible for the low energy spectrum. An inverse Compton peak can be observed at 10 MeV-100 GeV, which is delayed relative to the softer emission and has a longer decay time (Stern & Poutanen 2004). However, the emission is not delayed in GRB 061122, but is present throughout the burst and for a small interval after the burst, which may rule out SSC emission. A possible emission mechanism to provide the right temporal behaviour is the reverse shock which travels into the GRB ejecta as it is decelerated by the circumburst medium. Internal shocks seem to be ruled out, since the synchrotron self-Compton spectrum implies
(the fraction of internal energy behind the shock in the magnetic field). This value is much lower than that expected from the magnetic field advected by the ejecta from the source.
Recently, a high energy component has been proposed in the spectrum of GRB 080319B as an explanation for the prompt optical and
-ray emission (Racusin et al. 2008). The optical emission during the prompt phase was up to 104 times greater than the extrapolated
-ray flux, leading to the conclusion that synchrotron radiation was responsible for the optical emission and SSC radiation was responsible for the soft
-ray spectrum. It was proposed that a third spectral component was present at GeV energies, due to second order Compton scattering, and that most of the energy of the burst was emitted at high energies.
Dermer et al. (2000) performed calculations of prompt and afterglow GRB emission using the standard blast-wave model with
.
They proposed that the high energy emission from GRB 940217 during the burst and at late times were the result of non-thermal synchrotron and self-synchroton Compton (SSC) emission moving through the GeV band respectively. Calculations were also performed for a ``clean'' fireball (
)
and a ``dirty'' fireball (
)
to investigate the peak flux emission from MeV-TeV energies. The clean fireball model predicts brief MeV emission at the start of the burst, with the burst having a large peak flux and high
,
while the dirty fireball predicts later MeV emission and a weaker burst with a low
.
The standard model predicted the peak in MeV emission at
s and a luminosity at MeV energies of
erg s-1 at pz = 0.95 (Dermer et al. 2000). GRB 061122 is consistent with the standard model, with a luminosity from 1-8 MeV of
erg s-1. The standard model seems to be favoured over the alternatives because its duration is more extended than the dirty fireball and background effects are more important in the clean fireball model.
Ramirez-Ruiz (2004) has argued that a continually decreasing post-burst relativistic outflow may exist for some GRBs, caused by the sluggish infall of matter into a compact object. It can be reprocessed by the soft photon field radiation and produce high energy
-rays, thus providing energy injection on a much larger timescale than the apparent duration of the burst. The Compton Drag process mentioned above could be very effective in extracting energy from the relativistic wind.
8.3 Afterglow properties
Monochromatic breaks in the afterglow lightcurve can be used to estimate the opening angle of the jet producing the emission. These breaks are observed when the Lorentz factor
drops below the inverse of the jet angle
so that the radiation is beamed outside the original jet, reducing the observed flux (Piran 2004; Rhoads 1999). No break was observed in the X-ray lightcurve of GRB 061122. Observations did not start until
7 h after the trigger, so it can be assumed that the jet break occurred before the onset of the XRT observation. Setting an upper limit on the jet break time of 24.5 ks (Sect. 7), this implies a limit on the jet opening angle of 2.8
,
using Eq. (1) from Frail et al. (2001), assuming an ISM density of 1 cm-3 and a pseudo redshift of 0.95. Similarly, if the jet break occurred after the end of the observation (76 ks), an limit of 11.9
can be derived for the jet opening angle. Therefore the jet angle must be either smaller than 2.8
or larger than 11.9
.
GRB 061122 had an optical afterglow with
,
consistent with the apparent magnitudes measured for a large sample of long GRBs detected by Swift and other missions at 1 day and 4 days after the burst, corrected to a common z=1 system (Kann et al. 2007,2008).
8.4 Constraints on polarisation
Two possible explanations for a significant level of polarisation are synchrotron radiation and Compton Drag. Synchrotron radiation, from an ordered magnetic field advected from the central engine (Lyutikov et al. 2003), is a general feature of GRBs. The level of polarisation produced by a perfectly ordered magnetic field can be
where p represents the electron distribution power-law index. Typical values of p = 2-3 correspond to a percentage polarisation of 70-75%. However, this high level is not observed in GRB 061122. Compton Drag, which occurs when photons are inverse Compton scattered and are beamed in an opening angle
(Lazzati et al. 2004), can also produce a significant level of
polarisation. An alternative scenario for polarisation occurs when a jet with a small opening angle is viewed
slightly off-axis (Waxman 2003).
Lazzati et al. (2004) calculated the polarisation via Compton Drag as a function of the
observer angle for several jet geometries, and showed that
polarisation can be produced if the condition
is satisfied, where
is the Lorentz factor of the jet and
is the opening angle of the jet. GRB 061122 has an isotropic energy of
erg (Sect. 8.1). The Lorentz factor of
the fireball can be obtained from the redshift corrected peak energy of GRB 061122 (
keV) by the relationship
where
or
The smaller opening angle fulfills the condition for polarisation, whereas the larger angle does not. Therefore, an upper limit on the polarisation is the firmest conclusion that we can draw from the data.
In the fireball model, the fractional polarisation emitted by each element remains the same, but the direction of the polarisation vector of the radiation emitted by different elements within the shell is rotated by different amounts. This can lead to effective depolarisation of the total emission (Lyutikov et al. 2003).
9 Conclusions
GRB 061122 is one of the brightest gamma-ray bursts observed by INTEGRAL to date, with a fluence (20-200 keV) of
erg cm-2. The afterglow of GRB 061122 was observed by the XRT on Swift and optical observations were also carried out. The pseudo-redshift calculated for GRB 061122 is
.
The values of
and
were determined for GRB 061122 resulting in
erg s-1 and
erg.
An upper polarisation limit of 60% was determined for GRB 061122. A more definite value could not be obtained due to lack of statistics. Assuming that the jet break occurred outside the observation time of XRT, the jet opening angle must be either smaller than 2.8
or larger than 11.9
.
Using these limits, the conditions for polarisation could be fulfilled if
.
GRB 061122 exhibited a high energy spectral component in the observed
-ray spectrum. The high energy component does not turn over within the energy range of SPI, indicating that emission may exist above
8 MeV. GRB 061122 seems most consistent with the standard blast-wave model as proposed by Dermer et al. (2000), with a luminosity from 1-8 MeV of
erg s-1. High energy missions such as the Fermi Gamma-ray Space Telescope (de Angelis 2001), launched in June 2008, have a wider energy range (up to
300 GeV). Therefore, Fermi will provide a better picture of the occurrence of high energy components in GRB spectra and differentiate between different spectral models.
Acknowledgements
S.McG. would like to acknowledge support from the Swedish National Space Board. S.M.B. acknowledges European Union support through a Marie Curie Fellowship in FP6.
References
- Agostinelli, S., Allison, J., Amako, K., et al. 2003, Nucl. Instrum. Meth. Phys. Res., Sect. A, 506, 250 (In the text)
- Band, D., Matteson, J., Ford, L., et al. 1993, ApJ, 413, 281 [NASA ADS] [CrossRef] (In the text)
- Daigne, F., & Mochkovitch, R. 2002, MNRAS, 336, 1271 [NASA ADS] [CrossRef]
- de Angelis, A. 2001, in New Worlds in Astroparticle Physics, ed. A. M. Mourao, M. Pimenta, P. M. Sa, & J. M. Velhinho, 140 (In the text)
- Dermer, C. D., Chiang, J., & Mitman, K. E. 2000, ApJ, 537, 785 [NASA ADS] [CrossRef] (In the text)
- Diehl, R., Baby, N., Beckmann, V., et al. 2003, A&A, 411, L117 [NASA ADS] [CrossRef] [EDP Sciences]
- Ferguson, C., Barlow, E. J., Bird, A. J., et al. 2003, A&A, 411, L19 [NASA ADS] [CrossRef] [EDP Sciences]
- Foley, S., McGlynn, S., Hanlon, L., McBreen, S., & McBreen, B. 2008, A&A, 484, 143 [NASA ADS] [CrossRef] [EDP Sciences] (In the text)
- Frail, D. A., Kulkarni, S. R., Sari, R., et al. 2001, ApJ, 562, L55 [NASA ADS] [CrossRef] (In the text)
- Ghirlanda, G., Celotti, A., & Ghisellini, G. 2003, in Gamma-Ray Burst and Afterglow Astronomy 2001, A Workshop Celebrating the First Year of the HETE Mission, ed. G. R. Ricker, & R. K. Vanderspek, AIP Conf. Ser., 662, 270
- Giuliani, A., Mereghetti, S., Fornari, F., et al. 2008, A&A, 491, L25 [NASA ADS] [CrossRef] [EDP Sciences] (In the text)
- Golenetskii, S., Aptekar, R., Mazets, E., et al. 2006, GCN, 5841 (In the text)
- Golenetskii, S. V., Aptekar, R. L., Frederiks, D. D., et al. 1998, in ed. C. A. Meegan, R. D. Preece, & T. M. Koshut, AIP Conf. Ser., 428, 284 (In the text)
- González, M. M., Dingus, B. L., Kaneko, Y., et al. 2003, Nature, 424, 749 [NASA ADS] [CrossRef] (In the text)
- Granot, J., & Guetta, D. 2003, ApJ, 598, L11 [NASA ADS] [CrossRef] (In the text)
- Halpern, J. 2006, GCN, 5849 (In the text)
- Hurley, K., Dingus, B. L., Mukherjee, R., et al. 1994, Nature, 372, 652 [NASA ADS] [CrossRef] (In the text)
- Kalemci, E., Boggs, S. E., Kouveliotou, C., et al. 2007, ApJS, 169, 75 [NASA ADS] [CrossRef]
- Kaneko, Y., Preece, R. D., Briggs, M. S., et al. 2006, ApJS, 166, 298 [NASA ADS] [CrossRef] (In the text)
- Kaneko, Y., González, M. M., Preece, R. D., Dingus, B. L., & Briggs, M. S. 2008, ApJ, 677, 1168 [NASA ADS] [CrossRef] (In the text)
- Kann, D. A., Klose, S., Zhang, B., et al. 2007 [arXiv:0712.2186]
- Kann, D. A., Klose, S., Zhang, B., et al. 2008 [arXiv:0804.1959]
- Lazzati, D. 2006, New J. Phys., 8, 131 [CrossRef] (In the text)
- Lazzati, D., Rossi, E., Ghisellini, G., & Rees, M. J. 2004, MNRAS, 347, L1 [NASA ADS] [CrossRef] (In the text)
- Lithwick, Y., & Sari, R. 2001, ApJ, 555, 540 [NASA ADS] [CrossRef] (In the text)
- Lyutikov, M., & Usov, V. V. 2000, ApJ, 543, L129 [NASA ADS] [CrossRef]
- Lyutikov, M., Pariev, V. I., & Blandford, R. D. 2003, ApJ, 597, 998 [NASA ADS] [CrossRef] (In the text)
- McBreen, S., Beardmore, A. P., Oates, S. R., et al. 2006a, GCN Rep., 17
- McBreen, S., Hanlon, L., McGlynn, S., et al. 2006b, A&A, 455, 433 [NASA ADS] [CrossRef] [EDP Sciences] (In the text)
- McGlynn, S., Clark, D. J., Dean, A. J., et al. 2007, A&A, 466, 895 [NASA ADS] [CrossRef] [EDP Sciences]
- McGlynn, S., Foley, S., McBreen, S., et al. 2008, A&A, 486, 405 [NASA ADS] [CrossRef] [EDP Sciences] (In the text)
- Mereghetti, S., & Götz, D. 2006, GCN 5836 (In the text)
- Mereghetti, S., Götz, D., Borkowski, J., et al. 2003, A&A, 411, L291 [NASA ADS] [CrossRef] [EDP Sciences] (In the text)
- Mereghetti, S., Paizis, A., Götz, D., et al. 2006, GCN 5834 (In the text)
- Mészáros, P. 2006, Rep. Prog. Phys., 69, 2259 [NASA ADS] [CrossRef]
- Oates, S. R., & McBreen, S. 2006, GCN 5846
- Pe'er, A., Ryde, F., Wijers, R. A. M. J., Mészáros, P. & Rees, M. J. 2007, ApJ, 664, L1 [NASA ADS] [CrossRef]
- Pélangeon, A., Atteia, J.-L., Nakagawa, Y. E., et al. 2008, A&A, 491, 157 [NASA ADS] [CrossRef] [EDP Sciences] (In the text)
- Piran, T. 2004, Rev. Mod. Phys., 76, 1143 [NASA ADS] [CrossRef]
- Racusin, J. L., Karpov, S. V., Sokolowski, M., et al. 2008, Nature, 455, 183 [NASA ADS] [CrossRef] (In the text)
- Ramirez-Ruiz, E. 2004, MNRAS, 349, L38 [NASA ADS] [CrossRef] (In the text)
- Rhoads, J. E. 1999, ApJ, 525, 737 [NASA ADS] [CrossRef]
- Ryde, F. 2004, ApJ, 614, 827 [NASA ADS] [CrossRef]
- Ryde, F. 2005, ApJ, 625, L95 [NASA ADS] [CrossRef]
- Skinner, G., & Connell, P. 2003, A&A, 411, L123 [NASA ADS] [CrossRef] [EDP Sciences]
- Stern, B. E., & Poutanen, J. 2004, MNRAS, 352, L35 [NASA ADS] [CrossRef] (In the text)
- Ubertini, P., Lebrun, F., Cocco, G. D., et al. 2003, A&A, 411, L131 [NASA ADS] [CrossRef] [EDP Sciences] (In the text)
- Vedrenne, G., Roques, J. P., Schönfelder, V., et al. 2003, A&A, 411, L63 [NASA ADS] [CrossRef] [EDP Sciences] (In the text)
- Vianello, G., Götz, D., & Mereghetti, S. 2008 [arXiv:0812.3349] (In the text)
- Waxman, E. 2003, Nature, 423, 388 [NASA ADS] [CrossRef] (In the text)
- Wigger, C., Hajdas, W., Arzner, K., Güdel, M., & Zehnder, A. 2004, ApJ, 613, 1088 [NASA ADS] [CrossRef] (In the text)
- Wigger, C., Wigger, O., Bellm, E., & Hajdas, W. 2008, ApJ, 675, 553 [NASA ADS] [CrossRef] (In the text)
- Winkler, C., Courvoisier, T. J. L., Di Cocco, G., et al. 2003, A&A, 411, L1 [NASA ADS] [CrossRef] [EDP Sciences] (In the text)
- Zhang, B., & Mészáros, P. 2004, Int. J. Mod. Phys. A, 19, 2385 [NASA ADS] [CrossRef] (In the text)
Footnotes
- ... GRB 061122
- Based on observations with INTEGRAL, an ESA project with instruments and science data centre funded by ESA member states (especially the PI countries: Denmark, France, Germany, Italy, Switzerland, Spain), Czech Republic and Poland, and with the participation of Russia and the USA.
- ... lightcurve
- http://www.ioffe.rssi.ru/LEA/GRBs/GRB061122_T28608/
All Tables
Table 1: Properties of GRB 061122 obtained with INTEGRAL.
Table 2: R-band observations of the optical afterglow of GRB 061122 from the MDM telescope.
Table 3:
Spectral fit parameters for GRB 061122 with spectral models as described in Sect. 4.2 and reduced
per degrees of freedom (d.o.f.).
Table 4: SPI spectral parameters of GRB 061122 in 2 s intervals during the burst, fit by the Band model and combined blackbody and power-law model.
Table 5:
Table of results from
fitting of real and simulated
data.
All Figures
![]() |
Figure 1: Background-subtracted SPI lightcurve of GRB 061122 in the energy range 20 keV-8 MeV at 1 s resolution. The hardness ratios between the energy ranges 25-100 keV and 100-300 keV calculated from IBIS data are overlaid (circles). The hardness ratios are multiplied by 1000 for clarity of presentation. |
| Open with DEXTER | |
| In the text | |
![]() |
Figure 2:
The |
| Open with DEXTER | |
| In the text | |
![]() |
Figure 3: The coded mask elements (yellow) overlaying the 19 SPI detectors (blue), as viewed from the direction of the incoming GRB photons generated using the simulations. Detectors 14, 15 and 16 ( bottom left) are partially obscured by the anticoincidence shield. |
| Open with DEXTER | |
| In the text | |
![]() |
Figure 4: The layout of the 19 detectors of SPI with single event lightcurves of GRB 061122 showing the variation in count rate per detector. GRB 061122 is evident in all operational detectors and the weakest signals are in detectors partially or fully covered by the mask. Detectors 14, 15 and 16 are also partially obscured by the anticoincidence shield. |
| Open with DEXTER | |
| In the text | |
![]() |
Figure 5:
Contour plot of the percentage
polarisation as a function of the
polarisation angle for the three scatter directions (
|
| Open with DEXTER | |
| In the text | |
![]() |
Figure 6:
Top panel: XRT lightcurve of GRB 061122 fit with a power-law slope of
|
| Open with DEXTER | |
| In the text | |
Copyright ESO 2009
Current usage metrics show cumulative count of Article Views (full-text article views including HTML views, PDF and ePub downloads, according to the available data) and Abstracts Views on Vision4Press platform.
Data correspond to usage on the plateform after 2015. The current usage metrics is available 48-96 hours after online publication and is updated daily on week days.
Initial download of the metrics may take a while.

![\begin{figure}
\par\includegraphics[width=6cm,angle=270]{0920_fig1.eps}
\end{figure}](/articles/aa/full_html/2009/20/aa10920-08/Timg37.png)
![\begin{figure}
\par\includegraphics[width=5.5cm,angle=270]{0920_2a.ps}\par\includegraphics[width=5.5cm,angle=270]{0920_2b.ps}
\end{figure}](/articles/aa/full_html/2009/20/aa10920-08/Timg43.png)
![\begin{figure}
\par\includegraphics[width=7cm,angle=90]{0920_fig3.eps}
\end{figure}](/articles/aa/full_html/2009/20/aa10920-08/Timg93.png)
![\begin{figure}
\par\includegraphics[width=7.5cm,angle=270]{0920_fig4.eps}
\end{figure}](/articles/aa/full_html/2009/20/aa10920-08/Timg94.png)
![\begin{figure}
\par\includegraphics[width=8cm]{0920_fig5.eps}
\end{figure}](/articles/aa/full_html/2009/20/aa10920-08/Timg101.png)
![\begin{figure}
\par\hspace*{2.5mm}\includegraphics[width=6.5cm]{0920_6a.ps}\hspace*{2.5mm}
\par\includegraphics[angle=270,width=7cm]{0920_6b.ps}
\end{figure}](/articles/aa/full_html/2009/20/aa10920-08/Timg107.png)
