| Issue |
A&A
Volume 499, Number 3, June I 2009
|
|
|---|---|---|
| Page(s) | 661 - 667 | |
| Section | Cosmology (including clusters of galaxies) | |
| DOI | https://doi.org/10.1051/0004-6361/200811272 | |
| Published online | 27 March 2009 | |
Analytic fitting formulae for relativistic electron-electron thermal bremsstrahlung
S. Nozawa1 - K. Takahashi2 - Y. Kohyama2 - N. Itoh2
1 - Josai Junior College, 1-1 Keyakidai, Sakado-shi, Saitama, 350-0295,
Japan
2 -
Department of Physics, Sophia University, 7-1 Kioi-cho, Chiyoda-ku,
Tokyo, 102-8554, Japan
Received 1 November 2008 / Accepted 18 February 2009
Abstract
We present accurate analytic fitting formulae for electron-electron thermal bremsstrahlung emissivity. The fitting formulae have an overall accuracy of higher than 0.5% for a wide electron temperature range
MeV, which will be useful when analyzing the precision observational data from the non-relativistic regime to mildly-relativistic regime. Assuming the thermal plasma, the present formulae will be also applicable to the relativistic regime.
Key words: cosmology: theory - galaxies: clusters: general - radiation mechanisms: thermal - relativity - X-rays: galaxies: clusters
1 Introduction
Following the launch of the Chandra X-Ray Observatory, the XMM-Newton Observatory, and the Suzaku X-ray Observatory, X-ray astronomy has entered its own era of precision science. In particular, these satellites have revolutionized the accuracy of the observational data available for galaxy clusters (for example, Allen et al. 2001; Schmidt et al. 2001; Sato et al. 2007). The precision observational data taken by these satellites require precision basic physics data for their analysis.
The present authors have published a series of papers in which they have completed accurate calculations for the electron-ion thermal bremsstrahlung process. These are particularly suited to the analysis of radiation process in high-temperature galaxy clusters (Nozawa et al. 1998; Itoh et al. 2000, 2002b). In Itoh et al. (2000, 2002b), the present authors presented accurate analytic fitting formulae for the electron-ion thermal bremsstrahlung Gaunt factors, which have a general accuracy of about 0.1% for the ranges
,
,
where Zj is the charge of the ion and T is the electron temperature. These electron-ion thermal bremsstrahlung Gaunt factors are also suitable for the analysis of the precision X-ray data of galaxy clusters taken by the Chandra, the XMM-Newton and the Suzaku Observatories.
It has been known for some time that the electron-electron thermal bremsstrahlung makes a percent-order contribution to the thermal bremsstrahlung at low temperature
K (Maxon & Corman 1967; Maxon 1972; Haug 1975a,b; Svensson 1982; Dermer 1986). In particular, Haug (1975a) and Haug (1975b) carried out a relativistic calculation of the electron-electron thermal bremsstrahlung emissivity and found that the non-relativistic electron-electron thermal bremsstrahlung emissivity calculated Maxon & Corman (1967) and Maxon (1972) agree with the relativistic results to within about 1% accuracy at
K. Itoh et al. (2002a) calculated the precision analytic fitting formula for the non-relativistic electron-electron thermal bremsstrahlung Gaunt factor, which has an overall accuracy of higher than 1% for the temperature range
.
On the other hand, it is known that the electron-electron bremsstrahlung dominates the electron-ion bremsstrahlung for high energy electrons. In active galactic nuclei, gamma-ray bursters and compact binary sources, the electron energies may be greater than 100 keV. Stepney & Guilbert (1983) studied several important processes contributing to the high-temperature thermal plasmas. Among other processes, they presented analytic fitting formulae for the electron-electron thermal bremsstrahlung emissivity in the temperature range
MeV. Their method was based upon the relativistic numerical calculation by Haug (1975a,b). Their fitting formulae have an overall accuracy that is higher than 5% compared with the numerical calculation by Haug (1975b).
In this paper, we present accurate analytic fitting formulae for the electron-electron thermal bremsstrahlung emissivity. The fitting formulae have an overall accuracy of higher than 0.5% for a wider electron temperature range
MeV. The fitting formulae is suitable for the analysis of the precision observational data for electron energies from non-relativistic regime to mildly-relativistic regime. Assuming the thermal plasma, the present formulae will be also applicable to the relativistic regime. However, it should be remarked that the usefulness of the present formula is limited to relativistic plasma since we do not include the positron contribution. The photon production rate is dominated by
annihilations for the electron-positron pair equilibrium plasmas. Therefore, more careful study including the pair annihilation process will be necessary for the analysis of relativistic plasmas. The present paper is organized as follows. In Sect. 2, we will calculate the relativistic electron-electron thermal bremsstrahlung emissivity. In Sect. 3, we will present the precision analytic fitting formulae for the emissivity. Concluding remarks will be given in Sect. 4.
2 Electron-electron thermal bremsstrahlung
The expression for the thermally averaged relativistic electron-electron bremsstrahlung cross-section was derived by Haug (1975a, b). In this paper, we follow the notation used in Haug (1975a) unless otherwise noted. The number of photons emitted per unit time, per unit volume, and per unit energy interval by electron gas of uniform number density
at temperature T is given by Eq. (2.1) in Haug (1975b) and also by Eq. (A.1) in Stepney & Guilbert (1983) as follows:
| |
= | ||
| = | ![]() |
||
| (1) | |||
| = | ![]() |
||
| (2) |
where
| |
= | ![]() |
(3) |
| = | ![]() |
(4) | |
| = | ![]() |
(5) |
It is known that the Coulomb corrections are important at low energies, whereas they are negligible for high energies.
Following Stepney & Guilbert (1983), where the z-axis is chosen to be parallel to the sum of the initial electron momenta, we rewrite Eq. (1) as follows:
![]() |
(6) |
where
| |
= | ![]() |
|
![]() |
|||
![]() |
(7) | ||
| = | ![]() |
(8) |
where
| (9) |
where SG denotes Stepney & Guilbert.
Similarly, the total energy emitted per unit time, per unit volume (we refer to this as the emissivity for short) is given by
| |
= | ![]() |
(10) |
| = | (11) | ||
| = | ![]() |
(12) |
Equations (6)-(12) are our basic equations in the present paper. We performed the five-dimensional integration of Eq. (7) in the following range of 1 keV
It is known that the non-relativistic approximation is reliable at low temperatures, whereas the extreme-relativistic approximation is accurate at high temperatures. Here we study the extent of the approximations for the photon production rate and the emissivity. To ensure that the present paper is self-contained, we recall the expressions in these approximations. The photon production rate and the emissivity in the non-relativistic (NR) approximation (Maxon & Corman 1967; Maxon 1972; Itoh et al. 2002a) are given by
| |
= | ![]() |
(13) |
| = | ![]() |
(14) | |
| = | ![]() |
(15) | |
| A(x, s) | = | ![]() |
|
![]() |
|||
![]() |
(16) | ||
| = | (17) | ||
| = | ![]() |
(18) |
In Eq. (14) the Coulomb corrections are taken into account by the Elwert factor
Similarly, we recall the expressions of the photon production rate and the emissivity in the extreme-relativistic (ER) approximation (Alexanian 1968) as follows:
| |
= | ![]() |
(19) |
| = | ![]() |
||
![]() |
|||
![]() |
(20) | ||
| = | ![]() |
(21) | |
| = | (22) | ||
| = | ![]() |
(23) |
where
![]() |
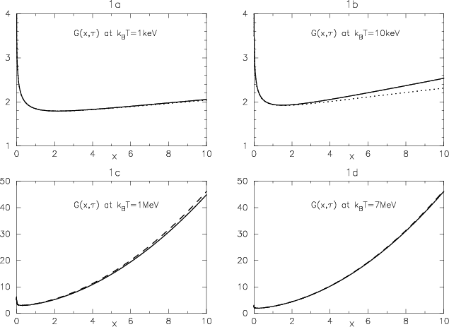
Figure 1:
Plotting of
|
| Open with DEXTER | |
To ascertain the extent of the approximations for the photon production rate
,
we plot
as a function of x at
keV, 10 keV, 1 MeV, and 7 MeV in Figs. 1a-d, respectively. The solid curve is the full calculation of the present work. The dotted curve represents the calculation for the non-relativistic approximation
.
The dashed curve is the calculation in the extreme-relativistic approximation
.
It can be seen from Fig. 1 that the maximum errors for the photon production rate
at
keV, 10 keV, 1 MeV, and 7 MeV are 0.9%, 9%, 6%, and 0.8%, respectively. We find that the non-relativistic approximation is accurate to within errors of 1% for
keV, whereas the extreme-relativistic approximation is accurate to within errors of 1% for
MeV.
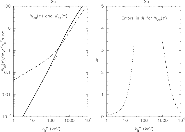
![]() |
Figure 2:
Plotting of the emissivity
|
| Open with DEXTER | |
Similarly, we show the extent of the approximations for the emissivity
.
In Fig. 2a, we plot
.
The solid curve is the full calculation of the present work. The dotted curve is the calculation in the non-relativistic approximation. The dashed curve is the calculation in the extreme-relativistic approximation. The curves of the approximations are continuous with the curve of the full calculation at both around
keV and a few MeV. To compare the behavior of the electron-electron bremsstrahlung with the electron-proton bremsstrahlung, we also plot the electron-proton bremsstrahlung emissivity
calculated by Stickforth (1961) in the dash-dotted curve in Fig. 2a. One finds that
and
cross at
keV. This value should be compared with the reported value of
keV by Haug (1975b). For
keV, the electron-electron bremsstrahlung dominates the emissivity.
In Fig. 2b, we show the relative errors of the approximations compared with the full calculation. The dotted curve is the calculation for the non-relativistic approximation. The dashed curve is the calculation in the extreme-relativistic approximation. It can be seen from Fig. 2b that the errors in the approximations for the emissivity
are less than 1% for both
keV and
MeV. As seen from Figs. 1 and 2, precision numerical data are now available for the photon production rate
and the emissivity
in the entire electron-temperature regime.
![]() |
Figure 3:
Plotting of
|
| Open with DEXTER | |
We now investigate the effect of the Coulomb corrections to the photon production rate
.
It has been known that the Coulomb corrections are important for low electron temperatures and negligible for high electron temperatures. To determine the effect of the Coulomb corrections explicitly, we define the ratio of
with and without Coulomb corrections as follows:
| (24) |
where CC denotes the Coulomb corrections. In Eq. (24),
For the study in this section, we classify the electron temperature region for the photon production rate
and the emissivity
into four regions:
![]() |
(25) |
In region I, the non-relativistic approximation with Coulomb corrections is sufficiently accurate within 1% errors. The full relativistic calculation with Coulomb corrections is necessary in region II. In region III, the full relativistic calculation is necessary, however, the Coulomb corrections are negligible. In region IV, the extreme-relativistic approximation is sufficiently accurate within 1% errors. In the next section, we show accurate analytic fitting formulae for the photon production rate
3 Analytic fitting formulae
Equations (6) and (10) provide useful tool for the data analysis of the radiation processes in active galactic nuclei, gamma-ray bursters, and compact binary sources, where electron energies may exceed 100 keV. However, the calculation of the five-dimensional integral in Eq. (7) is extremely time-consuming and therefore not practical for the analysis of the observational data. In this section, we present analytic fitting formulae for the electron-electron thermal bremsstrahlung emissivity. Stepney & Guilbert (1983) presented analytic fitting formulae for the temperature range 50 keV
MeV, which have an overall accuracy that is higher than 5% compared with the numerical integration of Eq. (7). Therefore, one task of this paper is to obtain analytic fitting formulae both of higher accuracy and a wider range of electron temperature to be useful in analyzing the precision observational data at present and also in the future. As described in the previous section, we determine the analytic fitting formulae for the photon production rate
and the emissivity
in region I
region IV separately.
3.1 Region I (
keV)
The analytic fitting formula was obtained by Itoh et al. (2002a, which we refer to IKN hereafter) for the electron-electron bremsstrahlung Gaunt factor in the non-relativistic approximation. The fitting range in the IKN paper is 50 eV
keV for the electron temperature and
for the photon energy in units of the electron temperature. The analytic fitting formula for the photon production rate is given by
| |
= | ![]() |
(26) |
| = | ![]() |
(27) | |
| = | (28) | ||
| X | = | (29) | |
| = | (30) | ||
| = | ![]() |
(31) |
where
Table 1:
Coefficients
(taken from Itoh et al. 2002a).
3.2 Region II (1 keV
keV)
In this temperature region, the full relativistic calculation with Coulomb corrections is necessary for the calculation of
.
We define the fitting formulae for the photon production rate as follows:
| (32) |
where
| |
= | ![]() |
(33) |
| = | ![]() |
(34) | |
| = | ![]() |
(35) |
where
| |
= | ![]() |
(36) |
| = | ![]() |
(37) |
The numerical values of the coefficients
Table 2:
Coefficients
(taken from Itoh et al. 2002a).
Table 3:
Coefficients
and
.
Table 4:
Coefficients
.
![]() |
Figure 4:
Plotting of errors for the analytic fitting functions
|
| Open with DEXTER | |
In a similar way, the fitting function for the emissivity
is given as follows:
| |
= | (38) | |
| = | |||
![]() |
|||
![]() |
(39) |
where
Table 5:
Coefficients
and
.
3.3 Region III (300 keV
MeV)
In this temperature region, the full relativistic calculation is necessary for the calculation of
,
although the Coulomb corrections are negligible. We define the fitting formula for the photon production rate as follows:
| |
= | ![]() |
(40) |
| = | ![]() |
||
![]() |
(41) | ||
| = | ![]() |
(42) | |
| = | ![]() |
(43) |
where
Similarly, the fitting formula for the the emissivity
is given as follows:
| |
= | (44) | |
| = | |||
| (45) |
The fitting region is 300 keV
3.4 Region IV (
MeV)
In this temperature region, the extreme-relativistic approximation (Alexanian 1968) is sufficiently accurate to within the 1% errors. The explicit forms of the photon production rate and the emissivity have already been shown in the previous section. They are as follows:
| |
= | ![]() |
(46) |
| = | (47) |
where
![]() |
Figure 5:
Plotting of the errors for the analytic fitting function
|
| Open with DEXTER | |
4 Concluding remarks
We have studied the relativistic electron-electron thermal bremsstrahlung based upon the approaches given by Haug (1975a,b), and Stepney & Guilbert (1983). The photon production rate
and the emissivity
were calculated for the electron temperature 1 keV
MeV and for 10
,
where x is the photon energy in units of the electron temperature. We have calculated the analytic fitting formulae for the numerical data of both the photon production rate and the emissivity. The obtained analytic fitting formulae have reproduced the numerical integration of Eq. (7) to within 0.5% errors for 1 keV
MeV. We have also found that the non-relativistic approximation can be used within its 1% errors for
keV, whereas the extreme-relativistic approximation can be used within its 1% errors for
MeV. Combining the existing analytic expressions for the non-relativistic approximations and the extreme-relativisticapproximations, we have obtained analytic fitting formulae for
and
in the entire electron temperature regime. We summarize the expressions of the analytic fitting formulae for the photon production rate and the emissivity as follows:
| (48) |
![]() |
(49) |
| |
= | ||
| (50) |
![]() |
(51) |
In Eqs. (49) and (51) the regions I-IV are defined by Eq. (25). The present analytic fitting formulae will be useful for the analysis of the precision observational data acquired by the Chandra X-Ray Observatory, the XMM-Newton X-ray Observatory, the Suzaku X-ray Observatory, and the next generation X-ray and gamma-ray observatories for the electron energies from non-relativistic regime to mildly-relativistic regime. Assuming the thermal plasma, the present formulae will be also applicable to relativistic regime. Finally, the subroutines of all the fitting formulae will de downloadable from our website
Acknowledgements
We wish to thank our referee for many useful suggestions. We wish to thank Prof. Y. Oyanagi for allowing us to use the least squares fitting program SALS.
References
- Alexanian, M. 1968, Phys. Rev., 165, 253 [NASA ADS] [CrossRef]
- Allen, S. W., Ettori, S., & Fabian, A. C. 2001, MNRAS, 324, 877 [NASA ADS] [CrossRef] (In the text)
- Dermer, C. D. 1986, ApJ, 307, 47 [NASA ADS] [CrossRef] (In the text)
- Elwert, G. 1939, Ann. Phys., 34, 178 [CrossRef] (In the text)
- Haug, E. 1975a, Z. Naturforsch., 30a, 1099 [NASA ADS] (In the text)
- Haug, E. 1975b, Z. Naturforsch., 30a, 1546 [NASA ADS]
- Itoh, N., Sakamoto, T., Kusano, S., Nozawa, S., & Kohyama, Y. 2000, ApJS, 128, 125 [NASA ADS] [CrossRef] (In the text)
- Itoh, N., Kawana, Y., & Nozawa, S. 2002a, Il Nuovo Cimento, 117B, 359 [NASA ADS] (In the text)
- Itoh, N., Sakamoto, T., Kusano, S., Kawana, Y., & Nozawa, S. 2002b, A&A, 382, 722 [NASA ADS] [CrossRef] [EDP Sciences]
- Maxon, M. S. 1972, Phys. Rev. A, 5, 1630 [NASA ADS] [CrossRef] (In the text)
- Maxon, M. S., & Corman, E. G. 1967, Phys. Rev., 163, 156 [NASA ADS] [CrossRef] (In the text)
- Nozawa, S., Itoh, N., & Kohyama, Y. 1998, ApJ, 507, 530 [NASA ADS] [CrossRef] (In the text)
- Sato, K., Yamasaki, N. Y., Ishida, M., et al. 2007, PASJ, 59, 299 [NASA ADS] (In the text)
- Schmidt, R. W., Allen, S. W., & Fabian, A. C. 2001, MNRAS, 327, 1057 [NASA ADS] [CrossRef] (In the text)
- Stepney, S., & Guilbert, P. W. 1983, MNRAS, 204, 1269 [NASA ADS]
- Stickforth, J. 1961, Z. Phys., 164, 1 [NASA ADS] [CrossRef]
- Svensson, R. 1982, ApJ, 258, 335 [NASA ADS] [CrossRef] (In the text)
Footnotes
All Tables
Table 1:
Coefficients
(taken from Itoh et al. 2002a).
Table 2:
Coefficients
(taken from Itoh et al. 2002a).
Table 3:
Coefficients
and
.
Table 4:
Coefficients
.
Table 5:
Coefficients
and
.
All Figures
![]() |
Figure 1:
Plotting of
|
| Open with DEXTER | |
| In the text | |
![]() |
Figure 2:
Plotting of the emissivity
|
| Open with DEXTER | |
| In the text | |
![]() |
Figure 3:
Plotting of
|
| Open with DEXTER | |
| In the text | |
![]() |
Figure 4:
Plotting of errors for the analytic fitting functions
|
| Open with DEXTER | |
| In the text | |
![]() |
Figure 5:
Plotting of the errors for the analytic fitting function
|
| Open with DEXTER | |
| In the text | |
Copyright ESO 2009
Current usage metrics show cumulative count of Article Views (full-text article views including HTML views, PDF and ePub downloads, according to the available data) and Abstracts Views on Vision4Press platform.
Data correspond to usage on the plateform after 2015. The current usage metrics is available 48-96 hours after online publication and is updated daily on week days.
Initial download of the metrics may take a while.
![$\displaystyle \frac{c n_{\rm e}^{2}}{[2 \tau K_{2}(1/\tau)]^{2}} \int {\rm d} \...
... e}^{-\epsilon_{1}/\tau} \int {\rm d} \epsilon_{2} {\rm e}^{-\epsilon_{2}/\tau}$](/articles/aa/full_html/2009/21/aa11272-08/img36.png)





![$\displaystyle \frac{3}{16 \pi^{2}} \frac{x^{2} \sqrt{\tau}}{\left[2 {\rm exp}(1/\tau) K_{2}(1/\tau) \right]^{2}} \int_{0}^{\infty} {\rm d}s {\rm e}^{-s}$](/articles/aa/full_html/2009/21/aa11272-08/img63.png)


















![\begin{figure}
\par\includegraphics[angle=-90,width=9cm,clip]{1272fig1.eps} %
\end{figure}](/articles/aa/full_html/2009/21/aa11272-08/Timg109.png)
![\begin{figure}
\par\includegraphics[angle=-90,width=9cm,clip]{1272fig2.eps}
\end{figure}](/articles/aa/full_html/2009/21/aa11272-08/Timg112.png)
![\begin{figure}
\par\includegraphics[width=7cm,clip]{1272fig3.eps}
\end{figure}](/articles/aa/full_html/2009/21/aa11272-08/Timg120.png)









![\begin{figure}
\par\includegraphics[angle=-90,width=9cm,clip]{1272fig4.eps}
\end{figure}](/articles/aa/full_html/2009/21/aa11272-08/Timg166.png)







![\begin{figure}
\par\includegraphics[width=7cm,clip]{1272fig5.eps}
\end{figure}](/articles/aa/full_html/2009/21/aa11272-08/Timg202.png)

