| Issue |
A&A
Volume 501, Number 2, July II 2009
|
|
|---|---|---|
| Page(s) | 735 - 743 | |
| Section | The Sun | |
| DOI | https://doi.org/10.1051/0004-6361/200911709 | |
| Published online | 13 May 2009 | |
Acoustic wave propagation in the solar sub-photosphere with localised magnetic field concentration: effect of magnetic tension
S. Shelyag - S. Zharkov - V. Fedun - R. Erdélyi - M. J. Thompson
Solar Physics and Space Plasma Research Centre, Department of Applied Mathematics, University of Sheffield, Hicks Building, Hounsfield Rd., Sheffield, S7 3RH, UK
Received 23 January 2009 / Accepted 4 April 2009
Abstract
Aims. We analyse numerically the propagation and dispersion of acoustic waves in the solar-like sub-photosphere with localised non-uniform magnetic field concentrations, mimicking sunspots with various representative magnetic field configurations.
Methods. Numerical simulations of wave propagation through the solar sub-photosphere with a localised magnetic field concentration are carried out using SAC, which solves the MHD equations for gravitationally stratified plasma. The initial equilibrium density and pressure stratifications are derived from a standard solar model. Acoustic waves are generated by a source located at the height corresponding approximately to the visible surface of the Sun. By means of local helioseismology we analyse the response of vertical velocity at the level corresponding to the visible solar surface to changes induced by magnetic field in the interior.
Results. The results of numerical simulations of acoustic wave propagation and dispersion in the solar sub-photosphere with localised magnetic field concentrations of various types are presented. Time-distance diagrams of the vertical velocity perturbation at the level corresponding to the visible solar surface show that the magnetic field perturbs and scatters acoustic waves and absorbs the acoustic power of the wave packet. For the weakly magnetised case, the effect of magnetic field is mainly thermodynamic, since the magnetic field changes the temperature stratification. However, we observe the signature of slow magnetoacoustic mode, propagating downwards, for the strong magnetic field cases.
Key words: Sun: helioseismology - Sun: magnetic fields - Sun: oscillations - Sun: photosphere - Sun: sunspots
1 Introduction
The internal structure of sunspots remains poorly known. Helioseismological techniques, that analyse the effect of internal solar inhomogeneities on sound wave propagation and the signatures of these waves at the solar surface, might be of great help in revealing the invisible, sub-photospheric solar processes. The ability of forward numerical simulations to predict and model a number of solar phenomena in helioseismology has been shown by e.g., Shelyag et al. (2006), Shelyag et al. (2007), Hanasoge et al. (2007), Parchevsky & Kosovichev (2007), Khomenko et al. (2008), and others. Since magnetic fields are, perhaps, the most important property of many solar features, a new and rapidly developing field is the study of the influence of magnetic fields on the acoustic wave propagation of solar magnetic field concentrations, such as sunspots or solar active regions. The appearance and importance of slow magnetoacoustic waves has been illustrated by forward MHD simulations in polytropic models by Crouch & Cally (2003), Gordovskyy & Jain (2007), Moradi et al. (2009). Ray-approximation simulations in a more realistic and applicable magnetised model have shown a similar behaviour to the acoustic waves (Moradi & Cally 2008). Shelyag et al. (2007) investigated the influence of sub-photospheric flows on acoustic wave propagation using forward modelling and demonstrated a discrepancy between the true flow profiles and the flow profiles obtained by ray-approximation inversion. The simulations of a wave packet, constructed from f-modes, carried out by Cameron et al. (2008), showed a good agreement with helioseismological observations of sunspots.
It is now timely to perform a full forward magneto-hydrodynamic simulation of a wave packet propagating through a non-uniform magnetic field region in the solar sub-photosphere with a realistic temperature profile. Since we are mostly interested in the processes in the solar interior in this paper, we concentrate mainly on the sub-photospheric part of the Sun and do not include the effects of the wave interaction with the solar atmosphere. In the simulations presented here, we consider three different representative configurations of the solar magnetic field. Each case has the common feature of a spatially localised field, allowing direct comparison of both travel speed and time difference of the wave propagation for the magnetised and non-magnetised solar plasma. The representative configurations differ in both magnetic field strength and geometry. Their spatial structure affects the temperature stratification of the simulated sunspot by the magnetic tension. We selected two representative strong field configurations with opposite effects on the temperature in the sunspot: one, where the magnetic field curvature is strong and, thus, increases the temperature in the magnetic field region; and another, where the magnetic field curvature is small, and the temperature is lower in the sunspot. The magnetic configurations that we apply are in magnetohydrostatic equilibrium with the ambient external plasma. These two-dimensional magnetic fields are self-similar and non-potential.
The paper is organised as follows. Section 2 briefly describes the numerical techniques that we used to carry out the simulations. The configurations of the magnetic fields and initial configuration for the simulations are described in Sect. 3. The source used to generate the acoustic modes in the numerical domain is presented in Sect. 4. Section 5 is devoted to (i) the techniques of helioseismological analysis we used; and (ii) the results we obtained. Section 6 presents our conclusions.
2 Simulation model
The code SAC (Sheffield Advanced Code) was developed by Shelyag et al. (2008) to carry
out numerical studies. The code is based on VAC (Versatile Advection Code, Tóth et al. 1998),
although, it employs artificial diffusivity and resistivity stabilising the
numerical solutions. SAC also uses the technique of variable separation to
background and perturbed components to treat gravitationally stratified plasma.
According to Shelyag et al. (2008), if a plasma is assumed to be in magnetohydrostatic
equilibrium given by
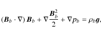
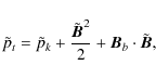
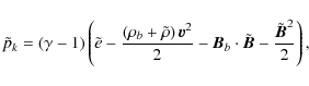
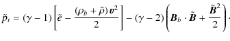
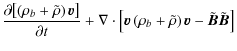
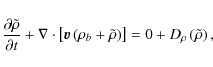
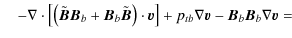
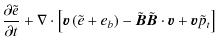
the system of MHD equations governing arbitrary perturbations of density, momentum, energy, and magnetic field is written as
where
or, in terms of perturbed energy density per unit volume
and
Here ptb denotes the total background pressure
which, in terms of background conservative variables, gives
and
The scalar source terms
Equations (2)-(11) are solved using a fourth-order
central difference scheme for the spatial derivatives and are advanced in
time by implementing a fourth order Runge-Kutta numerical method. The
simulation domain is shown in Fig. 1. The 2D box is
wide and
deep, and has a resolution of
grid points;
the upper boundary of the domain is at the solar surface
.
We
employ the simplest type of ``open'' boundary conditions, assuming that all
of the spatial derivatives of the variables, which are advanced in time,
are set to be zero across the boundaries of the domain (Caunt & Korpi 2001; Shelyag et al. 2008).
The perturbation source is located in the upper-middle (
below the upper boundary) of the simulation box. The synthetic measurement
level is located at the solar surface.
![]() |
Figure 1: Sketch of the simulation domain geometry used in the simulations. |
| Open with DEXTER | |
3 Magnetic fields and initial conditions
For an initial background model, we adopted the Standard Model S (Christensen-Dalsgaard et al. 1996).
The model was then adjusted to have the same temperature stratification as the
Standard Model, if a constant adiabatic index
is assumed. According
to the Standard Model S, the pressure at the solar surface
is equal to
.
This
provides an upper limit to the vertical uniform magnetic field in magnetohydrostatic
equilibrium with non-magnetic external plasma of about
.
The measured magnetic field
strength in sunspot umbrae is about
,
which suggests
that curved magnetic fields should be implemented in the simulations. In the case
of a curved magnetic field, magnetic tension balances magnetic pressure, thus
increasing the upper limit to the equilibrium magnetic field. An example of
this balance is a potential magnetic field, where the magnetic tension is exactly
equal to the magnetic pressure, and the background pressure and density equilibrium
remains unchanged. However, potential magnetic fields can be problematic in
numerical modelling. If a potential magnetic field is considered, the boundaries
of the numerical domain should be either fixed or periodic to confine the magnetic
field and prevent it from strong expansion in the sub-photospheric layers. The
sub-photospheric sunspot structure, where the magnetic field is strongly localised,
was studied by realistic numerical simulations by Rempel et al. (2009).
We used a self-similar non-potential magnetic field configuration
(Schüssler & Rempel 2005; Cameron et al. 2008; Schlüter & Temesváry 1958), which can be obtained from the following set
of equations:
and
where B0z describes the decrease in the vertical component of magnetic field towards the top of the model, and G is the function defining how the magnetic field opens up with height. The magnetic field constructed in this way is divergence-free by definition. The equilibrium background gas pressure and density are then recalculated using the magnetohydrostatic equilibrium condition in Eq. (1). If the magnetic field
Three characteristic situations, mimicking sunspots that differ in terms of the
magnetic field strength at the visible solar surface and curvature of the magnetic
field, are chosen for helioseismic analysis: weak but strongly-curved magnetic
field (
,
Case A), strong but weakly-curved magnetic
field with
(Case B), and strongly-curved strong
magnetic field (
,
Case C). The magnetic field
structures for these situations are shown in Figs. 4-6.
The curvature of the magnetic field changes the temperature stratification in the domain. For the first case of the weak magnetic field (Case A, Fig. 4), the temperature change is rather small (Fig. 7). Below the temperature decrease, caused by the sharp decline of the kinetic pressure in the region where the magnetic field is nearly vertical, a temperature increase is noticeable. This increase is caused by the pressure rise needed to compensate for the increase in magnetic tension.
![]() |
Figure 2: Vertical magnetic field components on the axis of the magnetic region B0z(z) for the three cases of magnetic field configurations. |
| Open with DEXTER | |
![]() |
Figure 3:
Functions
|
| Open with DEXTER | |
The two initial configurations with strong magnetic field show these processes
in greater detail. For Case B (weakly-curved magnetic field, Fig. 4),
the temperature is considerably lower beneath the solar surface (Fig. 8),
because the magnetic field is nearly vertical at the surface. The effect of magnetic
tension is clearly evident in the strongly-curved magnetic field configuration
(Case C, Fig. 9). In this latter case, the temperature deviation
is mainly positive.
![]() |
Figure 4: Magnetic field configuration for a weak magnetic field (Case A) in the sub-photospheric domain of the size of 50 Mm in the vertical and 180 Mm in horizontal direction. The horizontal (Bx) and vertical (Bz) components of the magnetic field are shown. The field lines are overplotted. |
| Open with DEXTER | |
![]() |
Figure 5:
Same as Fig. 4 with a strong magnetic flux
(
|
| Open with DEXTER | |
![]() |
Figure 6:
Same as Fig. 4 with a strongly-curved, strong (
|
| Open with DEXTER | |
| |
Figure 7: Zoom-in image of the temperature difference in the magnetic field region for Case A. The temperature increase is caused by magnetic tension. |
| Open with DEXTER | |
| |
Figure 8:
Same as Fig. 7, with a strong magnetic flux and weakly-curved
magnetic field lines, Case B. Here, the temperature decreases at the solar
surface. This temperature decrease is caused by magnetic pressure.
|
| Open with DEXTER | |
| |
Figure 9: Same as Fig. 7, with the strongly-curved and strong magnetic field, Case C. In this case magnetic tension prevents evacuation of the magnetic region, and the temperature is increased. |
| Open with DEXTER | |
4 Acoustic source
To generate acoustic waves, we introduce a perturbation source described by
the expression
![]() |
(15) |
where T0=300 s, T1=600 s,
The acoustic response of the simulation box to the source is shown in Fig. 10. From the figure, it is evident that the source generates a whole branch of various solar acoustic modes. The p-modes are visible to high order.
To check the validity of the simulations, the one-dimensional calculation of the eigenmodes of the initial background model was also performed. The corresponding eigenfrequencies are overplotted in the figure (solid lines).
A small difference between the model and the observed solar frequencies is caused by discrepancies between the Standard Model S and the model implemented here, which can be accounted for by using the equation of state for an ideal gas. However, we leave the development of a non-ideal equation of state, including the ionisation processes, and correction of these discrepancies to future work, since they do not play major role in the calculations of the influence of non-uniform magnetic fields on acoustic wave propagation in the solar photosphere.
![]() |
Figure 10: Power spectrum of the vertical velocity perturbation generated by the source. The p modes are visible to high order. Eigenmodes of the background model are overplotted by solid lines. |
| Open with DEXTER | |
Figure 11 then shows the time-distance diagram computed at the simulated solar surface by cross-correlating the vertical velocity component, generated by the acoustic source. Three wave bounces are clearly visible on the plot. Some weak and artificial reflection from the side boundaries, caused by imperfectly transparent boundaries of the numerical domain, is also noticeable.
![]() |
Figure 11: Cross-correlation function deduced from the vertical velocity perturbation at the solar surface, generated by the acoustic source. Three wave bounces are clearly visible. The group travel times of the first three bounces deduced from ray theory are overplotted. |
| Open with DEXTER | |
5 Time-distance analysis
As we have mentioned, the acoustic source is located in the middle of the horizontal layer close to the solar surface. This allows us to study the influence of the magnetic field on the acoustic response of the simulated solar sub-photosphere by comparing the plasma velocities to the left (non-magnetic part of the domain) and to the right (where the magnetic field is implemented) of the source. A similar technique was proposed and used by Shelyag et al. (2007) to reveal discrepancies between the real and inverted velocity profiles of the sub-photosphere with embedded sub-photospheric horizontal flows.The vertical velocity differences are computed between the points, located at the same distance to the left and to the right of the source. The difference images, obtained in this way, reveal the phase shifts and amplitude changes the wave packets experience because of the propagation in the magnetised region, compared to propagation in the non-magnetised one.
In magnetic configuration case, we compute the acoustic power of the vertical
component of the velocity oscillations over the period of the simulation as a
function of horizontal and depth coordinates
and then consider the ratio of the corresponding points of the quiet Sun to the perturbed parts of the model. A cut at the surface level corresponds to the acoustic power measurements deduced observationally. In addition, we measured the travel time perturbations by cross-correlating the velocity signal at the source location with the signal at the target location, taking the quiet Sun cross-correlation function as a reference and using both Gábor wavelet fitting (Kosovichev & Duvall 1997) or linearised definition outlined by Gizon & Birch (2002). In Sect. 5.1-5.3, we analyse by these means the wave propagation for the three cases of magnetic field structures. In Sect. 5.4, the results are compared.
5.1 Weak magnetic field (Case A)
The analysis shows that for the configuration of a weak magnetic field (Fig. 4), the influence of the magnetic field on the wave propagation is mainly caused by temperature (and hence local sound speed) changes in the magnetised region. The temperature increase below the simulated sunspot (see Fig. 7) causes negative phase shifts of the wave packets propagating through the magnetic structure.
In Fig. 12, small phase and amplitude changes are observed in all of the bounces, although the first bounce wave is affected only in the magnetic field region (the velocity differences in the figure for the first bounce at 0-30 Mm and at 70-90 Mm are of the order of the numerical noise). It was found that higher order bounces are all affected at a distance of 30 Mm onwards from the source.
![]() |
Figure 12:
Vertical speed difference image for Case A.
Difference values are computed between points located at the same distance
but opposite sides of the source. Two dashed lines bound the magnetic region
with
|
| Open with DEXTER | |
In Fig. 13, we present the acoustic power ratio measured in the vertical velocity as a function of two spatial coordinates between the waves propagating in the quiet Sun and in the perturbed part of the model. We found that the power deficit at the location of the flux tube is confined to the uppermost layers of the model with the acoustic power ratio decreasing closer to the surface. The ratio is constant and equal to unity to the left of the flux tube, while to the right we observe variations in the acoustic power at depths of 3 Mm and lower, extending along the straight lines starting below the surface at the flux tube boundary. From the overplotted acoustic rays computed for the unperturbed model, we find that these lines agree well with the envelopes of rays reflected from the simulated solar surface.
![]() |
Figure 13:
Synthetic acoustic power ratio image of the weakly magnetised region
of the weakly magnetised model (Case A). The ratios are computed between points
at the same distance and opposite sides of the source. The image shows the
regions of decreased acoustic power compared to the ambient non-magnetic medium.
The black lines are the contours of vertical magnetic field at 50 and
|
| Open with DEXTER | |
5.2 Weakly-curved, strong magnetic field (Case B)
In Case B (see Fig. 5), the temperature distribution is such that the temperature decreases in the sunspot region (Fig. 8), in a way similar to Case A, since the magnetic tension is relatively low. Accordingly to the vertical velocity difference image in Fig. 14, as for Case A, the first bounce is affected by the magnetic field only within the magnetic field region. It is found that the second and higher-order bounces carry information about the interaction with magnetic field also in the non-magnetic or weakly magnetised sub-surface regions. Intuitively, according to the temperature structure, a delay in arrival time of the wave packet at some distance from the source is expected, because the sound speed in the simulated sunspot is lower than in the non-magnetic surrounding plasma. A more detailed analysis confirms this expectation. The first ridge in the image of velocity difference is positive, implying that the wave arrives later at the point in the sunspot than the counterpart wave, which arrives at the same distance in the non-magnetic plasma.
![]() |
Figure 14:
Same as Fig. 12 but for the strong weakly-curved magnetic field
(
|
| Open with DEXTER | |
![]() |
Figure 15:
Total kinetic energy density ratio for the strong magnetic flux but
weakly-curved magnetic field lines, Case B. The lower turning points for the
first four bounces of rays emanating from the source are overplotted in white.
The black lines are the contours of the magnetic field
|
| Open with DEXTER | |
In Case B, the slow magneto-acoustic mode (Cally & Bogdan 1997; Cally 2000; Cameron et al. 2008) is also
observed in the domain (see Fig. 16). Generally, the slow-wave motions
follow the magnetic field structure and shape. Furthermore, a suppression of
oscillations is observed at the surface in the magnetised region. At a distance
of
to the right of the source, the amplitude ratio of the
horizontal velocity oscillations at the surface to the source amplitude A0 is
about 0.0001, while at the distance of
to the left of the
source, it is more than 0.0004 (note that the dynamic range of the image has
been adjusted so as to enhance the small-amplitude structures). Thus, a significant
part of the oscillation energy transforms into slow magnetoacoustic wave motion,
which propagates downwards along the magnetic field lines, and is taken out from
the surface.
The kinetic energy density ratio plot (Fig. 15) shows the lines of lower ratio, similar to Case A, with the structure immediately below the surface of the tube showing greater complexity than before, perhaps, due to the effect of magnetoacoustic waves. Figure 15 also shows the curves corresponding to lower turning points for the first four bounces of the quiet Sun rays. We note that only the second, third, and fourth bounce turning points correspond to the ray envelopes (see Fig. 13), representing caustic surfaces (Kravtsov & Orlov 1993).
| |
Figure 16:
Snapshot of the horizontal component of the velocity field in the upper
layers of the domain, taken at
|
| Open with DEXTER | |
5.3 Strongly-curved, strong magnetic field (Case C)
Strong magnetic tension in Case C (Fig. 6) changes the kinetic gas pressure so that the temperature (and hence sound speed) in the sunspot region increases (see Fig. 9). As expected, the sound speed increase leads to a faster wave propagation through the magnetised region. Correspondingly, the vertical speed difference image (Fig. 17) has negative sign at the first ridge in the first bounce. Similar to the previous cases, the first bounce is affected by the magnetic field only in the magnetic region (
As in the previous case (Fig. 16), the slow magnetoacoustic mode of
approximately the same amplitude as in the weakly-curved magnetic field case,
is observed in the horizontal velocity component (Fig. 19). Although
the true surface
does not appear in the domain, the wave modes remain
coupled by the region where the Alfvén speed is close to the sound speed.
The presence of a wave of finite wavelength (compared to the ray approximation)
suggests that a finite (not infinitely thin) layer exists where the mode
conversion occurs, which we observe here. However, the coupling process in this
case is less efficient, and the amplitude of the horizontal velocity component
in the magnetic region is larger than in the case of a weakly-curved strong
magnetic field.
![]() |
Figure 17:
Same as Fig. 12, but for the strongly-curved, strong magnetic
field (Case C). Two dashed lines bound the magnetic region with
|
| Open with DEXTER | |
![]() |
Figure 18:
Oscillatory power in pressure perturbation, scaled by inverse square
root of the initial local density |
| Open with DEXTER | |
| |
Figure 19: Same as Fig. 16, for the strongly-curved strong magnetic field, case C. The slow mode is visible between the overplotted magnetic field lines. |
| Open with DEXTER | |
5.4 Overall comparison of the effect of magnetic field structures on wave propagation
We have shown that a magnetic field of the same strength acts differently on acoustic waves depending on the geometry and curvature of the field. Here we summarise the findings by showing the travel time difference and wave packet amplitude dependencies for the three representative cases we have analysed.
We have measured the travel time perturbations for the waves travelling through the magnetised region using both a Gabor wavelet method and a method developed by Gizon and Birch. The results for all three different magnetic fields, calculated for the first bounce, are presented in Fig. 20, where the solid lines correspond to Gabor wavelet phase travel-time perturbations and the dashed lines to the travel times defined by Gizon and Birch. We see that the two definitions produce similar results for Cases A and B with small differences that can be explained by the change in the central frequency of the Gabor wavelet (Thompson & Zharkov 2008). In Case C, the significant difference between the two travel time definitions is primarily due to the very large sound speed changes in this model, which practically leads to a non-linear change in measured cross-correlation function, thus breaking one of the assumptions of the definition of Gizon and Birch. The ray travel time perturbations computed for a corresponding hydrodynamic model are overplotted as dash-dotted lines in Fig. 20. These plots clearly show that the sign of travel time differences, calculated for the first bounce, changes according to the temperature difference caused by the magnetic field curvature and tension. The travel time differences obtained for the simulation with the weakly-curved strong magnetic field are of the order of those obtained from the observations (Zharkov et al. 2007; Duvall et al. 1997; Hughes et al. 2005).
Figure 21 illustrates the differences in acoustic power
absorption and suppression for the three different magnetic field
configurations at the solar surface. The green curve corresponds
to Case A. The oscillatory power suppression in the magnetic field
region reaches 30%, although, no energy absorption is observed,
since the power ratio at the distance
is close to
unity. This and the absence of a noticeable slow magnetoacoustic mode
in the horizontal component of velocity, confirms our suggestion that
the weak magnetic fields act only as temperature and sound speed
perturbations for waves propagating through the fields.
![]() |
Figure 20: Travel time difference plots computed for the first bounce for weak (Case A), weakly curved strong (Case B) and strongly curved strong (Case C) magnetic field cases. The solid curves correspond to the travel time perturbations obtained by Gabor wavelet fitting, while the dashed curves represent the travel time perturbations computed using the travel time definition of Gizon and Birch, and dash-dotted curves are the travel time perturbations, calculated using a ray-theoretical approach. |
| Open with DEXTER | |
The power ratio for Case C (Fig. 21, red curve) significantly
differs from that of the other two cases. A very strong suppression of
plasma motions in the magnetic field region (up to 90%) is observed.
This suppression is caused by the significantly higher temperature of
the simulated sunspot. Also, the energy absorption of about 5% is obtained
at
.
This confirms the partial conversion of the wave
packet energy into a slow magnetoacoustic mode, which propagates downwards
and removes the energy from the solar surface.
An even more complicated behaviour is exhibited by the acoustic power
ratio at the solar surface, calculated for Case B (Fig. 21,
black curve). In this case, the absorption reaches the value of
about 10% at
.
This seemingly rather low (compared to some
observations) absorption coefficient is caused by the different acoustic
modes being absorbed differently: while some modes are absorbed strongly
and efficiently, other modes are not absorbed at all, and some even can
become amplified by the reinforcement due to the mode mixing processes
(Cally & Bogdan 1997).
The character of energy suppression in the magnetic field region is also
different compared to Cases A and C. The first point here is that the curve
is asymmetric with respect to the vertical axis of the magnetic field
configuration (note that the green curve, corresponding to the weak magnetic
field (Case A) is completely symmetric about the axis, and the red curve is
also nearly symmetric, if the energy absorption is not taken into account).
We suggest that the wavy structure between
and
is connected to the conversion of purely acoustic wave
into slow magnetoacoustic mode. However, the most noticeable feature of
this curve is the acoustic power increase of the order of 7-8% at the
distance
.
This feature is also clearly visible in the
two-dimensional power image (Fig. 15), and can be compared with
acoustic power haloes around sunspots, which are usually observed (see,
for example, the observations by Hill et al. (2001) or Nagashima et al. (2007) and
references therein, using the instrument Hinode).
The straight lines emanating at different angles from the flux tube left boundary towards the right edge of the box, visible in both oscillatory power plots of the vertical velocity component, kinetic energy, and pressure perturbation, in our view can be explained in terms of ray theory as caustic surface changes occurring because of the sound-speed inhomogeneity in the x-direction. Caustics corresponding to the envelope of the ray paths for the second and higher-order bounces are approximately co-located with the loci of the lower turning points for the second and higher-order bounces, illustrated in Figs. 13, 15 and 18.
Viewed as the focusing points for the generated waves, the caustics can be
characterised by an increase in the oscillation power (Kravtsov & Orlov 1993). Thus,
the ratio of the power for the two cases is expected to be most pronounced
at these surfaces. This power increase is clearly observed in the time series
(movies) of the simulated wave field
. The
magneto-acoustic mode generation and propagation is also clearly visible in
our movies.
![]() |
Figure 21: Acoustic power absorption by the simulated sunspots. The green dash-dotted, black solid and red dashed curves correspond to the case A, case B, and case C magnetic field configurations, respectively. Horizontal dashed line represents the power ratio 1. Vertical dash-dotted line shows the axis of the magnetic configuration. |
| Open with DEXTER | |
6 Conclusions
We have presented numerical modelling and a helioseismological analysis
of three physically different, localised magnetic field concentrations,
which resemble sunspots in the solar photosphere. The model photosphere
is based on the solar standard model S. The acoustic response of this
quiet (non-magnetic) solar model is close to that of the real Sun. The
magnetic fields implemented in the various simulations differ not only
in terms of strength, but also in terms of the curvature of the field
lines. The curvature of the magnetic field creates magnetic tension,
which consequently changes the pressure, density, and temperature
stratification of the equilibrium model. Three representative cases
of magnetic fields in equilibrium with the external non-magnetic
photospheric plasma have been considered: weak magnetic field, strong
but weakly-curved magnetic field, and strongly-curved but strong
magnetic field models. Because of the different magnetic field geometries,
different temperature structures were obtained. In the case of a weak
magnetic field (Case A), the temperature deviation from the background
is small, although there is a complex structure of temperature decrease
in the photosphere and temperature increase in the sub-photosphere. The
two strong magnetic field cases (B and C) have the same magnetic field
strength at the surface (
). The case of the weakly-curved
field (Case B) is characterised by the temperature decrease below the
solar surface. However, the strongly-curved magnetic field (Case C)
causes a temperature increase there.
The spatial structure of the models that we used to carry out the simulations allows direct and easy comparison of the behaviour of the waves travelling through the non-magnetic plasma with the behaviour of the waves interacting with the magnetic field region. We imposed a magnetic field in only one half of the numerical domain, leaving the other half unaffected by magnetic field.
We analysed the three magnetic field cases by means of local time-distance helioseismology. Synthetic time-distance, time-distance difference, and travel time difference dependencies were calculated from the simulations. The dependencies show that the main effect of the magnetic field on the acoustic wave is caused by the change in the temperature structure in the sunspot. However, we also show that there is an energy leakage downwards in the model due to the wave mode conversion from purely acoustic to slow magneto-acoustic wave motion.
Although the results are intrinsically correct to the order of numerical
noise amplitude, we acknowledge that they may have somewhat limited
applicability. The simulations were carried out for a magnetic field and
background model, which are essentially two-dimensional. Thus, the main
applicability limitation of our results is in the energy distribution in
the acoustic modes, which is quantitatively (but not qualitatively, if
only acoustic and magneto-acoustic waves are considered) different from
the three-dimensional case. Also, the absorption of acoustic waves by a
magnetic region may in reality differ from the one presented, because of
the difference in the acoustic energy distribution. However, since the
sound and Alfvén speeds, and the other main magnetohydrodynamic
parameters are unaffected by the dimensionality of the problem, the travel
times and travel time differences are also independent on the dimensionality.
Also, since the upper boundary of the domain is located close to the
simulated solar surface, the effects of the interaction of the wave packet
with the low-
magnetic field in the solar atmosphere are not taken
into account (Schunker & Cally 2006). Consequently,because we expect the large
magnetic field influence on the second bounce wave propagation in the solar
atmosphere, we limit our travel time difference studies to the first bounce
only.
The two-dimensional magnetic fields used in the simulations presented in this paper can be extended to three-dimensional cylindrically symmetric fields. However, simulations of acoustic wave propagation through three-dimensional magnetic structures requires significantly larger computing resources, so we leave this to future analysis.
Acknowledgements
This work was supported by a grant from the UK Science and Technology Facilities Council (STFC). RE acknowledges M. Kéray for patient encouragement. R.E. is also grateful to NSF, Hungary (OTKA, Ref. No. K67746). S. Zharkov acknowledges the support of the HELAS European Network.
References
- Cally, P. S. 2000, Sol. Phys., 192, 395 [NASA ADS] [CrossRef]
- Cally, P. S., & Bogdan, T. J. 1997, ApJ, 486, L67 [NASA ADS] [CrossRef]
- Cameron, R., Gizon, L., & Duvall, T. L., Jr. 2008, Sol. Phys., 51 (In the text)
- Caunt, S. E., & Korpi, M. J. 2001, A&A, 369, 706 [NASA ADS] [CrossRef] [EDP Sciences] (In the text)
- Crouch, A. D., & Cally, P. S. 2003, Sol. Phys., 214, 201 [NASA ADS] [CrossRef] (In the text)
- Christensen-Dalsgaard, J., et al. 1996, Science, 272, 1286 [NASA ADS] [CrossRef] (In the text)
- Duvall, T. L., Jr., Kosovichev, A. G., Scherrer, P. H., et al. 1997, Sol. Phys., 170, 63 [NASA ADS] [CrossRef]
- Gizon, L., & Birch, A. C. 2002, ApJ, 571, 966 [NASA ADS] [CrossRef] (In the text)
- Gordovskyy, M., & Jain, R. 2007, ApJ, 661, 586 [NASA ADS] [CrossRef] (In the text)
- Hanasoge, S. M., Duvall, T. L., Jr., & Couvidat, S. 2007, ApJ, 664, 1234 [NASA ADS] [CrossRef] (In the text)
- Hill, F., Ladenkov, O., Ehgamberdiev, S., & Chou, D.-Y. 2001, SOHO 10/GONG 2000 Workshop: Helio- and Asteroseismology at the Dawn of the Millennium, 464, 219 [NASA ADS] (In the text)
- Hughes, S. J., Rajaguru, S. P., & Thompson, M. J. 2005, ApJ, 627, 1040 [NASA ADS] [CrossRef]
- Khomenko, E., Kosovichev, A., Collados, M., Parchevsky, K., & Olshevsky, V. 2008 [arXiv:0809.0278] (In the text)
- Kosovichev, A. G., & Duvall, T. L., Jr. 1997, SCORe'96: Solar Convection and Oscillations and their Relationship, 225, 241 [NASA ADS] (In the text)
- Kravtsov, Y. A., & Orlov, Y. I. (ed.) 1993, Caustics, Catastrophes and Wave Fields (Berlin, GR: Springer-Verlag) (In the text)
- Moradi, H., & Cally, P. S. 2008, Sol. Phys., 251, 309 [NASA ADS] [CrossRef] (In the text)
- Moradi, H., Hanasoge, S. M., & Cally, P. S. 2009, ApJ, 690, L72 [NASA ADS] [CrossRef] (In the text)
- Nagashima, K., Sekii, T., Kosovichev, A. G., et al. 2007, PASJ, 59, 631 [NASA ADS] (In the text)
- Parchevsky, K. V., & Kosovichev, A. G. 2007, ApJ, 666, 547 [NASA ADS] [CrossRef] (In the text)
- Rempel, M., Schüssler, M., & Knölker, M. 2009, ApJ, 691, 640 [NASA ADS] [CrossRef] (In the text)
- Schlüter, A., & Temesváry, S. 1958, Electromagnetic Phenomena in Cosmical Physics, 6, 263 [NASA ADS]
- Schunker, H., & Cally, P. S. 2006, MNRAS, 372, 551 [NASA ADS] [CrossRef] (In the text)
- Schüssler, M., & Rempel, M. 2005, A&A, 441, 337 [NASA ADS] [CrossRef] [EDP Sciences]
- Shelyag, S., Erdélyi, R., & Thompson, M. J. 2006, ApJ, 651, 576 [NASA ADS] [CrossRef] (In the text)
- Shelyag, S., Erdélyi, R., & Thompson, M. J. 2007, A&A, 469, 1101 [NASA ADS] [CrossRef] [EDP Sciences] (In the text)
- Shelyag, S., Fedun, V., & Erdélyi, R. 2008, A&A, 486, 655 [NASA ADS] [CrossRef] [EDP Sciences] (In the text)
- Thompson, M. J., & Zharkov, S. 2008, Sol. Phys., 251, 225 [NASA ADS] [CrossRef] (In the text)
- Tóth, G., Keppens, R., & Botchev, M. A. 1998, A&A, 332, 1159 [NASA ADS] (In the text)
- Vögler, A., Shelyag, S., Schüssler, M., et al. 2005, A&A, 429, 335 [NASA ADS] [CrossRef] [EDP Sciences] (In the text)
- Zharkov, S., Nicholas, C. J., & Thompson, M. J. 2007, Astron. Nachr., 328, 240 [NASA ADS] [CrossRef]
Footnotes
- ... field
- Available in online material at http://robertus.staff.shef.ac.uk/publications/acoustic/
All Figures
![]() |
Figure 1: Sketch of the simulation domain geometry used in the simulations. |
| Open with DEXTER | |
| In the text | |
![]() |
Figure 2: Vertical magnetic field components on the axis of the magnetic region B0z(z) for the three cases of magnetic field configurations. |
| Open with DEXTER | |
| In the text | |
![]() |
Figure 3:
Functions
|
| Open with DEXTER | |
| In the text | |
![]() |
Figure 4: Magnetic field configuration for a weak magnetic field (Case A) in the sub-photospheric domain of the size of 50 Mm in the vertical and 180 Mm in horizontal direction. The horizontal (Bx) and vertical (Bz) components of the magnetic field are shown. The field lines are overplotted. |
| Open with DEXTER | |
| In the text | |
![]() |
Figure 5:
Same as Fig. 4 with a strong magnetic flux
(
|
| Open with DEXTER | |
| In the text | |
![]() |
Figure 6:
Same as Fig. 4 with a strongly-curved, strong (
|
| Open with DEXTER | |
| In the text | |
| |
Figure 7: Zoom-in image of the temperature difference in the magnetic field region for Case A. The temperature increase is caused by magnetic tension. |
| Open with DEXTER | |
| In the text | |
| |
Figure 8:
Same as Fig. 7, with a strong magnetic flux and weakly-curved
magnetic field lines, Case B. Here, the temperature decreases at the solar
surface. This temperature decrease is caused by magnetic pressure.
|
| Open with DEXTER | |
| In the text | |
| |
Figure 9: Same as Fig. 7, with the strongly-curved and strong magnetic field, Case C. In this case magnetic tension prevents evacuation of the magnetic region, and the temperature is increased. |
| Open with DEXTER | |
| In the text | |
![]() |
Figure 10: Power spectrum of the vertical velocity perturbation generated by the source. The p modes are visible to high order. Eigenmodes of the background model are overplotted by solid lines. |
| Open with DEXTER | |
| In the text | |
![]() |
Figure 11: Cross-correlation function deduced from the vertical velocity perturbation at the solar surface, generated by the acoustic source. Three wave bounces are clearly visible. The group travel times of the first three bounces deduced from ray theory are overplotted. |
| Open with DEXTER | |
| In the text | |
![]() |
Figure 12:
Vertical speed difference image for Case A.
Difference values are computed between points located at the same distance
but opposite sides of the source. Two dashed lines bound the magnetic region
with
|
| Open with DEXTER | |
| In the text | |
![]() |
Figure 13:
Synthetic acoustic power ratio image of the weakly magnetised region
of the weakly magnetised model (Case A). The ratios are computed between points
at the same distance and opposite sides of the source. The image shows the
regions of decreased acoustic power compared to the ambient non-magnetic medium.
The black lines are the contours of vertical magnetic field at 50 and
|
| Open with DEXTER | |
| In the text | |
![]() |
Figure 14:
Same as Fig. 12 but for the strong weakly-curved magnetic field
(
|
| Open with DEXTER | |
| In the text | |
![]() |
Figure 15:
Total kinetic energy density ratio for the strong magnetic flux but
weakly-curved magnetic field lines, Case B. The lower turning points for the
first four bounces of rays emanating from the source are overplotted in white.
The black lines are the contours of the magnetic field
|
| Open with DEXTER | |
| In the text | |
| |
Figure 16:
Snapshot of the horizontal component of the velocity field in the upper
layers of the domain, taken at
|
| Open with DEXTER | |
| In the text | |
![]() |
Figure 17:
Same as Fig. 12, but for the strongly-curved, strong magnetic
field (Case C). Two dashed lines bound the magnetic region with
|
| Open with DEXTER | |
| In the text | |
![]() |
Figure 18:
Oscillatory power in pressure perturbation, scaled by inverse square
root of the initial local density |
| Open with DEXTER | |
| In the text | |
| |
Figure 19: Same as Fig. 16, for the strongly-curved strong magnetic field, case C. The slow mode is visible between the overplotted magnetic field lines. |
| Open with DEXTER | |
| In the text | |
![]() |
Figure 20: Travel time difference plots computed for the first bounce for weak (Case A), weakly curved strong (Case B) and strongly curved strong (Case C) magnetic field cases. The solid curves correspond to the travel time perturbations obtained by Gabor wavelet fitting, while the dashed curves represent the travel time perturbations computed using the travel time definition of Gizon and Birch, and dash-dotted curves are the travel time perturbations, calculated using a ray-theoretical approach. |
| Open with DEXTER | |
| In the text | |
![]() |
Figure 21: Acoustic power absorption by the simulated sunspots. The green dash-dotted, black solid and red dashed curves correspond to the case A, case B, and case C magnetic field configurations, respectively. Horizontal dashed line represents the power ratio 1. Vertical dash-dotted line shows the axis of the magnetic configuration. |
| Open with DEXTER | |
| In the text | |
Copyright ESO 2009
Current usage metrics show cumulative count of Article Views (full-text article views including HTML views, PDF and ePub downloads, according to the available data) and Abstracts Views on Vision4Press platform.
Data correspond to usage on the plateform after 2015. The current usage metrics is available 48-96 hours after online publication and is updated daily on week days.
Initial download of the metrics may take a while.

![\begin{displaymath}\frac{\partial \tilde{\rho}}{\partial t} + \nabla \cdot \left...
...lde{\rho}\right) \right]=0+D_{\rho}\left(\tilde{\rho} \right),
\end{displaymath}](/articles/aa/full_html/2009/26/aa11709-09/img17.png)
![$\displaystyle \frac{\partial{\left[\left(\rho_b+\tilde{\rho}\right)\vec{v}\righ...
...}\left(\rho_b+\tilde{\rho}\right)
\vec{v}-\tilde{\vec{B}}\tilde{\vec{B}}\right]$](/articles/aa/full_html/2009/26/aa11709-09/img18.png)
![$\displaystyle \frac{\partial{\tilde{e}}}{\partial{t}}+\nabla \cdot \left[ {\vec...
...ht)-
{\tilde{\vec{B}}\tilde{\vec{B}}\cdot\vec{v}}+{\vec{v}}\tilde{p}_{t}\right]$](/articles/aa/full_html/2009/26/aa11709-09/img20.png)
![\begin{displaymath}\frac{\partial{\tilde{\vec{B}}}}{\partial{t}}+\nabla\cdot\lef...
...\vec{v}}\right]=0 + {\vec{D}}_{B}\left(\tilde{\vec{B}}\right),
\end{displaymath}](/articles/aa/full_html/2009/26/aa11709-09/img23.png)






![\begin{figure}
\par\includegraphics[width=9cm]{1709fig1.eps}
\end{figure}](/articles/aa/full_html/2009/26/aa11709-09/Timg48.png)


![\begin{figure}
\par\includegraphics[width=9cm]{1709fig2.eps}
\end{figure}](/articles/aa/full_html/2009/26/aa11709-09/Timg58.png)
![\begin{figure}
\par\includegraphics[width=9cm]{1709fig3.eps}
\end{figure}](/articles/aa/full_html/2009/26/aa11709-09/Timg59.png)
![\begin{figure}
\par\includegraphics[width=9cm]{1709fig4.eps}
\end{figure}](/articles/aa/full_html/2009/26/aa11709-09/Timg61.png)
![\begin{figure}
\par\includegraphics[width=9cm]{1709fig5.eps}
\end{figure}](/articles/aa/full_html/2009/26/aa11709-09/Timg62.png)
![\begin{figure}
\par\includegraphics[width=9cm]{1709fig6.eps}
\end{figure}](/articles/aa/full_html/2009/26/aa11709-09/Timg63.png)

![\begin{figure}
\par\includegraphics[width=9cm]{1709fi10.eps}
\end{figure}](/articles/aa/full_html/2009/26/aa11709-09/Timg73.png)
![\begin{figure}
\par\includegraphics[width=9cm]{1709fi11.eps}
\end{figure}](/articles/aa/full_html/2009/26/aa11709-09/Timg74.png)
![\begin{figure}
\par\includegraphics[width=9cm]{1709fi12.eps}
\end{figure}](/articles/aa/full_html/2009/26/aa11709-09/Timg77.png)
![\begin{figure}
\par\includegraphics[width=9cm]{1709fi13.eps}
\end{figure}](/articles/aa/full_html/2009/26/aa11709-09/Timg80.png)
![\begin{figure}
\par\includegraphics[width=9cm]{1709fi14.eps}
\end{figure}](/articles/aa/full_html/2009/26/aa11709-09/Timg82.png)
![\begin{figure}
\par\includegraphics[width=9cm]{1709fi15.eps}
\end{figure}](/articles/aa/full_html/2009/26/aa11709-09/Timg84.png)
![\begin{figure}
\par\includegraphics[width=9cm]{1709fi17.eps}
\end{figure}](/articles/aa/full_html/2009/26/aa11709-09/Timg94.png)
![\begin{figure}
\par\includegraphics[width=9cm]{1709fi18.eps}
\end{figure}](/articles/aa/full_html/2009/26/aa11709-09/Timg95.png)
![\begin{figure}
\par\includegraphics[width=9cm]{1709fi20.eps}
\end{figure}](/articles/aa/full_html/2009/26/aa11709-09/Timg98.png)
![\begin{figure}
\par\includegraphics[width=9cm]{1709fi21.eps}
\end{figure}](/articles/aa/full_html/2009/26/aa11709-09/Timg102.png)