| Issue |
A&A
Volume 501, Number 2, July II 2009
|
|
|---|---|---|
| Page(s) | 411 - 417 | |
| Section | Astrophysical processes | |
| DOI | https://doi.org/10.1051/0004-6361/200911693 | |
| Published online | 19 May 2009 | |
Low and high velocity clouds produced by young stellar clusters
A. Rodríguez-González1 - A. C. Raga1 - J. Cantó2
1 - Instituto de Ciencias Nucleares, Universidad Nacional Autónoma de México,
Ap. 70-543, México, D.F., CP: 04510, México
2 -
Instituto de Astronomía, Universidad Nacional Autónoma de México, Ap. 70-468, México, D.F., CP: 04510, México
Received 20 January 2009 / Accepted 5 April 2009
Abstract
Context. Intermediate and high velocity HI clouds rain onto the plane of our Galaxy. They are observed at heights of between 500 and 1500 pc, falling onto the Galactic plane at velocities from 50 to 140 km s-1.
Aims. To explain the origin of these clouds, we present a galactic fountain model, driven by the wind from a super stellar cluster (SSC).
Methods. We solve the equations for a steady, radiative de Laval nozzle flow. We consider two effects not considered previously in astrophysical nozzle flow models: cooling functions for different metallicities, and the direct action of the galactic gravitational field on the gas flowing along the nozzle.
Results. For an adiabatic nozzle flow, the gravity acting directly on the gas within the nozzle ``stalls'' the nozzle flow for initial wind velocities lower than the escape velocity from the Galaxy. For the same wind velocity, a radiative nozzle flow stalls at lower altitudes above the galactic plane. We find that SSC winds with velocities of
km s-1 produce nozzles stall at heights of
kpc. The stalled nozzle flow then rains back onto the galactic plane at velocities in the range observed in intermediate and high velocity HI clouds.
Conclusions. We study a nozzle flow driven by a wind from a SSC close to the Galactic centre. We find that for velocities within the range expected for a SSC wind, we can produce nozzle flows that stall above the galactic plane. These stalled flows produce cool, infalling clouds with velocities similar to those of intermediate and high velocity HI clouds.
Key words: hydrodynamics - ISM: jets and outflows - galaxies: star clusters - galaxies: starburst - galaxies: intergalactic medium
1 Introduction
The observations of Munch & Zirin (1691) showed absorption (mostly Ca II) lines of interstellar clouds at distances of 500-1500 pc above the Galactic plane. These high altitude interstellar clouds have been described by many authors as neutral hydrogen (HI) clouds at distances of between 300 pc and 12 kpc with infall velocities between -50 and -140 km s-1.
The clouds have been divided into two categories:
intermediate-velocity clouds (IVCs) and high-velocity clouds (HVCs).
IVCs have radial velocities in the range of 30 km s-1
km s-1 with respect to the LSR, and HVCs have radial velocities
km s-1. In the
Galaxy (and in other galaxies), the IVCs have typical altitudes
of between 300 pc and 2.5 kpc, and masses of up to
104
.
HVCs have been observed at higher altitudes (of up to
12 kpc).
Several complexes of HVCs with masses of
105-106
have been observed (see, e. g., Wakker & van Woerden 1997).
The general characteristics of HI clouds in
the Galaxy were discussed by Dickey & Lockman (1990) and
Wakker & van Woerden (1997). Their general chemical properties were
described by Lu et al. (1998), Wakker et al. (1999), Murphy et al. (2000), Sembach et al. (2000), and Bluhm et al. (2001).
Significant progress has been made in exploring the distribution of IVCs and HVCs in the halo of the Galaxy (see, e.g., Dettmar 2005). However, the origin of these clouds is unclear. Oort (1970) proposed that high altitude clouds (in the Galaxy) are formed in past episodes of star formation. Several authors have used this scenario to explain the origin of the IVCs. However, the HVCs have been considered to be extragalactic objects that are about to merge with the Galaxy (Fraternali & Binney 2006, Melioli et al. 2008). An alternative scenario was proposed by Blitz et al. (1999), who suggested that HVC and IVC could be relics of the early stages of Galactic formation.
It has also been proposed that both IVCs and HVCs are formed in the disk of our galaxy, in the so-called ``galactic fountains''. These models were described by Shapiro & Field (1976), Houck & Bregman (1990), and de Gouveia Dal Pino et al. (2009). In this scenario, the cloud formation is fed by chimneys of hot, ascending gas that cools and falls back onto the Galactic disk in the form of discrete clouds. Observations indicate that chimneys are indeed generated in other galaxies by multiple supernovae (SNe) explosions (Veilleux et al. 2005; Konstantopoulos et al. 2008).
De Gouveia Dal Pino et al. (2009)
showed that SNe explosions can lead to the formation of
hot superbubbles that drive a supersonic wind out of the
galactic disk. From 3D, radiative hydrodynamical simulations,
they found that the galactic fountains
driven by SNe may reach altitudes of up to
5 kpc
in the halo and thus allow the formation of IVCs. However,
the HVCs (found at higher altitudes)
require a different production mechanism.
We propose that HVCs (and possibly also some of the IVCs) could
be formed by fountains driven by super stellar clusters (SSCs).
SSCs are dense clusters of
young massive stars. These stellar clusters contain hundreds or
thousands of very young, energetic stars, and have stellar densities
far greater than those seen in normal OB associations. These star clusters
have ages of
1-10 Myr, radii of
1-10 pc, total cluster
masses of 103-106
(Melo et al. 2005,
reported a mean mass per stellar cluster of
,
for M 82), and typical cluster wind velocities of
500-1500 km s-1 range (see also, Silich et al. 2004). The
central stellar densities of SSCs have values of
up to
105
pc-3. However,
SSCs with older ages and/or higher masses do exist
(Walcher et al. 2006, reports a cluster with
).
On the other hand, the
metallicity of the gas reinserted (via supernova explosions and stellar
winds) into the stellar cluster medium, reaches supersolar values
(
,
see also Meynet & Maeder 2002; and
Tenorio-Tagle et al. 2003) during most of the cluster evolution.
SSCs have been observed in a wide range of star-forming galaxies, such as merging systems (NGC 4038/4039, Whitmore & Schweizer 1995), dwarf galaxies (Henize 2-10, Johnson et al. 2000), classical starbursts (M 82, Gallagher & Smith 1999; Melo et al. 2005), as well as in the Galaxy (Arches Cluster: Nagata et al. 1995; Cotera et al. 1996; Serabyn et al. 1998) amongst many other systems (for a review, see Whitmore 2000).
In this paper, we present a model for the formation of low and high velocity HI clouds by means of radiative nozzle flows driven by the wind from a SSC. The nozzle flow is produced by the interaction of the shocked SSC wind with the stratified halo and the gravitational potential of the Galaxy. In our model, we assume that the SSC that produces to the fountain is close to the Galactic centre. This is an appropriate assumption if we consider the wind from the Arches cluster or from other possible massive (but still undetected) stellar clusters close to the Galactic centre. In galaxies such as M 82 and NGC 253, it appears that we do see outflows ejected from SSC's in the central regions of these galaxies (see Rodríguez-González et al. 2008).
The paper is organized as follows. In Sect. 2, we describe the equations for a radiative nozzle flow, and in Sect. 3 we discuss the analytic solution obtained in the adiabatic case. In Sect. 4, we describe the Galactic potential and hot gas distribution, which are used in Sect. 5 to compute numerical integrations of the radiative nozzle flow equations. Finally, in Sect. 6 we discuss the application to these models for low and high velocity HI cloud formation, and we present our conclusions in Sect. 7.
2 Equations for a radiative nozzle flow
We assume that the interaction of a wind from a SSC (located close to the centre of the galaxy) with the surrounding interstellar medium (ISM) leads to the formation of an approximately spherical shock. The thermalized, post-shock material is then channeled into two oppositely directed nozzles because of the pressure stratification of the environmental material. In the context of the generation of jets by active galactic nuclei, this scenario was first explored by Blandford & Rees (1974)
We consider a one-dimensional, stationary, radiative nozzle flow
under the action of a gravitational potential. We first write the
energy equation in the ``entropy conservation'' form
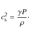
where x is the direction of propagation of the flow, P is the gas pressure,
where
with
Equation (3) simplifies to Bernoulli's theorem for the case of a non-radiative flow (i.e., for L=0).
Following Blandford & Rees (1974), we now assume that the
nozzle flow has a slowly varying cross-section, so that
the pressure of the flow always adjusts to a value close
to the pressure
of the surrounding environment.
If one also knows the cooling function L as a function of
the density and temperature of the flow,
the nozzle flow can then be obtained by integrating the system
described by Eqs. (1) and (3).
The initial conditions for this integration are obtained by assuming
that the initially isotropic wind from the cluster (of mass-loss
rate
and terminal velocity
)
follows a strong,
spherical shock before flowing along the nozzle. Assuming that the
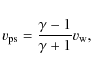
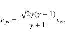
shock is strong, we have a post-shock velocity
and a post-shock sound speed
Following Raga & Cantó (1989), we assume that the initial velocity and sound speed along the nozzle flow are
where
Finally, the mass conservation equation for a flow of
slowly varying cross-section
where
3 The adiabatic solution
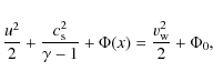
For a non-radiative flow (i.e., with L=0),
Eq. (3) can be trivially integrated to obtain
where
For L=0, from Eqs. (9), (2),
(4) and (6) and the lateral pressure balance
condition, we obtain the solution:
where
It is easy to check that for x=0, Eq. (10)
correctly gives
(see Eq. (6)), the
imposed initial value for the flow velocity. For
,
for
all finite mass environmental stratifications we have
and
(setting the zero of the potential at infinity).
We then obtain
Because
in other words, the nozzle flow extends out to infinity only if the velocity of the wind (which is producing the nozzle flow) exceeds the escape velocity. If this condition is not met, the nozzle flow reaches a maximum height
4 The Galactic potential and hot gas distribution
We assume that the halo has a uniform temperature. An isothermal halo is
an assumption that is consistent with the observed diffuse,
soft X-ray background emision (Garmire et al. 1992). The Galactic gas
density
and thermal pressure
are given by
(Espresate et al. 2002)
and,
where,
- (1)
- a nucleus, represented by a spherically symmetric distribution;
- (2)
- a disk component;
- (3)
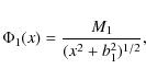
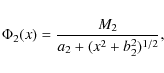
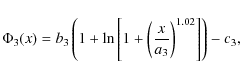
- a spherical, massive halo. Hence; the gravitational potential is given by the sum of these three contributions.
![\begin{figure}
\par\includegraphics[width=9cm,clip]{1693f1.eps}
\end{figure}](/articles/aa/full_html/2009/26/aa11693-09/Timg57.png)
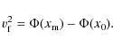
Figure 1: Free-fall velocity as a function of
for different final
heights x0=0.3, 2.5, 5, 10 and 15 kpc (solid, dotted, dashed, dash-dot, and
dash-dot-dot lines, respectively).Open with DEXTER - 1.
- the nucleus is represented by
where, M1=606 gmu and b1=0.3873 kpc; - 2.
- the disk component is represented by
where, M2=3690.0 gmu, a2=5.3178 kpc, and b2=0.25 kpc; and,
- 3.
- finally, a halo truncated at 100 kpc (see also Allen &
Santillán 1991), has a potential
where, a3=12.0 kpc, b3=377.04 gmu/kpc, and c3=1201 gmu/kpc. The total gravitational potential at any point x along the rotation axis of the galaxy is then given by
Figure 1 shows
5 The models
We consider a nozzle flow fed by a wind from a massive stellar cluster situated close to the Galactic centre. The wind travels through a shock and then forms a nozzle aligned with the rotation axis of the Galaxy, which will is to the gravitational potential given by Eq. (18), and the environmental pressure stratification given by Eqs. (13), (14).
We fix the environmental pressure stratification and the gravitational
potential as described in the previous section by assuming
a temperature of 106 K and a density on the galactic
plane of 0.5 cm-3 for the hot halo. The remaining free parameters
of the model are then the cluster wind velocity
,
its mass-loss rate
,
and metallicity Z. The initial flow velocity, sound
speed, and density of the flow are functions of only the wind velocity
and the pressure of the hot environmental gas close to the galactic
plane (see Eqs. (5)-(7)). The metallicity
Z is important for determining the cooling rate.
The mass-loss rate is only important
for determining the radius of the nozzle flow cross-section
(see Eq. (8)), so that we choose a single mass-loss
rate
yr-1 for all models.
This is a reasonable mass-loss rate in the following sense.
To reach a height of
10 kpc above the galactic plane, the
nozzle flow must exist for a time
10 kpc/
Myr
(where
km s-1 approximate
cluster wind velocity). This timescale coincides with the lifetime
of the stellar population of a SSC (Leitherer & Heckman
1995). During this lifetime, a cluster of
10 000 massive
stars (with a total mass of
106
)
will have lost
10% of its initial mass. If we consider a much smaller
cluster such as, e.g., the Arches cluster near the Galactic centre
(which has only
100 massive stars), it would be necessary
to consider a much lower mass-loss rate (
10-4
yr-1). However, the mass-loss rate from the cluster enters only
in the calculation of the cylindrical radius of the nozzle flow
(see Eq. (8) and Fig. 2), and the dynamical characteristics
of the flow do not depend on the value of the mass loss.
![]() |
Figure 2:
The radius of the nozzle flow cross-section as a function
of height x above the galactic plane. The solid line shows the Z=1 model
and the dashed line shows
|
| Open with DEXTER | |
We should note that a cluster of 104-105 massive stars will feed a
105-106
nozzle flow, which in principle could produce
the mass observed in an HVC complex (see Wakker & van Woerden
1997). A cluster with 100-1000 massive stars will
produce a
103-104
nozzle flow, corresponding
to the typical mass of an IVC (see de Gouveia Dal Pino et al. 2009).
![]() |
Figure 3: The gas velocity as a function of height x above the galactic plane. The lines have the same description as Fig. 2. |
| Open with DEXTER | |
![]() |
Figure 4: The numerical gas density as a function of height x above the galactic plane. The lines have the same description of Fig. 2. |
| Open with DEXTER | |
We now carry out numerical integrations of Eqs. (1)
and (3) with the initial conditions given by
Eqs. (5)-(7) for different values
of
and Z. We use the cooling function of Raymond et al. (1976),
who tabulated the cooling rate as a function of the temperature
T and metallicity Z of the gas (a density dependence ![]()
,
appropriate to a low-density regime cooling, is assumed).
Figures 2-5 show the results obtained for models with
km s-1and Z=1, and 5 solar metallicities. Figure 2 shows the radius
of the nozzle flow cross-section as a function of height x above
the galactic plane. The Z=1 model (solid line) shows a radius
that decreases for x<0.10 kpc, and then increases monotonically
at greater heights. This behaviour is similar to that found
in adiabatic nozzles, in which the nozzle radius decreases
in the region of subsonic flow, and increases with distance
after the sonic transition. The radius of the nozzle flow
diverges at
kpc. This divergence was not found
in previous nozzle solutions (see, e.g., Blandford & Rees
1974; Raga & Cantó 1989), because they did not include
the effect of the gravitational force acting directly on the
material within the nozzle flow.
From Fig. 2, we see that the solution for Z=5 (with
stronger radiative cooling) shows a sudden collapse
of the nozzle radius at
kpc. This collapse
is caused by the strong radiative cooling at temperatures below
106 K, and is qualitatively similar to the results found
for cooling nozzle flows by Raga & Cantó (1989).
Figure 3 shows the velocity along the nozzle flow for the
two models. The flow velocity first grows with increasing x,
reaches a maximum, and then collapses to zero at the point
where the nozzle radius diverges (see Fig. 2).
We show in Fig. 4 the density as a function of position along
the nozzle flow. For Z=1, a monotonically decresing
density vs. x relationship is found. For Z=5, a sharp
increase in the density is found at the position in which
the nozzle radius collapses (see Fig. 2).
![]() |
Figure 5: The gas temperature as a function of height x above the galactic plane. The lines have the same description as Fig. 2. |
| Open with DEXTER | |
Finally, in Fig. 5 we show the temperature structure
of the nozzle flow. The Z=5 model shows a sudden collapse
at
kpc, which is absent in the Z=1 model.
To explore of parameter space, we have run models with
km s-1 (in
km s-1 steps)
and Z=1-10 (in
steps). From these models,
we computed the maximum height
reached by the
nozzle flow. The values obtained for
as a function of
and Z are shown in Fig. 6.
From this figure, we see that flows with higher wind velocity
reach larger heights
.
Higher values of
are also obtained for decreasing metallicities. The radiative nozzle
flows inject cool material at
,
which will then fall back
onto the galactic plane in the form of dense, neutral clumps.
When these clumps have reached a height x0, they will
have the infall velocities given in Fig. 1.
6 Discussion: low and high velocity HI clouds
For the adiabatic case, we obtain nozzle flow solutions that
extend out to infinity for cluster wind velicities of
,
where
is the escape velocity
from the position of the stellar cluster that feeds the flow
(see Sect. 3). For
,
the flow stalls at a finite
distance
from the galaxy. As the nozzle stalls, its cylindrical
radius diverges, producing a layer of neutrally buoyant gas
at a distance ![]()
from the wind source.
If this gas cools radiatively, it will become negatively
buoyant and eventually fall back onto the galactic plane,
reaching velocities similar to the free-fall velocity (see
Fig. 1).
We then integrated the equations numerically for a
radiative nozzle flow. We included the cooling function
of Raymond et al. (1976) tabulated as a function of temperature for
a set of different metallicities (assuming a ``low density
regime'' ![]()
density dependence). We assume
that the nozzle flow propagates away from the central region
of our galaxy, within an isothermal halo subject to the
Galactic potential of Espresate et al. (2002) and Allen
& Santillán (1991).
We have run a grid of radiative nozzle models for cluster winds with
velocities
km s-1 and
metallicities
.
From these models,
we found that the radiative cooling lowers the height
at which the nozzle flow stalls. Therefore,
for higher material metallicities within
the nozzle flows (resulting in higher cooling rates),
we obtained lower values of
(see Fig. 6).
![]() |
Figure 6:
Isocontours of maximum height |
| Open with DEXTER | |
In the models with
,
as the cluster wind velocity increases from
to 750 km s-1, the value
of
increases from 1 to 50 kpc. For higher
values of
,
the value of
rapidly diverges,
indicating that the nozzle flows do not stall (and
therefore never produce negatively buoyant material
falling back onto the galaxy).
In the models with
,
the same
range of
values (i.e., from 1 to 50 kpc)
is obtained for cluster wind velocities ranging
from
to 770 km s-1. For
approaching
1000 km s-1, the nozzle flows never stall, regardless
of the metallicity.
Therefore, from our models we could obtain nozzle flows
that stall at heights ranging from 1 to 50 kpc for cluster
wind velocities ranging from
500 to 800 km s-1(and solar abundances Z=1-10).
Let us now consider low velocity clouds, which are observed at heights
kpc and have infall velocities <100 km s-1.
From Fig. 1, we see that these clouds could only have originated in
initial heights,
.
From Fig. 6. we see that this height
corresponds to the stalling distances of nozzles with
cluster wind velocities
km s-1 for
and
km s-1 for
.
High velocity clouds are observed at heights x0 >12 kpc
and have infall velocities
km s-1. From
Fig. 1, we see that clouds with infall velocities of
150 km s-1 at x0=15 kpc (these being representative
values for high velocity clouds) have originated
at initial heights
kpc. From Fig. 6,
we see that this height corresponds to the stalling heights
of nozzles with
km s-1 (for
)
up to
km s-1 (for
).
In this way, we see that a sequence of nozzle models of increasing
with
km s-1 naturally explains the range
of infall velocities observed from low to high velocity HI clouds.
Nozzle flows produced by cluster winds with higher
do not
stall, and therefore will not produce large amounts of negatively
buoyant material at high altitudes that could form the observed
HI clouds.
7 Conclusions
We have presented a de Laval nozzle model for galactic fountain flows. In this flow, the wind emitted (in our case) by a stellar cluster is thermalized in a wind shock, and is then reaccelerated out of the galactic plane into a collimated flow as a result of the pressure stratifiction of the surrounding environment.
The equations for this kind of flow were first studied in the context of the production of jet flows from AGN by Blandford & Rees (1974), and in the context of jets from young stars by Königl (1982). Raga & Cantó (1989) studied the effect of radiative cooling within the nozzle flow (also in the context of jets from young stars).
We have written the equations for a nozzle flow, including both a radiative cooling term and the action of the gravitational force on the material within the nozzle flow. This latter effect is caused because the gravitational force (in our case, because of the Galactic potential) producing the environmental stratification also acts directly on the material flowing along the nozzle. This effect has not been included in any of previously published astrophysical nozzle flow models.
From numerical integrations of the radiative nozzle flow equations,
we found that cluster winds with
km s-1 produce
nozzles that stall at heights
kpc above the galactic
centre (see Fig. 6). The negatively buoyant clumps that become
separated from the stalled flows fall back towards the galactic plane
at velocities <200 km s-1 (see Fig. 1). This velocity range
covers the infall velocities found for both low and high velocity
HI clouds.
From this study, we conclude that the high and low velocity clouds
observed to be falling onto the Galactic disk could indeed be
produced by winds from massive stellar clusters close to the Galactic
centre. The condition for these clusters to produce the observed
clouds is that the cluster wind velocity
should be lower
than
750 km s-1, with a somewhat higher or lower
velocity limit depending on the metallicity Z of the gas in
the cluster winds (see Fig. 6). Clusters such as the Arches
(Stevens & Hartwell 2003) and the Quintuplet clusters (Rockefeller et al.
2005) are clear candidates for driving this type of nozzle flow.
The Arches and Quintuplet clusters eject masses of the order
of the mass in an IVC (see Sect. 5). Therefore, several clusters
such as these are necessary to produce
an appreciable fraction of all observed IVC's. A population
of this clusters might be present in the Galactic centre
(with several still undetected clusters). On the other hand, a complex of
HVC's has a combined mass of
105-106
(see Sects. 1, 5).
To eject these masses from the Galaxy, we would need considerably more massive
SSC's (with
104-105 massive stars). It appears unlikely that
if these clusters were present around the Galactic centre they would
not have yet been detected. Therefore, it appears more likely
that these clusters (if they exist) are located far away from the
Galactic centre. It would therefore be interesting to explore
models of nozzle flows produced by clusters
at some distance from the Galactic centre.
We should mention the work of Wünsch et al. (2008). These
authors showed that the presence of thermal instabilites inside
the wind from a very massive SSC (with more than
solar
masses) results in a substantial decrease in the total mass-loss
rate of the cluster wind. This effect would serve to moderate
the strength of fountain flows produced by these clusters.
To proceed with this study, it will be necessary to
remove at least some of the simplifying assumptions of our
present model. For example, we have assumed that the nozzle
flow has a uniform velocity across the nozzle cross-section.
The removal of this assumption would probably lead to flows in which
an outer, slower envelope could stall, while a higher velocity
core (moving more repidly than the escape velocity) could continue flowing
out to large distances from the Galaxy. In this a model, cluster
winds with higher values of
might be able to
produce nozzles that form negatively buoyant, infalling clumps.
Inn our work, we have also assumed that the cluster producing the nozzle flow is located close to the Galactic centre. It would be interesting to study off-centre cluster winds, which should produce nozzle flows with curved paths, because HVC's could indeed be formed by massive clusters at some distance from the Galactic centre (see above).
Finally, it would also be interesting to study the spatial distribution of the infalling clumps (produced by a nozzle flow) on the galactic plane. To address these issues, it will probably be necessary to carry out full, 3D gasdynamic simulations similar to those of de Gouveia Dal Pino et al. (2009, who considered the production of high and low velocity clouds by SN explosions).
Acknowledgements
We acknowledge support from the CONACyT grant 61547. We thank an anonymous referee for helpful comments. A.C.R. acknowledges Steve Shore for interesting discussions (20 years ago) on the subject of buoyancy in nozzle flows.
References
- Allen, C., & Santillan, A. 1991, RMxAA, 22, 255 [NASA ADS] (In the text)
- Blandford, R. D., & Rees, M. F. 1974, MNRAS, 169, 395 [NASA ADS] (In the text)
- Blitz, L., Spergel, D. N., Teuben, P. J., Hartmann, D., & Burton, W. B. 1999, ApJ, 514, 818 [NASA ADS] [CrossRef] (In the text)
- Bluhm, H., de Boer, K. S., Marggraf, O., & Richter, P. 2001, A&A, 367, 299 [NASA ADS] [CrossRef] [EDP Sciences] (In the text)
- Cotera, A. S., Erickson, E. F., Colgan, S. W. J., et al. 1996, ApJ, 461, 750 [NASA ADS] [CrossRef] (In the text)
- de Gouveia Dal Pino, E. M., Melioli, C., D'Ercole, A., Brighenti, F., & Raga, A. 2009, RMAAxC, in press (In the text)
- Dettmar, R. J. 2005, in Magnetic Fields in the Universe: from Laboratory and Stars to Primordial Structures, ed. E.M. de Gouveia Dal Pino, G. Lugones, & A. Lazarian, AIP Proc., 784, 354 (In the text)
- De Young, D., & Heckman, T. 1994, ApJ, 431, 598 [NASA ADS] [CrossRef]
- Dickey, J. M., & Lockman, F. J. 1990, ARA&A, 28, 215 [NASA ADS] [CrossRef] (In the text)
- Espresate, J., Cantó, J., & Franco, J. 2002, ApJ, 575, 194 [NASA ADS] [CrossRef] (In the text)
- Francois, L., Tenorio-Tagle, G., Silich, S., Kunth, D., & Cerviño, M. 2001, ApJ, 560, 630 [NASA ADS] [CrossRef]
- Fraternali, F., & Binney, J. J. 2006, MNRAS, 366, 449 [NASA ADS] [CrossRef] (In the text)
- Gallager, J., & Smith, L. 1999, MNRAS, 304, 540 [NASA ADS] [CrossRef]
- Garmire, G. P., Nousek, J. A., Apparao, K. M. V., et al. 1992, ApJ, 399, 694 [NASA ADS] [CrossRef] (In the text)
- Heckman, T. M., Armus, L., & Miley, G. K. 1990, ApJS, 74, 833 [NASA ADS] [CrossRef]
- Houck, J. C., & Bregman, J. N. 1990, ApJ, 352, 506 [NASA ADS] [CrossRef] (In the text)
- Königl, A. 1982, ApJ, 261, 115 [NASA ADS] [CrossRef] (In the text)
- Konstantopoulos, I. S., Bastian, N., Smith, L. J., et al. 2008, ApJ, 674, 846 [NASA ADS] [CrossRef] (In the text)
- Leitherer, C., & Heckman, T. M. 1995, ApJS, 96, 9 [NASA ADS] [CrossRef] (In the text)
- Lu, L., Savage, B. D., Sembach, K. R., et al. 1998, AJ, 115, 162 [NASA ADS] [CrossRef] (In the text)
- Melioli, C., Brighenti, F., D'Ercole, A., & de Gouveia Dal Pino, E. M. 2008, MNRAS, 388, 573 [NASA ADS] [CrossRef] (In the text)
- Melo, V. P., Muñoz-Tuñón, C., Maíz-Apellániz, J., & Tenorio-Tagle, G. 2005, ApJ, 619, 270 [NASA ADS] [CrossRef] (In the text)
- Meynet, G., & Maeder, A. 2002, A&A, 390, 561 [NASA ADS] [CrossRef] [EDP Sciences] (In the text)
- Münch, G., & Zirin, H. 1961, ApJ, 133, 11 [NASA ADS] [CrossRef] (In the text)
- Murphy, E. M., Sembach, K. R., Gibson, B. K., et al. 2000, ApJ, 538, 35 [NASA ADS] [CrossRef] (In the text)
- Nagata, T., Woodward, C. E., Shure, M., & Kobayashi, N. 1995, AJ, 109, 1976 [NASA ADS] [CrossRef] (In the text)
- Oort, J. H. 1970, A&A, 7, 381 [NASA ADS] (In the text)
- Raga, A. C., & Cantó, J. 1989, ApJ, 344, 404 [NASA ADS] [CrossRef] (In the text)
- Raymond, J. C., Cox, D. P., & Smith, B. W. 1976, ApJ, 204, 290 [NASA ADS] [CrossRef] (In the text)
- Rockefeller, G., Fryer, C. L., Melia, F., & Wang, Q. D. 2005, ApJ, 623, 171 [NASA ADS] [CrossRef] (In the text)
- Sembach, K. R. 2000, ApJ, 538, L31 [NASA ADS] [CrossRef] (In the text)
- Serabyn, E., Shupe, D., & Figer, D. F. 1998, Nature, 394, 448 [NASA ADS] [CrossRef] (In the text)
- Shapiro, P. R., & Fields, G. B. 1976, ApJ, 205, 762 [NASA ADS] [CrossRef] (In the text)
- Silich, S., Tenorio-Tagle, G., & Rodríguez-González, A. 2004, ApJ, 610, 226 [NASA ADS] [CrossRef] (In the text)
- Stevens, I. R., & Hartwell, J. M. 2003, MNRAS, 229, 280 [NASA ADS] [CrossRef] (In the text)
- Tenorio-Tagle, G., Silich, S., & Muñoz-Tuñón, C. 2003, ApJ, 597, 279 [NASA ADS] [CrossRef] (In the text)
- Veilleux, S., Cecil, G., & Bland-Hawthorn, J. 2005, ARA&A, 43, 769 [NASA ADS] [CrossRef] (In the text)
- Wakker, B. P., Savage, B. D., Oosterloo, T. A., & Putman, M. E. 1999, in The Stromlo Workshop on High-Velocity Clouds, ed. B. K. Gibson, & M. E. Putman (San Francisco: ASP), ASP Conf. Ser., 166, 302 (In the text)
- Wakker, B. P., & van Woerden, H. 1997, ARA&A, 35, 217 [NASA ADS] [CrossRef] (In the text)
- Walcher, C. J., Böker, T., Charlot, S., et al. 2006, ApJ, 649, 692 [NASA ADS] [CrossRef] (In the text)
- Whitmore, B. C., & Schwizer, F. 1995, AJ, 109, 960 [NASA ADS] [CrossRef] (In the text)
- Whitmore, B. C. 2001, in Astrophysical Ages and Times Scales, ASP Conf. Ser., 245, 411
- Wünsch, R., Tenorio-Tagle, G., Palous, J., & Silich, S. 2008, ApJ, 683, 692 [NASA ADS] (In the text)
All Figures
![]() |
Figure 1:
Free-fall velocity as a function of |
| Open with DEXTER | |
| In the text | |
![]() |
Figure 2:
The radius of the nozzle flow cross-section as a function
of height x above the galactic plane. The solid line shows the Z=1 model
and the dashed line shows
|
| Open with DEXTER | |
| In the text | |
![]() |
Figure 3: The gas velocity as a function of height x above the galactic plane. The lines have the same description as Fig. 2. |
| Open with DEXTER | |
| In the text | |
![]() |
Figure 4: The numerical gas density as a function of height x above the galactic plane. The lines have the same description of Fig. 2. |
| Open with DEXTER | |
| In the text | |
![]() |
Figure 5: The gas temperature as a function of height x above the galactic plane. The lines have the same description as Fig. 2. |
| Open with DEXTER | |
| In the text | |
![]() |
Figure 6:
Isocontours of maximum height |
| Open with DEXTER | |
| In the text | |
Copyright ESO 2009
Current usage metrics show cumulative count of Article Views (full-text article views including HTML views, PDF and ePub downloads, according to the available data) and Abstracts Views on Vision4Press platform.
Data correspond to usage on the plateform after 2015. The current usage metrics is available 48-96 hours after online publication and is updated daily on week days.
Initial download of the metrics may take a while.

![\begin{displaymath}
\frac{1}{\rho}\frac{{\rm d} P}{{\rm d}x}=-\frac{\rm d}{{\rm d}x} \left[\frac{u^2}{2}+\Phi(x)\right],
\end{displaymath}](/articles/aa/full_html/2009/26/aa11693-09/img17.png)
![\begin{displaymath}
\frac{\rm d}{{\rm d}x}\left[\frac{u^2}{2}+\frac{c_{\rm s}^2}{\gamma-1}+
\Phi(x) \right]=-\frac{L}{\rho u},
\end{displaymath}](/articles/aa/full_html/2009/26/aa11693-09/img19.png)






![\begin{displaymath}
u^2(x)=v_{\rm w}^2\left\{1-{4\gamma\over {(\gamma+1)^2}}
\le...
...ht]^{(\gamma-1)/\gamma}\right\}
+2\left[\Phi_0-\Phi(x)\right],
\end{displaymath}](/articles/aa/full_html/2009/26/aa11693-09/img38.png)


![\begin{displaymath}
\rho_{\rm g}(x)=\rho_{{\rm g},0}\exp^{[\Phi_0-\Phi(x)]/c^2_{\rm g}},
\end{displaymath}](/articles/aa/full_html/2009/26/aa11693-09/img50.png)
![\begin{displaymath}
P_{\rm g}(x)=P_{0}\exp^{[\Phi_0-\Phi(x)]/c^2_{\rm g}},
\end{displaymath}](/articles/aa/full_html/2009/26/aa11693-09/img51.png)


![\begin{displaymath}
\Phi_3(x)=b_3\left(1+\ln\left[1+\left(\frac{x}{a_3}\right)^{1.02}\right]\right)
-c_3,
\end{displaymath}](/articles/aa/full_html/2009/26/aa11693-09/img60.png)

![\begin{figure}
\par\includegraphics[width=9cm,clip]{1693f2.eps}
\end{figure}](/articles/aa/full_html/2009/26/aa11693-09/Timg70.png)
![\begin{figure}
\par\includegraphics[width=9cm,clip]{1693f3.eps}
\end{figure}](/articles/aa/full_html/2009/26/aa11693-09/Timg71.png)
![\begin{figure}
\par\includegraphics[width=9cm,clip]{1693f4.eps}
\end{figure}](/articles/aa/full_html/2009/26/aa11693-09/Timg72.png)
![\begin{figure}
\par\includegraphics[width=9cm,clip]{1693f5.eps}
\end{figure}](/articles/aa/full_html/2009/26/aa11693-09/Timg78.png)
![\begin{figure}
\par\includegraphics[width=9cm,clip]{1693f6.eps}
\end{figure}](/articles/aa/full_html/2009/26/aa11693-09/Timg86.png)