| Issue |
A&A
Volume 499, Number 2, May IV 2009
|
|
|---|---|---|
| Page(s) | 567 - 577 | |
| Section | Stellar atmospheres | |
| DOI | https://doi.org/10.1051/0004-6361/200811123 | |
| Published online | 27 March 2009 | |
A&A 499, 567-577 (2009)
The nature of the light variability of the silicon star HR 7224![[*]](/icons/foot_motif.png)
J. Krticka1 - Z. Mikulásek1,2 - G. W. Henry3 - J. Zverko4 - J. Ziznovský4 - J. Skalický1 - P. Zverina1
1 - Department of Theoretical Physics and Astrophysics,
Masaryk University, Kotlárská 2, 611 37 Brno, Czech Republic
2 -
Observatory and Planetarium of J. Palisa, VSB - Technical
University, Ostrava, Czech Republic
3 -
Center of Excellence in Information Systems, Tennessee
State University, Nashville, Tennessee, USA
4 -
Astronomical Institute, Slovak Academy of Sciences,
Tatranská Lomnica, Slovak Republic
Received 9 October 2008 / Accepted 16 February 2009
Abstract
Context. Although photometric variations of chemically peculiar (CP) stars are frequently used to determine their rotational periods, the detailed mechanism of their light variability remains poorly understood.
Aims. We simulate the light variability of the star HR 7224 using the observed surface distribution of silicon and iron.
Methods. We used the TLUSTY model atmospheres calculated for the appropriate silicon and iron abundances to obtain the emergent flux and to predict the rotationally modulated light curve of the star. We also obtained additional photometric measurements and employed our own regression procedure to derive a more precise estimate of the light elements.
Results. We show that the light variation of the star can be explained as a result of i) the uneven surface distribution of the elements, ii) the flux redistribution from the ultraviolet to the visible part of the spectrum, and iii) rotation of the star. We show that the silicon bound-free transitions and iron bound-bound transitions provide the main contribution to the flux redistribution, although an additional source of opacity is needed. We confirm that numerous iron lines significantly contribute to the well-known depression at 5200 Å and discuss the connection between iron abundance and the value of peculiarity index a.
Conclusions. The uneven surface distribution of silicon and iron is able to explain most of the rotationally modulated light variation in the star HR 7224.
Key words: stars: chemically peculiar - stars: early type - stars: variables: general - stars: individual: HR 7224
1 Introduction
Chemically peculiar (CP) stars represent a large class of upper main sequence stars where the processes of radiative diffusion and gravitational settling in their atmospheres give rise to pronounced deviations in the chemical composition of these stars from the solar value (Vauclair 2003; Michaud 2005). The CP stars are natural laboratories for testing modern model atmospheres thanks to the unusual chemistry with rather strong under- or overabundance of some elements. The application of advanced modelling techniques, such as model atmospheres with magnetic fields (e.g., Kochukhov et al. 2005; Khan & Shulyak 2006), radiative diffusion codes, and Doppler imaging techniques (Khokhlova et al.2000), provides us with detailed information about the surface structure of these stars. Despite these fascinating advances in their study during recent decades, the light variability of CP stars is still poorly understood.
Some CP stars show inhomogeneous surface distribution of chemical elements on their surface (e.g., Khokhlova et al.2000) as determined from rotationally modulated spectral line variability (see, e.g., Lehmann et al.2006). The uneven surface distribution of various elements, together with rotation, has been presumed to be the origin of these stars' light variability. However, the details of this mechanism have not been determined. Line blanketing by multiple lines of overabundant elements (mainly iron) and the flux redistribution induced by these lines has been proposed as one of the causes of the light variability (Molnar1973). Other mechanisms proposed include the influence of bound-free transitions (Lanz et al.1996; Peterson1970), surface temperature differences or variable temperature gradients (Kodaira1967; Weiss et al.1976), and the presence of magnetic fields (e.g., Kochukhov et al.2005). Finally, circumstellar matter, if present, may also influence the light curves (Landstreet & Borra1978; Smith & Groote2001; Nakajima1985; Townsend et al.2005).
One of the first attemps to simulate the light variability of CP stars was done by Krivosheina et al. (1980), who reproduced the light curve of the CP star CU Vir. However, detailed modelling of CP star light variability had to await precise model atmospheres (e.g., Lanz & Hubeny2007), improved opacity data (Seaton et al.1992), and much faster computers. Krticka et al. (2007) took advantage of these tools and used the surface maps of Khokhlova et al. (2000) to simulate the light curve of HD 37776 successfully. They demonstrate that the inhomogeneous surface distribution of silicon and helium, along with the bound-free transitions of these elements, accounted for most of the light variability in this star.
Much work remains to be done to understand the light variability in CP stars. In particular, the role of iron, which is found to be significantly underabundant in the atmosphere of HD 37776 (Khokhlova et al.2000), remains to be clarified. For this purpose we selected the silicon star HR 7224, whose silicon and iron surface distributions were derived via Doppler imaging by Lehmann et al. (2007).
2 CP star HR 7224
HR 7224 (HD 177410, HIP 93187, EE Dra) is a rapidly rotating CP star classified as A0p Si by Cowley et al. (1969). Molnar (1972) classified HR 7224 as a B9.5 IIIp Si star, based on low-resolution spectroscopy. Lehmann et al. (2006,2007) found that the star has enhanced Si and Fe abundances, whereas He is extremely depleted; they classified it as a helium-weak silicon CP star.
Winzer (1974) found photometric variability in HR 7224 and determined
a period of 1
1663 from 48
observations done in
1970-72. Adelman (1997) derived a new period of 1
123095 based on
616 Strömgren
observations taken in the 1993-94 and
1994-95 observing seasons with the Four College Automated Photometric
Telescope (FCAPT) along with the older V measurements of Winzer (1974).
Hipparcos obtained 409
,
,
and
observations in 1989-92 (ESA1997), and ESA (1998)
determined the photometric period to be 1
123248.
All of the optical light curves phase together fairly well and show a
double-wave with two maxima of different height (see Fig. 1).
HR 7224 was recently classified from the shape of its light curve as a prototype
of a photometrically simple CP star with a double-wave light curve with two
unequally prominent bright spots centred on the phases
and 0.5
(Mikulásek et al.2008a). There are only two attempts to measure the magnetic field of
HR 7224 available in the literature (Lehmann et al.2007; Bohlender et al.1993); both produced negative
results.
Recent
magnetic field measurements (Kudryavtsev, private
communication) also gave negative results, however the observations are still
continuing
to cover the whole rotational cycle.
Adelman (2004) reported an unprecedented change in the photometric behaviour of
HR 7224. Comparing time series observations taken with FCAPT before 1996 with
those taken in 2003, he found that the amplitude of variability had increased
from a typical value of 0.04 mag to 0.21 mag. He also reported that the period
of variability had changed from 1
123 to 101 days. Unfortunately, the
photometric data from this critical era have not been published.
Adelman's astonishing result, along with the lack of available
high-resolution spectroscopy of HR 7224, motivated Lehmann et al. (2006) to
carry out an extensive spectroscopic observing program on the star.
Their 564 high-resolution spectrograms allow determination of radial
velocities via cross correlation to an accuracy better than 100 m s-1. They found radial velocity variations in this swiftly
rotating star with an amplitude of 15 km s-1 and a period of
1
123248(9), in excellent agreement with the previous
determination by ESA (1998). They found no further periodicities,
in particular nothing around the 101-day period of Adelman (2004).
Lehmann et al. (2007) used the same 564 spectrograms to derive Doppler images of surface elemental distributions. Their map of the silicon and iron abundance on the surface of HR 7224 is an ideal starting point for the simulation of the star's expected light curves. To avoid any difficulties phasing the spectroscopic and photometric observations together, we acquired new photometric observations to improve the rotational ephemeris of HR 7224.
![]() |
Figure 1:
Photometric observations of HR 7224 plotted as a function
of the new linear phase in Eq. (3). Data are from Winzer (1974),
|
| Open with DEXTER | |
2.1 New BV photometry of HR 7224
Our new BV photometry was acquired between March and May 2008 with the T3 0.4 m automatic photoelectric telescope (APT) at Fairborn Observatory. This APT uses a temperature-stabilised EMI 9924B photomultiplier tube to measure photon count rates through Johnson B and V filters. HR 7224 and its comparison stars were measured in the following sequence, termed a group observation: K-S-C-V-C-V-C-V-C-S-K, where K is the check star (HD 172728, V=5.74, B-V=-0.045, A0 V), C is the comparison star (HD 172569, V=6.07, B-V=0.279, F0 V), V is HR 7224, and S is a sky measurement. Three V-C and two K-C differential magnitudes are formed from each sequence and averaged together to create group mean differential magnitudes. The typical precision of a group mean is 0.003-0.004 mag for this telescope. To filter out observations taken in non-photometric conditions, group means with a standard deviation greater than 0.01 mag were discarded. From the 572 group observations collected by the telescope, 478 B and 462 V group means survived the filtering process and were used in this analysis.
The surviving group means were corrected for differential extinction with nightly extinction coefficients, transformed to the Johnson system with yearly-mean transformation coefficients, and treated as single observations thereafter. Up to five group observations were acquired each clear night at intervals of approximately two hours. Further information on the operation of the APT and the analysis of the data can be found in Henry (1995a,b) and Eaton et al. (2003).
The photometric data used in this analysis are available through SIMBAD and the On-line database of photometric observations of mCP stars (http://astro.physics.muni.cz/mcpod).
2.2 New linear ephemeris
To derive the ephemeris, we used all available photometric data on
HR 7224 including the
measurements of Winzer (1974),
the
and
observations from Hipparcos
(ESA1997), the Strömgren
photometry by
Adelman (1997), and the T3 APT
observations in this paper.
The total of 2013 individual photometric measurements covers a time
span of 38 years; they were supplemented with the 564 measurements of
silicon line equivalent widths (
)
obtained by Lehmann et al. (2007) in
2004-05 and kindly provided to us by Dr. H. Lehmann.
The analysis of these data to determine the ephemeris is described in Mikulásek et al. (2008b). It is assumed that all the photometric and spectroscopic variability can be expressed in terms a simple regression model.
2.2.1 Regression model and robust regression procedure
The formulation of the observed phase variation of the light and equivalent
widths of silicon lines in terms of a general regression model is relatively
simple since the light and
phase curves are similar in shape, though
shifts may exist in some cases. Consequently, we can express them with the
following relations:
where ycj is the predicted value of an observed quantity (magnitude,
The phase function of time
is determined by the
ephemeris, which is given in the second part of Eq. (1).
We assume that the period P of HR 7224 is constant and define zero
phase to be the light maximum M0 that is situated nearest to the
weighted centre of gravity of measurements used for the ephemeris
determination.
are free parameters correcting M0 for
some groups of observation. We applied them only when justified,
particularly for observations of Winzer (1974; see the following
discussion) and for the equivalent widths of the Si lines.
Function
is the simplest normalised
periodic function that represents the observed photometric and
spectroscopic variations of HR 7224 in detail.
The phase of maximum brightness
is defined to be 0.0, and the amplitude is defined to be 1.0. The
function, being the sum of three orthogonal terms, is described by
two parameters a1 and a2. The first parameter quantifies the
symmetric portion of the deviation of the light curve from a simple
cosine course; the second parameter expresses any asymmetry in the
light curve:
![]() |
Figure 2: O-C diagram of HR 7224 computed with the new linear ephemeris in Eq. (3). The open star represents the observations of Winzer, the filled diamond corresponds to the Hipparcos measurements, the filled circles are from the two seasons of observations by Adelman, and the filled square gives the result of the BV observations in this paper. The solid line denotes the line of constant period and the dotted line is the uncertainty. |
| Open with DEXTER | |
Table 1: O-C derived from photometry and spectroscopy of HR 7224. s denotes standard deviation in mmags.
2.2.2 New findings
We used the same robust, iterative, regression procedure described in
Sect. 3.3 of Mikulásek et al. (2008b) to determine a new linear ephemeris for
HR 7224. The ephemeris consists of the period P, the JD
of the light curve maximum M0, the mean shift of Winzer's
measurements
,
and the mean shift of the
maximum of the Si equivalent width,
,
relative
to the light-curve maxima:
Our period agrees with those determined by ESA (1998) and Lehmann et al. (2006) within their uncertainties; the period appears to be constant over the past 17 years (see Fig. 2 and Table 1). The nonzero shift
![]() |
Figure 3: Shapes of the normalised light curves of HR 7224 before 2000 (solid lines) and after 2000 (dashed lines). The outer light lines demarcate the uncertainty in the course of the light curves. |
| Open with DEXTER | |
The parameters a1, a2, which describe the shape of the
normalised function
(Eq. (2)) show some minor differences before and after the year 2000:
| a1=0.610(10); | a2=0.084(12); | ||
| a1=0.560(13); | a2=0.018(15). | (4) |
If real, this means that the secondary maximum of HR 7224 has been decreasing in brightness while the two minima have become nearly identical. It should be noted that the time dependence of parameters
Changes in the shape of light curves are very rare among CP stars: the only star with well-documented light curve variations is the rapidly rotating silicon CP star 56 Arietis. The light curve variations are accompanied by a steady lengthening of the stellar period (Adelman et al.2001; Ziznovský et al.2000). On the other hand, in the most rapidly braked CP star known (HD 37776), we did not find any secular changes in its light curve (Mikulásek et al.2008b). However, it is premature to speculate further on the nature of long-term light-curve variations of HR 7224 without further photometric and spectroscopic monitoring.
To compare the observed and calculated light-curve shapes and phases, we determined the shift between phases computed with our ephemeris and the ephemeris used by Lehmann et al. (2007) for surface mapping. The observed rotational variations of the silicon line equivalent widths demonstrated that Lehmann's phases precede ours by 0.1955(25). We have corrected for this phase difference in our analysis of the elemental surface distributions.
3 Calculation of the light curve
3.1 Stellar parameters
The stellar parameters of HR 7224 adopted in this study, as well as the
abundances of silicon and iron derived from the abundance maps
(see Fig. 4) and the abundance of helium are taken from
Lehmann et al. (2006,2007).
The abundances are relative to hydrogen,
.
Note that the abundances used by Lehmann et al. (2006,2007) are defined slightly
differently as
.
Table 2: Stellar parameters of HR 7224.
![]() |
Figure 4: Observed distribution of silicon ( left) and iron ( right) on the visible surface of HR 7224 at different rotational phases (Lehmann et al.2007). Phases were calculated with the parameters given in Eq. (3). |
| Open with DEXTER | |
3.2 Model atmospheres and synthetic spectra
We used the code TLUSTY (Lanz & Hubeny2003; Hubeny & Lanz1992; Hubeny1988; Hubeny & Lanz1995) for the model atmosphere calculations. We computed plane-parallel model atmospheres in LTE, taking into account the atomic data suitable for B type stars (Lanz & Hubeny2007). The atomic data for silicon are taken from Mendoza et al. (1995), Butler et al. (1993), and Taylor (2008), in preparation; for iron from Kurucz (1994), Nahar (1996), Nahar (1997), Bautista & Pradhan (1997), and Bautista (1996), and for other elements from Luo & Pradhan (1989), Fernley et al. (1999), Tully et al. (1990), Peach et al. (1988), Hibbert & Scott (1994), and Nahar & Pradhan (1993).
We assumed fixed values of the effective temperature and surface gravity and
adopted models with a generic value
.
We assumed the number density of helium relative to hydrogen to be
(Lehmann et al.2007). The abundance of silicon
and iron differed in individual models as explained below. We used the solar
abundance of other elements according to Asplund et al. (2005).
For the spectrum synthesis (from which we calculate the photometric colours), we
used the SYNSPEC code. We took into account the same transitions as for the
model atmosphere calculations, and we also included the lines of all elements
with the atomic number
not included in the model atmosphere
calculation. We computed angle-dependent intensities for 20 equidistantly
spaced values of
,
where
is the angle between the
normal to the surface and the line of sight.
The model atmospheres and angle-dependent intensities
were
calculated for a two-parametric grid of silicon and iron abundances
,
-3.5,
-3.0, -2.5, and -2.0, and
,
-4.0,
-3.5, and -3.0.
3.3 Phase dependent magnitude
The radiative flux observed at the distance D from the star with radius R* in a colour c is calculated as
where the intensity
![]() |
(6) |
The transmissivity function
of a given filter cof the Strömgren and
photometric systems is
approximated for simplicity by a Gauss function that peaks at the
central wavelength of the colour
with dispersion
(see Table 3).
The values for the uvby (Strömgren) photometric system are taken from
Cox (2000). Values for the
system (colours g1 and g2) are
taken from Kupka et al. (2003).
Table 3: Central wavelengths and dispersions of the Gauss filter simulating the transmissivity functions.
The observed magnitude difference is
where fc is calculated from Eq. (5) and
4 Influence of abundance anomalies on emergent fluxes
![]() |
Figure 5:
The
dependence of temperature on the Rosseland optical depth
|
| Open with DEXTER | |
![]() |
Figure 6:
The emergent flux from atmospheres with different
silicon abundances. The flux was smoothed by a Gaussian filter with
a dispersion of |
| Open with DEXTER | |
![]() |
Figure 7:
The same as Fig. 6 but for iron. The fluxes were
calculated with TLUSTY for a silicon abundance
|
| Open with DEXTER | |
As shown in Fig. 5, the enhanced silicon abundance results in
the increase of the temperature in the continuum-forming region (within
)
of the model atmosphere. The increased
temperature is caused by enhanced silicon opacity in the model atmosphere.
To understand the contribution of bound-free and bound-bound (line)
processes to the temperature increase, we calculated model atmospheres
with enhanced silicon abundance but neglecting silicon line transitions
(see also Fig. 5). Neglecting silicon line transitions does not
significantly influence the atmospheric temperature; consequently,
enhanced opacity due to silicon bound-free transitions is the main cause
of the temperature increase.
The silicon bound-free transitions are important mainly in the
ultraviolet (UV) spectral regions at wavelengths shorter than
1600 Å. In atmospheres with overabundant silicon, the short-wavelength
part of the spectrum is redistributed to the longer wavelengths of
the UV spectrum, and also to the visible spectral regions
(see Fig. 6). Consequently, the silicon-rich spots are bright
in the uvby colours and are dark in the ultraviolet bands with
Å.
A similar situation occurs for iron overabundance. Enhanced iron
abundance leads to an increased temperature in the continuum-forming
region between
and
(see Fig. 5). Unlike
silicon, enhanced iron abundance warms the atmosphere above
mainly by line
transitions. On the other hand, the outermost regions
(
)
of the model with
are slightly
cooler than those with lower iron abundance. This effect is also due
to iron lines, as the temperature is higher in the model with
neglected line opacity (see also Fig. 5). A similar effect
was reported by Khan & Shulyak (2007).
The influence of iron overabundance on the spectrum is more complicated than the
influence of silicon overabundance, as shown in Fig. 7. There are
several depressions in the UV spectral region caused by numerous iron lines, but
the flux with
Å increases with increasing iron
abundance. Generally, the iron line transitions redistribute the emergent UV
radiation with
Å primarily to the long wavelength part
of the spectrum with
Å. Consequently, iron-rich regions
are bright in the uvby colours, whereas they are dark in the ultraviolet bands
with
Å.
![]() |
Figure 8:
The magnitude difference
|
| Open with DEXTER | |
These flux changes can be detected as a change in the apparent magnitude
of the star (see Fig. 8). Here we plot the relative magnitude
difference defined as
where
5 Predicted light variations
![]() |
Figure 9:
Light variations of HR 7224 calculated from the silicon
abundance maps only (dashed line) and from the iron abundance maps
only (solid line). For both cases,
|
| Open with DEXTER | |
Predicted light curves are calculated from the surface abundance maps
derived by Lehmann et al. (2007) and from the emergent fluxes computed with the
SYNSPEC code, applying Eq. (7) for individual rotational phases.
Since Lehmann et al. (2007) provide surface maps with different regularisation
parameters
,
we selected a map with
,
which is
the most detailed one, for our initial calculations.
To study the influence of silicon and iron separately, we first calculated the
light variations due to silicon only, assuming a constant iron abundance of
.
The observed light maximum occurs at the same
phase at which the silicon lines have their maximum strength (
). As
silicon rich regions are bright in visible bands, our predicted light maximum
should also occur at this phase. Indeed, there is a good agreement of both the
times of maxima and minima of our predicted light curve and the observed light
curve from Adelman (1997), though the amplitudes are different
(Fig. 9).
A similar test was performed using
only
the iron abundance map.
The silicon
abundance was assumed to be
.
The iron lines are
also observed to have their maximum strength close to phase
,
i.e.,
during observed light maximum. As the iron-rich regions are bright in the
uvby colours (see Fig. 7), the predicted light curve due to
iron abundance variations alone also has a light maximum at phase
,
in agreement with the observations. The predicted light curves due to iron
only, displayed in Fig. 9, also have lower amplitudes than
the observed ones.
![]() |
Figure 10:
Predicted light variations of HR 7224 computed
taking into account both the silicon and iron surface abundance distributions
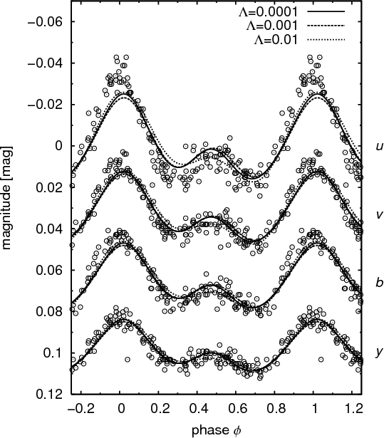
derived by Lehmann et al. (2007) for different regularisation parameters |
| Open with DEXTER | |
![]() |
Figure 11:
Predicted variations of colour indexes (solid line) calculated
from the surface abundance maps derived with
|
| Open with DEXTER | |
Including the surface distribution of both silicon and iron in the calculation
of the light curves (Fig. 10), we obtain very good agreement
between the observed and predicted light curves in the v, b and ywavelength bands. In the u band, however, the observed maximum is higher and
the first minimum is deeper than predicted. A similar situation is seen in the
colour indexes: (v-b) and (b-y) agree well with the observations while the
(u-b) curve is not a good fit, due to the differences in the u band fit
(Fig. 11). The observed Balmer discontinuity index
exhibits large scatter due to the combination of the noisy u, v and blight curves, but its variation is nonetheless in accordance with the
observations of Lehmann et al. (2007) on a possible variability of H
line.
Similarly, the
index, which reveals the effect of the metallic
bound-bound absorption in the violet when compared with the b and y regions,
shows a phase-dependence. The differences between the predicted curves of
and
and the observed ones clearly point to the existence
of an additional, unknown mechanism working in the violet band that still has to
be investigated (Fig. 10, and see also Sect. 6.1).
Thus, the inhomogeneous surface distribution of silicon and iron revealed in spectroscopic observations results in the appearance of spots on the stellar surface causing the photometric variability (see Fig. 12).
![]() |
Figure 12:
The emergent intensity (in the y band, |
| Open with DEXTER | |
6 Discussion
6.1 Detailed comparison of observed and predicted light curves
![]() |
Figure 13:
The effective amplitudes of the predicted and observed light
curves plotted versus the effective wavelengths of the various bands.
The observed light-curve amplitudes are plotted with filled circles
( |
| Open with DEXTER | |
The predicted and observed light curves differ slightly in their shapes (Fig. 10) and amplitudes (Fig. 13). The small differences in the observed vs. calculated amplitudes lead to the differences in the observed vs. calculated colour indexes, especially for c1 and m1(see Fig. 11). The difference between the observed and predicted light curves in Fig. 10 could be explained by the presence of an additional photometric spot(s) on HR 7224 caused by overabundance of other element(s). We suspect chromium or magnesium. Khan & Shulyak (2007) suggested chromium as an element capable of significant influence over the emergent flux from a star. On the other hand, Lehmann et al. (2006) found variability in the magnesium lines of HR 7224 with maximum strength occurring roughly at the same phase as the maximum difference between theory and observation in Fig. 10 (slightly before the maximum strength of silicon lines). This, along with the fact that the calculated effect of the magnesium abundance on the emergent flux has a significantly larger amplitude in the u band rather than in v, b and y, argues for magnesium as the cause of the residuals between observed and calculated light curves when considering only silicon and iron. Note however, that the maximum magnesium abundance derived by Lehmann et al. (2006) without surface mapping is too small to affect the spectral energy distribution significantly. The same is also true for helium and oxygen.
Lehmann et al. (2007) derived three abundance maps calculated with a different
regularisation parameter,
,
corresponding to a different assumed
minimum size of the surface inhomogeneities. The shapes of the light curves
calculated using the abundance maps obtained with a different value of
are similar (see Fig. 10). A detailed comparison of these curves
shows that better agreement between theory and observation is obtained for the
most complex surface map, i.e., for
.
However, the difference
between observed and predicted light curves is significantly larger than the
difference among the individual predicted curves calculated with different
values of
.
6.2 Model assumptions
There are several effects that can influence the predicted light curves (see Krticka et al. 2007 for a more detailed discussion). For example, NLTE effects may influence the continuum flux distribution, but since HR 7224 surface maps were derived using LTE models, we confine ourselves to LTE models only. Strong surface magnetic field also influences the emergent spectral energy distribution (e.g., Khan & Shulyak2006). However, as all available measurements of surface magnetic field are negative and the corresponding upper limit is too low to signicantly influence the emergent flux, we neglect the influence of magnetic field.
HR 7224 is classified as a helium-weak chemically peculiar star, so a question
could arise concerning the effect of the uneven surface distribution of helium
on the light curve. In Krticka et al. (2007) we showed that helium influences the
spectral energy distribution only in the case when it is overabundant (with
respect to solar), so we neglect any possible inhomogeneous helium surface
distribution in our model. We also tested how accumulation of He in the
sub-photospheric layers affects emergent flux and draw a conclusion that for
this has no effect on the light variability.
6.3 UV variations
The redistribution of the flux from short to longer wavelengths
is one of the consequences of the proposed mechanism for light
variability in HR 7224. From our calculated model fluxes in
Figs. 6 and 7, we predict that the star should have
a flux minimum in the short-wavelength
Å part
of the spectrum during the visible light maximum and vice versa. A
similar antiphase behaviour of the short-wavelength UV and optical
light curves has been reported for other CP stars (e.g., Sokolov2006).
Unfortunately, there is no UV light curve of HR 7224 available. However, the star was observed in UV by the TD1 spacecraft (Jamar1977,1978). We note that our fluxes calculated with overabundant iron in Fig. 7 are in qualitative agreement with those observed by TD1 at different phases. In accordance with observations, the maximum UV light amplitude occurs at about 1400 Å, and the variations at this wavelength are anticorrelated with the variations in the visible. The variations at 1600-1900 Å are very small, and the variations at 2100-2300 Å are inversely correlated with that at 1400 Å. The absence of observed light variations at 2740 Å may be connected with strong iron lines in this spectral region. Finally, the observed amplitude of the light variations at 1400 Å (which is 0.24 mag, Jamar1978) is in very good agreement with those derived from our models (0.21 mag for a Gaussian filter with dispersion 50 Å).
6.4 Variations of a
The peculiarity index a introduced by Maitzen (1976) as
| a=g2-(g1+y)/2 | (9) |
is based on the existence of flux depressions (Kodaira1969) correlated with the chemical peculiarity of a given star. To test whether the peculiarity demonstrated in the a-index is indeed caused by numerous iron lines (Khan & Shulyak2007), we calculated the peculiarity index a for individual model atmospheres used in our previous calculations.
![]() |
Figure 14:
The dependence of the |
| Open with DEXTER | |
| |
Figure 15:
The light curve in |
| Open with DEXTER | |
The dependence of a on the iron and silicon abundance can be seen
in Fig. 14, where we plot the dependence of
on
.
These indices are defined relative to their
values for the model with
and
,
| (10) | |||
| (11) |
With increasing iron abundance, the
As the star rotates, surface regions with different chemical composition appear
on the visible disc and consequently
and
also vary with
rotational phase (see Figs. 11 and 15). Here we plot the
light curve calculated as described in Sect. 3.3 with filter
parameters taken from Table 3. From this plot, we can conclude that the
amplitudes of
variations are very small, on the order of
millimagnitudes.
6.5 H
line profile variations
| |
Figure 16:
The calculated variations of H |
| Open with DEXTER | |
The fact that we are able to predict the correct amplitudes of brightness
variations in both the UV and visual spectral domains from just the abundance
maps of iron and silicon supports the conclusion that the effective temperature
is constant on the surface of HR 7224. This finding weakens one of possible
explanations of Balmer lines' profile variations as summarised by Lehmann et al. (2007).
Since the effect of the Lorenz force on the line profiles is mainly on the line
wings (cf., Shulyak et al.2007), it cannot explain the line profile variability
observed in HR 7224. We tested if our model is also able to explain the observed
H
line variability. For this purpose we calculated the line profiles in
individual phases using the code developed by Skalický (2008). The code
numerically integrates the emergent intensity
over the
visible stellar surface
taking into account the Doppler shift due to
the stellar rotation. The emergent intensity from each surface point is
calculated by interpolating the synthetic spectra
for appropriate
surface abundance distribution of silicon and iron (Lehmann et al.2007). We assume fixed
effective temperature and surface gravity. The predicted phases of the maximum
line depth (Fig. 16) roughly correspond to the observed ones
(Lehmann et al.2006, Fig. 13 therein). Also the shape of the minimum at the phase
is roughly correct. However, the observed amplitude of the
minimum at the phase
seems to be a factor of about 2 higher.
We conclude that either another element has to play a role in the H
line variability, or the observed difference between observation and theory is
partially caused by noisy observational data.
7 Conclusions
We successfully simulated the light variability of HR 7224 directly from the silicon and iron surface abundance maps derived by Lehmann et al. (2007). There is very good agreement between the observed and predicted light variability in the uvby bands of the Strömgren photometric system. We did not introduce any free parameter to improve the agreement between the theoretical and observed light curves.
The rotationally modulated light variability of HR 7224 is caused by the flux redistribution due to iron line transitions, silicon bound-free transitions, and by the inhomogeneous surface distribution of these elements. This picture is also supported by the agreement between the predicted behaviour of the UV flux distribution and that observed by the TD1 satellite.
We support the conclusion of Khan & Shulyak (2007) that numerous iron lines contribute significantly to the well-known depression at 5200 Å. Moreover, we show that iron is able to influence the peculiarity index a, whereas silicon's influence is marginal. With a suitable calibration, this could enable the derivation of abundances in hot CP stars directly from photometry.
We conclude that a promising explanation for the light variations in CP stars is a flux redistribution through line and bound-free transitions combined with the inhomogeneous surface distribution of various elements.
Acknowledgements
We thank Dr. A. Tkachenko for providing us with surface maps and Drs. E. Paunzen and D. Shulyak for the discussion of this topic. This work was supported by grants GA CR 205/06/0217, GA CR 205/08/H005, VEGA 2/6036/6, MEB 080832/SK-CZ-0090-07, MEB 060807, and partly by GA CR 205/07/0031. This research made use of NASA's Astrophysics Data System, the SIMBAD database, operated at the CDS, Strasbourg, France and the on-line database of photometric observations of mCP stars (Mikulásek et al.2007a). G.W.H. acknowledges support from NASA, NSF, Tennessee State University, and the State of Tennessee through its Centers of Excellence program.
References
- Adelman, S. J. 1997, A&A, 122, 249 [NASA ADS] [CrossRef] (In the text)
- Adelman, S. J. 2004, MNRAS, 351, 823 [NASA ADS] [CrossRef] (In the text)
- Adelman, S. J., Malanushenko, V., Ryabchikova, T. A., & Savanov, I. 2001, A&A, 375, 982 [NASA ADS] [CrossRef] [EDP Sciences]
- Asplund, M., Grevesse, N., & Sauval, A. J. 2005, Cosmic Abundances as Records of Stellar Evolution and Nucleosynthesis, ed. T. G. Barnes III, & F. N. Bash (San Francisco: ASP), ASP Conf. Ser., 336, 25 (In the text)
- Bautista, M. A. 1996, A&AS, 119, 105 [NASA ADS] [CrossRef] [EDP Sciences] (In the text)
- Bautista, M. A., & Pradhan, A. K. 1997, A&AS, 126, 365 [NASA ADS] [CrossRef] [EDP Sciences] (In the text)
- Bohlender, D. A., Landstreet, J. D., & Thompson, I. B. 1993, A&A, 413, 273
- Butler, K., Mendoza, C., & Zeippen, C. J. 1993, J. Phys. B, 26, 4409 [NASA ADS] [CrossRef] (In the text)
- Cowley, A., Cowley, C., Jaschek, M., et al. 1969 AJ, 74, 375 (In the text)
- Cox, A. N. 2000, Astrophysical Quantities (New York: AIP Press) (In the text)
- Eaton, J. A., Henry, G. W., & Fekel, F. C. 2003, in The Future of Small Telescopes in the New Millennium, Vol. II, The Telescopes We Use, ed. T. D. Oswalt (Dordrecht: Kluwer), 189 (In the text)
- ESA 1997, The Hipparcos and Tycho Catalogs, SP-1200 (In the text)
- ESA 1998, The Hipparcos and Tycho Catalogs, Celestia 2000, SP-1220 (In the text)
- Fernley, J. A., Hibbert, A., Kingston, A. E., & Seaton, M. J. 1999, J. Phys. B, 32, 5507 [NASA ADS] [CrossRef] (In the text)
- Henry, G.W. 1995a, in Robotic Telescopes: Current Capabilities, Present Developments, and Future Prospects for Automated Astronomy, ed. G. W. Henry, & J. A. Eaton (San Francisco: ASP), ASP Conf. Ser., 79, 37
- Henry, G. W. 1995b, in Robotic Telescopes: Current Capabilities, Present Developments, and Future Prospects for Automated Astronomy, ed. G. W. Henry, & J. A. Eaton (San Francisco: ASP), ASP Conf. Ser., 79, 44
- Hibbert, A., & Scott, M. P. 1994, J. Phys. B, 27, 1315 [NASA ADS] [CrossRef] (In the text)
- Hubeny, I. 1988, Comput. Phys. Commun., 52, 103 [NASA ADS] [CrossRef]
- Hubeny, I., & Lanz, T. 1992, A&A, 262, 501 [NASA ADS]
- Hubeny, I., & Lanz, T. 1995, ApJ, 439, 875 [NASA ADS] [CrossRef]
- Jamar, C. 1977, A&A, 56, 413 [NASA ADS]
- Jamar, C. 1978, A&A, 70, 379 [NASA ADS]
- Khan, S. A., & Shulyak, D. V. 2006, A&A, 454, 933 [NASA ADS] [CrossRef] [EDP Sciences] (In the text)
- Khan, S. A., & Shulyak, D. V. 2007, A&A, 469, 1083 [NASA ADS] [CrossRef] [EDP Sciences] (In the text)
- Khokhlova, V. L., Vasilchenko, D. V., Stepanov, V. V., & Romanyuk, I. I. 2000, AstL, 26, 177 [NASA ADS] (In the text)
- Kochukhov, O., Khan, S., & Shulyak, D. 2005, A&A, 433, 671 [NASA ADS] [CrossRef] [EDP Sciences] (In the text)
- Kodaira, K. 1967, Ann. Tokyo Astr. Obs., 10, 157 [NASA ADS]
- Kodaira, K. 1969, ApJ, 157, L59 [NASA ADS] [CrossRef] (In the text)
- Krivosheina, A. A., Ryabchikova, T. A., & Khokhlova, V. L. 1980, Nauchnye Informatsii, Ser. Astrof., 43, 70 (In the text)
- Krticka, J., Mikulásek, Z., Zverko, J., & Ziznovský, J. 2007, A&A, 470, 1089 [NASA ADS] [CrossRef] [EDP Sciences] (In the text)
- Kupka, F., Paunzen, E., & Maitzen, H. M. 2003, MNRAS, 341, 849 [NASA ADS] [CrossRef] (In the text)
- Kupka, F., Paunzen, E., Iliev, I. Kh., & Maitzen, H. M. 2004, MNRAS, 352, 863 [NASA ADS] [CrossRef]
- Kurucz, R. L. 1994, Kurucz CD-ROM 22, Atomic Data for Fe and Ni (Cambridge: SAO) (In the text)
- Landstreet, J. D., & Borra, E. F. 1978, ApJL, 224, 5 [NASA ADS] [CrossRef]
- Lanz, T., & Hubeny, I. 2003, ApJS, 146, 417 [NASA ADS] [CrossRef]
- Lanz, T., & Hubeny, I. 2007, ApJS, 169, 83 [NASA ADS] [CrossRef] (In the text)
- Lanz, T., Artru, M.-C., Le Dourneuf, M., & Hubeny, I. 1996, A&A, 309, 218 [NASA ADS]
- Lehmann, H., Tsymbal, V., Mkrtichian, D. E., & Fraga, L. 2006, A&A, 457, 1033 [NASA ADS] [CrossRef] [EDP Sciences] (In the text)
- Lehmann, H., Tkachenko, A., Fraga, L., Tsymbal, V., & Mkrtichian, D. E. 2007, A&A, 471, 941 [NASA ADS] [CrossRef] [EDP Sciences] (In the text)
- Luo, D., & Pradhan, A. K. 1989, J. Phys. B, 22, 3377 [NASA ADS] [CrossRef] (In the text)
- Maitzen, H. M. 1976, A&A, 51, 223 [NASA ADS] (In the text)
- Mendoza, C., Eissner, W., Le Dourneuf, M., & Zeippen, C. J. 1995, J. Phys. B, 28, 3485 [NASA ADS] [CrossRef] (In the text)
- Michaud, G. 2005, in The A-Star Puzzle, ed. J. Zverko, J. Ziznovský, S. J. Adelman, & W. W. Weiss (Cambridge: Cambridge Univ. Press), IAU Symp., 224, 173 (In the text)
- Mikulásek, Z., Janík, J., Zverko, J., et al. 2007a, Astron. Nachr., 328, 10 [NASA ADS] [CrossRef] (In the text)
- Mikulásek, Z., Krticka, J., Zverko, J., et al. 2007b, in Physics of Magnetic Stars, ed. I. I. Romanyuk, & D. O. Kudryavtsev, SAO, Nizhnij Arkhyz, 300
- Mikulásek, Z., Gráf, T., Krticka, J., et al. 2008a, CAOSP, 38, 363 (In the text)
- Mikulásek, Z., Krticka, J., Henry, G. W., et al. 2008b, A&A, 485, 585 [NASA ADS] [CrossRef] [EDP Sciences] (In the text)
- Molnar, M. R. 1972, ApJ, 175, 453 [NASA ADS] [CrossRef] (In the text)
- Molnar, M. R. 1973, ApJ, 179, 527 [NASA ADS] [CrossRef] (In the text)
- Nahar, S. N. 1996, Phys. Rev. A, 53, 1545 [NASA ADS] [CrossRef] (In the text)
- Nahar, S. N. 1997, Phys. Rev. A, 55, 1980 [NASA ADS] [CrossRef] (In the text)
- Nahar, S. N., & Pradhan, A. K. 1993, J. Phys. B, 26, 1109 [NASA ADS] [CrossRef] (In the text)
- Nakajima, R. 1985, Ap&SS, 116, 285 [NASA ADS]
- Peach, G., Saraph, H. E., & Seaton, M. J. 1988, J. Phys. B, 21, 3669 [NASA ADS] [CrossRef] (In the text)
- Peterson, D. M. 1970, ApJ, 161, 685 [NASA ADS] [CrossRef]
- Seaton, M. J., Zeippen, C. J., Tully, J. A., et al. 1992, Rev. Mex. Astron. Astrofis., 23, 19 [NASA ADS] (In the text)
- Shaham, J. 1986, ApJ, 310, 780 [NASA ADS] [CrossRef]
- Shulyak, D., Valyavin, G., Kochukhov, O., et al. 2007, A&A, 464, 108 [CrossRef] (In the text)
- Skalický, J. 2008, Diploma Thesis, Masaryk University, Brno (In the text)
- Smith, M. A., & Groote, D. 2001, A&A, 372, 208 [NASA ADS] [CrossRef] [EDP Sciences]
- Sokolov, N. A. 2006, MNRAS, 373, 666 [NASA ADS] [CrossRef] (In the text)
- Townsend, R. H. D., Owocki, S. P., & Groote D. 2005, ApJ, 630, L81 [NASA ADS] [CrossRef]
- Tully, J. A., Seaton, M. J., & Berrington, K. A. 1990, J. Phys. B, 23, 3811 [NASA ADS] [CrossRef] (In the text)
- Vauclair, S. 2003, Ap&SS, 284, 205 [NASA ADS] [CrossRef] (In the text)
- Weiss, W. W., Albrecht, R., & Wieder, R. 1976, A&A, 47, 423 [NASA ADS]
- Winzer, J. E. 1974, Ph.D. Thesis, Univ. Toronto (In the text)
- Ziznovský, J., Schwartz, P., & Zverko, J. 2000, IBVS, 4835
Footnotes
- ... 7224
- New obtained light curves are only available in electronic form at the CDS via anonymous ftp to cdsarc.u-strasbg.fr (130.79.128.5) or via http://cdsweb.u-strasbg.fr/cgi-bin/qcat?J/A+A/499/567
- ... intensities
- Note that the SYNSPEC code outputs the specific intensities per unit frequency (not per unit wavelength).
- ... transitions
- Note that the resonance structure of silicon bound-free transitions was included in this test.
All Tables
Table 1: O-C derived from photometry and spectroscopy of HR 7224. s denotes standard deviation in mmags.
Table 2: Stellar parameters of HR 7224.
Table 3: Central wavelengths and dispersions of the Gauss filter simulating the transmissivity functions.
All Figures
![]() |
Figure 1:
Photometric observations of HR 7224 plotted as a function
of the new linear phase in Eq. (3). Data are from Winzer (1974),
|
| Open with DEXTER | |
| In the text | |
![]() |
Figure 2: O-C diagram of HR 7224 computed with the new linear ephemeris in Eq. (3). The open star represents the observations of Winzer, the filled diamond corresponds to the Hipparcos measurements, the filled circles are from the two seasons of observations by Adelman, and the filled square gives the result of the BV observations in this paper. The solid line denotes the line of constant period and the dotted line is the uncertainty. |
| Open with DEXTER | |
| In the text | |
![]() |
Figure 3: Shapes of the normalised light curves of HR 7224 before 2000 (solid lines) and after 2000 (dashed lines). The outer light lines demarcate the uncertainty in the course of the light curves. |
| Open with DEXTER | |
| In the text | |
![]() |
Figure 4: Observed distribution of silicon ( left) and iron ( right) on the visible surface of HR 7224 at different rotational phases (Lehmann et al.2007). Phases were calculated with the parameters given in Eq. (3). |
| Open with DEXTER | |
| In the text | |
![]() |
Figure 5:
The
dependence of temperature on the Rosseland optical depth
|
| Open with DEXTER | |
| In the text | |
![]() |
Figure 6:
The emergent flux from atmospheres with different
silicon abundances. The flux was smoothed by a Gaussian filter with
a dispersion of |
| Open with DEXTER | |
| In the text | |
![]() |
Figure 7:
The same as Fig. 6 but for iron. The fluxes were
calculated with TLUSTY for a silicon abundance
|
| Open with DEXTER | |
| In the text | |
![]() |
Figure 8:
The magnitude difference
|
| Open with DEXTER | |
| In the text | |
![]() |
Figure 9:
Light variations of HR 7224 calculated from the silicon
abundance maps only (dashed line) and from the iron abundance maps
only (solid line). For both cases,
|
| Open with DEXTER | |
| In the text | |
![]() |
Figure 10:
Predicted light variations of HR 7224 computed
taking into account both the silicon and iron surface abundance distributions
derived by Lehmann et al. (2007) for different regularisation parameters |
| Open with DEXTER | |
| In the text | |
![]() |
Figure 11:
Predicted variations of colour indexes (solid line) calculated
from the surface abundance maps derived with
|
| Open with DEXTER | |
| In the text | |
![]() |
Figure 12:
The emergent intensity (in the y band, |
| Open with DEXTER | |
| In the text | |
![]() |
Figure 13:
The effective amplitudes of the predicted and observed light
curves plotted versus the effective wavelengths of the various bands.
The observed light-curve amplitudes are plotted with filled circles
( |
| Open with DEXTER | |
| In the text | |
![]() |
Figure 14:
The dependence of the |
| Open with DEXTER | |
| In the text | |
| |
Figure 15:
The light curve in |
| Open with DEXTER | |
| In the text | |
| |
Figure 16:
The calculated variations of H |
| Open with DEXTER | |
| In the text | |
Copyright ESO 2009
Current usage metrics show cumulative count of Article Views (full-text article views including HTML views, PDF and ePub downloads, according to the available data) and Abstracts Views on Vision4Press platform.
Data correspond to usage on the plateform after 2015. The current usage metrics is available 48-96 hours after online publication and is updated daily on week days.
Initial download of the metrics may take a while.


![\begin{figure}
\par\includegraphics[width=9cm,clip]{1123fig2.eps}
\end{figure}](/articles/aa/full_html/2009/20/aa11123-08/Timg49.png)
![\begin{figure}
\par\includegraphics[width=9cm,clip]{1123fig3.eps}\end{figure}](/articles/aa/full_html/2009/20/aa11123-08/Timg60.png)














