| Issue |
A&A
Volume 500, Number 2, June III 2009
|
|
|---|---|---|
| Page(s) | 909 - 916 | |
| Section | Planets and planetary systems | |
| DOI | https://doi.org/10.1051/0004-6361/200811301 | |
| Published online | 08 April 2009 | |
The trans-Neptunian object size distribution at small sizes
R. Gil-Hutton1 - J. Licandro2 - N. Pinilla-Alonso3 - R. Brunetto4
1 - Complejo Astronómico El Leoncito - CONICET and Universidad Nacional de San Juan, Av. España 1512 sur, J5402DSP - San Juan, Argentina
2 - Instituto de Astrofísica de Canarias, c/vía Láctea s/n, E38205, La Laguna, Tenerife, Spain
3 - Fundación Galileo Galilei & Telescopio Nazionale Galileo, PO Box 565, 38700, S/C de La Palma, Tenerife, Spain
4 - Institut d'Astrophysique Spatiale, Université Paris-Sud, bâtiment 121, 91405 Orsay Cedex, France
Received 6 November 2008 / Accepted 4 March 2009
Abstract
Aims. The aim of this work is to estimate the size distribution of small Trans-Neptunian objects.
Methods. We simulate the irradiation and collisional processes affecting the surface of a Trans-Neptunian object for the first time using as a constraint the peculiar crystalline to amorphous water ice ratio observed on (136108) 2003 EL61.
Results. We find that the size distribution changes its exponent from q0=4.2 at larger sizes to
at the smaller ones, with a break radius of
km. If this size distribution is applied to studying the collisional surface evolution of (136108) 2003 EL61, we find that the object must be covered by a thin ice crust of
0.12 cm, while the original composition of the object is still present at 1.61 cm or more below the surface. This result is not affected by a collision with a large projectile that occurred by chance more than 109 yr ago since after a short time the mean value obtained for the crystalline to amorphous water ice ratio is indistinguishable from the one obtained without a collision with a large projectile. Since the simulations are not sensitive to the effects of very small projectiles (
m), it is possible that the exponent of the size distribution for these very small objects changes again, approaching a Donhanyi's size distribution.
Key words: Kuiper Belt - solar system: formation - astrochemistry - methods: numerical
1 Introduction
The Trans-Neptunian belt (TNb) is a vast swarm of icy bodies beyond the orbit of Neptune in the outer Solar System. Over the past decade, a great deal of effort has been invested in the study of the Trans-Neptunian objects (TNOs) since they can provide essential information about the conditions in the early Solar System environment. Even though the uppermost surface layer of these bodies could be affected by solar radiation, cosmic rays, interplanetary dust, and collisions, they represent the most pristine material available to study in the Solar System.
The physical properties of TNOs are indicative of the accretion process, and particularly its size distribution may hold clues to the process of giant planet formation (Davis & Farinella 1996; Kenyon & Bromley 2004; Gladman et al. 2001). Because of TNOs faintness, the size distribution of the population is well-determined observationally only for objects with radius r greater than
50 km, and it is usually represented by a power law
with q=4.0-4.8 (Petit et al. 2006; Trujillo et al. 2001b,a). It is important to note that this distribution must change at some break radius
to avoid a divergence in the mass or reflected surface brightness of the TNb population (Kenyon & Windhorst 2001), but a reliable value for this parameter is not known and theoretical predictions are uncertain (Pan & Sari 2005; Kenyon & Bromley 2004). The first observational constraint has come from Bernstein et al. (2004), who found only 3 TNOs at
(
km for an albedo of
0.04) where they expected more than 80 bodies based on an extrapolation of the size distribution of Trujillo et al.. This deficit in small TNOs indicates a break in the size distribution, but it is inconsistent with the previously expected small-end distribution with q=3.5 due to the effects of destructive collisions (Kenyon 2002; Davis & Farinella 1996). Later, Fraser et al. (2008) found no evidence of a slope change in the size distribution for objects brighter than
,
but Fuentes & Holman (2008), Fraser & Kavelaars (2008), and Fraser & Kavelaars (2009) confirm the broken power-law size distribution.
An interesting possibility for testing the size distribution of TNOs at small sizes is to study the collisional effects of projectiles on the surface of large TNOs. Spectroscopic and spectrophotometric studies show that about 70% of TNOs present a surface enriched in complex organics (Brunetto et al. 2006). Long-term processing by high-energy particles and solar radiation on icy bodies induces the formation of organic species in their outer layers, resulting in a mantle that covers the unprocessed original ices (Moore et al. 1983; Strazzulla & Johnson 1991; Johnson et al. 1984). A few tens of micrometers of an organic-rich layer are already able to mask the presence of water and other volatiles below the surface spectroscopically in the near-IR (Brunetto & Roush 2008). It has been shown that several TNOs have surfaces covered by fresh water ice, with spectra that are neutral and featureless in the visible and show strong water ice absorption bands in the near infrared (Barkume et al. 2006; Pinilla-Alonso et al. 2007; Brown et al. 1999,2007; Licandro et al. 2006; Trujillo et al. 2007).
Among these TNOs with almost pure water ice on their surfaces, (136108) 2003 EL61 is the fourth largest known TNO and it has a
1:1 intimate mixture of crystalline and amorphous water ice as the most probable composition of its surface, constraining the presence of other minor constituents to a maximum of 8% (Pinilla-Alonso et al. 2009). These authors showed that cryovolcanism is not responsible for the crystalline water ice observed on the surface of (136108) 2003 EL61 since they did not find evidence in the spectrum of the ammonia hydrate absorption band at 2.2
m, which is an expected product of this mechanism. On the other hand, the process proposed by Zheng et al. (2008) where the thermal recrystallization could dominate the irradiation amorphization for temperatures >40-50 K is not valid here since a mean surface temperature of
30 K is obtained for this object (Merlin et al. 2007) using the Stefan - Boltzmann law and the albedo determined by Rabinowitz et al. (2006).
Then, following the suggestion of Licandro et al. (2006) to explain the presence of crystalline water on (55636) 2002 TX300, Pinilla-Alonso et al. proposed a scenario where the resurfacing is produced by collisions. A collisional event releases energy that could be partially converted into heat that would produce the crystallization of water ice, but the eroded material would also be sublimated and distributed homogeneously over the surface of the TNO while recondensing. After the collisional event, the irradiation process starts to transform crystalline into amorphous water ice again (Moore & Hudson 1992; Strazzulla et al. 1992; Leto & Baratta 2003; Kouchi & Kuroda 1990), while the final crystalline to amorphous ice ratio depends on the collisional and irradiation timescales and on the size distribution of the projectile population.
In this paper we present results about the best fit to the TNO size distribution at small sizes and its break radius, using the peculiar crystalline to amorphous water ice ratio observed for (136108) 2003 EL61 as constraint. In Sect. 2 we describe the model used to simulate the collisional and irradiation processes, and in Sects. 3 and 4 we present and discuss the results, respectively. Finally, in Sect. 5 we summarize the conclusions.
2 The model
The model used to simulate the evolution of the surface of (136108) 2003 EL61 is very simple. We assume that the target has a radius
and that it is composed of a mix of rock and water ice with mean density
,
where
and
are the rock and ice densities, respectively, and
is the ice fraction in the original composition. Any non-disruptive collision between a projectile, with radius
and density
,
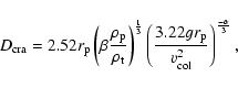
and the target produces a hemispherical crater with diameter
![]() |
(1) |
where g is the surface gravity of the target,
| (2) |
where V0 is the volume of pure ice in the crater, deposited on the surface by previous collisions and forming a layer of thickness
and V1 is the volume of mixed ice in the crater, excavated at depths greater than
The total kinetic energy produced by a collision with a projectile of mass
Since the timescale to transport vapor globally is short compared with the radiative cooling timescale of the vapor, the ice mass sublimated in the collision and retained by the target should form transient atmospheres lasting tens of hours to a few days and finally precipitating again on the target surface (Stern 2002), forming a crystalline water ice layer of thickness
.
Since we are looking for a global effect on the target surface, we only take into account collisions producing a crystalline water ice layer with
m. This thickness is less than the expected water ice particle size formed as a loose aggregate (10-50
m, Sunshine et al. 2006), but in this way we obtain some compensation for global ice layers created by the ice accumulation due to the large number of small projectile collisions during each time step of the integration.
The mean number of collisions a target with radius
receive in a time interval
is
![]() |
(3) |
where
![]() |
(4) |
where K0, and K1 are constants, r0 the largest object in the population, and r1 the break radius of the size distribution for two arbitrary size ranges. Since (136108) 2003 EL61 is a classical TNO, as first guest we used the size distribution proposed by Trujillo et al. (2001b) for large classical objects, characterized by an exponent q0=4.2 and an estimation of
On the other hand, the irradiation of water ice by cosmic rays or UV radiation converts crystalline water ice into amorphous water ice. Leto & Baratta (2003) find from laboratory experiments that a complete amorphization is obtained by irradiating crystalline water ice with a dose of at least 10 eV/molecule and that the process is roughly linear with the dose. Then, taking the results of Strazzulla et al. (2003) about the time needed to produce a radyolitic change in irradiated water ice into account, we can infer a timescale for this process of about 109 yr at a heliocentric distance of 40 AU and its effects are also linear with time.
To apply this model to (136108) 2003 EL61 we need some physical constraints and values for different parameters related with the target and the projectile population. Since the crystalline to amorphous water ice ratio for this object was obtained from visible-NIR reflectance spectroscopy, and such observations only retrieve information from the most external surface layers of the body, we performed several tests to estimate the thickness of the water ice layer that is able to mask any spectral signature of the underlying material.
We used a multi-layer scattering model, as developed and described by Brunetto & Roush (2008). The model to calculate the reflectance from a system where a layer overlies an infinitely thick substrate is based on Eqs. (7.45c), (8.89), (9.14), and (11.24) from Hapke (1993). Assuming that the material under the water ice layer is mainly composed of silicates, in Fig. 1 we show our results for an ice layer (grain size of 10
m) with an amorphous to crystalline water ratio similar to that observed on (136108) 2003 EL61 (Pinilla-Alonso et al. 2009). The optical constants used for water ice are the same as in Pinilla-Alonso et al., whereas for silicates (olivine and pyroxene) we used the optical constants by Brunetto et al. (2007), assuming a reasonable grain size of 20
m. We found that an ice layer with thickness
200
m is enough to mask any silicate contribution to the spectrum. Thus, the numerical model described below takes spectral information coming from a layer with thickness
m into account.
![]() |
Figure 1:
Synthetic spectra obtained using a two-layer model (Brunetto & Roush 2008). Upper layer is composed of water ice (grain size of 10 |
| Open with DEXTER | |
One important parameter for evaluating the collisional evolution is the mean intrinsic collision probability, which can be inferred from statistical studies of the occurrence of orbital encounters between the target and the projectile population using the method developed by Marzari et al. (1996). In this method the target and a projectile population were numerically integrated during a time span
and the encounter distance and encounter velocity between the target and any projectile were recorded. Since Marzari et al. shown that the distribution of the cumulative number of encounters for an encounter distance less than
is proportional to
,
a distribution of the form
was assumed. The proportionally constant P1 is found by a fit to the data, taken as standard deviation for each point
![]() |
(5) |
where
![]() |
Figure 2: Collision velocity distribution for (136108) 2003 EL61 obtained with the method of Marzari et al. (1996). The ordinate axis is the fraction of the total number of encounters between the target and a projectile. |
| Open with DEXTER | |
The simulation of the collisional and irradiation processes on the object runs for
yr with time steps of 104 yr, and the canonical set of parameters used is listed in Table 1.
Table 1: Canonical set of parameters used in the simulation.
3 Results
A typical result of the simulation is shown in Fig. 3, where it is possible to observe that, any time the target receive a collision, the crystalline water ice fraction (
)
on the surface grows, while in the period between collisions the irradiation process transform the ice to its amorphous variety reducing the value of
on the surface.
![]() |
Figure 3: Fraction of crystalline water ice obtained on the surface of (136108) 2003 EL61 for a break radius 40 km and a small end size distribution exponent q1=2.8. |
| Open with DEXTER | |
Since the simulations always begin with all the ice in an amorphous state (
), to avoid any effect from the
values obtained during the initial stabilization period of the simulation the mean value of the crystalline water ice fraction was calculated by using the results obtained only after the first 109 yr.
To find the best values of q1 and r1, we arbitrarily fixed the value of r1 and study how
varies in function of q1. We tested several value combinations for different parameters but the results obtained always change only slightly in comparison with those provided by the canonical set. The most significant parameters are
,
,
and
,
which control the spectral information and the amount of crystallized water ice deposited on the surface after a collision, but still in these cases the results do not show a substantial change. For example, the mean value of
for the canonical set of parameters and for a similar set but with
m,
m, or
are shown in Figs. 4-6, respectively. The r1=50 km and 40 km cases are always characterized by a fast fall to
for
q1<2.2-2.3 produced when the collisional resurfacing stops due to the short number of projectiles available in these size distributions, while for the r1=30 km and 20 km cases, the number of small projectiles is enough to support a collisional resurfacing process and the simulations also provided useful results for
q1<2.2-2.3.
![]() |
Figure 4:
Mean value for the fraction of crystalline water ice on the surface of (136108) 2003 EL61 for different smal-end size distribution exponents and break radius. The results for the canonical set of parameters are indicated by squares and those for a similar set but with
|
| Open with DEXTER | |
![]() |
Figure 5:
Mean value for the fraction of crystalline water ice on the surface of (136108) 2003 EL61 for different small-end size distribution exponents and break radius. The results for the canonical set of parameters are indicated by squares and those for a similar set but with
|
| Open with DEXTER | |
![]() |
Figure 6:
Mean value for the fraction of crystalline water ice on the surface of (136108) 2003 EL61 for different small-end size distribution exponents and break radius. The results for the canonical set of parameters are indicated by squares and those for a similar set but with
|
| Open with DEXTER | |
Since the amorphization rate of irradiated crystalline water ice depends on the temperature, it is important to consider in the simulations variations in the temperature at which the amorphization starts to deviate from its 100% efficiency at low-temperature. Strazzulla et al. (1992) reported amorphization above or around 90% of the original crystalline ice at temperatures below 55 K, Moore & Hudson (1992) found that amorphization is complete for temperature below 46 K, and Mastrapa & Brown (2006) find that, for a temperature equal to or below 40 K, amorphization is complete, whereas above 50 K some crystalline character remains in the spectra. In any case, our model is not affected by such an effect, mainly because the surface temperature of(136108) 2003 EL61 is most probably below 40 K since Merlin et al. (2007) estimated a mean surface temperature of about 30 K for this body, and using the peak position of the 1.65
m band, they estimated an upper limit of 40 K. Thus, the temperature at which we should consider the irradiation for (136108) 2003 EL61 is
30 K and, in any case, below
40 K. Nevertheless, we also tested our model assuming that a 15% fraction of crystalline ice can survive after irradiation (Fig. 7). We find that, still in this case, the results obtained change only slightly in comparison with what is provided by the canonical set of parameters used.
![]() |
Figure 7:
Mean value for the fraction of crystalline water ice on the surface of (136108) 2003 EL61 for different smal-end size distribution exponents and break radius. The results for the canonical set of parameters are indicated by squares and those for a similar set but assuming that a 15% fraction of crystalline ice can survive after irradiation by circles. The error bars indicate the range of variations observed during the last
|
| Open with DEXTER | |
The timescale for total amorphization of crystalline ice used in the model for an object at an heliocentric distance of 40 AU is based on laboratory results obtained by Leto & Baratta (2003) and Strazzulla et al. (2003) and could be in error by a certain amount. Then, we also tested our model using total amorphization times of
yr (Fig. 8) and
yr (Fig. 9), obtaining similar results in both cases to those provided by the canonical set of parameters.
![]() |
Figure 8:
Mean value for the fraction of crystalline water ice on the surface of (136108) 2003 EL61 for different small-end size distribution exponents and break radius. The results for the canonical set of parameters are indicated by squares and those for a similar set but assuming that the time needed to produce a total amorphization is
|
| Open with DEXTER | |
![]() |
Figure 9:
Mean value for the fraction of crystalline water ice on the surface of (136108) 2003 EL61 for different small-end size distribution exponents and break radius. The results for the canonical set of parameters are indicated by squares and those for a similar set but assuming that the time needed to produce a total amorphization is
|
| Open with DEXTER | |
The results for r1=20 km to 50 km using the canonical set of parameters are shown in Fig. 10. Taking the results of Pinilla-Alonso et al. (2009) for (136108) 2003 EL61 into account, we are looking for
,
so the best-fitted values for the small-end size distribution exponent obtained with these simulations are
q1=2.65-2.75 for r1=50 km,
q1=2.55-2.65 for r1=40 km,
q1=2.35-2.45 for r1=30 km, and
q1=2.2-2.3 for r1=20 km.
![]() |
Figure 10:
Mean value for the fraction of crystalline water ice on the surface of (136108) 2003 EL61 for different small-end size distribution exponents and break radius using the canonical set of parameters. The case of r1=50 km are indicated by squares, r1=40 km by circles, r1=30 km by triangles, and r1=20 km by diamonds. The error bars indicate the range of variations observed during the last
|
| Open with DEXTER | |
4 Discussion
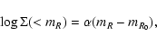
The best way to compare these results with the observations is to calculate the cumulative luminosity function of the TNb population
![]() |
(6) |
where mR is the red magnitude, mR0 the red magnitude at which one would expect to have 1 object per square degree in the sky, and
![]() |
(7) |
where
In Fig. 11 the cumulative luminosity functions obtained from the simulation are compared with the results of several TNO surveys (Luu & Jewitt 1998; Petit et al. 2006; Chiang & Brown 1999; Irwin et al. 1995; Trujillo et al. 2001b; Jewitt et al. 1998; Bernstein et al. 2004; Trujillo et al. 2001a; Gladman et al. 2001,1998; Jewitt & Luu 1995; Fraser et al. 2008; Jewitt et al. 1996). The observations at mR < 25 are well-fitted by the luminosity function proposed by Trujillo et al. (2001b) (
)
and Fraser et al. (2008) (
), but for fainter magnitudes the observations seem to follow a luminosity function with a different slope like those we found in this paper.
![]() |
Figure 11: Cumulative surface density of TNOs brighter than a given R magnitude. The line indicated with ``a'' is the luminosity function for the size distribution of Trujillo et al. (2001b). The lines ``b'' to ``e'' are the luminosity functions for the calculated small end size distributions exponents q1=2.25, 2.4, 2.6, and 2.7 for break radii of r1=20 km, 30 km, 40 km, and 50 km, respectively. |
| Open with DEXTER | |
Then, based on our simulations and the observations for mR>26, we propose that the TNO size distribution changes its exponent from q0=4.2 to
at a break radius of
km (
for pR=0.04). This result agrees very well with those obtained by Bernstein et al. (2004) (q1=2.6), Fuentes & Holman (2008) (
and
mR1=24.3+0.8-0.1), Fraser & Kavelaars (2008) (
mR1=26.0+0.7-1.8), and Fraser & Kavelaars (2009) (q1=1.9 and
mR1=25.8).
It is important to note that, due to the constraint about the thickness limit of the crystalline ice layer deposited on the surface of the target after a collision (
), the simulations are only sensitive to the effects of not very small projectiles (
m), so it is possible that the exponent of the size distribution change again for these very small objects approaching a Donhanyi size distribution (q=3.5).
If this size distribution is applied to studying the collisional surface evolution of (136108) 2003 EL61, we find that after
yr the thickness of the most external ice crust is 0.12 cm, while the original composition is present at 1.61 cm or more below the surface (Fig. 12). This external ice layer is very thin because it was formed by ice excavated by collisions with relatively small projectiles (in general,
km). If we include in the simulation a collisional event with a projectile of
km after, say,
yr of the beginning of the simulation, the final ice thickness is 1.43 m and the original composition appears at a depth of 191 m below the surface.
In this last case, the effect of the collision is to cover the whole surface with a crystalline ice layer produced by the impact (
), but after a few 108 yr, the competition between the collisional and irradiation processes takes control again and the mean value obtained for
is indistinguishable from what is obtained without a collision with a large projectile. It is important to mention that Lacerda et al. (2008a,b) find color variations with the rotational phase produced by a dark red spot on the surface of (136108) 2003 EL61. This red spot could be the result of a collision that destroyed the most external ice layer and exposed the underneath redder material. In this case, the sublimated ice produced by the collision precipitates over the surface and again covers the target with a crystalline ice layer, but if the collision occurred recently the ice layer produced by this and subsequent collisions is very thin (less than 200
m), which is not enough to mask any silicate or amorphous ice contribution to the spectrum.
Since the present mean value of
for 2003 EL61 is not high (Pinilla-Alonso et al. 2009), the collisional scenario proposed by Brown et al. (2007) for the origin of the family of 2003 EL61 should not happen recently, which also agrees with recent calculations indicating that the large impact that most probably created the family should be primordial (Ragozzine & Brown 2007).
![]() |
Figure 12:
Thickness of the external ice crust and the depth where the original material composition is present during the simulation with and without a collision. The lines ``a'' and ``b'' are the ice layer thickness and the depth at which the original composition is found, respectively, while the lines ``c'' and ``d'' indicate the same values but include the effects of a collision of the target with a projectile of
|
| Open with DEXTER | |
5 Conclusions
Using the peculiar crystalline to amorphous water ice ratio observed for (136108) 2003 EL61 as constraint, we found a best fit to the TNO size distribution at small sizes and its break radius. Our simulations indicate that the size distribution changes its exponent from q0=4.2 to
at a break radius of
km. This result is not affected by a collision with a large projectile that occurred by chance during the simulation time.
Since the simulations are not sensitive to the effects of very small projectiles (
m), it is possible that the exponent of the size distribution for these very small objects changes again approaching a Donhanyi size distribution.
If this size distribution is applied to studying the collisional surface evolution of (136108) 2003 EL61, we find that the object must be covered by a thin ice crust of
0.12 cm, while the original composition of the object is still present at 1.61 cm or more below the surface. If we include a collisional event with a large projectile in the simulation, the final ice thickness becomes 1.43 m and the original composition appears at a depth of 191 m below the surface.
In this last case, the effect of the collision is to produce an ice layer with
,
but after a short time the mean value obtained for
is indistinguishable from what is obtained without a collision with a large projectile.
Finally, using the method proposed by Marzari et al. (1996), we also found for (136108) 2003 EL61 its mean collision velocity,
km s-1, and mean intrinsic collisional probability,
km-2 yr-1.
Acknowledgements
We thank G. Strazzulla and O. Gomis for useful discussion. J.L. and N.P.-A. acknowledge funding from the National Plan of I+D+i Project AYA2008-06202-C03-02 of Spanish Ministery of Science and Innovation. R.G.H. gratefully acknowledges support from San Juan National University grant 21/E-847.
References
- Barkume, K. M., Brown, M. E., & Schaller, E. L. 2006, ApJ, 640, L87 [NASA ADS] [CrossRef]
- Bernstein, G. M., Trilling, D. E., Allen, R. L., et al. 2004, AJ, 28, 1364 [NASA ADS] [CrossRef] (In the text)
- Bowell, E., Hapke, B., Domingue, D., et al. 1989, ed. R. Binzel, T. Gehrels, & M. Matthews, Asteroids II (Tucson: Univ. of Arizona Press), 524 (In the text)
- Brown R., Cruikshank, D., & Pendleton Y. 1999, ApJ, 519, L101 [NASA ADS] [CrossRef]
- Brown, M. E., Barkume, K. M., Ragozinne, D., et al. 2007, Nature, 446, 294 [NASA ADS] [CrossRef]
- Brunetto, R., & Roush, T. L. 2008, A&A, 481, 879 [NASA ADS] [CrossRef] [EDP Sciences] (In the text)
- Brunetto, R., Barucci, M., Dotto, M. E., & Strazzulla, G. 2006, ApJ, 644, 650 [NASA ADS] [CrossRef] (In the text)
- Brunetto, R., Roush, T. L., Marra, A. C., & Orofino, V. 2007, Icarus, 191, 381 [NASA ADS] [CrossRef] (In the text)
- Chiang, E. I., & Brown, M. E. 1999, AJ, 118, 1411 [NASA ADS] [CrossRef]
- Davis, D. R., & Farinella, P. 1996, Icarus, 125, 50 [NASA ADS] [CrossRef]
- Davis, D. R., & Farinella, P. 1997, Icarus, 125, 50 [NASA ADS] [CrossRef]
- Dell'Oro, A., Marzari, F., Paolicchi, P., & Vanzani, V. 2001, A&A, 366, 1053 [NASA ADS] [CrossRef] [EDP Sciences] (In the text)
- Dohnanyi, J. W. 1969, J. Geophys. Res., 74, 2531 [NASA ADS] [CrossRef] (In the text)
- Fernández, J. A., Gallardo, T., & Brunini, A. 2002, Icarus, 159, 358 [NASA ADS] [CrossRef] (In the text)
- Fraser, W. C., & Kavelaars, J. J. 2008, Icarus, 198, 452 [NASA ADS] [CrossRef] (In the text)
- Fraser, W. C., & Kavelaars, J. J. 2009, AJ, 137, 72 [NASA ADS] [CrossRef] (In the text)
- Fraser, W. C., Kavelaars, J. J., Holman, M. J., et al. 2008, Icarus, 195, 827 [NASA ADS] [CrossRef] (In the text)
- Fuentes, C. I., & Holman, M. J. 2008, AJ, 136, 83 [NASA ADS] [CrossRef] (In the text)
- Gil-Hutton, R. 1997, Planet. Space Sci., 45, 229 [NASA ADS] [CrossRef]
- Gladman, B., Kavelaars, J. J., Nicholson, P. D., Loredo, T. J., & Burns, J. A. 1998, AJ, 116, 2042 [NASA ADS] [CrossRef]
- Gladman, B., Kavelaars, J. J., Petit, J.-M., et al. 2001, AJ, 122, 1051 [NASA ADS] [CrossRef]
- Hapke, B. 1993, Theory of Reflectance and Emittance Spectroscopy (New York: Cambridge Univ. Press) (In the text)
- Holsapple, K. A. 1993, Annu. Rev. Earth Planet. Sci. 21, 333 (In the text)
- Irwin, M., Tremaine, S., & Zytkow, A. N. 1995, AJ, 110, 3082 [NASA ADS] [CrossRef] (In the text)
- Jewitt, D., & Luu, J. 1995, AJ, 109, 1867 [NASA ADS] [CrossRef]
- Jewitt, D., Luu, J., & Chen, J. 1996, AJ, 112, 1225 [NASA ADS] [CrossRef]
- Jewitt, D., Luu, J., & Trujillo, C. 1998, AJ, 115, 2125 [NASA ADS] [CrossRef]
- Johnson, R., Lanzerotti, L., & Brown, W. 1984, Adv. Space Res., 4, 41 [NASA ADS] [CrossRef]
- Kenyon, S. J. 2002, PASP, 114, 265 [NASA ADS] [CrossRef]
- Kenyon, S. J., & Bromley, B. C. 2004, AJ, 128, 1916 [NASA ADS] [CrossRef]
- Kenyon, S. J., & Windhorst, R. A. 2001, ApJ, 547, L69 [NASA ADS] [CrossRef] (In the text)
- Kouchi, A., & Kuroda, T. 1990, Nature, 344, 134 [NASA ADS] [CrossRef]
- Lacerda, P., Jewitt, D., & Peixinho, N. 2008a, AJ, 135, 1749 [NASA ADS] [CrossRef]
- Lacerda, P., Jewitt, D., & Peixinho, N. 2008b, AJ, 136, 1754 [NASA ADS] [CrossRef]
- Leto, G., & Baratta, G. A. 2003, A&A, 397, 7 [NASA ADS] [CrossRef] [EDP Sciences]
- Licandro, J., di Fabrizio, L., Pinilla-ALonso, N., et al. 2006, A&A, 457, 323 [NASA ADS] [CrossRef]
- Luu, J., & Jewitt, D. 1998, ApJ, 502, L91 [NASA ADS] [CrossRef]
- Marzari, F., Scholl, H., & Farinella, P. 1996, Icarus, 119, 192 [NASA ADS] [CrossRef] (In the text)
- Mastrapa, R. M. E., & Brown, R. H. 2006, Icarus, 183, 207 [NASA ADS] [CrossRef] (In the text)
- Merlin, F., Guilbert, A., Dumas, C., et al. 2007, A&A, 466, 1185 [NASA ADS] [CrossRef] [EDP Sciences] (In the text)
- Moore, M. H., & Hudson, R. L. 1992, ApJ, 401, 353 [NASA ADS] [CrossRef]
- Moore, M., Donn, B., Khanna, R., & A'Hearn, M. 1983, Icarus, 54, 388 [NASA ADS] [CrossRef]
- Orosei, R., Coradini, A., De Sanctis, M. C., & Federico, C. 2001, Adv. Space res., 28, 1563 [NASA ADS] [CrossRef] (In the text)
- Pan, M., & Sari, R. 2005, Icarus, 173, 342 [NASA ADS] [CrossRef]
- Petit, J.-M., Holman, M. J., Gladman, B. J., et al. 2006, MNRAS, 365, 429 [NASA ADS] [CrossRef]
- Pinilla-Alonso, N., Licandro, J., Gil-Hutton, R., & Brunetto, R. 2007, A&A, 468, L25 [NASA ADS] [CrossRef] [EDP Sciences]
- Pinilla-Alonso, N., Brunetto, R., Licandro, J., et al. 2009, A&A, in press (In the text)
- Ragozzine, D., & Brown, M. E. 2007, AJ, 134, 2160 [NASA ADS] [CrossRef] (In the text)
- Rabinowitz, D. L., Barkume, K., Brown, M. E., et al. 2006, ApJ, 639, 1238 [NASA ADS] [CrossRef] (In the text)
- Schenk, P. M., Chapman, C., Moore, J., & Zahnle, K. 2004, in Jupiter: Planet, Satellites, and Magnetosphere, ed. F. Bagenal, & W. McKinnon (Cambridge: Cambridge Univ. Press), 427 (In the text)
- Skorov, Yu. Y., Kömle, N. I., Keller, H. U., et al. 2001, Icarus, 153, 180 [NASA ADS] [CrossRef] (In the text)
- Stern, S. A. 2002, AJ, 124, 2297 [NASA ADS] [CrossRef] (In the text)
- Strazzulla, G., & Johnson, R. 1991, in Comets in the Post-Halley era, ed. R. L. Newburn, Jr., M. Neugebauer, & J. Rahe (Netherlands: Kluwer Academic Publishers), 243
- Strazzulla, G., Baratta, G. A., Leto, G., & Foti, G. 1992, Europhys. Lett., 18, 517 [NASA ADS] [CrossRef]
- Strazzulla, G., Cooper, J. F., Christian, E. R., & Johnson, R. E. 2003, C. R. Phys, 4, 791 [NASA ADS] [CrossRef] (In the text)
- Sunshine, J. M., A'Hearn, M. F., Groussin, O., et al. 2006, Science, 311, 1453 [NASA ADS] [CrossRef] (In the text)
- Trujillo, C. A., Jewitt, D. C., & Luu, J. X. 2001a, AJ, 122, 457 [NASA ADS] [CrossRef]
- Trujillo, C. A., Luu, J. X., Bosh, A. S., & Elliot, J. L. 2001b, AJ, 122, 2740 [NASA ADS] [CrossRef]
- Trujillo, C. A., Brown, M., Barkume, K. M. et al. 2007, ApJ, 655, 1172 [NASA ADS] [CrossRef]
- Zheng, W., Jewitt, D., & Kaiser, R. I. 2008 [arXiV:0801.2805] (In the text)
All Tables
Table 1: Canonical set of parameters used in the simulation.
All Figures
![]() |
Figure 1:
Synthetic spectra obtained using a two-layer model (Brunetto & Roush 2008). Upper layer is composed of water ice (grain size of 10 |
| Open with DEXTER | |
| In the text | |
![]() |
Figure 2: Collision velocity distribution for (136108) 2003 EL61 obtained with the method of Marzari et al. (1996). The ordinate axis is the fraction of the total number of encounters between the target and a projectile. |
| Open with DEXTER | |
| In the text | |
![]() |
Figure 3: Fraction of crystalline water ice obtained on the surface of (136108) 2003 EL61 for a break radius 40 km and a small end size distribution exponent q1=2.8. |
| Open with DEXTER | |
| In the text | |
![]() |
Figure 4:
Mean value for the fraction of crystalline water ice on the surface of (136108) 2003 EL61 for different smal-end size distribution exponents and break radius. The results for the canonical set of parameters are indicated by squares and those for a similar set but with
|
| Open with DEXTER | |
| In the text | |
![]() |
Figure 5:
Mean value for the fraction of crystalline water ice on the surface of (136108) 2003 EL61 for different small-end size distribution exponents and break radius. The results for the canonical set of parameters are indicated by squares and those for a similar set but with
|
| Open with DEXTER | |
| In the text | |
![]() |
Figure 6:
Mean value for the fraction of crystalline water ice on the surface of (136108) 2003 EL61 for different small-end size distribution exponents and break radius. The results for the canonical set of parameters are indicated by squares and those for a similar set but with
|
| Open with DEXTER | |
| In the text | |
![]() |
Figure 7:
Mean value for the fraction of crystalline water ice on the surface of (136108) 2003 EL61 for different smal-end size distribution exponents and break radius. The results for the canonical set of parameters are indicated by squares and those for a similar set but assuming that a 15% fraction of crystalline ice can survive after irradiation by circles. The error bars indicate the range of variations observed during the last
|
| Open with DEXTER | |
| In the text | |
![]() |
Figure 8:
Mean value for the fraction of crystalline water ice on the surface of (136108) 2003 EL61 for different small-end size distribution exponents and break radius. The results for the canonical set of parameters are indicated by squares and those for a similar set but assuming that the time needed to produce a total amorphization is
|
| Open with DEXTER | |
| In the text | |
![]() |
Figure 9:
Mean value for the fraction of crystalline water ice on the surface of (136108) 2003 EL61 for different small-end size distribution exponents and break radius. The results for the canonical set of parameters are indicated by squares and those for a similar set but assuming that the time needed to produce a total amorphization is
|
| Open with DEXTER | |
| In the text | |
![]() |
Figure 10:
Mean value for the fraction of crystalline water ice on the surface of (136108) 2003 EL61 for different small-end size distribution exponents and break radius using the canonical set of parameters. The case of r1=50 km are indicated by squares, r1=40 km by circles, r1=30 km by triangles, and r1=20 km by diamonds. The error bars indicate the range of variations observed during the last
|
| Open with DEXTER | |
| In the text | |
![]() |
Figure 11: Cumulative surface density of TNOs brighter than a given R magnitude. The line indicated with ``a'' is the luminosity function for the size distribution of Trujillo et al. (2001b). The lines ``b'' to ``e'' are the luminosity functions for the calculated small end size distributions exponents q1=2.25, 2.4, 2.6, and 2.7 for break radii of r1=20 km, 30 km, 40 km, and 50 km, respectively. |
| Open with DEXTER | |
| In the text | |
![]() |
Figure 12:
Thickness of the external ice crust and the depth where the original material composition is present during the simulation with and without a collision. The lines ``a'' and ``b'' are the ice layer thickness and the depth at which the original composition is found, respectively, while the lines ``c'' and ``d'' indicate the same values but include the effects of a collision of the target with a projectile of
|
| Open with DEXTER | |
| In the text | |
Copyright ESO 2009
Current usage metrics show cumulative count of Article Views (full-text article views including HTML views, PDF and ePub downloads, according to the available data) and Abstracts Views on Vision4Press platform.
Data correspond to usage on the plateform after 2015. The current usage metrics is available 48-96 hours after online publication and is updated daily on week days.
Initial download of the metrics may take a while.



![\begin{figure}
\par\includegraphics[width=8.5cm,clip]{1301fi-1.eps}
\end{figure}](/articles/aa/full_html/2009/23/aa11301-08/Timg58.png)

![\begin{figure}
\par\includegraphics[width=8.5cm,clip]{1301fi-2.eps}
\end{figure}](/articles/aa/full_html/2009/23/aa11301-08/Timg70.png)
![\begin{figure}
\par\includegraphics[width=8.5cm,clip]{1301fi-3.eps}
\end{figure}](/articles/aa/full_html/2009/23/aa11301-08/Timg86.png)
![\begin{figure}
\par\includegraphics[width=8cm,clip]{1301fi4.eps}
\end{figure}](/articles/aa/full_html/2009/23/aa11301-08/Timg93.png)
![\begin{figure}
\par\includegraphics[width=8cm,clip]{1301fi5.eps}
\end{figure}](/articles/aa/full_html/2009/23/aa11301-08/Timg94.png)
![\begin{figure}
\par\includegraphics[width=8cm,clip]{1301fi6.eps}
\end{figure}](/articles/aa/full_html/2009/23/aa11301-08/Timg95.png)
![\begin{figure}
\par\includegraphics[width=8cm,clip]{1301fi7.eps}
\end{figure}](/articles/aa/full_html/2009/23/aa11301-08/Timg96.png)
![\begin{figure}
\par\includegraphics[width=8cm,clip]{1301fi8.eps}
\end{figure}](/articles/aa/full_html/2009/23/aa11301-08/Timg97.png)
![\begin{figure}
\par\includegraphics[width=8cm,clip]{1301fi9.eps}
\end{figure}](/articles/aa/full_html/2009/23/aa11301-08/Timg98.png)
![\begin{figure}
\par\includegraphics[width=8.8cm,clip]{1301fi10.eps}
\end{figure}](/articles/aa/full_html/2009/23/aa11301-08/Timg100.png)

![\begin{displaymath}m_R = m_{R\odot} - 2.5 \log \left[\frac{p_R \Phi(\alpha')r^2}{2.25\times 10^{16} R^2 \Delta^2}\right],
\end{displaymath}](/articles/aa/full_html/2009/23/aa11301-08/img103.png)
![\begin{figure}
\par\includegraphics[width=8.8cm,clip]{1301fi11.eps}
\end{figure}](/articles/aa/full_html/2009/23/aa11301-08/Timg111.png)
![\begin{figure}
\par\includegraphics[width=8.8cm,clip]{1301fi12.eps}
\end{figure}](/articles/aa/full_html/2009/23/aa11301-08/Timg119.png)