| Issue |
A&A
Volume 499, Number 3, June I 2009
|
|
|---|---|---|
| Page(s) | 765 - 771 | |
| Section | Interstellar and circumstellar matter | |
| DOI | https://doi.org/10.1051/0004-6361/200811603 | |
| Published online | 08 April 2009 | |
Circumstellar dust shells around long-period variables
IX. Dynamics of C-rich AGB star shells dominated by the exterior
-mechanism
C. Dreyer - M. Hegmann - E. Sedlmayr
Technische Universität Berlin, Zentrum für Astronomie und Astrophysik (ZAA), EW 8-1, Hardenbergstr. 36, 10623 Berlin, Germany
Received 30 December 2008 / Accepted 25 February 2009
Abstract
Context. Miras and long-period variables (LPVs) are radially pulsating, highly evolved stars on the Asymptotic Giant Branch. Because of peculiar conditions of this objects, their cool, extended atmospheres are ideal sites for the formation of dust particles. Carbon-rich circumstellar dust shells (CDSs) surrounding stars with high stellar luminosity, tend to become dynamically unstable. They develop a self-maintaining oscillatory pattern caused entirely by dust formation even without the additional input of mechanical momentum from the star (exterior
-mechanism). Since this system obviously has an eigenmode, it is interesting to consider the interaction with an exterior mechanical force, i.e. the radial pulsation at the inner boundary.
Aims. We investigate in great detail the complex dynamical behaviour of carbon-rich CDSs in a more systematic way. This is done by established methods of nonlinear dynamics.
Methods. We consider CDSs as multioscillatory systems that can be analysed with tools of nonlinear dynamics. We also use a discrete Fourier transform to examine the eigenmodes and their behaviour and apply this to a typical model CDS as a representative example.
Results. In the absence of external excitation, the dynamics of the shell are dominated by its eigenmode, which is determined by the characteristic timescale of the coupled system of dust formation, hydrodynamics, and thermodynamics. The input mechanical energy and momentum of an underlying stellar pulsation introduces a new timescale to the system. Depending on the ratio of these two timescales, the dynamical behaviour of the system is either dominated by the eigenmode of the shell, by the excitation force, or can be irregular. In the latter case, the strength of the excitation becomes especially important. However, even for a small excitation period when the system is dominated by the shell's eigenmode, the oscillation of the shell tends to synchronise with the excitation force.
Key words: chaos - hydrodynamics - methods: numerical - stars: AGB and post-AGB - stars: oscillations - stars: circumstellar matter
1 Introduction
Miras and long-period variables (LPVs) are highly evolved stars located
on the asymptotic giant branch (AGB) with stellar luminosities as high as a few
and typical effective temperatures lower than
,
which show slow, massive stellar winds with final outflow
velocities
in the range of some
and mass
loss rates
as high as
.
Modulated absorption of radiation in the stellar interior
(internal
-mechanism) causes large radial pulsations with periods in the range of approximately
(100-1000) d (Whitelock et al. 1991), with a
maximum by number at
(Hoffmeister et al. 1990).
There has been a long-lasting debate about whether these stars pulsate in the fundamental mode or the first overtone (cf. Wood 1995). By comparing MACHO observations of LMC red giants with theoretical models, Wood et al. (1999) were able to provide strong evidence that LPVs on the MIRAS sequence are fundamental mode pulsators. However, the problem becomes even more intriguing, if the complex behaviour of the circumstellar dust shell (CDS) is also taken into account. Since the early work of Eddington & Plakidis (1929), it has been known that the pulsations of Miras are not strictly regular, but show random cycle-to-cycle variations in period and, to a smaller degree, in amplitude. Percy & Colivas (1999) analysed a database of times and magnitudes of maximum and minimum brightness of 391 bright Mira stars over a timeframe of 75 years, finding that the majority of the observed Mira light curves exhibit irregularities over intervals of about 20 cycles. Percy & Bagby (1999) speculated that the observed variations on a timescale of 10-15 times the pulsation period are at least partially due to episodic dust emission.
In the context of the theory of dynamical systems, oscillating circumstellar shells may be conceived as multioscillatory systems, whose eigenfrequencies and normal modes are controlled by the intrinsic timescales of the various coupled physical and chemical processes. Because of the inherently nonlinear nature of the underlying equations, an element of randomness is added to the stellar pulsation (cf. Icke et al. 1992).
Confirmed by Höfner et al. (1996), Fleischer et al. (1995)
demonstrated that an instability caused by the formation of dust (exterior
-effect)
can lead to self-induced oscillations of the CDS.
This instability is controlled by the strong non-local feedback of newly formed dust that
affects the temperature and dynamics of the circumstellar matter because of radiative transfer
effects. As the first dust grains start to form in a specific temperature and
density regime of the circumstellar shell, their subsequent rapid growth strongly
increases the opacity in the dust-forming region. This process affects the dusty
shell in two ways. On the one hand, radiative momentum is transferred effectively
to the dust component and the gas is consequently accelerated in a mass-loss wind via
frictional coupling. On the other hand, the recently formed grains absorb the stellar
radiation very effectively. Isotropically re-emitted mainly in the infrared, it produces
a pronounced heating of the material inside the dust layer. The higher temperature
due to this backwarming not only prevents further nucleation of dust grains inside
the dust shell, but also leads to a slight increase in the pressure of the CDS and a
subsequent generation of small-amplitude waves in the region above the stellar
atmosphere. Because of the density gradient in the shell, these subsonic disturbances
steepen into shock fronts, which propagate outward leading to substantial mass-loss. Thereby, the dust density is diluted, producing a far lower opacity.
Consequently, the stellar radiation is not absorbed effectively any longer. The resulting
decrease in temperature enables a new cycle of dust formation and growth.
This exterior
-mechanism is a periodical phenomenon and its
timescale
is the characteristic or eigenperiod
of the atmosphere,
which is inherent to the dust-forming system. It depends of course on the stellar
parameters such as the abundance ratio of carbon to oxygen or the stellar luminosity.
Extremely high luminosities and low temperatures are needed to sustain the
oscillations of the CDS driven purely by the exterior
-mechanism.
The interplay between the stellar radial pulsation and the exterior
-mechanism
leads to the complex dynamical behaviour of the CDS, which is the subject of our
research. The aim of this article is to examine the characteristics of the CDS
eigenmode and its interaction with the stellar pulsation.
We investigate the complex dynamics of carbon-rich CDSs in a more systematic way than
e.g., Fleischer et al. (1995), using a numerical algorithm of
Discrete Fourier Transform (DFT) to determine the eigenmodes. Our analysis approach is
completed by established tools of nonlinear dynamics, i.e., stroboscopic maps.
We demonstrate the analysis method for a CDS model whose parameters
were chosen to ensure that a stable periodic oscillation of the shell develops even without
external excitation.
The paper is organised as follows. We start with a brief outline of our CDS modelling method in Sect. 2. The methods used to investigate the dynamical behaviour of CDSs are described in Sect. 3, and are applied to a representive model of a CDS in Sect. 4. We examine the characteristics of the CDSs eigenmode and its interaction with the stellar pulsation. This paper finishes with some concluding remarks and a short outlook in Sect. 5.
2 Modelling of the CDS
The approach used in this study to modelling the circumstellar dust-forming shells of C-rich Miras and LPVs is described in detail in Fleischer et al. (1992). The code includes the explicit solution of time-dependent hydrodynamics, thermodynamics, radiation transfer, equilibrium chemistry, and a detailed treatment of dust nucleation, growth, and evaporation (Gail & Sedlmayr 1988) in Lagrangian coordinates. Starting from a given hydrostatic and dust-free initial situation, the purpose of the code is to yield a self-consistent model of both the time evolution and the spatial stratification of all relevant physical and chemical quantities determining the dynamical dust shell.
We consider a spherically symmetric atmosphere surrounding a pulsating red giant, characterised
by the stellar mass M*, the stellar temperature T*, the stellar
luminosity L*, and the
ratio of the photospheric abundance of carbon
to oxygen
.
To simulate
the interior pulsation of the star, the so-called piston approximation (Wood 1979;
Bowen 1988; Bowen & Willson 1991) is applied.
The velocity ui at the inner boundary Ri oscillates sinusoidally in time with period P and
amplitude
.
Consequently, the position of the inner boundary is described by a cosine
variation about an equilibrium position R0. Therefore, the models are defined by the
prescription of the four fundamental stellar parameters
and,
in addition, by the two pulsation parameters
,
.
3 Analysis approach
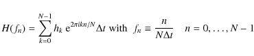
A lucid and profound physical understanding of the system dynamics is provided by Fourier
methods (e.g. Brigham 1974) by detecting the harmonics contained in a given signal.
Since computational studies are never able to analyse continuous functions h(t) but instead
a list of measurements hk sampled at intervals in time
(sampling interval), we
used the Discrete Fourier Transform (DFT) to transform the signal from time
space (t) into
frequency space (f)
. The Fourier spectra
of the amplitude H(fn) and of the power
|H(fn)|2 are calculated according to:
![]() |
(1) |
where H(fn) is the discrete Fourier transform of the N points hk.
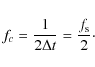
3.1 Sampling
To avoid an aliasing problem, it is important that the signal is sampled with a frequency
so that no information is close to the sampling frequency
.
According to the Sampling Theorem (see e.g., Brigham 1974), the highest frequency
component of a sampled signal that can be correctly identified without aliasing is the
``Nyquist critical frequency'', given by
![]() |
(2) |
Any further increase in the signal frequency above the Nyquist value will result in an overlapping of spectra and contamination of data in the desirable region of the spectrum to be analysed. Aliasing may be minimised by increasing the sampling frequency
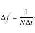
3.2 Spectral resolution
The level of detail or resolution in the frequency spectrum is indicated by the spectral resolution![]() |
(3) |
To resolve small detailed structures in the spectrum of a signal, one needs to ensure that
4 Application
4.1 The CDS as oscillatory system
Only for sufficiently high stellar luminosities
can an oscillation of a CDS
be sustained by the exterior
-mechanism without the input of energy
and momentum by an underlying pulsating stellar atmosphere.
To demonstrate and discuss the space-time evolution of the physical quantities of
a CDS inferred by the numerical solution of the system of fundamental model equations,
we plot the radial structure of the shell in an Eulerian presentation at one arbitrarily
chosen instant of time to display a complete overall picture of the circumstellar dust shell.
Figure 1 shows a snapshot of the radial structure of the fully developed circumstellar
dust shell caused solely by the exterior
-mechanism of an exemplary model with the parameters
,
,
,
and
.
The dust-induced layered shell-structure can be seen for some characteristic hydrodynamical
quantities, and quantities describing the dust complex.
![]() |
Figure 1:
Self-induced radial structure of our exemplary CDS:
|
| Open with DEXTER | |
The density gradient of the initial, hydrostatic structure of our high-luminosity model is gradual
enough, i.e., the density scale height is sufficiently high to allow dust formation in the
initial phase. A subsequent effective growth phase and radiation pressure acting on the newly formed
dust grains both lead to the development of an outflow even without the additional input of mechanical energy.
This is the onset of the instability solely caused by dust formation (exterior
-mechanism).
Due to the backwarming effect of the dust layer, the temperature below the shock front at
times the stellar radius R* increases. Consequently, this leads to a slight
increase in pressure in the innermost region, and the subsequent generation of small-amplitude waves.
The subsonic disturbances steepen because of the density gradient in the innermost region. The newly
formed shock front travels outward and finally compresses the grains contained in the dust-forming region,
thereby triggering the dust growth. The entire process starts again and results in a periodic outflow
as seen in Fig. 1.
This representative CDS model was analysed by Fourier transforms, using the Cooley-Tukey algorithm
(Press et al. 1986). This algorithm imposes the constraint that the number of samples must
be equal to a power of 2 (
), where
is a positive integer.
The velocity structure u(t,r) of a circumstellar outflow is usually taken to be the characteristic
tracer of (multi)periodicity. Consequently, our study is mainly focused on the detailed analysis of
the velocity structure of the CDS model. With
equidistantly sampled, the time-dependent
velocity u(t,r) was Fourier transformed at each fixed radial Eulerian
coordinate r for
,
where R* is the stellar radius. We chose
a spatial resolution of
.
For n=0, the frequency corresponds to the zero-frequency component, caused by the upward shift of the signal (offset). The value of the offset has no effect on the spectrum, and the zero frequency component is therefore negligible.
Our approach considers only the most dominant frequencies, which were tested by grid studies
using non-adaptive and adaptive grids with different numbers of gridpoints
and grid rezoning or remapping
(for details of rezoning see Fleischer et al.
1992) to ensure that no numerical influences dominate the physical structure of the CDS.
To sample the time interval of about
,
we used different sampling
numbers
256, 512,
,
and sampling rates
,
to determine the optimal resolution.
Some parameter combinations led to artificial oscillation modes (pseudo-frequencies) because of the
interaction of the redistributed grid with the sampling rate (cf. Sandin 2008).
The optimal parameter combination for our model CDS was obtained for
N=512,
,
which corresponds to a Nyquist frequency
of
.
Figure 2 depicts the frequency behaviour of the self-sustaining oscillation for our representative CDS. We note that there is no internal pulsation of the star.
![]() |
Figure 2:
Normalised power spectrum of the radial gas velocity u with
some well defined frequencies purely caused by exterior |
| Open with DEXTER | |
The eigenperiod
is determined by the characteristic timescale of the coupled system
of dust formation, hydrodynamics, and thermodynamics within the dust-forming zone. The corresponding
eigenfrequency
is simply given by
.
4.2 Periodically excited CDS
The identification of an eigenmode of the dust-forming circumstellar shell raises the question of how its related oscillatory behaviour interacts with an additional excitation caused by the internal
Since the dynamics of CDSs are basically controlled by the dust, we focused in particular on the
dust nucleation zone, which is usually located around
.
According to our representative model structure (cf. Fig. 1), it is located at
r= 2.5 R*.
4.2.1 Excitation period
A linear system driven by an external periodic force will attempt to follow the applied force and hence oscillates with the applied frequency after a short, transient behaviour. This situation differs significantly from that of a nonlinear system like our CDS. Depending on the strength of its nonlinearity, the system shows a periodic, quasi-periodic, or chaotic behaviour.
The dependence of the oscillation period
of the shell in the dust nucleation zone on
the excitation period P is depicted in Fig. 3, where the ratio of the shell's oscillation
frequency to the eigenfrequency
is displayed for different excitation periods
of constant velocity amplitude
.
Three different regimes can be identified. For an excitation period of below approximately
,
the dynamics of the system is determined by the exterior
-effect. The fundamental mode and its
overtones can be clearly seen. As P increases, they are shifted towards lower frequencies,
become weaker in strength, and eventually vanish when their frequencies reach the excitation frequency f=1/P.
For
,
the CDS is dominated by the movement of the inner boundary.
In-between those two regimes (shaded region), the behaviour of the system becomes irregular. However,
some dominant frequencies can be identified. The piston appears to become more influential with increasing P.
For
,
the piston frequency coincidences with the first harmonic of the eigenfrequency.
Furthermore, it is remarkable that the fundamental mode exhibits a bifurcation at
.
Both
branches are clearly distinguishable until the entire system is enslaved by the moving boundary for
.
When the pulsation is switched on at the inner boundary, the input of mechanical energy
and momentum introduces a new timescale to the system. In combination with the shocks
already generated by the exterior
-effect, the pulsation causes a further
compression of the material to initiate dust growth. The radiation pressure acts on the
newly formed dust and by means of the close momentum coupling between dust and gas, the
two-component medium is accelerated outward. With increasing excitation period P,
the additional input of energy and momentum becomes more significant. Close to the resonance
period
,
one observes a maximum transfer of energy, i.e., maximum amplitude.
This leads to an enhanced density in the dust forming region. Consequently, the stellar
wind becomes far more massive and the mass-loss rate changes from
for the undisturbed CDS, to
for the resonance situation.
In contrast, the final outflow velocity remains almost constant at
compared to
.
As the wind becomes more
intense, the periodic depletion in dust-forming material also increases and it takes
more time to enrich the nucleation zone again. As a consequence, the eigenperiod becomes
longer until the system finally becomes enslaved by the movement of the piston.
![]() |
Figure 3:
Most dominant frequencies of a CDS excited with different piston periods P near the dust nucleation zone
r=2.5 R*. The eigenperiod is labelled
with
|
| Open with DEXTER | |
We now extend our analysis of the CDS by using established tools of nonlinear dynamics.
For nonlinear systems, it is convenient to create so-called stroboscopic maps showing
the time trajectory at discrete time intervals
.
For a fixed position within the dust-forming zone, we projected the orbit in phase space onto the
plane by choosing a time interval
that is short relative to the excitation period P.
For a system at a constant phase angle, i.e., after each period P, one obtains a special
kind of stroboscopic map called a Poincare map. For more details of nonlinear dynamics, we refer the
reader to, for example, Ott (2002).
Figure 4 shows power spectra and stroboscopic maps of the CDS for various
periods
but with
constant excitation-velocity amplitude
.
For comparability, we normalised the different spectra to the same arbitrary unit.
Cases of small amplitudes for short periods are depicted in greater detail in the inserted
boxes of Figs. 4 and 6.
The stroboscopic maps in the lower panels of the Fig. 4 indicate that the
oscillation of the CDS synchronises with the excitation period to some extent.
It can be seen that the system for a constant phase angle (black dots) tends to stay inside a
finite number of clearly demarcated stripes. In a similar way to the orbital resonance in celestial
mechanics, two integers i and j can be found by fullfilling the condition
.
After i periods P, the system approximately recaptures the same physical state, illustrated by
one strip in the Poincare map (marked with arrow). The number of stripes m increases with
decreasing period P and is roughly given by rounding
to the nearest integer.
![]() |
Figure 4:
Power spectra ( upper panels) and stroboscopic maps
( lower panels) for a CDS excited
with different periods P in the dust formig zone at
r=2.5 R*. The maps were
obtained by plotting
|
| Open with DEXTER | |
For
and
,
for example, one finds that i=27.
This means that the system passes through the same state every
.
Under the assumption j=4, this corresponds to
,
which is confirmed
to be
by a Fourier analysis of the temporal variation in the gas
velocity u. The eigenmodes of the dust shell still determine the dynamics of the entire system.
Due to the synchronisation, the response period
of the shell becomes only
slightly longer than the period
of the undisturbed system.
Table 1 summarises the results for a series of excitation periods P by giving
the resonance integers
and the most dominant
periods
determined by FFT. For some periods, no integers i and j could be
found to satisfy the condition
.
Probably, iP is similar or longer
than the simulation time of the system for these excitation periods.
Table 1:
Resonance integers i,j, m and resulting oscillation period
in comparison
with the most dominant periods
from the DFT of a CDS disturbed by different
excitation periods P, but constant velocity amplitude
.
4.2.2 Excitation strength
To demonstrate the influence of the excitation strength,
Fig. 5 presents the ratio
/
and the
corresponding overtones as a function of the piston amplitude
for
(triangles), a representative period in which most of Miras pulsate, and for
of the same order of magnitude as
(filled circles).
![]() |
Figure 5:
Frequency shift of CDS eigenmodes
|
| Open with DEXTER | |
In the case of short pulsation periods, the oscillation frequencies
decrease with
increasing velocity amplitude and approach the value
/
.
Although a radial pulsation occurs at the inner boundary, the additional energy input of this external
force has almost no influence on the timescale of the circumstellar shell.
It barely has an impact on the mass-loss rate
,
which is enhanced from
(no excitation) to
(resonance) at an approximately constant final outflow velocity of
.
While the eigenmodes change only smoothly for a short period
,
for a longer
,
the influence is a priori more significant. The frequencies are nearly synchronised, i.e.,
the eigenperiod is detuned to a lower harmonic of the excitation period and remains constant with increasing
velocity amplitude. Finally, for a velocity amplitude
,
the eigenmode
completely vanishes and the excitation period and its harmonics dominate the system.
For a closer examination, we present in Fig. 6 spectra and stroboscopic maps for two different
strengths of the excitation
and
,
using a
fixed excitation period of
.
For the larger velocity amplitude
,
the eigenmodes of the undisturbed CDS are replaced by the excitation period and its harmonics.
The shell follows the exterior excitation identified by only one strip in the corresponding map, i.e. i=j=1.
We note that the enhanced density results in a higher mass-loss rate
and
compared to
and
for
.
![]() |
Figure 6:
Power spectra and stroboscopic maps for a CDS excited with a period
|
| Open with DEXTER | |
5 Summary
In the present paper, we have demonstrated a method for quantitatively analysing the dynamical behaviour of CDSs both in frequency and phase space and applied it to a model CDS with the stellar parameters
Even without any external perturbation by the internal
-mechanism of the star, CDSs around high luminosity
stars are able to accumulate a self-excited oscillation produced by the exterior
-mechanism.
The dynamics of the shell are dominated by its eigenmode, which is given by the characteristic
dynamical timescales of the dust-formation zone.
The eigenperiod of our model CDS was determined to be
including a mass-loss of
and a final outflow velocity of
.
If excited by the internal
-mechanism, the response of the shell depends strongly on the
period P of the excitation. For
,
the dynamics of the shell remain dominated by
its eigenmode. The eigenmode and its overtones are only shifted towards lower frequencies.
With increasing excitation period, the piston gains influence, and the CDS reacts more irregularly.
However, the Poincare maps show a pattern of discrete stripes, which indicate that the shell synchronises
with the excitation period to some extent. For
,
the system becomes enslaved by the external
excitation and the shell oscillates with period P.
For a small excitation period
,
an increase in excitation strength results in a smooth
shift towards lower frequencies. However, for an excitation period
,
an increase in
excitation strength changes the dynamics of CDS from eigenperiod- to piston period-dominated.
The condition for a purely dust-driven wind by the exterior
-mechanism is evident only at
the very end of the AGB evolution. If the stellar luminosity decreases, the dominance of the dust is
diminished. Further reduction eventually leads to a vanishing outflow, if no additional energy support,
e.g., pulsation is provided. In the case of lower stellar luminosities, the system generates no self-induced
shocks by the exterior
-mechanism. Therefore, the eigenmodes of the system cannot be directly determined.
The examination of the complex behaviour of these systems and a more systematic parameter study will
be the subject of forthcoming publications.
Acknowledgements
Part of this work was supported by the Deutsche Forschungsgemeinschaft, DFG in the frame of SFB 555.
References
- Brigham, E. O. 1974, The fast Fourier transform (Englewood Cliffs, NJ, Prentice-Hall) (In the text)
- Bowen, G. H. 1988, ApJ, 329, 299 [NASA ADS] [CrossRef] (In the text)
- Bowen, G. H., & Willson, L. A. 1991, ApJ, 375, L53 [NASA ADS] [CrossRef] (In the text)
- Eddington, A. S., & Plakidis, L. 1929, MNRAS, 90, 65 [NASA ADS] (In the text)
- Fleischer, A. J., Gauger, A., & Sedlmayr, E. 1992, A&A, 266, 321 [NASA ADS] (In the text)
- Fleischer A. J., Gauger, A., & Sedlmayr, E. 1995, A&A, 297, 543 [NASA ADS] (In the text)
- Gail, H. P., & Sedlmayr, E. 1988, A&A, 206, 153 [NASA ADS]
- Höfner, S., Feuchtinger, M. U., & Dorfi, E. A. 1995, A&A, 297, 815 [NASA ADS] (In the text)
- Icke, V., Frank, A., & Heske, A. 1992, A&A, 258, 341 [NASA ADS] (In the text)
- Hoffmeister, C., Richter, G., & Wenzel, W. 1990, Veränderliche Sterne, 3rd ed., J. A. Barth (Leipzig) (In the text)
- Ott, E. 2002, Chaos in Dynamical systems, 2nd edn. (Cambridge University Press) (In the text)
- Percy, J. R., & Colivas, T. 1999, PASP, 111, 94 [NASA ADS] [CrossRef] (In the text)
- Percy, J. R., & Bagby, D. A. 1999, PASP, 111, 203 [NASA ADS] [CrossRef] (In the text)
- Press, W. H., Flannery, B. P., Teukolsky, S. A., & Vetterling, W. T. 1986, Numerical Recipes (Cambridge University Press) (In the text)
- Sandin, C. 2008, MNRAS, 385, 215 [NASA ADS] [CrossRef] (In the text)
- Whitelock, P. A., Feast, M. W., & Catchpole, R. M. 1991, MNRAS, 248, 276 [NASA ADS] (In the text)
- Wood, P. R. 1979, ApJ, 227, 220 [NASA ADS] [CrossRef] (In the text)
- Wood, P. R. 1995, ASP Conf. Ser., 83 (In the text)
- Wood, P. R., Alcock, C., Allsman, R. A., et al. 1999, in Asymptotic Giant Branch Stars, ed. T. Le Bertre, A. Lebre, & C. Waelkens, IAU Symp., 191, 151 (In the text)
Footnotes
- ...)
- We note, that we prefer to write the transform in terms of
oscillation frequency f instead of angular frequency
.
All Tables
Table 1:
Resonance integers i,j, m and resulting oscillation period
in comparison
with the most dominant periods
from the DFT of a CDS disturbed by different
excitation periods P, but constant velocity amplitude
.
All Figures
![]() |
Figure 1:
Self-induced radial structure of our exemplary CDS:
|
| Open with DEXTER | |
| In the text | |
![]() |
Figure 2:
Normalised power spectrum of the radial gas velocity u with
some well defined frequencies purely caused by exterior |
| Open with DEXTER | |
| In the text | |
![]() |
Figure 3:
Most dominant frequencies of a CDS excited with different piston periods P near the dust nucleation zone
r=2.5 R*. The eigenperiod is labelled
with
|
| Open with DEXTER | |
| In the text | |
![]() |
Figure 4:
Power spectra ( upper panels) and stroboscopic maps
( lower panels) for a CDS excited
with different periods P in the dust formig zone at
r=2.5 R*. The maps were
obtained by plotting
|
| Open with DEXTER | |
| In the text | |
![]() |
Figure 5:
Frequency shift of CDS eigenmodes
|
| Open with DEXTER | |
| In the text | |
![]() |
Figure 6:
Power spectra and stroboscopic maps for a CDS excited with a period
|
| Open with DEXTER | |
| In the text | |
Copyright ESO 2009
Current usage metrics show cumulative count of Article Views (full-text article views including HTML views, PDF and ePub downloads, according to the available data) and Abstracts Views on Vision4Press platform.
Data correspond to usage on the plateform after 2015. The current usage metrics is available 48-96 hours after online publication and is updated daily on week days.
Initial download of the metrics may take a while.



![\begin{figure}
\par\includegraphics[width=8cm,clip]{1603fig1.eps}
\end{figure}](/articles/aa/full_html/2009/21/aa11603-08/Timg50.png)
![\begin{figure}
\par\includegraphics[width=8cm]{1603fig2.eps}
\end{figure}](/articles/aa/full_html/2009/21/aa11603-08/Timg81.png)
![\begin{figure}
\par\includegraphics[width=9cm,clip]{1603fig3.eps}
\end{figure}](/articles/aa/full_html/2009/21/aa11603-08/Timg94.png)
![\begin{figure}
\par\includegraphics[width=18cm,clip]{1603fig4.eps}
\end{figure}](/articles/aa/full_html/2009/21/aa11603-08/Timg104.png)
![\begin{figure}
\par\includegraphics[width=9cm]{1603fig5.eps}
\end{figure}](/articles/aa/full_html/2009/21/aa11603-08/Timg116.png)
![\begin{figure}
\par\includegraphics[width=9cm]{1603fig6.eps}
\end{figure}](/articles/aa/full_html/2009/21/aa11603-08/Timg127.png)