| Issue |
A&A
Volume 501, Number 1, July I 2009
|
|
|---|---|---|
| Page(s) | 279 - 289 | |
| Section | Stellar structure and evolution | |
| DOI | https://doi.org/10.1051/0004-6361/200809643 | |
| Published online | 16 April 2009 | |
Multi-site photometry of the pulsating Herbig Ae star V346 Ori![[*]](/icons/foot_motif.png)
S. Bernabei1,2 - V. Ripepi3 - A. Ruoppo3 - M. Marconi3 - M. J. P. F. G. Monteiro4 - E. Rodriguez5 - T. D. Oswalt6 - S. Leccia3 - F. Palla7 - G. Catanzaro8 - P. J. Amado5 - M. J. Lopez-Gonzalez5 - F. J. Aceituno5
1 - INAF - Osservatorio Astronomico di Bologna, via Ranzani 1, 40127 Bologna, Italy
2 - Departimento de Astrofísica, Universidad de La Laguna, Avda. Astrofisico F. Sánchez sn, 30071 La Laguna, Spain
3 - INAF - Osservatorio Astronomico di Capodimonte,
via Moiariello 16, 80131 Napoli, Italy
4 - DMA - Faculdade de Ciências and Centro de Astrofísica da Universidade do Porto, Rua das Estrelas, 4150-762 Porto, Portugal
5 - Instituto de Astrofísica de Andalucía, CSIC, Apdo. 3004, 18080 Granada, Spain
6 - Florida Institute of Technology, Department of Physics and Space Science, 150 W Univ. Blvd., Melbourne, FL 32901-6988, USA
7 - INAF - Osservatorio Astrofisico di Arcetri, Largo E. Fermi 5, 50125 Firenze, Italy
8 -
INAF - Osservatorio Astrofisico di Catania, via S. Sofia 78, 95123 Catania, Italy
Received 25 February 2008 / Accepted 21 March 2009
Abstract
Context. The study of pulsation in pre-main-sequence intermediate-mass stars represents an important tool for deriving information about fundamental stellar parameters and internal structure, as well as testing theoretical models. Interest in this class of variable stars has increased significantly during the last decade and about 30 members are presently known in the literature.
Aims. After constructing the frequency spectrum of oscillations in V346 Ori, we apply asteroseismic tools to these data to estimate the intrinsic parameters (mass, luminosity, effective temperature) of V346 Ori and obtain information about its internal structure.
Methods. CCD time-series photometry in the Johnson V filter was obtained for a total of 145.7 h of observations distributed over 36 nights. The resulting light curves were subjected to a detailed frequency analysis using updated numerical techniques. Photometric and spectroscopic data were also acquired to determine reliable estimates of the stellar properties.
Results. We identified 13 oscillation frequencies, 6 of which with higher significance. These were compared with the predictions of non-radial adiabatic models. The resulting best-fit model corresponds to a mass of
,
luminosity
,
and effective temperature
K. These values are marginally consistent with the association of V346 Ori to Orion OB1a. Alternatively, V346 Ori could be placed at a slightly larger distance than previously estimated.
Key words: stars: pre-main sequence - stars: oscillations - stars: individual V346 Orionis - stars: fundamental parameters
1 Introduction
Pre-main-sequence (PMS) stars with masses higher than
1.5
that exhibit variable emission lines are known as Herbig Ae/Be stars (Herbig 1960). Observationally, they are found within star-forming regions and have both variable emission lines (especially
H
)
and strong infrared excess caused by the presence of circumstellar material. In addition, Herbig Ae/Be stars are characterized by photometric and spectroscopic variability on timescales of minutes to years, mainly due to photospheric activity and interaction with the circumstellar environment (e.g., Gahm et al. 1995; Böhm & Catala 1995).
Although theoretical works have improved our understanding of PMS evolution (see e.g., Swenson et al. 1994; Palla & Stahler 1993; D'Antona & Mazzitelli 1994), there remain differences in the models owing to uncertainty in the treatment of convection, of the input physics, and the zero point of the stellar ages. It is therefore desirable to find independent ways of constraining PMS evolutionary tracks and, in turn, the internal structure of intermediate-mass stars, which are subject to dramatic changes during the short-lived PMS contraction phase.
Asteroseismology of Herbig Ae/Be stars can in principle test PMS
models by probing their interiors. It is now well established that
these stars cross the pulsation instability strip of more evolved
stars during contraction toward the main sequence, comprising a class
of variable stars called PMS
Scuti stars (Kurtz & Marang 1995; Catala 2003; Marconi & Palla 1998; Ripepi et al. 2006a).
The first theoretical investigation of the PMS instability strip based
on nonlinear convective hydrodynamical models was carried out by
Marconi & Palla (1998, hereinafter MP98), who calculated its topology
for the first three radial modes. The subsequent theoretical work by
Suran et al. (2001) made a comparative study of the seismology of a
1.8
PMS and post-MS star. These authors found that the
unstable frequency range is roughly the same for PMS and a post-MS
stars, but that some non-radial (g) modes are very sensitive to the
deep internal structure. Grigahcene et al. (2006) produced a theoretical instability strip for PMS stars for the first seven radial modes. Since the work by MP98, many new PMS
Scuti candidates have been observed and the current census of known or suspected candidates
includes about 30 stars (see e.g., Zwintz 2008; Ripepi et al. 2006a). However,
only a few of these have been studied in detail (e.g., Böhm et al. 2004; Ripepi et al. 2006b,2003). Thus, the overall properties of this class of variable stars remain poorly determined.
To perform reliable asteroseismological analysis, it is
critical to obtain data more accurate than that available in the
literature. In particular, it is necessary to measure as many excited
oscillations as possible with high precision in frequency and,
ideally, absence of aliases. Prior to space data, which will become
progressively available from the MOST, COROT and possibly KEPLER
satellites, the only way that we can satisfy these requirements is to carry
out multi-site observations on promising asteroseismological targets,
i.e., stars that are multi-periodic. Starting in 2003, our group has
applied the multi-site technique to two targets, V351 Ori (Ripepi et al. 2003)
and IP Per (Ripepi et al. 2006b). The observational results obtained for these
stars have been interpreted using non-radial adiabatic
pulsation theory (see Ruoppo et al. 2007). As a continuation of our
ongoing project, here we concentrate on the Herbig Ae star V346 Ori.
This object is classified as a member of the Orion OB1a sub-association
(Hernández et al. 2006), or of its subgroup centered on 25 Ori (Briceño et al. 2007). It was
originally suspected to be variable on a short timescale by Marconi et al. (2000).
Subsequently, Pinheiro et al. (2003), on the basis of only two observing nights, confirmed the
Scuti nature of the light variation by measuring two highly significant frequencies of pulsation at
c/d and
c/d and two
less significant frequencies at
c/d and
c/d. The measured amplitudes of the oscillations
in the V band were A1= 2.9, A2=2.8, A3=1.2, and A4=1.4mmag. To improve these initial results, we carried out: 1) an extensive photometric multi-site campaign to enlarge the number of observed mode of pulsation; and 2) a
spectroscopic analysis to determine the values of
,
and
of V346 Ori; and 3) a comparison with nonlinear pulsation
models to constrain the position of V346 Ori in the HR diagram.
The structure of the paper is as follows: in Sect. 2, we describe the observations and data reduction; in Sect. 3, we deal with the frequency analysis; in Sect. 4, we report the results of the spectroscopic analysis; in Sect. 5, we compare the measured frequencies with model predictions and derive an estimate of the parameters of V346 Ori; and in Sect. 6, we provide some final remarks.
2 Observations and data reduction
2.1 Time-series photometry
Time-series observations were obtained using four different telescopes
equipped with CCD devices during 36 nights between 2005, October and
2006, January. A complete description of the observations is given in
Table A.1.
As a comparison star,
we observed HD 287842 (J2000:
41' 33.3''; V = 10.3, A7). This star was chosen because it is
only
5' away from V346 Ori and within the field of view of
all the instruments used. Its magnitude and color also do not
differ too much from those of V346 Ori. The constancy of HD 287842 was
checked by comparison with other (fainter) stars present in the CCD
frames and in particular with TYC-101-317-1, a bright
star (
mag), which is present in the Sierra Nevada data
(five nights, see Table A.1 and below for the data analysis).
The Fourier analysis of the differential photometry
(TYC-101-317-1)-(HD 287842) is plotted in Fig. 1. No significant frequency peak is present in the periodogram. The observations were carried out
only with the V filter to ensure a time sampling that was sufficiently
fast to sample properly the expected rapid pulsations. In the following, we
describe the main features of the instrumentation used for this work
and provide some details concerning the data reduction and photometric
procedures.
| |
Figure 1: Fourier analysis of the differential photometry (TYC-101-317-1)-(HD 287842). See text. |
| Open with DEXTER | |
![]() |
Figure 2:
Light curve for V346 Ori of the first 20 nights. Note that
|
| Open with DEXTER | |
![]() |
Figure 3: As in Fig. 2, but for the remaining 16 nights. |
| Open with DEXTER | |
-
Loiano
: the
observations were carried out using the 1.5-m telescope equipped with the BFOSC instrument. The CCD was a EEV
pixels of individual size 0.58'', and a total field of view of 13
.
The data were reduced following the usual procedures
(de-biasing, flat-fielding) and using standard IRAF routines. The aperture photometry was carried out using routines written in the MIDAS environment.
-
REM
: the data were collected using the 0.60-m automated telescope at La Silla (Chile). Images were obtained with the ROSS spectrograph equipped with a commercial Apogee AP47 camera hosting a Marconi
47-10 1K
1K 13
m pitch CCD, which covers
with a scale of 0.56''/pixel. For the data reduction and photometry, we followed the same recipes as for the Loiano observations.
- SARA
(Southeastern
Association for Research in Astronomy): we used the 0.9-m automated telescope at Kitt Peak
(USA). The images were collected in the V filter using an Apogee AP7p
camera with a back-illuminated SITe SIA 502AB
pixel CCD. The pixels are 24 microns square, corresponding to 0.73'' at the telescope focal plane scale, giving a field of view of 6.2
.
Sky flats, dark, and bias exposures were taken every
night. The data were calibrated and reduced using standard IRAF routines.
- SNO
(Sierra Nevada
Observatory): the data was obtained using the 1.5-m telescope equipped
with a 2k
2k CCD, with a pixel size of 0.23'' for a
total field of view of 7.92
.
Observations were
carried out in the V filter with exposures of about 7 s (depending
on the quality of the night), using a
binning. The data were
reduced in a standard way by correcting the frames for bias and
flat-fielding. Four different apertures were tested of radii 4, 8,
12, and 16 pixels. The 12-pixel aperture (corresponding to about
5'') was chosen as the optimal for our observations. The sky
inner radius was fixed to 23 pixels and the annulus width to 3 pixels.
To prepare the data for Fourier analysis, we first detrended the data to a common, average zero value. This is needed for the following reasons: 1) to avoid problems caused by differences in the instruments+filters used; 2) to prevent problems with zero-point differences between different datasets; and 3) to eliminate the long-term photometric variations due to the presence of circumstellar material around the star, a well-known occurrence for Herbig Ae stars such as V346 Ori. The detrending procedure consisted in removing a constant from the photometry for the majority of the nights. In the remaining cases, for nights with a duration of the observations longer than approximately 5 h, we used a linear or quadratic regression to detrend the data. As a consequence of this procedure, we were unable to investigate frequencies lower than about 4.5-5 c/d. The resulting light curve of V346 Ori is shown in Figs. 2 and 3. Here, the solid lines represent the least square fit to the data based on the frequency analysis discussed in Sect. 3.
2.2 Strömgren-Crawford photometry
A few uvby
points were also collected for V346 Ori in the Strömgren-Crawford
photometric system for calibrating purposes using the six-channel uvby
spectrograph attached to the 0.9-m telescope at Sierra Nevada Observatory. During these measurements, three bright stars C1=HD34888, C2=HD34745, and C3=HD 36525 were used as check stars, and instrumental magnitude differences were obtained relative to C1. To
transform these instrumental differences into the standard uvby
system, a set of 19 standards stars were selected from the list of Crawford & Mander (1966) and Crawford & Barnes (1970).
Next, the absolute standard uvby
indices for V346 Ori and check
stars were obtained following the method described in Rodriguez et al. (2003), using C1 to C3 as zero points. The results are listed in Table 1
together with the values reported in the literature for the check stars. The error
bars in this table represent standard deviations in magnitude differences relative
to C1. As seen, our results are in very good agreement with the values
found in the homogeneous catalogue of Olsen (1996). Similar results can be
found in the lists of Olsen (1983) and Hauck & Mermilliod (1998).
These indices, together with suitable calibrations available in the literature
for uvby
,
can be used to estimate the physical parameters of
V346 Ori using the procedure described in Rodriguez et al. (2001). In
particular, a value of
m1=0.012 is obtained for the metallicity
parameter leading to nearly solar abundances of [M/H]=
)
using the Smalley (1993) relation for metal abundances. Moreover, using the
grids of Smalley & Kupka (1997) for solar abundances, values of
K and
(
0.1) are also found, which are in
very good agreement with those obtained from spectroscopy and discussed in Sect. 4.
2.3 Spectroscopic data
An echelle spectrum for V346 Ori was obtained with the BFOSC instrument at the Loiano Telescope during the night of January 31, 2007. We used the grism
with the cross disperser
to improve the efficiency towards the blue. The resulting
spectrum includes 13 orders and covers the wavelength interval from
3800 Å to
10 000 Å. Data reduction was performed using the IRAF package ECHELLE. The resolution of our data was
.
The spectrum of V346 Ori is shown and discussed in Sect. 4.
3 Frequency analysis
The pulsation frequency analysis was carried out with the period04 package (Lenz & Breger 2005), which adopts both Fourier and least squares algorithms, and permits the simultaneous fitting of multiple sinusoidal variations, and thus does not rely on sequential prewhitening. In addition, period04 offers the possibility to weight the data during the least squares fitting procedure (see below).
Before presenting the analysis of the time series, we first note that the photometric
quality of the data varies among different nights and sometimes during
the same night. To account for this and include the measured
photometric errors based on Poisson statistics, which are often
underestimated with respect to the true scatter of the data, we
used point-to-point weights in the frequency analysis. Thus, we
adopted the weighting scheme in period04 called ``deviation
weight''. Defining residuals as the absolute value of the difference
between observed and calculated phase points, this procedure assigns
the weights as follows: weight = 1 for
,
and
weight = [
]
for
.
The choice of
the
value is critical to obtaining reliable results. A
general rule is to avoid using a cutoff too small compared to the
amplitude of the oscillations (e.g., Handler 2003). We found
that a
of 7.5 mmag complies with these requirements and
verified that lower values provide unrealistic results, whereas higher
values (e.g.
mmag) do not produce results that differ significantly
from the 7.5 mmag case. As described below, we performed the
frequency analysis in two ways: with and without weights.
Table 1:
uvby
indices obtained for V346 Ori and comparison
stars.
![]() |
Figure 4: Spectral window (in power). |
| Open with DEXTER | |
![]() |
Figure 5: Frequency analysis for V346 Ori calculated with period04 adopting the weighting scheme of the data described in the text. The solid line shows the 99.9% significant level, corresponding to 12.6 times the noise level. In each panel, one peak (i.e., the labelled frequency) is selected and removed from the time series and a new spectrum is obtained. Then, all the derived periodicities are fitted simultaneously to refine frequencies, amplitudes, and phases. The analysis of the residuals produces the subsequent periodogram. The bottom figure in the right panel displays the periodogram after prewhitening with all the significant frequencies. |
| Open with DEXTER | |
Table 2: Frequencies and amplitudes for V346 Ori calculated with period04 for the two cases, with and without weights (see text).
The frequency analysis requires first the discussion of the Spectral Window (SW), which is shown in Fig. 4. Unfortunately, due to the lack of an observing site in Asia, we were unable to completely remove the 1 c/d alias. Nevertheless, the SW of our data appears of good quality in both the weight and no-weight case, since the 1 c/d is reduced to about 50% (in power), and the 2 c/d alias is almost negligible. After this, the procedure consists of the following steps: i) calculation of Fourier transform and identification of the highest amplitude peak; ii) least square fitting to the data with this frequency, improving simultaneously frequency, amplitude, and phase; iii) check of the significance of the extracted frequency; iv) calculation of Fourier transform of the residuals and identification of the new highest amplitude peak; v) least square fitting to the data using simultaneously the derived frequencies; and vi) iteration of the previous steps for the identification of all significant frequencies. To determine whether to accept or reject a frequency, we adopted the widely used requirement of a signal-to-noise (S/N) amplitude equal to 4 (Breger et al. 1993), corresponding to a value of about 12.6 in power (Breger et al. 2005). To calculate the noise level, we again used period04 to obtain an average value for the noise itself in bins of 10 c/d width, moving along the spectrum. We verified that changing the size of the bins by up 50% does not alter the S/N level significantly, especially for the low-amplitude frequencies close to the significance limit.
The result of the frequency analysis is shown in Fig. 5,
while the derived frequencies are listed in Table 2 for
both the weight and no-weight cases. The differences between the two cases is
significant, since the number of derived frequencies varies from 13 in the weighted case to only 6 in the non-weighted case. However,
we note that five of the six derived frequencies coincide in both
cases, while f6 in the non-weighted model is clearly the -1 c/d
alias of f6 in the weighted mode. As seen in Table 2,
the use of weights has the effect of reducing the amplitude peaks.
More significantly, the noise is also reduced, allowing more
frequencies to exceed the 4
threshold albeit only
marginally (see f7 to f13 in Table 2). Given the poor
significance of the frequencies derived with our weighting scheme, in the
comparison with the models we shall use only the first six frequencies
in Table 3. The remaining ones are in any case useful for verifying
whether the best-fit model is also able to reproduce them.
Finally, we checked if some frequencies could simply be a linear combination
of others and verified that all the detected periods are
independent of each other.
To determine the errors in the extracted frequencies,
we adopted the classical method of calculating the FWHM of the main
lobe in the SW, obtaining
c/d
(see Alvarez et al. 1998, for a discussion of this subject).
![]() |
Figure 6: Selected regions of the normalized V346 Ori spectrum. The black and thin red and blue lines show the data for V346 Ori, for the comparison star HD124675 (A8IV) and the difference between the two spectra, respectively. |
| Open with DEXTER | |
We can now compare the present results with those obtained by Pinheiro et al. (2003). As a result, the two significant frequencies seen by Pinheiro et al. (2003) are not in disagreement with our results.
4 The spectrum of V346 Ori
4.1 Empirical determination of atmospheric parameters
From literature data, we know that V346 Ori is classified as a spectral type A5 or later and has a luminosity class III-V. For our classification, we followed the recipes described by Gray & Garrison (1989b,a) for early F-type and late A-type stars, complemented with additional criteria by Jaschek & Jaschek (1987).
From inspection of the spectral region typically used for classification (e.g., Fe I at
4046 Å; Sr II at
4077 Å; Fe II-Ti II at
4172-4179 Å; Fe I at
4187 and 4203 Å; Fe II at
4415 Å/
4481 Å (Mg II), we conclude that V346 Ori is of spectral type more similar to A9 than A7. Similarly, we tried to estimate the
luminosity class of V346 Ori by analysing the morphology of the blends at ![]()
4172-4179 Å and at ![]()
4395-4400 Å (Fe II-Ti II-Sc II) with respect to
4203 Å and
4271 Å (Fe I). We computed the ratio
4172-4179/
4271 and
4395-4400/
4271, which is about 2. This means that V346 Ori luminosity class is IV or V (see Gray & Garrison 1989a).
The following step was to determine more precisely the spectral type
and simultaneously to estimate the rotational velocity (
)
of V346 Ori.
To this aim, we used the list of A-type stars with reliable and homogeneous
published by Royer et al. (2002) coupled with high-resolution spectra
from the ELODIE archive (Moultaka al. 2004). In particular, we compared (visually)
the spectrum of V346 Ori with several standard stars of spectral type A8 andA9 and luminosity class IV or V, as well as a variety of
.
The closest agreement was obtained for HD124675, an A8IV star with
km s-1 and solar metallicity (Bush & Hintz 2008; Fossati et al. 2008).
Figure 6 shows the superposition of V346 Ori and HD124675 spectra in the region used for spectral classification, as well as the difference between the two spectra.
Figure 7 shows the region of H
,
which appears to be partially
filled and to have emission in the core due to the presence of hot gas
around the star, a typical feature of Herbig Ae stars.
We estimate that
V346 Ori is an A8IV(
1 spectral class) star with
km s-1 and approximately solar metallicity.
This result agrees with some of the previous determinations, but
disagrees with others. Considering spectroscopic measurements,
V346 Ori has been classified as A2IV (Mora et al. 2001), A5IIIe
(Herbig 1960), A7III (Gray & Corbally 1998), A7III (Blondel et al. 2006), A8
(Valenti et al. 2000), A8V (Vieira et al. 2003), and A9 (Hernández et al. 2006)
.
Thus, our estimate is consistent with the last three values, and marginally with the
A7III evaluation by Gray & Corbally (1998) and Blondel et al. (2006).
It is inconsistent with Herbig (1960) and Mora et al. (2001). The
origin of this disagreement in spectral types cannot be easily
identified. We suggest two possible causes: 1) the modification of
the spectrum by non-photospheric material placed along the line of
sight, causing the star to appear earlier in some cases; and 2) the use of
different lines/methods for the classification. For example, using Ca
II K and/or H lines can often result in earlier spectral-type
assignments for this type of star (see Gray & Corbally 1998; Gray & Garrison 1989a).
According to the temperature scale of Kenyon & Hartmann (1995), our
estimate for the spectral type of V346 Ori (
spectral class)
corresponds to
K. Similarly, our estimated
luminosity class IV-V corresponds approximately to
-4.3
(Schmidt-Kaler 1982).
4.2 Spectral-synthesis determination of atmospheric parameters
To validate our spectral classification and determine the physical parameters of V346 Ori, we used synthetic spectra.
The approach that we used in this paper was to minimize the difference between the observed and synthetic H
,
H
,
and H
profiles. As a goodness-of-fit test, we used the parameter:
![]() |
(1) |
where N is the total number of points,
In this study, we followed the method described in Catanzaro (2008), since
the intersection of the three
iso-surfaces is expected to improve the final
solution. To decrease the number of parameters, we first
computed the
of the star. To derive the rotational velocity, we used SYNTHE, using a guess model computed with the
and
estimated in
the previous subsection, to reproduce the profile of
Mg II
4481 Å line and obtained a value of
km s-1,
in agreement with our previous estimate of
km s-1.
For this star, the best-fit solution was obtained for the model computed
with solar ODF for
K and
.
Although H
is also present in our spectral range, we did not use this line
because of its clearly evident emission at the core. The synthetic line overplotted
on the observed one is shown in Fig. 8. It was computed by using
the atmospheric parameters derived from the other three Balmer lines. We also shown
in the figure for comparison the synthetic spectra with
and
.
In conclusion, we have evaluated the atmospheric parameters of V346 Ori
by using three different methods: 1) Strömgren-Crawford photometry;
2) empirical determination of spectral and luminosity class; and
3) comparison with synthetic spectra. These approaches
provide consistent results within the errors. Given that the comparison with synthetic spectra is the most precise and physically based among the methods we used, in the following we use the atmospheric parameters derived from this approach, but enlarging the error box in
to
250 K to take into account
the results of methods 1) and 2).
![]() |
Figure 7:
As in Fig. 6, but in the region of H |
| Open with DEXTER | |
![]() |
Figure 8:
Zoom of V346 Ori's spectrum in the region of H |
| Open with DEXTER | |
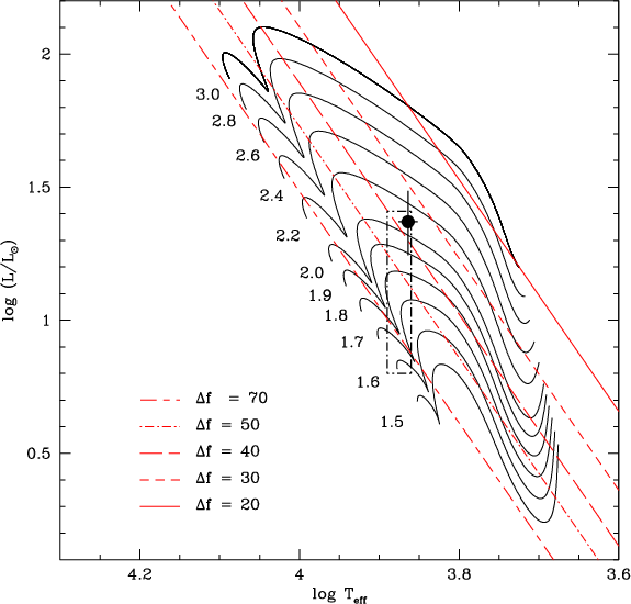
![]() |
Figure 9:
HR diagram showing PMS evolutionary tracks computed with the CESAM code for the labelled stellar masses (in |
| Open with DEXTER | |
![]() |
Figure 10: Predicted frequencies as a function of the radial order n. Symbols are connected by a full line in the case of l=0, by a dashed line for l=1 and by a dotted line for l=2. The horizontal lines represent the six most significant frequencies. |
| Open with DEXTER | |
5 Comparison with models
After evaluating the physical parameters of V346 Ori, we now
proceed to constrain its mass and effective temperature (and, in turn,
its luminosity) by comparing the observed frequencies with model predictions.
To reduce the number of parameters in the theory versus observations
comparison, we decided to restrict the analysis to the empirically
estimated ranges of luminosity (
)
and effective temperature (7300-7800 K) for V346 Ori.
These ranges were derived on the basis of the atmospheric parameters estimated in the previous
section and are represented in Fig. 9 by the dot-dashed box,
together with the evolutionary tracks computed using the
CESAM code (Morel 1997). From
the intersection between the box and the evolutionary tracks, we find that
the predicted value of the stellar mass lies in the range from
1.6
to
2.2
.
For each stellar mass in
this range, we selected three stellar models corresponding to three different effective
temperatures, separated by
200 K, along the corresponding PMS
evolutionary track, and performed the pulsation analysis in both radial and
non-radial modes (l=0,1,2) using the ADIPLS code
. Additional models along
the 2.3
were computed to explore the behavior of
the predicted frequencies at higher stellar masses.
The predicted frequencies, for each selected stellar model, were used to
reproduce the six most significant periodicities (from f1 to f6).
The comparison between theory and observations is shown in Fig. 10,
where the frequencies are plotted as a function of the radial order for three
assumptions l=0,1,2, by varying the stellar mass and the effective temperature.
Inspection of this plot, together with the search for the minimum ![]()
suggest that the closest agreement is obtained for
,
,
and
K. The position of the best-fit model in the HR diagram is
represented by the large dot in Fig. 9. The derived value of
the surface gravity of this model is
,
close to our
empirical estimate of
.
The various panels of Fig. 10
show that increasing or decreasing the stellar mass and/or the effective
temperatures cause the discrepancies between observed and predicted frequencies
to increase. We have also verified that no reasonable match of the observed frequencies is
found for stellar masses lower than
.
The comparison between the predicted and observed frequencies in the echelle diagram is presented in Appendix B, confirming that we have found a combination of mass, effective temperature, and luminosity that is able to reproduce in the most accurate way the observed frequencies. We emphasize that this is true only within our explored range of stellar parameters and with the resolution in mass and effective temperature of the current model set.
6 Final remarks
We have presented the results of a multi-site campaign on the
pulsating Herbig Ae star V346 Ori. The frequency analysis has allowed
us to extract six highly significant frequencies on the basis of a no-weight
Fourier analysis, and additional seven less significant frequencies by adopting
a ``deviation weight'' scheme. The measured periodicities have been compared with the predictions of non-radial adiabatic models. We found that the resulting best-fit model has a stellar mass of
,
luminosity
,
,
and effective temperature of
K, where the errors are upper limits based
on the adopted mass and effective-temperature steps. These estimates agree
with the spectroscopic estimates, within the associated uncertainties.
The value of the asteroseismic luminosity is significantly higher than that
obtained by other authors. For example, Hernández et al. (2005, H05 hereafter)
derived a value of
(no errorbar is given)
using the average astrometric Hipparcos distance (
pc) to
the Ori OB1a association and the PMS evolutionary tracks by Palla & Stahler (1993),
assuming AV = 0 for V346 Ori. However, the uncertainties
involved in this calculation are large. Indeed, to derive the luminosity of a star, even
knowing the distance, one should know accurately the visual magnitude
and the interstellar extinction. This is not straightforward for V346 Ori, which shows a wide variability in the visual band (
V=9.8-11.8; Thé et al. 1994), due to the presence of
circumstellar material around the star (see e.g., the SED published by Hernández et al. 2006).
Similarly the value of AV to be used is not easily achievable: Hernández et al. (2005) used
AV =0, but the average absorption for the sub-group 25 Ori to which
V346 Ori is believed to belong (see Briceño et al. 2007) is
.
It is useful to recalculate the
value for V346 Ori adopting
the distance by H05, but taking into account the value at minimum light for V346 Ori V = 9.8 (which should be the closest to the photospheric one),
and a visual absorption
as provided by the maps of
Schlegel et al. (1998), which are valid in an area of
around the star. As a result, allowing for an error of 5% for the distance and
10% for both the visual magnitude and absorption, we derive
,
which agrees to within 1
with the results of
our asteroseismological analysis. Of course, a closer agreement could be obtained by either placing V346 Ori slightly beyond the Orion OB1a association (indeed the distance implied
by the present results is
pc, which corresponds to the revised distance
of the Orion Nebula Cluster, e.g., Jeffries 2007) or supposing that the extinction due to circumstellar material has been underestimated. In the first case, V346 Ori would not be a member of the Orion OB1a association. To our knowledge, the membership of V346 Ori to OB1a has not been confirmed spectroscopically. To cast light on this complicated scenario, an accurate measurement of the radial velocity of V346 Ori would be highly desirable.
Acknowledgements
V.R. wishes to thank the personnel of the Loiano Observatory for the competent and kind help during the observations. S.B. acknowledges the REM team for the large amount of observing time allocated for this project and for the professional support during the observations. Partial financial support for this work was provided by PRIN-INAF 2005 under the project ``Stellar Clusters as probes of stellar formation and evolution'' (P. I. F. Palla). This research has made use of the SIMBAD database, operated at CDS, Strasbourg, France. M.J.P.F.G.M. was supported in part by FCT through project PTDC/CTE-AST/65971/2006 from POCI2010, with funds from the European programme FEDER. T.D.O. was supported by NSF grant AST0206115. P.J.A. acknowledges financial support from a Ramon y Cajal contract of the Spanish Ministry of Education and Science.
Appendix A: Log of the observations
Table A.1: Log of the observations.
Appendix B: Theory versus observations in the echelle diagram
![]() |
Figure B.1:
Echelle diagram for the model
|
| Open with DEXTER | |
A powerful tool to investigate the prediction capability of pulsation models
is represented by the echelle diagram, where frequencies are reduced to modulo
by expressing them as
where
is the large separation, f0 is a suitably chosen reference, and
is an integer such that
is between 0 and
.
The echelle diagram includes the information about the frequency, large separation, so that the comparison between modeled and observed periodicities in this diagram can allow us to constrain the
properties of the frequency spectrum. Hence, for all the models located in the empirical box of Fig. 9, we have used the computed frequencies to build a theoretical echelle diagram and search for one that reproduces most successfully the observed frequencies.
As a result, we obtain the best-fit model quoted in Sect. 9.
Looking at the behavior of the best-fit model in Fig. 10,
we notice that the most significant frequency f1 can be reproduced
within
5
Hz either with l=0 or with l=2. Assuming l=0, as also
supported by the idea that the largest-amplitude frequency (f1) is a
radial mode, we obtain the echelle diagram shown in the left upper panel of
Fig. B.1 for a large frequency separation
Hz. This quantity is evaluated using the
analytical relation between the large frequency separation, the
stellar luminosity, and the effective temperature derived by Ruoppo et al. (2007).
As already found in Fig. 10, the best-fit model is able to reproduce the
most significant frequencies to within an uncertainty smaller than 5
Hz
apart from f4. This frequency is very close to f5 and, as discussed
by Breger & Bischof (2002), close frequency pairs should be investigated accurately
to establish whether they are real or not.
As already specified, the best-fit pulsation model has been found by requiring it to match only the six most significant frequencies. If the other seven measured frequencies (from f7 to f13) are added in the echelle diagram, we obtain the plot shown in the left lower panel, where the only deviating frequency, beyond the already noted f4, is f12.
From our spectroscopic analysis, we have found that V346 Ori has a
projected rotational velocity of
km s-1. The effect
of rotation on non-radial modes can be roughly estimated using the asymptotic
relation for non-radial displacements. This is given by
,
where m is the spherical harmonic number and
is the rotational frequency. For the
inclination angle i, we considered the two cases of
and
,
while for the radius we took the value of
our best-fit model. Then, with these assumptions, the resulting rotational splitting is
Hz and
Hz, for
km s-1 and
Hz
and
Hz for
km s-1.
It is interesting to note that the displacement of f4 and f12, from
the l = 1 sequence seems to be consistent with the rotational-splitting estimate
for
km s-1, with these frequencies corresponding to
l=1,
modes. However, we are aware that this is a very
simplified treatment of the rotational splitting phenomenon and
that a more accurate analysis by means of asteroseismological models also including rotation is needed to properly
test this possibility.
If we discard the assumption that f1 corresponds to a radial mode and
explore the alternative possibility suggested by the behaviour of the
best-fit model in Fig. 10, i.e., that f1 is a l=2 mode, we obtain the plot
shown in the right upper panel of Fig. B.1. In this case, all six
frequencies are reproduced to within
5
Hz, apart from f3, that
deviates a bit more from the l=2 sequence. However, if the other seven less
significant frequencies are added, we find that theoretical predictions are
unable to provide a good match for all the frequencies (see the right lower
panel of the same figure).
References
- Alvarez, M., Hernández, M. M., Michel, E., et al. 1998, A&A, 340, 149 [NASA ADS] (In the text)
- Blondel, P. F. C., Djie, H. R. E., & Tjin, A. 2006, A&A, 456, 1045 [NASA ADS] [CrossRef] [EDP Sciences] (In the text)
- Böhm, T., & Catala, C. 1995, A&A, 301, 155 [NASA ADS]
- Böhm, T., Catala, C., Balona, L., & Carter, B. 2004, A&A, 427, 907 [NASA ADS] [CrossRef] [EDP Sciences]
- Breger, M., & Bischof, K. M. 2002, A&A, 385, 537 [NASA ADS] [CrossRef] [EDP Sciences] (In the text)
- Breger, M., Stich, J., Garrido, R., et al. 1993, A&A, 271, 482 [NASA ADS] (In the text)
- Breger, M., Lenz, P., Antoci, V., et al. 2005, A&A, 435, 955 [NASA ADS] [CrossRef] [EDP Sciences] (In the text)
- Briceño, C., Hartmann, L., Hernández, J., et al. 2007, AJ, 661, 1119 [NASA ADS] [CrossRef] (In the text)
- Bush, T. C., & Hintz, E. G. 2008, AJ, 1136, 1061 [NASA ADS] [CrossRef]
- Catala, C. 2003, Ap&SS, 284, 53 [NASA ADS] [CrossRef]
- Catanzaro, G. 2008, MNRAS, 385, L33 [NASA ADS] (In the text)
- Crawford, D. L., & Mander, J. 1966, AJ, 71, 114 [NASA ADS] [CrossRef] (In the text)
- Crawford, D. L., & Barnes, J. V. 1970, AJ, 75, 978 [NASA ADS] [CrossRef] (In the text)
- D'Antona, F., & Mazzitelli, I. 1994, ApJS, 90, 467 [NASA ADS] [CrossRef]
- Fossati, L., Kolenberg, K., Reegen, P., & Weiss, W. 2008, A&A, 485, 257 [NASA ADS] [CrossRef] [EDP Sciences]
- Gahm, G. F., Loden, K., Gullbring, E., & Hartstein, D. 1995, A&A, 301, 89 [NASA ADS]
- Gray, R. O., & Corbally, C. J. 1998, AJ, 116, 2530 [NASA ADS] [CrossRef] (In the text)
- Gray, R. O., & Garrison, R. F. 1989a, ApJ, 69, 301 [NASA ADS] [CrossRef]
- Gray, R. O., & Garrison, R. F. 1989b, ApJ, 70, 623 [NASA ADS] [CrossRef]
- Grigahcene, A., Dupret, M.-A., Garrido, R., Gabriel, M., & Scuflaire, R. 2006, CoAst, 147, 69 [NASA ADS] (In the text)
- Handler, G. 2003, BaltA, 12, 253 [NASA ADS] (In the text)
- Hauck, B., & Mermilliod, M. 1998, A&AS, 129, 431 [NASA ADS] [CrossRef] [EDP Sciences] (In the text)
- Herbig, G. H. 1960, ApJS, 4, 337 [NASA ADS] [CrossRef] (In the text)
- Hernández, J., Calvet, N., Hartmann, L., & Briceño, C. 2005, AJ, 129, 856 [NASA ADS] [CrossRef] (In the text)
- Hernández, J., Briceño, C., Calvet, N., et al. 2006, AJ, 652, 472 [NASA ADS] [CrossRef] (In the text)
- Jaschek, C., & Jaschek, M. 1987, The classification of stars (Cambridge Univeristy Press) (In the text)
- Jeffries, R. D. 2007, MNRAS, 376, 1109 [NASA ADS] [CrossRef] (In the text)
- Kenyon, S. J., & Hartmann, L. 1995, ApJS, 101, 117 [NASA ADS] [CrossRef] (In the text)
- Kurtz, D. W., & Marang, F. 1995, MNRAS, 276, 191 [NASA ADS]
- Kurucz, R. L. 1993, A new opacity-sampling model atmosphere program for arbitrary abundances. In: Peculiar versus normal phenomena in A-type and related stars, ed. M. M. Dworetsky, F. Castelli, & R. Faraggiana, ASP Conf. Ser. 44, IAU Colloq. 138, 87 (In the text)
- Kurucz, R. L., & Avrett, E. H. 1981, SAO Special Rep. 391 (In the text)
- Lenz, P., & Breger, M. 2005, CoAst, 146, 53 [NASA ADS] (In the text)
- Marconi, M., & Palla, F. 1998, ApJ, 507, L141 [NASA ADS] [CrossRef]
- Marconi, M., Ripepi, V., Alcaà, J. M., et al. 2000, A&A, 355, L35 [NASA ADS] (In the text)
- Mora, A., Merín, B., Solano, E., et al. 2001, A&A, 378, 116 [NASA ADS] [CrossRef] [EDP Sciences] (In the text)
- Morel, P. 1997, A&A, 124, 597 [NASA ADS] [CrossRef] (In the text)
- Moultaka, J., Ilovaisky, S. A., Prugniel, P., & Soubiran, C. 2004, PASP, 116, 693 [NASA ADS] [CrossRef] (In the text)
- Olsen, E. H. 1983, A&AS, 54, 55 [NASA ADS] (In the text)
- Olsen, E. H. 1996, Priv. Comm. (In the text)
- Palla, F., & Stahler, S. W. 1993, ApJ, 418, 414 [NASA ADS] [CrossRef]
- Pinheiro, F. J. G., Folha, D. F. M., Marconi, M., et al. 2003, A&A, 399, 271 [NASA ADS] [CrossRef] [EDP Sciences] (In the text)
- Ripepi, V., Marconi, M., Bernabei, et al. 2003, A&A, 408, 1047 [NASA ADS] [CrossRef] [EDP Sciences]
- Ripepi, V., Marconi, M., Palla, F., et al. 2006a, Mem. Soc. Astron. It., 77, 317 [NASA ADS]
- Ripepi, V., Bernabei, S., Marconi, M., et al. 2006b, A&A, 449, 335 [NASA ADS] [CrossRef] [EDP Sciences]
- Rodríguez, E., López-González, M. J., Rolland, A., Costa, V., & González-Bedolla, S. F. 2001, A&A, 376, 489 [NASA ADS] [CrossRef] [EDP Sciences] (In the text)
- Rodríguez, E., Costa, V., Handler, G., & García, J. M. 2003, A&A, 399, 253 [NASA ADS] [CrossRef] [EDP Sciences] (In the text)
- Royer, F., Grenier, S., Baylac, M.-O., Gomez, A. E., & Zorec, J. 2002, A&A, 393, 897 [NASA ADS] [CrossRef] [EDP Sciences] (In the text)
- Ruoppo, V., Marconi, M., Marques, J. P. et al. 2007, A&A, 466, 261 [NASA ADS] [CrossRef] [EDP Sciences] (In the text)
- Schmidt-Kaler, T. 1982, in Landolt-Bornstein, Vol2b Group IV (Springer Verlag) (In the text)
- Schlegel, D. J., Finkbeiner, D. P., & Davis, M., & Smalley, B. 1993, A&A, 274, 391 [NASA ADS] (In the text)
- Smalley, B., & Kupka, F. 1997, A&A, 328, 349 [NASA ADS] (In the text)
- Suran, M., Goupil, M., Baglin, A., Lebreton, Y., & Catala, C. 2001, A&A, 372, 233 [NASA ADS] [CrossRef] [EDP Sciences] (In the text)
- Swenson, F. J., Faulkner, J., Rogers, F. J., & Iglesias, C. A. 1994, ApJ, 425, 286 [NASA ADS] [CrossRef]
- Thé, P. S., de Winter, D., & Pérez, M. R. 1994 A&A, 104, 315 (In the text)
- Valenti, J. A., Johns-Krull, C. M., & Linsky, J. L. 2000, ApJS, 129, 399 [NASA ADS] [CrossRef] (In the text)
- Vieira, S. L. A., Corradi, W. J. B., Alencar, S. H. P. et al. 2003, AJ, 126, 297 [NASA ADS] [CrossRef] (In the text)
- Zwintz, K. 2008, ApJ, 673, 1088 [NASA ADS] [CrossRef]
Footnotes
- ... Ori
- Based on data collected with the REM 0.6-m, Loiano 1.5-m, SARA 0.9-m and SNO 1.5-m telescopes.
- ... photometry
- Note that small nightly variations were removed by subtracting for each night the average photometry.
- ...
Loiano
- http://www.bo.astro.it/loiano/index.htm
- ...
REM
- http://www.rem.inaf.it
- ...
- SARA
- http://saraobservatory.org
- ...
- SNO
- http://www.osn.iaa.es
- ...(Hernández et al. 2006)
- Note
that some authors do not report the ``e'' after the spectral classification
as is usually done. We verified that this is not due to a
lack of detection of emission (in H
), but to various circumstances:
e.g., the results by Valenti et al. (2000) and Blondel et al. (2006) come from the UV etc.
- ... code
- http://astro.phys.au.dk/jcd/adipack.n/
- ...

- Given the observed frequencies of V346 Ori, we look for models, into the empirical box of Fig. 9, having
.
As usual, the
is defined as
,
where N is the total number of observed frequencies,
and
are the observed and the theoretical frequencies respectively, and
,
are the corresponding errors. If the program does not find any models with
,
that means that not all frequencies are matched within the errors, it discards one-by-one the non-matched frequencies, computes again the
for the remaining frequencies, and searches again for models with
.
The model with the least value of the
is the best-fit model.
All Tables
Table 1:
uvby
indices obtained for V346 Ori and comparison
stars.
Table 2: Frequencies and amplitudes for V346 Ori calculated with period04 for the two cases, with and without weights (see text).
Table A.1: Log of the observations.
All Figures
| |
Figure 1: Fourier analysis of the differential photometry (TYC-101-317-1)-(HD 287842). See text. |
| Open with DEXTER | |
| In the text | |
![]() |
Figure 2:
Light curve for V346 Ori of the first 20 nights. Note that
|
| Open with DEXTER | |
| In the text | |
![]() |
Figure 3: As in Fig. 2, but for the remaining 16 nights. |
| Open with DEXTER | |
| In the text | |
![]() |
Figure 4: Spectral window (in power). |
| Open with DEXTER | |
| In the text | |
![]() |
Figure 5: Frequency analysis for V346 Ori calculated with period04 adopting the weighting scheme of the data described in the text. The solid line shows the 99.9% significant level, corresponding to 12.6 times the noise level. In each panel, one peak (i.e., the labelled frequency) is selected and removed from the time series and a new spectrum is obtained. Then, all the derived periodicities are fitted simultaneously to refine frequencies, amplitudes, and phases. The analysis of the residuals produces the subsequent periodogram. The bottom figure in the right panel displays the periodogram after prewhitening with all the significant frequencies. |
| Open with DEXTER | |
| In the text | |
![]() |
Figure 6: Selected regions of the normalized V346 Ori spectrum. The black and thin red and blue lines show the data for V346 Ori, for the comparison star HD124675 (A8IV) and the difference between the two spectra, respectively. |
| Open with DEXTER | |
| In the text | |
![]() |
Figure 7:
As in Fig. 6, but in the region of H |
| Open with DEXTER | |
| In the text | |
![]() |
Figure 8:
Zoom of V346 Ori's spectrum in the region of H |
| Open with DEXTER | |
| In the text | |
![]() |
Figure 9:
HR diagram showing PMS evolutionary tracks computed with the CESAM code for the labelled stellar masses (in |
| Open with DEXTER | |
| In the text | |
![]() |
Figure 10: Predicted frequencies as a function of the radial order n. Symbols are connected by a full line in the case of l=0, by a dashed line for l=1 and by a dotted line for l=2. The horizontal lines represent the six most significant frequencies. |
| Open with DEXTER | |
| In the text | |
![]() |
Figure B.1:
Echelle diagram for the model
|
| Open with DEXTER | |
| In the text | |
Copyright ESO 2009
Current usage metrics show cumulative count of Article Views (full-text article views including HTML views, PDF and ePub downloads, according to the available data) and Abstracts Views on Vision4Press platform.
Data correspond to usage on the plateform after 2015. The current usage metrics is available 48-96 hours after online publication and is updated daily on week days.
Initial download of the metrics may take a while.
![\begin{figure}
\par\includegraphics[width=17cm,clip]{09643fig2.ps}
\end{figure}](/articles/aa/full_html/2009/25/aa09643-08/Timg32.png)
![\begin{figure}
\par\includegraphics[width=18cm,clip]{09643fig3.ps}
\end{figure}](/articles/aa/full_html/2009/25/aa09643-08/Timg33.png)
![\begin{figure}
\par\includegraphics[height=6cm,width=6cm,clip]{09643fig4.ps}
\end{figure}](/articles/aa/full_html/2009/25/aa09643-08/Timg56.png)
![\begin{figure}
\par\includegraphics[width=18cm,clip]{09643fig5.ps}
\end{figure}](/articles/aa/full_html/2009/25/aa09643-08/Timg57.png)
![\begin{figure}
\par\includegraphics[width=15cm,clip]{09643fig6.ps}
\end{figure}](/articles/aa/full_html/2009/25/aa09643-08/Timg60.png)

![\begin{figure}
\par\includegraphics[height=6.8cm,clip]{09643fig7.ps}
\end{figure}](/articles/aa/full_html/2009/25/aa09643-08/Timg79.png)
![\begin{figure}
\par\includegraphics[width=7.8cm,clip]{09643fig8.ps}
\end{figure}](/articles/aa/full_html/2009/25/aa09643-08/Timg80.png)
![\begin{figure}
\par\includegraphics[width=8.3cm,clip]{09643fig9.ps}
\end{figure}](/articles/aa/full_html/2009/25/aa09643-08/Timg81.png)
![\begin{figure}
\par\includegraphics[width=8.5cm,clip]{09643fig10.ps}
\end{figure}](/articles/aa/full_html/2009/25/aa09643-08/Timg82.png)
![\begin{figure}
\par\includegraphics[height=10cm,clip]{09643fig11.ps}
\end{figure}](/articles/aa/full_html/2009/25/aa09643-08/Timg104.png)