| Issue |
A&A
Volume 500, Number 2, June III 2009
|
|
|---|---|---|
| Page(s) | 817 - 826 | |
| Section | Interstellar and circumstellar matter | |
| DOI | https://doi.org/10.1051/0004-6361/200811132 | |
| Published online | 11 March 2009 | |
The broad H
,
[O III]
line wings in stellar supercluster A of NGC 2363
and the turbulent mixing layer hypothesis
L. Binette1,2 - L. Drissen1 - L. Úbeda1 - A. C. Raga3 - C. Robert1 - Y. Krongold2
1 - Département de physique, de génie physique et d'optique & Centre
de recherche en astrophysique du Québec,
Université Laval, Québec, Qc, G1V 0A6, Canada
2 - Instituto de
Astronomía, Universidad Nacional Autónoma de México, Ap. 70-264,
04510 México, D.F., México
3 - Instituto de Ciencias Nucleares,
Universidad Nacional Autónoma de México, Ap. 70-543, 04510 México,
D.F., México
email: This email address is being protected from spambots. You need JavaScript enabled to view it.
Received 10 October 2008 / Accepted 2 March 2009
Abstract
Context. Supercluster A in the extragalactic H II region NGC 2363 is remarkable for the hypersonic gas seen as faint extended broad emission lines with a full-width zero intensity of 7000
.
Aims. We explore the possibility that the observed broad profiles are the result of the interaction of a high-velocity cluster wind with dense photoionized clumps.
Methods. The geometry considered is that of near static photoionized condensations at the surface of which turbulent mixing layers arise as a result of the interaction with the hot wind. The approximative treatment of turbulence was carried out using the mixing length approach of Cantó & Raga. The code MAPPINGS Ic was used to derive the mean quantities describing the flow and to compute the line emissivities within the turbulent layers. The velocity projection in three dimensions of the line sources was carried out analytically.
Results. A fast entraining wind of up to
4300
appears to be required to reproduce the faint wings of the broad H
and [O III] profiles. A slower wind of 3500
,
however, can still reproduce the bulk of the broad component and does provide a better fit than an ad hoc Gaussian profile.
Conclusions. Radial acceleration in 3D (away from supercluster A) of the emission gas provides a reasonable first-order fit to the broad line component. No broad component is predicted for the [N II] and [S II] lines, as observed. The wind velocity required is uncomfortably high and alternative processes that would provide comparable constant acceleration of the emission gas up to 4000
might have to be considered.
Key words: ISM: HII regions - line: profiles - turbulence - stars: winds, outflows - stars: formation - galaxies: clusters: general
1 Introduction
NGC 2363, the largest and most massive H II region in the dwarf
galaxy NGC 2366 (distance = 3.42 Mpc; Thuan & Izotov 2005),
harbors one of the best documented cases of hypersonic gas seen as
faint extended broad emission lines in an increasing number of giant
extragalactic H II regions (Tenorio-Tagle et al. 1997;
Westmoquette et al. 2007a,b,c, 2008). In
NGC 2363, this broad
component, first reported by Roy et al. (1992), appears as a faint
pedestal under the narrow H
,
H
and [O III] lines of the
so-called knot A (Gonzalez-Delgado et al. 1994). This pedestal has
an FWHM in excess of 2300
(Drissen et al. 2009, hereafter
DUCBR).
NGC 2363 is ionized by two massive star clusters labeled A (age
less than 1 Myr) and B (age 3-4 Myr old
; see Drissen et al. 2000).
The most intense nebular flux is associated with supercluster A,
both in terms of ``normal'' emission lines and of the broad emission
component. The broad component is the focus of this paper.
The origin of the faint broad emission remains unclear. Tenorio-Tagle et al. (1997) proposed that it is caused by the breakout of fast expanding shells due to Rayleigh-Taylor instabilities, which would be significantly delayed in low metallicity gas and in the presence of a very energetic source. Westmoquette et al. (2007a,b,c) observed faint broad wings in a number of starburst galaxies and suggested that turbulent mixing layers (hereafter TMLs) on the surface of gas clumps, set up by the impact of the fast-flowing cluster winds (Pittard et al. 2005), might account for this phenomenon.
In this paper, we quantitatively explore whether simple TML models
can reproduce the profile shape of the faint line wings observed
in NGC 2363. In order to test our model, we have used spectra of the
western region close to the center of stellar supercluster A.
We present succinctly the observations of the broad faint wings in H
and [O III] and compare them with simple TML models. A thorough
analysis of the data set is presented in DUCBR.
2 The observations
In order to test our model, we have used spectra of the western
region close to the center of supercluster A described by DUCBR,
which we briefly describe here. These data were obtained with the
Gemini Multi-Object Spectrograph's Integral Field Unit (GMOS-IFU)
attached to the Gemini North telescope. The two-slit mode was used,
covering a
field of view, centered on the
brightest region of nebular emission. Two gratings were used: R831,
covering the 6025-6760 Å wavelength range with a resolution of
1.4 Å, and B600, covering the 4090-5400 Å wavelength range
with a resolution of 2.7 Å.
The IFU spectroscopic mode allows mapping of the spatial extent and
geometry of the broad component. Using the current data set, DUCBR showed that the intensity of the weak broad component in H
is
2-3% that of the narrow component, in agreement with the results
of Gonzalez-Delgado et al. (1994).
3 Modeling turbulent mixing layers
In the broader context of the interstellar and the intracluster
medium, Begelman & Fabian (1990) derived a prescription for
evaluating the temperature of a turbulent mixing layer, which Slavin
et al. (1993) used to calculate the emission line spectrum of such
a layer. Rand (1998) established an interesting comparison between
their model predictions and the spectrum produced by the diffuse gas
observed in the spiral NGC 891. The models that best reproduce the
observations required a mixture of TMLs and matter-bounded
photoionized condensations.
More recently, Binette et al. (2008, hereafter Paper I) improved
earlier models in two ways: a) the hot mixing layer and the warm
photoionized gas are integrated into a single albeit stratified
component exposed to an external ionizing source, and b) rather than
considering a single temperature for the TML given by the
geometrical mean of the warm and hot phases, a temperature structure
is derived using the mixing length scheme presented in the work of
Cantó & Raga (1991). The possibility of computing not only
emission line intensities (Binette et al. 1999), but also line
profiles, has now been implemented to allow a comparison of TMLs
with the very broad but faint [O III] and H
wings observed
in NGC 2363.
![]() |
Figure 1: The drawing describing the geometry of the supercluster hot wind within which photoionized condensations are distributed. |
| Open with DEXTER | |
3.1 A mixing length approach
We postulate that both the narrow and the wide emission line
components of the observed profiles arise from ionized gas
condensations of low volume filling factor that are moving randomly.
In a typical extragalactic H II region with an H
luminosity of
1040
,
this virial turbulence would give rise to a velocity
dispersion
of
(Melnick et al. 2000). In
NGC 2363, we postulate the existence of a fast hot wind originating from
the ionizing cluster, which flows around these condensations, giving
rise to a mixing layer at their surface, as depicted in
Fig. 1. It is this interaction between the fast wind
and the condensations that would give rise to the observed broad
component. To describe the mixing layer, we assume for simplicity an
infinite plane interface, along which a hot wind of temperature Tw is flowing supersonically with velocity Vw with respect to a
static warm gas layer of hydrogen number density
and
temperature
.
The turbulent mixing layer that develops between
the hot and warm phases has a geometrical thickness
,
as
described in the diagram of Fig. 2. The TML structure,
the static photoionized gas and the hot wind are all isobaric, with
a pressure
(
). The nebular optical
emission lines take their origin within the warm section of the
mixing layer as well as within the static photoionized layers.
![]() |
Figure 2:
Schematic diagram showing the cross-section along the
y-axis of a plane-parallel mixing layer of thickness |
| Open with DEXTER | |
Within the TML layer, between y=0 and
,
the gas is
entrained and accelerated. From the theoretical point of view, the
problem of entrainment in a mixing layer involves the description of
a turbulent flow. However, following the work of Hartquist et al.
(1986), Cantó & Raga (1991) developed an approximate treatment
of this problem based on a mixing length approach of ``turbulent
viscosity'' and on laboratory measurements. Cantó & Raga (1991)
proposed a ``single parcel'' model, considering mean values for the
flow variables (density, temperature, velocity) averaged across the
width of the mixing layer. Noriega-Crespo et al. (1996) proposed an
alternative approach, developing a model which resolves the cross
section of the mixing layer (in this model, the variables correspond
to averages along the x-axis, aligned with the direction of the
shear flow). This latter approach was explored further by Binette
et al. (1999). The adoption of such ``mean'' flow characteristics
allows us to get around having to deal with the details of the
turbulence cascade.
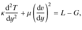
For the case of a thin, steady state, high Mach number radiative mixing layer, the advective terms along the direction of the mean flow can be neglected with respect to the corresponding terms across the thickness of the mixing layer (Noriega-Crespo et al. 1996; Binette et al. 1999). Under this approximation, the momentum and energy equations can be written as:
where y is a coordinate measured from the onset of the mixing
layer (see Fig. 2), v the bulk flow velocity (the
velocity component projected along the x axis) as a function of
y , L and G are the radiative energy loss and gain per unit
volume, respectively, and
and
are the turbulent
viscosity and conductivity, respectively, which are assumed to be
constant throughout the cross-section of the mixing layer.
Eq. (1) can be integrated to obtain the linear Couette
flow solution:
where
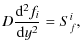
Within the TML, we consider the equations governing the
fractional abundance fi of each species i. This
abundance must satisfy the equation:
where Sfi is the net sink term (including collisional ionization, radiative and dielectronic recombination, charge transfer, etc., and the reverse processes which populate the current species) of the species i. The turbulent diffusivity, D, is of order unity and assumed to be position-independent. At the inner and outer boundaries of the mixing layer, the ionization fractions are set by the equilibrium values.
To complete the description of the mixing layer, we require lateral
pressure equilibrium (which determines the density of the flow
along y), and calculate the turbulent viscosity with a simple, mixing
length parametrization of the form:
where
Considering that the turbulent conduction and diffusion Prandtl
numbers are of order one, we can compute the conduction coefficient
as
(where
is the heat capacity per
unit mass averaged across the mixing layer cross-section) and the
diffusion coefficient as
.
In this way, we
obtain a closed set of second order differential
Eqs. ((2) and (4)), which can be integrated with a
simple, successive overrelaxation numerical scheme.
3.2 TML calculations with the multipurpose code Ic
We use the code MAPPINGS Ic (Ferruit et al. 1997) to compute the
radiative energy loss term L and the photoheating term G(Eq. (2)) at each position across the TML. At both the
inner and outer boundaries of the mixing layer, we assume
equilibrium ionization of the different species, while across the
layer, our simple overrelaxation scheme is used to determine the
ionization fractions (Eq. (4)). For the ion diffusion of
each species fi, the spatial differential equations are converted
to temporal equations, with the use of pseudo-time steps
,
where
is the
average H number density. This allows us to use the temporal
algorithm previously described in Binette & Robinson (1987) for
determining the spatial diffusion of the ionic species.
The radiative transfer is determined by integrating (from the hot
layer
down to y=0) the intensity of the UV diffuse field
produced by the layer, assuming the outward only
approximation. Any UV radiation impinging the layer from the outer
boundary is simply added to the diffuse field at the onset of the
integration. The intensity of the external ionizing field is defined
by the ionization parameter as follows:
where c is the speed of light,
The impact of photoionization can be inferred from the behavior of
across the layer, where
is defined as follows:
The quantity
For the calculations presented in this work, the mixing layers occur
at the outer surface of gas condensations immersed in the radiation
field of hot stars permeating supercluster A of NGC 2363. The spectral
energy distribution ( SED) that we adopted for
was calculated
using the code LavalSB (Dionne & Robert 2006). It corresponds to a
newly formed star cluster 1 Myr old, in agreement with the upper
age limit derived by Drissen et al. (2000). The stellar masses are
represented by a Salpeter distribution with an upper mass cut-off
of 100
.
The abundances of the atomic elements of the gas are
set at 20% solar, in line with the conclusions reached by
Luridiana
et al. (1999).
After computing the emission line spectrum of a given TML, MAPPINGS Ic offers the option of computing separately the emission lines generated by the inner photoionized layer (i.e. y<0 in Fig. 2) where equilibrium ionization prevails. A simple isobaric photoionization model is calculated in this case using the radiation field that has not been absorbed by the mixing layer. The total line spectrum is then given by taking the sum of the line intensities from the TML model (the broad profile component) and from the static photoionization model (the narrow profile component).
Since the mixing layer is isobaric, its density profile as a function
of thickness is uniquely determined by the pressure
.
Given the
value of
at the boundary y=0, the pressure is derived from
,
which is the equilibrium temperature in the photoionized case.
Within our selected
aperture
(Sect. 4.1), the observed [S II] (6716/6731) ratio
is 1.36, which translates into a density
of 89
,
assuming a temperature of 12 000
K.
Within a factor of two, this density is also representative of the
layers that emit [N II] or [O II]. Thus all models presented in this
work were calculated assuming
= 100
.
It is much lower than
the critical density of most atomic transitions typical of TMLs,
which means that the gas density per se is not a significant
parameter in these calculations. In this case, equal external
parameters can be considered equivalent whenever the product of the
H density
and thickness
is the same. Therefore, it is
sufficient to specify the quantity
to uniquely define a
model, when
is kept constant.
To summarize, in order to compute solutions to the mixing layer, we
must specify the values of the following parameters: the ionization
parameter, the mixing layer's nominal column
and finally the temperature and velocity of the hot wind: Tw and Vw.
3.3 A high-velocity hot stellar wind
The full-width at zero intensity ( FWZI) of the H
and [O III] profiles reaches the remarkable value of 7000
in NGC 2363. This
means that for a geometry in which the emitting gas moves radially
in 3D, the velocity must extend at least up to 3500
.
In
practice, faster winds are required in our models, because the
layers that have velocities approaching that of the wind do not
produce any optical lines. The main reason is that these layers are
very hot and their densities so low that their line emissivities
become negligible. Another reason is that these gas layers are
overionized. Towards the static layers, the temperature is close to
being isothermal because photoheating equals radiative cooling. The
transition between the isothermal layers and the wind dominated
layers is quite abrupt. Therefore the thermal structure of TMLs
consists of two zones: the isothermal warm zone and the hot thermal
bump. Examples of such a thermal structure is illustrated in
Fig. 3a as a function of the normalized
thickness
.
The three models shown are described in detail in
Sect. 3.4 below and differ only by their value of
(hereafter
,
in units of 1020
). The normalized
thickness maps directly into the velocity domain, since the Couette
flow solution implies a linear velocity increase between the static
layer and the wind flow (Eq. (3)). If we define
as
the fraction of the layers' thickness where Tw is isothermal,
which turns out to be where the optical lines are produced, it
follows that a wind velocity of
is required
to cover the velocity span observed in NGC 2363. We could not get
credible calculations that had
.
The model with
in Fig. 3a has
.
Hence, in
order to reproduce the observed broad wings, it is necessary to
adopt a wind velocity as high as
.
This value
is higher than the 3500
value calculated by
Sternberg et al. (2003) for O3 stars.
Rather than a single stellar wind, we propose that we have a wind
from a dense cluster of massive stars. As shown by Cantó et al.
(2000), the resulting cluster wind has a terminal velocity equal to
the velocity of the winds from the cluster stars. Also, the
interaction of the different winds results in a very high initial
temperature for the cluster wind (
K for the
wind velocity we are proposing), but this temperature rapidly drops
beyond the outer radius of the cluster, as the cluster wind
approaches its terminal velocity.
Another alternative to a stellar origin for the wind is that it has
been generated by supernovae. There is, however, no evidence of
past supernovae in knot A although we cannot entirely rule it out.
In knot B, there is evidence of a cavity surrounding the central
stellar cluster, which might have been caused by supernovae
explosions. The explanation provided by Drissen et al. (2000, 2001)
is that supercluster A is extremely young (
1 Myr) while
supercluster B is older (
3-4 Myr).
![]() |
Figure 3:
Behavior in panel a) of the temperature normalized
to the value in the wind and in panel b) of |
| Open with DEXTER | |
We found that the temperature Tw of the hot wind is not a critical
parameter of the TML models. Its value can be varied and still
result in a sequence of equivalent models (i.e. with similar line
ratios), provided Vw remains the same. However, to ensure that the
X-ray flux from the hot wind would not be excessive, we have set its
temperature to
K in all our
calculations. The non-detection of NGC 2363 by the satellite
XMM-Newton in the 0.1-10 keV X-ray band has allowed the
determination of an upper limit of
(Krongold & Jimenez-Bailon, private communication). Using the
code MEKAL (Mewe et al. 1986; Liedahl et al. 1995) and assuming a
cylinder of hot gas of radius 10 pc, length 100 pc and density
,
one
of us (Y. K.) recently determined that the wind would emit a flux
more than an order of magnitude lower than the above upper limit.
It turns out that even much higher wind temperatures (
108 K)
would neither produce a flux that exceeded this upper limit.
3.4 Internal structure of three test models
After defining the stellar SED, density and wind characteristics,
we can now proceed with the calculations. In order that the line
ratios of the photoionized layers could match the nebular values, we
selected a high ionization parameter
.
The total
[O III]/H
ratio, including the static gas emission, is
8.1, which is comparable to the observed ratio of 8.9. Our main aim
is to reproduce the broad lines profiles and therefore no further
analysis of the line ratios of the cores of the profiles has been
attempted. In Fig. 3, apart from Tw, we also show the
behavior of the measured imbalance between cooling and heating,
(see Eq. (7)), as a function of normalized
thickness for each of the three models whose mixing layer's column
differ and take on values of
,
10 and 33, in units of
1020
.
For each model, the ionization parameter is
and the wind temperature and velocity are
K and
,
respectively.
The equilibrium temperatures at the onset of the layer are
,
11 330 and 12 370 K for the models with
,
10 and 33, respectively. Because
increases with
,
these TML models result in a broad profile whose width increases
monotonically with
.
Alternatively, a sequence of increasing
profile's width can be obtained by increasing Vw while keeping
constant.
It is well known that the cooling rate L of a hot plasma decreases
with temperature when its value lies above
K (e.g. Fig. 8 in Ferruit et al. 1997). This behavior of
the cooling is responsible for the temperature bump towards the
interface with the wind, which is apparent in Fig. 3.
In effect, near the wind interface, the heating from turbulent
dissipation overwhelms radiative cooling and results in
near
unity. It also results in an overionized plasma of very low density
(hence low emissivity), which does not generate significant line
emission, at least in the optical domain. The impact of heating by
turbulent dissipation increases considerably when we consider
thinner mixing layers, as can be seen in Fig. 3.
Towards the colder gas layers, radiative cooling becomes
sufficiently strong to enable a balance between radiative cooling
and heating by photoionization and turbulent dissipation. Although
heating by photoionization dominates in the near-isothermal region,
turbulent dissipation is nevertheless present as indicated by
,
which reaches 0.3 in the case of the
model.
3.5 Projection in 3D and line profile calculations
In order to derive the integrated line profiles from the
3D distributions of gas condensations, we first compute the profile
from a single condensation at the surface of which the fast wind
generates a TML. We neglect the details of the contours of such
condensation and consider that the TML takes place on the sides of
the condensation, as if it was a cylinder whose axis is oriented
radially with respect to the wind source. In Fig. 4 we
show the resulting emission flux from the same three models of
Sect. 3.4, as a function of radial velocity. The
vertical scale is arbitrary between models, but remains the same for
lines of the same model. These 1D profiles correspond to a single
condensation that lies exactly along our line-of-sight to the wind
source. The profiles have been initially smoothed in MAPPINGS Ic by a
narrow gaussian of 25
dispersion (see Sect. 3.1),
which accounts for the virial broadening due to the supersonic
motions of the condensations. To a first order and for most optical
lines, the profiles resemble a top-hat function that extends up to a
limit,
.
The velocity limits up to which the H
or [O III] flux
extends are
,
-2800 and -3440
for the models
with
,
10 and 33, respectively. This top-hat shape is the
result of the Couette flow solution, which corresponds to a velocity
that increases linearly with y (Eq. (3)). The He II line is an exception because it is mainly produced at the onset of
the thermal bump.
is lower than Vw since the optical line
emissivities become negligible inside the overionized thermal bump
region, as discussed above. Essentially, all of the flux originates
from the near-isothermal region (depicted in Fig. 3).
The thinner the TMLs gets, the smaller becomes the region where
emission takes place, which results in proportionally narrower line
profiles. Furthermore, the model with
= 33 is ionization-bounded,
while the other two with
= 10 and 4 are matter-bounded, which
result in significantly higher [O III]/H
line ratios, of 10.8 and 15.7, respectively.
![]() |
Figure 4:
Emission line flux from H |
| Open with DEXTER | |
The emission profiles of Fig. 4 apply to the simple
one-dimension case. We will now consider the more realistic case of
a radial wind in 3D and compute the profile that would be seen by a
distant observer. To achieve this, we assume some simplifications
about the problem, namely, that all the TMLs are immersed in a
radial constant velocity wind, the wind is isotropic with respect to
the wind source and the covering factor Cf of the mixing layers
is also isotropic. To simplify things further, we will assume that
the TMLs are located at the same radius R from the central source
of the wind. For any emission line i at rest-wavelength
,
these considerations lead to the following integral
for the flux:
where c is the speed of light,
the angle with respect to
the line-of-sight to the observer, R the radius where the TMLs are
located with respect to the wind source, and Fi(v) in the
integrand is the emission flux for line i as computed by MAPPINGS Ic (i.e. for
). To include the possibility that dust might
fill the volume of the sphere of radius R and thereby absorb line
emission from the (red-shifted) TMLs on the far-side, we introduce
in Eq. (8) a dust extinction cross-section
evaluated at
.
The parameter
is the dust
grain density filling the sphere and
is the
resulting line extinction due to dust. The effect of internal dust
would be to skew the profile towards the blue. Since we found no
evidence of profile asymmetry, we have set
.
There could
be additional ``intervening'' dust that covers the whole nebula,
however. This possibility is not relevant to our profile study since
the differential reddening across the profile width turns out to be
negligible, assuming a
)
of 0.2 for knot A (Gonzalez-Delgado
et al. 1994). As for the two limits of integration, whenever the
TML system (of projected area
on the sky) is fully
contained within the aperture of the spectrograph, these reduce to
and
,
which is what is assumed hereafter. We
have explored relaxing this assumption. With
,
the
profiles become flat-topped while for
,
the profiles
does not change much in shape but becomes progressively narrower. In
a more realistic description, the TMLs would cover a range in radii
and Cf would be a function of radius. The current description,
however, suffices to capture the basic implication of a 3D geometry
on the line profiles.
4 Comparison of TML profiles with the observations
4.1 Characteristics of the broad profile wings
We analyzed a subset of the available data as follows. To derive the
highest S/N possible, we considered a square region of
(
pc) centered on knot A
and extracted a red and a blue spatially-collapsed spectra within
this area. We modeled the underlying continuum and subtracted it
from both the H
and [O III]
5007 lines. In order to facilitate the
comparison of the models with the faint broad wings observed in
[O III] and H
,
we converted the profiles into velocity space
relative to the centroid of each line. Direct profile comparison is
achieved by simply superposing different lines.
At the time of writing, various issues concerning the absolute
calibration of the blue spectrum could not be satisfactorily
resolved. In what follows, we will not rely on the absolute flux
scale of the blue spectrum, but focus instead on profile shape
comparisons or on relative ratios of the broad component with
respect to the central core component. After rescaling the blue
spectrum until the broad [O III] superimposes the broad H
profile,
one finds that the ``shape'' of the broad component is the same in
both lines. This is apparent in Fig. 5, where the H
profile as a function of Doppler velocity is shown in red and
[O III]
5007 in blue. To express fluxes, the quantity
is used hereafter. The H
line peaks at a value of
= 853 (but
not [O III] which has been rescaled in this figure). No reddening
correction has been applied. We now discuss plausible
interpretations of the scaling factors that are obtained from
superimposing line profiles.
Detailed analysis showed that if we scaled the [O III] line profile
so that the peak of its narrow core equalled that of H
,
the broad
wings of H
were brighter than [O III] by about 50%. If instead of
[O III], we overlaid the continuum subtracted H
line and rescaled
it so that the peak of its narrow core equalled that of H
,
we
similarly found that the broad H
lies
50% higher than
the broad H
.
We verified that saturation is not taking place. Flux
spilling over nearby pixels appears also to be ruled out. A possible
interpretation is that the gas responsible for the faint broad wings
is further absorbed by dust than the gas responsible for the bright
narrow core
.
Apart from our basic conclusion that the broad [O III] and H
profiles are of similar shapes, which suggests that the broadening
mechanism acts uniformly on both lines, we find that the data is
consistent with the broad [O III]/H
flux ratio being the same as
that of the narrow core [O III]/H
.
This follows from the two
separate comparisons above that indicated that the broad H
and
[O III] are depressed by the same factor with respect to the broad
H
.
It is noteworthy that these two conclusions are not affected by
our calibration uncertainties.
![]() |
Figure 5:
Superposition of the emission line profiles of H |
| Open with DEXTER | |
Hereafter we will concentrate on the faint broad profiles shown in
Fig. 5. As discussed above, the [O III], H
and H
broad profiles are characterized by a similar functional dependence
on velocity. This similarity in shape and the fact that the
integrated [O III]/H
flux ratio for the wings is the same as for
the narrow core imply stringent constraint for any proposed model.
It suggests that the physical conditions pertaining to the gas that
produces the faint broad wings are very likely similar to those of
the more quiescent nebular gas.
The FWHM of the core of the profiles was derived by fitting
a single Gaussian. We obtained 78 and 115
for H
and [O III],
respectively. The [O III] core profile is unresolved and appears
broader due to the lower resolution of the blue grating. In order to
distinguish at which velocity the broad line flux exceeds the
intense flux from the narrow core, we overlay in Fig. 5
a Gaussian fit (green dashed line) to the narrow core (with
FWHM = 110
). We infer that the observed profiles becomes
noticeably wider than the narrow Gaussian below
,
which
lies at only 0.23% of the peak flux value. Note that the
width of the narrow Gaussian is 325
at
= 2.
4.2 Comparison with 3D TML line profiles
Since our main aim is to reproduce the weak broad wings underneath
each line, we now focus on the profiles generated by the TML,
leaving out the narrow line component produced by the static
layer at the surface of the condensations.
Since the emission flux from the broad component is proportional to
the surface area of the TML gas exposed to the ionizing radiation,
this area has to be quite small (
3%) relative to that of
the nebular gas (the ``static'' or narrow line component).
We applied the profile integral described in Eq. (8),
which considers the effects of velocity projection in 3D, to each of
the three TML models shown in Fig. 4. Because the
narrow line cores in NGC 2363 have a width that exceed the value
assumed by MAPPINGS Ic (25
,
see Sect. 3.1), we further
convolved
the calculated profiles using a
narrow Gaussian of 107
FWHM. The FWHM describing the
velocity dispersion of the condensations (Fig. 1) also
applies to the TMLs.
The TML model of the [O III] line assuming
is superimposed
to the data in Fig. 5 (gray line). It is unnecessary to
superimpose the H
model separately, since it is visually
undistinguishable from the [O III] model, even if the difference in
spectral resolution were considered in the modeling. The profile fit
that is achieved of the broad wings, although clearly imperfect, is
certainly encouraging, given the approximations made to the transfer
and to the geometry of the TMLs. Because Gaussians are a natural
profile for describing emission lines over a wide variety of
physical situations, we also compared our data with simple Gaussian
profiles. In Fig. 5, the yellow line represents a
Gaussian with an FWHM of 2500
.
We find that our TML model
provides a better description of the data. (Gaussians with different
FWHM are drawn in the subsequent Figs. 6 and 7). There is definitely more flux present at both low
and high velocities in the observed profiles than provided by
any single broad ``Gaussian''. The same appears to be the case for the
TML model with
= 10, but to a much lesser extent. For instance,
the TML profile fills the widening of the profile beyond the narrow
Gaussian core (dashed green line) much better compared to the round
top of a wide Gaussian. A Lorentzian profile would provide a better
description of the data than a Gaussian, as shown in
Fig. 8. However, given the physical characteristics
of the gas, there is no physical justification for a Lorentzian
profile.
![]() |
Figure 6:
Same notation as in Fig. 5 except for the TML model, which
corresponds to
|
| Open with DEXTER | |
![]() |
Figure 7:
Same notation as in Fig. 5 except for the TML model, which
corresponds to
|
| Open with DEXTER | |
In Figs. 6 and 7, we show the other two
TML models of equal Vw, but with different
of 33 and 4,
respectively. The model that fits the wings better
(Fig. 6) does worse with the core region, and
conversely with the other model. For comparison, Gaussians that
approximately match the same region as the corresponding TML model
are overlaid.
To obtain a much improved fit to the profile wings, the
juxtaposition of two or more TML profiles of different widths would
therefore be necessary. Because the [O III]/H
ratio varies markedly
along the
sequence (Sect. 3.5) and since the
observed broad [O III]/H
line ratio is the same as the one found
for the narrow core, we would argue against combining models of
different thickness
.
An alternative way to combine TML profiles
would be to consider a radial gradient in wind velocity Vw. Such a
sequence in which Vw varied and
remained at the value set by
the ionization-bounded case would present a clear advantage, since
the resulting [O III]/H
ratio would not change from the value
characterizing the static nebula case.
To illustrate this, we looked for an ionization-bounded model that
would be equivalent to the model with
= 10 (Fig. 5,
which is the model that fits relatively well the bulk of the broad
profile). In this new model, the increase in thickness is
compensated by a reduction in wind velocity. The resulting profile
is shown in Fig. 8 and corresponds to a slower wind
of Vw = 3500
and a larger thickness
= 31. The comparison of
Fig. 8 with Fig. 5 shows that the two
profiles are comparable. In the case of the slower wind model, the
broad profile is slightly wider because
is larger (0.88) and it
fares better in the wings than the 4300
model with
= 10.
This new model is preferable, since it results in the same
[O III]/H
ratio as that of the narrow core. Furthermore, the wind
velocity is more conservative and corresponds to the value
calculated by Sternberg et al. (2003) for O3 stars.
![]() |
Figure 8:
Same notation as in Fig. 5 except for the TML model, which
corresponds to a slower wind of Vw = 3500
|
| Open with DEXTER | |
4.3 Other emission lines
The TML models predict that there should not be any broad wings
underneath the lower excitation lines such as [N II] or [S II]. The
reason is that in models with a high ionization parameter (e.g.
)
the degree of ionization throughout the turbulent
layer is high and the ionized gas is dominated by high excitation
species, such as O+2 or N+2. This means that low excitation
species are relatively insignificant throughout the layer.
Inspection of the data shows no evidence of broad wings underneath
the low excitation lines at a level comparable to that observed in
H
,
H
or [O III]. We have also explored whether faint wings would
be present underneath the high excitation lines, as is
predicted by the model. The limited S/N available for the weak
[Ar IV] lines, however, has made such a test inconclusive.
![]() |
Figure 9:
Observed emission line profiles of He II |
| Open with DEXTER | |
The shapes of the profiles predicted by the TML models are either
characterized by a broad profile with a peaked center ([O III], C IV,
C III], [Ne III], H
,
H
)
or a narrow core without any significant
wings ([S II], Mg II, [N II], [O II]). There are a few exceptions,
however, such as the high excitation line of He II
4686, which presents
a top hat shape. This arises as the line is only produced
significantly at the onset of the thermal bump in
Fig. 3 where the temperature shoots up above that of
the isothermal region
(see He II emission flux in
Fig. 4). For illustrative purposes we show the profile
predicted for He II in Fig. 9. It corresponds to an
upper limit equivalent to 5 times the intensity predicted by
the TML model with Vw = 3500
and
= 31. It is possible that
MAPPINGS Ic underpredicts the strength of this line, since it considers
only pure recombination and does not include collisional excitation.
It is interesting to note that one cannot completely rule out the
presence of a weak broad component (or flat pedestal) underneath the
narrow He II profile. We do not expect such a component to be due
to a Wolf-Rayet feature, since supercluster A in NGC 2363 is much too
young (<1 Myr; Drissen et al. 2000) and, furthermore, no
evidence has been found of broad N III] or C IV, which are otherwise
expected if Wolf-Rayet stars were present.
4.4 Line profiles from starburst galaxies
A different area where TML emission could play a role are broad
profiles, with FWHM in the range of 150-400
,
observed in
starburst galaxies, such as NGC 1569
(Westmoquette et al. 2007a,b, 2008) or M82 (Westmoquette et al. 2007c). The requirements for
wind velocities in these objects are modest in appearance, which
implies a much lower wind velocity. However, the FWHM observed may
nevertheless correspond to a significantly higher Vw if the wind,
rather than being fully isotropic, tended to project along the plane
of the sky of the observer. For instance, in the case of near
edge-on galaxies, the wind can be funneled above and below the
galactic plane, resulting in a narrower profile because
,
in the notation of Sect. 3.5. In contrast to NGC 2363,
supernovae can play an important role in launching starburst winds.
Another significant difference is that it is the lower excitation
lines like [N II]
6583 that are observed to be broad. This can only be
accounted for in our model if a sufficiently low ionization
parameter is assumed, which could ensure that the intermediate
excitation lines spread over a significant fraction of the TML's
thickness. A softer ionizing continuum due to high metallicities may
also contribute to the prominence of intermediate excitation lines.
In the case of M 82, Westmoquette et al. (2007c) report a relatively
low [O III]/H
(5007/4861) ratio of
0.32. New TML
calculations adapted to the context of starburst galaxies would be
required to verify whether the inferred ionization parameter is
sufficiently low for the [N II] lines to become broad as well.
5 Conclusions
Four mechanisms have been explored by Roy et al. (1992) to account
for the extreme gas velocities observed in NGC 2363, namely stellar
winds, Thomson scattering by hot electrons, supernova remnants, and
a superbubble blowout. These authors reported significant problems
with each of these mechanisms and considered them to be
unsatisfactory. They concluded that the broad nebular gas is
probably due to ``very high velocity gas whose origin is, at
present, unknown''. In this paper, we explore the possibility that
the broad emission originates from turbulent mixing at the interface
between a hot cluster wind and more quiescent photoionized
condensations. In our model, all gas phases are in pressure
equilibrium and, because of the high temperature of the wind, the
total ionized gas mass contained in the wind is much lower than
postulated by Roy et al. (1992), by a factor
.
Since
the upper limits on Tw set by the non-detection in the X-rays
allows temperature values as high as 108 K
(Sect. 3.3), the objection to the wind hypothesis
expressed by Roy et al. can be lifted.
The basic input parameters affecting the TML models have been given
appropriate values as follows: we inferred a density of
100
for the nebular gas, using the [S II] doublet. The
metallicity that was assumed is 20% solar, as deduced by Luridiana
et al. (1999). The SED that we adopted was calculated using the
code LavalSB and corresponds to a newly formed star cluster 1 Myr
old (the upper age limit derived by Drissen et al. 2000).
Finally, the ionization parameter has been adjusted so that the
calculated [O III]/H
ratio became comparable to the observed value.
In our model, the broad profile results from radial acceleration in
3D of photoionized turbulent gas. About 10-20% of the acceleration
that takes place occurs at temperatures approaching that of the
wind, and this gas does not contribute to line emission. For this
reason, the wind velocity assumed in the TML model must exceed the
value inferred from the extent of the faint wings (i.e.
3500
). To constrain the models, we adopted the spectral
data set of Drissen et al. (2009) that was obtained at the Gemini
observatories. We report in Sect. 4.2 on the results of
models with
,
which can successfully fit the faint
wings when the TML is ionization bounded (
= 33,
Fig. 6). The bulk of the profile is better fitted if
we reduced the TML thickness to
(Fig. 5). This model, however, is matter-bounded and
the [O III]/H
ratio from the TML would exceed that observed in the
core of the lines as well as in the broad component. Our preferred
scenario, therefore, is that the cluster wind undergoes radial
acceleration, but the TML remains ionization-bounded at all radii.
Our slower wind model of 3500
and with
= 31 is as
successful in fitting the bulk of the broad profile
(Fig. 8). It is therefore our best model overall.
The relative success of TMLs in fitting broad profiles and in
predicting the absence of broad lines for [N II] and [S II] are
significant arguments in favor of the models. The requirement of
wind velocities of order 4000
in order to fit the very faint
wings remain a stumbling block, however, unless supercluster A,
because of its extreme youth, is able to generate such physical
conditions. Interestingly, our TML model results in a flat-top
profile for He II
4686, although this characteristics could not be
confirmed with the current data. As a follow-up study, new
calculations adapted to the broad component observed in starburst
galaxies (e.g. Westmoquette et al. 2007a,b,c) should be carried
out along the lines developed in Sect. 4.4.
Although, in this paper, the accelerating mechanism is assumed to arise from a stellar wind, alternative mechanisms could be considered that would lead to a near-constant radial acceleration and therefore generate profiles equivalent to those shown in this work. One possibility for instance might be radial acceleration due to radiation pressure acting on dusty photoionized gas plumes. NGC 2363 is clearly a fascinating object that remains a challenge in our understanding of extremely young nebulae.
Acknowledgements
L. B. owes the inspiration of considering TMLs in the context of star forming regions to M. S. Westmoquette. We thank the unknown referee for his contribution to the clarity of the ideas presented in this paper. This work was supported by the CONACyT grant J-50296. L. D. acknowledges financial support from the Canada Research Chair program. C.R. and L.D. acknowledges financial support from Canada's Natural Science and Engineering Research Council (NSERC) and from Québec's ``Fonds québécois de la recherche sur la nature et les technologies'' (FQRNT). Diethild Starkmeth helped us with proofreading.
References
- Begelman, M. C., & Fabian, A. C. 1990, MNRAS, 244, 26 [NASA ADS] (In the text)
- Binette, L., & Robinson, A. 1987, A&A, 177, 11 [NASA ADS] (In the text)
- Binette, L., Cabrit, S., Raga, A., & Cantó, J. 1999, A&A, 346, 260 [NASA ADS] (In the text)
- Binette, L., Flores-Fajardo, N. S., Raga, A. C., Drissen, L., & Morisset, C. 2008, ApJ, 695, 552 [NASA ADS] [CrossRef] (Paper I) (In the text)
- Cantó, J., & Raga, A. C. 1991, ApJ, 372, 646 [NASA ADS] [CrossRef] (In the text)
- Cantó, J., Raga, A. C., & Rodríguez, L. F. 2000, ApJ, 536, 896 [NASA ADS] [CrossRef] (In the text)
- Dionne, D., & Robert, C. 2006, ApJ, 641, 252 [NASA ADS] [CrossRef] (In the text)
- Drissen, L., Roy, J.-R., Robert, C., Devost, D., & Doyon, R. 2000, AJ, 119, 688 [NASA ADS] [CrossRef] (In the text)
- Drissen, L., Crowther, P. A., Smith, L. J., et al. 2001, ApJ, 546, 484 [NASA ADS] [CrossRef] (In the text)
- Drissen, L., Úbeda, L., Charlebois, M., Binette, L., & Roy, J.-R. 2009, AJ, in preparation (DUCBR) (In the text)
- Ferruit, P., Binette, L., Sutherland, R. S., & Pecontal, E. 1997, A&A, 322, 73 [NASA ADS] (In the text)
- Gonzalez-Delgado, R. M., Perez, E., Tenorio-Tagle, G., et al. 1994, ApJ, 437, 239 [NASA ADS] [CrossRef] (In the text)
- Hartquist, T. W., Dyson, J. E., Pettini, M., & Smith, L. J. 1986, MNRAS, 221, 715 [NASA ADS] (In the text)
- Liedahl, D. A., Osterheld, A. L., & Goldstein, W. H. 1995, ApJ, 438, L115 [NASA ADS] [CrossRef] (In the text)
- Luridiana, V., Peimbert, M., & Leitherer, C. 1999, ApJ, 527, 110 [NASA ADS] [CrossRef] (In the text)
- Melnick, J., Terlevich, R., & Moles, M. 1988, MNRAS, 235, 297 [NASA ADS]
- Melnick, J., Terlevich, R., & Terlevich, E. 2000, MNRAS, 311, 629 [NASA ADS] [CrossRef] (In the text)
- Mewe, R., Lemen, J. R., & van den Oord, G. H. J. 1986, A&AS, 65, 511 [NASA ADS] (In the text)
- Noriega-Crespo, A., Garnavich, P. M., Raga, A. C., Canto, J., & Boehm, K.-H. 1996, ApJ, 462, 804 [NASA ADS] [CrossRef] (In the text)
- Pittard, J. M., Dyson, J. E., Falle, S. A. E. G., & Hartquist, T. W. 2005, MNRAS, 361, 1077 [NASA ADS] [CrossRef] (In the text)
- Rand, R. J. 1998, ApJ, 501, 137 [NASA ADS] [CrossRef] (R98) (In the text)
- Roy, J.-R., Aube, M., McCall, M. L., & Dufour, R. J. 1992, ApJ, 386, 498 [NASA ADS] [CrossRef] (In the text)
- Slavin, J. D., Shull, J. M., & Begelman, M. C. 1993, ApJ, 407, 83 [NASA ADS] [CrossRef] (In the text)
- Sternberg, A., Hoffmann, T. L., & Pauldrach, A. W. A. 2003, ApJ, 599, 1333 [NASA ADS] [CrossRef] (In the text)
- Tenorio-Tagle, G., Munoz-Tunon, C., Perez, E., & Melnick, J. 1997, ApJ, 490, L179 [NASA ADS] [CrossRef] (In the text)
- Thuan, T. X., & Izotov, Y. I. 2005, ApJ, 627, 739 [NASA ADS] [CrossRef] (In the text)
- Veilleux, S., & Osterbrock, D. E. 1987, ApJS, 63, 295 [NASA ADS] [CrossRef] (In the text)
- Westmoquette, M. S., Exter, K. M., Smith, L. J., & Gallagher, J. S. 2007a, MNRAS, 381, 894 [NASA ADS] [CrossRef]
- Westmoquette, M. S., Smith, L. J., Gallagher, J. S., & Exter, K. M. 2007b, MNRAS, 381, 913 [NASA ADS] [CrossRef]
- Westmoquette, M. S., Smith, L. J., Gallagher, J. S., III, et al. 2007c, ApJ, 671, 358 [NASA ADS] [CrossRef] (In the text)
- Westmoquette, M. S., Smith, L. J., & Gallagher, J. S. 2008, MNRAS, 383, 864 [NASA ADS] [CrossRef] (In the text)
Footnotes
- ... old
- Knot B, although weaker, contains four Wolf-Rayet stars and one Luminous Blue Variable (Drissen et al. 2001).
- ...
dispersion
- It is a well documented fact that the line profiles of giant H II regions greatly exceed the width given by thermal broadening alone (cf. Melnick et al. 1988, 2000, and references therein).
- ...
Luridiana
- The abundances inferred by these authors are 25% solar for the stellar atmospheres and 20% for the nebular gas.
- ... density
- This density only applies to the photoionized layer of the condensations. The core of the condensations are expected to be cold and therefore much denser.
- ... column
- The quantity
)
is a convenient model descriptor. However, it is a
bad estimator of the true integrated H column, which is a lot
smaller since the density is not constant but decreases as the
temperature rises with thickness y (Fig. 3).
- ... core
- The amount of dust encountered by
Gonzalez-Delgado et al. (1994) for the narrow line emitting gas in
knot A is as little as
) = 0.2 (or
).
Uncertainties in our absolute calibration of the blue spectrum does
not allow us to verify this value. To have more dust covering the
broad line emitting gas, however, is somewhat counterintuitive and
this particular interpretation should be considered tentative.
- ...
convolved
- The target width is 115
,
which implies a
convolution by a Gaussian of FWHM of
.
- ... region
- Since the density decreases inversely
to the temperature, the He II
4686 line emissivity becomes negligible
towards the very high temperature end.
All Figures
![]() |
Figure 1: The drawing describing the geometry of the supercluster hot wind within which photoionized condensations are distributed. |
| Open with DEXTER | |
| In the text | |
![]() |
Figure 2:
Schematic diagram showing the cross-section along the
y-axis of a plane-parallel mixing layer of thickness |
| Open with DEXTER | |
| In the text | |
![]() |
Figure 3:
Behavior in panel a) of the temperature normalized
to the value in the wind and in panel b) of |
| Open with DEXTER | |
| In the text | |
![]() |
Figure 4:
Emission line flux from H |
| Open with DEXTER | |
| In the text | |
![]() |
Figure 5:
Superposition of the emission line profiles of H |
| Open with DEXTER | |
| In the text | |
![]() |
Figure 6:
Same notation as in Fig. 5 except for the TML model, which
corresponds to
|
| Open with DEXTER | |
| In the text | |
![]() |
Figure 7:
Same notation as in Fig. 5 except for the TML model, which
corresponds to
|
| Open with DEXTER | |
| In the text | |
![]() |
Figure 8:
Same notation as in Fig. 5 except for the TML model, which
corresponds to a slower wind of Vw = 3500
|
| Open with DEXTER | |
| In the text | |
![]() |
Figure 9:
Observed emission line profiles of He II |
| Open with DEXTER | |
| In the text | |
Copyright ESO 2009
Current usage metrics show cumulative count of Article Views (full-text article views including HTML views, PDF and ePub downloads, according to the available data) and Abstracts Views on Vision4Press platform.
Data correspond to usage on the plateform after 2015. The current usage metrics is available 48-96 hours after online publication and is updated daily on week days.
Initial download of the metrics may take a while.













