| Issue |
A&A
Volume 499, Number 3, June I 2009
|
|
|---|---|---|
| Page(s) | 773 - 781 | |
| Section | Interstellar and circumstellar matter | |
| DOI | https://doi.org/10.1051/0004-6361/200811562 | |
| Published online | 29 April 2009 | |
A new grid of NLTE accretion-disc models for AM CVn systems: application to CE 315
T. Nagel - T. Rauch - K. Werner
Institut für Astronomie und Astrophysik, Kepler Center for Astro and Particle Physics, Eberhard-Karls-Universität, Sand 1, 72076 Tübingen, Germany
Received 21 December 2008 / Accepted 12 March 2009
Abstract
Context. AM CVn stars are very compact interacting binary systems with helium-dominated spectra. The nature of the donor star remains unclear, but the accretion disc represents the chemical composition of the donor's atmosphere. Analysing the disc will therefore help us to understand the donor star and the formation of these systems.
Aims. We investigate the influence of primary mass, mass-accretion rate, chemical abundances, irradiation by the primary, and inclination on the spectrum of the accretion disc to determine the extent to which it is possible to deduce these system properties by comparison with observed spectra.
Methods. We compute a grid of metal-line blanketed NLTE accretion-disc spectra for an extensive parameter space by solving self-consistently the radiative-transfer equations and the equations describing the vertical structure using our accretion disc code AcDc.
Results. We detect emission-line spectra for low and absorption-line spectra for high mass-accretion rates. Irradiation of the accretion disc by the primary has almost no influence on the spectrum. The spectroscopic detection of the primary is achievable most easily in the UV. Comparing an observed spectrum of CE 315 with our accretion-disc models, we find the qualitatively closest match for a 0.8
primary and a mass-accretion rate of
/yr. Furthermore, the disc of CE 315 exhibits a strong silicon underabundance confirming the hypothesis that it is a Pop. II object.
Key words: accretion, accretion disks - navae, cataclysmic variables - stars: individual: CE 315
1 Introduction
AM CVn stars are close, interacting binary systems with very short
orbital periods below the 78 min period minimum of classical, hydrogen cataclysmic
variables (CVs). Their spectra are dominated by helium lines. They are named
after the prototype AM CVn (also known as HZ 29), whose binarity was
proposed for the first time by Smak (1975).
Presently, 21 of these systems are known (Table 1),
seven of them having been discovered by the Sloan Digital Sky
Survey (Roelofs et al. 2005; Anderson et al. 2005). The accretor is a
white dwarf (WD), whereas the nature of the Roche-lobe-filling low-mass
(
)
donor remains unclear. It might be a
helium white dwarf, a helium star, or the helium-rich core of an
evolved CV secondary (for more details see, e.g., Nelemans 2005). Since
the matter in the accretion disc originates in the outer layers of the
donor star, the analysis of the disc and the determination of its
chemical composition will help us to understand the nature of the donor
and the formation channel of AM CVn systems.
AM CVn systems are discussed to contribute significantly to the Type Ia supernova production rate (Solheim & Yungelson 2005; Nelemans et al. 2001). Furthermore, they are sources of low-frequency gravitational wave radiation, which will be detectable with the future Laser Interferometer Space Antenna LISA (e.g., Hils & Bender 2000).
The AM CVn stars can be divided into subgroups according to their orbital
periods. The first group includes systems with ultra-short
periods below 10 min. They are probably direct-impact accretors without
an accretion disc. The short-period group (
min) with
high mass-accretion rates of about
exhibits
mostly absorption-line spectra, whereas the long-period group (
35 min) with low mass-accretion rates of about
/yr exhibits emission-line spectra. In-between are the
outbursting systems, which undergo dwarf-nova cycles like hydrogen
CVs but on shorter timescales because of their much smaller
accretion discs. Depending on their state in the dwarf-nova cycle, they
show emission- or absorption-line spectra.
There have been various attempts to model the accretion disc
in AM CVn systems. Tsugawa & Osaki (1997) calculated
the thermal-tidal instability cycle for helium discs.
Kunze et al. (2001) studied the interaction between the infalling
gas stream and the disc.
Semionovas & Solheim (1999) calculated a model grid of hydrogen-helium NLTE
discs and applied it to four of the AM CVn systems,
El-Khoury & Wickramasinghe (2000) calculated a LTE model grid of
hydrogen-helium discs in the optical range, and applied it to AM CVn and CR Boo.
Nasser et al. (2001) calculated NLTE H/He-disc spectra for
some AM CVn systems in the optical wavelength range, varying the
mass-accretion rate only slightly (
/yr).
Nagel et al. (2004) analysed the optical spectrum of AM CVn itself,
using their own NLTE disc models containing H, He, C, N, O,
and Si.
Table 1: The known AM CVn systems.
In this work, we calculated an extended grid of NLTE accretion-disc models, containing H, He, C, N, O, and Si, to study the influence of parameters such as primary mass, mass-accretion rate, or chemical abundances on the disc spectrum. The values of primary mass and mass-accretion rate were selected to include the variety of AM CVn systems. It is the first time that a such an extensive helium-dominated model grid, including the effects fo metals, has been calculated for wavelengths between the EUV and IR.
In the next section, we briefly introduce our modelling of accretion discs and their spectra. In Sect. 3, we present vertical structures and spectra of the accretion discs, varying the primary mass, mass-accretion rate, chemical abundances, and inclination angle. We also consider the effect of irradiation of the disc by the primary for different cases and the possibility of a spectroscopic detection of the primary. Finally, we compare our model spectra with an observed spectrum of CE 315 (Sect. 4). We close with a brief summary in Sect. 5.
2 Accretion-disc modelling
For the calculation of the metal-line blanketed NLTE accretion-disc
models, we use our accretion-disc code AcDc
(Nagel et al. 2004). It is based on the radial structure of an
-disc (Shakura & Sunyaev 1973), assuming a stationary, geometrically thin disc (total
disc thickness H is much smaller than the disc diameter). This
allows the decoupling of the vertical and radial structures and, together
with the assumption of axial symmetry, we can separate the disc into
concentric annuli of plane-parallel geometry. In that way, the radiative
transfer becomes a one-dimensional problem. The mass of the disc is
far smaller than the mass of the central object, so we can neglect self-gravitation.
The radial distribution of the effective temperature
can be described by
where M1 and R1 denote the mass and the radius of the central object,
![]() |
(2) |
for the kinematic viscosity w.
For each disc ring, the following set of coupled equations were solved simultaneously under the constraints of particle number and charge conservation:
- -
- radiation transfer for the specific intensity I

(3)
with the absorption coefficient
,
the emission coefficient
,
the geometrical disc height z above the midplane, and
with
being the angle between the ray and
z. To consider irradiation of the accretion disc by the primary, the irradiation angle
and the spectrum of the primary (black-body or detailed model-atmosphere spectrum) must be specified.
Since we employ a five-point Gaussian quadrature for angle
integration, the stellar disc is usually unresolved (except for annuli
very close to the star) and the irradiated flux is assigned to a
single quadrature point. Stellar limb darkening is neglected;
- -
- hydrostatic equilibrium between gravitation, gas pressure
,
and radiation pressure

(4)
with
denoting the mass density, and H the Eddington flux. Here we also introduced the
column mass depth m as

(5) - -
- energy balance between the viscously generated energy
and the radiative energy loss

(6)
with

(7)
and

(8)
with the angular velocity
,
and the mean intensity J. Convection
(
)
is neglected in our models;
- -
- NLTE rate equations for the population numbers ni of the
atomic levels i

(9)
Pij denotes the rate coefficients, consisting of radiative and collisional components. For the static case, it follows that

(10)
The input parameters we have to provide for the calculation of disc rings
are the mass M1 and radius R1 of the primary, the mass-accretion
rate
,
the Reynolds number Re, the radius of the
annulus R, the chemical abundances, the irradiation angle
,
and
the spectrum or the black-body temperature
of the
primary. Detailed information about the involved atomic data is
provided in the form of a model atom (cf. Rauch & Deetjen 2003).
Since the accretion discs of AM CVn stars are fed by a helium-rich secondary, we assume a disc composition dominated by helium. Hydrogen, carbon, nitrogen, oxygen, and silicon are considered with varying abundances (Table 4). Iron-group elements and molecule formation are not considered. Details about our model atoms are shown in Table 2, the silicon lines in the optical and UV are split into multiplets (assuming relative LTE populations for the sublevels).
Table 2: Statistics of the model atoms used in our disc models.
The model grid presented here comprises more than 70 accretion discs with about 10 single disc-ring models each. For each disc, the spectrum for five inclination angles is calculated.
3 The model grid
We calculated a grid of accretion-disc models to cover the entire parameter
range of AM CVn systems. We assumed five different primaries
from 0.6 to 1.4
,
for each four different mass-accretion rates
from 10-8 to 10-11
/yr (see Table
3). Every disc spectrum is calculated for at least
three different chemical compositions. Unless otherwise noted, all
plots shown are of composition #2 (Table 4).
The maximum outer radius of the discs is defined by the tidal radius,
where the disc is truncated by the tidal forces of the secondary. It
can approximately be written (Warner 1995) as
![]() |
(11) |
with the binary's separation a and the mass ratio q=M2/M1. The separation can be derived from Kepler's law. For the highest mass-accretion rate systems, we assumed an orbital period of 1000 s, for the lowest mass-accretion rate systems 3000 s and for the systems in between 1500 s. For the companion, we assumed a mass of 0.05
Figure 1 shows the radial variation in the effective temperature as well as the radial extension for the five primary masses and all mass-accretion rates. Here and in the following, the effective temperatures of the disc are always intrinsic, regardless of whether irradiation is considered or not. Our hottest model has effective temperatures of between 120 000 K and 22 000 K, whereas the coolest disc only varies between 9000 K and 4000 K. As an example, Fig. 2 shows the vertical ionisation structure of an inner disc ring for low and high mass-accretion rates.
Table 3:
Parameters of the model grid. M1, R1 and g are the mass, the radius and the surface
gravity of the white dwarf primary, respectively,
the mass-accretion
rate, log g is calculated from M1 and R1.
Table 4: Variation in the abundances for the included elements with [x] = log(mass fraction/solar mass fraction) of species x, following Grevesse & Sauval (2000) for the solar abundances.
![]() |
Figure 1:
Radial run of disc effective temperature for five primary
masses and four mass-accretion rates (in each panel
|
| Open with DEXTER | |
![]() |
Figure 2:
Vertical run of ionisation fractions for a primary with 0.6 |
| Open with DEXTER | |
3.1 Variation of the primary mass
With increasing primary mass and constant mass-accretion rate, the accretion disc becomes hotter, due to the stronger gravitational field of the more compact primary (Fig. 1). In Fig. 3, the vertical structures of a ring in the inner part (1.9 R1) of the disc are shown for all five primary masses at low mass-accretion rate. In the case of low-mass primaries, the temperature structure becomes nearly isothermal and the disc is optically thin.
![]() |
Figure 3:
Vertical structure of an inner disc ring at a radius of 1.9 R1 for different
primary masses at a mass-accretion rate of
10-11 |
| Open with DEXTER | |
Figure 4 shows the optical and UV spectra of the accretion
discs for the five primary masses and mass-accretion rates of
10-8
yr and 10-11
yr, all shown for the
same inclination angle (18
). As expected from observations, the low
mass-accretion rate models show strong emission-line spectra and the high
mass-accretion rate models absorption-line spectra. In the case of low
mass-accretion rates, the total flux in the optical and UV increases with increasing
primary mass due to the higher disc temperature. In the case of high mass-accretion, the disc model with the most massive primary dominates the UV, but in
the optical spectral range the disc fluxes with the lower-mass primaries are higher.
![]() |
Figure 4:
Accretion-disc spectra for a mass-accretion rate of
10-8 (bottom panel) and 10-11 |
| Open with DEXTER | |
In Fig. 5, the spectra of single rings of a disc with a
0.6
primary and a mass-accretion rate of
10-10
/yr are shown. Due to the different effective
temperatures in the inner and outer parts of the disc, the spectra
differ significantly and show absorption lines in the inner and
emission lines in the outer disc region.
![]() |
Figure 5:
Disc ring spectra from the inner (top graph, 1.4 R1) to the outer
(bottom graph, 12.6 R1) part of the accretion disc for an 0.6 |
| Open with DEXTER | |
3.2 Variation of the mass-accretion rate
An increase in the mass-accretion rate at the same primary mass leads to a higher disc temperature, which can be seen in Fig. 6, where the vertical structures of an inner disc ring (1.9 R1) are shown for a low-mass primary at four different mass-accretion rates. The surface density increases with increasing accretion rate, as can be seen from the log m value at the inner depth point.
![]() |
Figure 6:
Vertical structure of an inner disc ring (1.9 R1) for different
mass-accretion rates with a WD primary of 0.6 |
| Open with DEXTER | |
Figure 7 (lower panel) shows the change from an absorption-line spectrum
to an emission-line spectrum with decreasing mass-accretion rate for a
low-mass primary of 0.6
.
Furthermore, the continuum flux
level is reduced by almost a factor of 1000 due to the decrease in temperature. In the case of the most
massive primary with 1.4
,
we found a weak emission-line spectrum only for our lowest
mass-accretion rate (Fig. 7, upper panel).
![]() |
Figure 7:
Accretion-disc spectra for a primary with 0.6 (bottom panel) and
1.4 |
| Open with DEXTER | |
3.3 Variation in chemical abundances
The variation in the chemical abundances for a low-mass and a high-mass primary is shown in Figs. 8 and 9. We compare models with chemical compositions as listed in Table 4.
In the case of the low-mass primary, there are strong Si lines in the
optical, which disappear only for strong Si underabundance. In the case of
the high-mass primary, it is difficult to see any differences in the
optical disc spectra, but in the UV the disappearance of carbon and
silicon lines with corresponding underabundance can be clearly
seen. By comparing our model spectra with observations, it should be
possible to reveal a metal underabundance in the accretion discs of
AM CVn systems, as already proposed for GP Com (Marsh et al. 1991; Morales-Rueda et al. 2003).
The determination of hydrogen in the accretion disc is especially
interesting in the case of the white-dwarf formation channel of
AM CVn stars, where it is possible that a small amount of hydrogen remains (Podsiadlowski et al. 2003). We increased the abundance of hydrogen in a high
and low mass-accretion rate disc for two primaries (0.6 and
1.2
)
to deduce the upper limits at which hydrogen becomes
visible in the spectrum. We found that in low-state systems a
H abundance of 10-6 already leads to strong Balmer emission lines
(Fig. 9, right panel), whereas in the UV no hydrogen
lines are detectable. In high-state systems, only an abundance of
10-3 produces significant Balmer lines (Fig. 9,
left panel). In the UV, even an abundance of 10-2 is
needed to see significant hydrogen lines.
![]() |
Figure 8:
Accretion-disc spectra for a primary with 1.2 |
| Open with DEXTER | |
| |
Figure 9:
Accretion-disc spectra for different hydrogen abundances. Left panel:
|
| Open with DEXTER | |
3.4 Variation of inclination
All models so far have been shown for an inclination angle of
18
.
The variation in the inclination also leads to strong
differences in the spectra, which is shown in Fig. 10
for two primary masses. The spectral lines become broader with
increasing inclination due to the increasing radial component of the Kepler
rotation velocity. At the same time, the total flux decreases because of the smaller
visible projected surface area of the disc and limb-darkening effects.
![]() |
Figure 10:
Accretion-disc spectra for a primary with 0.6 |
| Open with DEXTER | |
3.5 Irradiation by the primary
The geometry of AM CVn systems is quite extreme, as can be seen from
Fig. 11, where a sketch of a primary with 0.6
and the
accretion disc is shown. This leads to rather
large irradiation angles of more than 20
for the inner part and
about 5
for the outer part of the accretion disc. We accounted for
irradiation of the disc by the primary for two primary masses at high and
low mass-accretion rate to investigate the influence on the vertical
structure and disc spectrum.
The irradiation was performed with a 20 000 K black-body spectrum for
the low and 50 000 K, 80 000 K, and 100 000 K for
the high mass-accretion rate system. These effective temperatures for the primary are
reasonable, following Bildsten et al. (2006), who calculated the heating
and cooling of the accreting white dwarf in AM CVn systems.
Using white-dwarf model spectra instead of black-body spectra for the
irradiation does not show any difference in the resulting accretion-disc spectrum.
Figure 12 compares, as an example, the vertical temperature structures of irradiated
and non-irradiated disc rings for high mass-accretion rate (10-8
/yr) in
the case of a 0.8
primary. The upper layers of the disc
rings are heated up by the irradiation, but the spectra do not significantly differ (not shown). At low mass-accretion rate and with irradiation
from a 20 000 K primary, the UV spectrum changes slightly, while the optical
spectrum is unaffected (see Fig. 13).
| |
Figure 11:
Sketch of a cut through an AM CVn system (primary with
0.6 |
| Open with DEXTER | |
| |
Figure 12:
Temperature structure in the inner (1, 1.3 R1) and outer part (2, 12 R1) of the
disc, irradiated by a white dwarf with
|
| Open with DEXTER | |
![]() |
Figure 13:
Comparison of an irradiated (
|
| Open with DEXTER | |
![]() |
Figure 14:
Comparison of spectra of accretion disc and white
dwarf. Top panel: 1.2 |
| Open with DEXTER | |
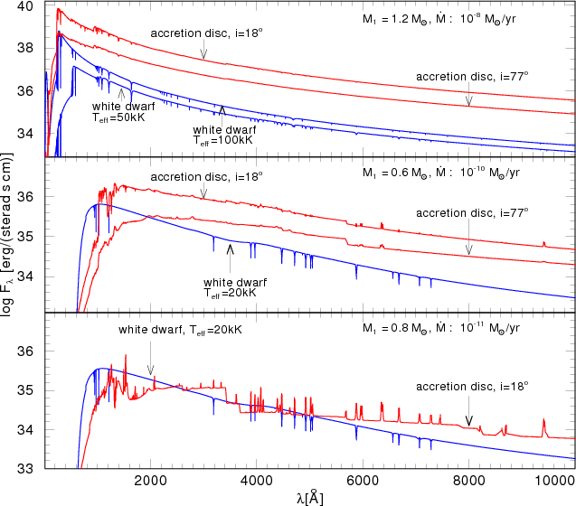
3.6 Disc and primary
Since AM CVn systems are very compact binaries, it is impossible to resolve
their components. The spectra we obtain correspond to the light of the white
dwarf, the accretion disc, and the donor star. Only for one of the
AM CVn systems the primary seems to have been spectroscopically detected
(Sion et al. 2006). To investigate the amount to which the white
dwarf contributes to the total spectrum, we calculated synthetic helium-dominated (H/He = 10-5)
spectra using our stellar atmosphere code TMAP. We then weighted the
spectra with the WD surface area, ignoring partial
occlusion by the accretion disc, and compared them with the
accretion-disc spectra (Fig. 14).
For high mass-accretion rates (
/yr), we assumed a hot WD of
50 000 K and 100 000 K. We found that the flux of even the coolest
disc is higher than the flux of the related white dwarf (
K).
At low mass-accretion rate (
/yr), assuming a WD of 20 000 K,
there is a chance of detecting the primary in the UV,
especially if the disc is at high inclination. In the optical and
infrared range, the disc flux is much higher than that of the white dwarf,
even if we reduce the disc size drastically (3-7 R1 instead of 1.3-12.5 R1).
The optimal opportunity of detecting the WD spectroscopically is in
systems with the lowest mass-accretion rate (
/yr, again
assuming
= 20 000 K).
![]() |
Figure 15:
Comparison of the spectrum of CE 315 (Ruiz et al. 2001, thick line)
with a model spectrum with solar and 0.001 times solar
silicon abundance (lower panel, zoom). The mass of the primary is
0.8 |
| Open with DEXTER | |
4 Model versus observation in the case of CE 315
CE 315 is the AM CVn system with the longest known orbital period
(65.1 min). The optical spectrum shows emission lines of He I and
He II, and a few weak N I and N II lines. The accretor mass is about
0.77
(Ruiz et al. 2001).
The profile of the spectral lines is variable on a timescale of a few
minutes, probably due to the rotating hotspot, the collisional
region between accretion stream and accretion disc.
The helium lines often show three peaks. Ruiz et al. (2001) suggested that the
outer components originate in the accretion disc, whereas the central peak
is produced by the boundary layer. In the case of He II
4686 Å the central component dominates the line
completely. This central peak feature is also seen in GP Com
(Smak 1975; Morales-Rueda et al. 2003) and is much weaker in SDSS J124058.03-015919.2
(Roelofs et al. 2005). Because of the absence of silicon lines in the UV
(Gänsicke et al. 2003) and optical spectra, CE 315 is thought to be a
Population II object (Roelofs et al. 2005; ). A strong
silicon underabundance (10-3 times solar) has also been found for GP Com
(Marsh et al. 1991).
From the analysis of the X-ray spectrum of CE 315, ()
found a significant enhancement of nitrogen (68-92% more than the solar value).
In Fig. 15, we compare an observed spectrum of CE 315
(Ruiz et al. 2001) with two model spectra with solar and 0.001 times solar silicon abundance. We assumed
and
/yr. It is clearly indicative of a
strong silicon underabundance (<0.001 times solar) in the accretion disc of CE 315.
Since the model spectra are too flat, we
added a hotter disc ring to the innermost part (1.1-1.4 R1) of the disc to approximate a type of a
boundary layer. Using a ring of
/yr, the flux in the UV becomes too high, in contrast to the observation showing almost no
continuum in UV (Gänsicke et al. 2003). With a mass-accretion rate of
/yr, the flux in the UV is comparable to that of
observations but in the optical still remains too flat.
In addition to this boundary layer, we added to the outermost part of the disc a hot area approximating a hot-spot region in the following way. We took the structure of the outermost disc
ring and heated the upper layers artificially from about 10 000 K to
35 000 K. The result was an almost identical emission-line spectrum in the optical but of a higher flux
level. In the final integration of all disc rings, this region was
extended 20 degrees in azimuth and between 12 and 13.5 R1 in
radial direction, representing the hot-spot region.
Finally, we reduced the silicon abundance to 0.0001 times solar and set
the nitrogen abundance to 2 times solar. The resulting model spectrum is shown in the upper panel
of Fig. 16. In general, the observed spectrum is reproduced
well, but some of the helium lines are too weak, and others are too strong.
We also determined the possible contribution of the white dwarf to the observed spectrum.
In the middle panel of Fig. 16, the combined model spectrum
of the pure disc (no boundary region or hotspot) and a white dwarf
(
K, log g=8.3) is compared with observations. The observed spectrum is reproduced qualitatively
well indicating that the WD's contribution should not be
neglected. Because of to the missing hotspot, the spectral lines are double peaked.
The lower panel of Fig. 16 shows in detail He I
6678 Å. The
influence of the orbiting hotspot on the line profile is obvious.
![]() |
Figure 16:
Top panel: comparison of the spectrum of CE 315
(Ruiz et al. 2001, thick line) with a model with 0.0001
times solar silicon abundance, a boundary layer and a hotspot region. Middle: accretion disc without boundary layer and hotspot, combined with the model spectrum of a white dwarf (
|
| Open with DEXTER | |
5 Summary
We have presented our grid of NLTE accretion-disc models for AM CVn systems.
In the framework of the Virtual Observatory
(VO),
all spectral energy distributions (SEDs,
)
described here will be available in VO compliant form from the VO service
TheoSSA
provided by the German Astrophysical Virtual Observatory
(GAVO
).
We used primary masses between 0.6
and 1.4
and
mass-accretion rates between 10-11 and 10-8
/yr
and varied the chemical composition. Our main results are as follows:
- 1.
- Discs with high mass-accretion rate (10-8
/yr) show absorption-line
spectra, and discs with low mass-accretion rate
(10-10-10-11
/yr) emission-line spectra, as
expected from observations.
- 2.
- Underabundances of C, O, and Si should be detectable by comparisons with observed spectra. A hydrogen abundance of 10-5 (mass fraction) leads to strong Balmer emission lines in low-state systems. In high-state systems, an abundance of 10-3 is necessary to obtain detectable Balmer lines. In both cases, it is nearly impossible to detect hydrogen lines in the UV.
- 3.
- Irradiation of the accretion disc by the primary (
= 20 000 K for
low-state and outbursting systems,
= 50 000 K up to
= 100 000 K for high-state systems) heats up the upper
layers of the disc but has almost no effect on the spectrum.
- 4.
- Comparing the spectra of the primary white dwarf and the accretion
disc shows that the primary, if at all, can
be seen only in UV. The optical spectral range is dominated by the
disc for
between 10-8 and
10-10
/yr. Only for the lowest rate of
10-11
/yr is the continuum flux of the white dwarf in
the optical higher than the disc flux.
- 5.
- The accretion-disc spectrum of CE 315 is reproduced well by
assuming a 0.8
primary, a mass-accretion rate of
10-11
/yr, and a white dwarf with
= 20 000 K, and log g = 8.3.
- 6.
- An orbiting hotspot in the outer part of the disc produces a modulation in the helium-line profiles.
- 7.
- We have confirmed a strong silicon underabundance in the accretion disc of CE 315 and, hence, that this system might be a Population II object.
Acknowledgements
We thank M. T. Ruiz for providing us with the observed spectrum of CE 315. T.R. is supported by the German Astrophysical Virtual Observatory (GAVO) project of the German Federal Ministry of Education and Research (BMBF) under grant 05 AC6VTB.
References
- Anderson, S. F., Haggard, D., Homer, L., et al. 2005, AJ, 130, 2230 [NASA ADS] [CrossRef]
- Anderson, S. F., Becker, A. C., Haggard, D., et al. 2008, AJ, 135, 2108 [NASA ADS] [CrossRef]
- Bildsten, L., Townsley, D. M., Deloye, C. J., & Nelemans, G. 2006, ApJ, 640, 466 [NASA ADS] [CrossRef] (In the text)
- El-Khoury, W., & Wickramasinghe, D. 2000, A&A, 358, 154 [NASA ADS] (In the text)
- Gänsicke, B. T., Szkody, P., de Martino, D., et al. 2003, ApJ, 594, 443 [NASA ADS] [CrossRef] (In the text)
- Grevesse, N., & Sauval, A. 2000, Solar Abundances, ed. P. Murdin, Encyclopedia of Astronomy and Astrophysics (In the text)
- Hils, D., & Bender, P. L. 2000, ApJ, 537, 334 [NASA ADS] [CrossRef] (In the text)
- Kunze, S., Speith, R., & Hessman, F. V. 2001, MNRAS, 322, 499 [NASA ADS] [CrossRef] (In the text)
- Marsh, T. R., Horne, K., & Rosen, S. 1991, ApJ, 366, 535 [NASA ADS] [CrossRef]
- Morales-Rueda, L., Marsh, T. R., Steeghs, D., et al. 2003, A&A, 405, 249 [NASA ADS] [CrossRef] [EDP Sciences]
- Nagel, T., Dreizler, S., Rauch, T., & Werner, K. 2004, A&A, 428, 109 [NASA ADS] [CrossRef] [EDP Sciences] (In the text)
- Nasser, M. R., Solheim, J.-E., & Semionoff, D. A. 2001, A&A, 373, 222 [NASA ADS] [CrossRef] [EDP Sciences] (In the text)
- Nelemans, G. 2005, in The Astrophysics of Cataclysmic Variables and Related Objects, ed. J.-M. Hameury, & J.-P. Lasota, ASP Conf. Ser., 330, 27 (In the text)
- Nelemans, G., Portegies Zwart, S. F., Verbunt, F., & Yungelson, L. R. 2001, A&A, 368, 939 [NASA ADS] [CrossRef] [EDP Sciences]
- Podsiadlowski, P., Han, Z., & Rappaport, S. 2003, MNRAS, 340, 1214 [NASA ADS] [CrossRef] bibitem[Ramsay et al.(2006)Ramsay, Groot, Marsh, Nelemans, Steeghs, & Hakala]ramsay2006 Ramsay, G., Groot, P. J., Marsh, T., et al. 2006, A&A, 457, 623 [CrossRef] [EDP Sciences] (In the text)
- Rauch, T., & Deetjen, J. L. 2003, in Stellar Atmosphere Modeling, ed. I. Hubeny, D. Mihalas, & K. Werner, ASP Conf. Ser., 288, 103 (In the text)
- Roelofs, G. H. A., Groot, P. J., Marsh, T. R., et al. 2005, MNRAS, 361, 487 [NASA ADS] [CrossRef]
- Roelofs, G. H. A., Groot, P. J., Nelemans, G., Marsh, T. R., & Steeghs, D. 2007a, MNRAS, 379, 176 [NASA ADS] [CrossRef]
- Roelofs, G. H. A., Groot, P. J., Steeghs, D., Marsh, T. R., & Nelemans, G. 2007b, MNRAS, 382, 1643 [NASA ADS] [CrossRef]
- Ruiz, M. T., Rojo, P. M., Garay, G., & Maza, J. 2001, ApJ, 552, 679 [NASA ADS] [CrossRef] (In the text)
- Semionovas, D., & Solheim, J.-E. 1999, in 11th European Workshop on White Dwarfs, ed. J.-E. Solheim, & E. G. Meistas, ASP Conf. Ser., 169, 356 (In the text)
- Shakura, N. I., & Sunyaev, R. A. 1973, A&A, 24, 337 [NASA ADS] (In the text)
- Sion, E. M., Solheim, J.-E., Szkody, P., Gaensicke, B. T., & Howell, S. B. 2006, ApJ, 636, L125 [NASA ADS] [CrossRef] (In the text)
- Smak, J. 1975, Acta Astron., 25, 371 [NASA ADS] (In the text)
- Solheim, J.-E., & Yungelson, L. R. 2005, in 14th European Workshop on White Dwarfs, ed. D. Koester, & S. Moehler, ASP Conf. Ser., 334, 387
- Tsugawa, M., & Osaki, Y. 1997, PASJ, 49, 75 [NASA ADS] (In the text)
- Warner, B. 1995, Cataclysmic variable stars, Cambridge Astrophysics Series (Cambridge, New York: Cambridge University Press) (In the text)
Footnotes
- ... Observatory
- http://www.ivoa.net
- ...TheoSSA
- http://vo.ari.uni-heidelberg.de/ssatr-0.01/TrSpectra.jsp?
- ...GAVO
- http://www.g-vo.org
All Tables
Table 1: The known AM CVn systems.
Table 2: Statistics of the model atoms used in our disc models.
Table 3:
Parameters of the model grid. M1, R1 and g are the mass, the radius and the surface
gravity of the white dwarf primary, respectively,
the mass-accretion
rate, log g is calculated from M1 and R1.
Table 4: Variation in the abundances for the included elements with [x] = log(mass fraction/solar mass fraction) of species x, following Grevesse & Sauval (2000) for the solar abundances.
All Figures
![]() |
Figure 1:
Radial run of disc effective temperature for five primary
masses and four mass-accretion rates (in each panel
|
| Open with DEXTER | |
| In the text | |
![]() |
Figure 2:
Vertical run of ionisation fractions for a primary with 0.6 |
| Open with DEXTER | |
| In the text | |
![]() |
Figure 3:
Vertical structure of an inner disc ring at a radius of 1.9 R1 for different
primary masses at a mass-accretion rate of
10-11 |
| Open with DEXTER | |
| In the text | |
![]() |
Figure 4:
Accretion-disc spectra for a mass-accretion rate of
10-8 (bottom panel) and 10-11 |
| Open with DEXTER | |
| In the text | |
![]() |
Figure 5:
Disc ring spectra from the inner (top graph, 1.4 R1) to the outer
(bottom graph, 12.6 R1) part of the accretion disc for an 0.6 |
| Open with DEXTER | |
| In the text | |
![]() |
Figure 6:
Vertical structure of an inner disc ring (1.9 R1) for different
mass-accretion rates with a WD primary of 0.6 |
| Open with DEXTER | |
| In the text | |
![]() |
Figure 7:
Accretion-disc spectra for a primary with 0.6 (bottom panel) and
1.4 |
| Open with DEXTER | |
| In the text | |
![]() |
Figure 8:
Accretion-disc spectra for a primary with 1.2 |
| Open with DEXTER | |
| In the text | |
| |
Figure 9:
Accretion-disc spectra for different hydrogen abundances. Left panel:
|
| Open with DEXTER | |
| In the text | |
![]() |
Figure 10:
Accretion-disc spectra for a primary with 0.6 |
| Open with DEXTER | |
| In the text | |
| |
Figure 11:
Sketch of a cut through an AM CVn system (primary with
0.6 |
| Open with DEXTER | |
| In the text | |
| |
Figure 12:
Temperature structure in the inner (1, 1.3 R1) and outer part (2, 12 R1) of the
disc, irradiated by a white dwarf with
|
| Open with DEXTER | |
| In the text | |
![]() |
Figure 13:
Comparison of an irradiated (
|
| Open with DEXTER | |
| In the text | |
![]() |
Figure 14:
Comparison of spectra of accretion disc and white
dwarf. Top panel: 1.2 |
| Open with DEXTER | |
| In the text | |
![]() |
Figure 15:
Comparison of the spectrum of CE 315 (Ruiz et al. 2001, thick line)
with a model spectrum with solar and 0.001 times solar
silicon abundance (lower panel, zoom). The mass of the primary is
0.8 |
| Open with DEXTER | |
| In the text | |
![]() |
Figure 16:
Top panel: comparison of the spectrum of CE 315
(Ruiz et al. 2001, thick line) with a model with 0.0001
times solar silicon abundance, a boundary layer and a hotspot region. Middle: accretion disc without boundary layer and hotspot, combined with the model spectrum of a white dwarf (
|
| Open with DEXTER | |
| In the text | |
Copyright ESO 2009
Current usage metrics show cumulative count of Article Views (full-text article views including HTML views, PDF and ePub downloads, according to the available data) and Abstracts Views on Vision4Press platform.
Data correspond to usage on the plateform after 2015. The current usage metrics is available 48-96 hours after online publication and is updated daily on week days.
Initial download of the metrics may take a while.
![\begin{displaymath}T_{\rm eff}(R)~=~\left[\frac{3GM_1\dot{M}}{8\pi\sigma
R^3}\left(1~-~\sqrt{\frac{R_1}{R}}\right)
\right]^{1/4},
\end{displaymath}](/articles/aa/full_html/2009/21/aa11562-08/img26.png)


![\begin{figure}
\par\includegraphics[width=9cm,clip]{1562fg1.ps}
\end{figure}](/articles/aa/full_html/2009/21/aa11562-08/Timg53.png)
![\begin{figure}
\par\includegraphics[width=9cm,clip]{1562fg2.ps}
\end{figure}](/articles/aa/full_html/2009/21/aa11562-08/Timg54.png)
![\begin{figure}
\par\includegraphics[width=9cm,clip]{1562fg3.ps}
\end{figure}](/articles/aa/full_html/2009/21/aa11562-08/Timg55.png)
![\begin{figure}
\par\includegraphics[width=9cm,clip]{1562fg4.ps}
\end{figure}](/articles/aa/full_html/2009/21/aa11562-08/Timg58.png)
![\begin{figure}
\par\includegraphics[width=17.5cm,clip]{1562fg5.ps}
\end{figure}](/articles/aa/full_html/2009/21/aa11562-08/Timg59.png)
![\begin{figure}
\par\includegraphics[width=9cm,clip]{1562fg6.ps}
\end{figure}](/articles/aa/full_html/2009/21/aa11562-08/Timg60.png)
![\begin{figure}
\par\includegraphics[width=9cm,clip]{1562fg7.ps}
\end{figure}](/articles/aa/full_html/2009/21/aa11562-08/Timg61.png)
![\begin{figure}
\par\includegraphics[width=9cm,clip]{1562fg8.ps}
\end{figure}](/articles/aa/full_html/2009/21/aa11562-08/Timg62.png)
![\begin{figure}
\par\includegraphics[width=9cm,clip]{1562fg10.ps}
\end{figure}](/articles/aa/full_html/2009/21/aa11562-08/Timg66.png)
![\begin{figure}
\par\includegraphics[width=9cm,clip]{1562fg13.ps}
\end{figure}](/articles/aa/full_html/2009/21/aa11562-08/Timg70.png)
![\begin{figure}
\par\includegraphics[width=9cm,clip]{1562fg14.ps}
\end{figure}](/articles/aa/full_html/2009/21/aa11562-08/Timg75.png)
![\begin{figure}
\par\includegraphics[width=9cm,clip]{1562fg15.ps}
\end{figure}](/articles/aa/full_html/2009/21/aa11562-08/Timg77.png)
![\begin{figure}
\par\includegraphics[width=9cm,clip]{1562fg16.ps} \end{figure}](/articles/aa/full_html/2009/21/aa11562-08/Timg82.png)