| Issue |
A&A
Volume 500, Number 3, June IV 2009
|
|
|---|---|---|
| Page(s) | 1163 - 1171 | |
| Section | Stellar structure and evolution | |
| DOI | https://doi.org/10.1051/0004-6361/200811262 | |
| Published online | 08 April 2009 | |
Abundances anomalies and meridional circulation in horizontal branch stars
D. Quievy1 - P. Charbonneau1 - G. Michaud1,2 - J. Richer 1
1 - Département de Physique, Université de Montréal,
Montréal, PQ, H3C 3J7, Canada
2 - LUTH, Observatoire de Paris, CNRS, Université Paris Diderot,
5 Place Jules Janssen,
92190 Meudon, France
Received 30 October 2008 / Accepted 16 February 2009
Abstract
Context. Photospheric chemical abundances on the horizontal branch (HB) show some striking variations with effective temperature (
). The most straightforward explanation is that these anomalies develop through diffusion processes, in particular gravitational settling and radiative levitation. However, the abrupt disappearance of strong abundance anomalies as one moves below about 11 000 K on the HB suggests that another factor plays an important role.
Aims. We test an extension to the HB of the diffusion model for main-sequence HgMn stars, where strong anomalies can only develop in the slower rotators. In these rotators the gravitational settling of helium leads to the disappearance of its superficial convection zone, so that chemical separation by radiative levitation can occur all the way to the photosphere.
Methods. More specifically, we calculate the critical rotational velocity at which He settling is prevented by rotationally-induced meridional circulation, in a suite of stellar models spanning the zero-age HB. Helium settling serves as the measure of the atomic diffusion of all species.
Results. Our abundance evolution calculations show that, for models with
less than about 11 500 K, corresponding to stars typically observed with the same metal composition as giants, meridional circulation is efficient enough to suppress He settling for rotational velocities, in good agreement with observed values. Once the meridional circulation profile of a star rotating as a near rigid body has been adopted, no adjustable parameter is involved.
Conclusions. The
dependence of abundance anomalies observed on the HB can be explained by atomic diffusion transport if one introduces the competition of meridional circulation with the observed
dependence of rotation velocity of HB stars.
Key words: diffusion - stars: abundances - stars: horizontal branch - stars: chemically peculiar - stars : interiors
1 Astrophysical context
The horizontal branch (HB) of globular clusters is believed to be populated by stars that have
recently gone through an helium flash at the tip of the red giant branch (RGB).
The He core mass,
,
is generally expected to be constant on the HB but the hydrogen envelope mass,
,
is
believed to vary according to the mass loss that occurred around the tip of the RGB. The
determines the
effective temperature of the star on the HB. Many properties of HB stars vary with
and are only partially understood.
They are reviewed for instance in Moehler (2001).
Since HB stars of a cluster have just evolved from the giant branch,
they are all expected to start their HB evolution with approximately the
same concentrations of metals, at least those heavier than Al.
Nucleosynthesis may lead to variations in the concentration of CNO and
other (relatively) light species, but iron peak elements are not
expected to be substantially affected, as
confirmed observationally (Yong et al. 2008; Gratton et al. 2004).
However, on the HB,
the iron peak abundance
varies with
and this variation is coupled to rotational velocity variations. These abundance variations apparently must build
up on the HB itself.
In all observed globular clusters containing HB stars with
K, it was found that [Fe/H], [Ti/H], [Mn/H], [Cr/H],
and [P/H] have the same values as in giants below
K,
while they are higher by factors 10-100 for
K (Pace et al. 2006; Behr et al. 1999; Behr 2003a; Fabbian et al. 2005; Moehler et al. 2000; Behr et al. 2000a). Some elements, such as magnesium and silicon, remain nearly invariant,
while He is underabundant when Fe peak elements are overabundant. The availability of larger telescopes thus confirmed earlier observations (Glaspey et al. 1989,1986).
![]() |
Figure 1:
In the upper part,
|
| Open with DEXTER | |
Progress has also been made in determining rotation velocities and their
dependence. Peterson (1983) noticed the
diversity and its bimodal distribution - with 1/3 of
superior to 20 km s-1 for
lower than 10 000 K, and 2/3 with lower
for hotter stars. This trend has now been confirmed and made much more precise (Recio-Blanco et al. 2002,2004; Behr et al. 2000b,a) with the addition of a link between abundance anomalies
and rotation velocities. Stars with
K are slow rotators and have abundance anomalies, while
those below this limit are fast rotators and have normal abundances (see Fig. 1).
That abundance anomalies of Fe peak elements should be observed in HB stars was originally suggested from theoretical considerations (Michaud et al. 1983). Their observation
strongly suggests the role of some transport mechanism
since nuclear reactions are not expected to modify their concentrations in that evolutionary stage. Then HB
stars of globular clusters can become
a laboratory for studying the role of hydrodynamical flows competing with atomic diffusion.
Assume an unmagnetized atmosphere, mixed by a thin convection zone but assume, for the moment, that all other mixing processes are negligible and that there is no mass loss. Then, atomic diffusion at the bottom of the surface
convection zone leads to underabundances in the convection zone, for species on which gravitational settling dominates,
as for He, but to overabundances when radiative accelerations (
)
dominate, as for most Fe peak elements
in HB stars (Michaud et al. 1983).
Numerous mixing processes may compete with atomic diffusion and reduce the abundance anomalies it leads to. Rotationally induced meridional circulation, mass loss, and turbulent diffusion may play a role, and turbulence itself may be produced in many ways in stellar interiors. While it is not currently possible to exclude any of those processes, we concentrate in this paper on the potential role of meridional circulation. The observed link between rotation and abundance anomalies suggests that the competing process is related to rotation, and meridional circulation is currently the only stellar hydrodynamical flow linked to rotation that can be described without arbitrary parameters.
A further link is suggested by observations. In the same part of the HR diagram as some HB stars, one finds HgMn stars.
Those main sequence B stars
owe their name to their peculiar high mercury and manganese concentrations (Jomaron et al. 1999; Woolf & Lambert 1999). Here again, on the one hand, one has normal B stars with relatively fast rotation velocities, and on the other, HgMn stars, rotating slowly (Abt et al. 2002).
They were first suggested to be related to the field star equivalent of HB stars by Sargent & Searle (1968,1967)
on the basis of similar abundance anomalies in both types of stars. The link between rotation, meridional circulation and diffusion has already been suggested for HgMn stars. Above a critical value of the equatorial rotation velocity it has been shown and confirmed in 2D simulations (Michaud 1982; Charbonneau & Michaud 1991,1988) that meridional circulation could prevent gravitational settling from reducing the He concentration below the critical value for which the He convection zone disappears. It was also shown that the critical rotation velocity
varies with gravity: from 90 to 4 km s-1 as
goes from 4.4 to 3.5.
On the other hand, if the rotational velocity is lower
than the critical value, gravitational settling reduces the He concentration, this reduces the opacity and affects the equation of state so
that convection disappears. Chemical separation is then free to occur where there previously was a convection zone, and metal overabundances are reinforced. After this occurs, the high overabundances of Mn and Hg and other metals
can materialize and many observed anomalies are explained in a parameter free model (Michaud 1981,1986).
This does not imply that the meridional circulation model used is a complete description of the interior of rotating stars. The analytic solution of Tassoul & Tassoul (1982, hereafter TT82) which was used was obtained under somewhat restrictive conditions. By using the meridional circulation obtained with the Tassoul model, one then tested to what extent it properly reproduces the most important transport modes of a complete simulation. While a complete 3-D simulation of meridional circulation in stars would be expected to require a large number of modes for a description of both the momentum and particle transport caused by the thermal imbalance (see Talon et al. 2003, for the description of a potential simulation; a critical review of 2-D simulations, e.g. Théado & Vauclair 2003, and of meridional circulation models, e.g. Zahn 1992, is outside the scope of the present brief paper), particle transport might be mainly carried by the fundamental mode as is often the case in numerical simulations and in laboratory flows. One may interpret the success of the model in explaining HgMn stars as implying that the circulatory flows that TT82 obtain are a reasonable evaluation of the first order mode of a numerical simulation. We wish to test this possibility using HB stars.
Table 1: Characteristic times.
Michaud et al. (2004) suggested that one may, for HB stars, use the same critical equatorial velocity
as in HgMn stars where the HB crosses
the main-sequencein the HR diagram. Then,
applying the scaling expected from the results of Michaud (1982),
one can determine the expected critical rotational velocity on the HB. In this way they obtained:
By using the 100 km s-1 limit for HgMn stars of
In the case of HgMn stars, isotopic anomalies of Hg have been observed (Preston 1971). The only model yet suggested to explain these involves diffusion in the atmosphere itself (Michaud et al. 1974). So the disappearance of the He convection zone is apparently essential to explain their properties. No such isotope anomaly of Hg has yet been observed on HB stars so that the critical velocity we determine by the disappearance of the He convection zone may also be viewed as a critical velocity for diffusion processes to dominate over the mixing caused by meridional circulation (see also Charbonneau & Michaud 1991).
The remainder of this paper is organized as follows. In Sect. 2, the mathematical and physical descriptions of the transport problem are formulated in the context of HB stars, including a discussion of the calculation of meridional circulation flow solutions appropriate for these objects. Section 3 presents a series of numerical results carried out in a suite of ZAHB models spanning the horizontal branch. These parameter-free calculations yield a determination of the transitional effective temperature above which strong abundance anomalies can be expected, a result that turns out in good agreement with observations. We conclude in Sect. 4 with a brief critical discussion of modeling assumptions, and of the extent to which the settling of He may be viewed as a measure of the development of metal overabundances.
2 Mathematical and physical formulation
As in most stellar abundance evolution modeling we assume that spectroscopically determined photospheric abundances characterize the chemical composition of the star's outer convection zone. In other words, the convective envelope is thoroughly mixed on very short timescales by thermally-driven turbulent fluid motions. The surface abundances thus vary in response to mixing and/or chemical separation processes acting below the base of the convection zone, and (possibly) accretion or mass loss taking place in the outer surface layers.
2.1 Stellar models
Five of the six HB stellar models (see Table 1) used for this study were obtained as described in Michaud et al. (2007).
For this study, models
were calculated neglecting atomic diffusion with a metallicity of
Z = 10-3. The Rosseland opacity was continuously recalculated for all species included in OPAL (Rogers & Iglesias 1992b; Iglesias & Rogers 1991; Rogers & Iglesias 1992a; Iglesias & Rogers 1995,1993,1996),
at each time step and every grid point, as the composition changed during the evolution from the zero age main-sequence to the HB. Calculations were carried out in detail from the ZAMS to the He flash using the same code as
described in Richard et al. (2002) and Richer et al. (1998).
When the energy from He burning reached 106
,
the evolution on the red giant branch (RGB) was stopped.
A fraction of the envelope mass was removed and the star was reconverged on the HB following essentially
the procedure used by Sweigart (1987) and Dorman et al. (1991), and briefly described as Method 2 by Serenelli & Weiss (2005).
The five stars
have the same core mass,
,
but a slightly different envelope mass.
The sixth model (with
K) is a EHB model kindly communicated to us by B. Dorman (see Dorman et al. 1993, for details
of this model). Shortly after each evolutionary model reached the ZAHB as defined in Michaud et al. (2007), a structure model was extracted and used for calculations with meridional circulation as described in the
following subsections.
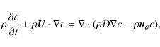
2.2 Chemical separation and mixing: the transport equation
Let
represent the concentration, at fractional radius r and colatitude
,
of a trace species mixed with a background
of ionized hydrogen, in other words, the ratio (
)
of the number density of a
trace species to protons
. In the present context
it evolves according to the following
two-dimensional linear advection-diffusion equation
(Charbonneau & Michaud 1991,1988):
where
Equation (2) is nothing more than a statement of mass conservation for the trace species: in any given volume element, a time variation of the local concentration (first term on LHS) is due to either material being bodily advected (second term on the LHS) or diffusing (term on the RHS) in or out of the volume. Note that ``diffusion'' includes here both a diffusion term (first term within parentheses on the RHS of Eq. (2)), as well as a drift velocity term,
where D12 is the microscopic diffusion coefficient,
The total diffusion coefficient D in Eq. (2) is assumed to
include two contributions, namely microscopic
diffusion and an enhanced ``turbulent'' diffusion acting only
within the convective envelope:
This is a computationally convenient way to mimic the efficient mixing associated with turbulent flows within the thin, outer convective envelope of HB stars. The microscopic diffusion coefficient D12 is computed according to the procedure described in Paquette et al. (1986), and the value of
was found to suffice. The resulting discontinuity in D occurring at the base of the superficial convection zone is readily handled within a finite element-based numerical integration scheme (more on the latter further below).
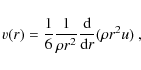
2.3 Meridional circulation
In what follows, we use, for
,
meridional circulation profiles recomputed using the
general procedure outlined in Tassoul & Tassoul (1982, hereafter TT82)
for the thermally-driven
circulatory flow arising inevitably in the radiative
interior of rotationally distorted stars, as a consequence of
the impossibility to achieve simultaneously radiative and hydrostatic
equilibria (the so-called von Zeipel paradox).
The TT82 procedure
involves expanding all structure variables in power series of the
small dimensionless parameter
where
with
so that the form of the circulatory flow is entirely set by u(r), itself a function of the star's structure.
TT82 provide tabulations of u(r) for two polytropic stellar structure models; these provide adequate representations of unevolved early-type main-sequence stars, but are less appropriate for HB stars. We therefore recomputed u(r) for each of the HB structure models described in Sect. 2.1 above.
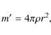
In the bulk of the radiative
interior of a rotating star, the functional u(r) is given by
where n is the polytropic index, corresponding to the ratio
and with
where primes denote differentiation with respect to radius. The potential
subject to the boundary conditions:
(see Sect. IV of TT82 and references therein). The reconstruction procedure begins with numerical integration of Eq. (16) using tabulated values for the pressure p and density
The
profiles resulting from
reconstruction are shown in Fig. 2, for our
six HB models, as labeled. The gray lines show alternate
profiles constructed by direct rescaling of the
ZAMS model solutions tabulated in Sect. VI of TT82. While
these provide tolerable approximations in the bulk of the radiative envelope,
significant differences with the solutions reconstructed here are
apparent, especially near the surface layers. These differences can be
traced to radial variations in Rosseland opacities resulting from
our use of OPAL opacities, and are absent from the
Cowling point source models with Kramer's opacity law used in TT82.
These opacity variations alter the stratification in the outer
envelope, and feed back on the
profile mainly through
the computed value of effective polytropic index (Eq. (12))
via the
radial dependency.
We verified, in the 0.587
model, that the shape of the
curve for
closely mimics that of
.
These radial variations distort
the shape of the meridional flow cell in the outer
reaches of the radiative envelope, but the overall pattern
remains quadrupolar, with one cell per meridional quadrant.
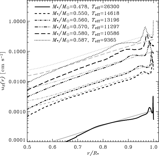
![]() |
Figure 2:
Functional
|
| Open with DEXTER | |
Another trend immediately apparent in Fig. 2 is the overall
systematic increase of
,
at any given depths, with decreasing
surface temperature. This arises primarily through the stellar radius
variations, which enter Eq. (11) as a r4 dependency, leading to a g-2 dependency.
Other stellar model parameters such as mass or luminosity, have here a
much lesser impact on the magnitude of
.
Equation (11) diverges at the boundaries of convection
zones (where n=3/2), and yields diverging latitudinal
meridional flow velocities at the stellar surface
(
when evaluating Eq. (9) using Eq. (10)). Tassoul & Tassoul (1982) corrected
these shortcomings by computing boundary layer solutions
that behave properly at the surface or at radiative/convective
boundaries, and that are smoothly
matched onto the interior solution described by
Eq. (11). We follow here the same procedure, using the
appropriate dimensionless boundary layer solutions,
as tabulated in TT82.
Our HB stellar models do include
a thin convective layer in their outer radiative envelope.
How much mixing effectively takes place between these layers
and the underlying meridional flow is one of the primary uncertainties
in the present abundance evolution calculations.
One possibility is to close the meridional flow immediately
beneath this convective layer, using the core boundary layer
solution described and tabulated in Sect. IVa of TT82.
One then has ur=0 at the base of the convective layer,
implying minimal impact of the meridional flow on
He settling
.
Alternately, one could assume, as in Charbonneau & Michaud (1988),
that the meridional
flow effectively penetrates the convective envelope, thus competing more
directly with He settling out of the convective layers. We then
use the surface boundary layer solution of TT82 (Sect. IVb)
to close the meridional flow at the stellar surface.
These represent the two possible extreme cases regarding
the influence of the meridional flow on the gravitational
settling of He, and, in what follows, abundance evolution
calculations are carried out for these two extreme cases,
as they effectively bracket the range of intermediate
possibilities.
2.4 Numerical solution
Equation (2) defines a linear
initial-boundary-value problem in two spatial dimensions
.
While this
may at first glance seem to be an entirely straightforward partial
differential equation to solve numerically, it actually offers some
substantial practical difficulties. The wide range of timescales
characterizing the various physical processes at play renders impractical
the use of explicit time-stepping. Furthermore, the ``slow'' meridional
flow is still ``fast'' from the computational point of view, as its
associated grid Peclet number is very much larger than unity,
which in turn imposes
the use of a relatively dense spatial mesh in order to ensure
numerical stability and accuracy.
Finally, the desired integration
time (up to 107 yr) is very much larger than chemical separation
timescales
in the problem (as low as a few 103 yr in the hotter models).
Starting from uniform He abundances throughout the radiative envelope
on the ZAHB
(t=0 in the simulations),
Eq. (2) is solved numerically using a standard
time-implicit
finite element method, more specifically the scheme described
in Charbonneau & Michaud (1991),
but with upwinding turned off so as to minimize numerical
diffusion.
Homogeneous initial He abundances throughout
the radiative envelope and convection zone are used as initial
condition.
Mass loss and accretion are neglected,
so that the surface boundary condition is
simply zero-flux since
ur=0 at r/R=1. As discussed earlier, the outer convection zone remains
thouroughly mixed throughout the evolution via an appropriate numerical
choice for the ``turbulent'' diffusion coefficient
(cf. Eq. (5)).
![]() |
Figure 3:
Evolution of He abundance in the superficial convection
zone of HB star models with effective temperatures
|
| Open with DEXTER | |
3 Results
3.1 Characteristic timescales
Prior to launching into full-blown numerical calculations,
it is instructive to estimate typical abundance evolution
timescales for He settling in the absence of competing
mixing processes. Under these circumstances, the outer convection
zone simply acts as a reservoir draining from below at a rate set
by the He gravitational settling velocity, hereafter denoted
.
Knowing the magnitude of this velocity and of the density at the
base of the convection zone,
and the mass
contained in the latter, one can
estimate an e-folding timescale
for the convection zone
He abundance:
This timescale is listed in the bottom row of Table 1 for our six HB models. The pronounced decrease of
Generally speaking,
the marked decrease of the chemical separation timescale
with increasing
is certainly compatible
with the fact that strong anomalies are observed in hotter HB stars,
but leaves unexplained the sharp bimodality in abundance pattern
observed
across the
K boundary (cf. Fig. 1 herein).
As with HgMn stars, this is where the competition between He settling
and mixing by meridional circulation enters the picture.
3.2 Critical equatorial rotational velocity
Using the numerical procedure described in the preceeding section, we simulated the spatiotemporal evolution of the He abundance in the radiative envelope and outer convective layers of the six HB models whose characteristics are listed in Table 1. The simulations were carried out for various equatorial rotational velocities and two treatments of meridional circulation at the base of the superficial convection zone. Note that once the latter has been chosen, the solution of Eq. (2) involves no adjustable parameter.
Figure 3 shows a sample of representative
evolution curves for
the He abundances
in the (mixed) convective layers in two HB models, computed using
equatorial rotational velocities as labeled (in
).
Figure 3A shows results for our hottest HB model (
K),
while Fig. 3B corresponds to one of our cooler HB models
(
K). Dashed lines correspond to cases where meridional circulation
penetrates the convection zone, while solid lines show solutions
where the circulation closes within a thin boundary beneath
the base of the convection zone. Note that even in this case,
circulation can have a measurable effect on the evolution of
He abundances within the convection zone, as it alters the concentration
gradients at its base. Morphologically similar curves are obtained
in our other four HB models.
In the absence of a competing mechanism, gravitational settling leads
to an exponential decrease in He abundance, on timescales in good
agreement with the estimates made in Sect. 3.1.
With circulation present, material undepleted in He is continuously
being advected into the polar regions of the convection zone from below,
while in equatorial regions circulation accelerates He depletion.
A state of equilibrium is eventually reached, characterized by vanishing
total He flux at the base of the convection zone. From that point on,
the He abundance in the convective envelope ceases to decrease.
The stronger the meridional circulation, the higher the He equilibrium
abundance, a pattern readily visible in Fig. 3 (recall
that the meridional flow velocity scales as
,
as per Eqs. (7)-(9)).
This is the same type of equilibrium state characterizing the
calculations of Charbonneau & Michaud (1988) for main-sequence HgMn stars,
and indeed the curves in Fig. 3
herein are morphologically similar to those characterizing He settling
in HgMn stars in the presence of meridional circulation.
If this equilibrium abundance in the convection zone remains higher
than 0.4
solar (corresponding here to a depletion factor
of 0.4 dex, shown as a dotted line in Fig. 3),
its contribution to the total opacity remains
large enough to sustain thermally-driven convection. Otherwise,
convection ceases in the lower part of the convection zone, and chemical
separation can proceed much closer to the stellar surface.
One therefore expects stronger
abundance anomalies of other chemical species
in this latter case than in the former.
This is the essence of the explanation proposed by Michaud (1982)
for the observed upper limit on rotational velocities observed
in HgMn stars and vindicated by detailed numerical
calculations in Charbonneau & Michaud (1988). It is being extended here as a test of the importance
of atomic diffusion in HB stars.
Figure 3 already shows that for the hotter models, where
the settling velocities are quite high at the base of the (thin) convective
envelope, excessively high rotational velocities are required to stop
He settling; in fact, already at
the assumptions under
which the TT82 meridional circulation are derived are probably no longer valid.
However, in the cooler models (cf. Figs. 3A and B) rotational
velocities commensurate with observed values are sufficient to prevent
He settling.
This is because the cooler the model, the larger the mass of its
outer convective envelope (see also Table 1).
For each HB star model it is therefore possible, from results such
as shown in Fig. 3, to estimate the critical equatorial
velocity (
)
delineating these two regimes. For example,
Fig. 3B indicates that in our
K model,
if the circulation
closes
at the base of the convective envelope, but
that
if penetration of the meridional flow is allowed.
Figure 4 summarizes the
results of carrying out this exercise for our six HB models and two
working assumptions regarding penetration of meridional circulation
in the convection zone. Critical rotational velocities are
plotted as a function of effective temperature, for circulation
penetrating the convection zone (solid dots), or closing
at its base (open triangles)
.
The dotted line gives the
upper envelope of observed
values at a given
,
constructed from data presented in
Fig. 23 of Behr (2003a), Fig. 8 of Behr (2003b), and Fig. 5
of Recio-Blanco et al. (2004). The gray shading indicates the presence
or absence of abundance anomalies: dark gray indicates
normal metallic abundances, and white the
domain
where metal overabundances are observed. The
light gray region, corresponding to
K,
is where the observational picture is not so clear cut, with
HB stars showing significant abundance anomalies
in some globular clusters but not in others. Figure 1 shows
the data for a sample
of the clusters.
![]() |
Figure 4:
Critical equatorial rotational velocity,
|
| Open with DEXTER | |
Figure 4 should be ``read'' as follows:
at a given
,
if the critical rotation curve lies
above the dotted line, then mixing by rotationally-induced
meridional circulation cannot compete with He settling even
in the fastest rotators,
which should then lead to the disappearance of
a good portion of the outer convection zone, with concomittent
buildup of photospheric
metallic abundance anomalies by chemical separation.
In comparing our modeling results to observations, a key feature
is the intersection of the two critical rotational velocity curves
with the upper envelope of observed
values. For circulation
closing at the base of the convective envelope, this takes
place at
K, and at 11 500 K if
circulation is allowed to penetrate the convection zone.
We use these two extreme cases for the treatment of meridional
circulation at the base of the superficial convection zone
to assign an uncertainty to our transition effective
temperature:
K.
Our calculations would predict that for stars hotter
than these values, meridional circulation cannot
stop He settling, and strong abundance anomalies should
develop. Given uncertainties in
scales and in
,
it is quite striking that
the
range predicted by the calculations
falls neatly within the effective temperature range
K above
which strong abundance anomalies start to be observed in
HB stars. Recall, moreover, that this good agreement
occurs without any adjustment of free-parameters, as the abundance
evolution model
does not contain any, being instead entirely
set by the physical properties of the
underlying stellar structure models. Comparing Figs. 1 and 4, one
notes that, in the clusters shown, the only star with
K and normal abundances,
M15/B348, has a
km s-1, which is between the two critical rotational velocity curves.
Stars between 11 000 K and 12 000 K
that have abundance anomalies also have a
lower than both critical rotation velocities in nearly all cases.
The dot-dashed line in Fig. 4
corresponds to the variations of the critical
equatorial rotational velocity with
predicted by
Eq. (1), anchored using the value
at
K and
corresponding to the case
of HgMn stars. This approximate expression does provide a tolerable
representation of the numerical results, yielding a transitional
effective temperature of
K above which
strong abundance anomalies are expected. The differences with the numerical
results originate primarily from differences between the internal structures
of our ZAHB stellar models and those of main-sequence stars of
similar effective temperatures, including compositional differences,
that affect chemical separation velocities as well as meridional
flow profiles (cf. Fig. 2).
4 Discussion and conclusion
In this paper we have examined the competition between gravitational
settling and mixing by a large-scale, thermally-driven meridional
flow in the radiative envelope of HB stars. Focusing on the case
of helium, our numerical results show that He settling should be
sufficiently impeded for
K to prevent the disappearance
of the superficial convection zone. For ZAHB stellar models,
this leads to the conclusion that
strong anomalies should be restricted to
K.
In a transitional interval (11 000 to 12 000 K)
one sees anomalies in the less rapidly rotating stars only.
The numerical calculations of Charbonneau & Michaud (1991), examining the
competition between chemical separation and transport by meridional
circulation in FmAm stars, showed that, in the absence of other competing processes
such as mass loss or turbulent mixing, underabundant chemical species
are typically far more sensitive than overabundant species to the mixing
effects of meridional circulation (see their Fig. 6). For some species, overabundances are expected
even if a star rotates more rapidly by a factor of 10 than the critical velocity.
A detailed calculation for metals is outside the scope of this paper. When a star rotates more slowly than
the critical velocity, overabundances of metals shoud definitely appear (see Michaud et al. 2008,
for the calculation of the anomalies of metals to be expected in HB stars). However one would also expect that,
in the
K regime, the magnitude of underabundances should
show an anticorrelation with
.
Some candidate elements
to test this expectation
are C and O in addition to He. In this context, it would be particularly interesting
to compare in detail chemical abundances in the relatively rapidly rotating HB star M15/B348 to
those of its more slowly rotating counterparts with similar
.
Detailed abundance modeling, including structural evolutionary effects, could then possibly constrain to some degree meridional circulation models, and in particular the extent of hydrodynamical coupling with the superficial convection zone of HB stars.
The results of our abundance evolution calculations are predicated on the use of a specific model, namely that of TT82, for the meridional circulation in the radiative envelope of a slowly rotating star. Other circulation models have been proposed, notably the so-called ``shellular'' solutions of Zahn (1992, hereafter Z92; see also Mathis & Zahn 2004). It is instructive to contrast the a priori assumptions made in these two distinct modeling frameworks. TT82 assume the presence of turbulence in the radiative interior, isotropic and with a turbulent viscosity some 3 orders of magnitude larger than ordinary microscopic viscosity. This is sufficient to maintain a state of near-rigid rotation despite angular momentum advection by the meridional flow, thus producing an internally consistent solution. Z92 also invokes turbulence, but strongly anisotropic, with the horizontal viscosity exceeding the microscopic values by some 8 orders of magnitude, the exact value being usually treated as a free parameter in evolutionary calculations. The Z92 solutions are thus characterized by an angular velocity developing radial gradients in response to the advection of angular momentum by circulation. The latter reduces to a diffusive-like transport plus a purely radial advective contribution that, conveniently, can both be accomodated within a 1D formalism. TT82 find support in their turbulence Ansatz in various geophysical flows, where effective viscosities can be measured and are indeed often found to be 3-4 orders of magnitude above microscopic. Z92 finds support for his views in some laboratory experiments, as removed from stellar interior conditions as TT82's geophysical flows, and the (undeniable) fact that stellar radiative interior are strongly stratified. Interestingly, for stars not subjected to significant angular momentum loss, circulation patterns computed using the Z92 formalism (see, e.g., Mathis et al. 2007, Fig. 2) closely resemble the TT82 solutions in the outer part of the radiative envelope, significant differences being restricted to the vicinity of the convective core.
At any rate, within the TT82 modeling framework adopted here,
the transport model for the competition between He settling
and advection by meridional circulation is entirely parameter-free,
once a treatment of meridional circulation at the base of the
superficial convection zone has been adopted. The latter is the
primary internal uncertainty affecting the present calculations. As can be
seen in Fig. 4, this leads to an uncertainly of about
500 K on the effective
temperature above which strong anomalies should begin to materialize.
The transport model, of course, leaves the origin of the
bimodality entirely unexplained; all we have shown is that given the
existence of this rotational bimodality, the corresponding bimodality in abundance
anomalies arises naturally as a consequence of the competition between
the advection by meridional circulation and the gravitational settling of helium.
It appears most likely that the rotational bimodality
has originated prior to the HB phase, and could have arisen
in a number of ways (see the discussion in Behr et al. 2000b, and references therein).
A very interesting clue is provided by the
sdO and hot sdB subwarfs (
K), which
collectively distribute themselves in the HR diagram as a hot extension of the horizontal branch.
Although their evolutionary relationship to the hot HB stars remains uncertain,
the sdO and sdB subdwarfs also burn Hein their center, are also slow rotators, and their observed abundances
show signatures of chemical separation in the presence of a weak mass loss
at a rate
yr-1 (Michaud et al. 1985).
Such mass loss rates are well below the radiatively-driven mass loss rates that Unglaub (2008) obtained for
hot subdwarfs
.
Even more remarkable is the fact that all recent
attempts made at measuring magnetic fields in hot subdwarfs have yielded positive
detections (see Valyavin et al. 2006; Elkin 1996; O'Toole et al. 2005).
Could this ubiquitous magnetism extend to cooler sdBs, or even all the
way down to
K along the HB? Could magnetism be the cause of the
observed slow rotation of hot HB stars?
The link between magnetism, mass loss and rotation is well established
for main-sequence stars in terms of angular momentum loss mediated by
magnetized winds (e.g., Weber & Davis 1967; Mestel 1968), with magnetic
fields also remaining the most promising mechanism for angular momentum
redistribution within radiative interiors (Mestel & Weiss 1987; Spruit 2002; Denissenkov et al. 2008; Charbonneau & MacGregor 1993; Denissenkov & Pinsonneault 2007).
Could magnetism play a major role in hot (
K) HB stars?
It also plays a major role for abundance anomalies in most magnetic Ap-Bp stars but apparently not at the surface of HgMn stars whose slow rotation is currently unexplained. Mestel (1999) however suggested (his page 176) that an interior magnetic field might force near isorotation and so explain the success of the meridional circulation model in explaining abundance anomalies on HgMn stars without the requirement for
shear turbulence.
Acknowledgements
This work was supported via NSERC Discovery grants to P.C. and G.M.
References
- Abt, H. A., Levato, H., & Grosso, M. 2002, ApJ, 573, 359 [NASA ADS] [CrossRef] (In the text)
- Babel, J. 1996, A&A, 309, 867 [NASA ADS]
- Behr, B. B. 2003a, ApJS, 149, 67 [NASA ADS] [CrossRef]
- Behr, B. B. 2003b, ApJS, 149, 101 [NASA ADS] [CrossRef] (In the text)
- Behr, B. B., Cohen, J. G., McCarthy, J. K., & Djorgovski, S. G. 1999, ApJ, 517, L135 [NASA ADS] [CrossRef]
- Behr, B. B., Cohen, J. G., & McCarthy, J. K. 2000a, ApJ, 531, L37 [NASA ADS] [CrossRef]
- Behr, B. B., Djorgovski, S. G., Cohen, J. G., et al. 2000b, ApJ, 528, 849 [NASA ADS] [CrossRef]
- Charbonneau, P., & MacGregor, K. B. 1993, ApJ, 417, 762 [NASA ADS] [CrossRef]
- Charbonneau, P., & Michaud, G. 1988, ApJ, 327, 809 [NASA ADS] [CrossRef]
- Charbonneau, P., & Michaud, G. 1991, ApJ, 370, 693 [NASA ADS] [CrossRef]
- Denissenkov, P. A., & Pinsonneault, M. 2007, ApJ, 655, 1157 [NASA ADS] [CrossRef]
- Denissenkov, P. A., Pinsonneault, M., & MacGregor, K. B. 2008, ApJ, 684, 757 [NASA ADS] [CrossRef]
- Dorman, B., Lee, Y.-W., & Vandenberg, D. A. 1991, ApJ, 366, 115 [NASA ADS] [CrossRef] (In the text)
- Dorman, B., Rood, R. T., & O'Connell, R. W. 1993, ApJ, 419, 596 [NASA ADS] [CrossRef] (In the text)
- Elkin, V. G. 1996, A&A, 312, L5 [NASA ADS]
- Fabbian, D., Recio-Blanco, A., Gratton, R. G., & Piotto, G. 2005, A&A, 434, 235 [NASA ADS] [CrossRef] [EDP Sciences]
- Glaspey, J. W., Demers, S., Moffat, A. F. J., & Michaud, G. 1986, PASP, 98, 1123 [NASA ADS] [CrossRef]
- Glaspey, J. W., Michaud, G., Moffat, A. F. J., & Demers, S. 1989, ApJ, 339, 926 [NASA ADS] [CrossRef]
- Gratton, R., Sneden, C., & Carretta, E. 2004, ARA&A, 42, 385 [NASA ADS] [CrossRef]
- Iglesias, C. A., & Rogers, F. J. 1991, ApJ, 371, L73 [NASA ADS] [CrossRef]
- Iglesias, C. A., & Rogers, F. J. 1993, ApJ, 412, 752 [NASA ADS] [CrossRef]
- Iglesias, C. A., & Rogers, F. J. 1995, ApJ, 443, 460 [NASA ADS] [CrossRef]
- Iglesias, C. A., & Rogers, F. J. 1996, ApJ, 464, 943 [NASA ADS] [CrossRef]
- Jomaron, C. M., Dworetsky, M. M., & Allen, C. S. 1999, MNRAS, 303, 555 [NASA ADS] [CrossRef]
- Mathis, S., & Zahn, J.-P. 2004, A&A, 425, 229 [NASA ADS] [CrossRef] [EDP Sciences] (In the text)
- Mathis, S., Decressin, T., Palacios, A., et al. 2007, Astron. Nachr., 328, 1062 [NASA ADS] [CrossRef] (In the text)
- Mestel, L. 1968, MNRAS, 138, 359 [NASA ADS]
- Mestel, L. 1999, Stellar magnetism (Oxford: Clarendon), International series of monographs on physics (In the text)
- Mestel, L., & Weiss, N. O. 1987, MNRAS, 226, 123 [NASA ADS]
- Michaud, G. 1981, in Liege International Astrophysical Colloquia, Chemically Peculiar Stars of the Upper Main Sequence, ed. P. Renson (Liège: Université de Liège), 23, 355
- Michaud, G. 1982, ApJ, 258, 349 [NASA ADS] [CrossRef]
- Michaud, G. 1986, in Upper Main Sequence Stars with Anomalous Abundances, ed. C. R. Cowley, M. M. Dworetsky, & C. Mégessier (Doldrecht: Reidel), IAU Coll., 90, 459
- Michaud, G., Vauclair, G., & Vauclair, S. 1983, ApJ, 267, 256 [NASA ADS] [CrossRef] (In the text)
- Michaud, G., Reeves, H., & Charland, Y. 1974, A&A, 37, 313 [NASA ADS] (In the text)
- Michaud, G., Bergeron, P., Wesemael, F., & Fontaine, G. 1985, ApJ, 299, 741 [NASA ADS] [CrossRef] (In the text)
- Michaud, G., Richer, J., & Richard, O. 2004, in IAU Symp., 215, 457 (In the text)
- Michaud, G., Richer, J., & Richard, O. 2007, ApJ, 670, 1178 [NASA ADS] [CrossRef] (In the text)
- Michaud, G., Richer, J., & Richard, O. 2008, ApJ, 675, 1223 [NASA ADS] [CrossRef] (In the text)
- Moehler, S. 2001, PASP, 113, 1162 [NASA ADS] [CrossRef] (In the text)
- Moehler, S., Sweigart, A. V., Landsman, W. B., & Heber, U. 2000, A&A, 360, 120 [NASA ADS]
- O'Toole, S. J., Jordan, S., Friedrich, S., & Heber, U. 2005, A&A, 437, 227 [NASA ADS] [CrossRef] [EDP Sciences]
- Pace, G., Recio-Blanco, A., Piotto, G., & Momany, Y. 2006, A&A, 452, 493 [NASA ADS] [CrossRef] [EDP Sciences]
- Paquette, C., Pelletier, C., Fontaine, G., & Michaud, G. 1986, ApJS, 61, 177 [NASA ADS] [CrossRef] (In the text)
- Peterson, R. C. 1983, ApJ, 275, 737 [NASA ADS] [CrossRef] (In the text)
- Preston, G. W. 1971, ApJ, 164, L41 [NASA ADS] [CrossRef] (In the text)
- Recio-Blanco, A., Piotto, G., Aparicio, A., & Renzini, A. 2002, ApJ, 572, L71 [NASA ADS] [CrossRef]
- Recio-Blanco, A., Piotto, G., Aparicio, A., & Renzini, A. 2004, A&A, 417, 597 [NASA ADS] [CrossRef] [EDP Sciences]
- Richard, O., Michaud, G., Richer, J., et al. 2002, ApJ, 568, 979 [NASA ADS] [CrossRef] (In the text)
- Richer, J., Michaud, G., Rogers, F., et al. 1998, ApJ, 492, 833 [NASA ADS] [CrossRef] (In the text)
- Rogers, F. J., & Iglesias, C. A. 1992a, ApJS, 79, 507 [NASA ADS] [CrossRef]
- Rogers, F. J., & Iglesias, C. A. 1992b, ApJ, 401, 361 [NASA ADS] [CrossRef]
- Sargent, W. L. W., & Searle, L. 1967, ApJ, 150, L33 [NASA ADS] [CrossRef]
- Sargent, W. L. W., & Searle, L. 1968, ApJ, 152, 443 [NASA ADS] [CrossRef]
- Serenelli, A., & Weiss, A. 2005, A&A, 442, 1041 [NASA ADS] [CrossRef] [EDP Sciences] (In the text)
- Spruit, H. C. 2002, A&A, 381, 923 [NASA ADS] [CrossRef] [EDP Sciences]
- Sweigart, A. V. 1987, ApJS, 65, 95 [NASA ADS] [CrossRef] (In the text)
- Talon, S., Vincent, A., Michaud, G., & Richer, J. 2003, J. Comp. Phys., 184, 244 [NASA ADS] [CrossRef] (In the text)
- Tassoul, J.-L., & Tassoul, M. 1982, ApJS, 49, 317 [NASA ADS] [CrossRef] (In the text)
- Théado, S., & Vauclair, S. 2003, ApJ, 587, 784 [NASA ADS] [CrossRef] (In the text)
- Unglaub, K. 2008, A&A, 486, 923 [NASA ADS] [CrossRef] [EDP Sciences] (In the text)
- Valyavin, G., Bagnulo, S., Fabrika, S., et al. 2006, ApJ, 648, 559 [NASA ADS] [CrossRef]
- Weber, E. J., & Davis, L. J. 1967, ApJ, 148, 217 [NASA ADS] [CrossRef]
- Woolf, V. M., & Lambert, D. L. 1999, ApJ, 521, 414 [NASA ADS] [CrossRef]
- Yong, D., Grundahl, F., Johnson, J. A., & Asplund, M. 2008, ApJ, 684, 1159 [NASA ADS] [CrossRef]
- Zahn, J.-P. 1992, A&A, 265, 115 [NASA ADS] (In the text)
Footnotes
- ... protons
- For the meridional circulation calculations, He is treated as a trace species. However the trace species approximation is not made in the stellar evolution calculations described in Michaud et al. (2007).
- ... settling
- That an impact does remain is due to the fact that circulation will greatly affect the abundance and radial abundance gradient immediately beneath the base of the convection zone, and thus He transport by microscopic diffusion.
- ... ZAHB
- The He abundance variation in the thin H burning shell is neglected.
- ... triangles)
- Since these two cases represent the extremes in the possible penetration of meridional circulation in the outer convection zone, and since reality probably lies at some ill-determined locus somewhere in between, no particular effort was made to determine these critical rotational velocities to better than two significant figures.
- ... subdwarfs
- His mass loss rates are probably upper limits because of his neglect of the shadowing caused by photospheric lines as discussed by Babel (1996).
All Tables
Table 1: Characteristic times.
All Figures
![]() |
Figure 1:
In the upper part,
|
| Open with DEXTER | |
| In the text | |
![]() |
Figure 2:
Functional
|
| Open with DEXTER | |
| In the text | |
![]() |
Figure 3:
Evolution of He abundance in the superficial convection
zone of HB star models with effective temperatures
|
| Open with DEXTER | |
| In the text | |
![]() |
Figure 4:
Critical equatorial rotational velocity,
|
| Open with DEXTER | |
| In the text | |
Copyright ESO 2009
Current usage metrics show cumulative count of Article Views (full-text article views including HTML views, PDF and ePub downloads, according to the available data) and Abstracts Views on Vision4Press platform.
Data correspond to usage on the plateform after 2015. The current usage metrics is available 48-96 hours after online publication and is updated daily on week days.
Initial download of the metrics may take a while.
![\begin{figure}
\par\includegraphics[width=7.8cm,clip]{f1.eps}
\end{figure}](/articles/aa/full_html/2009/24/aa11262-08/Timg32.png)


![\begin{displaymath}
\vec{u}_{\rm g}(r)=D_{12}\bigg[(1-2A+Z)\frac{m_{\rm p}g}{2kT...
...T} -k_T{\frac{{\rm d} \ln T}{{\rm d}r}}\bigg]\vec{\hat {e}}_r,
\end{displaymath}](/articles/aa/full_html/2009/24/aa11262-08/img65.png)




![\begin{displaymath}
u_{\rm S}(r)=\frac{2Lr^{4}}{G^{2}m^{3}}\frac{n+1}{n-3/2}
\le...
...rime + \left ( \frac{2}{r}-\frac{m^\prime}{m}\right)h\right ],
\end{displaymath}](/articles/aa/full_html/2009/24/aa11262-08/img82.png)




![\begin{figure}
\par\includegraphics[width=8cm,clip]{11262f2.eps}
\end{figure}](/articles/aa/full_html/2009/24/aa11262-08/Timg96.png)
![\begin{figure}
\par\includegraphics[width=14cm,clip]{11262f3.eps}
\end{figure}](/articles/aa/full_html/2009/24/aa11262-08/Timg101.png)

![\begin{figure}
\par\includegraphics[width=8cm,clip]{11262f4.eps}
\end{figure}](/articles/aa/full_html/2009/24/aa11262-08/Timg116.png)