Issue |
A&A
Volume 501, Number 1, July I 2009
|
|
---|---|---|
Page(s) | 103 - 118 | |
Section | Extragalactic astronomy | |
DOI | https://doi.org/10.1051/0004-6361/200810618 | |
Published online | 29 April 2009 |
A deep XMM-Newton serendipitous survey of a middle-latitude area
II. New deeper X-ray and optical observations![[*]](/icons/foot_motif.png)
G. Novara1,2 - N. La Palombara1 - R. P. Mignani3 - E. Hatziminaoglou4 - M. Schirmer5,6 - A. De Luca1,2,7 - P. A. Caraveo1,2
1 - INAF-IASF, Istituto di Astrofisica Spaziale e Fisica Cosmica ``G.Occhialini'', via Bassini 15, 20133 Milano, Italy
2 - Università di Pavia, Dipartimento di Fisica Teorica e Nucleare, via Ugo Bassi 6, 27100 Pavia, Italy
3 - Mullard Space Science Laboratory, University College London, Holmbury St Mary, Dorking, RH56NT, Dorking, UK
4 - European Southern Observatory, Karl Schwarzschild Str.2, 85748 Garching, Germany
5 - Isaac Newton Group of Telescopes, Apartado de correos 321, 38700 Santa Cruz de La Palma Tenerife, Spain
6 - Argelander-Institut für Astronomie, Auf dem Hügel 71, 53121 Bonn, Germany
7 - IUSS - Istituto Universitario di Studi Superiori, Viale Lungo Ticino Sforza 56, 27100 Pavia, Italy
Received 16 July 2008 / Accepted 21 March 2009
Abstract
Context. The radio-quiet neutron star 1E1207.4-5209 has been the target of several XMM-Newton observations, with a total exposure of 350 ks. The source is located at intermediate galactic latitude (
), i.e. in a sky region with an extremely interesting mix of both galactic and extra-galactic X-ray sources.
Aims. The aim of our work is to investigate the properties of both the intermediate-latitude galactic and extra-galactic X-ray source populations in the 1E1207.4-5209 field.
Methods. We performed a coherent analysis of the whole XMM-Newton observation data set to build a catalogue of serendipitous X-ray sources detected with high confidence and to derive information on the source flux, spectra, and time variability. In addition, we performed a complete multi-band (UBVRI) optical coverage of the field with the Wide Field Imager (WFI) of the ESO/MPG 2.2 m telescope (La Silla) to search for candidate optical counterparts to the X-ray sources, down to a V-band limiting magnitude of 24.5.
Results. From the combined observation data set we detected a total of 144 serendipitous X-ray sources. We find evidence that the source
distribution may be different from those computed either in the Galactic plane or at high galactic latitudes. Thanks to the refined X-ray positions and to the WFI observations, we found candidate optical counterparts for most of the X-ray sources in our compilation. For most of the brightest ones we proposed a likely classification based on both the X-ray spectra and the optical colours.
Conclusions. Our results indicate that at intermediate galactic latitude the X-ray source population is dominated by the extra-galactic component, but with a significant contribution from the galactic component in the soft energy band, below 2 keV.
Key words: galaxies: Seyfert - X-rays: general
1 Introduction
Since the launch of XMM-Newton in 1999, the radio-quiet neutron star 1E1207.4-5209 in the supernova remnant (SNR) PKS 1209-51 has been the target of several observations, for a total of 450 ks scheduled time. Therefore, observations of this field make up one of the deepest pencil-beam X-ray surveys obtained at intermediate galactic latitude (
). This gives the unique opportunity to sample, in the same survey, both the galactic and extra-galactic X-ray source population. Thanks to the wide energy range, high throughput, and good spectral resolution of the European Photon Imaging Camera (EPIC) (Turner et al. 2001), this data set allows us to investigate with high sensitivity both the distant population of quasi-stellar objects (QSOs), active galactic nuclei (AGNs), normal galaxies, and the galactic population of stars and X-ray binaries (XRBs).
The two longest XMM-Newton observations, performed in August 2002 and corresponding to a total of 260 ks of net integration time, were used to study the pulsations and the absorption features of the neutron star 1E1207.4-5209 (Bignami et al. 2003; De Luca et al. 2004). As a by-product, we used the data of the two Metal Oxide Semi-conductor (MOS) cameras to investigate the population of the faint serendipitous sources detected in the field. This yielded the detection of 196 serendipitous X-ray sources (Novara et al. 2006, hereafter Paper I), which were characterised by a very interesting
distribution. On the one hand, in the 0.5-2 keV energy range it shows an excess with respect to both the Galactic plane and the high-latitude distributions, which suggests a mixed population composed of both galactic and extra-galactic sources. On the other hand, in the 2-10 keV energy band the
distribution is
comparable to that derived at high galactic latitudes, thus suggesting that it is dominated by extra-galactic sources. The cross-match of the list of serendipitous X-ray sources with version 2.3 of the Guide Star Catalogue (GSC 2.3) (Lasker et al. 2008) provided a candidate optical counterpart for about half of them, down to limiting magnitudes
and
.
For the 24 brightest sources it was possible to obtain a spectral characterisation, and an optical identification was proposed for
80% of them. Finally, the detailed spectral investigation of one of the brightest sources, characterised by a highly absorbed spectrum and an evident Fe emission line, and its optical identification with the galaxy ESO 217-G29, led to it being classified as a new Seyfert-2 galaxy.
These results prompted us to extend our analysis to the whole sample of the XMM-Newton observations of the 1E1207.4-5209 field. In addition to the observations published in Bignami et al. (2003) and De Luca et al. (2004), we thus considered also the first observation of the field, performed in December 2001 (Mereghetti et al. 2002), and the sequence of the seven observations, performed during a 40 day window between June and July 2005 (Woods et al. 2007). In this way we almost doubled the total integration time and significantly increased the count statistics. We used this enlarged data set to refine the study of the serendipitous X-ray source population. We also
took advantage of the improvements of the XMM-Newton data processing pipeline, which now minimises the number of spurious detections and provides improved source position errors (Watson et al. 2009). Moreover, we performed dedicated follow-up optical observations with the Wide Field Imager (WFI) of the ESO/MPG 2.2 m telescope down to
,
i.e. with a factor of
10 improvement in flux limit compared to the GSC 2.3 used in Paper I.
The paper is organised as follows: the X-ray observations and data reduction are described in Sect. 2, while the serendipitous source catalogue and the analysis of its bright subsample are presented and discussed in Sects. 3 and 4, respectively. The optical observations and data analysis are described in Sect. 5 and the cross-correlations of the X-ray and optical catalogues is described in Sect. 6. The optical/X-ray classification of the brightest sources, as well as of the peculiar Seyfert-2 galaxy, are discussed in Sect. 7.
2 X-ray observations and data processing
2.1 Observations
1E1207.4-5209 was observed with XMM-Newton in ten different pointings from 2001 December 23 to 2005 July 31, for a net exposure time of 346 ks. All the three EPIC focal plane cameras (Strüder et al. 2001; Turner et al. 2001) were active during these pointings: the two MOS cameras were operated in standard Full Frame mode, in order to cover the whole 30
field-of-view; the pn camera was operated in Small Window mode, where only the on-target CCD is read-out, in order to time-tag the individual photons and provide accurate arrival time information. Since we are interested in serendipitous X-ray sources only, in the following analyses we consider only data taken with the MOS cameras.
In Table 1 we report the good time intervals (GTI) of the two MOS cameras for each of the ten observations, i.e. the ``effective'' exposure times computed after the soft-proton rejection (see next subsection). In the seven 2005 observations the CCD number 6 of the MOS1 camera was not active, since it was switched off in March 2005 due to a micrometeorite impact.
For the second and the third observations of Table 1 both MOS cameras were used with the thin filter, while the medium filter was used for all the other observations.
2.2 Data processing
For each pointing we obtained two data sets (i.e. one for each MOS camera), which we processed independently through the standard XMM-Newton Science Analysis Software (SAS) v.7.1.0.
In the first step, the XMM-Newton SAS tasks emproc was used to linearize the MOS event files. In the second step, event files were cleaned up for the effects of soft protons flares. We filtered out time intervals affected by high instrument background induced by flares of soft protons (with energies less than a few hundred keV) hitting the detector surface. In order to avoid contributions from genuine X-ray source variability, we selected only single and double
events (PATTERN 4) with energies greater than 10 keV and recorded in the peripheral CCDs (CCD = 2-7). Then, we set a count-rate threshold for good time intervals (GTI) at 0.22 cts s-1. By selecting only events within GTIs we finally obtained two ``clean'' event lists for each MOS data set, whose ``effective'' exposure times are reported in Table 1.
Table 1: Log of the XMM-Newton observations of the 1E1207.4-5209 field with the corresponding net good time interval (GTI) for the two EPIC/ MOS cameras.
2.3 Source detection
The EPIC images of the 1E1207.4-5209 field show the presence of several faint X-ray sources. Therefore, we used a source detection algorithm in order to produce a catalogue of the serendipitous X-ray sources in the field.
We decided to perform the source detection in three different energy bands: the two standard coarse soft/hard energy bands 0.5-2 keV and 2-10 keV, and the total energy band 0.3-8 keV. First of all, for each observation in Table 1 we used the cleaned event file to produce MOS1 and MOS2 images in the three selected energy bands together with the associated exposure maps, and hence accounted for variations in spatial quantum efficiency (QE), mirror vignetting and effective field of view.
Although it would be interesting to look for variability on short time scales, we did not run the source detection for each of the ten observations in Table 1. Indeed, with the exceptions of the 2002 observations and the fourth 2005 observation, all observations have too short an integration time to allow for a statistically significant time variability analysis. As seen from Table 1, we thus divided the full observation set in two time windows: the first spanning from 2001 December 23 to 2002 August 6 (three observations), the second spanning from 2005 June 22 to 2005 July 31 (seven observations). We then ran the source detection on each of these two observation subsets separately, in order to search for long term source variability (Sect. 4.2).
We merged the cleaned event files of the 2001/2002 and 2005 observation subsets separately to obtain, for each of them, three co-added images in the three selected energy bands. Since different observations correspond to different pointings, which have different aspect solutions, we corrected, for each of the three energy bands, the coordinates measured on the single observation MOS1 and MOS2 exposure maps through a relative coordinate transformation. To this aim, for each of the two time windows we selected the image with the longest exposure time and we took it as a reference to register all MOS1 and MOS2 exposure maps. We used the IRAF task wregister to compute the coordinate transformation and apply the frame registration. In this way, for each energy band we merged the exposure maps of each observation and MOS camera, thus obtaining total exposure maps corresponding to the co-added images built from the merged event file. For each observation subset, we then used three co-added images, one for each defined energy band, and the corresponding total exposure maps as input to run the source detection. Finally, we applied the same procedure to combine all the ten observations Table 1, so as to maximize the signal-to-noise (S/N) ratio. Below, we give details about the procedure used to run the source detection, for each energy band, in each of the three final data sets: those corresponding to the 2001/2002 and the 2005 observations (Table 1) and that corresponding to the full observation set.
- 1.
- For each data set, and for each energy band, we run the SAS task eboxdetect in local mode to create a preliminary source list. Sources were identified by applying the standard minimum detection likelihood criterion, i.e. we validated only candidate sources with detection likelihood -ln P
8.5 (Novara et al. 2006), where P is the probability of a spurious detection due to a Poissonian random fluctuation of the background. This corresponds to a probability P= 2
10-4 that the source count number in a given energy band originates from a background fluctuation. This implies a contamination of at most 1 spurious source per energy band.
- 2.
- Then, the task esplinemap was run to remove all the validated sources from the original image and to create a background map by fitting the so called cheesed image with a cubic spline.
- 3.
- For each data set, and for each energy band, the task eboxdetect was run again in map mode, using as a reference the computed background map. For each set, the likelihood values from each individual energy band were then added and transformed to equivalent single band detection likelihoods, and a threshold value of 8.5 was applied to accept or reject a detected source.
2.4 Source list
At the end of the source detection process we thus produced, for each of the three observation sets, a master list including only sources with detection likelihood -ln P > 8.5 in at least one of the three energy bands and manually screened to reject residual false detections. For each source, the master list provides various parameters including the detector and sky coordinates, the effective exposure time and, for each of the three energy bands
(soft/hard/total), the total counts, count-rate and errors, the S/N ratio, and the detection likelihood. The master list does not include quantitative information on the source extension, which can be used for a preliminary morphological classification (point-like or extended). This is because the significant distortion of the PSF at large off-axis angles (where most serendipitous sources are detected), together with the coarse spatial resolution of the MOS cameras (1
1/pixel), would make the determination of the source extension uncertain. In order to estimate a sky coordinate uncertainty for all the detected sources, we recomputed their positions using the task emldetect, which performs maximum likelihood fits to the source spatial count distribution. In this case, we fixed the threshold values of the equivalent single band detection likelihood (parameter mlmin) to 30, in order to select only high-confidence sources.
Our master lists contain a total of 132 sources for the 2001/2002 observation subset, 107 sources for the 2005 subset, and 144 sources for the whole observation set. Although we performed the source detection using the same tasks, the master list presented in Paper I contained 196 sources for the 2002 observations only. The difference between the number of sources in the two lists is mainly due to the improvement of the task eboxdetect in the SAS v.7.1.0, which was used to perform the source detection. The task now allows for a more accurate analysis in regions of diffuse emission, thus reducing the detection of spurious sources. Moreover, we now applied tighter selection criteria in order to qualify an X-ray source as real.
We note that in the field of 1E1207.4-5209 the Incremental Second XMM-Newton Serendipitous Source Catalogue
(2XMMi, Watson et al. 2008,2009) reports 344 sources against the 144 found by our source detection procedure. We attribute this discrepancy mainly to the difference in the threshold value of the detection likelihood used in our procedure and in the
procedure used to produce the 2XMMi catalogue. In our case, the detection likelihood is set to 8.5 for the likemin parameter of the SAS task eboxdetect and to 30 for the mlmin parameter of the SAS task emldetect, while for the generation of the 2XMMi catalogue these parameters were set to 5 and 6, respectively
. In
other words, we applied much tighter criteria to the source selection, thus rejecting several low-confidence or spurious sources which are, instead, included in the 2XMMi catalogue. This is proven by Fig. 1, where the sources detected by our procedure are compared with the 2XMMi ones. As is apparent, while all our sources have a 2XMMi counterpart, the vast majority of the additional 2XMMi sources are either very faint, or detected at the edge of the field-of-view, or in region of diffuse X-ray emission. Therefore, it is quite likely that a large fraction of these sources are actually spurious.
![]() |
Figure 1: Left: distribution of the 144 X-ray sources detected in the EPIC/ MOS image of 1E1207.4-5209 in the energy range 0.3-8 keV. Right: distribution of the 344 X-ray sources listed in the 2XMMi catalogue in the same sky region. |
Open with DEXTER |
In order to perform a detailed statistical analysis we also computed, for all the observation sets, the number of sources detected in each of the three energy bands. We summarised these numbers in Table 2 where we also reported their relative fraction with respect to the total number of sources detected in at least one energy band. We note that almost all sources are detected in the total energy band (0.3-8 keV), with a good fraction of them also detected in the soft energy band (0.5-2 keV). The number of sources detected in each energy band is different across the three observation sets, which is an effect of the uneven effective exposure times. This is evident in the case of the 2005 observation subset (see Table 1).
Table 2: Number of X-ray sources detected in each energy band and relative fraction for the three observation sets defined in Sect. 2.3.
3 The serendipitous X-ray source catalogue
3.1 Catalogue description
We used the source master list obtained from the whole observation set to build a detailed catalogue of serendipitous X-ray sources detected in the 1E1207.4-5209 field. The complete serendipitous source catalogue is made available in electronic form through the Vizier database server. Each source was assigned a unique identifier using the recommended XMM-Newton designations for serendipitous sources. The catalogue information include most of the parameters already included in the master list, i.e. sky coordinates and associated uncertainty, effective exposure time, total counts, count-rate and errors, S/N ratio, and detection likelihood. In addition, we provided information on the source spectral parameters and the computed fluxes in the soft/hard/total energy bands.
Since for most sources the measured counts are too few to produce significant X-ray spectra, we used the Hardness Ratio (HR) to provide qualitative spectral information. The HR was computed from the measured count-rate (CR) in the hard (2-10 keV) and soft (0.5-2 keV) energy bands and is defined according to the equation:
![]() |
(1) |
where CR(2-10) and CR(0.5-2) are the count-rates in the hard and soft energy bands, respectively. The source flux in the soft/hard/total energy bands was computed from the measured count-rates. Following the procedure used by Baldi et al. (2002), the count-rate-to-flux conversion factors (CF) were computed for each of the MOS cameras individually using their updated response matrices, combined with the effective exposure times of each pointing. As a model spectrum we assumed an absorbed power-law with photon index



In the following sub-section, we report basic statistics on the more important catalogue parameters, like the source S/N ratio, the total CR, and the HR relative to the whole observation set. In the last sub-section we also present the
distribution built from the sources in our serendipitous catalogue.
3.2 Catalogue statistics
The histogram of the source signal-to-noise (S/N) ratio distribution is shown in Fig. 2 in the soft, hard, and total energy bands. In the total energy band (0.3-8 keV) the distribution peaks at S/N = 4-6 (Fig. 2, top). However, thanks to the long effective integration time and to the increased count statistics, a large fraction (40%) of sources are also detected with S/N
10. Very few sources are detected with S/N
20. In the hard energy band (2-10 keV) sources are generally detected with a quite low S/N ratio, with the peak of the distribution at 4 (Fig. 2, middle) and with only
20% of the sources detected with S/N
10. On the other hand, sources are detected with the best S/N ratio in the soft energy band (0.5-2 keV), with the distribution peaking at 6-8 (Fig. 2, bottom), and with a much larger fraction of sources (
35%) detected with S/N
10. This is most likely ascribed to the better sensitivity of the MOS cameras at low energies.
![]() |
Figure 2: Histogram of the S/N ratio distribution in the energy bands 0.3-8 keV, 2-10 keV, and 0.5-2 keV ( top to bottom) for the serendipitous X-ray sources. |
Open with DEXTER |
In Fig. 3 we show, as a reference, the correlation between the source detection likelihood -lnP and the source S/N ratio in the total energy band 0.3-8 keV. As expected, the detection likelihood increases with the S/N ratio, without any large scatter or change of slope at the two extremes of the distribution.
![]() |
Figure 3: Correlation between the detection likelihood and the S/N ratio, both computed in the 0.3-8 keV energy band, for the serendipitous sources. The dashed line corresponds to the detection likelihood threshold (-lnP = 8.5) in the 0.3-8 keV band. Sources below this line are included because they are above the detection threshold in at least one of the other two energy bands (see Sect. 2.4). |
Open with DEXTER |
The histograms of the source count-rate (CR) distribution for the two coarse soft (0.5-2 keV) and hard (2-10 keV) energy bands are shown in Fig. 4. The peak of the CR distribution is at 6.31 cts s-1 ( = -3.2) and 2.81 cts s-1 (
= -3.55) in the soft and hard energy bands, respectively. As seen from the histograms, only a few X-ray sources have a relatively high count-rate (
), and thus lower
statistical errors, in either of the two energy bands. For this reason, only these sources with count-rate variations measured over the 2001/2002 and 2005 observation subsets can be considered indicative of a statistically significant long term variability
(Sect. 4.2).
![]() |
Figure 4: Histogram of the source count-rate distribution in the 2-10 keV and 0.5-2 keV energy bands ( top and bottom, respectively). |
Open with DEXTER |
The histogram of the HR distribution is shown in Fig. 5. Most of the sources have -0.5
HR
0 and a large fraction has
.
This suggests that a significant fraction of the X-ray source population is characterised by
rather soft spectra, with no detection in the 2-10 keV energy band. On the other hand, the histogram shows that only few sources have very hard spectra (
).
![]() |
Figure 5: Histogram of the HR distribution for the serendipitous X-ray sources detected in the 1E1207.4-5209 field. |
Open with DEXTER |
3.3 Flux limit and sky coverage
The actual sky coverage in the various energy ranges was computed by applying the procedure described in Baldi et al. (2002), which is consistent with the standard method used in the XMM-Newton Serendipitous Survey (Carrera et al. 2007; Mateos et al. 2008). For each energy band we used the exposure maps of each of the two MOS cameras and the background map of the co-added image, as derived in Sect. 2.3, to compute the flux limit map of the whole observation set.
To this aim, we applied the count-rate-to-flux conversion factors (CF) obtained with the absorbed power-law spectrum described in Sect. 3.1. This gives, for each position on the sky covered by the MOS observations, the flux that a source must have in order to be detected with a minimum probability P = 2
10-4 (Novara et al. 2006; Baldi et al. 2002). We used the flux limit maps to derive the total sky coverage shown in Fig. 6. This shows that our observations cover a sky
area of
0.15 deg2, down to X-ray fluxes of
10-15 and 8
10-15 erg cm-2 s-1 for the energy ranges 0.5-2 and 2-10 keV, respectively.
![]() |
Figure 6: Sky coverage of the XMM-Newton observations, in the soft energy range 0.5-2 keV ( solid line) and in the hard energy range 2-10 keV ( dashed line). |
Open with DEXTER |
3.4 Log N-log S distribution
We followed the procedure used by Baldi et al. (2002) to compute the
distribution built from our serendipitous X-ray sources, and we refer to their paper for further details. Figure 7 shows the cumulative
distribution (asterisks) relative to the soft (0.5-2 keV) and hard (2-10 keV) energy bands (top and bottom panel, respectively). In the soft band the flux limit is
10-15 erg cm-2 s-1, corresponding to a maximum source density of
sources deg-2, while in the hard energy band it is
10-15 erg cm-2 s-1, corresponding to a source density of
sources deg-2. Both the soft and hard distributions feature an evident change of slope at
10-15 and
10-14 erg cm-2 s-1, respectively. We note that a similar turn-over was already observed by Ebisawa et al. (2005) in the Chandra observation of the galactic plane, and also in the the XMM-Newton Serendipitous Survey (Carrera et al. 2007; Mateos et al. 2008), even if in the latter case the flux breaks are at
10-14 erg cm-2 s-1 in both
energy bands. With respect to the results reported by Mateos et al. (2008), we obtain a comparable flux limit in the soft energy band, while in the hard band we obtain a much lower limit. Moreover, in both energy ranges our cumulative source density is higher, since they obtain
and
sources deg-2 in the soft and hard energy ranges, respectively. We note that we used a unique power-law spectral index
= 1.7 to
calculate our CFs in the two energy ranges, while Mateos et al. (2008) used spectral indexes of 1.9 and 1.6 below and above 2 keV, respectively. However, they showed that differences
0.3 in the spectral index can imply variations in the
of only 1-2% and of
9% in the hard and soft bands, respectively. Therefore, we assume
that our results are not biased by the used spectral parameters
For comparison, in Fig. 7 we superimposed on our data the lower and upper limits of the
computed by Baldi et al. (2002) at high galactic latitude (
). We note that, with respect to our work, they obtained the upper limit
by applying the same detection threshold (
10-4) but a larger extraction radius, while the lower limit
was obtained with the same extraction radius but a more constraining threshold value (
10-5). In
addition, we overplotted the
distributions computed from Chandra observations of the galactic plane (Ebisawa et al. 2005), as well as their 90% confidence limits.
![]() |
Figure 7:
Cumulative
|
Open with DEXTER |
In the soft energy band our
distribution is well above the high-latitude upper limit of Baldi et al. (2002). This means that in our serendipitous survey we detected a large sample of galactic sources which are missed not only at higher latitudes but also in the Galactic plane, due to the high amount of interstellar absorption. However, we note that our
distribution flattens at low X-ray fluxes with respect to, e.g. that shown in
Paper I, with a clear break at
10-15 erg cm-2 s-1. This trend is due to the tighter criteria (see Sect. 2.4) that we adopted to validate the detection of serendipitous sources, together with the improved SAS detection algorithm which minimises the number of spurious sources detected in regions of diffuse emission, like those associated with the SNR PKS 1209-51. This results in a lower number of sources detected in the soft energy band, which is now 114 with respect to the 135 reported in Paper I. Indeed, we identified the missing sources with the faintest ones reported in Paper I, which explains the reduced number of sources at the low flux end of the new
distribution. Our
distribution is also well above the Galactic plane
distribution (the red points in Fig. 7), which means that we detected a significant fraction of extra-galactic sources which are missed at low galactic latitude.
In the hard energy band, our
distribution is very close to that observed in the Galactic plane. With respect to the high latitude limits, our distribution shows a slight excess in the flux range 1-2
10-14 erg cm-2 s-1, possibly due to the contribution of a fraction of Galactic sources which are missed at higher latitudes. On the other hand, the faintest end of our distribution is below the high latitude lower limit. We attribute this
result to the tight criteria that we used to validate the detected source, which implies the rejection of the faintest objects.
4 The bright source sample
4.1 Spectral analysis
Although the HR provides qualitative information on the source X-ray spectra, it is not a robust spectral classification. As we mentioned in Paper I, at least 500 total MOS counts (i.e. MOS1 + MOS2 events) over the whole detector energy range are
required to discriminate thermal X-ray spectra from non-thermal ones. Following this criterion, we selected the 40 brightest sources (Fig. 8) in our serendipitous source catalogue which total >500 counts. This bright source sample obviously includes the 24 brightest sources similarly selected in Paper I. For each of the two MOS cameras we extracted the source event list using extraction radii of 20
-35
.
Background regions were selected near the source positions, with a radius three times that used for the source extraction. All spectra extracted from the event lists were rebinned in order to have a minimum of 30 counts per energy bin, which is required to precisely apply the
minimization fitting technique. For each of the two MOS spectra we generated ad hoc response matrices and ancillary files using the SAS tasks rmfgen and arfgen with both thermal and non-thermal spectral models. We took into account the different size of the source and background extraction areas and renormalized the background count-rate, then we
simultaneously fitted the two spectra of each source, forcing common parameters and allowing only for a cross-normalization factor to account for the different instrument efficiency. We
considered four spectral models: power-law, bremsstrahlung, black-body, and mekal. In all cases, the hydrogen column density
was left as a free parameter. For each emission model we computed the 90% confidence level error on both the
and on the spectral parameters, i.e. the plasma temperature or the photon-index. As seen from Table 5, we found that 14 sources were best fitted by a power-law model (Fig. 9), 2 by a bremsstrahlung model, and 3 by a mekal model (Fig. 10). For 16 of the remaining 20 sources, at least two different models provided an acceptable fit with a comparable value of the
.
For 5 sources it was not possible to obtain acceptable results with single-component spectral model. This is, e.g. the case for source #239 (XMMU J121029.0-522148), the proposed Seyfert-2 galaxy identified in Paper I, which is characterised by a complex spectral model as discussed
in Sect. 4.3.
![]() |
Figure 8: Processed XMM-Newton EPIC/MOS 0.3-8 keV band image of the 1E1207.4-5209 field with the position of the 40 brightest serendipitous sources over plotted. Sources are labelled according to the numbering used in Table 5. Circles are drawn only to highlight the X-ray source positions and their size do not correspond to their actual positional errors. |
Open with DEXTER |
![]() |
Figure 9: Unbinned non-thermal spectrum of source #338 (XMMU J120942.1-522458) with the best-fit power-law model. |
Open with DEXTER |
4.2 Time variability
In order to investigate possible long term variability between exposures we selected from our bright source sample 33 X-ray sources that we detected in both the 2001/2002 and 2005 observation subsets (see Table 1) and in the total (0.3-8 keV) energy band,
chosen as a reference. For each source we computed the count-rate variation
between the two observation subsets. Figure 11 (top) shows the relative CR variation with respect to the first observation subset plotted as a function of the source S/N ratio. As seen, a few sources show non-zero long term variability which is mostly within 30% but can be up to
200%. Figure 11 (bottom) shows the absolute CR variation
divided by its associated error
plotted as a function of the source S/N ratio. As seen, 10 X-ray sources show evidence of variability at more than 3
.
For 6 of them, i.e. source #326 (XMMU J121034.6-522457), #404 (XMMU J121017.5-522706), #410 (XMMU J120921.0-522700), #471 (XMMU J121057.3-522905), #480 (XMMU J120908.1-522918), and #520 (XMMU J121101.5-523030), the variability is at the
5
level. We thus regards these
sources as likely transients. Among them, source #326 (XMMU J121034.6-522457) features the strongest variability (
200%,
7
), followed by source #410 (XMMU J120921.0-522700) whose variability is of
100% but is significant only at the
5
level. On the other hand, sources #480 (XMMU J120908.1-522918) and #520 (XMMU J121101.5-523030) feature a variability of only
15-25%, although detected with the highest significance (
). This is obviously due to
the fact that both sources were detected with the highest S/N ratio (
30).
![]() |
Figure 10: Unbinned thermal spectrum of source #241 (XMMU J120858.8-522129) with the best-fit thermal mekal model. |
Open with DEXTER |
![]() |
Figure 11:
Top: relative CR variation with respect to the first observation subset plotted as a function of the source S/N ratio (filled triangles). Bottom: absolute CR variation
|
Open with DEXTER |
For all sources in our bright sample, we searched for variability on a shorter time scale, including within exposures, through a light-curve analysis with optimised time binning (1, 5, or 10 ks) and using as a reference only CR measurements relative to the observations with
the longest exposure times, i.e. the second and the third observation of the 2002 data-set and the fourth observation of the 2005 data set (Table 1). Of the 6 X-ray sources with 5
possible long term variability, our light-curve analysis does not show evidence of short term variability while it confirms the long term one for all sources but not for source #520 (XMMU J121101.5-523030). This result is not surprising since this source
is the one with the lowest relative variation (
25%, see Fig. 11 (top)), which is thus more difficult to recognise if spread on a shorter time scale. None of the remaining 4 X-ray sources with possible long term variability (
3-5
)
shows any evidence of short term variability.
For the persistent sources (long term variability
), we confirm flux variability on time-scales of a few hundred seconds for source #158 (XMMU J121018.4-521911) and of
10 ks for source #338 (XMMU J120942.1-522458), which correspond to source #72 and #183 of Paper I, respectively. For the remaining sources, we did not find evidence of significant variability on any time scale.
Finally, we also looked for possible periodic time variability. Unfortunately, in this case the low count statistics prevented the detection of any periodic signal at a reasonable significance level.
4.3 The Seyfert-2 galaxy ESO 217-G29
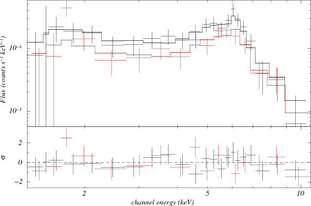
Source #239 (XMMU J121029.0-522148) was originally identified as a new Seyfert galaxy in Paper I (source #127), due to its X-ray spectrum and to its positional coincidence with the galaxy ESO 217-G29, a bright (R = 14.93) barred spiral with a spectroscopic redshift of 0.032 (Visvanathan & van den Bergh 1992) also detected in the Digitised Sky Survey images. From the merged image (see Sect. 2.3) we have now obtained a total of 821 counts in the energy range 0.3-8 keV for source #239, which is 38% higher with respect to that of the data set used in Paper I. For this reason, we repeated the source spectral analysis in order to achieve a more accurate characterisation of the X-ray spectrum. The spectrum of the source between 1 and 12 keV is complex and cannot be fitted by a single-component model. We thus used the AGN unification model of Antonucci (1993) and Mushotzky et al. (1993)
where








For both the MOS1 and MOS2 spectra we performed the spectral fitting both fixing the redshift z to the literature value of 0.032 and leaving it as a free parameter. In the first case (Fig. 12), the fit yields a
(33 d.o.f.) but it does not satisfactorily account for the Fe line since the fitted centroid energy of the line is 6.2 keV instead of 6 keV, as actually measured in the unfitted spectrum. Furthermore, the fitted line is not significant with respect to the model continuum. The fit yields an absorption associated with the dust torus (
)
of
71.91
1022 cm-2, slightly lower than the value reported in Paper I. In the second case (Fig. 13), the fit also yields a
(32 d.o.f.) with a best-fit redshift value z =
0.042+0.038-0.032 which is between the value reported in Paper I (z = 0.057) and the literature one of 0.032. The fit with the free z better accounts for the Fe line whose fitted profile is now significant at the 90% confidence level, with a fitted centroid energy of
6.0 keV. The intrinsic absorption associated to the dust torus (
)
is
72.16
1022 cm-2, very similar to the previous case. All best-fit parameters for the two cases are summarised in the Table 3. The 2-10 keV unabsorbed flux (calculated with XSPEC) of the primary nuclear component is
6.59
+2.13-1.23
10-13 erg cm-2 s-1 and the X-ray luminosity, computed for a redshift of 0.032, is 2.75
+0.89-0.51
1042 erg s-1.
![]() |
Figure 12:
(Upper panel) The 1.2-12 keV unbinned spectrum of source #239 (XMMU J121029.0-522148) identified with the Seyfert-2 galaxy ESO 217-G29. The fit was performed using the AGN unification model of Antonucci (1993) and Mushotzky et al. (1993) with a fixed redshift of z = 0.032. Spectral fits were computed for both the MOS1 and MOS2 data (black and red, respectively). (Lower panel) Data-model residuals are shown in units of |
Open with DEXTER |
![]() |
Figure 13: Same as Fig. 12 but with the best-fit redshift value of z = 0.042. |
Open with DEXTER |
5 Optical observations
5.1 Observation description
In order to search for the optical counterparts of the X-ray sources, we performed follow-up observations (Fig. 14) with the WFI mounted at the 2.2 m ESO/MPG telescope at the La Silla observatory (Chile). The WFI is a wide field mosaic camera, composed of eight 2048
4096 pixel CCDs, with a scale of 0
238/pixel and a full field of view of 33
7
32
7, which well matches that of the EPIC/MOS cameras. Observations in the U, B, V, R, and I filters were performed in Service Mode between March 2005 and April 2006 (see Table 4). Unfortunately, scheduling problems prevented observations being executed during the same run. To compensate for the
inter chip gaps, pointings were split in sequences of five dithered exposures with shifts of 35
and 21
in right ascension and declination, respectively. The target field was always observed close to the zenith and nearly always under sub-arcsecond seeing conditions, as measured by the La Silla DIMM seeing monitor.
Table 3: Best-fit parameters for source #239 (XMMU J121029.0-522148), for the optical redshift z = 0.032 and for its best-fit value z = 0.042.
![]() |
Figure 14:
Composite VRI image of the 1E1207.4-5209 field (34 |
Open with DEXTER |
Table 4: Summary of the WFI optical observations performed by the ESO/MPG 2.2 m telescope.
5.2 Data reduction and calibration
The data reduction of the WFI data was performed with the THELI pipeline (Erben et al. 2005) which was also used for the reduction of the WFI data of La Palombara et al. (2006). Since we followed the same procedures, we refer to the paper of La Palombara et al. (2006) for a more detailed description of the data reduction. Briefly, for each band the individual images were de-biased, flat-fielded, and corrected for the fringing. After the chip-by-chip astrometric calibration (average rms
)
computed using a number of well-suited (i.e., bright but not saturated and not detected close to the chip edges) reference stars
selected from the USNO-B1.0 catalogue (Monet et al. 2003), single frames were co-added using a weighted mean to reject cosmic ray hits. A flux-renormalisation to the same relative
photometric zero-point was applied using the exposure maps produced by the pipeline to account for the uneven exposure produced by the dithering. Since standard star observations were not acquired for all nights and for all bands, we used default WFI zero-points
for the photometric calibration, namely 21.96, 24.53, 24.12, 24.43 and 23.37 (in Vega magnitudes) for the U, B, V, R, and I filters, respectively. A deeper image was then
constructed by registering the individual co-added images in the single bands, which was used as a reference for the source detection.
5.3 Source detection
The source extraction was performed on the final co-added single band images by running the SExtractor software (Bertin & Arnouts 1996). The source detection was performed after masking the region around the very bright star Cen, a B3V star (V=3.9) that was saturated on all WFI images (Fig. 14). This was done to avoid including spurious detections produced by the saturation spikes and to filter out objects whose photometry is polluted by the bright star
halo. The masking was applied on the weighted images and, due to the different brightness of the star in the different bands and to the different integration time, the size of the masked region was tailored for each image. The extracted catalogues were checked against the images and the counterparts were visually inspected to make sure that the spurious detections were minimal (less than
1%). Single band optical catalogues were then matched using a matching radius of 0
2, i.e. equal to the rms of our astrometric solution, to produce the final WFI colour catalogue. The catalogue includes a total of 64 910 sources with at least a detection in one of the five bands (UBVRI). Of these, only 15201 have been detected in all bands. For each filter, the limiting magnitude of the colour catalogue was defined as the magnitude of the object fainter than the remaining 99%. This corresponds to U-to-I limiting
magnitudes of 23.25, 24.72, 24.39, 23.97 and 22.72.
5.4 The optical/NIR catalogue
To extend the colour coverage, required for a colour-based classification of the WFI sources, we added near infrared (NIR) photometry information in the J, H and K bands by correlating the WFI colour catalogue with the 2MASS catalogue (Skrutskie et al. 2006). The extracted 2MASS source list in a
region around the 1E1207.4-5209 position was retrieved through the Vizier database server and matched with the WFI colour catalogue using the IRAF task tmatch. A match radius of 0
5 was used to account both for the uncertainty on the WFI coordinates and on the
0
2 astrometric accuracy of 2MASS. A total of 6996 WFI sources (
10%) have a match with a 2MASS source and for 5032 of them we have the full UBVRI-to-JHK photometry information. The match produced a master optical/NIR catalogue that we used as a reference for the X-ray source identification and for the colour-based object
classification. For all sources with an adequate colour-coverage we used the colour-based optical classification technique described in Hatziminaoglou et al. (2002b) and tested in Hatziminaoglou et al. (2002a) and Groenewegen et al. (2002).
6 X-ray vs. optical/NIR catalogues
6.1 Catalogue cross-correlations
In order to identify candidate counterparts to the X-ray sources, we cross-matched our serendipitous X-ray source catalogue with the optical/NIR master catalogue. Thanks to the improved SAS task emldetect, the coordinates of the X-ray sources were measured with
high accuracy. The measured errors vary between 0
1 and 1
5, depending on the source counts, with an average error of
.
These errors, however, substantially reflect the positional accuracy of the X-ray sources with respect to the detector reference frame and do not account for systematic errors. Indeed, the absolute accuracy of these coordinates with respect to the International Celestial Reference Frame (ICRF) is inevitably affected by the precision of the satellite aspect solution. In order to determine the accuracy of the tie of the measured coordinates to the ICRF, we thus cross-matched our X-ray catalogue with the optical/NIR master catalogue. In this way, we found six X-ray sources which have a
single, relatively bright (but not saturated) and obvious optical counterpart which is not at the edges of the MOS cameras field-of-view (FOV). We thus computed the linear transformation between the X-ray and optical coordinates to correct the MOS astrometry. Since
the astrometry of the WFI catalogue is calibrated with USNOB-1.0, which is tied to the ICRF, we are sure that we did not introduce a bias in our procedure. Using the IRAF task geomap we found that the X-ray source coordinates are affected by a (radial) systematic astrometric error of 1
34, corresponding to the rms of the X-ray-to-optical coordinate transformation
. To this, we have to add in quadrature the measured positional statistic error of each source (0
1-1
5). Therefore, the total
uncertainty on the X-ray source position is between 1
34 and 2
01. The correction to the X-ray coordinates was then applied to all sources of our serendipitous X-ray catalogue with the IRAF task geoxytran using the coefficients of the computed X-ray-to-optical coordinate transformation. To account for all other sources of uncertainty, e.g. the
0
2 absolute accuracy (per coordinate) of the USNO-B1.0 reference frame (Monet et al. 2003), the distortions of the MOS cameras, etc., in the X-ray-to-optical
cross-correlation we conservatively assumed a more generous matching radius equal to three times the estimated absolute error on the X-ray source coordinates.
6.2 Sources with candidate optical counterparts
After applying the computed correction to the coordinates of the X-ray sources in our serendipitous catalogue (see previous section), we repeated the cross-correlation with the optical/NIR catalogue. After the cross-match we found at least one candidate counterpart for 112 out of the 144 X-ray sources in our serendipitous catalogue (i.e. 78% of the total). However, a total of 195 candidate counterparts were found since we obtained multiple matches for several X-ray
sources. Due to the relatively deep limiting magnitudes of the WFI observations, this is in line with the expectations. We note that in Paper I, where we used the shallower GSC catalogue (with only 16 000 optical sources instead of the almost 65 000 of the WFI catalogue), we found at least one candidate counterpart only for about half of the X-ray sources, even using a more conservative fixed positional uncertainty, hence a more generous cross-matching radius,
of 5
.
The choice of assuming a fixed positional uncertainty in Paper I was dictated by the fact that the SAS task emldetect was failing in providing reliable positional errors.
![]() |
Figure 15: Chance coincidence probability between an X-ray source and an optical WFI source as a function of the matching radius assumed equal to three times the size of the estimated absolute position uncertainty. |
Open with DEXTER |
Due to the contamination of fore/background objects, the result of the cross-matching between the X-ray and optical catalogues is obviously affected by spurious matches. In order to estimate the number of spurious matches, we used the relation
,
where r is the assumed X-ray matching radius and
is the surface density per square arcsecond of the optical sources, to compute the chance coincidence probability between an X-ray and an optical source (Severgnini et al. 2005). In our case, the WFI catalogue provided a total of 64 910 sources distributed over an area of about 34
34 arcmin2 (i.e. slightly larger than the detector field of view because of the frame dithering). In practice, the useful area is smaller since the
region around the bright star
Cen was masked after the source extraction. This corresponds to a density of optical sources of
= 0.016 arcsec-2, with r = 4
-6
.
This yields to a probability of chance coincidence between 55% and 83%, which means that, at our limiting magnitudes, contamination effects cannot be ignored. Thus, it is possible that several of the candidate counterparts are indeed spurious matches. This conclusion is circumstanced by Fig. 15, where we show the dependence of the chance coincidence probability P on the position uncertainty.
6.3 Sources without candidate optical counterparts
For 32 sources in our serendipitous X-ray source catalogue the cross-matching did not produce any candidate optical/NIR counterpart. For seven of them, #357, 380, 387, 230, 173, 181, and 124, the apparent lack of matches is ascribed to the fact that they fall within 6
from the position of the bright star
Cen, i.e. in a region which was masked before running the source detection on the WFI images (see Sect. 5.3). For these sources we checked the
original unmasked single-band optical catalogues and we visually inspected the WFI images to verify the existence of possible counterparts. For all of them we found indeed one or more candidate optical counterparts on the WFI images. However, since their flux measurements are highly uncertain, they are useless for a reliable X-ray source identification. This is likely true also for flux measurements taken from, e.g. the GSC and 2MASS catalogues, which
were probably affected by the same problem. Thus, although we spotted out their detection as a reference for future follow-up optical observations, these candidate counterparts are not considered in the following analysis. The remaining 25 X-ray sources (
20% of the total) fall well outside the masked region and are thus the only ones which actually lack a candidate optical/NIR counterpart.
7 X-ray source classification
7.1 The classification scheme
For all X-ray sources we computed the X-ray-to-optical flux ratio
.
We computed the X-ray flux by assuming the best-fit emission model and hydrogen column density or, when none of the tested models gives acceptable spectral fits or no spectral
fitting is possible, an absorbed power-law spectrum with photon-index
= 1.7 and
= 1.3
1021 cm-2, corresponding to the hydrogen column density measured in the direction of 1E1207.4-5209. The optical flux
was computed from the measured magnitudes using the relations reported in Appendix B of La Palombara et al. (2006). The
was mostly computed using the R-band magnitude as a reference, because it was the band with the most detections. When no R-band magnitude was available for the candidate optical counterpart, we alternatively used the V, B, I, and U-band magnitudes (in this order). In order to use the
ratio as a diagnostic for the X-ray source classification, we adopted the scheme proposed by La Palombara et al. (2006), where sources with a
are likely extra-galactic, while sources with
are likely stars. As a general rule, in cases where two or more different spectral models provide equally acceptable fits to the X-ray spectrum, and thus cause ambiguity in the determination of the
ratio, the source classification was claimed on the basis of the best agreement between the different classification indexes (see below). When no candidate optical counterpart is found within the cross-matching radius we adopted the R-band limiting magnitude (R = 23.97) to estimate the lower limits on the
ratio.
We then used the combined available multi-wavelength information, i.e. the best-fitting X-ray spectra (or the HR for the faintest sources), the measured hydrogen column density ,
the X-ray-to-optical flux ratio
,
and the optical/NIR colours of the candidate counterparts, to propose an optical identification and a likely classification for the 112 X-ray sources selected after the catalogue cross-matching (see Sect. 6.2). For the 25 certified sources without candidate optical counterparts (see
Sect. 6.3) we used the lower limit on the
ratio to support the proposed classifications based on the source spectrum and
.
In some cases, X-ray source variability was taken as an important classification index. We note that, due to the quite low declination of our field (
), no coverage is provided by available large scale radio surveys, like the NVSS and FIRST, and no candidate radio source counterpart could be identified which could provide a further classification evidence.
![]() |
Figure 16:
|
Open with DEXTER |
7.2 Brightest X-ray sources
We first evaluated the classification of the X-ray sources in our bright sub sample (see 4), for which the relatively accurate determination of the source spectrum and
represent already an important piece of evidence. In addition, for most of them
the optical candidate counterparts are expected to be bright enough to be detected in nearly all the passbands, and thus to have a more reliable colour-based classification.
As mentioned in Sect. 4.3, source #239 (XMMU J121029.0-522148) was already identified in Paper I as a Seyfert-2 galaxy, positionally coincident with the galaxy ESO 217-G29. The positional coincidence is further strengthened by our updated X-ray coordinates
= 12
10
29.01
,
= -52
21'48
1 (after applying the astrometric correction, see Sect. 6.1). The association of source XMMU J121029.0-522148 with the galaxy ESO 217-G29 is evident in our WFI images (see Fig. 16), which clearly resolve the galaxy structure (nucleus, bar, and spiral arms) and show that the source position is clearly coincident with the bright nucleus. Strangely enough, the cross-correlation with the WFI catalogue yields a candidate optical counterpart which is at 3
37 from the nominal X-ray source position. This is an error of SExtractor, the software used to run the source detection on the WFI images, which
did not correctly resolve the nucleus of the galaxy. We thus discarded the flux of the galaxy computed by SExtractor and we assumed an R-band magnitude of 14.93, as reported in Simbad. From the computed X-ray flux (see Sect. 4.3) we thus derived an X-ray-to-optical flux ratio
,
in agreement with the expectations for a low-luminosity Seyfert-2 galaxy.
Table 5: Main characteristics of the 39 brightest sources. The sources are sorted by decreasing count number.
In Table 5 we listed all the candidate counterparts to the other 39 X-ray sources of our bright sample (see Sect. 4). 32 of them (82%) have at least one optical candidate counterpart. In particular, for 12 X-ray sources (
27%) the cross-matching produced more than one optical candidate counterpart. For each of the optical candidate counterparts (either single or multiple) we reported both their magnitudes (in one reference passband) and their
ratios (computed for the assumed X-ray
spectral model). The proposed classification, reported in Table 5, is considered virtually secured when best agreement is found between the different classification indexes, i.e. the X-ray source spectrum and the hydrogen column density
,
on one side, and the colour-based classification and
ratio of the optical candidate counterpart, on the other one. For simplicity, we considered only two main X-ray source classes, i.e. STELLAR and AGN: in the first class we include the standard galactic sources with a soft, mainly thermal spectrum and low X-ray/optical flux ratio, while in the second class we include extra-galactic sources with a hard, likely non-thermal spectrum and high X-ray/optical flux ratio. None of our X-ray sources is associated with cluster of galaxies or with non-active galaxies. We flagged cases where the source classification is likely, but not secured, or uncertain because of one or more inconsistencies between the different classification indexes. To this aim, we devised the classification flag a when the source classification is likely but not secured by the identification of its optical counterpart, since the candidate optical counterpart is unclassified, or poorly classified, or undetected. Moreover, when compelling evidence is lacking we consider the source classification as uncertain with the following classification flags: b when the best-fit
value is too low for AGNs and too high for stars; c when the X-ray spectrum is not in agreement
either with the X-ray-to-optical flux ratio or with the colour-based classification of
the optical candidate counterparts; d when the source X-ray spectrum is not unambiguously determined, and/or the spectral parameters have large errors. Of course, multiple flags were assigned when different cases apply.
Following a decision-tree approach, we thus proposed a virtually secure or likely classification for 15 of the 39 brightest X-ray sources (36% of the total). According to our classification scheme, we proposed that these 15 sources are active galactic nuclei (AGNs). These sources have all a clear, or generally most likely, power-law X-ray spectrum, relatively high ,
and 6 of them have an optical candidate counterpart identified with a QSO, with
a consistent
ratio. For example, we classified source #216 (XMMU J120955.1-522105) as an AGN, without any flag, because of its power-law spectrum and
,
and because its candidate optical counterparts is classified as QSO. We thus considered the classification of these 6 sources as secured. Three sources, i.e. #304 (XMMU J121052.9-522354), #326 (XMMU J121034.6-522457), and #517 (XMMU J121031.9-523046), have no optical candidate counterpart, while other sources, i.e. #520 (XMMU J121101.5-523030),
#471 (XMMU J121057.3-522905), and #533 (XMMU J121013.2-523123), have a candidate optical counterpart but for which no colour-based classification is possible. However, their power-law X-ray spectra,
,
and the constraints on the
ratio, suggest that they are AGNs. Furthermore, two of them, i.e. #326 (XMMU J121034.6-522457) and #520 (XMMU J121101.5-523030), also feature a significant long term X-ray variability (see Sect. 4.2), which reinforces their classification as AGNs. We thus classified these five sources as AGNs and we flagged them as a because of the lack of a
possible, or unambiguous, optical identification.
For 18 X-ray sources the proposed classifications reported in Table 5 (11 AGNs and 7 stars) are uncertain because of inconsistencies between the classification indexes. For
instance, we classified source #158 (XMMU J121018.4-521911) as a star since its X-ray light curve features long and short flares (see Sect. 4.2) and its candidate optical counterpart is an M3 star. However, because of its somewhat large best-fit ,
we prudently flagged
its classification as b. Instead, source #198 (XMMU J120841.6-522026) was classified as an AGN because of its power-law spectrum, but it has a quite low
and we flagged its classification as b. We classified sources #410 (XMMU J120921.0-522700) and #688 (XMMU J120959.0-523618) as AGNs but we flagged these classifications as a since their candidate optical counterparts are unclassified. The former was also flagged as d since its X-ray spectrum is not unambiguously determined.
For the 6 X-ray sources for which no fit to the X-ray spectrum was possible with the tested single model component, or different model fits yield comparable
(flagged with ``uncl'' in Table 5) we could only suggest, at most, tentative classifications. For instance, source #263 (XMMU J120928.2-522225) might be classified as a galaxy since
the colours of its nearest optical candidate counterpart are consistent with an elliptical galaxy. Similarly, source #121 (XMMU J120901.3-521741) has a candidate QSO optical counterpart and might be thus classified as an AGN. For source #386 (XMMU J121043.1-522638) not even the optical candidate counterpart is classified. Source #357 (XMMU J121113.8-522532) has no candidate counterpart in our optical/NIR catalogue
. Source #426 (XMMU J121000.0-522747) remains unclassified, due to
conflicting power-law spectral model and stellar X-ray/optical flux ratio (although within its error-circle a clear galaxy can be seen in the WFI images).
Based on the previous analysis, we can summarize the classification of the 39 brightest sources as follows:
- 15 sources are classified: 5 of them were already classified in Paper I, while 1 had an uncertain classification and 3 were unclassified; the remaining 6 sources are new detections;
- 18 sources have an uncertain classification: 2 of them were classified in Paper I, while 5 were uncertain and 6 unclassified; the remaining 5 sources are new detections;
- 6 source are unclassified: 1 of them was unclassified also in Paper I, while the remaining 5 sources are new detections.
We note that the use of the X-ray-to-optical flux ratio, defined in La Palombara et al. (2006), as a classification evidence is reliable. For instance, 6 of the 7 sources classified as stars have
,
while 6 of the proposed AGNs have
.
These values are indeed in agreement with the classifications proposed for X-ray sources detected in the XMM-Newton Serendipitous Survey (Barcons et al. 2007), where most of the identified sources have
,
and stars and extragalactic sources have the lowest and highest values, respectively.
7.3 Faintest X-ray sources
We also evaluated the classification of the 104 remaining, fainter X-ray sources in our serendipitous catalogue. Since for all of them the lower number of counts (500) does not allow us to perform an accurate spectral analysis, the characterisation of the X-ray spectrum only relies on the source HR. As in the case of the bright sources (Sect. 7.2), the proposed X-ray source classifications is based on the source HR and on the X-ray-to-optical flux ratio
,
using the classification scheme devised in La Palombara et al. (2006). When a reliable classification of the optical/NIR candidate counterparts was found, we also used this information as a further classification evidence. Based on the HR distribution, we assumed that sources with an HR < -0.9 have spectra corresponding to coronal emission from normal stars, while sources with HR > -0.5 are either extra-galactic (normal or active galaxies or cluster of
galaxies) or accreting binary systems (XRBs or CVs). Because of the typical HR errors, we considered sources with intermediate values (-0.9 < HR < -0.5) as borderline cases and thus we did not considered this parameter compelling for our source
classification. For sources affected by too large errors on the HR this parameter was not considered at all. As in Sect. 7.1, when no candidate counterparts were found we assumed the R = 23.97 limiting magnitude of the WFI catalogue to compute the
lower limit.
Following the same decision-tree approach used to classify the brightest X-ray sources, 4 of the 25 sources with no candidate counterpart remained unclassified, while all the remaining 21 sources were identified with an AGN.
On the other hand, among the 36 sources with a single candidate counterpart 10 were identified as stars (2 sure and 8 uncertain), 19 as AGNs (8 sure and 11 uncertain) and 2 with galaxies (since the WFI images show an evident extended source as countepart). The other 5 sources remained unclassified, due to unconstrained or conflicting hardness ratio and/or X-ray/optical flux ratio, but in the error-circle of two of them a clear galaxy can be seen in the WFI images. Finally, in the case of the 43 X-ray sources with two or more candidate counterparts we proposed 11 classifications as stars (10 sure and only 1 uncertain) and 28 classifications as AGNs (27 sure and only 1 uncertain), while for the other 4 sources we were unable to suggest any classification.
To summarize, we classified 21 sources (corresponding to 20% of the total) as stars and 68 sources (65%) as AGNs, while other 2 sources (2%) were identified with galaxies and the remaining 13 sources (13%) remained unclassified. We note that 17 of the sources classified as stars have
.
On the other hand, 16 sources classified as AGNs have a high X-ray-to-optical flux ratio
.
As in the case of the bright sources (see Sect. 7.2), our X-ray-to-optical flux ratios yield classifications which are in agreement with those similarly proposed for X-ray sources detected in other surveys (Barcons et al. 2007).
8 Summary and conclusions
We analysed all the XMM-Newton observations of the intermediate-latitude field around 1E1207.4-5209 in order to investigate the properties of the X-ray source population. We detected 144 serendipitous sources in total; 114 of them were detected in the soft energy band (0.5-2 keV), while 87 were detected in the hard energy band (2-10 keV) band, down to limiting fluxes of 10-15 erg cm-2 s-1 and 4
10-15 erg cm-2 s-1, respectively. The lower number of fainter sources detected with respect to that reported in
Paper I (see Sect. 2.4) mainly affects the
distribution in the soft energy band, which now features a clear flattening at the low flux end (i.e. below
4
10-15 erg cm-2 s-1). However, at higher fluxes the
distribution is perfectly consistent with that reported in Paper I and is well above those obtained at high galactic latitudes (Baldi et al. 2002). We therefore confirm the presence of a non negligible galactic population component, in addition to the extra-galactic one. In the hard energy band, the
distribution is fully consistent with that reported in Paper I and with those obtained both in the Galactic plane (Ebisawa et al. 2005) and at high Galactic latitude (Baldi et al. 2002), confirming that the distribution is dominated by extra-galactic
sources. Thanks to the increased count statistics, we could perform a variability and spectral analysis of the 40 brightest sources. For 10 of them, we spotted a large flux variation between the 2002 and 2005 observations, suggesting that they are transient sources, while for other two we found evidence of variability on short timescales (
0.1 and
10 ks). Moreover, we refined the spectral analysis of the Seyfert-2 galaxy XMMU J121029.0-522148 we discussed in Paper I, finding a best-fit redshift value z = 0.042, higher than the value of 0.032 reported in the literature. We also carried out a complete multi-band (UBVRI) optical coverage of the field with the WFI of the ESO/MPG 2.2 m telescope to search for candidate optical counterparts to the X-ray sources and we found at least a candidate counterpart brighter than
for 112 of them. By cross-identification with sources in the 2MASS catalogue, we also provided a colour-based classification for most of them. We thus identified 27 of the brightest sources as AGNs and 7 as stars, while we identified 21 of the faintest sources as starsand 70 sources as AGNs or galaxies. Future follow-up works will be aimed at confirming the proposed classification of the brightest X-ray sources through multi-object spectroscopy of the candidate counterparts. For the proposed AGNs we also plan to perform radio observations to achieve a better classification.
Acknowledgements
This work is based on observations obtained with XMM-Newton, an ESA science mission with instruments and contributions directly funded by ESA Member States and NASA. The XMM-Newton data analysis is supported by the Italian Space Agency (ASI). This publication makes use of data products from the Two Micron All Sky Survey, which is a joint project of the University of Massachusetts and the Infrared Processing and Analysis Center/California Institute of Technology, funded by the National Aeronautics and Space Administration and the National Science Foundation. R.P.M. acnowledges STFC for support through a Rolling Grant and INAF - IASF Milano for hospitality.
References
- Antonucci, R. 1993, ARA&A, 31, 473 [NASA ADS] (In the text)
- Baldi, A., Molendi, S., Comastri, A., et al. 2002, ApJ, 564, 190 [NASA ADS] [CrossRef] (In the text)
- Barcons, X., Carrera, F. J., Ceballos, M. T., et al. 2007, A&A, 476, 1191 [NASA ADS] [CrossRef] [EDP Sciences] (In the text)
- Bertin, E., & Arnouts, S. 1996, A&AS, 117, 393 [NASA ADS] [CrossRef] [EDP Sciences] (In the text)
- Bignami, G. F., Caraveo, P. A., Luca, A. D., & Mereghetti, S. 2003, Nature, 423, 725 [NASA ADS] [CrossRef]
- Carrera, F. J., Ebrero, J., Mateos, S., et al. 2007, A&A, 469, 27 [NASA ADS] [CrossRef] [EDP Sciences]
- De Luca, A., Mereghetti, S., Caraveo, P. A., et al. 2004, A&A, 418, 625 [NASA ADS] [CrossRef] [EDP Sciences]
- Ebisawa, K., Tsujimoto, M., Paizis, A., et al. 2005, ApJ, 635, 214 [NASA ADS] [CrossRef] (In the text)
- Erben, T., Schirmer, M., Dietrich, J. P., et al. 2005, Astron. Nachr., 326, 432 [NASA ADS] [CrossRef] (In the text)
- Groenewegen, M. A. T., Girardi, L., Hatziminaoglou, E., et al. 2002, A&A, 392, 741 [NASA ADS] [CrossRef] [EDP Sciences] (In the text)
- Hatziminaoglou, E., Groenewegen, M. A. T., da Costa, L., et al. 2002a, VizieR Online Data Catalog, 338, 40081 [NASA ADS] (In the text)
- Hatziminaoglou, E., Groenewegen, M. A. T., da Costa, L., et al. 2002b, A&A, 384, 81 [NASA ADS] [CrossRef] [EDP Sciences] (In the text)
- La Palombara, N., Mignani, R. P., Hatziminaoglou, E., et al. 2006, A&A, 458, 245 [NASA ADS] [CrossRef] [EDP Sciences] (In the text)
- Lasker, B. M., Lattanzi, M. G., McLean, B. J., et al. 2008, AJ, 136, 735 [NASA ADS] [CrossRef] (In the text)
- Mateos, S., Warwick, R. S., Carrera, F. J., et al. 2008 [arXiv:0809.1939]
- Mereghetti, S., De Luca, A., Caraveo, P. A., et al. 2002, ApJ, 581, 1280 [NASA ADS] [CrossRef] (In the text)
- Monet, D. G., Levine, S. E., Canzian, B., et al. 2003, AJ, 125, 984 [NASA ADS] [CrossRef] (In the text)
- Mushotzky, R. F., Done, C., & Pounds, K. A. 1993, ARA&A, 31, 717 [NASA ADS] [CrossRef] (In the text)
- Novara, G., La Palombara, N., Carangelo, N., et al. 2006, A&A, 448, 93 [NASA ADS] [CrossRef] [EDP Sciences] (In the text)
- Severgnini, P., Della Ceca, R., Braito, V., et al. 2005, A&A, 431, 87 [NASA ADS] [CrossRef] [EDP Sciences] (In the text)
- Strüder, L., Briel, U., Dennerl, K., et al. 2001, A&A, 365, L18 [NASA ADS] [CrossRef] [EDP Sciences]
- Turner, M. J. L., Abbey, A., Arnaud, M., et al. 2001, A&A, 365, L27 [NASA ADS] [CrossRef] [EDP Sciences] (In the text)
- Visvanathan, N., & van den Bergh, S. 1992, AJ, 103, 1057 [NASA ADS] [CrossRef] (In the text)
- Watson, M. G., Schröder, A. C., Fyfe, D., et al. 2008 [arXiv:0807.1067]
- Woods, P. M., Zavlin, V. E., & Pavlov, G. G. 2007, Ap&SS, 308, 239 [NASA ADS] [CrossRef] (In the text)
- Watson, M. G., Schröder, A. C., Fyfe, D., et al. 2009, A&A, 493, 339 [NASA ADS] [CrossRef] [EDP Sciences] (In the text)
Footnotes
- ... observations
- Based on observations collected at ESO, La Silla, under Programmes 073.D-0621(A) and 074.D-0613(A).
- ... impact
- http://xmm.vilspa.esa.es/external/xmm_news/items/MOS1-CCD6/index.shtml
- ... Catalogue
- http://xmmssc-www.star.le.ac.uk/Catalogue/xcat_public_2XMMi.html
- ... respectively
- http://xmmssc-www.star.le.ac.uk/Catalogue/UserGuide_xmmcat.html
- ...
- wabs*(zwabs*powerlaw + zwabs*(powerlaw + pexrav + zgauss)) in XSPEC.
- ...zero-points
- http://www.ls.eso.org/lasilla/sciops/2p2/E2p2M/WFI
- ... transformation
- We note that in Paper I the systematic astrometric error of the X-ray coordinates was 2
33, the discrepancy being due to the different counterpart assumed for one of the six X-ray reference sources.
- ... catalogue
- We note that this source falls in a region polluted by the halo of the bright star
Cen, which was masked before the source extraction (see Sect. 5.3), so that no match was produced by the X-correlation (see Sect. 6.3). Although a star is indeed detected in the WFI images, close the X-ray source position, it is saturated in almost all bands so that not even crude optical flux estimates can be obtained.
All Tables
Table 1: Log of the XMM-Newton observations of the 1E1207.4-5209 field with the corresponding net good time interval (GTI) for the two EPIC/ MOS cameras.
Table 2: Number of X-ray sources detected in each energy band and relative fraction for the three observation sets defined in Sect. 2.3.
Table 3: Best-fit parameters for source #239 (XMMU J121029.0-522148), for the optical redshift z = 0.032 and for its best-fit value z = 0.042.
Table 4: Summary of the WFI optical observations performed by the ESO/MPG 2.2 m telescope.
Table 5: Main characteristics of the 39 brightest sources. The sources are sorted by decreasing count number.
All Figures
![]() |
Figure 1: Left: distribution of the 144 X-ray sources detected in the EPIC/ MOS image of 1E1207.4-5209 in the energy range 0.3-8 keV. Right: distribution of the 344 X-ray sources listed in the 2XMMi catalogue in the same sky region. |
Open with DEXTER | |
In the text |
![]() |
Figure 2: Histogram of the S/N ratio distribution in the energy bands 0.3-8 keV, 2-10 keV, and 0.5-2 keV ( top to bottom) for the serendipitous X-ray sources. |
Open with DEXTER | |
In the text |
![]() |
Figure 3: Correlation between the detection likelihood and the S/N ratio, both computed in the 0.3-8 keV energy band, for the serendipitous sources. The dashed line corresponds to the detection likelihood threshold (-lnP = 8.5) in the 0.3-8 keV band. Sources below this line are included because they are above the detection threshold in at least one of the other two energy bands (see Sect. 2.4). |
Open with DEXTER | |
In the text |
![]() |
Figure 4: Histogram of the source count-rate distribution in the 2-10 keV and 0.5-2 keV energy bands ( top and bottom, respectively). |
Open with DEXTER | |
In the text |
![]() |
Figure 5: Histogram of the HR distribution for the serendipitous X-ray sources detected in the 1E1207.4-5209 field. |
Open with DEXTER | |
In the text |
![]() |
Figure 6: Sky coverage of the XMM-Newton observations, in the soft energy range 0.5-2 keV ( solid line) and in the hard energy range 2-10 keV ( dashed line). |
Open with DEXTER | |
In the text |
![]() |
Figure 7:
Cumulative
|
Open with DEXTER | |
In the text |
![]() |
Figure 8: Processed XMM-Newton EPIC/MOS 0.3-8 keV band image of the 1E1207.4-5209 field with the position of the 40 brightest serendipitous sources over plotted. Sources are labelled according to the numbering used in Table 5. Circles are drawn only to highlight the X-ray source positions and their size do not correspond to their actual positional errors. |
Open with DEXTER | |
In the text |
![]() |
Figure 9: Unbinned non-thermal spectrum of source #338 (XMMU J120942.1-522458) with the best-fit power-law model. |
Open with DEXTER | |
In the text |
![]() |
Figure 10: Unbinned thermal spectrum of source #241 (XMMU J120858.8-522129) with the best-fit thermal mekal model. |
Open with DEXTER | |
In the text |
![]() |
Figure 11:
Top: relative CR variation with respect to the first observation subset plotted as a function of the source S/N ratio (filled triangles). Bottom: absolute CR variation
|
Open with DEXTER | |
In the text |
![]() |
Figure 12:
(Upper panel) The 1.2-12 keV unbinned spectrum of source #239 (XMMU J121029.0-522148) identified with the Seyfert-2 galaxy ESO 217-G29. The fit was performed using the AGN unification model of Antonucci (1993) and Mushotzky et al. (1993) with a fixed redshift of z = 0.032. Spectral fits were computed for both the MOS1 and MOS2 data (black and red, respectively). (Lower panel) Data-model residuals are shown in units of |
Open with DEXTER | |
In the text |
![]() |
Figure 13: Same as Fig. 12 but with the best-fit redshift value of z = 0.042. |
Open with DEXTER | |
In the text |
![]() |
Figure 14:
Composite VRI image of the 1E1207.4-5209 field (34 |
Open with DEXTER | |
In the text |
![]() |
Figure 15: Chance coincidence probability between an X-ray source and an optical WFI source as a function of the matching radius assumed equal to three times the size of the estimated absolute position uncertainty. |
Open with DEXTER | |
In the text |
![]() |
Figure 16:
|
Open with DEXTER | |
In the text |
Copyright ESO 2009
Current usage metrics show cumulative count of Article Views (full-text article views including HTML views, PDF and ePub downloads, according to the available data) and Abstracts Views on Vision4Press platform.
Data correspond to usage on the plateform after 2015. The current usage metrics is available 48-96 hours after online publication and is updated daily on week days.
Initial download of the metrics may take a while.