| Issue |
A&A
Volume 499, Number 2, May IV 2009
|
|
|---|---|---|
| Page(s) | 483 - 501 | |
| Section | Galactic structure, stellar clusters, and populations | |
| DOI | https://doi.org/10.1051/0004-6361/200811497 | |
| Published online | 27 March 2009 | |
Composition of the galactic center star cluster
Population analysis from adaptive optics narrow band
spectral energy distributions![[*]](/icons/foot_motif.png)
R. M. Buchholz1 - R. Schödel2,1 - A. Eckart1,3
1 - I. Physikalisches Institut, Universität zu Köln,
Zülpicher Str. 77, 50937 Köln, Germany
2 - Instituto de Astrofísica de Andalucía (IAA)-CSIC, Camino Bajo de
Huétor 50, 18008 Granada, Spain
3 -
Max-Planck-Institut für Radioastronomie,
Auf dem Hügel 69, 53121 Bonn, Germany
Received 10 December 2008 / Accepted 17 March 2009
Abstract
Context. The GC is the closest galactic nucleus, offering the unique possibility of studying the population of a dense stellar cluster surrounding an SMBH.
Aims. The goals of this work are to develop a new method of separating early and late type stellar components of a dense stellar cluster based on narrow band filters, applying it to the central parsec of the GC, and conducting a population analysis of this area.
Methods. We use AO assisted observations obtained at the ESO VLT in the NIR H-band and 7 intermediate bands covering the NIR K-band. A comparison of the resulting SEDs with a blackbody of variable extinction then allows us to determine the presence and strength of a CO absorption feature to distinguish between early and late type stars.
Results. This new method is suitable for classifying K giants (and later), as well as B2 main sequence (and earlier) stars that are brighter than 15.5 mag in the K band in the central parsec. Compared to previous spectroscopic investigations that are limited to 13-14 mag, this represents a major improvement in the depth of the observations and reduces the needed observation time. Extremely red objects and foreground sources can also be reliably removed from the sample. Comparison to sources of known classification indicates that the method has an accuracy of better than
87%. We classify 312 stars as early type candidates out of a sample of 5914 sources. Several results, such as the shape of the KLF and the spatial distribution of both early and late type stars, confirm and extend previous works. The distribution of the early type stars can be fitted with a steep power law (
), alternatively with a broken power law,
,
,
since we find a drop in the early type density at
10
.
We also detect early type candidates outside of 0.5 pc in significant numbers for the first time. The late type density function shows an inversion in the inner 6
,
with a power-law slope of
.
The late type KLF has a power-law slope of
,
closely resembling the KLF obtained for the bulge of the Milky Way. The early type KLF has a much flatter slope of (
). Our results agree best with an in-situ star formation scenario.
Key words: Galaxy: center - stars: early-type - stars: late-type - infrared: stars
1 Introduction
The Galactic center (GC) contains the densest star cluster in the
Galaxy with a
supermassive black
hole at its dynamical center
(Schödel et al. 2002; Ghez et al. 2008; Eckart et al. 2002; Gillessen et al. 2009; Schödel et al. 2003; Ghez et al. 2003). Around
the black hole, the projected distribution of the stars can best be
described by a broken power law (break radius
,
all values given here are projected radii), with a power-law
slope of
within the break radius and
towards the outside of the cluster
(Schödel et al. 2007). The Galactic center is located at a distance of
8.0 kpc
(Ghez et al. 2008; Eisenhauer et al. 2005; Groenewegen et al. 2008; Gillessen et al. 2009; Reid 1993)
from the sun. We adopt this value throughout this work.
The stellar composition of the cluster depends on the distance to the center. This has been observed first as a drop in CO absorption strength towards Sgr A* in seeing-limited observations (Allen et al. 1990; Haller et al. 1996; Sellgren et al. 1990). Two explanations have been discussed for this: a significantly lower density of late type stars in the central few arcseconds and/or the presence of a large number of bright early type stars. Adaptive optics assisted observations with high spatial resolution have shown that there is indeed an increased number of early-type stars in this region,while the relative number of late type stars decreases (Genzel et al. 2003; Eisenhauer et al. 2005; Lu et al. 2009; Paumard et al. 2006). Several authors have tried to explain this finding by collisions between stars (or between stellar mass black holes and stars), which may lead to the destruction of the envelopes of giant stars in the central region (Bailey & Davies 1999; Davies et al. 1991,1998; Dale et al. 2008; Alexander et al. 1999; Rasio & Shapiro 1990).
Several stellar populations have been detected in the central parsec: the
oldest observable objects that make up the bulk of the visible
sources outside of the innermost few arcseconds are old, metal-rich
M, K and G type giants with ages of
years. The
helium-burning red clump sources are also present, although
they have not been discussed in detail until recently
(Maness et al. 2007), because older works on the stellar population did
not reach the necessary lower magnitude limit.
A number of intermediate-bright (mag
)
stars that are
now on the AGB (Blum et al. 1996,2003; Krabbe et al. 1995) have been
produced by a star formation event
years
ago. These stars can be distinguished from late type giants by the
H2O absorption bands in their spectra that are detectable even at
low spectral resolution. Very few supergiants like IRS 7 are also
present in the central parsec.
Several objects with featureless, but very red spectra have also been detected (Becklin et al. 1978; Genzel et al. 1996; Krabbe et al. 1995), namely IRS1W, 3, 9, 10W and 21. With high-resolution imaging, most of these sources have been resolved. They are mostly associated with the mini-spiral, and can be interpreted as young and bright stars with rapid mass loss interacting with the interstellar medium in the GC, so called bowshock sources (Tanner et al. 2002; Geballe et al. 2004; Tanner et al. 2003; see also Perger et al. 2008).
In the central
0.5 pc there exists yet another distinct stellar
population: massive, young stars created in a starburst
years ago (e.g., Krabbe et al. 1995). These stars can be found, e.g.,
in the IRS 16 and IRS 13 associations (e.g.
Eckart et al. 2004; Maillard et al. 2004; Lu et al. 2005). The brightest of those
young stars have been described as stars
in a transitional phase between O supergiants and Wolf-Rayet stars
(WN9/Ofpe according to e.g. Allen et al. 1990), with high mass-loss
during this phase (Paumard et al. 2001; Morris et al. 1996; Moultaka et al. 2005; Najarro et al. 1997,1994; Krabbe et al. 1995). These stars
account for a large part of the luminosity of the central cluster and
also contribute half of the excitation/ionizing luminosity in
this region (Martins et al. 2007; Rieke et al. 1989; Paumard et al. 2006; Najarro et al. 1997; Eckart et al. 1999). Recently,
Muzic et al. (2008) have identified a co-moving group of highly
reddened stars north of IRS 13 that may be even younger objects.
Besides the most massive early type stars, a large number of OB stars
with masses of
10-60 M
have been examined by
Genzel et al. (2003); Lu et al. (2009); Paumard et al. (2006); Levin & Beloborodov (2003). At least
50% of the early-type stars in the central 0.5 pc appear to be
located within a clockwise (in projection on the sky) rotating disk,
which was first detected by Levin & Beloborodov (2003). Later,
Genzel et al. (2003); Paumard et al. (2006) claimed the existence of a second,
counter-clockwise rotating disk. A very detailed analysis by
Lu et al. (2009), based on the fitting of individual stellar orbits,
shows only one disk and a more randomly distributed off-disk
population (with the number of stars in the disk similar to that on
random orbits). Bartko et al. (2009), on the other hand, claim they at
least observe a counter-clockwise structure that could be a strongly
warped, possibly dissolving second disk. In the immediate vicinity of
Sgr A*, there is yet another distinct group of stars, which form a
small cluster of what appear to be early B-type stars
(Eisenhauer et al. 2005; Eckart et al. 1999; Ghez et al. 2003). These so-called
``S-stars'' stars are on closed orbits around Sgr A*, with velocities
of up to a few thousand km s-1 and at distances as close as a few
lightdays (Ghez et al. 2008; Eisenhauer et al. 2005; Gillessen et al. 2009; Schödel et al. 2003; Ghez et al. 2005,2003). Their
orbits have been used to determine the mass of the black hole and the
distance to the GC.
How exactly star formation can take place in the central parsec under the observed conditions is still a debated issue. Classical star formation from gas of the observed density is severely impeded by the tidal shear exerted by the black hole and the surrounding dense star cluster (Morris et al. 1993). Two scenarios are being discussed to explain the presence of the early type stars: Genzel et al. (2003); Paumard et al. (2006); Goodman (2003); Nayakshin & Cuadra (2005); Milosavljevic & Loeb (2004); Levin & Beloborodov (2003) suggest a model of in-situ star formation, where the infall and cooling of a large interstellar cloud could lead to the formation of a gravitationally unstable disk and the stars would be formed directly out of the fragmenting disk. An alternative scenario has been proposed by Kim et al. (2004); Guerkan & Rasio (2005); Gerhard (2001); McMillan & Portegies Zwart (2003); Kim & Morris (2003); Portegies Zwart et al. (2003) with the infalling cluster scenario, where the actual star formation takes place outside of the hostile environment of the central parsec. Bound, massive clusters of young stars can then be transported towards the center within a few Myr (dynamical friction in a massive enough cluster lets it sink in much more rapidly than individual stars, see Gerhard 2001). Recent data seem to favor continuous, in situ star-formation (e.g. Nayakshin & Sunyaev 2005; Lu et al. 2009; Paumard et al. 2006).
The existence of the S stars so close to Sgr A* is yet another matter, known as the ``paradox of youth'' (Ghez et al. 2003). Two explanations are discussed for the presence of these stars, though neither is satisfactory: formation out of colliding or interacting giants (Eckart et al. 1993; Genzel et al. 2003; Ghez et al. 2005,2003) or scattering from the disk of young stars (Alexander & Livio 2004).
Detailed spectroscopic studies of the stellar population in the
central parsec have so far only been conducted in the innermost few
arcseconds and on small areas in the outer regions of the cluster (see
Ghez et al. 2008; Eisenhauer et al. 2005; Paumard et al. 2006; Maness et al. 2007; Ghez et al. 2003). Here
the main limitation is that the high surface density of sources in the
GC forces the observers to use high spatial resolution observations in
order to be able to examine all but the brightest stars. However, the
field-of-view of integral field spectrometers is quite small at the
required angular resolutions (e.g., between
and
for the ESO SINFONI instrument). The aim of this work
is to provide a reliable method that allows the classification of
several thousands of stars as late or early type in the central parsec
down to a magnitude limit of 15.5. These data will then be used to
obtain constraints on the stellar population and examine the
distribution of early and late type stars. The distribution of very
red objects will also be addressed. For this, information about the
spectra of the stars is necessary. In Sect. 2.1, we present our
method of intermediate band imaging as well as the photometry and
calibration. The disadvantage of this method is the very low spectral
resolution (only 7 datapoints over the K band and one H band point)
that makes it impossible to detect any but the broadest spectral
features. Also, line-of-sight velocities cannot be measured this
way. The big advantage is the possibility to cover a large field of
view of
in a very time efficient way. The data analysis in Sects. 2.2-2.7 will be followed by a population analysis in
Sect. 3. We summarize and discuss the implications of our
results in Sect. 4.
Table 1:
Details of the observations used for this work. N is
the number of exposures that were taken with a given detector
integration time (DIT). NDIT denotes the number of integrations that
were averaged online by the read-out electronics during the
observation. The scale of all observed images is 0.027
per pixel.
2 Observation and data reduction
2.1 Observation
The observations used here were carried out with the NAOS-CONICA (NACO) instrument at the ESO VLT unit telescope 4 on Paranal in June/July 2004 and April 2006 (programs 073.B-0084(A), 073.B-0745(A), 077.B-0014(A)). We used an H band broadband filter and seven intermediate band filters (see Table 1).
The seeing varied for the different observations, within a range of
0.5 to 1.3
.
The bright supergiant IRS 7 located about 6
north of
Sgr A* was used as the guide star
for the adaptive optics (AO) correction, using the infrared
wavefront sensor. The
sky background was sampled by taking several dithered exposures of a
dark cloud near the GC, 713
west and 400
north of Sgr A*, a region
largely devoid of stars. A rectangular dither pattern was used for
most observations, while some were randomly dithered. All
images were flatfielded, sky subtracted and corrected for dead/hot pixels.
In order to be able to separate early and late type sources using the
method described in Sect. 2.7, the
photometry has to be accurate enough to clearly identify the feature
used for the classification (see Sect. 2.4). This means
that the typical photometric error should be much lower than the
typical depth of the classification feature (see Sect. 2.4
for an estimate of the required accuracy). When observing
a large field of view like in this case, a good AO correction can only
be achieved within the isoplanatic patch, a region of
10-15
for our dataset. This effect leads to a decrease of the Strehl ratio
towards the outer regions of the field (see Fig. 1). The
values shown in this figure were computed with the strehl
algorithm in the ESO eclipse software package
from the PSFs determined in
subimages of the IB227 image (with the same PSF stars that
were used in the photometry). The parameters of the
telescope (like the aperture) were also taken into account. The Strehl
values exhibit a clear trend towards lower
values at larger projected distances from the guide star.
Sources outside of the isoplanatic patch are elongated towards IRS 7. This is a problem when using PSF fitting photometry, while aperture
photometry (which is less dependent on the shape of the PSF) is faced with
the problem of crowding.
![]() |
Figure 1: The strehl ratio, a value that measures the deviation of the PSFs of the sources from an ideal PSF, decreases with the distance to the guide star. |
| Open with DEXTER | |
2.2 Photometry
In order to counter the aforementioned problems and to achieve reliable relative photometry over the entire FOV which is considerably larger than the isoplanatic patch, a two-step deconvolution process was used. Deconvolution is a good way to reduce source confusion in a crowded field, but it can only be applied satisfactorily if the PSF is very well known and uniform over the whole field. This process is described in detail in Schödel et al. (in preparation), who are using the same photometry.
The individual lists of detected stars in the filters were merged to a
common list of stars detected in all 8 filters. The number of common
sources was limited by the image with the lowest quality to
5914. This number includes almost all brighter sources (mag
16), but several extended sources (like the bowshock sources in the
northern arm of the minispiral) were not detected in all filters with
sufficiently low photometric and position
uncertainties.
2.3 Primary calibration
The primary calibration done here served a dual purpose: on the one hand, the measured counts for each source in each band were converted into a magnitude (absolute calibration). On the other hand, the bands had to be calibrated relative to each other to ensure smooth spectral energy distributions (SEDs) as they can be expected at this spectral resolution (see Fig. 3). Only very broad spectral features like CO bandheads and H2O absorption bands are expected to be observable here. Even the feature around 2.06
Atmospheric features can also influence the shape of the measured SEDs and need to
be eliminated. But the most important parameter that controls the
quality of the data turned out to be the AO performance,
which is why we did not use two of the available intermediate band
datasets (2.12 and 2.18
m).
These goals were achieved by calibrating the common list of sources with 11 known OB
stars (see Table 2 and Fig. 2) close to
Sgr A*. We adopted the classifications of Paumard et al. (2006), who
provided a list of 90 early type stars in the central parsec. Stars of
this type have some emission lines in the K band (see Fig. 3
upper right), e.g. the HeI line at 2.058
m, but these lines are
narrow enough to be negligible compared to the continuum at the
spectral resolution of our data. Thus, the spectra of these stars can be assumed to be featureless, so they can be
described by a blackbody spectrum with an effective temperature of
30 000 K. The final calibration has only a minimal dependance on the assumed
effective temperature because the Rayleigh-Jeans law is a very good
approximation for the SED of hot stars in the near-infrared
(using 20 000 K instead leads to a difference of
only 0.01 mag in the reference magnitudes). Therefore, the same
can be used for all calibration sources.
Table 2:
Early type calibration stars, used for the primary
calibration (names, types and K band magnitudes according to
Paumard et al. (2006), approximate values for
from
Allen's Astrophysical Quantities).
![]() |
Figure 2: Sources used for the primary calibration. Numbers correspond to the numbers in the common list, as also shown in Table 2. |
| Open with DEXTER | |
Extinction towards the GC is significant even in the
near-infrared. An extinction of
3.0 mag
(Scoville et al. 2003; Schödel et al., in preparation) has been measured towards the
central parsec in the K band. In order to minimize calibration
uncertainties, we used individual extinction values for each
calibration source, taken from the extinction map provided by
Schödel et al. (in preparation). Since the
extinction also depends on the wavelength, we used the
Draine (1989) extinction law to calculate an extinction value for
each band from the basic value for the K band, i.e. we assumed:
Using an extinction law with a different exponent (like
![]() |
Figure 3: Conversion of continuous spectra into template SEDs. Upper left: K4.5 giant spectrum, the crosses indicate the low resolution SED, AK = 3.3 mag. Upper right: B0 main sequence spectrum, AK = 3.3 mag. Lower left: transmission curves of IB filters. Lower right: K4.5III and B0V template SEDs with added H band datapoint calculated from effective temperature and extinction. |
| Open with DEXTER | |
![]() |
Figure 4: K band spectra of late type stars expected in the GC. The crosses mark the corresponding SEDs and the green solid line a fitted extincted blackbody. As can be seen, the CO band heads of G giants are not deep and wide enough to have much influence on the low-resolution SEDs. |
| Open with DEXTER | |
The continuous extincted blackbody spectra were converted to 8 point SEDs by
multiplying them with the transmission curve of each filter (see
Fig. 3, lower left). By comparing these theoretical
SEDs with the measured counts of the calibration stars, a calibration
factor was calculated for each filter to convert the observed counts
of each star into a magnitude. This eliminates the influence of any
atmospheric features, since they should occur in all sources and thus
also in the calibration sources. The magnitude at 2.24
m was adopted
as the Ks band magnitude of the source, since this band is the closest
available one to the center of the Ks band and not affected by
absorption features. For the classification algorithm and the
analysis, we used extinction corrected magnitudes, i.e. we modified
the measured magnitudes with the difference between the individual
extinction of each source and the average extinction. This step
eliminates the effect that the variable extinction in the observed
region has on the brightness of the sources, which is necessary since
the cutoff used for the classification depends on the brightness of
the source in question. This step also eliminates the effects of
spatially variable reddening on the derived luminosity functions. We assumed
an average extinction in the central parsec of 3.3 mag (Schödel et al. in preparation).
here,
After the primary calibration, the sources within a few arcseconds of Sgr A* show SEDs that agree very well with SEDs calculated from template spectra of typical stars (Wallace & Hinkle 1997). The optimum of the calibration is centered around the region where the primary calibration sources are located (close to Sgr A*), and not around the guide star. With increasing distance from the optimum, the SEDs appear to show systematic deviations correlated over areas of a few arcseconds size. There are unfortunately not nearly enough known early type stars over the whole field to extend our primary calibration to the whole central parsec, so an additional local calibration had to be introduced that makes use of another class of stars that are easy to identify and abundant over the whole field: horizontal branch/red clump (HB/RC) stars. We assume that almost all late type stars with Kband magnitudes between 14.5 and 15.5 are part of this population. This leaves the problem of telling apart late and early type stars. The criterion for this is the same that is later used in the final classification: the CO band depth (CBD).
2.4 CO band depth as a classification feature
Since only very broad spectral features are visible at the low
spectral resolution of our data, it is not possible to
determine the exact spectral type of every single source. The feature
used to distinguish between early and late types is the region beyond
2.24
m, where late type stars show characteristic CO band head
absorption. At the spectral resolution available here, no
individual lines or band heads are visible, but a broad
feature like the CO absorption alters the shape of the SED in the
corresponding region significantly (see Fig. 4). The presence of CO band heads causes a significant dip in the SED for wavelengths greater than 2.24
m. In general, the presence of this feature leads to the classification of
the source as a late type star with our method, while its absence makes the star an
early type candidate. We did not consider young stellar objects with
CO band head emission in our analysis. If any such objects exist
within our data, they were treated as early-type stars.
This feature also sets the limit for the required photometric accuracy:
if a late type source with a Ks band magnitude of 15.5 is expected to
show a CO bandhead feature with a depth of 0.1 mag, this
corresponds to a difference of
11% in flux at 2.36
m and
less at shorter wavelengths. Thus, the photometric error should be
significantly lower than that value, which is achieved by our method
for most sources. If the error of a single data-point exceeded 15%,
the source was excluded completely.
We determined the presence of this feature in the following way: an
extincted blackbody (
= 5000 K, but see Sect. 2.7 for the effective temperatures used in the
final iteration of the fitting process) was fitted to the first 5
data-points (
m). The extinction was
varied in a range of 0 to 8 mag in 0.1 mag steps. The best fit was chosen based on the reduced
of the fit. A third order polynomial was then fitted to the complete SED, with the first 5 data-points replaced by the fitted extincted blackbody to ensure a
smooth fit. Although it might appear that using only the highest
quality filters that are not influenced by possible additional
spectral features (like the H band and the 2.24
m filter) would
produce the best results, this would in fact be less reliable than the
method we used here. Since the GC is a very crowded stellar field,
variable AO performance and related variations of the Strehl ratio can
cause variations of the measured fluxes of stars. This can easily
lead to outliers in the data. Therefore, it is safer to use a larger
number of measurements instead of just two or three filters (see Sect. 2.7 for the special case of AGB stars with
intrinsic H2O absorption features).
For future applications of this method, we would prefer to also use the intermediate band
filter centered at 2.12
m. The data available at this wavelength had a
low Strehl ratio and thus low photometric accuracy. Using the 2.18
m filter is not advisable, since the data would be influenced
by the strong Br
emission of the minispiral
(e.g. Paumard et al. 2004). It would also
be possible to make use of the available narrow band filters to
probe regions of special interest in the spectra, e.g. Br
emission or absorption features in early type stars or the 2.20
m NaI absorption feature in late type stars. But for that, a
very careful background subtraction would be necessary to eliminate
the strong influence of the minispiral (see
e.g. Eisenhauer et al. 2005; Paumard et al. 2006, the same problem occurs
with spectroscopy). Most important would be achieving
improved photometric stability and deeper integration.
The shape of both the fitted extincted blackbody and the
third order polynomial depend on depend on the local extinction, but
the difference between the extrapolated values of the two fits at 2.36
m is only extremely weekly dependent on extinction. We tested
this by artificially reddening a typical late type SED (modeling
extinction values of 1.6-6.5 mag) and applying the fitting algorithm
to it. The resulting difference of the polynomial and the blackbody
varied by less than 0.15%, with slightly higher values for lower
extinction. Thus, we can assume that this value is independent of the
local extinction within an acceptable margin of error, which means it
can be used as a good measure for the presence and depth of CO band
heads and thus as a classification criterion. But in order to separate
early and late type stars based on this value, which we will term CO band depth (CBD) in the following, a reliable cutoff is needed.
2.5 Cutoff determination
Although one could expect from template SEDs as shown in Fig. 3 a CBD close to zero for early type sources and greater than zero for late type sources, which could be separated by a simple general cutoff, the limited signal-to-noise ratio of the data, combined with additional sources of uncertainty, such as photometric errors due to source crowding (see e.g. Ghez et al. 2008) led to considerable scatter in the CBD feature. Therefore, the CBD value of early type stars scatter to positive and negative values. But still, this value can be used as a useful tool to reliably separate early- and late-type stars statistically.
![]() |
Figure 5:
CO band depth (CBD) at 2.36 |
| Open with DEXTER | |
In order to compensate for these difficulties, we compared the CBD values of the sources classified by Paumard et al. (2006); Maness et al. (2007) that are also present in our dataset. As can be seen in Fig. 5, the early- and late-type sources mostly fall into separate regions when we plot the stellar magnitude vs. the CBD value. However, there are some (less than 5%) late-type sources present in the early-type region and vice versa. This makes it impossible to use a single smooth cutoff line, let alone a single cutoff value for the whole magnitude range.
![]() |
Figure 6:
CO band depth at 2.36 |
| Open with DEXTER | |
Almost all spectroscopically identified
early-type sources are concentrated in the innermost
12.9
.
Therefore, two different smooth cutoff lines were calculated:
one that reliably separates all known early and late type sources in
the inner 0.5 pc, and one for the outer regions that encompassed the
known late type sources there (see Fig. 5). This
ensures a more reliable detection of early type stars in the outer
region (where the early type density is at best very low). The cutoff
line based on the early-type stars will underestimate the number of
early type stars, just as using the less strict cutoff based on the
late-type stars might overestimate the number of early type stars. Use
of both cutoff lines allows us to estimate the uncertainty of this
method.
![]() |
Figure 7:
Two examples for the effects of the local calibration. Upper right: source fitted as early type, but the SED is noisy which is reflected in the |
| Open with DEXTER | |
We were able to achieve a clear separation of the reference sources with this two-cutoff-method, except a few outliers and noisy sources (see Sect. 3.2).
The theoretical lower magnitude limit of this method is determined by
the presence of deep enough CO band heads so that the CBD significantly
exceeds the photometric uncertainties. This was determined from the
Wallace & Hinkle (1997) spectra to be the case for M, K and brighter
G giants, corresponding to
15.5-16 mag at the distance and
extinction towards the GC. Fainter G giants and early type stars
fainter than B2 have almost identical CBD values (see
Fig. 4). The comparison with published spectroscopic
identifications and the shape of the CBD vs. magnitude plot
(Fig. 6) justified the adoption of a magnitude limit of 15.5.
2.6 Local calibration
With a classification criterion and a reliable cutoff in place, we were able to apply a local calibration that significantly improved the results.Previously published K band luminosity functions of the central parsec (e.g. Genzel et al. 2003; Schödel et al. 2007; Maness et al. 2007) have shown that the magnitude range of 14.5 to 15.5 is dominated by HB/RC stars outside of the innermost arcsecond. In addition, the density of early type stars decreases steeply outside of the innermost arcsecond (Genzel et al. 2003; Lu et al. 2009; Paumard et al. 2006). So even without knowing the exact type of every source in this magnitude range, they can be used as calibration sources assuming a typical late type SED. This template was determined as the average SED of 14 manually selected late type reference stars (see Table 4) close to the optimum of the calibration. These stars were selected based on the similarity of their SEDs to the expected shape.
After this, the HB/RC sources in the whole field except the innermost
2
were selected based on two criteria: an extinction-corrected
magnitude between 14.5 and 15.5 and a CBD value above the cutoff. The SEDs of these sources were compared to
the template HB/RC SED corrected for the determined individual
extinction value. This yielded a calibration factor for each source in
each band. Due to the uniform distribution of HB/RC sources over the
field, these values map the local deviations and can be used to
calibrate the SEDs of all sources. The calibration factors were
checked for outliers first. If a calibration factor exceeded the
median over the closest 20 sources by more than 3
,
it was
replaced by that median. On average, 20 sources are contained within
an area of
2
2
,
depending on the position in the
field. This already leads to a spatial resolution of
2
.
The
factors were then processed into 8 calibration maps by smoothing the
raw maps with a Gaussian with a 2
FWHM (see Fig. 8).
The final cutoff to be used in the actual classification procedure was calculated in the same way as described in Sect. 2.5, but with the locally calibrated values for the reference sources. This turned out to be a minor adjustment, so the local calibration process did not have to be reiterated.
This local calibration eliminates most systematic local deviations and allows a more reliable classification of the sources towards the outer edges of the field (see Fig. 7).
2.7 Source classification
The fitting process described in Sect. 2.4 was repeated on the calibrated data. The extinction, CBD, theWe separated our sample of 5914 stars into the following classes:
- 1.
- Noisy sources: if the reduced
of a source was higher
than 1.5, we rated this source as too noisy for classification (334 sources). The cutoff of 1.5 was chosen because it excludes the 5% most noisy
sources.
- 2.
- Foreground sources: these stars are not part of the population of the central parsec and have to be removed prior to any analysis. They are easily recognizable by their low fitted extinction value. Every source with a fitted extinction of less than 2 mag was rated as a foreground source here and excluded. 58 sources were classified as foreground sources.
- 3.
- Very red objects: several very strongly reddened objects (like e.g. IRS 3) can be observed in the field. Their SEDs are influenced by other effects in addition to their intrinsic stellar features, e.g. dust shells and bow-shocks. These sources were also excluded from the further analysis since they cannot be compared easily to normal early or late type stars. We rated every source with a fitted extinction of more than 5 mag as such an object (24 sources). The high fitted extinction here is just a selection criterion that results from our algorithm. The real extinction toward the sources cannot been determined because of the unknown intrinsic SED of the very red objects.
- 4.
- Early type sources (quality 1-3): the CBD of every source
brighter than 16 mag (extinction corrected) was compared to
the applicable cutoff: sources closer than 11.9
were compared to
the inner cutoff, while any source further away than 11.9
was
compared to the outer cutoff. Sources with a CBD below the cutoff
were rated as preliminary early type candidates and fitted again with
K which comes much closer to the actual effective temperatures
of early type stars than the 5000 K that were
used in the initial fit. A 30 000 K blackbody has a flatter slope in
this wavelength regime than a 5000 K blackbody, so the fitted
extinction and the CBD that results from the fit also differ.
The updated CBD value was compared to the cutoff again. Only sources
brighter than 15.5 mag (extinction corrected) were
considered. The extinction fitted in this iteration exceeded the
previous value by up to
0.5 due to the flatter slope of the
blackbody. This explains the higher magnitude cutoff used in the
first step. A classification of fainter sources is not possible with this
method, because the depth of the CO band head feature becomes too
shallow (Wallace & Hinkle 1997). If the CBD was more than 3
lower than the cutoff and the SED was not too noisy
(reduced
1.5), the source was rated as an
early type with quality 1 (highest quality, 277 sources). If CBD was
between 2 and 3
lower than the cutoff, the source was rated
as an early type with quality 2 (25 sources). Sources with a CBD 1-2
below the cutoff were rated as early type quality 3 (10
sources).
![\begin{figure}
\par\includegraphics[angle=-90,width=16.1cm,clip]{1497fg8.eps}\end{figure}](/articles/aa/full_html/2009/20/aa11497-08/Timg50.png)
Figure 8: Examples of the calibration maps used for local calibration (see Sect. 2.6) in the 8 bands. Left: 2.00
m. Right: 2.33
m. A central region with a radius of 2
was excluded, the
calibration factors were set to 0 there. Residuals of the
rectangular dither pattern that was applied in the
observations can be seen in the calibration maps.Open with DEXTER - 5.
- Late type sources (quality 1-2): all other sources that did not
meet the cutoff criterion to qualify as an early type candidate were
fitted again with
K. This value is typical for the
expected late type giants. This again resulted in different
extinction and CBD values. The uncertainties of the CBD and the reduced
of the fit were calculated in the same way as for the early
type stars. If the CBD exceeded the cutoff by more than 1
and the magnitude of the source was brighter than 15.5, the source was
rated as a late type star, quality 1 (2955 sources), the others were
rated as late type, quality 2 (2231 sources). The late type quality
2 sources are neglected in the analysis of the late type population,
since our method does not provide a clear identification any more.
- 6.
- AGB stars: AGB stars are among the brightest sources in the
field. Due to their prominent H2O absorption feature, they are
usually fitted with a too flat blackbody/polynomial: the
absorption feature leads to a higher magnitude at 2.00 and 2.06
m
that drags the fitted blackbody and the polynomial
``down''. This can lead to a CBD below the cutoff and a classification as an early type star. To counter
this effect, all sources were checked whether or not these two
data-points were more than 1
below the fitted blackbody. If
that was the case, the fitting was repeated without them. When the
resulting classification changed, we adopted the updated class as
the better result. We did not deem it necessary to put these objects
in a separate sub-category, but we see this modification as a way to
further improve the classification of early type stars and remove
false candidates. Source 1049 is a good example for this effect,
especially since it has been identified spectroscopically as a late
type source by Maness et al. (2007). This addition to the algorithm
resulted in 8 less candidates for early type stars in total, which
does not have a big impact on our results as a whole, although it
has a noticeable effect on the density distribution in the outer region
of the observed area.
Table 3: Stellar types expected to be observable in the central parsec, considering the distance and the extinction towards the GC. Values taken from Allen's Astrophysical Quantities, the types shown here are the ones presented in that work that fall into the observational limits for the central parsec.
Table 4: Stars close to Sgr A* used to create the HB/RC template. All these sources were classified as late type by our algorithm, which is another self-consistency test.
Using only two different values for
to fit early and late
type candidates turned out to be sufficient, since the variations in
the fitted extinction stayed within
mag when we used the
minimum resp. maximum values for
as shown in
Table 3 for the respective classes of objects. We
only determined the extinction in steps of 0.1 mag in the first
place, so we considered this slight uncertainty acceptable.
3 Results and discussion
3.1 Stellar classification
In total, 3349 of 5914 sources have been classified as either early type, late type, foreground or very red sources. 2231 of the remaining sources are too faint to allow a reliable classification with our method, although they can be assumed to be mostly late type sources. The SEDs of 334 sources were too noisy and have been excluded by the classification algorithm.
Unless otherwise indicated, all results shown here are based on the sources with an extinction corrected magnitude brighter than 15.5 (see Eq. (2)). Foreground sources have also been excluded (58 in total), since they do not belong to the population of the central parsec. Very red objects (24 sources) have also not been included in the number of early or late type stars, but have been treated as an extra class of objects. Objects in this class can be of different type: highly extincted background objects (and thus not very relevant for an analysis of the central parsec), sources with dusty envelopes, e.g. IRS 3 (Pott et al. 2008), young stars, whose strong winds interact with the interstellar medium in the form of bow-shocks (Tanner et al. 2002,2003), or even candidates for young stellar objects (Muzic et al. 2008) (examples for the SEDs of these sources are shown in Fig. 18). Table 5 lists the stars in each (sub)category, while Fig. 10 shows the spatial distribution of the classified sources.
Table 5: Stars classified in the GC using the method described in Sect. 2.7.
3.2 Comparison with spectroscopic results and uncertainty estimation
We compared the results of our classification to the lists of spectroscopically classified sources provided by Paumard et al. (2006) and Maness et al. (2007). The list published by Paumard et al. (2006) contains 90 early type stars, 78 of which were contained in our list of common sources. This discrepancy can be explained by the nature of the observations used here (different observation dates for the individual filters, 2 years between H band and IB observations, different quality of the datasets), some sources (especially fast moving objects like S2) were not detected at the same position in every image, not detected through all filters or excluded due to too large photometric uncertainties and thus did not make it on the common list. The same effects are probably relevant for the 329 sources classified by Maness et al. (2007), while in addition, parts of this sample are outside of the area covered by our data. We only used the 266 sources that are also present in our dataset for comparison.
67 of the 78 known early type sources were also classified as early type
here, 7 had too noisy SEDs and 4 were classified as late type. Of
these 4 sources, 3 are borderline cases where a clear identification
is very difficult with our method (sources 224, 612 and 1772
resp. E36, E89 and E7 in the Paumard list).
Source 3778 (E37 in the
Paumard list) shows a clear CO absorption feature. Paumard et al. (2006)
classify this source as a potential O8-9 supergiant, but at the same
time give it a K band magnitude of 14.8 and an absolute magnitude of
-3.3. This is inconsistent with our expectations, since such a source
should be at least two magnitudes brighter (see
Table 3). We therefore ignore this source for the
uncertainty estimation. This leads us to 3 out of 77 sources
classified erroneously and 7 out of 77 sources not classified, which
corresponds to
respectively
.
A few well known sources
like IRS 16SW and IRS 15NE have noisy SEDs, which in the case of IRS 16SW
is probably due to the intrinsic variability of that source. But in general,
noisy SEDs mostly stem from problems with the photometry: here, too faint or
saturated sources are the biggest issues.
Since the known early type sources are concentrated in the inner 0.5 pc, these values can be adopted as the uncertainties of the number of early type stars in the innermost few arcseconds identified in this work.
258 of the 266 known late type
sources have been classified as late types by our method. The SEDs of
7 sources were too noisy and one was classified as early type (source
363, 96 in Maness list). Source 363 does not show a clear CO feature
despite being bright enough, and a comparison of the Maness and
Paumard lists shows that there is an early type source 0.17
from its position
(assuming that the positions given in these works use the same reference frame). In the imaging data that we
have used for this work, there is only a single source present at
the location of source E87 (Paumard) resp. 96 (Maness). It appears
sufficiently isolated to rule out confusion with another
source. This leads us to the assumption that Paumard et al. (2006) and
Maness et al. (2007) are looking at the same source there, but classify
it differently.
In order to derive an upper limit for the
uncertainty and thus the confidence in our method, we assume one
erroneous classification in the area covered by the SINFONI
observations. In this region (north of Sgr A*, mostly outside of 0.5
pc), we find a total number of 11 sources classified as early type,
including the one star of disputed type. If we assume one of these
classifications to be erroneous, this leads us to an uncertainty of
9% for our number of early type stars outside of 0.5 pc. We
consider this an acceptable level of confidence, considering the low
density of early type stars we measure this far out.
To be on the
conservative side, we adopt this value,
,
as the uncertainty
of the total number of all early type stars, i.e. in the entire
field of view. It has to be considered, however, that the low total
number of sources available for the determination of this uncertainty
level limits the confidence in it.
3.3 Structure of the cluster
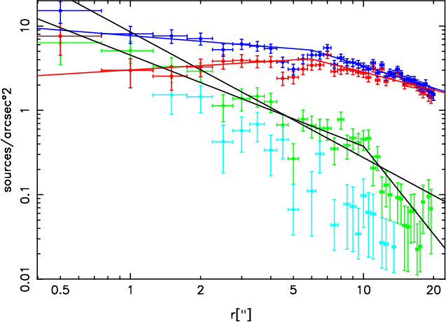
Figure 11 shows the projected stellar density for the total population, the early and late type stars. For comparison, we also show the projected density of the early type stars provided by Paumard et al. (2006). Only stars brighter than 15.5 mag have been considered here, in order to allow a clear separation of early and late type stars and to make a completeness correction unnecessary (see Schödel et al. 2007).
The projected density profile of the late type stars is practically
flat within a radius of
10
.
Within the innermost 5
,
it can
even be fitted with a power law with a positive slope, i.e. the
projected density increases with the distance to the center. This
flattening or even inversion of the projected surface density profile
of the late-type stars combined with the steeply increasing density of
early-type stars towards Sgr A* explains the dip in CO band head
absorption strength found in early spectroscopic observations of low
spatial resolution (Allen et al. 1990; Haller et al. 1996; Sellgren et al. 1990). We
discuss this in detail in Sect. 3.4.
A dip in the density can be observed at a radius of
5
that has already been observed by Schödel et al. (2007) in deep
(
)
star counts. Zhu et al. (2008) also find a dip
at 0.2 pc, which corresponds to the 5
given here and in
Schödel et al. (2007). This dip is a significant feature in the
density profiles. It is both present in the late- and early-type
population, although with a low significance in the latter, due to
the small number of early-type stars. The cause for this feature
is probably extinction, since there is a ring-like area of high
extinction visible in our extinction map at this distance to the
center (see Fig. 17). Since this dip feature seems to
appear in two stellar populations that are so different in their age
and their dynamical state and since it would be very difficult to
reproduce such a feature in a three-dimensional distribution,
extinction seems to be the most likely explanation.
A steep increase of the projected density of early type stars can be observed
towards the center (except in the innermost arcsecond). This also
confirms previous observations. Paumard et al. (2006) proposed that the
projected density of the early type stars follows a
R-2 power law outside of a sharp inner edge at 1
(within the
disk(s), so this value is not directly comparable to our findings), with R as the
projected distance to Sgr A*. Lu et al. (2009) also confirmed the
R-2 power law within the clockwise disk. To allow a comparison
with our values, we fitted the projected density of the known early
type sources that are contained in our sample with a power las as
well. This yielded a value of
.
In the
following, we adopt this value as a reference.
We fitted the projected early type density with a power law
,
excluding the inner 1
.
But
while providing a value that agrees well with previously published
results (Genzel et al. 2003; Lu et al. 2009; Paumard et al. 2006), this single power law
does not provide a very good fit to our data. For comparison, we also
fitted the projected early type density with a broken power law with a
break at 10
.
This minimizes the deviations from the data, but it
introduces a break at 10
that we cannot explain.
It has to be kept in mind that the absolute number of early type stars in the outer regions is much lower than further towards the center, so the uncertainties are considerably larger. The value for
![]() |
Figure 9:
Azimuthally averaged density of stars with noisy
SEDs. The density profile is practically flat over the inner 15
|
| Open with DEXTER | |
![]() |
Figure 10: Map of the stars in the GC. Red: late type stars. Green: early type candidates. Blue: sources not classified. Light blue: foreground sources. Magenta: extremely red objects. The radii of the circles are linearly dependent on the extinction corrected magnitudes of the sources. |
| Open with DEXTER | |
The relative stellar density of the sources rated as too noisy (see
Fig. 9 appears to be flat over an inner region with a
radius of
.
Outside of 15
,
the ratio increases, but that
can be expected since the quality of the photometry decreases
somewhat toward the edge of the FOV. This is probably due to the
rectangular dither pattern used that leads to shallower
integration toward the edges of the FOV.
This gives further evidence that our criteria for excluding noisy sources as well as the local calibration we apply are justified, since an even distribution of noisy sources can be expected from a well calibrated dataset. This is the case here, and it means that the exclusion of noisy sources does not lead to a bias in our surface density profiles.
Figure 12 shows the two-dimensional density distribution
of all stars brighter than magK = 15.5 and Fig. 13
that of the late type stars of the same magnitude range, while
Fig. 14 shows the density of the early type stars in
the same way. These maps have been smoothed with a
Gaussian. While the late type stars show a similar distribution as the
stars in the cluster viewed as a whole (with the exception of the
central few arcseconds), the early type stars are concentrated in the
center. This result is not surprising since the same can be seen from
the azimuthally averaged density. The area in the immediate vicinity of IRS 7
shows a significantly lower stellar density in all our maps, because the presence of this
extremely bright source impedes the detection of other stars close to it.
The peak of the early type density is, as expected, located close to the position of Sgr A*. The distribution of the early type stars appears close to circularly symmetric, but indicates extensions along N-S and E-W. An apparent concentration of early-type stars along these directions can also be seen in Fig. 1 of Bartko et al. (2009).
The density distribution of the late type stars
clearly shows the relative lack of late type stars in the very
center. The map also shows a
correlation with the extinction map (see extinction map provided in
Schödel et al. 2007; and Fig. 17). Areas of higher
extinction show a lower density of stars. This effect is not visible
in the early type density. But in the areas with higher extinction
(e.g. 5
NW of Sgr A*), the early type density is too low for this effect to be
relevant, although a trace of it can be seen in the slight dip in
the early type density in Fig. 11. The extinction has two separate effects on the projected
density: one effect is that sources behind a lot of extinction
appear fainter, so they might be excluded by a simple magnitude
cutoff. This effect has been corrected here by using extinction
corrected magnitudes. The other problem is that extinction also
impedes the detection of sources, especially in filters with lower
image quality. This effect of the extinction on the stellar density
has not been calculated here and was not compensated.
![]() |
Figure 11:
Azimuthally averaged stellar surface density plotted
against the distance to Sgr A* for Ks magnitudes mag
|
| Open with DEXTER | |
![]() |
Figure 12: Stellar surface density of all stars brighter than 15.5 mag (linear scale, contours trace density in steps of 20, 30 ... 90 percent of maximum density). The density is given in units of sources per arcsec2. |
| Open with DEXTER | |
3.4 Evidence for giant depletion in the center
Figer et al. (2003) examined the radial velocities of 85 cool stars in the GC (mostly M and K giants) and found dynamical evidence for a flattened distribution of late type stars within 0.4 pc (
Schödel et al. (2007) described the total population of the central
parsec with a broken power law (break radius
,
within
and
outside of the break radius) for a magnitude limit of 17.75
and using completeness corrected data. This does not allow a
comparison of absolute densities to our findings, since
that dataset goes much deeper than ours, but the trend can be
confirmed here. It also has to be considered that these results were
obtained on the entire population and not separated into early and
late type stars.
We fitted broken power laws to the projected densities of the late
type stars and all classified stars (see Table 6).
We find the same break radius of
as Schödel et al. (2007),
and the power law indices for the total population also agree with the
values given in that work (
for the inner region,
for
in our data). What is new here, however, is the
possibility to obtain separate values for the late type population
alone. These values give an even stronger support to the proposed
hole/dip in the center: we find a power law index of
for the outer region, while the inner region even shows a decline
towards the center (
).
![]() |
Figure 13: Stellar surface density of late type stars brighter than 15.5 mag (linear scale, contours trace density in steps of 20, 30 ... 90 percent of maximum density). The density is given in units of sources per arcsec2. |
| Open with DEXTER | |
![]() |
Figure 14: Stellar surface density of early type stars brighter than 15.5 mag (logarithmic scale, contours trace density in steps of 2.5, 5, 10,20 ... 90 percent of maximum density). The density is given in units of sources per arcsec2. |
| Open with DEXTER | |
This is a very interesting result, since it shows that the previously
observed flattening of the density profile of the total population
(Zhu et al. 2008; Genzel et al. 2003; Schödel et al. 2007; Figer et al. 2003; Genzel et al. 1996) is an even stronger
feature in the late type population. We can therefore assume that the
stellar population in the innermost
0.2 pc is indeed depleted
not only of bright giants, but also of fainter giants down to our
magnitude limit of 15.5 mag. Several causes for this have been proposed: Dale et al. (2008)
offered an explanation for the under-density of late type stars within
1
,
claiming that collisions with stellar mass black holes and main
sequence stars prevent
giants to evolve so that they
are not visible in the K band. Their simulations cannot explain the
lack of brighter and fainter giants.
Freitag et al. (2008) derived collision probabilities for bright giants in the
GC (see esp. their Fig. 1). They determined that nearly all massive stars
within 0.1 pc almost certainly suffer from collisions during
their time on the giant branch.
![]() |
Figure 15:
Luminosity function of stars in the central
parsec. Each data-point represents the center of a magnitude bin
(0.25 mag wide bins, resp. 0.5 mag in lower right frame). Upper
left: all stars. Central left: only late type
stars. Lower left: only early type stars. Upper right: all
stars within 7
|
| Open with DEXTER | |
Merritt & Szell (2006) offered yet another explanation: the infall of a second SMBH would destroy the stellar density cusp present around Sgr A*, which would then be built up again in a time-frame of several Gyrs. This process can lead to a practically flat density profile, similar to the one observed here.
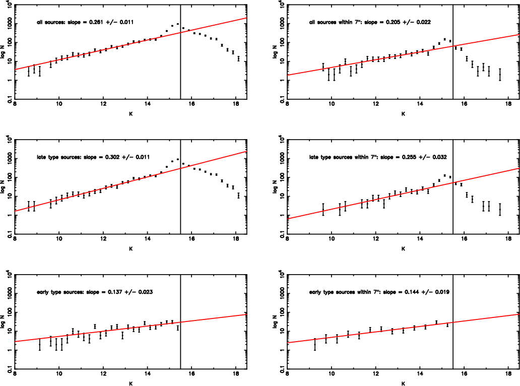
3.5 K band luminosity function
The general K band luminosity function (Fig. 15) agrees well with the one presented by e.g. Genzel et al. (2003); Schödel et al. (2007). The red clump can clearly be made out at the expected magnitude of
The luminosity functions can be described to the first order by a
power law (fitted to the area between 9.0 and 15.5 mag for the
early type stars, resp. 14.5 to exclude the red clump in the other
plots):
![]() |
(3) |
The power law indices that resulted from this fit are shown in Table 7. Alexander & Sternberg (1999); Tiede et al. (1995); Zoccali et al. (2003) measured the power law slope of the bulge population of the milky way several degrees from the center as
Table 6:
Power law indices for late type stars and all
classified stars, separate fit to sources inside and outside of 6.0
.
Table 7:
KLF power law indices of the different classified stellar types, calculated for the entire cluster resp. the inner 7
.
The power law
fitted here for the total population of the central parsec is flatter
than the one attributed to the bulge population, while our value
fitted for the inner 9
matches the value of 0.21 given by
Genzel et al. (2003).
The individual KLFs for the late and early types
give the reason for this deviation from the bulge power law: since the
central parsec (and even more the central few arcseconds) contain a
significant number of early type stars and their KLF has a much
flatter slope (
), the resulting power
law is also flatter than that of the late type population alone. The
power law fitted to the KLF of only the late type stars (
)
agrees very well with the one observed in the
bulge.
![]() |
Figure 16: SEDs of stars fitted as early type outside of 0.5 pc. |
| Open with DEXTER | |
Agreeing with Genzel et al. (2003); Blum et al. (1996); Davidge et al. (1997); Lebofsky & Rieke (1987), our data point to the population in the central parsec being an old stellar population with an admixture of a young, bright component.
The fitted slope value for the inner 9
of 0.21 differs from the one for
the total cluster, but otherwise, the shape of the KLF there is very
similar. This difference is due to the flatter slope of the late type
KLF in this region, while that of the early type KLF stays the same.
Paumard et al. (2006) also presented a KLF for the early type
stars in the disks. They also find a flat KLF, similar to the one
presented here. The significant difference is the greater
sensitivity we achieved here.
Paumard et al. (2006) note that their
KLF has a spectroscopic completeness limit of
13.5-14 mag,
compared to 15.5 mag here. The fact that the flat slope of the early
type KLF can be observed down to that magnitude is an important new
result and it strengthens assumptions of a top-heavy mass function
since it improves the statistic relevance of the observed flatness.
3.6 Extinction
The average extinction of 3.3 mag towards the GC is well known (e.g. Scoville et al. 2003), but this value varies on small scales by up to 1.5-2 mag (Schödel et al. 2007) and poses a significant problem for the reliable measurement of apparent magnitudes, colors and intrinsic reddening of stars. Schödel et al. (in preparation) are presenting an extinction map based on H-K colors obtained from the same data that we are using here, but the individual extinction values obtained here can also be used to produce an extinction map. Figure 17 shows this map. It agrees well with Schödel et al. (2007), except that we find higher overall extinction values. The extinction map produced in this work is expected to be more reliable since we use many wavelength bands, apply a local calibration and distinguish between hot and cool sources. A histogram of the measured extinction values is shown in Fig. 17: the distribution is similar to a Gaussian with a mean value and standard deviation of 3.1It has to be noted, however, that the Draine (1989) extinction law was used here and that a different law might apply to the GC. This may lead to a systematic offset as large as AK = 0.5 mag, which should be taken into account as a possible systematic uncertainty when interpreting these values.
3.7 Early type stars outside of 0.5 pc
In addition to not only identifying the well known early type stars in the center of the cluster, but indeed more than tripling the number of early type candidates in the central 0.5 pc, we can also report the identification of 35 early type candidates more than 0.5 pc (Figure 16 shows four examples of what we consider very likely candidates for actual early type stars. The source in the upper right frame of Fig. 16 does not show a CO absorption feature, but still it has been labeled as a late type source in Maness et al. (2007). Paumard et al. (2006) seem to list it as an early type however. The other sources listed in Table 8 with quality A have similarly smooth SEDs, while quality B and C sources are considerably more noisy.
![]() |
Figure 17: Left: extinction map of the central parsec computed from individually fitted extinction values. Features like the mini-cavity and the mini-spiral are visible. Right: distribution of extinction values in the central parsec of the GC. |
| Open with DEXTER | |
Table 8:
Early type stars
detected outside of 0.5 pc. x and y denote the position of the star
in arcsec relative to Sgr A*,
the extinction
corrected K band
magnitude and AK the extinction in the K band. Quality
indicates the confidence in the identification after an additional
visual inspection, with A as the highest confidence and C as the lowest.
We obtain an average
density of early type stars of
sources/arcsec2 at
R > 12.9''.
The detection of early type
stars this far out in significant numbers is a new result: Paumard et al. (2006) reported no
early type stars outside of the central 0.5 pc, citing an 1
upper limit of
10-2 OB stars per arcsec2 outside of 13
deduced from SINFONI data, but referring to an unpublished source. The
difficulty in identifying these stars in existing data is pointed out
by Trippe et al. (2008), who mention very limited coverage of the central
cluster and data gathered with several instruments and in different
epochs that is very difficult to compare due to different pixel
scales, Strehl ratios and completeness. These obstacles have probably
impeded the detection of early type stars in the outer region of the
central cluster until now. Our new method can provide targets for
spectroscopic confirmation observations, allowing for a broader search
for early type candidates over a large area without the need to cover
the whole area with integrated field spectroscopy. Finally, we
would like to point out that we do know that at least one early type
star exists outside of the central 0.5 pc, as has been confirmed by the
results of Geballe et al. (2006) on IRS 8.
As Fig. 11 shows, there are two possible fitting
solutions for the early type density. While the single power law
fitted to the projected density of early type stars agrees with the
previously published power law, the slopes of the broken power law
show a significant difference in the outer and inner region. If a
single power law distribution can be assumed, this would indicate that
these stars merely represent the continuation of the disk and the off-disk
population. But if the much steeper decline outside of 10
is indeed
a significant and real feature, this might point to a change in the
population respectively so far unknown effects on the density
distribution.
4 Conclusions
Our newly developed method has confirmed several previously obtained results and has proven to be able to classify sources of known type reliably. It cannot compete with spectroscopic identifications of individual sources, but due to the ability to classify a large number of sources with a relatively small need for observation time, it can provide important statistical information about a stellar population which can later be refined by observing the early type candidates with spectroscopic methods. Our analysis extends the sensitivity limit of stellar classification by about 1.5 mag compared to previous work, providing thus a statistically stronger basis
![]() |
Figure 18: SEDs of Extremely Red Objects. Upper left: source NW of Sgr A*, no CO feature, but strongly reddened. Upper right: source NW of Sgr A*, here a CO feature is visible. This source is located near a local maximum of extinction, so it may just be a normal late type star. Lower left: source located in the northern arm of the mini-spiral. Lower right: source located in the far SE of Sgr A*, also in a region of very high extinction. The CO feature suggest a late type star, maybe towards the back of the cluster. |
| Open with DEXTER | |
The following results could be obtained:
- 1.
- A larger number of early type candidates has been detected than
in any previous study, 312 sources compared to the known 90. We were
able to identify known early type sources with 87% accuracy, while
96% of the known late type sources were classified correctly. The
different percentages stem from the different selection criteria of the
reference sources in the cited publications: Maness et al. (2007) already selected their late
type sources by the presence of sufficiently deep CO band heads, which
is the same feature that our method makes use of. The early type
sources published by Paumard et al. (2006) were selected based on
narrow emission lines that are not visible at our spectral
resolution.
These high rates of correct classifications gives us high confidence in our results, but the new detections need to be confirmed spectroscopically, especially the early type candidates. - 2.
- The spatial distribution of the early type stars follows a
power law, with
,
which is flatter than
the values of the value of
we computed from the
data published by Paumard et al. (2006), Lu et al. (2009), but still compatible at the
limit. It is also possible to fit the early type density with a
broken power law with
and
.
This broken power law fits the
density distribution better than the single power law, but it
remains unknown what causes the density drop we observe at
.
The significance of this feature should be examined by
further observations that extend to larger distances from Sgr A*.
- 3.
- We confirm the previously reported flat projected surface density profile of the late type stars in the innermost arcseconds with much higher source numbers and therefore significantly improved statistics. The flat (or even inversed) surface density of late type stars must imply a central dip or hole in their 3D distribution. This together with the steep early type density profile explains the observed drop in CO absorption. We would like to emphasize that this result signifies a change in our perception of the nuclear star cluster. Separating the early- and late-type population shows clearly that the GC cluster does not have a cusp (see discussions in Genzel et al. 2003; Schödel et al. 2007). To the contrary, the late-type, old stellar population, which appears to make up the vast majority of stars in the GC cluster, shows a flat or even slightly inverted power-law in projection within about 0.2 pc from Sgr A*. This means that there is some kind of hole in the late-type population near the center, as has been pointed out by Figer et al. (2003). The exact cause is still not understood, but various explanations have been suggested. One often discussed possibility is the destruction of the envelopes of giant stars by collisions with main-sequence stars, post-main sequence stars, and stellar remnants in the dense environment near Sgr A* (Davies et al. 1991; Bailey & Davies 1999; Davies et al. 1998; Dale et al. 2008; Alexander et al. 1999; Rasio & Shapiro 1990; Genzel et al. 1996). Another possible explanation for the non-existent cusp of late-type stars is that the cusp may have been destroyed by the infall of a second black hole (Merritt & Szell 2006) and that there may not have been sufficient time yet to re-grow the cusp.
- 4.
- The late type KLF has a power law slope of
.
This
resembles closely the KLF that has been measured for the bulge of
the Milky Way. This is surprising considering that the
nuclear star cluster is probably a dynamically separate entity
from the bulge (see Böker et al. 2008, for an overview of the properties of nuclear
star clusters in galaxies). It implies a similar star formation
history for the NSC and the bulge. The early type KLF has a much flatter
slope of (
). The fact that the flatter early type KLF
could be confirmed down to our magnitude limit of 15.5 mag is an
important extension of previous works that had a completeness limit
of
13-14 mag. Paumard et al. (2006) claimed that their flat early
type KLF agreed best with stellar evolution models using a top-heavy
initial mass function (IMF), but did not give a value for the slope
of the KLF itself (Fig. 13 in that work). Our early type KLF
seems to show a very similar shape down to our magnitude limit and
thus also appears to support the proposed top-heavy IMF, but an accurate
comparison is not possible due to the lack of a value for the slope
in Paumard et al. (2006).
- 5.
- Early type stars have been detected outside of 0.5 pc, in a
density that still agrees with the power law density profile in the
inner region, so these sources could well be part of the known
disk/off-disk population, if the single power law is valid. If the
edge we observe at
10
is a real feature, this may point to a
more complicated situation. This result is of course pending
spectroscopic confirmation. We find a larger number of early type
sources in the whole cluster with the density distribution following
the same power law as in Paumard et al. (2006). This means that our
power law still agrees with our early type density outside of 0.5 pc
that is higher than the upper limit provided in that work.
- 6.
- Both foreground stars and strongly reddened objects could be detected or excluded easily due to their fitted extinction. Unfortunately not all known bow-shock and mini-spiral sources could be observed, due to position and photometric uncertainties.
Further observations that cover a larger area should be undertaken in the future, as well as spectroscopic confirmations of our new early type candidates. Lu et al. (2009) suggest covering at least the inner 5 pc of the GC, and while observations of such an area require an extreme amount of time with an instrument like SINFONI, our method may be the key to explore large areas like this for features like tidal tails of an in-falling cluster or a continuation of the early type population of the central parsec.
Acknowledgements
We are grateful to all members of the NAOS/CONICA and the ESO PARANAL team. R. Schödel acknowledges support by the Ramón y Cajal programme by the Ministerio de Ciencia e Innovación of the government of Spain. We would also like to thank the referee for his helpful comments.
References
- Alexander, T. 1999, ApJ, 527, 835 [NASA ADS] [CrossRef]
- Alexander, T., & Livio, M. 2004, ApJ, 606, L21 [NASA ADS] [CrossRef] (In the text)
- Alexander, T., & Sternberg, A. 1999, ApJ, 520, 137 [NASA ADS] [CrossRef]
- Allen, D. A., Hyland, A. R., & Hillier, D. J. 1990, MNRAS, 244, 706 [NASA ADS]
- Bailey, V. C., & Davies, M., B. 1999, MNRAS, 308, 257 [NASA ADS] [CrossRef]
- Bartko, H., Martins, F., Fritz, T. K., et al. 2009, ApJ, accepted,[arXiv:0811.3903] (In the text)
- Becklin, E. E., Mathews, K., Neugebauer, G., & Willner, S. P. 1978, ApJ, 219, 121 [NASA ADS] [CrossRef]
- Blum, R. D., Sellgren, K., & DePoy, D. L. 1996, AJ, 112, 1988 [NASA ADS] [CrossRef]
- Blum, R. D., Ramírez, S. V., Sellgren, K., & Olsen, K. 2003, ApJ, 597, 323 [NASA ADS] [CrossRef]
- Böker, T., et al. 2008, Proceedings of The Universe Under the Microscope - Astrophysics at High Angular Resolution, held 21-25 April 2008, in Bad Honnef, Germany, ed. R. Schödel, A. Eckart, S. Pfalzner, & E. Ros, J. Phys. Conf. Ser., 131, 012043 (In the text)
- Dale, J. E., Davies, M. B., Church, R. P., & Freitag, M. 2008, MNRAS, accepted, [arXiv:0811.3111]
- Davidge, T. J., Simmons, D. A., Rigaut, F., Doyon, R., & Crampton, D. 1997, AJ, 114, 2586 [NASA ADS] [CrossRef]
- Davies, M. B., Benz, W., & Hills, J. G. 1991, ApJ, 381, 449 [NASA ADS] [CrossRef]
- Davies, M. B., Blackwell, R., Bailey, V. C., & Sigurdsson, S. 1998, MNRAS, 301, 745 [NASA ADS] [CrossRef]
- Diolaiti, E., Bedinelli, O., Bonaccini, D., et al. G. 2000, A&AS., 147, 335 [NASA ADS] [CrossRef] [EDP Sciences]
- Draine, B. T. 1989, in Interstellar extinction in the infrared, Infrared Spectroscopy in Astronomy, Proc. of the 22nd Eslab Symp. held in Salamanca, Spain, 7-9 December, 1988, ed. B. H. Kaldeich, ESA SP-290, 93 (In the text)
- Eckart, A., Genzel, R., Hofmann, R., Sams, B. J., & Tacconi-Garman, L. E. 1993, ApJ, 407, 77 [NASA ADS] [CrossRef]
- Eckart, A., Ott, T., Genzel, R., & Lutz, D. 1999, Proc. IAU Symp., 193, 449 [NASA ADS]
- Eckart, A., Genzel, R., Ott, T., & Schödel, R. 2002, MNRAS, 331, 917 [NASA ADS] [CrossRef]
- Eckart, A., Moultaka, J., Viehmann, T., Straubmeier, C., & Mouawad, N. 2004, ApJ, 602, 760 [NASA ADS] [CrossRef]
- Eisenhauer, F., Genzel, R., Alexander, T., et al. 2005, ApJ, 628, 246 [NASA ADS] [CrossRef]
- Figer, D., Gilmore, D., Sungsoo, S., et al. 2003, ApJ, 599, 1139 [NASA ADS] [CrossRef] (In the text)
- Figer, D. F., Rich, R. M., Sungsoo, S. K., Morris, M., & Serabyn, E. 2004, ApJ, 601, 319 [NASA ADS] [CrossRef] (In the text)
- Freitag, M., Dale, J. E., Church, R. P., & Davies, M. B. 2008, Proc. IAU Symp., 245, 2007 (In the text)
- Geballe, T. R., Rigaut, F., Roy, J.-R., & Draine, B. T. 2004, ApJ, 602, 770 [NASA ADS] [CrossRef]
- Geballe, T. R., Najarro, F., Rigaut, F., & Roy, J.-R. 2006, ApJ, 652, 370 [NASA ADS] [CrossRef] (In the text)
- Genzel, R., Thatte, N., Krabbe, A., Kroker, H., & Tacconi-Gharman, L. E., 1996, ApJ, 472, 153 [NASA ADS] [CrossRef]
- Genzel, R., Schödel, R., Ott, T., et al. 2003, ApJ, 594, 812 [NASA ADS] [CrossRef]
- Gerhard, O., 2001, ApJ, 546, L39 [NASA ADS] [CrossRef]
- Ghez, A. M., Duchêne, G., Matthews, K., et al. 2003, ApJ, 586, L127 [NASA ADS] [CrossRef]
- Ghez, A. M., Salim, S., Hornstein, S. D., et al. 2005, ApJ, 620, 744 [NASA ADS] [CrossRef]
- Ghez, A. M., Salim, S., Weinberg, N. N., et al. 2008, ApJ, 689, 1044 [NASA ADS] [CrossRef]
- Gillessen, S., Eisenhauer, F., Trippe, S., et al. 2009, ApJ, 692, 1075 [NASA ADS] [CrossRef]
- Goodman, J. 2003, MNRAS, 339, 937 [NASA ADS] [CrossRef]
- Groenewegen, M. A. T., Udalski, A., & Bono, G. 2008, A&A, 481, 441 [NASA ADS] [CrossRef] [EDP Sciences]
- Guerkan, M. A., & Rasio, F. A. 2005, ApJ, 628, 236 [NASA ADS] [CrossRef]
- Haller, J. W., Rieke, M. J., Rieke, G. H., et al. 1996, ApJ, 456, 194 [NASA ADS] [CrossRef]
- Holland, S. 1998, AJ, 115, 1916 [NASA ADS] [CrossRef]
- Kim, S. S., & Morris, M. 2003, ApJ, 597, 312 [NASA ADS] [CrossRef]
- Kim, S. S., Figer, D. F., & Morris, M. 2004, ApJ, 607, L123 [NASA ADS] [CrossRef]
- Krabbe, A., Genzel, R., Eckart, A., et al. 1995, ApJ, 447, L95 [NASA ADS] [CrossRef]
- Lebofsky, M. J., & Rieke, G. H. 1987, The Galactic Center, ed. D. C. Backer (New York: AIP), AIP Conf., 155, 79
- Levin, Y., & Beloborodov, A. M. 2003, ApJ, 590, L33 [NASA ADS] [CrossRef]
- Lu, J. R., Ghez, A. M., Hornstein, S. D., Morris, M. R., & Becklin, E. E. 2005, ApJ, 625, L51 [NASA ADS] [CrossRef]
- Lu, J. R., Ghez, A. M., Hornstein, S. D., et al. 2009, ApJ, 690, 1463 [NASA ADS] [CrossRef]
- Maillard, J. P., Paumard, T., Stolovy, S. R., & Rigaut, F. 2004, A&A, 423, 155 [NASA ADS] [CrossRef] [EDP Sciences]
- Maness, H., Martins, F., Trippe, S., et al. 2007, ApJ, 669, 1024 [NASA ADS] [CrossRef] (In the text)
- Martins, F., Genzel, R., Hillier, D. H., et al. 2007, A&A, 468, 233 [NASA ADS] [CrossRef] [EDP Sciences]
- McMillan, S. L. W., & Portegies Zwart, S. F. 2003, ApJ, 596, 314 [NASA ADS] [CrossRef]
- Merritt, D., & Szell, A. 2006, ApJ, 648, 890 [NASA ADS] [CrossRef] (In the text)
- Milosavljevic, M., & Loeb, A. 2004, ApJ, 604, L45 [NASA ADS] [CrossRef]
- Morris, M. 1993, ApJ, 408, 496 [NASA ADS] [CrossRef] (In the text)
- Morris, P. W., Eenens, R. P. J., Hanson,. M. M., Conti, P. S., & Blum, R. D. 1996, ApJ, 470, 597 [NASA ADS] [CrossRef]
- Moultaka, J., Eckart, A., Schödel, R., Viehmann, T., & Najarro, F. 2005, A&A, 443, 163 [NASA ADS] [CrossRef] [EDP Sciences]
- Muzic, K., Schödel, R., Eckart, A., Meyer, L., & Zensus, A. 2008, A&A, 482, 173 [NASA ADS] [CrossRef] [EDP Sciences] (In the text)
- Najarro, F., Hillier, D. J., Kudritzki, R. P., et al. 1994, A&A, 285, 573 [NASA ADS]
- Najarro, F., Krabbe, A., Genzel, R., et al. 1997, A&A, 325, 700 [NASA ADS]
- Nayakshin, S., & Cuadra, J. 2005, A&A, 437, 437 [NASA ADS] [CrossRef] [EDP Sciences]
- Nayakshin, S., & Sunyaev, R. 2005, MNRAS, 364, L23 [NASA ADS]
- Nishiyama, S., Nagata, T., Tamura, M., et al. 2008, ApJ, 680, 1174 [NASA ADS] [CrossRef] (In the text)
- Paumard, T., Maillard, J. P., Morris, M., & Rigaut, F. 2001, A&A, 366, 466 [NASA ADS] [CrossRef] [EDP Sciences]
- Paumard, T., Maillard, J.-P., & Morris, M. 2004, A&A, 426, 81 [NASA ADS] [CrossRef] [EDP Sciences] (In the text)
- Paumard, T., Genzel, R., Martins, F., et al. 2006, ApJ, 643, 1011 [NASA ADS] [CrossRef]
- Perger, M., Moultaka, J., Eckart, A., et al. 2008, A&A, 478, 127 [NASA ADS] [CrossRef] [EDP Sciences] (In the text)
- Portegies Zwart, S. F., McMillan, S. L. W., & Gerhard, O. 2003, ApJ, 593, 352 [NASA ADS] [CrossRef]
- Pott, J.-U., Eckart, A., & Glindemann, A. 2008, A&A, 480, 115 [NASA ADS] [CrossRef] [EDP Sciences] (In the text)
- Rasio, F. A., & Shapiro, S. L. 1990, ApJ, 354, 201 [NASA ADS] [CrossRef]
- Reid, M. J. 1993, ARA&A, 31, 345 [NASA ADS] [CrossRef]
- Rieke, G. H., Rieke, M. J., & Paul, A. E. 1989, ApJ, 336, 752 [NASA ADS] [CrossRef]
- Schödel, R., Ott, T., Genzel, R., et al. 2002, Nature, 419, 694 [NASA ADS] [CrossRef]
- Schödel, R., Ott, T., Genzel, R., et al. 2003, ApJ, 596, 1015 [NASA ADS] [CrossRef]
- Schödel, R., Eckart, A., Alexander, T., et al. 2007, A&A, 469, 125 [NASA ADS] [CrossRef] [EDP Sciences] (In the text)
- Schödel, R., Eckart, A., Buchholz, R., et al., in preparation (In the text)
- Scoville, N. Z., Stolovy, S. R., Rieke, M., Christopher, M., & Yusef-Zadeh, F. 2003, ApJ, 594, 294 [NASA ADS] [CrossRef] (In the text)
- Sellgren, K, McGinn, M. T., Becklin, E. E., & Hall, D. N. 1990, ApJ, 359, 112 [NASA ADS] [CrossRef]
- Tanner, A., Ghez, A. M., Morris, M., et al. 2002, ApJ, 575, 860 [NASA ADS] [CrossRef]
- Tanner, A., Ghez, A. M., Morris, M., & Becklin, E. E. 2003, ASN, 597
- Tiede, G. P., Frogel, J. A., & Terndrup, D. M. 1995, AJ, 110, 2788 [NASA ADS] [CrossRef]
- Trippe, S., Gillessen, S., Gerhard, O. E., et al. 2008, A&A, 492, 419 [NASA ADS] [CrossRef] [EDP Sciences] (In the text)
- Wallace, L., & Hinkle, K. 1997, ApJS, 111, 445 [NASA ADS] [CrossRef] (In the text)
- Zoccali, M., Renzini, A., Ortolani, S. et al. 2003, A&A, 399, 931 [NASA ADS] [CrossRef] [EDP Sciences]
- Zhu, Q., Kudritzki, R., Figer, D., Najarro, F., & Merritt, D. 2008, ApJ, 681, 1254 [NASA ADS] [CrossRef] (In the text)
Footnotes
- ... distributions
- A table of all classified sources (5914) is only available in electronic form at the CDS via anonymous ftp to cdsarc.u-strasbg.fr (130.79.128.5) or via http://cdsweb.u-strasbg.fr/cgi-bin/qcat?J/A+A/499/483
- ... package
- See N. Devillard, ``The eclipse software'', The messenger No. 87 - March 1997, publicly available at http://www.eso.org/projects/aot/eclipse/distrib/index.html
All Tables
Table 1:
Details of the observations used for this work. N is
the number of exposures that were taken with a given detector
integration time (DIT). NDIT denotes the number of integrations that
were averaged online by the read-out electronics during the
observation. The scale of all observed images is 0.027
per pixel.
Table 2:
Early type calibration stars, used for the primary
calibration (names, types and K band magnitudes according to
Paumard et al. (2006), approximate values for
from
Allen's Astrophysical Quantities).
Table 3: Stellar types expected to be observable in the central parsec, considering the distance and the extinction towards the GC. Values taken from Allen's Astrophysical Quantities, the types shown here are the ones presented in that work that fall into the observational limits for the central parsec.
Table 4: Stars close to Sgr A* used to create the HB/RC template. All these sources were classified as late type by our algorithm, which is another self-consistency test.
Table 5: Stars classified in the GC using the method described in Sect. 2.7.
Table 6:
Power law indices for late type stars and all
classified stars, separate fit to sources inside and outside of 6.0
.
Table 7:
KLF power law indices of the different classified stellar types, calculated for the entire cluster resp. the inner 7
.
Table 8:
Early type stars
detected outside of 0.5 pc. x and y denote the position of the star
in arcsec relative to Sgr A*,
the extinction
corrected K band
magnitude and AK the extinction in the K band. Quality
indicates the confidence in the identification after an additional
visual inspection, with A as the highest confidence and C as the lowest.
All Figures
![]() |
Figure 1: The strehl ratio, a value that measures the deviation of the PSFs of the sources from an ideal PSF, decreases with the distance to the guide star. |
| Open with DEXTER | |
| In the text | |
![]() |
Figure 2: Sources used for the primary calibration. Numbers correspond to the numbers in the common list, as also shown in Table 2. |
| Open with DEXTER | |
| In the text | |
![]() |
Figure 3: Conversion of continuous spectra into template SEDs. Upper left: K4.5 giant spectrum, the crosses indicate the low resolution SED, AK = 3.3 mag. Upper right: B0 main sequence spectrum, AK = 3.3 mag. Lower left: transmission curves of IB filters. Lower right: K4.5III and B0V template SEDs with added H band datapoint calculated from effective temperature and extinction. |
| Open with DEXTER | |
| In the text | |
![]() |
Figure 4: K band spectra of late type stars expected in the GC. The crosses mark the corresponding SEDs and the green solid line a fitted extincted blackbody. As can be seen, the CO band heads of G giants are not deep and wide enough to have much influence on the low-resolution SEDs. |
| Open with DEXTER | |
| In the text | |
![]() |
Figure 5:
CO band depth (CBD) at 2.36 |
| Open with DEXTER | |
| In the text | |
![]() |
Figure 6:
CO band depth at 2.36 |
| Open with DEXTER | |
| In the text | |
![]() |
Figure 7:
Two examples for the effects of the local calibration. Upper right: source fitted as early type, but the SED is noisy which is reflected in the |
| Open with DEXTER | |
| In the text | |
![]() |
Figure 8:
Examples of the calibration maps used for local
calibration (see Sect. 2.6) in the 8
bands. Left: 2.00 |
| Open with DEXTER | |
| In the text | |
![]() |
Figure 9:
Azimuthally averaged density of stars with noisy
SEDs. The density profile is practically flat over the inner 15
|
| Open with DEXTER | |
| In the text | |
![]() |
Figure 10: Map of the stars in the GC. Red: late type stars. Green: early type candidates. Blue: sources not classified. Light blue: foreground sources. Magenta: extremely red objects. The radii of the circles are linearly dependent on the extinction corrected magnitudes of the sources. |
| Open with DEXTER | |
| In the text | |
![]() |
Figure 11:
Azimuthally averaged stellar surface density plotted
against the distance to Sgr A* for Ks magnitudes mag
|
| Open with DEXTER | |
| In the text | |
![]() |
Figure 12: Stellar surface density of all stars brighter than 15.5 mag (linear scale, contours trace density in steps of 20, 30 ... 90 percent of maximum density). The density is given in units of sources per arcsec2. |
| Open with DEXTER | |
| In the text | |
![]() |
Figure 13: Stellar surface density of late type stars brighter than 15.5 mag (linear scale, contours trace density in steps of 20, 30 ... 90 percent of maximum density). The density is given in units of sources per arcsec2. |
| Open with DEXTER | |
| In the text | |
![]() |
Figure 14: Stellar surface density of early type stars brighter than 15.5 mag (logarithmic scale, contours trace density in steps of 2.5, 5, 10,20 ... 90 percent of maximum density). The density is given in units of sources per arcsec2. |
| Open with DEXTER | |
| In the text | |
![]() |
Figure 15:
Luminosity function of stars in the central
parsec. Each data-point represents the center of a magnitude bin
(0.25 mag wide bins, resp. 0.5 mag in lower right frame). Upper
left: all stars. Central left: only late type
stars. Lower left: only early type stars. Upper right: all
stars within 7
|
| Open with DEXTER | |
| In the text | |
![]() |
Figure 16: SEDs of stars fitted as early type outside of 0.5 pc. |
| Open with DEXTER | |
| In the text | |
![]() |
Figure 17: Left: extinction map of the central parsec computed from individually fitted extinction values. Features like the mini-cavity and the mini-spiral are visible. Right: distribution of extinction values in the central parsec of the GC. |
| Open with DEXTER | |
| In the text | |
![]() |
Figure 18: SEDs of Extremely Red Objects. Upper left: source NW of Sgr A*, no CO feature, but strongly reddened. Upper right: source NW of Sgr A*, here a CO feature is visible. This source is located near a local maximum of extinction, so it may just be a normal late type star. Lower left: source located in the northern arm of the mini-spiral. Lower right: source located in the far SE of Sgr A*, also in a region of very high extinction. The CO feature suggest a late type star, maybe towards the back of the cluster. |
| Open with DEXTER | |
| In the text | |
Copyright ESO 2009
Current usage metrics show cumulative count of Article Views (full-text article views including HTML views, PDF and ePub downloads, according to the available data) and Abstracts Views on Vision4Press platform.
Data correspond to usage on the plateform after 2015. The current usage metrics is available 48-96 hours after online publication and is updated daily on week days.
Initial download of the metrics may take a while.
![\begin{figure}
\par\includegraphics[angle=-90,width=9cm,clip]{1497fg1.eps}\end{figure}](/articles/aa/full_html/2009/20/aa11497-08/Timg30.png)
![\begin{figure}
\par\includegraphics[angle=-90,width=9cm,clip]{1497fg2.eps}\end{figure}](/articles/aa/full_html/2009/20/aa11497-08/Timg32.png)
![\begin{figure}
\par\includegraphics[angle=-90,width=16.5cm,clip]{1497fg3.eps}\end{figure}](/articles/aa/full_html/2009/20/aa11497-08/Timg35.png)
![\begin{figure}
\par\includegraphics[angle=-90,width=16.5cm,clip]{1497fg4.eps}\end{figure}](/articles/aa/full_html/2009/20/aa11497-08/Timg36.png)
![\begin{figure}
\par\includegraphics[angle=-90,width=9cm,clip]{1497fg5.eps}\end{figure}](/articles/aa/full_html/2009/20/aa11497-08/Timg43.png)
![\begin{figure}
\par\includegraphics[angle=-90,width=9cm,clip]{1497fg6.eps}\end{figure}](/articles/aa/full_html/2009/20/aa11497-08/Timg44.png)
![\begin{figure}
\par\includegraphics[angle=-90,width=16.2cm,clip]{1497fg7.eps}\end{figure}](/articles/aa/full_html/2009/20/aa11497-08/Timg45.png)
![\begin{figure}
\par\includegraphics[angle=-90,width=9cm,clip]{1497fg9.eps}\end{figure}](/articles/aa/full_html/2009/20/aa11497-08/Timg67.png)
![\begin{figure}
\par\includegraphics[angle=-90,width=13.6cm,clip]{1497fg10.eps}\end{figure}](/articles/aa/full_html/2009/20/aa11497-08/Timg68.png)
![\begin{figure}
\par\includegraphics[angle=-90,width=9cm,clip]{1497fg11.eps}\end{figure}](/articles/aa/full_html/2009/20/aa11497-08/Timg71.png)
![\begin{figure}
\par\includegraphics[angle=-90,width=9cm,clip]{1497fg12.eps}\end{figure}](/articles/aa/full_html/2009/20/aa11497-08/Timg72.png)
![\begin{figure}
\par\includegraphics[angle=-90,width=9cm,clip]{1497fg13.eps}\end{figure}](/articles/aa/full_html/2009/20/aa11497-08/Timg84.png)
![\begin{figure}
\par\includegraphics[angle=-90,width=9cm,clip]{1497fg14.eps}\end{figure}](/articles/aa/full_html/2009/20/aa11497-08/Timg85.png)
![\begin{figure}
\par\includegraphics[angle=-90,width=17.4cm,clip]{1497fg15.eps}\end{figure}](/articles/aa/full_html/2009/20/aa11497-08/Timg87.png)

![\begin{figure}
\par\includegraphics[angle=-90,width=16.5cm,clip]{1497fg16.eps}\end{figure}](/articles/aa/full_html/2009/20/aa11497-08/Timg96.png)
![\begin{figure}
\par\includegraphics[angle=-90,width=17cm,clip]{1497fg17.eps}\end{figure}](/articles/aa/full_html/2009/20/aa11497-08/Timg99.png)
![\begin{figure}
\par\includegraphics[angle=-90,width=17cm,clip]{1497fg18.eps}\end{figure}](/articles/aa/full_html/2009/20/aa11497-08/Timg102.png)