Issue |
A&A
Volume 501, Number 1, July I 2009
|
|
---|---|---|
Page(s) | 89 - 102 | |
Section | Extragalactic astronomy | |
DOI | https://doi.org/10.1051/0004-6361/200811284 | |
Published online | 29 April 2009 |
The X-ray view of giga-hertz peaked spectrum radio galaxies
O. Tengstrand1,2 - M. Guainazzi1 - A. Siemiginowska3 - N. Fonseca Bonilla1 - A. Labiano4 - D. M. Worrall5 - P. Grandi6 - E. Piconcelli7
1 - European Space Astronomy Centre of ESA, PO Box 78, Villanueva de la Cañada, 28691 Madrid, Spain
2 -
Institute of Technology, University of Linköping, 581 83 Linköping, Sweden
3 -
Harvard-Smithsonian Centre for Astrophysics, 60 Garden St., Cambridge, MA 02138, USA
4 -
Departamento de Astrofísica Molecular e Infrarroja, Instituto de Estructura de la Materia (CSIC), Madrid, Spain
5 -
H. H. Wills Physics Laboratory, University of Bristol, Tyndall Avenue, Bristol BS8 1TL, UK
6 -
Istituto di Astrofisica Spaziale e Fisica Cosmica-Bologna, INAF, via Gobetti 101, 40129 Bologna, Italy
7 -
Osservatorio Astronomico di Roma (INAF), via Frascati 33, 00040 Monteporzio Catone, Roma, Italy
Received 3 November 2008 / Accepted 11 March 2009
Abstract
Context. This paper presents the X-ray properties of a flux- and volume-limited complete sample of 16 giga-hertz peaked spectrum (GPS) galaxies.
Aims. This study addresses three basic questions in our understanding of the nature and evolution of GPS sources: a) What is the physical origin of the X-ray emission in GPS galaxies? b) Which physical system is associated with the X-ray obscuration? c) What is the ``endpoint'' of the evolution of compact radio sources?
Methods. We discuss in this paper the results of the X-ray spectral analysis, and compare the X-ray properties of the sample sources with radio observables.
Results. We obtain a 100% (94%) detection fraction in the 0.5-2 keV (0.5-10 keV) energy band. GPS galaxy X-ray spectra are typically highly obscured (
cm-2;
dex). The X-ray column density is larger than the HI column density measured in the radio by a factor 10 to 100. GPS galaxies lie well on the extrapolation to high radio powers of the correlation between radio and X-ray luminosity known in low-luminosity FR I radio galaxies. On the other hand, GPS galaxies exhibit a comparable X-ray luminosity to FR II radio galaxies, notwithstanding their much larger radio luminosity.
Conclusions. The X-ray to radio luminosity ratio distribution in our sample is consistent with the bulk of the high-energy emission being produced by the accretion disk, as well as with dynamical models of GPS evolution where X-rays are produced by Compton upscattering of ambient photons. Further support to the former scenario comes from the location of GPS galaxies in the X-ray to O[ III] luminosity ratio versus
plane. We propose that GPS galaxies are young radio sources, which would reach their full maturity as classical FR II radio galaxies. However, column densities
1022 cm-2 could lead to a significant underestimate of dynamical age determinations based on the hotspot recession velocity measurements.
Key words: galaxies: jets - galaxies: active - X-rays: galaxies
1 The nature of GPS radio galaxies
This paper presents an X-ray study of a complete radio-selected sample of Giga-Hertz Peaked Spectrum (GPS) galaxies. GPS sources are characterised by a simple convex radio spectrum peaking near 1 GHz (Stanghellini 2006; Lister 2003; O'Dea 1998). They represent about 10% of the 5-GHz selected sources. About half of known GPS sources are morphologically classified as galaxies, the remaining as quasars. They often exhibit symmetric, very compact (10-100 pc) structures, reminiscent of those present in extended radio galaxies on much larger scales.
Little is known about their high-energy emission. GPS galaxies are rather elusive in X-rays (O'Dea et al. 1996). X-ray spectroscopic studies prior to modern X-ray observatories were inconclusive on whether this low detection rate is due to intrinsic weakness or to obscuration of the active nucleus (Elvis et al. 1994a). Deep Chandra and XMM-Newton observations of GPS galaxies are scanty. One of the few exceptions is a deep XMM-Newton pointing of 3C 301.1 (O'Dea et al. 2006); it unveiled a hard X-ray emission component, which could be associated with hot gas shocked by the expansion of the radio source or to synchrotron self-Compton emission. Analysis of small samples of GPS galaxies observed with XMM-Newton were presented by Vink et al. (2005) and Guainazzi et al. (2006). Our paper represents an extension of their results.
Understanding the origin of high-energy emission in these objects may have important implications on the birth and evolution of the ``radio power'' in the Universe. GPS sources were originally suggested to represent radio galaxies in the early stage of their life (typical ages <104 years, Fanti et al. 1995; Murgia 2003). This possibility was recently supported by the detection of mas-hotspot proper motions (Poladitis & Conway 2003; Gugliucci et al. 2005). Alternatively, as originally suggested by Gopal-Krishna & Wiita (1991), GPS sources could remain compact during their whole radiative lifetime, because interaction with dense circumnuclear matter impedes their full growth.
Table 1: The GPS sample discussed in this paper.
In order to address the above issues, and provide the best possible estimate of the gas density in the GPS galaxy nuclear environment, we have undertaken an XMM-Newton observation program of a radio-selected complete sample of GPS galaxies. The three main issues which originally motivated our study, and will be discussed throughout the paper, are:
- What is the physical origin of the X-ray emission
in GPS galaxies?
- Which physical system is associated with the X-ray obscuration?
- What is the ``endpoint'' of the evolution of
compact radio sources?


2 The sample
The sources discussed in this paper
constitute a flux- and volume-limited sub-sample
extracted from the complete radio-selected sample of GPS galaxies of
Stanghellini et al. (1998). We'll refer to this
sub-sample as ``our GPS sample'' hereafter.
We selected all sources with redshift
z<1, and flux density at 5 GHz 1 Jy.
The whole sample
(16 sources) has been observed with XMM-Newton across different
observing cycles. The only exceptions are
PKS 0941-08 and PKS1345+125, for which archival Chandra and ASCA data are available, respectively.
Preliminary results, based on a small
sub-sample of 5 objects, were presented in Guainazzi et al.
(2006)
.
Some of the sample sources were included in Vink et al. (2005).
The whole sample is listed in Table 1.
A more general discussion of the X-ray and multiwavelength properties of
our whole GPS sample is deferred to Sect. 5.
A summary of the X-ray and radio properties of the whole sample
is in Appendix B.
3 Observations and data reduction
In this paper (as also originally done by Guainazzi et al. 2006; and Vink et al. 2005) we will consider only X-ray data taken with the XMM-Newton EPIC cameras (pn, Strüder et al. 2001; MOS, Turner et al. 2001), because the sources were too faint to yield a measurable signal in the high-resolution RGS cameras. Observational information for the sources for which new measurements are presented here is listed in Table 2.
Table 2:
Properties of the X-ray observations discussed in this paper.
Exposure times ()
and Count Rates (CR) refer to the pn
in the 0.5-10 keV band (unless otherwise specified).
is the count rate threshold applied in the determination
of the Good Time Interval for scientific product extraction (details in
text).
is the radius of the scientific products extraction
region.
is the column density due to gas in the Milky Way
along the line-of-sight to the GPS galaxy (Kalberla et al. 2005)
in units of 1020 cm-2.
![]() |
Figure 1:
Spectra of the three EPIC instruments
( upper panels), and
residuals in units of standard deviation
( lower panels) when the baseline model is applied.
In addition to the binning applied to the spectra to ensure
the applicability of the |
Open with DEXTER |
Table 3: Best-fit parameters and results for the sources where spectral analysis was possible.
XMM-Newton data were reduced with SASv7.1 (Gabriel et al. 2003)
according to standard procedures as in, e.g.,
Guainazzi et al. (2006). The most updated calibration files available at
the date of the analysis (February 2008) were used.
Source scientific products were accumulated from circular regions
surrounding the position of the optical nucleus of each source
(extracted from the NED catalogue). The size of the
source extraction regions are shown in Table 2.
Following Guainazzi (2008), background scientific products
were extracted from source free circular regions
close to the source and on the same CCD as the source
for the MOS cameras; and from source-free regions
centred at the same
row in detector coordinates as the source in nearby CCDs
for the pn. As many of
the sources were X-ray faint,
particular care has been applied in the choice of
flaring particle background rejection
thresholds optimising the signal-to-noise ratio of the final scientific
products. Using a single-event, E>10 keV full field-of-view light
curve as a monitoring tool of the instantaneous intensity of the
background, ten different logarithmically spaced thresholds
between 0.1 s-1 and about two times the highest
light curve count rates were tried.
For each threshold the radius of the source extraction region
was also varied to obtain the highest number of net counts for a given
signal-to-noise ratio.
Spectra were binned in such a way to avoid oversampling
of the intrinsic instrumental energy resolution by
a factor larger than 3, and to have at least 25 background-subtracted
counts in each spectral bin. These conditions ensure
the applicability of the
statistic as a goodness-of-fit test.
In this paper, errors on the spectral parameters
and on any derived quantities are at the 90% confidence
level for one interesting parameter; errors on the count rates and
derived quantities are at 1
level. Whenever statistical
moments or correlations on distributions including upper limits are
calculated, an extension of the regression method on censored data
originally described by Schmitt (1985) and Isobe et al.
(1986) has been used.
More details on this method were presented by Guainazzi et al. (2006).
4 Results
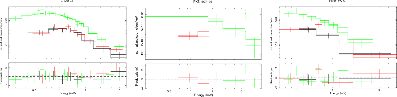
In this Section we present spectral-analysis for the 7 unpublished sources in our GPS sample.
No significant variability in either integrated X-ray flux or spectral
shape was detected in any source presented in this paper
on timescales
104 s.
We therefore focus on
the properties
of their time-averaged spectra.
For 3 of these
sources the number of degrees of freedom in the binned spectra
was larger than 4: 4C+32.44, PKS1607+26, PKS 2127+04.
In these cases a standard spectral analysis was possible. The
spectra were fitted in the 0.2-10 keV energy range with
Xspec (version 11; Arnaud 1996).
A model consisting of three
components was used:
![]() |
(1) |
where the photo-electric absorption components use Wisconsin cross-sections (Morrison & McCammon 1983), and Kis the unabsorbed spectral normalisation at 1 keV. We'll refer to this model as our ``baseline'' model hereafter. The column density

![[*]](/icons/foot_motif.png)


![]() |
Figure 2:
Confidence level loci in the ( |
Open with DEXTER |
For 4 other sources (4C+00.02, PKS 0428+20, 4C+14.41, and PKS 2008-068)
the low signal-to-noise did not allow for spectral analysis. We have therefore
based our estimation of the spectral parameters of the baseline
model on the Hardness Ratio (HR), here defined as the ratio between the counts in the energy bands 1-10 keV and 0.2-1 keV. The measured HRs (or lower limit thereof) have been compared
with the predictions of grids of simulated baseline models.
Iso-HR contour plots in the
([0.5:3]) versus
([1020, 1024 cm-2]) parameter space were built (see Fig. 2)
The confidence interval in column density was estimated as the minimum and maximum
value of the 1.6
interval around the curve corresponding to the
nominal HR, when
was constrained in the range: [0.63, 2.62].
The photon-index range corresponds to the
interval of the
distribution, calculated on the
whole sample of GPS galaxy for which the data quality
allowed us to perform a spectral analysis (cf. Fig. 6).
The resulting constraints on the column density are shown in Table 4.
Table 4:
Constraints on the intrinsic column density
derived from iso-HR contours in the
versus
parameter space. No constraint can be derived for 4C+00.02.
4.1 A Compton-thick AGN in PKS1607+26?
The fit of the EPIC spectra of PKS1607+26 yields an unusually flat spectral
index:
.
A flat spectrum may be indicative of a blazar-type spectral component.
Alternatively, in radio-quiet AGN spectral indices
are generally interpreted
as evidence for a Compton-thick AGN, whose primary X-ray emission is
totally suppressed by optically thick matter with a column density
cm-2(see Comastri 2004, for a review). In Compton-thick AGN, residual X-ray emission
red-wards the photoelectric cutoff could be due to Compton-reflection of the
otherwise invisible primary radiation off the obscuring matter
.
![]() |
Figure 3: EPIC-pn spectrum of PKS1607+26 in the 2-10 keV energy band (observer's frame). The data points have been rebinned such that each displayed spectral channel has a signal-to-noise ratio larger than 1. The solid line represents the best-fit reflection-dominated model (details in text). |
Open with DEXTER |
![]() |
Figure 4:
Iso- |
Open with DEXTER |










![]() |
Figure 5:
Iso- |
Open with DEXTER |
5 Comparison with control samples of ``normal'' radio galaxies
In this section we present X-ray spectral properties of the flux density and redshift-selected complete sub-sample extracted from the Stanghellini et al. (1998) GPS sample described in Sect. 2. Readers are referred to the Guainazzi et al. (2006) and Vink et al. (2005) papers for the spectral analysis of the sources not discussed in this paper. We have repeated the analysis of the sources of the Vink et al. (2005) with the same reduction and data screening criteria as in the Guainazzi et al. (2006) and in this paper. The results of our re-analysis are consistent with theirs. 5 GHz luminosities are taken from Stanghellini et al. (1998) and O'Dea (1998).
Our goal is also to compare the properties of the complete radio-selected flux-limited GPS sample with a control sample of ``normal'' radio galaxies. The control sample has been built from results recently published in the literature. It is based on observations of z<1 radio galaxies taken by ASCA (Sambruna et al. 1999), BeppoSAX (Grandi et al. 2006), XMM-Newton and Chandra (FR I: Evans et al. 2006; Balmaverde et al. 2006; Donato et al. 2004, FR II: Evans et al. 2006; Belsole et al. 2006; Hardcastle et al. 2006). Only one measurement per source has been retained in the control sample, based on the latest published result. However, we have considered the latest Chandra measurement, even when a later XMM-Newton observation was available, under the assumption that the superior spatial resolution of the Chandra optics provides a more reliable measurement of the core emission. The control sample comprises 93 sources (32 FR I, 54 FR II, the remaining ones have no FR classification). We stress that the control sample is neither complete nor unbiased. Moreover, it is not well matched with our GPS sample in redshift. The probability that the redshift distribution of the GPS sample is the same as in the entire control sample is 2% only. This difference is mainly due to FR Is being generally at lower redshift than our GPS sample, whereas our GPS and the control FR II samples are well matched in redshift (cf. Fig. 8). Whenever pertinent, we will explicitly show in the following the redshift dependence of the observables, and discuss possible bias associated with comparing samples inhomogeneous in redshift coverage.
![]() |
Figure 6: Distribution of the photon index for the GPS sub-sample (8 objects), where data quality warranted spectral analysis. |
Open with DEXTER |
5.1 X-ray detection fraction
We obtain a very large detection fraction; all the sources of our sample yield a detection in the soft X-ray band (0.5-2 keV), whereas 15 out of 16 are detected in the full band (0.5-10 keV). All of them but one (PKS1345+125) were unknown in X-rays prior to our Chandra (see also Siemiginowska et al. 2008) and XMM-Newton observations.
5.2 Spectral shape
In Fig. 6 we show the distribution of spectral indices for
the 8 GPS of our sample,
where the number of counts is good enough for the
spectral analysis to be possible. The distribution has
a mean value
,
and a standard deviation
.
The weighted mean is
if the measurements are weighted according to the inverse
square of their statistical uncertainties.
5.3 Obscuration
![]() |
Figure 7: Distribution of the core obscuring column densities for the GPS sample ( bottom panel), the FR I ( upper panel) and FR II ( middle panel) control samples. Shaded areas indicate upper limits; empty areas indicate lower limits. |
Open with DEXTER |
In Fig. 7 the distribution of column density for the GPS sources
of our sample is shown. The mean value of the distribution is
cm-2 with a standard
deviation
dex.
The same figure shows the comparison with the control sample.
The core emission of FR I radio galaxies is generally unobscured or
only mildly obscured. In the Donato et al. (2004) FR I sample, less than
one-third of the sample exhibit excess obscuration above the
Galactic contribution, with rest-frame column densities in the
range
1020-21 cm-2, thus significantly lower than
observed in our sample.
The average of the column density distribution in the FR I
control sample is
cm-2.
FR II cores tend instead to include a heavily obscured component. However, a detailed quantitative
comparison between the GPS and the FR II control sample is difficult.
For 11 out of 54 FR II sources neither a measurement nor an upper limit on
the column density is available in the literature. These sources
are generally considered as unobscured (Hardcastle et al. 2006).
Lack of inclusion of these sources could potentially bias the control sample
distribution towards higher values. Bearing this caveat in mind, GPS galaxies
seems to fill a gap in the
distribution between highly obscured
(
1023 cm-2) and unobscured
(
1022 cm-2) FR II spectral components.
A potential area of concern is the comparison of column density measurements in samples, which are not well matched in redshift. However, Fig. 8 shows that this bias is not responsible for the difference between the average of the column density distribution in the GPS and FR II samples. Moreover, low-redshift GPS galaxies exhibit column densities not systematically lower than high-redshift ones.
![]() |
Figure 8: Core obscuring column density as a function of redshift for the GPS galaxies ( filled dots) and the FR II control sample ( empty squares). |
Open with DEXTER |
Hardcastle et al. (2006) remark that heavily absorbed nuclei are
rather common in narrow-line radio galaxies, whereas they are
comparatively rare in Low-Excitation Radio Galaxies
(LERG, Laing et al. 1994). There are
7 LERGs in our control sample; 5 of them have no column density
measurement; the remaining two have column density of
cm-2 (3C 123, Hardcastle et al. 2006)
and
1023 cm-2 (3C 427.1, Belsole et al. 2006).
Taking into account the low number statistics and the uncertainties
on the column density upper limits on formally ``unobscured'' LERGs,
the comparison between X-ray obscuration in LERGs and GPSs
is inconclusive.
![]() |
Figure 9: Comparison between the column densities measured in X-rays ( this paper) and with atomic hydrogen observations (Pihlström et al. 2003). The lines represent loci of constant X-ray versus HI column density ratio for ratio values of 1, 10, and 100 (from right to left), respectively. |
Open with DEXTER |
![]() |
Figure 10:
X-ray column density versus the size of the radio structure. The solid line represent the best censored data linear fit with a function:
|
Open with DEXTER |
The X-ray column density is significantly larger than
the column density measured by HI observations
by a factor 10 to 100. The comparison is shown in Fig. 9.
The estimate of the HI column density depends
on the values assumed for the spin temperature, ,
and for the fraction of background source covered
by the absorber,
.
The data in Fig. 9
assume
K and
(Pihlström et al. 2003; Gupta et al. 2006; Vermeulen et al. 2003).
The X-ray versus HI column density relation can be fit
with a zero-offset linear function if
is of
the order of a few thousands K (Ostorero et al. 2009).
Alternatively, a low covering fraction could be
responsible for the large X-ray to HI column density
ratio, although this explanation is less likely
given the large column densities measured in X-rays.
![]() |
Figure 11: Left panel: 2-10 keV versus 5 GHz logarithmic ratio versus redshift for the GPS ( filled dots) and the FR II sample ( empty squares). The obliquely shaded box indicates the locus of the FR I Chandra sample; the horizontally shaded box the locus of the blazar sample of Fossati et al. (1998); the dot-dashed line the locus corresponding to a typical Spectral Energy Distribution of a radio-loud quasar after Elvis et al. (1994b). Right panel: 2-10 keV versus 5 GHz core luminosity for the GPS galaxies ( filled circles), and a control sample of radio galaxies (FR I: empty circles, FR II: empty squares). The lines represent the best-fit regression line for censored data for X-ray weak GPS ( continuous), FR I ( dashed) and FR II ( dashed-dotted). |
Open with DEXTER |
Holt et al. (2003) proposed an ``onion-skin'' model for
the nuclear environment gas in B1345+125, to explain the
reddening properties of the different components
of the optical lines. The jet would
pierce its way through a dense
cocoon of gas and dust, with decreasing density at larger
distances from the radio core. If this scenario would
apply to the whole class of GPS samples, and
X-ray and radio emission originate in the same
physical system, one
might expect an anti-correlation between the measured
column density and the size of the radio structure, with
a large scatter due to the unknown line-of-sight angles
distribution. This correlation
is shown in Fig. 10.
A censored fit on this data with a function:
yields:
,
and
,
where
is the size
of the radio structure in
units of kpc. This result is formally robust,
but admittedly mainly driven
by the two extreme data points. A confirmation of this
correlation by increasing the number of small (r < 100 pc)
and large (r > 1 kpc) objects
for which spectroscopic X-ray data are
available is a task we are actively pursuing.
Interestingly enough, an anti-correlation
between the linear dimension of the sub-galactic radio galaxy and
the radio HI column density was discovered by
Pihilstöm et al. (2003).
As already pointed out by Gupta et al. (2006), this
anti-correlation could be driven by small sources probing
gas closer to the AGN and hence at a higher spin
temperatures.
In this context, it is also interesting to observe that
GPS quasars exhibit no absorption (with upper limits
1021 cm-2; Siemiginowska et al. 2008), as well
as diffuse emission associated with jets, binary structures or
embedding clusters.
The detection rate as well as the column density of HI
absorption increases with core prominence (Gupta & Saikia 2006).
The core prominence is a statistical indicator of the
orientation of the jet axis to the line of sight.
On the average HI absorbers are more common
and exhibit larger column densities in galaxies than
in quasars. This can be explained if the HI
absorbing gas is distributed in a circumnuclear disk
much smaller than the size of the radio emitting
region, and only a small fraction of it is obscured in
objects at large inclinations.
5.4 Radio-to-X-ray correlations
In the left panel of
Fig. 11 we compare the logarithmic ratio between the
2-10 keV and the core 5 GHz luminosity
(
,
where
is the luminosity density at
5 GHz) for the
GPS and the control sample.
Values for the GPS sample
range between -0.5 and 1.5. No clear dependence on
redshift is observed.
GPS galaxies are X-ray under-luminous by about an
order of magnitude with respect to
their radio power once compared to FR II radio galaxies,
blazars (Fossati et al. 1998)
and radio-loud quasars (Elvis et al. 1994b).
On the other hand, the X-ray-to-radio luminosity ratios
in GPS galaxies well match
values observed in FR I galaxies:
.
It is important to
stress again that there is almost no overlap in redshift
between the GPS and the FR I samples, though.
The interpretation of X-ray-to-radio luminosity
correlation depends on the origin of the bulk of the
VLA radio emission in compact galaxies. VLBI
observations of GPS galaxies unveiled a fraction
of Compact Symmetric Objects (CSO) between 30%
and 100% (Stanghellini et al. 1997, 1999; Liu et al. 2007; Xiang et al. 2005).
Three objects in our sample exhibit a CSO
morphology: PKS 0050+019, PKS 1345+125, and PKS 2008-068
(Stanghellini et al. 1997, 1999), although in all
these cases the morphology is rather complex, with
multiple component on scales
20 pc.
High-resolution, multi-frequency observations of
our sample would be required to
ultimately estimate which fraction of the VLA flux
can be safely attributed to a core.
From Fig. 11 a possible bimodality of the
X-ray-to-radio luminosity ratio in the GPS sample is apparent.
The fit of the
cumulative distribution function of this quantity with a single
Gaussian yields a Kolmogornov/Smirnov value of 0.33,
corresponding to null hypothesis probability of about
4%. A fit with a double Gaussian yields instead a value of
0.18, with a null hypothesis probability of 65%.
We consider this as a tentative piece of evidence for
bimodality only.
We will refer in the following to ``X-ray bright'' and
to ``X-ray weak'' GPS galaxies as those, whose
ratio is larger/smaller than 0.5,
respectively.
No significant difference in the spectral shape
between the the ``X-ray bright'' and ``X-ray weak'' sources was
observed. In particular, the obscuring column density
distributions are indistinguishable.
In the right panel of
Fig. 11 the 2-10 keV luminosity
is plotted against the 5 GHz luminosity. In FR I galaxies
a strong correlation between core X-ray, radio and
optical flux is known (Hardcastle & Worrall 2000; Chiaberge et al. 1999).
In our control sample, the slope of this correlation
is consistent with unity:
.
Interestingly enough, this slope is consistent
with the slope observed in ``X-ray weak'' GPS galaxies
,
with a
0.5 dex
offset at face-value. The ``X-ray bright'' sample
exhibits a significantly flatter slope, although
with large uncertainties (
).
Again, it is hard to estimate any bias associated with
the coarse spatial resolution of the GPS radio measurements.
6 Discussion
In this section we will review the main X-ray observational properties of our whole GPS sample, trying to address the three issues which originally motivated our study:
- What is the physical origin of the X-ray emission
in GPS galaxies?
- Which physical system is associated with the X-ray obscuration?
- What is the ``endpoint'' of the evolution of
compact radio sources?
6.1 X-ray spectral support for an accretion-disk origin
The distribution of spectral indices in the GPS sample
by itself does
not provide any stringent constraints
on the origin of X-ray emission
in GPS galaxies. The
mean value,
(
), is consistent
with spectral components associated with the jet
in radio galaxies
(
), as well as with
accretion (
,
Evans et al. 2006), although is nominally closer to the latter.
A possible clue may come from the fact that
the column density measured in X-rays is invariably
larger by 1-2 orders of magnitudes than that measured
in radio. This finding could be naturally explained
by X-rays being produced in a smaller region than the radio.
On the average, the radio morphology of compact radio sources
strikingly resembles that of large-scale radio doubles,
although on a scale which is entirely confined within
the optical narrow-line emission regions.
Radio emission traces therefore
the radio hotspot and lobes. X-rays could be instead
generated by the base of the jet, or
by the accretion disk.
Support for the X-rays arising from a relatively compact region
comes from the comparison
with radio-quiet AGN. Once a similar baseline
model is employed, Seyfert Galaxies have:
(Bianchi et al., submitted)
.
GPS galaxy X-ray spectra
lack the complexity that Seyferts typically exhibit. There
is no strong evidence for a soft excess (with the
only exception of OQ+208, Guainazzi et al. 2004), warm absorber,
warm scattering or Fe K
fluorescent emission
(with, again, the notable exceptions of OQ+208 and,
possibly PKS1607+26) in our sample. However, most of the GPS galaxy
spectra collected so far with either XMM-Newton or
Chandra do not possess the statistical quality that
would be needed for these additional spectral features to
be unambiguously detected.
The scatter in the X-ray to radio luminosity ratio, and its lack of dependency with source size and age (cf. also Fig. 13) may indicate a link between accretion disk and jet activity primarily driven by disk instabilities. 10-20% of GPS objects exhibit very extended radio (Stanghellini et al. 1990; Baum et al. 1990; Schoenmakers et al. 1999; Marecki et al. 2003) or X-ray (Siemiginowska et al. 2002, 2003) emission. These components have been interpreted as remnants of past enhanced activity. A similar behaviour on much shorter time scales is observed in Galactic Black Hole Candidates and micro-quasars, such as GRS 1915+105 (Fender et al. 2004; Belloni et al. 2000). Jet blobs are supposed to be fed by the evacuation of the innermost accretion disk regions. This mechanism yields alternating X-rays- (disk-dominated) and radio-bright (jet blob-dominated) phases. Models based on disk radiation pressure instabilities reproduce well the timescales of these transitions (Czerny et al., in preparation), although they don't make specific predictions on the evolution of the spectral energy distribution yet.
6.2 Dilution by X-rays from radio-emitting regions?
Most likely, the baseline model is indeed too simple. X-ray absorption could be ``diluted'' by X-rays coming from the high surface-brightness radio components, thus complicating the interpretation of the results derived by our simple baseline model. This scenario would also explain the (still tentative) anti-correlation between the X-ray column density and the size of the radio source (Fig. 10). In larger sources, a larger fraction of the X-ray emission associated with the radio hot-spots or lobes may be visible beyond the rim of the obscuring matter. Should this indeed be the case, we should, however, observe deviations from a simple power-law spectral shape. We indeed observe a soft excess in the radio-loud Compton-thick GPS galaxy OQ+208. This is the closest object in our sample, and the only one where high-resolution spatially-resolved spectroscopy with Chandra could provide direct observational clues on the physical location of the X-ray emitting plasma.
6.3 The X-ray obscuring environment
Lacking other direct pieces of evidence from X-rays alone, one may use multiwavelength diagnostics to obtain further clues on the origin of the X-ray emission in GPS galaxies. A well established diagnostic tool for X-ray obscuration in radio-quiet AGN involves the comparison between the column density measured in X-rays the absorption-corrected ratio of X-ray to O [III] fluxes (Maiolino et al. 1998). In the context of Seyfert galaxies, this diagram is used to calibrate the latter quantity as an estimator for obscuration. We use here the same plot with a different purpose, namely to test whether the ionising continuum powering the Narrow Line Regions in GPS galaxies has the same properties as in Seyfert galaxies once normalised to the X-ray primary emission. If this is the case, one may conclude that the ``normalising primary continua'' share the same properties in the two populations. The results of this comparison are shown in Fig. 12. 5 objects in our GPS sample have spectroscopic O [III] measurements (O'Dea 1998; Labiano et al. 2005, 2008, and references therein). The ``control sample'' is a collection of Seyfert 2-galaxies measurements in Guainazzi et al. (2005). The agreement is good. Although more GPS data would be required to ensure a homogeneous coverage of this plane, this piece of evidence further points towards an accretion origin for the X-ray emission in GPS galaxies.
![]() |
Figure 12: X-ray column density versus the ratio between the absorption-corrected 2-10 keV and the O [III] fluxes. The filled squares are the 5 GPS galaxies in our sample for which O [III] measurements are available; the empty circles represent a sample of Seyfert 2 galaxies after Guainazzi et al. (2005). |
Open with DEXTER |
Interestingly, the fraction of Compton-thick AGN in the
GPS sample (
,
if PKS1607+26 is
considered) is comparable to fractions observed
in radio-quiet AGN (Heckman et al. 2005).
Conversely, only one Compton-thick
AGN has been detected in large-scale radio
galaxies (Erlund et al. 2008), although FR II exhibit typically
spectral components with very large obscuration
(Evans et al. 2006; Belsole et al. 2006).
6.4 X-ray emission entirely associated with radio-emitting regions?
We now investigate the implications of the difference between X-ray
and radio H I column densities, possibly due
to the ionisation state of a single gas system
covering simultaneously the radio and the X-ray
emission.
Attributing this difference solely to ionisation effects would
mean ionisation fractions of 90% to 99% (see the discussion
in Vink et al. 2005). Photoionisation simulations with CLOUDY
(Ferland et al. 1998) show that this corresponds to
an ionisation parameter
20 for a gaseous nebula photoionised by a typical AGN continuum. An anti-correlation between the HI column density
and the linear projected size of the radio source
is now well established (Pihlström et al. 2003; Gupta & Saikia 2006; Vermeulen et al. 2003).
Smaller sources (<0.5 kpc)
tend to have larger H I column density than
larger sources (>0.5 kpc).
If not driven by uncertainties in the
spin temperature of the H I absorbing gas, this
anticorrelation can be explained by GPS galaxies hosting young
radio sources, which evolve in a disk distribution of
gas with a power-law radial density dependence. The same
explanation could lay behind the (tentative)
anti-correlation between X-ray column density
and radio size in GPS galaxies (Fig. 10).
One can assume a scenario where the radio and
X-ray source are seen through the same line-of-sight
and are both embedded in a screen of ionised gas, responsible
for X-ray photoelectric absorption as well as for radio
free-free absorption. From the definition of
ionisation parameter, it follows for the X-ray
regime:

where



where



where


![]() |
Figure 13: X-ray to radio luminosity ratio versus the linear size for the sources of our GPS sample. The lines indicate the predictions of the Stawarz et al. (2008) model for jet kinetic powers ranging from 1044 erg s-1 to 1047 erg s-1. Dashed lines: power-law injection function (Fig. 2 in their paper); dotted lines: broken power-law injection function (Fig. 3 in their paper). |
Open with DEXTER |
If the compact jet ``drills'' its way through
such a medium, would it be significantly decelerated
or even ``frustrated'', i.e. permanently confined? This
issue was discussed by Guainazzi et al. (2004) for
the case of the Compton-thick absorber in OQ+208.
They concluded that for large inclination angles or
large thickness of the Compton-thick layer, the jet
could have been significantly decelerated by the interaction
with the ambient medium. Although permanent confinement
is unlikely in OQ+208, underestimating the evolution time scale
by one-two orders of magnitude is possible. Let's revise
their argument for the whole sample of GPS galaxy.
The expansion time for a jet propagating under
pressure equilibrium through an homogeneous medium can
be expressed as (Carvalho 1985,1998; Scheuer 1974):

where



where we have compacted all the geometrical factors in the variable

6.5 Evolution of GPS sources
If the jet can indeed survive its eventful youth, and grow to reach a full level of kpc-scale maturity and beyond, what would it look like? The radio-to-X-ray luminosity plane does not ultimately elucidate the possible connection between GPS and ``mature'' radio galaxies. GPS galaxies are intriguingly well aligned along the extrapolation at high radio power of the correlation between radio core and X-ray luminosity valid for FR I radio galaxies (Evans et al. 2006). This correlation was proposed as a piece of evidence supporting a jet origin of unabsorbed X-ray spectral components in FR I radio galaxies. On the other hand, GPS galaxies have a comparable X-ray luminosity to FR IIs (cf. Fig. 11). In FR IIs, the obscured X-ray spectral component is probably associated with accretion onto the supermassive black hole obscured by a ``torus'', in analogy to the accepted paradigm applicable to radio-quiet AGN (Piconcelli et al. 2008). If the X-ray emission in GPS galaxies is due to accretion, the evolution of the radio and X-ray wavebands could be totally decoupled. Radio power would decline with the linear size (see, e.g., Fanti et al. 1995) while the sources expand through the ISM; at the same time the accretion disk would maintain a stable flow. At the end of their infancy, GPS galaxies would reach their glamorous maturity as FR II radio galaxies.
Evolutionary scenarios require that the radio luminosity
of GPS sources decreases with evolution, not
to exceed the number of observed FR II galaxies
(Readhead et al. 1996). Recently, Stawarz et al. (2008)
have proposed an evolutionary model for GPS sources,
which explicitly predicts the dependency of the
broadband Spectral Energy Distribution
on the source linear size. In their model
high-energy emission is produced by
upscattering of various photon fields
by the lobes' electrons. They predict a decrease of
the X-ray to radio luminosity ratio by 1-2 orders of
magnitude when the GPS source size increases
from 30 pc to 1 kpc. In Fig. 13
we compare this prediction with our observations. There is
no evidence for a strong anti-correlation between the
two quantities; the slope of the best linear fit is
(1-
statistical error). Still,
the observational data are consistent with the Stawarz et al.
model predictions, if the GPS galaxies in our sample cover a wide
range in jet kinetic power.
It is still impossible with the available data to
decide between an evolutionary scenario in which the
source evolves into a conventional FR II or FR I radio galaxy. To achieve this
goal, photometric X-ray observations of sizable samples of
low-luminosity (
erg s-1)
GPS galaxies would be crucial. Fortunately, it is now
in principle possible to perform this experiment, thanks to
the point-like source sensitivity and scheduling flexibility of Chandra.
7 Summary and conclusions
The main scope of this paper is
reporting our current knowledge on
X-ray emission in GPS galaxies. For the first time a
complete radio-selected sample of GPS galaxies
has been almost entirely
observed with a modern X-ray observatory (mostly
with XMM-Newton). The sample
comprises all the z < 1 sources of the
Stanghellini et al. (1998) sample having a
5 GHz flux density
1 Jy. The main
results of our study can be summarised as follows:
- We obtain a very large detection fraction;
all the sources of our sample yield a detection in
the soft X-ray band (0.5-2 keV), whereas 15 out of 16
are detected in the full band (0.5-10 keV).
- In almost all cases, a simple power law
modified by photoelectric absorption represents
an adequate description of the 0.5-10 keV spectrum.
In a few objects
the number of net counts is
not good enough to allow a full spectral analysis. In this case
basic spectral parameters were derived from hardness ratios
assuming the baseline model above.
- The mean of the spectral indices distribution
is
(
). Although the uncertainty on this parameter is still too large to pinpoint the physical mechanism responsible for the observed X-ray emission, at face value the
distribution is closer to those AGN classes, whose X-ray emission is believed to be dominated by accretion: Seyfert Galaxies and the obscured spectral component in FR II radio galaxies.
- We report the possible discovery of a Compton-thick
AGN in PKS1607+26.
Radio-loud Compton-thick AGN are still an
elusive population (Comastri 2004). Together
with OQ+208 - the other Compton-thick AGN in the sample -
PKS1607+26 is the only GPS galaxy where
an X-ray emission line has been detected,
possibly associated with Fe K
fluorescence.
- X-ray spectra of GPS galaxies are significantly obscured.
The mean value of the column density distribution
(without PKS1607+26, due to pending uncertainties on
the identification of this source) is
cm-2 with a standard deviation
dex. Such a value is much larger than column densities measured in a control sample of FR I radio galaxies, but still less than column densities covering accretion-related X-ray spectral components in FR II radio galaxies (Evans et al. 2006; Balmaverde et al. 2006; Belsole et al. 2006).
- The X-ray column density measured in almost all GPS
galaxies is larger than the HI column density
measured in the radio by a factor 10 to 100.
This could be the signature of
physically different absorption
systems (Vink et al. 2005; Guainazzi et al. 2006)
or of a single system characterised by
a spin temperature
103 K (Ostorero et al. 2009). We report a possible anti-correlation between the projected linear size of the radio source and the X-ray column density, analogous to the anti-correlation between radio size and HI column density reported by Pihlström et al. (2003) and Gupta et al. (2006).
- GPS galaxies occupy a specific locus in the
radio versus X-ray luminosity plane. They lie well on the
extrapolation to high radio powers of
the correlation between these two quantities discovered in
low-luminosity FR I radio galaxies. On the
other hand, GPS galaxies exhibit a comparable X-ray
luminosity to FR II radio galaxies, notwithstanding their
much larger radio luminosity.
- GPS galaxies occupy the same locus as Seyfert
galaxies in the O[III] to X-ray luminosity ratio versus
X-ray column density diagnostic plane.


The evolutionary scenarios described above postulate
that GPS sources are young objects, as also indicated by
the direct measurement of their dynamical age.
Eventually GPS galaxies would
reach their full maturity as classical FR II radio galaxies.
However, column densities
1022 cm-2fully surrounding the expanding radio source could significantly
brake, if not entirely inhibit, this glazing future, leading
to a significant underestimate of dynamical ages based on
hotspots recession velocity measurements.
Extending the number of X-ray measurements of
low-luminosity (
erg s-1) GPS galaxies is the next step we
intend to pursue, in order to pinpoint the endpoint of their
evolution.
Appendix A: a serendipitous blazar in the field of 4C+00.02
A bright off-axis sources is visible in the EPIC field of view of the
XMM-Newton 4C+00.02 observation. This source will be referred in
the following as
XMMU J002200.8+000655. It is outside the field of view of the
XMM-Newton Optical Monitor.
The best-fit parameters when the baseline model is
applied to its spectrum are summarised in Table A.1.
The EW of a unresolved Fe K
neutral fluorescent line is
constrained to be lower than 400 eV.
Table A.1: Fitting results for XMMU J002200.8+000655.
This source was already known as 1RXS J002200.9+000659 (Voges et al. 1999). We have searched with Aladin for available measurements at other wavelengths. We have found data in GALEX GR4, SDSS (Adelman-McCarthy et al. 2008), 2MASS, and FIRST (White et al. 1997). In Fig. A.1 we compare the Spectral Energy Distribution (SED), with the average SED for radio-quiet and radio-loud quasars normalised at 1 keV (Elvis et al. 1994b) and with the ``blazar track'' corresponding to objects with the same radio luminosity as XMMU J002200.8+000655 (Fossati et al. 1998). As can be seen in Fig. A.1 the blazar SED track qualitatively agrees with the XMMU J002200.8+000655 SED. This source appears in NED as a BL Lac candidate, and in Véron-Cetty & Veron (2006) as a confirmed BL Lac object. Its optical spectrum was previously studied by Collinge et al. (2005), but heavy contamination by the host galaxy prevented its properties from being properly studied.
![]() |
Figure A.1: The Spectral Energy Distribution (SED) for XMMU J002200.8+000655. The photometric points are compared with standard SED for Blazars (boxes, Fossati et al. 1998) and radio-quiet and radio-loud quasars (dotted line and solid line, respectively; Elvis et al. 1994a), normalised at the value of XMMU J002200.8+000655 at 1 keV. |
Open with DEXTER |
Appendix B: Summary of the radio and X-ray properties of the whole GPS sample
In Table B.1 we report a summary of the X-ray properties of the whole GPS sample discussed in this paper, together with the 5 GHz luminosity after O'Dea (1998) and Stanghellini et al. (1998).
Table B.1: X-ray properties and radio luminosity of the whole GPS sample discussed in this paper (Sects. 5 and 6).
Acknowledgements
Based on observations obtained with XMM-Newton, an ESA science mission with instruments and contributions directly funded by ESA Member States and NASA This research has made use of data obtained through the High Energy Astrophysics Science Archive Research Centre Online Service, provided by the NASA/Goddard Space Flight Centre and of the NASA/IPAC Extragalactic Database (NED) which is operated by the Jet Propulsion Laboratory, California Institute of Technology, under contract with the National Aeronautics and Space Administration. O.T. thanks the whole ESA administration, and in particular Nienke de Boer, Marcus Kirsch and Fernando Maura, for their support during a six-month traineeship at ESAC, where most of the data analysis included in this paper was performed. This research is funded in part by NASA grant NNX07AQ55G. O.T. gratefully acknowledge an ESA Internal Fellowship Trainee grant. A.S. is partly supported by NASA contract NAS8-39073. The authors thank C. Stanghellini for a critical revision of an early version of this manuscript. Last, but not least, the authors gratefully acknowledge a careful and accurate referee report by Dr. D. J. Saikia, which greatly improved the overall presentation of the paper, while allowing us to better clarify some aspects of the radio measurements discussed in this paper.
References
- Adelman-McCarthy, J. K., Agüeros, M. A, Allam, S. S., et al. 2008, ApJS, 175, 297 [NASA ADS] [CrossRef] (In the text)
- Arnaud, K. A. 1996, Astronomical Data Analysis Software and Systems V, ed. G. Jacoby, J., & Barnes, ASP Conf. Ser., 101, 17 (In the text)
- Balmaverde, B., Capetti, A., & Grandi, P. 2006, A&A, 451, 35 [NASA ADS] [CrossRef] [EDP Sciences]
- Baum, S. A., O'Dea, C. P., de Bruyn, A. G., & Murphy, D. W. 1990, A&A, 232, 19 [NASA ADS]
- Belloni, T., Migliari, S., & Fender, R. P. 2000, 358, L29
- Belsole, E., Worrall, D. M., & Hardcastle, M. J. 2006, MNRAS, 366, 339 [NASA ADS]
- Biretta, J. A., Schneider, D. P., & Gunn, J. E. 1985, AJ, 90, 2508 [NASA ADS] [CrossRef]
- Carvalho, J. C. 1985, A&A, 150, 129 [NASA ADS]
- Carvalho, J. C. 1998, A&A, 329, 845 [NASA ADS]
- Cash, W. 1976, A&A, 52, 307 [NASA ADS] (In the text)
- Chiaberge, M., Capetti, A., & Celotti, A. 1999, A&A, 349, 77 [NASA ADS]
- Collinge, M.-J., Strauss, M.-A., Hall, P.-B., et al. 2005, AJ, 129, 2542 [NASA ADS] [CrossRef]
- Comastri, A. 2004, ASSL, 308, 245 [NASA ADS] (In the text)
- Donato, D., Sambruna, R. M., & Gliozzi, M. 2004, ApJ, 617, 915 [NASA ADS] [CrossRef]
- Elvis, M., Fiore, F., Wilkes, B., McDowell, J., & Bechtold, J. 1994a, ApJ, 422, 60 [NASA ADS] [CrossRef] (In the text)
- Elvis, M., Wilkes, B. J., McDowell, J. C., et al. 1994b, ApJS, 95, 1 [NASA ADS] [CrossRef] (In the text)
- Erlund, M. C., Fabian, A. C., Blundell, K. M., & Crawford, C. S. 2008, MNRAS, 385, L125 [NASA ADS] (In the text)
- Evans, D. A., Worrall, D. M., Hardcastle, M. J., Kraft, R. P., & Birkinshaw, M. 2006, ApJ, 642, 96 [NASA ADS] [CrossRef]
- Fanti, C., Fanti, R., Dallacasa, D., et al. 1995, A&A, 302, 317 [NASA ADS]
- Fender, R. P., Belloni, T. M., & Gallo, E. 2004, MNRAS, 355, 1105 [NASA ADS] [CrossRef]
- Ferland, G. J., Korista, K. T., Verner, D. A., et al. 1998, PASP, 110, 761 [NASA ADS] [CrossRef] (In the text)
- Fossati, G., Maraschi, L., Celotti, A., Comastri, A., & Ghisellini, G. 1998, MNRAS, 299, 433 [NASA ADS] [CrossRef] (In the text)
- Gabriel, C., Denby, M., Fyfe, D. J., Hoar, J., & Ibarra, A. 2003, in Astronomical Data Analysis Software and Systems XIII, ed. F. Ochsenbein, M. Allen, & D. Egret (San Francisco: ASP), ASP Conf. Ser., 314, 759 (In the text)
- Gopal-Krishna, Wiita P. J. 1991, ApJ, 373, 325 [NASA ADS] [CrossRef]
- Grandi, P., Malaguti, G., & Fiocchi, M. 2006, ApJ, 642, 113 [NASA ADS] [CrossRef] (In the text)
- Guainazzi, M. 2008, Status of EPIC Calibrations, XMM-Newton SOC:ESAC, available at: http://xmm2.esac.esa.int/docs/documents/CAL-TN-0018.pdf
- Guainazzi, M., Siemiginowska, A., Rodriguez-Pascual, P., & Stanghellini, C. 2004, A&A, 421, 461 [NASA ADS] [CrossRef] [EDP Sciences]
- Guainazzi, M., Matt, G., & Perola, G. C. 2005, A&A, 444, 119 [NASA ADS] [CrossRef] [EDP Sciences]
- Guainazzi, M., Siemiginowska, A., Stanghellini, C., et al. 2006, A&A, 446, 87 [NASA ADS] [CrossRef] [EDP Sciences]
- Gugliucci, N. E., Taylor, G. B., Peck, A. B., & Giroletti M. 2005, ApJ, 622, 136 [NASA ADS] [CrossRef]
- Gupta, N., & Saikia, D. J. 2006, MNRAS, 370, 738 [NASA ADS] (In the text)
- Gupta, N., Salter, C. J., Saikia, D. J., Ghosh , T., & Jeyakumar, S. 2006, MNRAS, 373, 972 [NASA ADS] [CrossRef]
- Hardcastle, M. J., & Worrall, D. A. 2000, MNRAS, 314, 969 [CrossRef]
- Hardcastle, M. J., Evans, D. A., & Croston, J. H. 2006, MNRAS, 370, 1893 [NASA ADS]
- Heckman, T. M., Ptak, A., Hornschemeier, A., & Kauffmann, G. 2005, ApJ, 634, 161 [NASA ADS] [CrossRef] (In the text)
- Holt, J., Tadhunter, C. N., & Morganti, R. 2003, MNRAS, 342, 227 [NASA ADS] [CrossRef]
- Kalberla, P. M. W., Burton, W. M., Hartmann, D., et al. 2005, A&A, 440, 775 [NASA ADS] [CrossRef] [EDP Sciences] (In the text)
- Isobe, T., Feigelson, E. D., & Nelson, P. I. 1986, ApJ, 306, 490 [NASA ADS] [CrossRef]
- Labiano, A., O'Dea, C., Gelderman, R., et al. 2005, A&A, 436, 493 [NASA ADS] [CrossRef] [EDP Sciences]
- Labiano, A., O'Dea, C., Barthel, P. D., de Vries, W. H., & Baum, S. A. 2008, A&A, 477, 491 [NASA ADS] [CrossRef] [EDP Sciences]
- Laing, R. A., Jenkins, C. R., Wall, J. V., & Unger, S. W. 1994, in The First Stromlo Symposium: The Physics of Active Galactic Nuclei, ed. G. V. Bicknell, M. A. Dopita, & P. A. Quinn, ASP Conf. Ser., 54, 201 (In the text)
- Lister, M. 2003, ASPC, 300, 71 [NASA ADS]
- Liu, X., Fuo, W.-F., Shi, W.-Z., & Song, H.-G. 2007, A&A, 470, 97 [NASA ADS] [CrossRef] [EDP Sciences]
- Magdziarz, P., & Zdziarski, A. A. 1995, MNRAS 273, 837
- Marecki, A., Barthel, P. D., Polatidis, A., & Owsianik, I. 2003, PASA, 20, 16 [NASA ADS]
- Maiolino, R., Salvati, M., Bassani, L., et al. 1998, A&A, 338, 781 [NASA ADS] (In the text)
- Mazzarella, J. M., Bothun, G. D., & Boroson, T. A. 1991, AJ, 101, 2034 [NASA ADS] [CrossRef]
- Morrison, R., & McCammon, D. 1983, ApJ, 270, 199 [NASA ADS] [CrossRef] (In the text)
- Murgia, M. 2003, PASA, 20, 19 [NASA ADS]
- O'Dea, C. 1998, PASP, 110, 493 [NASA ADS] [CrossRef]
- O'Dea, C., Baum, S. A., & Stanghellini, C. 1991, ApJ, 380, 66 [NASA ADS] [CrossRef]
- O'Dea, C., Stanghellini, C., Baum, S., & Charlot, S. 1996, ApJ, 470, 806 [NASA ADS] [CrossRef]
- O'Dea, C., de Vries, W. H., Worrall, D. M., Baum, S., & Koekmoer, A. 2000, AJ, 119, 478 [NASA ADS] [CrossRef]
- O'Dea, C., Mu, B., Worrall, D. M., et al. 2006, ApJ, 653, 1115 [NASA ADS] [CrossRef] (In the text)
- Osterbrock, D. E. 1977, ApJ, 215, 733 [NASA ADS] [CrossRef]
- Ostorero, L., Moderski, R., Stawarz, , et al. 2009, AN, 330, 275 [NASA ADS] (In the text)
- Phillips, R. B., & Shaffer, D. B. 1983, ApJ, 271, 32 [NASA ADS] [CrossRef]
- Piconcelli, E., Bianchi, S., Miniutti, G., et al. 2008, A&A, 480, 671 [NASA ADS] [CrossRef] [EDP Sciences] (In the text)
- Pihlström, Y. M., Conway, J. E., & Vermeulen, R. C. 2003, A&A, 404, 871 [NASA ADS] [CrossRef] [EDP Sciences] (In the text)
- Polatidis, A. G., & Conway, J. E. 2003, PASA, 20, 69 [NASA ADS]
- Readhead, A. C. S., Taylor, G. B., Pearson, T. J., & Wilkinson, P. N. 1996, ApJ, 460, 634 [NASA ADS] [CrossRef] (In the text)
- Risaliti, G. 2002, A&A, 386, 379 [NASA ADS] [CrossRef] [EDP Sciences]
- Sambruna, R., Eracleous, M., & Mushotzky, R. 1999, ApJ, 526, 60 [NASA ADS] [CrossRef] (In the text)
- Schoenmakers, A. P., de Bryun, A. G., Röttgering, H. J. A., & van der Laan, H. 1999, A&A, 341, 44 [NASA ADS]
- Scheuer, P. A. G. 1974, MNRAS, 166, 513 [NASA ADS]
- Schmitt, J. H. M. M. 1985, A&A, 293, 178 [NASA ADS]
- Siemiginowska, A., Bechtold, J., Aldcroft, T. L., et al. 2002, ApJ, 570, 543 [NASA ADS] [CrossRef] (In the text)
- Siemiginowska, A., Stanghellini, C., Brunetti, G., et al. 2003, ApJ, 595, 643 [NASA ADS] [CrossRef]
- Siemiginowska, A., Cheung, C. C., LaMassa, S., et al. 2005, ApJ, 632
- Siemiginowska, A., LaMassa, S., Aldcroft, T. L., Bechtold, J., & Elvis, M. 2008, 684, 811 (In the text)
- Spergel, D. N., Bean, R., Doré, O., et al. 2007, ApJS, 170, 377 [NASA ADS] [CrossRef] (In the text)
- Stanghellini, C. 2006, in Proceedings of the 8th VLBI Network Symposium, ed. A. Marecki et al., 18
- Stanghellini, C., Baum, S. A., O'Dea, C. P., & Morris, G. B. 1990, A&A, 233, 379 [NASA ADS]
- Stanghellini, C., O'Dea, C. P., Baum, S. A., et al. 1997, A&A, 325, 953 [NASA ADS]
- Stanghellini, C., O'Dea, C. P., Dallacasa, D., et al. 1998, A&AS, 131, 303 [NASA ADS] [CrossRef] [EDP Sciences]
- Stanghellini, C., O'Dea, C. P., & Murphy, D. W. 1999, A&ASS, 134, 309 [NASA ADS] [CrossRef]
- Stawarz, ., Ostorero, L., Begelman, M. C., et al. 2008, ApJ, 680, 911 [NASA ADS] [CrossRef]
- Strüder, L., Briel, U., Dannerl, K., et al. 2001, A&A, 365, L18 [NASA ADS] [CrossRef] [EDP Sciences] (In the text)
- Turner, M. J. L., Abbey, A., Arnaud, M., et al. 2001, A&A, 365, L27 [NASA ADS] [CrossRef] [EDP Sciences] (In the text)
- Vermeulen, R. C., Pihlström, Y. M., Tschager, W., et al. 2003, A&A, 404, 861 [NASA ADS] [CrossRef] [EDP Sciences]
- Véron-Cetty,
M.-P., & Veron, P. 2006, A catalogue of quasars and active
nuclei: 12
edition
- Vink, J., Snellen, I., Mack, K.-H., & Schillizzi, R. 2005, MNRAS, 367, 928 [NASA ADS] [CrossRef]
- Voges, W., Aschenbach, B., Boller, T., et al. 1999, A&AS, 349, 389 [NASA ADS] (In the text)
- White, R.-L., Becker, R.-H., Helfand, D.-J., & Gregg, M.-D. 1997, ApJ, 475, 479 [NASA ADS] [CrossRef] (In the text)
- Xiang, L., Dallacasa, R., Cassaro, P., Jiang, D., & Reynolds, C. 2005, 434, 123
Footnotes
- ...
(2006)
- Guainazzi et al. (2006) present also data of COINSJ0029+3456; this source was later discovered to host a blazar, and won't be considered in the sample discussed in this paper.
- ... catalogue)
- http://nedwww.ipac.caltech.edu/
- ...(Kalberla et al. 2005)
- http://heasarc.gsfc.nasa.gov/cgi-bin/Tools/w3nh/ w3nh.pl
- ... matter
- On an ``historical'' note, the GPS galaxy OQ+208 was the first radio-loud Compton-thick AGN ever discovered (Guainazzi et al. 2004).
- ... sample
- 4C+32.44, 4C+62.22, B03710+439, COINSJ2355+4950,
PKS0500+019, PKS1345+125, PKS2127+04, OQ+208. - ... submitted)
- This is not the intrinsic spectral index, which can be significantly larger due to the hardening effect of ionised absorbers of disk/torusreflection.
All Tables
Table 1: The GPS sample discussed in this paper.
Table 2:
Properties of the X-ray observations discussed in this paper.
Exposure times ()
and Count Rates (CR) refer to the pn
in the 0.5-10 keV band (unless otherwise specified).
is the count rate threshold applied in the determination
of the Good Time Interval for scientific product extraction (details in
text).
is the radius of the scientific products extraction
region.
is the column density due to gas in the Milky Way
along the line-of-sight to the GPS galaxy (Kalberla et al. 2005)
in units of 1020 cm-2.
Table 3: Best-fit parameters and results for the sources where spectral analysis was possible.
Table 4:
Constraints on the intrinsic column density
derived from iso-HR contours in the
versus
parameter space. No constraint can be derived for 4C+00.02.
Table A.1: Fitting results for XMMU J002200.8+000655.
Table B.1: X-ray properties and radio luminosity of the whole GPS sample discussed in this paper (Sects. 5 and 6).
All Figures
![]() |
Figure 1:
Spectra of the three EPIC instruments
( upper panels), and
residuals in units of standard deviation
( lower panels) when the baseline model is applied.
In addition to the binning applied to the spectra to ensure
the applicability of the |
Open with DEXTER | |
In the text |
![]() |
Figure 2:
Confidence level loci in the ( |
Open with DEXTER | |
In the text |
![]() |
Figure 3: EPIC-pn spectrum of PKS1607+26 in the 2-10 keV energy band (observer's frame). The data points have been rebinned such that each displayed spectral channel has a signal-to-noise ratio larger than 1. The solid line represents the best-fit reflection-dominated model (details in text). |
Open with DEXTER | |
In the text |
![]() |
Figure 4:
Iso- |
Open with DEXTER | |
In the text |
![]() |
Figure 5:
Iso- |
Open with DEXTER | |
In the text |
![]() |
Figure 6: Distribution of the photon index for the GPS sub-sample (8 objects), where data quality warranted spectral analysis. |
Open with DEXTER | |
In the text |
![]() |
Figure 7: Distribution of the core obscuring column densities for the GPS sample ( bottom panel), the FR I ( upper panel) and FR II ( middle panel) control samples. Shaded areas indicate upper limits; empty areas indicate lower limits. |
Open with DEXTER | |
In the text |
![]() |
Figure 8: Core obscuring column density as a function of redshift for the GPS galaxies ( filled dots) and the FR II control sample ( empty squares). |
Open with DEXTER | |
In the text |
![]() |
Figure 9: Comparison between the column densities measured in X-rays ( this paper) and with atomic hydrogen observations (Pihlström et al. 2003). The lines represent loci of constant X-ray versus HI column density ratio for ratio values of 1, 10, and 100 (from right to left), respectively. |
Open with DEXTER | |
In the text |
![]() |
Figure 10:
X-ray column density versus the size of the radio structure. The solid line represent the best censored data linear fit with a function:
|
Open with DEXTER | |
In the text |
![]() |
Figure 11: Left panel: 2-10 keV versus 5 GHz logarithmic ratio versus redshift for the GPS ( filled dots) and the FR II sample ( empty squares). The obliquely shaded box indicates the locus of the FR I Chandra sample; the horizontally shaded box the locus of the blazar sample of Fossati et al. (1998); the dot-dashed line the locus corresponding to a typical Spectral Energy Distribution of a radio-loud quasar after Elvis et al. (1994b). Right panel: 2-10 keV versus 5 GHz core luminosity for the GPS galaxies ( filled circles), and a control sample of radio galaxies (FR I: empty circles, FR II: empty squares). The lines represent the best-fit regression line for censored data for X-ray weak GPS ( continuous), FR I ( dashed) and FR II ( dashed-dotted). |
Open with DEXTER | |
In the text |
![]() |
Figure 12: X-ray column density versus the ratio between the absorption-corrected 2-10 keV and the O [III] fluxes. The filled squares are the 5 GPS galaxies in our sample for which O [III] measurements are available; the empty circles represent a sample of Seyfert 2 galaxies after Guainazzi et al. (2005). |
Open with DEXTER | |
In the text |
![]() |
Figure 13: X-ray to radio luminosity ratio versus the linear size for the sources of our GPS sample. The lines indicate the predictions of the Stawarz et al. (2008) model for jet kinetic powers ranging from 1044 erg s-1 to 1047 erg s-1. Dashed lines: power-law injection function (Fig. 2 in their paper); dotted lines: broken power-law injection function (Fig. 3 in their paper). |
Open with DEXTER | |
In the text |
![]() |
Figure A.1: The Spectral Energy Distribution (SED) for XMMU J002200.8+000655. The photometric points are compared with standard SED for Blazars (boxes, Fossati et al. 1998) and radio-quiet and radio-loud quasars (dotted line and solid line, respectively; Elvis et al. 1994a), normalised at the value of XMMU J002200.8+000655 at 1 keV. |
Open with DEXTER | |
In the text |
Copyright ESO 2009
Current usage metrics show cumulative count of Article Views (full-text article views including HTML views, PDF and ePub downloads, according to the available data) and Abstracts Views on Vision4Press platform.
Data correspond to usage on the plateform after 2015. The current usage metrics is available 48-96 hours after online publication and is updated daily on week days.
Initial download of the metrics may take a while.