| Issue |
A&A
Volume 500, Number 1, June II 2009
The first 40 years
|
|
|---|---|---|
| Page(s) | 103 - 104 | |
| DOI | https://doi.org/10.1051/0004-6361/200912150 | |
| Published online | 15 June 2009 | |
Special issue
COMMENTARY ON: CAVALIERE A. AND FUSCO-FEMIANO R., 1976, A&A, 49, 137
The
-model of the intracluster medium
M. Arnaud
Laboratoire AIM, IRFU/Service d'Astrophysique - CEA/DSM - CNRS - Université Paris Diderot, Bât. 709, CEA-Saclay, 91191 Gif-sur- Yvette Cedex, France
The space between the galaxies in clusters of galaxies is filled with a hot tenous gas. Its high temperature (0.5-15 keV) is set by the the virialization process in the cluster's deep potential well, and the gas emits in X-rays predominantly through thermal Bremsstrahlung. This intracluster medium (ICM) is the main baryonic components of clusters and accounts for about
of the total dark matter dominated mass. While this is now well-established, it was not the case in the mid 70s, when the pioneering paper by Cavaliere & Fusco-Femiano (1976), which set the basis of the powerful
-model, was written.
The idea of an ICM was proposed as early as 1959, but it took 10 years after its first detection in 1966 to definitively prove the existence of the hot ICM (see also Biviano 2000; Sarazin 1986, for a historical review). Limber (1959) stated that it is ``rather likely that there is an appreciable quantity of intracluster gas pervading (...) clusters'', primordial gas left over from galaxy formation, gas swept out of galaxies during galaxy collisions, or both. However, ``it (was) not at all clear at (that) time whether one should expect the intracluster gas to be hot or cold''. The first observational clue was the detection of M 87 in the Virgo cluster with the Geiger counters onboard an Aerobee rocket (Byram et al. 1966), which was also the first detection of an X-ray source associated with a cluster. The next major advance was made with Uhuru, the first satellite dedicated to X-ray astronomy, launched in 1970. Uhuru performed an all-sky X-ray survey and permitted longer observations of individual sources than with rockets experiments. This established that clusters are X-ray luminous sources and that the X-ray emission is extended and not time variable (e.g. Gursky et al. 1972, online).
The detectors onboard Uhuru and rocket experiments were non-imaging proportional counters equipped with collimators to limit the field of view. Because of the crude spectral and spatial resolution (![]()
)
of the detectors, the origin of the X-ray emission was ambiguous. Three possibilities were considered: 1) thermal bremsstrahlung from a hot tenuous gas; 2) inverse Compton (IC) scattering of CMB photons by relativistic electrons within the clusters; and 3) summed contributions of stellar sources (binaries or globular clusters). This was discussed very early by Felten et al. (1966) who correctly favored the thermal model on energetics arguments (unfortunately based on a spurious detection of the Coma cluster).
In their paper, Cavaliere and Fusco-Femiano outlined several problems with the IC interpretation and, in particular, with the low value of the magnetic field implied by the ratio of the X-ray and Synchrotron radio luminosity. On the other hand, they emphasized that the IC emission is expected to stand out at energies above the thermal emission's exponential cut-off,
keV. The IC emission was indeed searched later on as an excess over the thermal emission in the hard X-ray band with Beppo-SAX, RXTE, and now Suzaku. Its level remains uncertain, and the high magnetic field value generally inferred is still an issue. Cavaliere and Fusco-Femiano then focused on the thermal interpretation and proposed a model for the gas distribution that they compared successfully with the Uhuru observations of Coma. The thermal origin of the X-ray emission from clusters was definitively demonstrated shortly afterwards with the detection of the 7 keV iron line, first in the spectra of Perseus and Coma measured with the OSO-8 and Ariel 5 satellites (Serlemitsos et al. 1977; Mitchell et al. 1976).
The hot ICM model proposed by Cavaliere & Fusco-Femiano (1976) was a major improvement over the model used previously by Lea et al. (1973) to fit the Coma, Perseus, and Virgo data. Lea et al. (1973) assumed that the gas was an isothermal self-gravitating plasma. This model was not consistent, since the derived gas mass was significantly lower than the bounding mass. Instead, Cavaliere and Fusco-Femiano assumed that the gas and the galaxies are in equilibrium in the same potential
.
(As mentioned in the note added in proof, a similar model was considered independently by Lea 1975 and Gull & Northover 1975.) A fundamental feature of the model is that the galaxy and gas radial distribution,
and
,
can then be directly related (their Eq. (1)) via the equilibrium equations:
![]() |
(1) |
where T is the gas temperature and
![]() |
(2) |
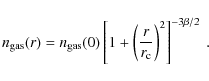
However, the galaxy distribution derived in the isothermal model (or the truncated model) is not a simple analytical function. The full effectiveness of the model arose when Cavaliere & Fusco-Femiano (1978) proposed to use the empirical King approximation for this model,
This famous isothermal
The
-model was extensively used to fit cluster
profiles measured with Einstein, the first satellite with focusing telescopes (Jones & Forman 1984). This model was found to describe the data well, with
.
A central surface brightness (hence density) excess was detected in some clusters, though, which was explained as resulting from a cooling flow. It was also widely used to analyze ROSAT imagery data. When significant, the central excess was dealt with by excluding the central region in fitting the data or using an empirical double
-model (e.g. Mohr et al. 1999, online). Together with temperatures estimated from global spectra or temperature profiles for the brightest clusters that became available with the launch of ASCA(Markevitch et al. 1998), this modeling of the gas density profile was the basis of virtually all the statistical studies of cluster scaling and structural properties in the pre XMM and Chandra era. This includes the discovery of the ``excess'' gas entropy, the most direct evidence of the importance of non-gravitational processes, galaxy energy feedback, and cooling, in cluster evolution. The isothermal
-model is also commonly used for analyzing measurements of the Sunayev-Zel'dovich (SZ) effect.
From XMM and Chandra data, it is now well-established that the ICM is not isothermal, with decreasing temperature profiles on a large scale. Further deviations from the density
-model (Eq. (3)) were shown by the best ROSAT data and XMM and Chandra data. More centrally peaked density profiles are found, even for weakly cooling clusters, a consequence of the cusped nature of the dark matter profile not accounted for by King's model (Pratt & Arnaud 2002). The
-model also overestimates the true profiles at
.
They are steeper than the power-law behavior of the
-model (Vikhlinin et al. 1999), as is also found in numerical simulations (e.g. Rasia et al. 2004, online). New empirical parametric models of increasing complexity have been introduced (e.g. Vikhlinin et al. 2006), as well as new robust
deprojection methods (Croston et al. 2006). Such improved analyses are specially important when the physical quantity one derives from the data is particularly sensitive to the core and/or outskirt properties. This includes the hydrostatic mass profile in the center (critical for dark matter concentration estimates) and on a large scale (critical for precise cluster mass estimates), but also the integrated SZ decrement at large radii, for which more realistic models are beginning to be used (Mroczkowski et al. 2009).
On the theory side, N-body/hydrodynamical cosmological simulations and analytical models of cluster formation, both of increasing sophistication, have been developed (see, e.g., the last paper by Cavaliere et al. 2009, online). One might conclude that the isothermal
-model is now obsolete, both from a theoretical and observational point of view. This is not true. This model is still fruitful. I believe that its longstanding success stems from its being a simple model that is easy to use and was adapted to the statistical quality of X-ray data for a long while, along with capturing the main characteristics of the ICM in a first approximation. When used with caution, it remains a working model, keeping in mind its limitations. It is useful both for observers when the data do not allow or require more sophisticated analysis (e.g. high z clusters) and for theoreticians when crude modeling of the ICM structure is sufficient (see Bower et al. 2008, for a recent example).
References
- Biviano, A., in Constructing the Universe with Clusters of Galaxies, IAP 2000 meeting, Paris, ed. F. Durret, & D. Gerbal [arXiv:astro-ph/0010409]
- Bower, R., McCarthy, I., & Benson, A. 2008, MNRAS, 390, 1399 [NASA ADS] (In the text)
- Byram, E., Chubb, T., & Friedman, H. 1966, Science, 152, 66 [NASA ADS] [CrossRef] (In the text)
- Cavaliere, A., & Fusco-Femiano, R. 1976, A&A, 49, 137 [NASA ADS] (In the text)
- Cavaliere, A., & Fusco-Femiano, R. 1978, A&A, 70, 677 [NASA ADS] (In the text)
- Cavaliere, A., Lapi, A., & Fusco-Femiano, R. 2009, ApJ, in press [arXiv:0903.5224] (In the text)
- Croston, J., Arnaud, M., Pointecouteau, E., & Pratt, G. 2006, A&A, 459, 1007 [NASA ADS] [CrossRef] [EDP Sciences] (In the text)
- Felten, J., Gould, R., Stein, W., & Woolf, N., 1966, ApJ, 146, 955 [NASA ADS] [CrossRef] (In the text)
- Gorenstein, P., Fabricant, D., Topka, K., Harnden, F., & Tucker, W. 1978, ApJ, 224, 718 [NASA ADS] [CrossRef] (In the text)
- Gull, S., & Northover, K. 1975, MNRAS, 173, 583 [NASA ADS] (In the text)
- Gursky, H., Solinger, A., Kellogg, M., et al. 1972, ApJ, 173, L99 [NASA ADS] [CrossRef] (In the text)
- Henriksen, M., & Mushotzky, R. 1985, ApJ, 292, 441 [NASA ADS] [CrossRef]
- Jones, C., & Forman, W. 1984, ApJ, 276, 38 [NASA ADS] [CrossRef] (In the text)
- Kellogg, E. 1973, in X- and Gamma-Ray Astronomy, ed. H. Bradt, & R. Giacconi, IAU Symp. (Dordrecht: Reidel), 55, 171
- King, I. R. 1966, AJ, 71, 64 [NASA ADS] [CrossRef] (In the text)
- Lea, S., Silk, J., Kellogg, E., & Murray, S. 1973, ApJ, 184, L105 [NASA ADS] [CrossRef] (In the text)
- Lea, S. 1975, Astrophys. Lett., 16, L141 [NASA ADS] (In the text)
- Limber, D. 1959, ApJ, 130, 414 [NASA ADS] [CrossRef] (In the text)
- Markevitch, M., Forman, W., Sarazin, C., & Vikhlinin, A. 1998, ApJ, 503, 77 [NASA ADS] [CrossRef] (In the text)
- Mohr, J., Mathiesen, B., & Evrard, A. 1999, ApJ, 517, 627 [NASA ADS] [CrossRef] (In the text)
- Mitchell, R. J., Culhane, J. L., Davison, P. J. N., & Ives, J. C. 1976, MNRAS, 175, 29 [NASA ADS]
- Mroczkowski, T., Bonamente, M., Carlstrom, J. 2009, ApJ, 694, 1034 [NASA ADS] [CrossRef] (In the text)
- Pratt, G. W., & Arnaud, M. 2002, A&A, 394, 375 [NASA ADS] [CrossRef] [EDP Sciences] (In the text)
- Rasia, E., Tormen, G., & Moscardini, L. 2004, MNRAS, 351, 237 [NASA ADS] [CrossRef] (In the text)
- Serlemitsos, P. J., Smith, B. W., Boldt, E. A., Holt, S. S., & Swank, J. H. 1977, ApJ, 211, L63 [NASA ADS] [CrossRef]
- Sarazin, C. 1986, Rev. Mod. Phys., 58, 1 [NASA ADS] [CrossRef]
- Vikhlinin, A., Forman, W., & Jones, C. 1999, ApJ, 525, 47 [NASA ADS] [CrossRef] (In the text)
- Vikhlinin, A., Kravtsov, A., Forman, W., et al.2006, ApJ, 640, 691 (In the text)
Footnotes
- ...
-model
- It is amusing to note that Cavaliere & Fusco-Femiano (1976,1978) originally used the symbol
for the
parameter, a notation introduced by Gorenstein et al. (1978), and that the now universal denomination of this model, as the ``
-model'', was introduced rather late by Henriksen & Mushotzky (1985), to my knowledge.
Copyright ESO 2009
Current usage metrics show cumulative count of Article Views (full-text article views including HTML views, PDF and ePub downloads, according to the available data) and Abstracts Views on Vision4Press platform.
Data correspond to usage on the plateform after 2015. The current usage metrics is available 48-96 hours after online publication and is updated daily on week days.
Initial download of the metrics may take a while.


![\begin{displaymath}n_{\rm gas}(r)= n_{\rm gas}(0) \left[1+\left(\frac{r}{r_{\rm c}}\right)^2\right]^{-3\beta/2}~.
\end{displaymath}](/articles/aa/full_html/2009/22/aa12150-09/img15.png)